Исследование и совершенствование системы профессионального развития персонала в структурном подразделении организации

  • Вид работы:
    Дипломная (ВКР)
  • Предмет:
    Менеджмент
  • Язык:
    Русский
    ,
    Формат файла:
    MS Word
    4,18 Mb
  • Опубликовано:
    2011-09-22
Вы можете узнать стоимость помощи в написании студенческой работы.
Помощь в написании работы, которую точно примут!

Исследование и совершенствование системы профессионального развития персонала в структурном подразделении организации

ФЕДЕРАЛЬНОЕ АГЕНТСТВО ПО ОБРАЗОВАНИЮ

Государственное образовательное учреждение высшего профессионального образования

«РОССИЙСКИЙ ГОСУДАРСТВЕННЫЙ ГУМАНИТАРНЫЙ УНИВЕРСИТЕТ»

ИНСТИТУТ ЭКОНОМИКИ, УПРАВЛЕНИЯ И ПРАВА

ФАКУЛЬТЕТ УПРАВЛЕНИЯ

Кафедра управления

Дипломная работа

Анализ и совершенствование системы профессионального развития персонала в структурном подразделении организации













Москва 2010

Содержание

Введение

1. ТЕОРЕТИЧЕСКИЕ ОСНОВЫ ПРОФЕССИОНАЛЬНОГО РАЗВИТИЯ ПЕРСОНАЛА В ОРГАНИЗАЦИИ

1.1 Понятие, цели и задачи, принципы профессионального развития персонала

1.2 Виды, формы и методы обучения персонала

1.3 Планирование карьеры персонала и работа с резервом

2. АНАЛИЗ СИСТЕМЫ ПРОФЕССИОНАЛЬНОГО РАЗВИТИЯ ПЕРСОНАЛА В СЛУЖБЕ ОРГАНИЗАЦИИ ПАССАЖИРСКИХ ПЕРЕВОЗОК ОАО «МЕЖДУНАРОДНЫЙ АЭРОПОРТ «ВНУКОВО»

2.1 Общая характеристика предприятия и его структурного подразделения

2.2 Кадровый потенциал организации

2.3 Практика профессионального развития персонала

3. СОВЕРШЕНСТВОВАНИЕ СИСТЕМЫ ПРОФЕССИОНАЛЬНОГО РАЗВИТИЯ ПЕРСОНАЛА В СЛУЖБЕ ОРГАНИЗАЦИИ ПАССАЖИРСКИХ ПЕРЕВОЗОК ОАО «МЕЖДУНАРОДНЫЙ АЭРОПОРТ «ВНУКОВО»

3.1 Основные направления совершенствования системы профессионального развития персонала

3.2 План внедрения проектных мероприятий

3.3 Оценка эффективности организационного проекта

Заключение

Список использованных источников и литература

Приложения

персонал профессиональный организация

Введение

Управление человеческими ресурсами - это деятельность, выполняемая на предприятиях, которая способствует наиболее эффективному использованию рабочих и служащих для достижения организационных и личных целей.

Возникновение рынка труда и появление безработицы ставят перед людьми новые проблемы. Каждый человек должен быть готов к тому, что его могут уволить, что ему могут отказать в получении работы. В связи с этим, люди, чтобы улучшить свои шансы на получение работы, должны быть готовы к постоянному совершенствованию и даже смене профессии.

Термин «развитие» означает любые мероприятия или процессы, способствующие полному раскрытию потенциала индивидуумов. Жизнь любого взрослого человека предоставляет ему многочисленные возможности для собственного развития, однако, здесь нас интересует в первую очередь развитие, помогающие людям более эффективно вносить свой вклад в работу своих организаций. Это почти всегда предполагает обучение - специализированные техники, непосредственно ориентированные именно на помощь людям в приобретении определенной компетентности.

Возникают новые проблемы и у предприятий, особенно у отделов кадров. Так, из большого количества претендентов нелегко выбрать человека, соответствующего требованиям, предъявляемым к рабочему месту и предприятию в целом. Необходимо применять новые, научно обоснованные методы отбора, которые позволяют соблюсти объективность при отборе. Это важная задача управления развитием персонала. Развитие научно-технического прогресса и усложнение труда приводит к повышению квалификации работников, что порождает проблемы с управлением персонала. Возрастает роль мотивации персонала, растут расходы, связанные с его обучением и переобучением (в этих условиях увольнение работников, на обучение которых фирмой затрачены значительные средства, крайне нежелательно).

Таким образом, работники отделов кадров должны очень бережно относиться к персоналу и менять методы работы с ним, которые ранее ограничивались только приемом и увольнением сотрудников.

Управление персоналом, как социальная функция, т.е. явилась объективным продолжением человеческой потребности и способности к самосохранению, но уже на более высоком уровне - уровне человеческих организаций.

В связи с этим меняются отношения между руководителями организаций, между руководителем и подчинёнными, между всеми работниками внутри организации. Меняется отношение и к персоналу организации, т.к. социальная направленность экономических реформ поворачивает их лицом к человеку, персоналу организации.

Крупные, средние и малые фирмы ясно осознают: для того, чтобы развиваться, преуспевать, сохранять здоровье людей и стабильность коллектива, они должны оптимизировать отдачу от вложений любых ресурсов, будь то ресурсы финансовые, материальные или человеческие.

Политика управления персоналом - общее руководство в принятии решений по важнейшим направлениям в области управления персоналом.

Автоматизация подсистемы управления кадрами является одной из важнейших частей автоматизации общеобразовательной деятельности учреждения. Информационная технология является частью системы информационного обеспечения системы управления персоналом и выполняет технологические функции по накоплению, хранению, передаче и обработке информации. Она складывается, формируется и функционирует в регламенте, определенном методами и структурой управленческой деятельности, принятой в конкретной организации, реализует цели и задачи, стоящие перед ней.

Среди них особенно выделим монографию Джеральда Коула «Управление персоналом в современных организациях». Эта книга охватывает все аспекты управления персоналом в современных организациях, особенно же нас заинтересовал материал по современной оценке персонала. Главная особенность этой работы - совмещение теории и новейшей мировой практики в области управления персоналом. Вопрос оценки деятельности персонала современной организации представлен с позиций передового зарубежного опыта.

Кроме этого фундаментального труда мы также использовали материалы монографий таких авторов, как О. Анисимов, М. Армстронг, В. Винокуров, М. Виханский, В. Галенко, Дж. Гибсон, Д. Иванцевич, Д. Донелли, Ю. Демин, П. Друкер, П. Журавлев, Д. Иванцевич и А. Лобанов, Б. Коласс, В. Колышкин, Ю. Красовский, В. Маслов, Дж. Ньюстром и К. Дэвис, Т. Погорелова, В. Спивак и некоторые др.

Целью данной дипломной работы являются анализ теоретических и практических основ системы профессионального развития персонала и разработка мероприятий по её совершенствованию в Службе организации пассажирских перевозок ОАО «Международный аэропорт «Внуково».

Постановка цели определила перечень следующих задач:

1)  изучить теоретические основы системы профессионального развития персонала организации;

2)      проанализировать систему профессионального развития персонала в службе организации пассажирских перевозок ОАО «Международный аэропорт «Внуково»;

)        разработать рекомендации по совершенствованию системы профессионального развития персонала в структурном подразделении организации.

Объектом дипломного исследования является служба организации пассажирских перевозок ОАО «Международный аэропорт «Внуково».

Предметом - система профессионального развития персонала на предприятии.

Теоретической основой дипломного исследования стали нормативные акты, регулирующие вопросы трудовых отношений в организации (Трудовой кодекс РФ, Воздушный кодекс РФ, руководящие документы ГСГА РФ).

Были также изучены публикации специалистов по вопросам управления организацией, управления персоналом, профессионального развития персонала, организации воздушного транспорта.

Методами сбора и анализа практической информации стали: метод изучения документов, метод наблюдения, метод опроса, логические методы, графические методы, статистические методы.

Структура работы: введение, три раздела, заключение, список использованных источников и литературы, приложения.

В первом разделе изучаются теоретические основы профессионального развития персонала.

Во втором разделе производится анализ профессионального развития персонала на примере службы организации пассажирских перевозок, дается описание службам предприятия, изучается кадровый потенциал службы организации пассажирских перевозок.

В третьей главе описываются мероприятия по совершенствованию профессионального развития персонала службы организации пассажирских перевозок.

1. ТЕОРЕТИЧЕСКИЕ ОСНОВЫ ПРОФЕССИОНАЛЬНОГО РАЗВИТИЯ ПЕРСОНАЛА В ОРГАНИЗАЦИИ


1.1 Понятие, цели и задачи, принципы профессионального развития персонала

 

Когда-то работа с кадрами заключалась исключительно в мероприятиях по набору и отбору рабочей силы. Идея заключалась в том, что если вам удалось найти нужных людей, то они смогут выполнить нужную работу. Современные организации, в которых хорошо поставлено дело управления, считают, что набор подходящих людей является всего лишь началом, В то время как большая часть ресурсов организации представлена материальными объектами, стоимость которых со временем снижается посредством амортизации, ценность людских ресурсов с годами может и должна возрастать. Таким образом, как для блага самой организации, так и для личного блага всего персонала руководство организации должно постоянно работать над всемерным повышением его потенциала.

Развитие персонала - комплекс мер, включающих профессиональное обучение выпускников школ, переподготовку и повышение квалификации кадров, а также планирование карьеры персонала организации. Цель развития персонала - обеспечение организации хорошо подготовленными работниками в соответствии с ее целями и стратегией развития.

Под системой РП следует понимать целенаправленный комплекс информационных, образовательных, привязанных к конкретным рабочим местам элементов, которые содействуют повышению квалификации работников данной организации в соответствии с задачами ее развития, потенциалом и склонностями сотрудников.

Речь идет прежде всего об информации о личном составе (профессиональной пригодности и склонности работников), об организационных единицах (требования к рабочим местам и типичные ситуации на них в процессе работы), а также о рынках труда и образования.

Перемещения могут быть вертикальными и горизонтальными. Понятия «служебно-профессиональное продвижение» и «карьера» являются близкими, но не одинаковыми. Служебно-профессиональное продвижение - это предлагаемая организацией последовательность различных ступеней (должностей, рабочих мест, положений в коллективе), которые сотрудник потенциально может пройти. Под карьерой принято понимать фактическую последовательность занимаемых ступеней (должностей, рабочих мест, положений в коллективе) конкретным работником. Первый термин является наиболее привычным для нас, так как второй в нашей специальной литературе и на практике до последнего времени практически не использовался. Совпадение намеченного пути служебно-профессионального продвижения и фактической карьеры в жизни происходит довольно редко и является скорее исключением, чем правилом.

Система служебно-профессионального продвижения - совокупность средств и методов должностного продвижения персонала, применяемых в различных организациях.

Эта система выполняет следующие функции, представленные в таблице 1.1.

Таблица 1.1 Классификация функций системы служебно-профессионального продвижения персонала в организации

Функции системы

I. ПЛАНИРОВАНИЕ

11

Определять потребности в кадрах организации

22

Разрабатывать план удовлетворения потребности в кадрах

33

Составлять индивидуальные планы стажировки

44

Составлять планы по управлению деловой карьерой и служебно-профессиональному продвижению персонала в организации

55

Составлять индивидуальные планы деловой карьеры

66

Составлять планы работы с кадровым резервом

77

Формировать программу подготовки, переподготовки и повышения квалификации резерва

88

Разрабатывать план по продвижению кадров

99

Планировать совершенствование процесса замещения должностей

110

Планировать совершенствование стиля и методов работы с резервом

II. ОРГАНИЗАЦИЯ

11

Формировать систему служебно-профессионального продвижения

22

Управлять деловой карьерой и служебно-профессиональным продвижением кадров

33

Формировать резерв кадров на выдвижение

44

Осуществлять подбор и расстановку персонала

55

Осуществлять профориентацию и адаптацию в процессе продвижения персонала

66

Осуществлять профориентацию и адаптацию молодых специалистов

77

Организовывать производственную практику студентов

88

Осуществлять оценку и отбор в группы резерва разных уровней управления

99

Определять цели аттестации при выдвижении в резерв и служебно-профессиональном продвижении кадров

110

Разрабатывать процедуру аттестации персонала

111

Проводить аттестацию персонала

112

Осуществлять подготовку тестов, технических средств и необходимых бланков для тестирования

113

Изучать деловые и личностные качества сотрудников

114

Организовывать замещение вакантных должностей

115

Проводить конкурсы на замещение вакантных должностей

116

Организовывать обучение, переподготовку и повышение квалификации работников, зачисленных в резерв

17

Осуществлять комплектование, рассмотрение, согласование и утверждение резерва

18

Реализовывать программу подготовки, переподготовки и повышения квалификации резерва

19

Организовывать стажировку работников, зачисленных в резерв

20

Назначать руководителя стажировки

221

Организовывать работу стажера, зачисленного в резерв на выдвижение, в должности руководителя разных уровней управления

222

Оценивать готовность резерва для назначения на должность

223

Осуществлять оценку и отбор для выдвижения на вакантную должность линейного руководителя

224

Осуществлять оценку и отбор для выдвижения на вакантную должность руководителя функционального подразделения

III. КООРДИНАЦИЯ И РЕГУЛИРОВАНИЕ

11

Разрабатывать положение о порядке служебно-профессионального продвижения персонала и зачисления в резерв на выдвижения

22

Составлять схемы замещения вакантных должностей

33

Разрабатывать карьерограммы работников

44

Разрабатывать квалификационные характеристики

55

Оформлять документацию по зачислению в резерв и перемещение по служебной лестнице

66

Формировать аттестационную комиссию

77

Составлять рекомендации по результатам работы аттестационной комиссии

IV. МОТИВАЦИЯ И СТИМУЛИРОВАНИЕ

11

Осуществлять поощрение (взыскание) за успехи (неудачи) в области деловой карьеры и служебно-профессионального продвижения

22

Осуществлять стимулирование служебно-профессионального роста

33

Осуществлять мотивацию служебно-профессионального роста

44

Выдвигать на руководящие должности

55

Исключать из резерва

66

Повышать заработную плату

V. КОНТРОЛЬ

11

Контролировать выполнение руководителями подразделений работу по управлению деловой карьерой и служебно-профессиональному продвижению и кадровым резервом

22

Контролировать реализацию планов подготовки специалистов, отобранных в резерв кадров

33

Контролировать качество обучения

44

Контролировать правильное использование персонала

55

Контролировать выполнение программы подготовки, переподготовки и повышения квалификации резерва

VI. УЧЕТ

11

Составлять отчетность по управлению деловой карьерой, служебно-профессиональным продвижениям и кадровым резервом

22

Вести учет продвижения кадров

33

Составлять отчет о выполнении индивидуальных планов деловой карьеры

VII. АНАЛИЗ

11

Анализировать эффективность управления деловой карьерой и служебно-профессиональным продвижением

22

Анализировать эффективность программы подготовки, переподготовки и повышения квалификации резерва

33

Анализировать эффективность подбора, расстановки и использования персонала

44

Анализировать движение кадров

55

Анализировать трудовой потенциал организации (подразделения)

66

Анализировать результаты тестирования и оценки


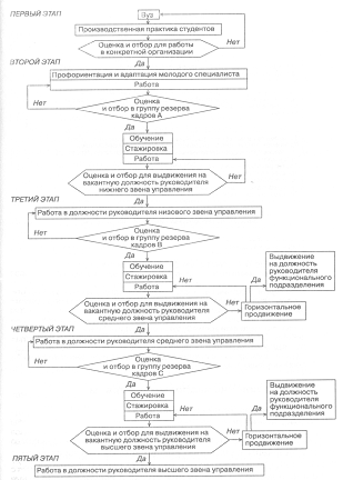
В практике управления различают два вида должностного продвижения: продвижение специалиста и продвижение руководителя. Последнее, в свою очередь, имеет два направления: продвижение функциональных руководителей и продвижение линейных руководителей. Например, система продвижения линейных руководителей предусматривает пять основных этапов (рис. 1).

Рис. 1. Этапы системы служебно-профессионального продвижения линейных руководителей в организации

Первый этап - работа со студентами старших курсов базовых институтов или направленных на практику из других вузов. Специалисты подразделений управления персоналом совместно с руководителями соответствующих подразделений, где проходят практику студенты, проводят подбор студентов, наиболее способных, склонных к руководящей работе, и начинают с ними подготовку к конкретной деятельности в подразделениях организации. Студентам, успешно прошедшим подготовку и практику, выдается характеристика-рекомендация для направления на работу в соответствующие подразделения данной организации. Молодые специалисты, не проходившие практику в данной организации, при приеме на работу тестируются, им оказывается консультационная помощь.

