Описание методов ab initio
Введение
В переводе с латинского ab initio означает «из первых
принципов». Действительно, к данной группе относятся методы, в соответствии с
которыми вычисление проводится исключительно на теоретической базе, то есть без
введения в расчетную схему каких-либо параметров, полученных экспериментальным
путем. При расчете все величины имеют конкретный физический смысл. Такими
методами являются: метод Хартри-Фока-Рутаана, разнообразные вариации
конфигурационного взаимодействия, методы теории возмущения, а также метод
объединенных кластеров. К преимуществу данного подхода следует отнести
приемлемую точность расчета, относительную универсальность. Недостатком же
является ресурсоемкость процедуры, поэтому группа ab initio методов стала
применяться химиками позднее методов полуэмпирических (точнее, они находили
применение, но лишь к простейшим системам, не намного превосходившим по
сложности молекулу водорода) [2].
Неэмпирические методы, в принципе, дают квантовомеханическое
описание состояний системы, исходя только из заданного числа электронов в ней,
числа и зарядов ядер. Как правило, расчеты молекул в рамках неэмпирических
методов выполняются в адиабатическом приближении, т.е. раздельно решается так
называемая электронная задача - определение энергий и волновых функций
электронов (электронных состояний) при фиксированных положениях ядер в
пространстве, и ядерная задача - расчет энергий и волновых функций ядер в поле,
создаваемом электронами в данном состоянии [1].
1.
Mетод Хартри-Фока-Рутаана
По причинам, упомянутым ранее, данная группа расчетных схем
долгое время была в забвении. Одним из первых реализован метод
Хартри-Фока-Рутаана («Новые разработки в теории молекулярных орбиталей», 1951
год). Затем двумя годами позже он был доработан Джоном Поплом и Р.К. Несбетом
(их работа посвящена радикалам). Хотя этим методом не учитывается
коррелированное движение электронов, он явился отправной точкой для так
называемых пост-хартри-фоковских методов (методов учета электронной корреляции)
[2].
При решении уравнения Шрёдингера пренебрегать отталкиванием
электронов нельзя, поскольку это приведет к серьезным ошибкам. Поэтому на
практике при решении данного уравнения используют метод Хартри - Фока. В этом
случае одноэлектронный гамильтониан ĥ в уравнении (
) заменяется оператором Фока(F):,
(1.1)
где Vэф - эффективный потенциал, который описывает усредненное
электростатическое взаимодействие данного электрона со всеми остальными n-1 электронами. Чтобы найти Vэф,
необходимо знать выражения для молекулярных орбиталей.
Молекулярные орбитали находят, решая уравнение (1.2)
Отметим еще раз, что оператор Фока неявно зависит от ψi. Поэтому уравнение (1.2) решают следующим
образом:
1. задают приблизительный вид всех занятых молекулярных
орбиталей ψi;
2. рассчитывают Vэф;
. решают уравнение (1.2) и находят уточненные
молекулярные орбитали ψi;
. процедуру повторяют до тех пор, пока молекулярные
орбитали Vэф, не будут согласованы с полем, которое создают электроны в
молекуле. По этой причине данный подход называют методом самосогласованного
поля (ССП) (Self-Consistent Field Method - SСF) [4].
.
Теория возмущения Меллера-Плессе
руттан конфигурационный кластер базисный
Одной из первых пост-хартри-фоковских схем была теория
возмущения Меллера-Плессе. Сама теория возмущения применялась и раньше физиками
и математиками, однако к задачам квантовой химии она была адаптирована в 1934
году (в форме концепции), реализована позднее метода Хартри-Фока-Рутаана.
Существенным достоинством данной теории является то, что поправки к полной
энергии системы, вычисленные в приближении Хартри-Фока, находятся
неитерационным способом, то есть отсутствует необходимость многократного
повторения большого объема расчетов для достижения самосогласованного решения.
Дальнейшее развитие теории продолжалось на протяжении второй половины XX-го
века и шло в направлении более полного учета корреляционной энергии. Так
основные работы по теории возмущения второго порядка (MPPT2), учитывающей 60 -
90% корреляционной энергии, относятся к 70-м годам [2].
Основная идея метода заключается в том, что разница между
оператором Фока и точным гамильтонианом может быть учтена как возмущение:
(2.1)
Энергия в первом порядке возмущений является хартри-фоковской
энергией. Поэтому первая поправка к энергии получается во втором порядке
возмущений (МР2). Если рассматриваются возмущения первого, второго и третьего
порядков, то метод имеет аббревиатуру МРЗ, если же первого, второго, третьего и
четвертого, то - МР4.