Второй этап - работа с молодыми специалистами, принятыми в организацию. Молодым специалистам назначается испытательный срок (от одного до двух лет), в течение которого они обязаны пройти курс начального обучения (подробное знакомство с организацией). Кроме обучения для молодых специалистов предусматривается стажировка в подразделениях организации в течение года. На основе анализа работы молодых специалистов за год, участия их в проводимых мероприятиях, характеристик, данных руководителем стажировки, подводятся итоги, и делается первый отбор специалистов для зачисления в резерв выдвижения на руководящие должности. Вся информация об участии специалиста в системе служебно-профессионального продвижения фиксируется в его личном деле и заносится в информационную базу данных о кадрах организации.

Третий этап - работа с линейными руководителями низового звена управления. На этом этапе к отобранным линейным руководителям этого звена (мастера, начальники участков) присоединяется также часть работников, окончивших вечерние и заочные вузы, успешно работающих в своих коллективах и прошедших тестирование. В течение всего периода (2-3 года) с данной группой проводится конкретная целенаправленная работа. Они замещают отсутствующих руководителей, являются их дублерами, обучаются на курсах повышения квалификации. После завершения этапа подготовки на основании анализа производственной деятельности каждого конкретного руководителя проводится вторичный отбор и тестирование. Успешно прошедшие второй отбор руководители предлагаются для выдвижения на вакантные должности начальников цехов, их заместителей, предварительно пройдя стажировку на этих должностях, или зачисляются в резерв и при появлении вакансий назначаются на должности. Остальные работники, прошедшие подготовку, продолжают работать на своих должностях; возможны их горизонтальные перемещения.

Четвертый этап - работа с линейными руководителями среднего звена управления. На данном этапе к уже сформировавшейся группе молодых руководителей присоединяются действующие перспективные начальники цехов и их заместители. Работа строится по индивидуальным планам. За каждым назначенным на должность руководителя среднего звена закрепляется наставник - руководитель высшего звена для индивидуальной работы с ним. Руководитель-наставник совместно со специалистами подразделений управления персоналом на основании проведенного анализа личностных качеств и профессиональных знаний, навыков претендента составляют для него индивидуальный план подготовки. Как правило, это программы обучения по основам коммерческой деятельности, деловым взаимоотношениям, передовым методам управленческого труда, экономики и права. На этом этапе подготовки предусматривается стажировка линейных руководителей среднего звена управления в передовых организациях с подготовкой программ мероприятий по улучшению деятельности организации (подразделения). Ежегодно проводится тестирование руководителя среднего звена, которое выявляет его профессиональные навыки, умение управлять коллективом, профессионально решать сложные производственные задачи. На основании анализа результатов тестирования конкретного руководителя выносятся предложения о его дальнейшем продвижении по службе.

Пятый этап - работа с линейными руководителями высшего звена управления. Назначение руководителей на высшие посты - это сложный процесс. Одной из главных трудностей является выбор кандидата, удовлетворяющего многим требованиям. Руководитель высшего звена управления обязан хорошо знать отрасль, а также организацию. Он должен иметь опыт работы в основных функциональных подсистемах, чтобы ориентироваться в производственных, финансовых, кадровых вопросах и квалифицированно действовать в экстремальных социально-экономических и политических ситуациях. Ротация, т.е. перемещение сотрудника из одного подразделения организации в другое, должна начинаться заблаговременно, когда руководители находятся на должностях низового и среднего звена управления. Отбор на выдвижение и замещение вакантных должностей высшего звена необходимо производить на конкурсной основе. Его должна осуществлять специальная комиссия, состоящая из руководителей высшего звена (директоров производств, филиалов, главных специалистов и т.п.) с участием специалистов соответствующих подразделений управления персоналом и привлечением при необходимости независимых экспертов.

В качестве примера на рис. 2 приведена логическая схема процесса управления служебно-профессиональным продвижением линейных руководителей в одном из машиностроительных акционерных обществ. При оценке и отборе кандидатов для выдвижения на вакантную должность руководителя используются специальные методики, о которых говорилось выше.

В ряде развитых зарубежных стран имеется интересный опыт управления служебно-профессиональным продвижением управленческих работников, который успешно используется и в отечественных организациях.

Например, на рис. 3 изображена типовая схема служебно-профессионального продвижения в одной японской компании. В нее входят испытательный срок (1 -3 года), в течение которого сотрудник, пришедший после окончания вуза, сдает дополнительный экзамен, чтобы можно было определить реальную ценность вузовского диплома. Далее работник проходит курс ориентации в делах компании (от 2 недель до , 6 месяцев). Проводится и ряд проверок, в том числе на лояльность. После испытательного срока сотрудника зачисляют на постоянную работу, и в течение 8-10 лет осуществляется планомерная ротация с должности на должность, из отдела в отдел, стажировка и заграничные командировки. Действует также система ответственных поручений, все более усложняющихся со временем.

Рисунок 2 - Логическая схема процесса управления служебно-профессиональным продвижением линейных руководителей

Рисунок 3 - Схема служебно-профессионального продвижения работника управления (японская модель)

К 36 годам работник уже хорошо известен компании, и она может решать его дальнейшую судьбу: направить его либо по системе движения руководящих кадров, либо по карьере специалиста. Поскольку при системе планомерной ротации работник знает, что он через определенное время будет, продвинут и поэтому нужно подобрать себе замену, более динамично осуществляется обновление руководителей, движение резерва кадров на выдвижение. Ведь многие руководители, опасаясь подсиживания, подбирают себе заместителей по принципу «чем хуже, тем лучше».

1.2 Виды, формы и методы развития персонала


Система оценки персонала - важный элемент управления человеческими ресурсами. Принципиальным условием эффективной работы системы оценки является ее комплексный характер, учитывающий все многообразие задач, решаемых конкретной организацией в общей системе кадрового менеджмента. Сегодня компании используют два понятия: оценка и aттестация персонала. Дадим наиболее общее определение этим понятиям.

Аттестация - это процедура определения соответствия сотрудников своей должности. На Западе такого понятия как "аттестация" не существует, а есть понятие оценки.

Оценка персонала - это процесс определения эффективности деятельности сотрудников в ходе реализации задач организации, позволяющий получить информацию для принятия дальнейших управленческих решений.

Очевидно, что оценка - это более широкое понятие, чем аттестация. Понятие оценки включает в себя изучение сотрудника или кандидата на вакантную должность по целому ряду параметров:

эффективность деятельности;

выполнение должностных обязанностей;

уровень компетентности;

особенности поведения;

личностные особенности.

Принципиальное отличие аттестации от оценки состоит в том, что первая направлена, прежде всего, на дачу заключения о соответствии работника занимаемой должности, а вторая дает информацию о работниках и рабочей ситуации в компании. Аттестация более формализована, напрямую связана со стандартами работы, предполагает систематичность. Аттестация имеет юридическую силу: по результатам компания имеет право увольнять, совершать перестановки сотрудников. Оценка может быть формальной и неформальной (например, ежедневная оценка руководителем подчиненного). Аттестация сотрудников может проводиться не чаше чем раз в год, частота же проводимой оценки определяется каждой компанией индивидуально. Оценка может осуществляться как регулярно, так и нерегулярно, в зависимости от конкретных потребностей организации. Как правило, оценка проводится чаще аттестации. Если оценка внедрена в систему менеджмента и управляется системой Management Вy Objectives (MBO), то она может проводиться раз в месяц, а в некоторых случаях даже раз в неделю.

Опираясь на эти различия, можно говорить о том, что аттестацию эффективней проводить в тех случаях, когда Вы планируете вынести решения административного характера.

Проводить оценку нужно, если Вашими целями являются определение деловой и профессиональной квалификации сотрудников; их возможностей и потребностей (например, для формирования кадрового резерва). Также оценку можно использовать при выявлении причин недостаточно эффективной работы персонала, для того чтобы разработать адекватные меры воздействия на сложившуюся ситуацию. По результатам оценки можно определить потребность в количестве и качестве дополнительного обучения персонала.

Мнения по поводу единого определения аттестации и оценки ни в специальной литературе, ни среди практиков не существует. Однако какое бы определение мы бы не выбрали для своей организации важно понять технологию подготовки и проведения аттестации. Для создания эффективной системы оценки нам нужно:

• Определить цели оценочной деятельности. В противном случае можно разработать дорогостоящую процедуру аттестации (оценки), результаты которой будут пылиться в архиве.

• Разработать критерии и стандарты оценки.

• Выбрать наиболее эффективный метод или совокупность методов.

• Оценить затраты на проведение аттестации.

• Провести подготовку к аттестации.

• Проанализировать полученные результаты и разработать программу последующих действий в зависимости от ранее поставленных целей.

Давайте рассмотрим эти этапы более подробно.

Цели аттестации

Оценка призвана способствовать достижению пяти основных групп целей:

• Административные цели (оплата труда, повышение или понижение в должности, перевод на другую работу внутри организации и увольнение).

• Оценка качества управленческой деятельности. То есть насколько успешно и качественно решаются задачи, стоящие перед руководителями различного уровня.

• Информирование работников о соответствии их рабочих показателей требованиям организации.

• Развитие работников.

• Совершенствование процесса управления персоналом (оптимизация критериев к кандидатам и методов подбора, разработка систем материальной и нематериальной мотивации сотрудников, повышение эффективности системы обучения и развития и др.).

Критерии и стандарты оценки.

Едва ли не самое сложное при проведении аттестации - выработать критерии оценки. При выборе предмета оценки следует понимать, насколько организация способна определить стандарты. Например, при отсутствии четко определенных должностных обязанностей оценить выполнение должностных обязанностей конкретным сотрудником можно лишь приблизительно, при этом не исключено, что результат будет поверхностным и субъективным.

Например, в одной из организаций применяется следующий комплексный подход: аттестация проходит одновременно по трем направлениям - оценка деятельности, оценка квалификации, оценка личности.

. Оценка деятельности включает в себя выполнение должностных обязанностей, выполнение плана работ (сроки, качество), достижение поставленных задач. В организации четко определены должностные обязанности (ясно, с чем сравнивать), есть план-график работ (фиксируется выполнение заданий), сотрудники имеют четкие задачи. Аттестация проходит быстро и объективно. Надо помнить, что, чем слабее организационная основа оценки деятельности, тем сложнее получить объективный результат.

. Оценка квалификации заключается в профессиональном тестировании - работники в письменной форме отвечают на вопросы по специальности. Вопросник заранее подготовлен и согласован с ведущими специалистами, определены результаты, приемлемые для специалистов различной квалификации.

. Оценка личности. Данная организация использует психологические личностные тесты. Это позволяет оценить основные поведенческие характеристики человека, сопоставить их с поведенческими требованиями к данной должности, оценить взаимоотношения в коллективе. В результате можно:

разработать для сотрудника программу обучения и развития, сравнив личностные требования, предъявляемые к должности, с фактическими личностными особенностями сотрудника, занимающего данную должность; определить причины и пути устранения стрессов и конфликтов;

при наличии существенных претензий к деятельности сотрудника оценить, одинаково ли работник и его руководитель понимают поведенческие требования, предъявляемые к данной должности;

Такое проведение аттестации позволяет организации получить и формализовать комплексную информацию о работнике. Однако для многих компаний этот вариант малоприменим, особенно на первых порах, когда только начинается внедрение процесса аттестации. Например, если в компании нет четкого плана работ (доведенного до каждого сотрудника) или не фиксируются случаи отклонения от плана, оценка деятельности может оказаться непонятной как руководителю, так и подчиненному.

Выбор методов и процедур оценки в значительной мере определяется содержанием профессиональной деятельности, выполняемой работником. Рассмотрим некоторые из них.

. Сравнительные методы. Подразумевают сравнение сотрудников между собой. Среди положительных сторон данной группы методов можно отметить их простоту в использовании. Они не требует высокой квалификации менеджера. Отрицательным же фактором является высокая степень субъективизма, предвзятости: значительно чаще оцениваются личностные факторы, а не результаты работы и правильное для компании поведение.

. Абсолютные методы основаны на сравнении сотрудников с некими эталонами, прописанными факторами.

. Результат-ориентированные методы основаны исключительно на оценке результатов работы. Эти методы наиболее эффективны, но вместе с тем и трудоемки.

. Стандарты исполнения. Метод 4. Самооценка. Сотрудник сам должен определить, в чем он был эффективен, а в чем нет. Механизм самооценки позволяет сотруднику воспринимать результаты оценки конструктивно, что существенно повышает качество его работы.

. Профессиональное тестирование. Тесты профессиональных знаний оценивают объем профессионально важных знаний, имеющихся у работника.

. Психологическое тестирование.

. Оценочное собеседование.

. Комплексные методы оценки.

На практике наилучший результат приносит интеграция различных методов оценки. Теперь давайте рассмотрим эти группы методов более подробно.

Сравнительные методы:

Прямое ранжирование. Ранжирование сотрудников по какому-то определенному показателю (профессиональная компетентность, самостоятельность в принятии решений, ответственность и пр.) от самого «плохого» до самого «хорошего». В результате самый лучший работник получает самый высокий ранг, а худший - низший. Оценивать работников можно сразу по нескольким показателям. В этом случае ценность работника определяется суммой рангов.

Заданное распределение. В зависимости от результатов компании за некоторый период, планируются определенные квоты количества сотрудников, которые должны выполнить план на заданном уровне. По аналогии со школьными оценками, планируется определенное количество "отличников", "хорошистов" и "троечников". С этими квотами в дальнейшем сравниваются итоги работы подразделения. Метод применим для руководителей различного уровня, специалистов инженерных специальностей, секретарей и др. Эффективен при решении вопросов о ротации сотрудников. Достаточно затратен по времени.

Оценка «360 градусов» - это оценка сотрудника компании на основе данных о его действиях в реальных рабочих ситуациях и о проявленных им деловых качествах. Оценка обычно проводится по видимому поведению человека, а не по предполагаемым его действиям. Оцениваются компетенции сотрудника, его профессиональные, личностные качества. Информация представлена в форме рейтинга, ранжированного по различным показателям (компетенциям). Данные получают путем анкетирования самого сотрудника, его непосредственного руководителя, коллег, а в отдельных случаях и клиентов оцениваемого. Достоинства этого метода, в отличие от предыдущих, в его объективности - оценка работника со всех уровней организации практически исключает субъективность. Этот метод многофункционален - он позволяет получить достоверную информацию, как о конкретных работниках, так и о группе в целом (ценности группы, предпочитаемый стиль производственного поведения и т.п.).

Абсолютные методы:

. Описательный метод предполагает описание области деятельности сотрудника, умений и навыков, требующих улучшения, а также список основных достижений и сильных сторон сотрудника. Реализуется этот метод через отчет менеджера о работе сотрудника. Для снижения субъективизма данного метода рекомендуется привлекать к оценке не одного, а нескольких менеджеров или клиентов, обладающих достаточной информацией для принятия решения. Необходимо, чтобы отчет опирался на реальные факты. Для этого рекомендуется вести досье сотрудника, куда будут заноситься все проступки и достижения сотрудника по ключевым функциям в соответствии с оцениваемыми критериями. О каждой записи сотрудник должен быть информирован. Преимуществом данного метода является тот факт, что в противоположность хорошо прописанным системам оценки, он позволяет зафиксировать и оценить повседневное поведение сотрудников, их инициативность, а также поведение сотрудников в непредвиденных, нестандартных ситуациях.

. Метод "инцидентов". Для данного метода также требуется ведение досье сотрудника. По истечении отчетного периода сравниваются только достижения и проступки работников. В целях усовершенствования метода, оцениваемые факторы можно ранжировать.

. Метод поведенческих шкал. Этот метод, в отличие от описательных, позволяет абстрагироваться от оценки личностных особенностей и сфокусироваться на оценке производственного поведения (соблюдение сроков, инициативность, конструктивность предложений, грамотное распоряжение ресурсами и пр.). На шкале, соответственно, могут определяться как крайние варианты поведения («всегда выступает с конструктивными предложениями» - «никогда не вносит конструктивных предложений»), так и промежуточные («всегда» - «часто» - «иногда» - «никогда»).

Результат-ориентированные методы:

позволяет оценить, достиг ли сотрудник того результата, который считается нормой для данной должности. Образцами стандартов могут быть:

средняя производительность рабочей группы,

средняя норма выработки одного работника,

объем выполняемой работы за единицу времени,

рабочие стандарты для каждого вида работ.

. Управление по целям (МВО). В соответствии с целями компании, для каждого сотрудника разрабатываются задачи на заданный период с критериями оценки их достижения. Желательно ранжировать задачи. Это происходит по следующей схеме:

. Постановка целей (формулировка долгосрочных стратегических целей, формулировка конкретных задач, стоящих перед всей организацией; определение целей подразделений; определение задач каждого сотрудника).

. Планирование работы (установление этапов выполнения работы; разработка плана конкретных действий про реализации поставленных целей; ресурсное обеспечение).

. Текущий контроль (разработка и внедрение процедур контроля; разработка механизмов коррекции нежелательных отклонений в работе; установление механизма обратной связи).

. Оценка достигнутых результатов и подведение итогов.

. Постановка новых целей на будущее.

По такой схеме можно оценить работу сотрудника, подразделения, всей компании. Опыт многих компаний свидетельствует о том, что метод МВО очень эффективен при формировании идеальной премиальной системы. Реализовываться данный метод должен сверху вниз. Компания формирует цели на 1-3 года, затем цели прописываются по временным периодам, по подразделениям; после этого краткосрочные цели распределяются между сотрудниками.

Профессиональное тестирование.

При использовании профессиональных тестов выявляются технологические знания, необходимые для выполнения работы, а также знание процессов, обеспечивающих эффективность работы. Важная особенность, и, в связи с этим сложность, использования тестов профессиональных знаний заключается в том, что они должны быть специально предназначены для конкретной должности в конкретной компании.

Психологическое тестирование.

На практике применяются несколько типов психологических тестов - тесты на определение мотивационной сферы человека, тесты когнитивных способностей (тесты на интеллект) и личностные тесты.

Оценочное собеседование.

Оценочное собеседование - это структурированное интервью, в ходе которого можно получить ответы на следующие вопросы:

что планировалось сделать за отчетный период?

что было сделано из запланированного?

что из запланированного не было сделано?

что мешало выполнению запланированной работы?

что работник планирует в дальнейшем?

Если аттестацию проводит руководитель, то оценочное интервью становится основным инструментом оценки.

Комплексные методы оценки.

Наиболее комплексным методом оценки принято считать центр оценки - Ассесмент-центр ( от англ. assessment-center - центр оценки персонала). Именно в рамках оценочного центра можно использовать сбалансированную совокупность оценочных методов: сравнительные и абсолютные методы оценки, профессиональное и психологическое тестирование, оценочное собеседование и другие. При использовании данного метода основной упор делается не на оценку прошлой деятельности, а на выявление потенциала сотрудников. В силу этого обстоятельства оценочный центр может быть использован как при отборе кандидатов на вакантные позиции, так и для действующего персонала.

Это лишь некоторые методы, которые могут использоваться при проведении аттестации. Принятие решения по выбору метода должно основываться на определении цели аттестации, структуре компании, сформированности и прозрачности внутренних коммуникаций и т.д.

Приведем пример.

Для использования метода 360 градусов необходимы следующие условия:

Зрелый менеджер и персонал, готовый к обратной связи.

Хорошо налаженные коммуникации.

Высокая степень доверия (открытый диалог на совещаниях, конфликты решаются без участия менеджера, минимум сплетен, сотрудники открыто дают оценку, команда работает эффективно).

Сотрудники сами заинтересованы в оценке, т.е. считают, что она является главным элементом для их развития.

Таким образом, прежде чем выбрать метод, руководству организации необходимо провести детальный анализ всех необходимых для проведения оценки показателей. Для определенного удобства мы предоставляем сравнение некоторых методов оценки (Приложение № 1).

Оценка затрат на процедуры аттестации

После того как определена цель проведения аттестации и выбран метод, стоит просчитать, во что обойдется процедура аттестации. Сделать это достаточно просто - умножить количество планируемых человеко-часов (на подготовку и проведение) на почасовую заработную плату, прибавить к этому недополученную прибыль (так как во время аттестации работник не будет выполнять основные должностные обязанности), прибавить организационные расходы (печать бланков, обработка материалов). Если полученная сумма представляется разумной, можно начинать подготовку. Если цель не оправдывает средства, стоит пересмотреть масштабы аттестации, число и ранг вовлеченных в процедуру менеджеров, подобрать более простые методы.

Подготовка к проведению оценки персонала.

Когда окончательное решение о проведении оценки персонала принято, необходимо:

• Подготовить Положение об аттестации (оценке). При подготовке этого документа необходимо проконсультироваться с юристом, так как возможные изменения (должность, оклад) в результате аттестации должны быть оформлены юридически грамотно.

• Определить контингент оцениваемых сотрудников и персонал, ответственный за проведение аттестации.

• Ознакомить заранее всех сотрудников с целями, датой и методами аттестации, чтобы избежать естественного страха и негативного отношения. Подчеркнуть положительные моменты аттестации.

• Составить план аттестации (подготовка, проведение, анализ результатов).

Принятие решений по итогам аттестации.

По итогам аттестации могут быть приняты следующие решения:

. Решения, связанные с оценкой текущей деятельности (положения) всей организации и выявлением рабочих проблем.

. Решения, связанные с развитием организации (приведение в соответствие человеческих ресурсов с планами организации).

. Решения, имеющие конкретные материальные последствия для работников.

По окончании аттестации обязательно предусмотреть обратную связь - каждый сотрудник имеет право знать о результатах своей аттестации и, в случае несогласия, обсудить спорные моменты с руководителем.

Теперь, когда мы имеем достаточно информации о подготовке и проведении оценки персонала, нам надо ответить еще на один вопрос: так, когда же организации нужна комплексная оценка? Давайте решим, что мы будем понимать под комплексной оценкой.

Во-первых, комплексность - это использование оценки для всех уровней персонала.

Во-вторых, применение методов оценки на различных этапах работы с персоналом. Мы можем начинать применять процедуры оценки, уже на этапе принятия решения о приеме того или иного кандидата на работу. При этом желательно, чтобы критерии, используемые при отборе, были тесно связаны со стандартами текущей оценки в организации.

В третьих, комплексность оценки должна быть обеспечена использованием различных методов оценки.

Организации всегда нужна именно комплексная оценка персонала. Только в этом случае она будет эффективным инструментом управления персоналом, обеспечивая повышение эффективности организации в целом.

Приведем примеры проведения комплексной оценки и аттестации в различных компаниях.

Компания А. В компании внедрена система управления качеством. Целью аттестации является способствование управлению развитием персонала, выяснение индивидуальных потребностей в обучении, совершенствование профессиональных навыков. Результаты аттестации должны выражать степень приближения профессиональных и личных качеств аттестуемого сотрудника к образцовому исполнителю данной должности. Формирование такой системы потребовало разработки портретов компетенций для каждой должности. Портрет компетенций - документально оформленный набор профессиональных знаний, навыков, опыта, личных и рабочих качеств, которыми должен обладать идеальный исполнитель должности. Комплексная оценка состоит из: первичной аттестации - проводится на этапе приема на работу; оценки по окончании испытательного срока; плановой ежегодной аттестации для персонала всех уровней.

1.3 Планирование карьеры персонала и работа с резервом


Складывающаяся политическая и экономическая структура в России приводит к созданию новой системы государственного управления, что, в свою очередь, оказывает непосредственное влияние и на политику в области подготовки и использования руководящих кадров федерального, регионального и местного уровней, в том числе и для организации основного звена управления.

В связи с этим основные усилия в кадровой политике сосредоточиваются на создании хорошо подготовленного резерва кандидатов на должности руководителей новой формации, способных в сжатые сроки освоить новый участок работы и обеспечить эффективное решение стоящих перед ними задач. При этом упор делается на создание резерва не вообще подготовленных кандидатов, а на руководителей вполне определенного типа и уровня управления с учетом новых подходов к организации работы государственных структур и аппарата управления экономикой.

Кадровый резерв - это потенциально активная и подготовленная часть персонала организации, способная замещать вышестоящие должности, а также часть персонала, проходящая планомерную подготовку для занятия рабочих мест более высокой квалификации. Наличие резерва кадров позволяет обеспечить замещение вакантных должностей в случае смерти, болезни, отпуска, командировки и увольнения работников. Формирование резерва кадров осуществляется на основе профессионального отбора кадров, результатов аттестации персонала, философии организации, изучения личных дел сотрудников, штатного расписания, планов карьеры работников.

Следует различать резерв на выдвижение и резерв руководителей.

Резерв на выдвижение - группа работников данного трудового коллектива, каждый из которых по результатам деятельности зарекомендовал себя как способный и заслуживающий дальнейшего продвижения по служебной лестнице.

Резерв руководителей - группа сотрудников организации, обладающих потенциалом для занятия в перспективе руководящих должностей и выделенная в результате формального процесса отбора. Организация проводит целенаправленную работу по развитию и подготовке сотрудников, вошедших в эту группу, к занятию новых должностей.

Наличие резерва позволяет заранее на плановой, по научно и практически обоснованной программе готовить кандидатов на вновь создаваемые и подлежащие замещению вакантные должности, эффективно организовать обучение и стажировку специалистов, включенных в резерв, рационально их использовать на различных направлениях и уровнях в системе управления.

По своему качественному и количественному составу резерв руководящих кадров должен отвечать действующим организационно-штатным структурам с учетом перспектив их развития. Резерв создается на все без исключения должности руководителей, осуществляющих функции управления на конкретном уровне.

Формирование резерва проводится на основе выводов аттестационных комиссий, базирующихся на объективной всесторонней оценке информации о деловых и личностных качествах кандидатов на руководящие должности. При этом в основу выводов таких комиссий должен быть положен, в свою очередь, анализ конкретных результатов профессиональной деятельности специалистов, достигнутых на различных этапах их работы в системе управления. Особое внимание при этом уделяется уровню профессиональной и общеобразовательной подготовки, организаторским и аналитическим способностям, чувству ответственности за результаты работы, целеустремленности, умению обосновывать и принимать самостоятельные, ответственные решения. При выдвижении в резерв учитываются результаты оценки знаний кандидатов, полученных в ходе обучения в системе повышения квалификации, заключения по итогам стажировок, тестирований и т.п., а также физическое состояние, способность переносить дополнительные нагрузки.

Работа по формированию резерва складывается из следующих этапов:

1.  Составление прогноза предполагаемых изменений в составе руководящих кадров.

.    Оценка деловых и личностных качеств кандидатов в резерв на выдвижение.

3.       Определение кандидатов в резерв.

.        Принятие решения о включении в резерв.

.        Согласование списка кандидатов, включенных в резерв, с вышестоящим руководством.

При формировании резерва необходимо точно знать квалификационные требования, предъявляемые к той должности, на которую зачисляется в резерв сотрудник, учитывать, какие специальные знания и опыт необходимы в каждом конкретном случае для обеспечения высокопрофессионального руководства.

Ежегодно в декабре руководитель кадровой службы организации проводит подготовительную работу по выявлению кандидатов, достойных для зачисления в резерв. Затем составляется предварительный список резерва кадров для выдвижения. Данный список обсуждается на заседании постоянно действующей комиссии, а затем утверждается руководителем организации.

Для проведения планомерной систематической работы с резервом кадров во всех организациях создаются постоянно действующие комиссии по работе с резервом. Данная комиссия должна способствовать качественной подготовке и действенной расстановке кадров, максимальному устранению субъективизма в оценке деловых и личностных качеств специалистов, зачисляемых в резерв. Состав комиссии определяется и утверждается руководителем организации.

В состав комиссии включаются:

·   руководитель организации (заместитель, отвечающий за работу с кадрами) - председатель комиссии. Отвечает за организацию работы с резервом;

·   руководитель кадровой службы - секретарь комиссии. Ведет делопроизводство, осуществляет контроль за порядком и организацией работы с резервом;

·        председатель профсоюзной организации;

·        представители психологических служб и юристы, а также специалисты по направлению профессиональной деятельности. Комиссия по работе с резервом регулярно проводит свои заседания, но не реже чем два раза в год. На ее заседаниях рассматриваются следующие вопросы: обеспечение качественного подбора, расстановки и подготовки кадров; формирование резерва кадров для выдвижения; анализ расстановки руководящих кадров и специалистов; подведение итогов работы с резервом кадров для выдвижения на руководящие должности; работа с руководителями структурных подразделений.

Работа по подготовке резерва кадров носит целенаправленный, системный и плановый характер. Организация этой работы направлена на обеспечение качественной и интенсивной подготовки каждого специалиста к самостоятельной деятельности на новом, более высоком уровне.

Различия структуры и состава резерва, а также исходной подготовленности работников обусловливают принцип индивидуального подхода при выборе форм и методов работы, их очередности и продолжительности.

Работа с сотрудниками, включенными в состав резерва, проводится по плану, в котором предусматриваются конкретные мероприятия по приобретению необходимых теоретических, экономических и управленческих знаний, глубокому усвоению характера работ, по выработке у работника умения и навыков руководства на уровне современных требований. В систему этой работы входят:

·   учеба в системе повышения квалификации руководящих работников с отрывом и без отрыва от производства;

·   стажировка в должности, на которую зачислен в резерв;

·        временное замещение отсутствующих руководителей на период их командировок, отпусков;

·        выезды в другие организации в целях изучения положительного опыта;

·        участие в преподавательской работе в системе повышения квалификации;

·        участие в подготовке и проведении конференций, семинаров и совещаний.

Планирование кадрового резерва имеет целью спрогнозировать персональные продвижения, их последовательность и сопутствующие им мероприятия. Оно требует проработки всей цепочки продвижений, перемещений, увольнений конкретных сотрудников. Основой планирования кадрового резерва для выдвижения на управленческие должности организации является подробный учет руководящих должностей, включая и те, которые станут вакантными в ближайшее время, и составление списка кандидатов на замещение по каждой должности. Планы кадрового резерва могут составляться в виде схем замещения должностей, которые имеют разнообразные формы в зависимости от особенностей и традиций различных организаций.

В отечественных организациях разработан специальный экспертный лист, с помощью которого отбираются кандидаты для формирования плана кадрового резерва управленческого персонала.

Для примера рассмотрим экспертный лист.

Данный опрос проводится для формирования резерва управленческого персонала. Наиболее надежную оценку кандидату могут дать люди, работающие с ним непосредственно. Просим Вас выразить свое мнение о кандидате в резерв на руководящую должность.

Оцените человека, фамилия которого указана в столбце таблицы, по параметрам, указанным в строках таблицы. Для этого в клетке пересечения столбца (Ф.И.О. кандидата) и строки соответствующего параметра поставьте оценку (от 1 до 7), которая, на Ваш взгляд, отражает степень выраженности данного параметра у этого кандидата.

Таблица 2 - экспертный лист.

№п/п

Параметр

И.И. Иванов

1

Уровень профессиональной подготовки. Обладает ли кандидат достаточными профессиональными знаниями и навыками в областях, специфичных для деятельности подразделения, в котором он работает?


2

Уровень знаний нормативных актов, регламентирующих деятельность подразделений. Обладает ли кандидат достаточными знаниями нормативных актов, использует ли в работе опыт отечественных и зарубежных организаций?


3

Знание способов решения профессиональных проблем. Насколько кандидат хорошо ориентируется, к кому и по каким вопросам следует обращаться, где получить необходимую информацию, в чьей компетенции разрешение возникающих проблем?


4

Умение работать с документами. Насколько хорошо кандидат знает правила составления и оформления деловых бумаг, ориентируется в том, какие документы следует готовить руководителю, какие поручать подчиненным?


5

Умение работать с людьми. Умеет ли кандидат четко и доходчиво изложить задание, своевременно проконтролировать его выполнение, ориентируется ли в деловых возможностях подчиненных или коллег?


6

Способность к деловому общению. Умеет ли кандидат выслушать и понять собеседника, достичь взаимопонимания и убедительно высказать свои мысли в беседе, выступлении?


7

Умение организовать эффективную работу группы. Насколько хорошо кандидат умеет ставить цели работы, распределять задания, планировать деятельность группы?


8

Ответственность. Насколько реалистична оценка кандидатом собственных возможностей? Всегда ли выполняет он взятые на себя обязательства?


9

Умение доводить дело до конца. Способен ли кандидат довести дело до конца без напоминаний, постоянного контроля со стороны руководителя?