Методы МР не позволяют вычислить полную энергию электронной
корреляции, но они намного быстрее по сравнению с методами конфигурационного
взаимодействия и являются унифицированными по размеру.
В заключение отметим, что для корректного учета электронной
корреляции (особенно в методах МР, поскольку они являются невариационными)
требуется хорошее описание не только занятых, но и вакантных МО. В связи с этим
высокие требования предъявляются к базисному набору. Как указывалось выше, для
счетов с учетом электронной корреляции иногда используются специальные базисные
наборы (рис. 1).
Рис. 1. Аббревиатура базисных наборов, оптимизированных для
метода СISD
Такие базисные наборы предложил использовать Т. Дуннинг.
Например, базисный набор сс-рVDZ для атома углерода включает три s-функции,
два набора р-функций и один набор d-функций (DZ обозначает
базисный набор с двукратно расщепленными валентными орбиталями) [4].
3.
Конфигурационное взаимодействие
Третьим и одним из самых поздних подходов является
конфигурационное взаимодействие. Его принцип был рассмотрен в предыдущем
разделе. Метод «обрел жизнь» в 80-е годы и развивался вплоть до 2000-го года в
трудах Джона Попла, Р. Зигера и Р. Кришнана (одна из первых работ - «Методы
вариационного конфигурационного взаимодействия - сравнение с теорией
возмущения», 1977 год). Изначальным недостатком приближения было отсутствие
размерной согласованности (совокупная энергия двух молекул, разделенных очень
большим расстоянием, не равна сумме энергий этих же молекул, рассчитанных по
отдельности) и размерной протяженности (рост погрешности расчета с увеличением
числа частиц, входящих в систему). Первый изъян был устранен в 1987 году в
работах упомянутых выше ученых добавлением квадратичных членов более высокого
порядка (поправки Девидсона). К сожалению, второй недочет для данной группы
методов устранен не был [исключение составляет метод полного конфигурационного
взаимодействия (FullCI)] [2].
В рамках метода Хартри - Фока волновая функция молекулы
представляется в виде одного определителя, т.е. рассматривается только одна
конфигурация. В действительности электронное состояние включает множество
конфигураций.
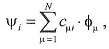
Полная волновая функция молекулы должна определяться как линейная
комбинация всех этих конфигураций:
(3.1)
где индексы a, b, c, p, q, r и т.д. нумеруют спин-орбитали.
Конфигурации, возникающие при возбуждении одного электрона (
), называются однократно возбужденными,
при возбуждении двух электронов (
) - двукратно возбужденными и т.д.
Функцию (
), находят следующим образом:
проводят расчет методом Хартри - Фока для конфигурации
и находят МО [число МО равно числу
базисных функций в разложении
,
(3.2)
поэтому расчет методом Хартри - Фока кроме заполненных МО
дает также виртуальные МО, причем последних будет тем больше, чем больше
базисный набор];
1) путем переноса электронов с заполненных орбиталей
конфигурации
на виртуальные строят слэтеровские
определители для других возбужденных конфигураций (при этом используют МО,
полученные на первом шаге);
2) вариационным методом находят коэффициенты С в
разложении (3.1) (МО при этом не меняют).

Рис. 2.9. Конфигурации, возникающие при переносе электронов с
заполненных МО основной конфигурации (
) на виртуальные МО
Смешивание конфигураций позволяет электронам находиться в среднем
на больших расстояниях друг от друга.
Описанный метод учета электронной корреляции называется методом
конфигурационного взаимодействия (Соnfiguration Interaction - CI).
Если при проведении расчета рассматривают все возможные
конфигурации, то метод называется full СI - Однако число возможных конфигураций
возрастает приблизительно как Nn, где N - число базисных функций, а
n - число электронов. Поэтому учет всех конфигураций возможен только для
небольших молекул. Для расчета больших молекул необходимо выбирать наиболее
важные конфигурации. Существуют различные способы их отбора. Рассмотрим
некоторые из них.
Наибольший вклад, кроме конфигурации
, вносят однократно (Singly Excited) и
двукратно возбужденные (Doubly Excited) состояния. Метод, который учитывает
только эти состояния, имеет аббревиатуру CISD. Иногда учитывают также
трехкратно (Triply Excited) и четырехкратно (Quadruply Excited) возбужденные
состояния. Аббревиатура такого метода - CISDTQ.
Еще один способ - рассматривать возбуждение только валентных
электронов, т.е. МО, образованные АО внутренних оболочек, оставлять дважды
заполненными во всех рассматриваемых конфигурациях.