10

Умение ориентироваться в сложной ситуации. Как ведет себя кандидат при возникновении непредвиденных, сложных ситуаций? Способен ли он правильно ориентироваться и принимать решения?



Условные обозначения:

балл - данное качество практически отсутствует,

7 баллов - качество максимально выражено.

Пример плана работы с резервом руководящих кадров организации приведен в табл. 3.

Таблица 3 - Требования, предъявляемые к должности руководителя подразделения

Требования к кандидату

Характеристика требования

Физические характеристики

СУЩЕСТВЕННО Здоровье. Способен работать много часов в интенсивном режиме

Навыки

СУЩЕСТВЕННО Умение рационально использовать время. Средние знания производственных процессов

Интеллект

ЖЕЛАТЕЛЬНО Выше среднего

Специальные знания

СУЩЕСТВЕННО Всесторонние знания по планированию деятельности. Знания по формированию и развитию коллектива. Умение эффективно вести переговоры


ЖЕЛАТЕЛЬНО Знание закономерностей взаимодействия с людьми

Интересы

ЖЕЛАТЕЛЬНО Практический интерес к завершению начатого дела. Стремление к применению различных методов управления в зависимости от ситуации

Особенности поведения

СУЩЕСТВЕННО Не ждет указаний. Принимает ответственность с готовностью. Способен противостоять давлению

Обстоятельства

ЖЕЛАТЕЛЬНО При необходимости готов к поездкам


Таблица 4 - Структура плана работы с резервом руководящих кадров

РАЗДЕЛЫ ПЛАНА РАБОТЫ С РЕЗЕРВОМ РУКОВОДЯЩИХ КАДРОВ И ИХ СОДЕРЖАНИЕ

Определение потребности в руководящих кадрах

Подбор и изучение руководящих кадров

Комплектова-ние, рассмотрение, согласование и утверждение резерва

Работа с резервом руководящих кадров

Контроль за подго-товкой резерва руководящих кадров

Определение готовности резерва руководя-щих кадров для назначения на должности

Изучение организационно-нормативных документов; нормативы формирования типовых структур управления, планы развития организации Разработка нового перечня руководящих должностей Проведение анализа состава и расстановки кадров Определение количества руководящих должностей Определение соответствующих деловых и личностных качеств кандидатов требованиям должности

Изучение должностных инструкций и положений Определение основных требований к руководящим работникам по каждой должности Подбор кандидатов для зачисления в резерв руководящих кадров на каждую должность Оценка деловых и личностных качеств кандидатов на руководящие должности

Рассмотрение предложений в резерв руководящих кадров Обоснование предложений по предполагаемому резерву Представление предложений директору Рассмотрение и утверждение состава резерва директором Ежегодный пересмотр резерва

Определение направлений подготовки лиц, зачисленных в резерв, с учетом степени подготовки каждого Разработка и утверждение индивидуальных планов подготовки Организация работы по выполнению индивидуальных планов Обеспечение временного замещения должности, на которую готовится кандидат из резерва, оценка его работы в период замещения и стажировки Обучение кандидатов из резерва в системе повышения квалификации вне рабочего места и в организации

Контроль в подразде-лениях Контроль со стороны директора Периоди-ческое рассмотре-ние хода подготовки резерва кадров директором

Определе-ние степени готовности резерва кадров по каждой должности и представле-ние предложений директору Анализ директором представ-ленных предло-жений Принятие по ним соответствую-щего решения


Планы кадрового резерва могут составляться в виде схем замещения, которые имеют разнообразные формы в зависимости от особенностей и традиций различных организаций. Схемы замещения представляют собой варианты схем развития организационной структуры, ориентированной на конкретные личности с различными приоритетами. В основе индивидуально ориентированных схем замещения лежат типовые схемы замещения. Они разрабатываются службами управления персоналом под организационную структуру и представляют собой вариант концептуальной модели ротации рабочих мест.

Работа с кадровым резервом в отечественных организациях имеет богатый опыт. Рассмотрим, как она проводится в России.

Основными критериями при подборе кандидатов в резерв являются:

·   соответствующий уровень образования и профессиональной подготовки;

·   опыт практической работы с людьми;

·        организаторские способности;

·        личностные качества;

·        состояние здоровья, возраст.

Источниками формирования резерва кадров являются: квалифицированные специалисты; заместители руководителей подразделений; руководители низового уровня; дипломированные специалисты, занятые на производстве в качестве рабочих.

В организациях РФ сложился определенный порядок отбора и зачисления в группу резерва кадров:

·   отбор кандидатов должен проводиться на конкурсной основе среди сотрудников в возрасте до 35 лет, положительно зарекомендовавших себя на практической работе и имеющих высшее образование;

·   решение о включении работников в группу резерва принимает специальная комиссия и утверждается приказом по организации;

·        для каждого работника (стажера) утверждается руководитель стажировки, который составляет индивидуальный план стажировки совместно со стажером;

·        руководители стажеров, включенных в группу резерва кадров, получают материальное вознаграждение за успешное прохождение стажером этапов системы служебно-профессионального продвижения;

·        стажеру устанавливается должностной оклад, соответствующий занимаемой им новой должности, но выше предыдущего оклада, причем на него распространяются все виды материального поощрения, предусмотренные для данной должности.

Все лица, зачисленные в резерв, подлежат учету в кадровых службах. В личные дела кандидатов на выдвижение подшиваются аттестационные листы, документы о повышении квалификации, обучении в институтах и на факультетах повышения квалификации, отчеты по результатам стажировок, характеристики, а также типовые планы профессионального роста сотрудников, зачисленных в резерв на руководящие должности (табл. 1.7).

В декабре каждого года во всех подразделениях службы управления персоналом совместно со специальными комиссиями проводят анализ расстановки руководящих кадров, а также состояния резерва на выдвижение. При этом оценивается деятельность каждого зачисленного в резерв работника за минувший год, принимается решение об оставлении его в составе резерва или об исключении. Исключение из резерва кадров может быть произведено в связи с неудовлетворительными показателями работы на вверенном участке по результатам аттестации, состоянию здоровья, из-за выхода на пенсию и т.п.

Выводы: Термин «развитие» означает любые мероприятия или процессы, способствующие полному раскрытию потенциала индивидуумов. Жизнь любого взрослого человека предоставляет ему многочисленные возможности для собственного развития, однако, здесь нас интересует в первую очередь развитие, помогающие людям более эффективно вносить свой вклад в работу своих организаций. Это почти всегда предполагает обучение - специализированные техники, непосредственно ориентированные именно на помощь людям в приобретении определенной компетентности.

В организациях РФ сложился определенный порядок отбора и зачисления в группу резерва кадров:

·   отбор кандидатов должен проводиться на конкурсной основе среди сотрудников в возрасте до 35 лет, положительно зарекомендовавших себя на практической работе и имеющих высшее образование;

·   решение о включении работников в группу резерва принимает специальная комиссия и утверждается приказом по организации;

·        для каждого работника (стажера) утверждается руководитель стажировки, который составляет индивидуальный план стажировки совместно со стажером;

·        руководители стажеров, включенных в группу резерва кадров, получают материальное вознаграждение за успешное прохождение стажером этапов системы служебно-профессионального продвижения;

·        стажеру устанавливается должностной оклад, соответствующий занимаемой им новой должности, но выше предыдущего оклада, причем на него распространяются все виды материального поощрения, предусмотренные для данной должности.

2. АНАЛИЗ СИСТЕМЫ ПРОФЕССИОНАЛЬНОГО РАЗВИТИЯ ПЕРСОНАЛА В СЛУЖБЕ ОРГАНИЗАЦИИ ПАССАЖИРСКИХ ПЕРЕВОЗОК ОАО «МЕЖДУНАРОДНЫЙ АЭРОПОРТ «ВНУКОВО»

 

.1 Общая характеристика предприятия и его структурного подразделения

 

Аэропорт Внуково - член европейского отделения Международного совета аэропортов (ACI Europe) .

Общая пропускная способность аэровокзалов Внуково - 6800 пассажиров в час. Ежегодно в аэропорту обслуживается около 120 тыс. рейсов, выполняемых более чем 200 авиакомпаниями России, стран СНГ и дальнего зарубежья.

Аэродромный комплекс Внуково располагает двумя пересекающимися взлетно-посадочными полосами: ВПП длиной 3000 м и 3060 м; ширина полос - 60 м. Пропускная способность двух ВПП - 45 взлетов/посадок в час. Режим работы аэропорта - 24 часа в сутки. Перрон аэродромного комплекса рассчитан на стоянку более 100 воздушных судов различных типов - от самолетов деловой авиации до лайнеров типа Boeing - 747 и Ил 86.

По классификации ICAO аэродрому Внуково присвоена II категория, что позволяет обеспечивать взлеты и посадки воздушных судов в условиях ограниченной видимости.

Аэропортовый комплекс Внуково отличается наиболее выгодным географическим положением среди аэропортов Московского авиационного узла (МАУ), в частности:

максимальной для аэропортов МАУ близостью к столице - аэропорт расположен в 11 км. от МКАД и 27 км. от центра Москвы;

аэропорт располагается на наиболее высокой для аэропортов МАУ точке - 205 м. над уровнем моря, что дает Внуково дополнительный приоритет при неблагоприятных погодных условиях, например, при образовании тумана;

для авиакомпаний, выполняющих рейсы в Москву с западных и юго-западных направлений, Внуково на 10-20 минут полетного времени ближе, чем другие аэропорты МАУ.

В 2001 <#"517419.files/image004.gif">

Рисунок 4 - стаж персонала.

Рисунок 5 - Возрастной состав.

Рисунок 6 - руководители высшего звена. Стаж работы.

В Компании действует коллективный договор, регулирующий социально-трудовые отношения работников. Основная цель заключения коллективного договора - повышение эффективности работы Компании, усиление социальной ответственности сторон за результаты производственно-экономической деятельности, обеспечение роста благосостояния и уровня социальной защиты работников.

 

.3 Практика профессионального развития персонала


Коллективный договор обеспечивает следующие социальные гарантии. В течение 2009 года согласно условиям коллективного договора:

. Своевременно выплачивалась заработная плата.

. Работники Компании направлялись на профессиональную подготовку и курсы повышения квалификации.

. Оказывалась помощь на погребение близких родственников.

. Предоставлялись дни с оплатой по тарифной сетке (не более трех) на погребение близких родственников, на бракосочетание (впервые).

. Выплачивались единовременные пособия (материальная помощь) за счет средств Компании, сверх установленного законодательством Российской Федерации, в связи с рождением ребёнка.

. Предоставлялся 1-го сентября - один день без сохранения заработной платы матерям, дети которых обучаются в начальной школе.

. Работники обеспечивались форменной одеждой и спецодеждой по существующим нормам.

. Стабильная работа Компании и благополучие работников взаимосвязаны, стороны заинтересованы в создании и поддержании гармоничных отношений, атмосферы взаимопонимания и доверия на основе норм корпоративной этики на всех уровнях социально-партнёрских отношений, поиске путей решений возникающих спорных вопросов путем переговоров.

Предлагается рассматривать социально-ориентированную кадровую политику как наиболее эффективный метод управления персоналом в условиях занятости, определяющий стратегию и тактику управления персоналом, соответствующих миссии и целям организации, отражающий задачи, функции, принципы и методы управления человеческими ресурсами, направленный на реализацию ожиданий сотрудников и организации, конкретизирующий социальную ответственность в регионах присутствия. Место социально-ориентированной кадровой политики в организации показано на рисунке 7.

Рис. 7. Место социально-ориентированной кадровой политики в организации

В связи со сменой условий по заработной плате (половина ставки), имеет смысл корректировки некоторых аспектов компенсационного пакета.

Во-первых, тарифная ставка или оклад.

Во-вторых, ввести доплату за условия и интенсивность труда, которая будет рассчитываться в процентах к часовой ставке соответствующего наименования профессии, присвоенного разряда, наименования должности. Это даст частичную компенсацию за работу с неблагоприятными условиями, и, соответственно, улучшит условия труда.

В-третьих, внедрить стимулирующие выплаты, связанные с трудовой деятельностью работников, материальную помощь. Размеры и условия выплаты материальной помощи работникам Службе организации пассажирских перевозок ОАО «Международный аэропорт «Внуково» по различным основаниям определяются положениями, утвержденными в установленном порядке, и должны выплачиваться в пределах средств, предусмотренных на эти цели сметой.

В первый месяц рекомендуется премии не выплачивать никому. Это намеренная «провокация» с целью привлечь к проекту внимание всех сотрудников. При этом необходимо разъяснить сотрудникам, какими причинами вызваны преобразования и как изменится система оплаты труда. К концу месяца сотрудники должны ознакомиться с новыми финансовыми планами, а также с методикой расчета премий.

Ежемесячные премии нужно увязать как с личными результатами работы сотрудников, так и с итогами деятельности предприятия в целом. Плановый (максимальный) премиальный фонд рассчитывается ежеквартально по каждому подразделению как доля от суммы должностных окладов его персонала (по штатному расписанию) и полагающихся надбавок.

Для каждого сотрудника Службе организации пассажирских перевозок ОАО «Международный аэропорт «Внуково» должен быть разработан перечень и заданы целевые значения количественных и качественных показателей эффективности деятельности. Для каждого показателя определены коэффициенты, применяемые для ежемесячной корректировки планового премиального фонда подразделения.

В случае если по истечении месяца один из показателей не достиг планового значения (не важно, по чьей вине), соответствующий ему коэффициент принимается равным нулю. Если же план превышен, в соответствие показателю ставится тот же коэффициент, что и при выполнении плана.

Для руководства компании, финансовой службы, а также других подразделений, выполняющих контрольные и управленческие функции, размер ежемесячной премии определяется как средний процент премий по всем сотрудникам за данный месяц. Например, если в январе все службы получили премии в размере 40% от их суммарных окладов, то и дирекции полагается также 40%.

Так же для оценки вклада каждого сотрудника в результаты деятельности компании введем коэффициент трудового участия (КТУ). Его размер ежемесячно определяется руководителем. Если в течение месяца сотрудник своевременно и качественно выполнял порученную работу, не нарушал трудовой и производственной дисциплины, его КТУ равен единице. В иных случаях используем так называемые понижающие и повышающие факторы (таблица 6). Максимально возможный размер КТУ составляет 1,5. Руководитель доводит до сведения своих подчиненных их итоговые КТУ и поясняет, по каким причинам они изменились по сравнению с предыдущим периодом.

 

Таблица 2.6 Перечень повышающих и понижающих факторов при определении КТУ

Факторы

Влияние на КТУ

Понижающие

Невыполнение, несвоевременное и некачественное выполнение приказов, распоряжений, указаний руководителей

от -0,2 до -1,0

Наличие жалоб и претензий к качеству обслуживания со стороны клиентов

от -0,5 до -1,0

Несвоевременное и некачественное представление отчетности, иных документов

от -0,5 до -1,0

Искажение отчетности, приписки и ошибки

от -0,5 до -1 ,0

Нанесение материального ущерба, хищение, кража

-1,0

Повышающие

Наставничество, консультирование, шефская помощь

до +0,3

Самостоятельное решение сложных и важных вопросов

от +0,1 до +0,3

Увеличение доходов за счет договорной и претензионной работы

+0,3 до +0,3

Сокращение дебиторской задолженности

до +0,3

Кроме коэффициентов трудового участия при распределении премиального фонда между сотрудниками во внимание берутся также сверхурочные, ночные дежурства, замещение отсутствующих сотрудников, уровень квалификации, использование в работе специальных навыков (таблица 8 будет приведена ниже). Каждому из перечисленных факторов поставлены в соответствие определенные коэффициенты, влияющие на итоговый размер премии каждого сотрудника.

Кроме ежемесячных премий на предприятии предлагается также целевые. Они выплачиваются за особые трудовые заслуги или рационализаторские предложения и призваны стимулировать работников к более активной и инициативной трудовой деятельности. Среди целевых премий: единовременное поощрение за выполнение особо важных производственных заданий; премирование за проявленную инициативу (рационализаторское предложение).

Если предложение оценивается руководством как нецелесообразное и отклоняется, его автор получает устную благодарность; как целесообразное, но не подлежащее внедрению из-за несвоевременности или отсутствия для этого необходимых условий - благодарность и единовременную премию (не больше 1000 руб.). Если же предложение принимается к реализации, его автору полагается вознаграждение. В этом случае размер целевой премии зависит от характера применения предложения (разовое/постоянное) и величины экономического эффекта, полученного от его реализации.

Кроме того, в Службе организации пассажирских перевозок ОАО «Международный аэропорт «Внуково», как и в других организациях должна быть гибкая система отпусков для всего персонала, а не только для руководителей. При добросовестном и преданном отношении к работе никто не позволит себе задерживаться надолго. Обязательно надо делать исключения для отпусков по уважительным причинам.

В Службе организации пассажирских перевозок ОАО «Международный аэропорт «Внуково» также, как и в других службах предприятия предусматривается напрвление сотрудников на курсы повышения квалификации в специализированные учебные центры ГА при аэропортах и институтах. После обучения и повышения квалификации работникам успешно прошедшим их предоставляется карьерный рост. (подробнее)

В Службе организации пассажирских перевозок ОАО «Международный аэропорт «Внуково» существует только минимальный социальный пакет у сотрудников. Для расширения можно предложить:

-   компенсация расходов на содержание детей в детских учреждениях;

-       программы социальной защиты ( обязательные -государственные и добровольные в том числе и медицинское страхование);

-       подарок по случаю свадьбы или рождения ребёнка работника;

-       дополнительные льготы (общедоступные и для отдельных категорий лиц: корпоративный транспорт, стоянка, питание льготное, компенсация проезда, учеба за счет компании, телефон, ссуды, подарки.

Внедрение новых показателей премирования и расширение социального пакета Службе организации пассажирских перевозок ОАО «Международный аэропорт «Внуково» (Таблица 7).

Таблица 7 - Расчет месячной премии сотрудникам с занятостью

Порядок расчета

Сотрудник № 1

Сотрудник № 2

Сотрудник № 3

Исходные данные



Минимальный оплата при условиях ставки, руб.

10 000

10 000

10 000

Должностной оклад, руб.

15 000

5 000

5 000

Коэффициент базового должностного оклада

1,5

1,0

1,0

Отработано за месяц, дней



План

22

11

11

Факт, в т. ч.

22

11

11

ночные смены

0

0

0

Коэффициенты оценки трудового вклада



Коэффициент отработанного времени

1,0

1,0

1,0

Коэффициент должностного оклада за текущий месяц

1,5

1,0

1,0

Коэффициент совмещения

1,0

1,0

1,0

Коэффициент ночных смен

1,0

1,0

1,0

Коэффициент прочих надбавок

1,0

1,0

1,0

КТУ

1,5

1,7

1,4

Коэффициент замещения отсутствующих сотрудников

0

0

0

Результирующий коэффициент

2,25

1,7

1,4

Фактический премиальный фонд подразделения на данный месяц, руб.

25 000

Распределение премии, руб.

10514

7944

6542


Внедрение новых показателей премирования и расширение социального пакета Службе организации пассажирских перевозок ОАО «Международный аэропорт «Внуково» по предварительным оценкам увеличит удовлетворенность трудом через повышение уровня организации труда, увеличит безопасность сотрудников. Что в последующем приведем к повышению трудовой активности всех категорий сотрудников.

В последствии внедрения проектных предложений и их эффективности в использовании, предлагается реализовать мероприятия на всем предприятии Службы организации пассажирских перевозок ОАО «Международный аэропорт «Внуково».

3. СОВЕРШЕНСТВОВАНИЕ СИСТЕМЫ ПРОФЕССИОНАЛЬНОГО РАЗВИТИЯ ПЕРСОНАЛА В СЛУЖБЕ ОРГАНИЗАЦИИ ПАССАЖИРСКИХ ПЕРЕВОЗОК ОАО «МЕЖДУНАРОДНЫЙ АЭРОПОРТ «ВНУКОВО»

3.1 Оценка эффективности организационного проекта


Так как сделать расчет влияния на финансовые результаты Дирекции правления Службы организации пассажирских перевозок ОАО «Международный аэропорт «Внуково» не представляется возможным в связи отсутствием отдельных финансовых результатов отдельно от головного предприятия, то расчет будет произведен в целом.

Обоснованные выводы об эффективности работ в области управления персоналом дает подход к оценке через стоимость затрат предприятия на рабочую силу (3). Действительно, чтобы процесс труда состоялся, предприятие должно пойти на существенные издержки. На различных предприятиях стоимость единицы труда Сi далеко не одинакова, поскольку различен объем затрат на рабочую силу:

С = 3 : Т                                 (1)

С организацией соответствующего учета на предприятии можно рассчитать показатель, характеризующий объем услуг (или прирост объема услуг), приходящийся на 1 руб. затрат на рабочую силу (Ф). Этот показатель определяется:

а) либо как частное от деления объема произведенной услуг в стоимостном выражении (в текущих ценах) на объем затрат на рабочую силу:

Ф = Оп : 3                              (2)

б) либо путем деления уровня производительности труда (в стоимостном выражении) на величину издержек, приходящихся на ту же единицу затрат труда:

Ф = Пт : Ст.                                     (3)

По аналогии с известным показателем фондоемкости услуг можно рассчитать показатель, представляющий собой «удельную затратоемкость услуг», где в качестве затрат принимаются издержки предприятия на содержание рабочей силы (Ур):

Ур = 3 : Оп                                               (4)

Показатель удельной затратоемкости Ур является обратным по отношению к показателю объема услуг в расчете на 1 руб. затрат Ф и характеризует затраты на рабочую силу (в руб.), необходимые для получения 1 руб. услуг.

В таблице 8 приведены расчеты показателей эффективности:

 

Таблица 8 - Динамика эффективности использования трудовых ресурсов

Показатель

Алгоритм расчета

Отчетный (2008 г)

Проект (2010г)

Абсолютный прирост, +/-

Относительный прирост, %

Стоимость затрат предприятия на единицу рабочей силы, тыс.руб.

С = 3 : Т

81,71

81,00

-0,71

-0,9%

Объем услуг, приходящийся на 1 руб. затрат на рабочую силу, тыс. руб.

Ф = Оп : 3

22,14

26,58

4,44

20,0%

Удельная затратоемкость услуг, тыс. руб.

Ур = 3 : Оп

0,05

0,04

-0,01

-16,7%

Динамика показателя объема услуг в расчете на рубль затрат на рабочую силу Ф позволяет контролировать изменение эффективности этих затрат: рост выпуска услуг на единицу затрат говорит об их целесообразности. При снижении отдачи затрат необходим анализ причин, чтобы выяснить влияние как внешних, так и внутренних факторов, рационально ли использовало созданный благодаря произведенным затратам трудовой потенциал своих работников само предприятие. Зависимость между издержками на рабочую силу в расчете на единицу затрат труда Ст и объемом услуг в расчете на единицу затрат на рабочую силу Ф показана в таблице 8 и на рисунок 8.

 

Таблица 9 - Соотношение показателей эффективности, тыс. руб.

Показатель

2006 год

2007 год

2008 год

Проект 2010 год

Проект 2011 год

Ст

75,90

76,98

81,71

81,00

78,91

Ф

17,33

18,60

22,14

26,58

30,67


Рисунок 9 Соотношение показателей эффективности трудовых ресурсов


Совершенствование методов экономического стимулирования персонала предприятия должно основываться на установлении зависимости между оплатой труда и уровнем доходов предприятия, а так же эффективностью труда самого работника.

Оценивая экономическую эффективность внедрения разработанной системы оплаты труда, отметим, что основной экономический показатель, на который воздействует новая система мотивации труда - это производительность персонала на протяжении цельного производственного процесса. Рост производительности труда, дополнительной занятости работников в периоды увеличения емкости спроса при существующем технологическом процессе позволит увеличить объемы производства и сбыта услуг. В результате введения новой системы стимулирования повысится мотивированность персонала, производительность труда и объемы производства.

Приведем основные положения теории матричного моделирования сбалансированных изменений. При прочих равных условиях:

) индекс изменения численности персонала должен быть меньше индекса изменения стоимости основных фондов;

) индекс изменения стоимости основных фондов должен быть меньше индекса изменения себестоимости товарной (реализованной) услуг;

) индекс изменения себестоимости товарной (реализованной) услуг должен быть меньше индекса изменения объема выпуска (реализации) услуг;

) индекс изменения объема выпуска (реализации) услуг должен быть меньше индекса изменения прибыли от производства (реализации) услуг;

) индекс изменения прибыли от производства (реализации) услуг должен быть меньше индекса изменения рыночной капитализации компании.

Иначе говоря, должно выполняться неравенство:

< I2 < I3 < I4 < I5 < I6,                              (5)

где I1, I2, I3, I4, I5, I6 - соответственно индексы изменения численности персонала, стоимости основных фондов, себестоимости услуг, объема производства (реализации) услуг, прибыли от производства (реализации) услуг, рыночной стоимости чистых активов компании.

Соблюдение условия (1) <../AppData/Маха/Local Settings/Temporary Internet Files/Content.IE5/1PB45795/20системы профессионального развития персонала в структрном подразделении организвции (на примере ОАО Международный аэропорт Внуково)%5b1%5d.doc> обеспечивает предприятию его развитие на интенсивной основе, то есть гарантирует улучшение всех основных экономических показателей его работы: рост производительности труда и фондоотдачи, рост всех показателей рентабельности (услуг, продаж, фондов), снижение затрат на 1 руб. товарной (реализованной) услуг

Условие (1) <../AppData/Маха/Local Settings/Temporary Internet Files/Content.IE5/1PB45795/20системы профессионального развития персонала в структрном подразделении организвции (на примере ОАО Международный аэропорт Внуково)%5b1%5d.doc> может быть формализовано в виде одной из матричных моделей, содержащей 5 исходных показателей.

Рассчитаем матрицу предприятия на основе 5 исходных показателей, относящихся к двум сравниваемым периодам - базисному (подстрочный индекс «0») и рассматриваемому (индекс «1»):

·   численности персонала, чел, (соответственно L0 и L1);

стоимости основных производственных фондов, тыс. руб. (K0 и К1);

себестоимости товарной (реализованной) услуг, тыс. руб. (C0 и С1);

объема производства (реализации) услуг, тыс. руб. (V0 и V1).

Включенный в матрицу показатель прибыли является расчетным:

= V0 - С0 и P1 = V1 - C1 - прибыль от производства (реализации) услуг соответственно в базисном и рассматриваемом периодах, тыс. руб.

При построении матрицы были использованы следующие фактические данные за 2008 (факт) и 2009 (план с учетом предлагаемых изменений):

) L0 = 76 чел.; L1 = 79 чел., I1 = L1 / L0 = 1,22;

) К0 = 241 721 тыс. руб.; К1 = 296 692 тыс. руб.; I2 = K1 / К0 = 1,23;

) С0 = 613 122 тыс. руб.; С1 = 758 513 тыс. руб.; I3 = C1 / С0 = 1,24;

) V0 = 700 643 тыс. руб.; V1 = 898 052 тыс. руб.; I4 = V1 / V0 = 1,28;

) Р0 = 87 521 тыс. руб.; Р1 = 139 539 тыс. руб.; I5 = P1 / Р0 = 1,59.

Данные показатели внесены в указанной последовательности в верхнюю строку (делимое) и в левый столбец (делитель) матрицы. Результаты деления обозначены символами из двух цифр, первый из которых относится к делимому, а второй к делителю; всего в матрице представлено 75 различных показателей (включая 5 исходных). Все показатели, расположенные выше «единичной» диагонали, больше 1,0 (соответственно, обратные им показатели, расположенные ниже «единичной» диагонали, меньше 1,0), что свидетельствует об интенсивном использовании предприятием своих ресурсов, то есть о выполнении сформулированного выше условия (1) <../AppData/Маха/Local Settings/Temporary Internet Files/Content.IE5/1PB45795/20системы профессионального развития персонала в структрном подразделении организвции (на примере ОАО Международный аэропорт Внуково)%5b1%5d.doc>.

Вышеупомянутые следствия, касающиеся производных индексов матрицы, суть таковы: при соблюдении условия (1) <../AppData/Маха/Local Settings/Temporary Internet Files/Content.IE5/1PB45795/20системы профессионального развития персонала в структрном подразделении организвции (на примере ОАО Международный аэропорт Внуково)%5b1%5d.doc> производные индексы матрицы Романенко-Румянцева возрастают:

-       по каждой строке матрицы при движении слева направо;

-       по каждому столбцу матрицы при движении снизу вверх.

Так, приведенное матричное построение удовлетворяет условию (1) <../AppData/Маха/Local Settings/Temporary Internet Files/Content.IE5/1PB45795/20системы профессионального развития персонала в структрном подразделении организвции (на примере ОАО Международный аэропорт Внуково)%5b1%5d.doc>, поскольку I1 = 1,22 < I2 = 1,23 < l3 = 1,24 < l4 = 1,28 < 15 = 1,59, в силу чего, например, и индексы первой строки возрастают при движении слева направо.

Анализируя внутрифирменные соотношения, описываемые условием (1) <../AppData/Маха/Local Settings/Temporary Internet Files/Content.IE5/1PB45795/20системы профессионального развития персонала в структрном подразделении организвции (на примере ОАО Международный аэропорт Внуково)%5b1%5d.doc>, нетрудно заметить, что они подвержены влиянию внешней среды как со стороны рынка труда (влияние на индекс I1), так и со стороны рынка производимых товаров, выполняемых работ, оказываемых услуг (влияние на индекс I4).

Влияние рынка товаров на численность персонала предприятия, а также на фонд оплаты его труда осуществляется опосредованно, в результате изменения спроса на выпускаемую предприятием продукцию. При этом механизм формирования цен на товарных рынках во многом напоминает механизм формирования равновесных рыночных ставок по оплате труда.

На основе теории матричного моделирования экономически эффективного развития могут быть даны следующие практические рекомендации.

. Осуществляя те или иные изменения на предприятии (в организации), необходимо учитывать, что все экономические показатели находятся не только во взаимной связи, но в соподчиненности - такой, что величина изменения одного из показателей определяет допустимые границы изменения других показателей.

. Так как показатели по труду и заработной плате являются первыми во всех индексах цепях матрицы эффективности, то:

-       для стратегии роста все исходные показатели матрицы (капитал, себестоимость, объем продаж, рыночная капитализации) должны расти быстрее, чем показатели по труду;

-       и, наоборот, для стратегии сокращения - показатели по труду и заработной плате должны снижаться быстрее любого другого исходного показателя матрицы.

. При любой стратегической альтернативе необходимо заранее прогнозировать допустимые границы изменений, обеспечивая социальную устойчивость компании как управляемой системы.

В результате анализа, сделали вывод:

) Соблюдено условие 1. Так как показатели по труду и заработной плате являются первыми во всех индексах цепях матрицы эффективности, то:

для стратегии роста все исходные показатели матрицы (капитал, себестоимость, объем продаж, рыночная капитализации) растут быстрее, чем показатели по труду; что говорит нам об эффективности нововведений для предприятия.

В формировании мотивации работников, повышении их самовыражения в работе, особое место занимает социальная политика предприятия. Во-первых, на предприятии реализуются льготы и гарантии в рамках социальной защиты работников (социальное страхование по старости, по случаю временной нетрудоспособности, безработицы и др.), установленные на государственном или региональном уровне.

Во-вторых, предприятия предоставляют своим работникам и членам их семей дополнительные льготы, относящиеся к элементам материального стимулирования, за счет выделенных на эти цели средств из фондов социального развития предприятия. Предоставление дополнительных льгот и услуг социального характера, сверх обязательных выплат проводится либо по инициативе администрации, действительно воплощающей в жизнь принципы социальной кадровой политики.

Таким образом, социальная политика предприятия (организации), как составная часть менеджмента представляет собой мероприятия, связанные с предоставлением своим работникам дополнительных льгот, услуг и выплат социального характера.

Заинтересованность работников в работе на предприятии и его успешной экономической деятельности тем выше, чем больше количество предоставляемых предприятием льгот и услуг и чем больше их величина установленного законом размера. При этом сокращается текучесть кадров, т.к. работник вряд ли захочет терять многочисленные льготы при увольнении. Такая политика может обеспечивать существование работников в случае невысокого уровня заработной платы, или предлагаться в интересах привлечения и сохранения квалифицированной рабочей силы.

Хотя дополнительные выплаты и гарантии такого рода, несомненно, увеличивают расходы предприятия на рабочую силу, удорожая стоимость единицы труда, но в то же время очевидны положительные стороны социальной политики (повышение мотивации труда, стабилизации коллектива и других). Таким образом, Социально - ориентированная кадровая политика предприятия выгодна всем участникам и сторонам коллективного процесса труда.