В методе СI во время оптимизации коэффициентов С в разложении
(3.1) МО остаются неизменными. Если наряду с коэффициентами С в разложении
(3.1) оптимизировать МО [коэффициенты civ в разложении (3.2)], то
такой метод называется методом многоконфигурационного самосогласованного поля
(MCSCF). Если же при этом рассматриваются не все конфигурации, метод имеет
аббревиатуру САSSСF. В рамках данного метода все орбитали делят на активный и
неактивный наборы. В разложение (3.1) включают все возможные возбужденные
конфигурации, которые можно построить с участием орбиталей активного набора.
Пожалуй, главным недостатком методов СI и MCSCF является то, что
эти методы не унифицированы по размеру.
Сегодня разработаны методы, лишенные данного недостатка, например:
приближение связанных электронных пар Couple Electron Pair Approximation (СЕРА)
и Coupled-Cluster (СС) Тhеоrу [4].
4.
Теория объединенных кластеров
Другой способ учета электронной корреляции являет собой
теория объединенных кластеров. Если методы теории возмущения заключаются в
добавлении к основному хартри-фоковскому решению однократных, двукратных и
трехкратных возбуждений, то метод теории объединенных кластеров основан на
включении всех поправок данного типа вплоть до бесконечных порядков теории.
Теория совершенствовалась с 70-го по 90-й годы. Некоторые разновидности методов
теории объединенных кластеров в состоянии учесть до 99% энергии электронной
корреляции при разумных вычислительных затратах. Наиболее известный из разработчиков
данного подхода - Джон Попл [2].
5.
Базисные наборы
При проведении неэмпирических и DFТ расчетов МО представляют
в виде ЛКАО
(5.1)
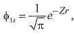
Для водородоподобного атома известен точный вид АО. Например, АО 1s
имеет вид:
(5.2)
где z - заряд атомного ядра.
АО многоэлектронных атомов нельзя точно представить в
аналитическом виде. Поэтому используют приближенные функции. Примером
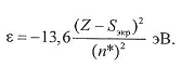
приближенных функций являются АО Слэтера - Зенера:
(5.3)
Где N - нормировочный множитель;
орбитальная экспонента; Sэкр -
постоянная экранирования;
n* - эффективное главное квантовое число.
Форма волновой функции (5.3) очень близка к виду АО
водородоподобного атома. Отличия заключаются в том, что вместо заряда ядра (Z)
введен эффективный заряд ядра (Z-Sэкр) - а вместо главного квантового числа (n)
введено эффективное главное кван
товое число (n*). По аналогии с водородоподобным атомом
орбитальную энергию можно вычислить по формуле
(5.4)
Введение параметра ζ вместо Z/n позволяет путем удачного выбора
орбитальной экспоненты несколько улучшить волновую функцию и увеличить точность
квантово-химических расчетов. Тем не менее следует помнить, что при проведении
расчетов методом МО ЛКАО атомные орбитали (функции фi,) не изменяют,
а варьируют лишь коэффициенты перед ними (амплитуды). В общем случае ЛКАО будет
тем хуже воспроизводить «истинную МО», чем больше будет в ней перекрывание
атомных орбиталей. Улучшить точность расчета можно путем увеличения числа АО в
ЛКАО. Однако с увеличением количества базисных функций резко возрастает число
многоцентровых двухэлектронных интегралов, которые необходимо вычислять при
проведении расчетов. Число таких интегралов пропорционально N4 где N - число базисных функций. Вычисления многоцентровых
двухэлектронных интегралов на слэтеровских функциях чрезвычайно сложны и
трудоемки. Поэтому, несмотря на то что орбитами слэтеровского типа (SТО)
являются хорошими базисными функциями (позволяют достаточно точно описывать АО
многоэлектронного атома), на практике чаще используют базисные наборы,
состоящие из функций гауссовского типа (GF) [4].
Стандартные базисные наборы гауссовских функций
АО многоэлектронного атома можно представить также функцией
гауссовского типа. Общий вид ОР в декартовых координатах:

где l, m, n - постоянные целые числа.
В действительности, декартовы гауссовские функции не являются
орбиталями. Их следует рассматривать как простые и удобные математические
функции. Декартовы гауссовские функции иногда называют примитивами. Они гораздо
хуже описывают АО многоэлектронного атома по сравнению со слэтеровскими
функциями. Например, гауссовская функция плохо описывает поведение электрона
вблизи ядра и слишком быстро убывает с увеличением расстояния от ядра.