3.2 План внедрения проектных мероприятий


. Издания приказа по предприятию о подготовке к переходу на новую модель оплаты труда. (у Вас тема об обучении, резерве, аттестации=это проф.развитие)

Там излагаются основные причины перехода на новую систему оплаты труда, главные мероприятия, которые необходимо провести, с указанием сроков и ответственных за их выполнение, утверждается состав комиссии по проведению подготовительной работы.

2 Определение средней оплаты труда для каждого работника предприятия.

На втором этапе необходимо определить коэффициент для каждого работника. Так как на предприятии существует развитая система доплат и поощрении, то все они должны учитываться при определении качества труда.

3 Определение ставки, расчет коэффициентов и шкал продуктивности для каждого работника.

Для определения коэффициента работника учитываются следующие основные выплаты:

-       оплата по должностным окладам - для специалистов, служащих, руководителей;

-       премии за основные результаты деятельности, выплаченные работникам по действующим системам премирования;

-       надбавки за работу в многосменном режиме (если работники систематически работают посменно);

-       доплаты за совмещение профессий, расширение зон обслуживания и аналогичные им выплаты; доплаты за повышенную интенсивность труда;

-       доплаты за условия труда (если они не включены в тарифные ставки и расценки и учитываются отдельно).

Все остальные выплаты - оплата за выслугу лет, доплаты за работу в неблагоприятных климатических условиях (районный коэффициент), оплата сверхурочных работ, оплата простоя не по вине работника, доплаты за отклонения от условий работы, предусмотренных технологическим процессом и аналогичные им выплаты - не учитываются при исчислении коэффициента квалификационного уровня.

4 Определение «вилок» соотношении в оплате труда разного качества (работников разных квалификационных групп предприятия).

Затем разрабатывается макет штатного расписания с диапазоном «вилок» оплаты труда для всех штатных единиц предприятия. Все работники предприятия проходят аттестационную комиссию и каждому присваивается базовый коэффициент. По всем подразделениям предприятия раздаются опросные листы, с целью выявления критериев дооценки трудового вклада работников. На основании опросных листов для каждого подразделения разрабатывается и утверждается система критериев повышающих и понижающих базовый коэффициент квалификационного уровня работников данного подразделения (таблица 10).

 

Таблица 10 - Система критериев дооценки трудового вклада специалистов

Основные показатели, повышающие базовый коэффициент

Основные показатели, понижающие базовый коэффициент

Высокий уровень выполнения производственного задания;

Некачественное выполнение производственных заданий;

Срочность выполнения внеплановых заданий;

Нарушение правил техники безопасности;

Творческий подход к выполнению заданий;

Нарушение трудовой и производственной дисциплины;

Инициативность, проявленная при выполнении работ.

Несвоевременное выполнение предписаний; приказов, распоряжений.

Целесообразно организовать в отделах выборную «тройку» представителей трудового коллектива для рассмотрения и утверждения дооценки трудового вклада каждого работника.

. Проведение аттестационной комиссии для установления базового коэффициента квалификационного уровня для каждого работника.

. Утверждение нового штатного расписания.

. Определение критериев, показателей и условий, повышающих и понижающих базовый коэффициент квалификационного уровня.

. Издание приказа о переходе на новую модель оплаты труда, разработка положения о системе заработной платы, его утверждение.

. Разработка учебной программы для работников предприятий, проведение «классов» по изучению концепции модели оплаты труда и практических методик расчета заработной платы. Очень важно донести до каждого работника основы новой организации труда для этого необходимо провести классы экономической учебы.

Анализ эффективности новой организации оплаты труда, разработка, если необходимо, дополнительных мероприятий. Последним этапом внедрения новой оплаты труда является анализ эффективности организации оплаты труда. На основании проведенного анализа разрабатываются дополнительные мероприятия по совершенствованию бестарифной организации оплаты труда с учетом первых результатов ее использования на практике и изучения мнения работников предприятия об эффективности данной модели. В Службе организации пассажирских перевозок ОАО «Международный аэропорт «Внуково» следует уделять особое внимание организации труда, так как соблюдение принципов рациональной организации работы является основой нормального ведения финансово-хозяйственной деятельности с наиболее благоприятными экономическими показателями.

Нематериальное стимулирование задействует психологические, социальные аспекты трудовых отношений. Оно позволяет повысить эффективность работы за счет:

-   создания условий для межличностных контактов в процессе труда;

-       создания «единой команды»;

-       периодических совещаний с участием работников;

-       высокой оценки и поощрения достигнутых результатов;

-       открытых и доверительных отношений руководителя и работников;

-       систематического, точного информирования коллектива о производственно-экономической ситуации предприятия, его перспективах, планах.

Повышают статус работника в его собственных глазах и в коллективе выполнение содержательных, творческих, сложных, важных заданий, требующих полной отдачи, а также привлечение подчиненных к процессу управления предприятием, делегирование прав и полномочий, стимулирование карьерного роста подчиненных, плановое обучение и переподготовка.

На наш взгляд, в системе нематериальной мотивации и стимулирования персонала должны учитываться социальные, морально-этические требования работников, их ожидания и потребности в моральном поощрении, признании заслуг. Почетные грамоты, призы - традиционные, хорошо зарекомендовавшие себя формы нематериального поощрения, которые могут использоваться в Службе организации пассажирских перевозок ОАО «Международный аэропорт «Внуково».

Для данного предприятия перспективно применять формы привлечения персонала к процессу управления предприятием посредством делегирования полномочий в процессе работы группы по развитию (по управлению качеством продукта) или проектной группы представителей функциональных служб, организованной по принципу матричной системы управления для выполнения конкретных задач. Эти формы позволяют принимать оперативные и взвешенные решения по модернизации технологического цикла, повышению качества товара, улучшению ассортимента и приемов продвижения услуг. Благодаря таким методам наиболее полно раскрывается потенциал работника; изменения ассортиментного ряда услуг предприятия происходят значительно быстрее и с меньшим количеством неправильных и дорогостоящих решений. Более того, часто только таким методом удается разрешить клубок текущих проблем на нашем динамичном предприятии с круглосуточным режимом работы и доставки.

Все работники нуждаются в позитивной оценке своего труда и рассчитывают на это. Вручение поздравительных писем или просто одобрение работников может способствовать лучшей производительности. Производительность тех работников, которые стремятся к успеху, может быть повышена путем расширения круга выполняемых задач или их обогащения. Включение работников в программы комплексного управления качеством положительно сказывается на приверженности сотрудников своей работе.

Все большую озабоченность, особенно среди женщин Службы организации пассажирских перевозок ОАО «Международный аэропорт «Внуково», вызывает потребность в согласовании семейной и личной жизни. К неденежным мотивам, значимым для сотрудниц с маленькими детьми, относится создание в организации специальной службы по уходу за детьми. Возможность воспользоваться ее услугами экономит время родителей, которое обычно тратится на дорогу, когда детские учреждения находятся за пределами организации.

Использование гибкого графика рабочего времени является другим мотивом, способным повысить производительность труда персонала. Такая мера будет работать только в том случае, если индивиды, работающие по гибкому графику, заслуживают доверия и ответственны.

К потребности ощущать себя здоровыми можно подойти творчески, обеспечивая работников абонементами в спортивные залы, организуя мониторинг состояния их здоровья и направляя в соответствующие медицинские учреждения.

Подводя итог, отметим, что применение разных способов мотивации работников в условиях занятости позволяет значительно повысить успех работы предприятия и сделать более определенными перспективы его развития.

Оценивая экономическую эффективность внедрения разработанной системы оплаты труда, отметим, что основной экономический показатель, на который воздействует новая система мотивации труда - это производительность персонала на протяжении цельного производственного процесса. Рост производительности труда, дополнительной занятости работников в периоды увеличения емкости спроса при существующем технологическом процессе позволит увеличить объемы производства и сбыта услуг. В результате введения новой системы стимулирования повысится мотивированность персонала, производительность труда и объемы производства.

Заключение


Система управления персоналом неотделима от системы управления организаций, так как первое включает не только функциональное подразделения, занимающиеся работой с персоналом, но и всех линейных руководителей - от директора до бригадира, а также руководителей функциональных подразделений, выполняющих функции технического, производственного, экономического руководства и т.п. Таким образом, система управления персоналом является стержнем системы управления любой организации.

Анализ системы управления персоналом объекта исследования позволяет сделать следующие выводы:

Анализ квалификационного состава показал, что в целом персонал высококвалифицированный и с опытом работы от 5 до 9 лет по специальности.

По уровню принципиальной ориентации на собственный персонал или на внешний персонал, степени открытости по отношению к внешней среде при формировании кадрового состава кадровую политику Внуково можно определить как открытую.

Средства на обучение и стажировку резерва предусматриваются в смете на подготовку кадров. Контроль за формированием резерва кадров Внуково и его подготовкой осуществляет замдиректора по кадрам.

Для принятия Внуково решения о приеме на работу кандидат должен пройти несколько ступеней отбора.

Ступень 1 Предварительная отборочная беседа.

Ступень 2 Заполнение бланка заявления.

Ступень 3 Беседа по найму (интервью).

Ступень 4 Проверка рекомендаций и послужного списка.

Ступень 5 Принятие решения.

Основной формой стимулирования была признана повременно-премиальная оплата труда.

Организационным и содержательным центром подготовки сотрудников является учебный Центр, который, в тесной связке с руководителями подразделений, кадровой службой организует весь цикл обучения на учебный (календарный) год.

Процесс адаптации персонала Внуково игнорируется.

Аттестация определяет количественную и качественную меру соответствия работников занимаемой должности, возможность передвижения на новую ступень карьерной лестницы или на другую работу.

В результате предложенных мероприятий делаем выводы:

В связи со сменой условий по заработной плате (половина ставки), имеет смысл корректировки некоторых аспектов компенсационного пакета.

Во-первых, тарифная ставка или оклад. Проанализировав размер оклада различных специальностей и профессий видно, что разброс велик.

Во-вторых, ввести доплату за условия и интенсивность труда, которая будет рассчитываться в процентах к часовой ставке соответствующего наименования профессии, присвоенного разряда, наименования должности. Это даст частичную компенсацию за работу с неблагоприятными условиями, и, соответственно, улучшит условия труда.

В-третьих, внедрить стимулирующие выплаты, связанные с трудовой деятельностью работников, материальную помощь. Размеры и условия выплаты материальной помощи работникам Внуково по различным основаниям определяются положениями, утвержденными в установленном порядке, и должны выплачиваться в пределах средств, предусмотренных на эти цели сметой.

Внедрение новых показателей премирования и расширение социального пакета в Службе организации пассажирских перевозок ОАО «Международный аэропорт «Внуково» по предварительным оценкам увеличит удовлетворенность трудом через повышение уровня организации труда, увеличит безопасность сотрудников. Что в последующем приведем к повышению трудовой активности всех категорий сотрудников.

В последствии внедрения проектных предложений и их эффективности в использовании, предлагается реализовать мероприятия на всем предприятии .

На основе теории матричного моделирования экономически эффективного развития могут быть даны следующие практические рекомендации.

. Осуществляя те или иные изменения на предприятии (в организации), необходимо учитывать, что все экономические показатели находятся не только во взаимной связи, но в соподчиненности - такой, что величина изменения одного из показателей определяет допустимые границы изменения других показателей.

. Так как показатели по труду и заработной плате являются первыми во всех индексах цепях матрицы эффективности, то:

-       для стратегии роста все исходные показатели матрицы (капитал, себестоимость, объем продаж, рыночная капитализации) должны расти быстрее, чем показатели по труду;

-       и, наоборот, для стратегии сокращения - показатели по труду и заработной плате должны снижаться быстрее любого другого исходного показателя матрицы.

. При любой стратегической альтернативе необходимо заранее прогнозировать допустимые границы изменений, обеспечивая социальную устойчивость компании как управляемой системы.

В результате анализа, сделали вывод:

) Соблюдено условие 1. Так как показатели по труду и заработной плате являются первыми во всех индексах цепях матрицы эффективности, то:

для стратегии роста все исходные показатели матрицы (капитал, себестоимость, объем продаж, рыночная капитализации) растут быстрее, чем показатели по труду; что говорит нам об эффективности нововведений для предприятия.

В формировании мотивации работников, повышении их самовыражения в работе, особое место занимает социальная политика предприятия. Во-первых, на предприятии реализуются льготы и гарантии в рамках социальной защиты работников (социальное страхование по старости, по случаю временной нетрудоспособности, безработицы и др.), установленные на государственном или региональном уровне.

Во-вторых, предприятия предоставляют своим работникам и членам их семей дополнительные льготы, относящиеся к элементам материального стимулирования, за счет выделенных на эти цели средств из фондов социального развития предприятия. Предоставление дополнительных льгот и услуг социального характера, сверх обязательных выплат проводится либо по инициативе администрации, действительно воплощающей в жизнь принципы социальной кадровой политики.

Таким образом, социальная политика предприятия (организации), как составная часть менеджмента представляет собой мероприятия, связанные с предоставлением своим работникам дополнительных льгот, услуг и выплат социального характера.

Нематериальное стимулирование задействует психологические, социальные аспекты трудовых отношений. Оно позволяет повысить эффективность работы за счет:

-   создания условий для межличностных контактов в процессе труда;

-       создания «единой команды»;

-       периодических совещаний с участием работников;

-       высокой оценки и поощрения достигнутых результатов;

-       открытых и доверительных отношений руководителя и работников;

-       систематического, точного информирования коллектива о производственно-экономической ситуации предприятия, его перспективах, планах.

Повышают статус работника в его собственных глазах и в коллективе выполнение содержательных, творческих, сложных, важных заданий, требующих полной отдачи, а также привлечение подчиненных к процессу управления предприятием, делегирование прав и полномочий, стимулирование карьерного роста подчиненных, плановое обучение и переподготовка.

Список использованных источников и литература

Источники

Опубликованные

1.  Конституция РФ (принята всенародным голосованием 1993г.) // РГ. - 1993. - № 237.

2.  Трудовой кодекс Российской Федерации от 30.12.2001 № 197-ФЗ(ред. от 28.02.2008г.) // СЗ РФ. - 2002. - № 1. - Ст. 3.

3.  Гражданский кодекс РФ (часть первая) от 30.11.1994 № 51-ФЗ // СЗ РФ. - 1994. - № 32. - Ст. 330.

.    Гражданский кодекс РФ (часть вторая) от 26.01.1996г. № 14-ФЗ (ред. от 06.12.2007г.) // СЗ РФ. - 1996. - № 5. - Ст. 410.

.    Гражданский кодекс РФ (часть четвертая) от 18.12.2006 № 230-ФЗ (ред. от 30.06.2008)//СЗ РФ. - 2006. - № 52 (ч. 1). - Ст. 5496.

.    Кодекс РФ об административных правонарушениях от 30.12.2001г. №195-ФЗ (ред. от 16.05.2008г.)// СЗ РФ. - 2002. - № 1. - Ст. 34.

.    Уголовный кодекс РФ от 13.06.1996г. № 63-ФЗ (ред. от 09.11.2009г.) // СЗ РФ. - 1996. - № 25. - Ст. 2954.

.    Воздушный кодекс РФ от 19.03.1997г. № 60-ФЗ (ред. от 04.12.2007г.) // СЗ РФ. - 1997. - № 12. - Ст. 1383.

9.       Указ Президента РФ от 04.08.2004г. № 1009 (ред. от 12.06.2008г.) «Об утверждении перечня стратегических предприятий и стратегических акционерных обществ» // СЗ РФ. - 2004. - № 32. - Ст. 3313.

.        Приказ Министра обороны РФ от 25.10.2001г. № 431 «Об утверждении федеральных авиационных правил по организации полигонной службы в государственной авиации» // РГ. - 2002. - № 69.

.        Приказ ФАС РФ от 11.12.1998г. № 361 «О введение в действие положения о ведомственной пожарной охране службы поискового и авиационно-спасательного обеспечения полетов федеральной авиационной службы России»//РГ. - 1999. - № 77.

.        Приказ ФАС РФ от 15.07.1998г. № 222 «Об утверждении и введении в действие типового положения о службе авиационной безопасности авиапредприятия (эксплуатанта) гражданской авиации»//СП КонсультантПлюс.

Неопубликованные

13.     Устав Международного аэропорта Внуково от 28 июня 2002 года

Литература

1.  Аверин А.Н. Социальная политика и социальная ответственность предприятия. - М.: Альфа-Пресс, 2008. - 318 с.

2.       Архипова Н.И., Ермакова И.Н., Овчинникова Н.В. Теория и практика работы с кадрами: Учеб. пособие М. РГГУ 2007.- 789 с

.        Бакирова Г.Х. Психология эффективного стратегического управления персоналом. Учебное пособие для студентов вузов. - М.: Юнити-Дана, 2008. - 410 с.

.        Базаров Т.Ю. Управление персоналом. Учебник. - М.: Academia, 2008. - 219 c.

5.  Веснин В.Р. Менеджмент: Учебник. - М.: ТД «Элит», 2003. - 546с.

.    Веснин В.Р. Стратегическое управление: Учебник. - М.: ТК Велби, Издат. Проспект, 2006. - 328с.

7.  Виноградова М.В. Организация и планирование деятельности предприятий сферы сервиса. Учебное пособие - 4 изд. - М.: Дашков и К, 2007. - 464 с.

8.  Виханский О.С. Менеджмент: Учебник. - 3-е изд. - М.: Гардарики, 2000. - 528с.

.    Гапоненко А.Л. Стратегическое управление: Учебник. - М.: Омега-Л, 2004. - 472с.

10.  Горемыкин В.А. Стратегия развития предприятия: Учебное пособие. - 2-е изд., испр. - М.: Издательско-торговая корпорация «Дашков и К», 2004. - 594с.

11.  Гусов К.Н., Толкунова В.Н. Трудовое право России: Учебник. - М.: ТК Велби, Изд-во Проспект, 2007. - 496 с.

12.     Гражданское право. Часть первая: Учебник/ Отв. ред. В.П. Мозолин, А.И. Масляев. - М.: Юристъ, 2005. - 719 с.

13.  Казначевская Г.Б. Основы менеджмента: Учебное пособие для ВУЗов. - Ростов-на-Дону: «Феникс», 2004. - 384с.

14.  Ковалев С. Управление качеством работы персонала. - М.: Альфа-Пресс, 2009. - 384 с.

15.  Масленченков Ю.С. Стратегический и кризисный менеджмент фирмы: Учебное пособие для ВУЗов. - М.: Издательско-торговая корпорация «Дашков и К», 2005. - 884с.

.     Мескон М.Х. Основы менеджмента: Пер. с англ. - М.: «Дело», 2004. - 720с.

17.     Молодцов М.В., Головина С.Ю. Трудовое право России: Учебник для вузов. - М.: Изд-во НОРМА, 2006. - 640 с.

.        Миронов В.И. Трудовое право России. Учебник. - М.: ООО «Журнал «Управление персоналом», 2005. - 1152 с.

.        СемоновА.К. Основы менеджмента: Учебник. - М.: Издательско-торговая корпорация «Дашков и К», 2003. - 300с.

.        Смирнова Г.Б. Менеджмент: Учебное пособие для ВУЗов. - М.: Издательско-торговая корпорация «Дашков и К», 2002. - 352с.

21.  Соломанидина Т. О. Организационная культура компании: Учебное пособие. - М.: Инфра-М., 2007. - 624 с.

22.     Токарская Н.М., Карпикова И.С. Социология труда. Учебное пособие. - М.: Логос, Университетская книга, 2006. - 274

23.  Томпсон-мл., Стратегический менеджмент: концепции и ситуации для анализа, 12-е изд.: Пер. с англ. - М.: Издательский дом «Вильямс», 2002. - 928с.

24.  Трудовое право: Учебник/ Н.А. Бриллиантова, И.Я. Киселев и др. - М.: ТК Велби, Изд-во проспект, 2004. - 528 с.

25.     Трудовое право России. Учебник. Краткий курс/ Отв. ред. Проф. Ю.П. Орловский. - М.: Юрид. Фирма «Контракт»: «Инфра- М», 2006. - 402 с.

.        Трудовое право и право социального обеспечения. Актуальные проблемы. - М.: «Проспект», 2000. - 320 с.

27.  Уткин Э.А. Курс менеджмента: Учебное пособие для ВУЗов. - М.: Издательство «Зерцало», 2000. - 448с.

28.     Фатхутдинов Р.А. Стратегический менеджмент: Учебник. - 6-е изд., испр. и доп. - М.: «Дело», 2004. - 448с.

29.  Раздорожный А. А. Организационное поведение. Учебное пособие. - М.: Риор, 2005. - 95с.

30.     Ядов В.А. Социология труда. Теоретико-прикладной толковый словарь. - М.: Наука, 2006. - 301 с.

Приложения

Приложение 1

Положение о службе организации пассажирских перевозок (СОПП) аэропорта «ВНУКОВО»

. Общие положения

.1.Служба организации пассажирских перевозок (СОПП) является структурным подразделением аэропорта «ВНУКОВО».

СОПГП непосредственно подчинена Заместителю генерального директора по организации производства, а в его отсутствие сменному заместителю генерального директора.

СОПГП создается и ликвидируется приказом генеральным аэропорта «ВНУКОВО».

.2. Общее руководство СОПП, обеспечение выполнения работниками СОПП поставленных задач осуществляет начальник СОПП, который назначается на должность и освобождается от неё приказом Генерального директора аэропорта «ВНУКОВО». Начальник СОПП несет ответственность за не обеспечение выполнения СОПП своих функций и возложенных на него задач.

На период временного отсутствия начальника СОПП его должностные обязанности выполняет заместитель начальника СОПП или лицо, временно назначенное приказом генерального директора «ВНУКОВО».

.3. Заместитель начальника СОПП , работники СОПП назначаются на должности и освобождаются от должностей приказом Генерального директора аэропорт «ВНУКОВО» по представлению начальника СОПП.

.4. Права и обязанности начальника СОПП, его заместителя, работников СОПП определяются соответствующими должностными инструкциями и настоящим Положением.

.5. Деятельность СОПП направлена на обеспечение обслуживания воздушных судов авиакомпаний - перевозчиков выполняющих внутренние и международные рейсы в части обработки груза и почты. Организация высокого уровня обслуживания грузоотправителей, грузополучателей, агентов авиакомпаний, соблюдение действующих технологий работ, оформление перевозочной документации, осуществление контроля за выполнением правил перевозки грузов и почты, решение общих вопросов, касающихся деятельности аэропорта «ВНУКОВО».

.6. В своей деятельности работники СОПП руководствуются:

законодательством и иными нормативными актами Российской Федерации;

Воздушным Кодексом РФ;

решениями и постановлениями Правительства РФ;

приказами, указаниями и постановлениями уполномоченных органов в области Гражданской авиации РФ;

Уставом, положениями, инструкциями и технологиями работ, приказами, утвержденными Генеральным директором аэропорта «ВНУКОВО».

. Структура.

.1. Структуру, штатную численность и квалификационные требования к работникам СОПП утверждает Генеральный директор аэропорта «ВНУКОВО» исходя из условий и особенностей деятельности предприятия по представлению начальника СОПП и по согласованию с Отделом организации труда и зарплаты.

. Задачи.

.1.На СОПП возлагаются следующие задачи:

качественная и своевременная обработка грузов и почты, перевозимых воздушным транспортом при выполнении внутренних и международных рейсов, включая обработку трансферных грузов и грузов размещенных на складе временного хранения;

обеспечение безопасности и регулярности полетов;

обеспечение регулярности перевозок;

эффективное использование коммерческой грузоподъемности ВС;

обеспечение сохранности и своевременности доставки почты и грузов в пункты назначения, информационное сопровождение их движения и вручения;

совершенствование качества работ при коммерческом обслуживании перевозок;

разработка и осуществление мероприятий по совершенствованию охраны труда и технике безопасности в соответствии с руководящими указаниями Положениями, действующими в гражданской авиации;

внедрение передовых методов организации труда, прогрессивных форм технологии, средств механизации и автоматизации производственных процессов;

постоянное и неуклонное выполнение мероприятий по укреплению трудовой дисциплины работников СОПП при строгом соблюдении требований нормативно-правовых документов РФ ГА;

организация и обеспечение профессиональной подготовки и повышения квалификации работников ПГК, периодическое проведение технической учебы специалистов в производственных условиях;

рассмотрение жалоб и претензий клиентов и принятие мер по их недопущению;

повышение чувства ответственности работниками СОПП за качество производственной деятельности;

осуществление взаимодействия с государственными органами пограничного, таможенного, ветеринарного и т.п. контроля, связанными с обработкой груза и почты, агентами и представителями авиакомпаний - перевозчиков.

. Функции СОПП.

.1. Основными функциями СОПП являются:

обеспечение выполнения договорных обязательств при коммерческом обслуживании перевозок и авиационных работ;

выполнение совместно со службой безопасности досмотра грузов и почты;

оформление финансово - хозяйственной документации;

организация и обеспечение качественного обслуживания грузоотправителей, грузополучателей, грузовых агентов, в том числе при транзите и трансфере;

обеспечение максимального использования коммерческой грузоподъемности ВС и рентабельности услуг по их обслуживанию;

осуществление мероприятий по совершенствованию организации перевозок, улучшению обслуживанию грузовой клиентуры; принятие мер к повышению технической оснащенности СОПП средствами связи, механизации и автоматизации производственных процессов;

принятие участия в заключении договоров с клиентурой и эксплуатантами воздушного транспорта;

систематический анализ регулярности полетов и принятие мер к устранению причин, зависящих от СОПП, при нарушении регулярности движения ВС;

изучение и анализ спроса на воздушные перевозки, разработка и предоставление руководству обоснованных предложений по расширению сферы коммерческих интересов ;

оформление всех необходимых перевозочных и сопроводительных документов ;

предоставление данных для расчета загрузки и центровки;

выполнение погрузочно-разгрузочных работ;

организация работы складского хозяйства, включая склады временного хранения;

введение учета и статистической отчетности о хранящихся и находившихся на хранении грузах ;

обеспечение контроля за правильным применением и оформлением перевозочных документов, тарифах и сборах;

поддержание материально-технической базы, аэропортовых, складских и административных помещений в эксплуатационном состоянии;

осуществление мероприятий по соблюдению требований техники безопасности, обеспечение охраны труда и авиационной безопасности;

проведение профессиональной подготовки персонала и повышение его квалификации;

обеспечение выполнения мероприятий по охране окружающей среды и соблюдения правил пожарной безопасности;

проведение рассмотрения жалоб и претензий клиентов и организация подготовки по ним ответов;

оформление документов на нарушение правил перевозки грузов и почты, организация экспертизы для определения фактов недостачи, повреждений и порчи;

координация работы отделов и служб (подразделений) предприятия в части организации перевозок груза и почты.

осуществление услуг по использованию грузового склада;

предоставление услуг информационного характера о применяемых тарифах, правилах перевозки грузов в соответствии с действующим законодательством РФ, местонахождении груза.

обеспечение безопасного подъезда автотранспорта и средств механизации к воздушным судам и от них при погрузке (выгрузке) груза и почты.

ведение претензионной работы по вопросам перевозки почты и груза;

ведение необходимого учета и отчетности перевозки грузов, обеспечение правильности начисления сдельной оплаты за погрузку/выгрузку грузов и почты;

соблюдение режимных требований в целях обеспечения безопасности полетов, охраны жизни и здоровья персонала и клиентуры;

оформление к перевозке, хранение и выдача опасных грузов;

осуществление подготовки погрузочно-разгрузочного оборудования и персонала к работам ВЛП (ОЗП);

своевременное представление в службу снабжения заявок на материально-техническое имущество, необходимое для осуществления технологических процессов СОПП.

правильная эксплуатация, хранение и экономное расходование материальных ресурсов, выделяемых для обеспечения работы службы; учет имущества, используемого в помещениях СОПП.

контроль за своевременным ремонтом систем отопления, водоснабжения, канализации, производственных и служебных помещений СОПП;

организация и обеспечение уборки служебных и производственных помещений СОПП.

.2.Осуществление взаимодействия с агентами и представителями авиакомпаний в аэропорту «ВНУКОВО».

. Права и обязанности.

.1. Начальник СОПП имеет право:

запрашивать и получать от руководителей других служб, отделов аэропорта «ВНУКОВО» все необходимые сведения и материалы для выполнения задач и функций СОПП.

вносить предложения о способах увеличения объемов обрабатываемого груза и почты;

представлять в юридический отдел предприятия материалы для предъявления претензий к пользователям СОПП за нарушения по договорам;

представлять компанию в ходе деловых контактов, вести соответствующую переписку;

вносить предложения по совершенствованию работы, связанной с предусмотренными настоящим положением задачами и функциями СОПП;

вносить предложения по подбору и расстановке кадров, по премированию сотрудников СОПП в соответствии с индивидуальным вкладом в конечные результаты;

организовывать и проводить оперативные совещания по вопросам, входящим в компетенцию СОПП;

распоряжаться выделенными СОПП материальными и техническими ресурсами и принимать решение по их распределению в целях обеспечения деятельности службы;

представительствовать по поручению администрации аэропорта «ВНУКОВО» в государственных и иных организациях по вопросам, связанным с деятельностью СОПП.

готовить проекты приказов и распоряжений по вопросам, касающихся деятельности.

подписывать и визировать документы в пределах своей компетенции.

получать в установленном порядке от служб аэропорта «ВНУКОВО» документацию и материалы, необходимые для выполнения задач, возложенных на СОПП.

давать указания персоналу СОПП по вопросам, относящимся к их компетенции и требовать выполнения этих указаний.

применять к персоналу СОПП меры поощрения и взыскания в соответствии с требованиями Трудового кодекса РФ, Правил внутреннего трудового распорядка, технологий работ, Положений, действующих в аэропорту «ВНУКОВО».

вносить на рассмотрение руководства предложения о назначении, перемещении и увольнении работников СОПП.

Указания начальника СОПП в пределах функций, предусмотренных настоящим Положением, является обязательным к исполнению подразделениями предприятия, за исключением противоречащих законодательству Российской Федерации.

.2. Сотрудники СОПП имеют право:

запрашивать производственные, технологические подразделения предприятия о наличие возможности загрузки груза и почты, планы организации перевозки груза и почты.

контролировать процесс выполнения производственных заданий в соответствии со сроками выполнения и обязательствами;

.2.Сотрудники СОПП обязаны:

организовывать своевременное выполнение технологического графика коммерческого обслуживания ВС в строгом соответствии с требованиями руководящих документов.

обеспечивать рациональную организацию труда работников службы и равномерное распределение работ между исполнителями.

осуществлять мероприятия, направленные на повышение безопасности и регулярности полетов, обеспечение грузовой клиентуры услугами в соответствии с отраслевыми стандартами.

контролировать своевременное обеспечение службы необходимым оборудованием для работы, транспортными средствами и документацией.

обеспечивать использование предельной коммерческой загрузки самолета методом дозагрузки рейсовых самолетов грузом

изучать и исполнять нормативные документы, регламентирующие внутренние и международные грузовые перевозки, контролировать точное их выполнение личным составом, своевременно вносить изменения в действующую перевозочную документацию.

анализировать причины нарушений технологического процесса, подготавливать проекты приказов о наказании виновных и предложения по их предотвращению нарушений.

совершенствовать технологию обработки грузов и документации, внедрять современные методы организации перевозок, проводить работу по созданию автоматизированных рабочих мест, участвовать в составлении технического задания и программного обеспечения.

контролировать состояние трудовой и технологической дисциплины, обеспечивать правильную организацию производственных процессов, чистоту и порядок на рабочих местах, закрепленных территориях.

принимать организационные меры по обеспечению сохранности материальных ценностей и имущества аэропорта «ВНУКОВО», а также правильной технической эксплуатации зданий и сооружений, оборудования и механизмов, находящихся в распоряжении СОПП.

. Отношения СОПП с другими подразделениями предприятия.

.1. С Диспетчерской службой предприятия в вопросах:

изменения и дополнения расписания движения ВС по аэропорту;

продвижения рейсов, готовности ВС к полету, его замене;

обеспечения своевременной информацией о прибытии ВС, задержках авиарейсов, начале и окончании погрузки (выгрузки) грузов в (из) ВС;

определения предельной коммерческой загрузке рейсов, уточнение весовых и центровочных данных ВС;

планирования и производства загрузки /выгрузки;

.2.Со службой авиационной безопасности в вопросах: предполетного досмотра груза и почты, обеспечения авиационной безопасности;

.3. Отделом сертификации и лицензирования в вопросах:

сертификации и лицензирования.

.4.С бухгалтерией вопросах:

организация бухгалтерского учета хозяйственно-финансовой деятельности.

разработка форм документов внутренней бухгалтерской отчетности.

.5. Со службой маркетинга в вопросах:

анализа и перспектив развития рынка грузовых перевозок;

.6. С коммерческим отделом в вопросах:

заключения договоров;

.7. Со службой спецтранспорта в вопросах:

обеспечения СОПП исправным автотранспортом согласно утвержденному табелю, для выполнения производственного, технологического процесса;

обеспечение спецмашинами работ, проводимых в СОПП в соответствии с функциями;

.8.Со службой связи в вопросах:

техобслуживание и ремонт средств громкоговорящей связи, оперативной телефонной связи и радиооповещения, радиостанций;

Взаимодействие со всеми службами и отделами аэропорта «ВНУКОВО», участвующих совместно с СОПП в технологическом процессе грузовых перевозок, устанавливается законодательными и нормативными документами, действующими в ГА РФ, а также инструкциями по взаимодействию служб аэропорта «ВНУКОВО».

Взаимодействие СОПП аэропорта «ВНУКОВО».

с авиакомпаниями устанавливается договорами на наземное обслуживание ВС и агентскими соглашениями.

Взаимодействие СОПП аэропорта «ВНУКОВО».

с агентами по продаже грузовых перевозок устанавливается договорами на пользование грузовым терминалом.

. Ответственность.

.1. Ответственность за невыполнение и несвоевременное выполнение функций СОПП несет начальник СОПП.

На него, в частности, возлагается персональная ответственность в случаях:

несвоевременного, а также некачественного исполнения обязательств и поручений, содержащихся в соответствующих документах, а также поручений руководителя предприятия;

несоблюдения трудового распорядка сотрудниками СОПП.

Начальник СОПП может быть привлечен к дисциплинарной, материальной и иным видам ответственности в соответствии с законодательством Российской Федерации.

.2.Ответственость сотрудников СОПП устанавливается их должностными инструкциями.

. Организация работы.

.1.Режим работы службы - круглосуточный.

Распорядок работы личного состава службы утверждается Генеральным директором аэропорта «ВНУКОВО» по согласованию с комитетом профсоюза.

.2.Выход на работу персонала службы по сменам устанавливается соответствующим графиком, утвержденным начальником СОПП по согласованию с профсоюзным комитетом.

.3.Оперативное руководство работой персонала СОПП осуществляют начальники смен СОПП.

Приложение 2

УСТАВ

ОТКРЫТОГО АКЦИОНЕРНОГО ОБЩЕСТВА

“Международный аэропорт “Внуково”

(вторая редакция)

Открытое акционерное общество “Международный аэропорт “Внуково”, в дальнейшем именуемое - Общество, создано путем учреждения в соответствии с Гражданским кодексом Российской Федерации и Федеральным законом “Об акционерных обществах”.

Общество действует на основании настоящего Устава, Договора о создании, Гражданского кодекса Российской Федерации, Федерального закона “Об акционерных обществах” и других нормативных актов Российской Федерации.

Статья 1. Наименование, место нахождения и почтовый адрес Общества

.1. Полное официальное наименование Общества на русском языке: Открытое акционерное общество “Международный аэропорт “Внуково”.

.2. Сокращенное наименование Общества на русском языке: ОАО “Международный аэропорт “Внуково”.

.3. Место нахождения Общества, его исполнительных органов и место хранения документов: Российская Федерация, 125047, г. Москва, ул. 1-я Тверская-Ямская, д. 7.

.4. Почтовый адрес Общества: Российская Федерация, 125047, г.Москва, 1-я Тверская-Ямская. д. 7

.5. Тип общества - Открытое акционерное общество.

Статья 2. Правовое положение Общества

.1. Общество является юридическим лицом. Права и обязанности юридического лица Общество приобретает с момента его регистрации.

Изменения и дополнения в Устав Общества или Устав Общества в новой редакции подлежат государственной регистрации в порядке, предусмотренном Федеральным законом “Об акционерных обществах”, и другими нормативными актами РФ.

Изменения и дополнения в Устав Общества или Устав Общества в новой редакции приобретают силу для третьих лиц с момента их государственной регистрации.

.2. Общество имеет в собственности обособленное имущество, учитываемое на его самостоятельном балансе.

Общество может от своего имени приобретать и осуществлять имущественные и личные неимущественные права, нести обязанности, быть истцом и ответчиком в суде.

Общество создано на неограниченный срок.

Общество имеет собственную эмблему, круглую печать со своим полным наименованием и эмблемой, штампы и бланки со своим полным наименованием и эмблемой, а также один или несколько товарных знаков, зарегистрированных в установленном порядке, и другие средства визуальной идентификации.

Общество вправе открывать банковские счета на территории Российской Федерации и за ее пределами в порядке, установленном законами и другими нормативно - правовыми актами Российской Федерации.

Статья 3. Ответственность Общества

.1. Общество несет ответственность по своим обязательствам всем принадлежащим ему имуществом.

Государство и его органы не несут ответственности по обязательствам Общества, равно как и Общество не отвечает по обязательствам государства и его органов.

Общество не отвечает по обязательствам своих акционеров.

Акционеры не отвечают по обязательствам Общества и несут риск убытков, связанных с его деятельностью, в пределах стоимости принадлежащих им акций.

Акционеры, не полностью оплатившие акции, несут солидарную ответственность по обязательствам Общества в пределах неоплаченной части стоимости принадлежащих им акций.

.2. Если несостоятельность (банкротство) Общества вызвана действиями (бездействием) его акционеров или других лиц, входящих в органы управления Общества и имеющих право давать обязательные для исполнения указания либо иным образом имеющих возможность определять его действия, то на указанных акционеров или других лиц в случае недостаточности имущества Общества может быть возложена субсидиарная ответственность по его обязательствам.

Несостоятельность (банкротство) Общества считается вызванным действиями (бездействием) его акционеров или других лиц, которые имеют право давать обязательные для Общества указания либо иным образом имеют возможность определять его действия, только в случае, если они использовали указанное право и (или) возможность в целях совершения Обществом действия, заведомо зная, что вследствие этого наступит несостоятельность (банкротство) Общества.

Статья 4. Филиалы и представительства Общества

.1. Общество может создавать филиалы и открывать представительства на территории Российской Федерации и иностранных государств с соблюдением требований Федерального закона “Об акционерных обществах” и иных федеральных законов, а также за пределами Российской Федерации в соответствии с законодательством иностранного государства по месту нахождения филиалов и представительств, если иное не предусмотрено международным договором Российской Федерации.

.2. Филиалы и представительства не являются юридическими лицами и действуют на основании утвержденного Обществом положения. Филиалы и представительства наделяются создавшим их Обществом имуществом, которое учитывается как на их отдельном балансе, так и на балансе Общества. Ответственность за деятельность филиала и представительства несет создавшее их Общество.

.3. Руководство деятельностью филиалов и представительств осуществляют лица, назначаемые Генеральным директором Общества. Руководители филиалов и представительств действуют на основании доверенности, полученной от Общества.

.4. В случае создания филиалов и открытия представительств Общества в настоящий Устав вносятся соответствующие изменения, содержащие сведения о филиалах и представительствах Общества. Сообщения об изменениях в Уставе Общества, связанных с изменением сведений о филиалах и представительствах, представляются органу государственной регистрации Общества в уведомительном порядке.

Указанные изменения в Уставе Общества вступают в силу для третьих лиц с момента уведомления о таких изменениях органа, осуществившего государственную регистрацию Общества.

Статья 5. Дочерние и зависимые Общества

.1. Общество может иметь дочерние и зависимые общества с правами юридического лица на территории Российской Федерации, созданные в соответствии с Федеральным законом “Об акционерных обществах” и иными федеральными законами, а за пределами территории Российской Федерации - в соответствии с законодательством иностранного государства по месту нахождения дочернего или зависимого обществ, если иное не предусмотрено международным договором Российской Федерации.

.2. Общество признается дочерним, если основное Общество в силу преобладающего участия в его уставном капитале, либо в соответствии с заключенным между ними договором, либо иным образом имеет возможность определять деятельность дочернего общества.

.3. Общество признается зависимым, если основное Общество имеет более 20 (двадцати) процентов его голосующих акций.

В случае приобретения Обществом более 20 процентов голосующих акций другого Общества, оно обязано незамедлительно опубликовать сведения об этом в порядке, определяемом федеральным органом исполнительной власти по рынку ценных бумаг и федеральным антимонопольным органом.

.4. Дочернее (зависимое) общество не отвечает по долгам основного Общества.

.5. Основное Общество, в случае, если оно имеет право давать дочернему обществу обязательные для последнего указания, отвечает солидарно с дочерним обществом по сделкам, заключенным последним во исполнение таких указаний. Основное Общество считается имеющим право давать дочернему обществу обязательные для последнего указания только в том случае, когда это право предусмотрено в договоре с дочерним обществом или уставе дочернего общества.

.6. В случае несостоятельности (банкротства) дочернего общества по вине основного Общества последнее несет субсидиарную ответственность по его долгам. Несостоятельность (банкротство) дочернего общества считается происшедшей по вине основного Общества только в случае, когда основное Общество использовало указанное право и (или) возможность в целях совершения дочерним обществом действия, заведомо зная, что вследствие этого наступит несостоятельность (банкротство) дочернего общества.

.7. Акционеры дочернего общества вправе требовать возмещения основным Обществом убытков, причиненных по его вине дочернему обществу.

Убытки считаются причиненными по вине основного Общества только в случае, когда основное Общество использовало имеющиеся у него право и (или) возможность в целях совершения дочерним обществом действия, заведомо зная, что вследствие этого дочернее общество понесет убытки.

. Цель и предмет деятельности

.1. Целями учреждения Общества являются создание нового имущественного комплекса - международного терминала в аэропорту Внуково путем строительства и ввода в эксплуатацию новых площадей, а также дальнейшая эксплуатация данного имущественного комплекса посредством ведения на его базе коммерческой и иной хозяйственной деятельности, направленной на получение прибыли и достижение иных общественно- полезных результатов в порядке и на условиях, определяемых действующим законодательством РФ.

.2. Общество имеет гражданские права и несет обязанности, необходимые для осуществления любых видов деятельности, не запрещенных законом, в том числе:

.2.1. Осуществление и обеспечение воздушных перевозок (внутренних и международных) пассажиров, багажа, грузов и почты и других видов авиационных работ на коммерческой основе.

.2.2. Обслуживание воздушного движения, а также обслуживание воздушных судов, пассажиров, багажа, грузов и почты на аэродромах и в аэропортах.

.2.3. Проведение авиационных работ для обеспечения потребностей граждан и юридических лиц, в том числе выполняемых в воздушном пространстве иностранных государств, и деятельность по обеспечению авиационных работ.

.2.4. Предоставление авиакомпаниям и владельцам самолетов следующих услуг:

1 аэродромное обслуживание,

2 оперативное инженерно-техническое обслуживание,

3 коммерческое обслуживание,

4 радиотехническое обслуживание,

5 электротехническое обслуживание,

6 оперативное управление,

7 обеспечение аэронавигационной информацией,

8 медицинское обеспечение,

9 режимно-охранное обеспечение,

10 управление воздушным движением,

11 поисково-спасательное обеспечение,

12 оказание дополнительных услуг пассажирам, грузовой клиентуре и юридическим лицам.

Подготовка специалистов соответствующего уровня согласно перечням должностей авиационного персонала.

.2.5.Деятельность общественных объединений в области авиации:

·   по подготовке специалистов соответствующего уровня согласно перечням должностей авиационного персонала для обеспечения полетов воздушных судов авиации общего назначения, предназначенных для спортивных, учебных, рекламных и иных подобных целей;

·   по осуществлению контроля за техническим состоянием и безопасностью эксплуатации воздушных судов авиации общего назначения, предназначенных для спортивных, учебных, рекламных и иных подобных целей.

6.2.6.Бронирование мест (емкостей воздушных судов), издание, оформление и продажа пассажирских, грузовых и других перевозочных документов;

.2.7. Осуществление внешнеэкономической деятельности.

.2.8. Перевозки грузов автомобильным транспортом, в том числе опасных грузов.

.2.9. Перевозки пассажиров автобусами и микроавтобусами.

.2.10.Транспортно-экспедиционное обслуживание юридических и физических лиц автомобильным транспортом.

.2.11.Эксплуатация объектов котлонадзора.

.2.12.Выполнение пуско-наладочных работ, профилактических испытаний и измерений электрооборудования и электроустановок.

.2.13.Метрологическое обеспечение технической эксплуатации наземной авиационной техники.

.2.14.Осуществление гостиничной и туристической деятельности.

.2.15.Эксплуатация производственных и жилых зданий и сооружений, гостиниц, паркингов, инженерных сетей и других объектов, необходимых для деятельности Общества.

.2.16.Выполнение проектных и строительно-монтажных работ, производство строительных материалов, конструкций и изделий, инжиниринговые услуги, добыча пресных подземных вод для водоснабжения аэропорта и субабонентов.

.2.17.Осуществление строительной деятельности.

.2.18.Выполнение функций заказчика по договорам строительного подряда.

.2.19.Монтаж, наладка, ремонт и техническое обслуживание оборудования и систем противопожарной защиты на действующих объектах Общества.

.2.21.Выполнение работ, связанных с природоохранной деятельностью, в том числе на сброс сточных вод.

.2.22.Осуществление деятельности по публичному показу аудиовизуальных произведений, оказание физкультурно-оздоровительных и спортивных услуг.

.2.23.Эксплуатация подъемных сооружений (грузоподъемные краны, подъемники, вышки, пассажирские и грузовые лифты).

.2.24.Предоставление услуг передачи данных.

.2.25.Предоставление услуг телефонной связи.

.2.26.Техническая эксплуатация низковольтных электрораспределительных щитов и дизель-электрических генераторов.

.2.27.Осуществление работ, связанных с использованием сведений, составляющих государственную тайну.

.2.28.Выполнение государственных мероприятий по защите государственной тайны, мобилизационной подготовке и гражданской обороне.

.2.29.Развитие материальной базы социальной сферы в целях более полного социально-экономического обеспечения трудового коллектива.

.2.30.Изготовление и розничная реализация продовольственных и непродовольственных товаров.

.2.31.Организация магазинов беспошлинной торговли.

.2.32.Разработка, внедрение и осуществление инвестиционных проектов в различных областях хозяйственной деятельности.

.2.33.Розничная продажа алкогольной продукции.

.2.34.Розничная продажа табачных изделий.

.2.35.Вложение собственных и привлеченных средств, включая валютные ресурсы, в проекты сотрудничества с российскими и зарубежными организациями и гражданами, включая создание совместных предприятий и самостоятельных производств, представительств как в РФ, так и за рубежом.

.2.36.Промышленное и гражданское строительство, капитальный и текущий ремонт зданий и сооружений, производство и реализация строительных и отделочных материалов.

.2.37.Организация и эксплуатация медико-оздоровительных центров, гостиниц, VIP-залов в аэропортах и на вокзалах и других социально-бытовых объектах.

.2.38.Приобретение, аренда и другая работа с объектами недвижимости.

.2.39.Оказание брокерских, дилерских, трастовых услуг на товарных, фондовых и универсальных биржах.

.2.40.Ведение внешнеторговой деятельности в установленном порядке.

.2.41.Оказание экспедиторских, сервисных, финансово-экономических, информационных, редакционно-издательских, полиграфических, консультационных, рекламных, лизинговых, представительских услуг, услуг по менеджменту, гостиничному хозяйству, инжинирингу, научно-технических, торгово-финансовых услуг для российских и зарубежных предприятий и граждан.

.2.42.Розничная реализация книжной и периодической литературы, в том числе газет и журналов.

Отдельными видами деятельности, перечень которых определяется законом, общество может заниматься только на основании специального разрешения (лицензии). Если условиями предоставления разрешения (лицензии) на занятие определенным видом деятельности предусмотрено требование о занятии такой деятельностью как исключительной, то общество в течение срока действия лицензии не вправе осуществлять иные виды деятельности, кроме предусмотренных лицензией и им сопутствующих.

Похожие работы на - Исследование и совершенствование системы профессионального развития персонала в структурном подразделении организации

 

Не нашли материал для своей работы?
Поможем написать уникальную работу
Без плагиата!
Без нейросетей!