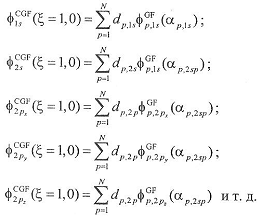
На практике для описания одной АО используют не одну
гауссовскую функцию, а линейную комбинацию из нескольких гауссовских функций
(СGF). Такая комбинация называется контрактированной гауссовской функцией
(5.1.2)
где dp и αp - коэффициенты
контрактации и экспоненты (при проведении расчетов они остаются постоянными).
Коэффициенты контрактации и экспоненты не обязательно
выбирают так, чтобы наилучшим образом аппроксимировать АО изолированного атома.
Очевидно, что возможно большое число способов построения СОР. Например, dp и αp d СGF могут быть выбраны так, чтобы наилучшим образом
аппроксимировать SТО или хартри-фоковскую АО, или они могут оптимизироваться
так, чтобы наилучшим образом воспроизводить некоторые свойства молекул. Кроме
того, каждая АО может аппроксимироваться не одной, а несколькими СGF или одной
ОР и одной СGF, коэффициенты перед которыми оптимизируются при расчетах. В
связи с этим возможно построение большого числа различных базисных наборов.
Рассмотрим некоторые стандартные базисные наборы [4].
Минимальный базисный набор.
Завершая описание ab initio методов, следует отметить, что в
своих наиболее совершенных (и затратных) формах выражения для волновой функции
описанных выше трех пост-хартри-фоковских приближений практически совпадают.
До последнего момента рассматривались методики решения
уравнения Шредингера, но ничего не говорилось о форме волновой функции.
Волновую функцию было принято рассматривать в качестве линейной комбинации
достаточно простых функций (например, функции Гаусса), называемой базисом или
базисным набором. Каждая функция характеризуется некоторым числом подгоночных
коэффициентов, обеспечивающих гибкость базиса. В соответствии с вариационным
принципом, чем больше базисных функций, тем более точные решения могут быть
получены. Но не стоит забывать о временных затратах: чем больше базисных
функций (чем более гибкий базисный набор), тем больше времени потребуется для
решения уравнения Шредингера.
Одним из первых появился минимальный базисный набор. Он был
разработан под началом Р.Ф. Стюарта и Джона Попла в 1969 году. В данном базисе
осуществляется представление атомных орбиталей слетеровского типа в виде
комбинации гауссовых функций. Наиболее популярным в свое время был минимальный
базисный набор STO-3G. Данный базис достаточно экономичен, но обладает одним
существенным недостатком - он очень жесткий, не способен подстраивать свой
размер в зависимости от окружения атома, и характеризуется практически
сферическим распределением заряда. В свете последнего погрешность расчета
закономерно увеличивается с усложнением электронной структуры [2].
SТО-7NG. Данный базисный набор называют также
минимальным. Каждая заполненная, частично заполненная или валентная атомная
орбиталь описывается только одной базисной функцией ф. Однако для описания АО
вместо слэтеровской функции берут СGF. Число GF в СGF равно N (при проведении
расчетов чаще всего используют базисный набор SТ0-3G). Коэффициенты dр
и ар выбирают так, чтобы СGF наилучшим образом
аппроксимировала слэтеровскую функцию с экспонентой ζ = 1. В базисных наборах типа SТО-МG используются одинаковые
экспоненты ар соответствующих GF для АО одного энергетического уровня
(например, 2s и 2 р). Учитывая вышесказанное, СGF можно записать
в общем виде:
Очевидно, что различным орбиталям разных атомов будут
соответствовать различные значения ζ. Чтобы аппроксимировать
слэтеровскую функцию с другой экспонентой, надо умножить ар в уравнениях (2.23)
на ζ2. Возникает вопрос: какие значения ζ
выбирать для
проведения расчетов молекул? В принципе возможны два способа.
. Использовать наилучшие ζ для атомов. Например, для
атома водорода ζ=1.
2. Брать усредненное значение ζ,
получающееся
при оптимизации для набора маленьких молекул.
На практике обычно используют второй способ [4].
Валентно-расщепленные базисные наборы
Более совершенными являются валентно-расщепленные базисные
наборы. Они представляют атомную орбиталь в виде двух валентных функций
одинаковой симметрии. Одна из них является более сжатой, а другая - диффузной.
Наиболее распространенными базисами этого типа являются 3-21G и 6-31G.
Валентно-расщепленные базисные наборы были описаны в Работе Дж.С. Бинкли, Джона
Попла и В.Дж. Гера 1980 года «Базисные наборы малого валентного расщепления для
элементов второго периода».
Дальнейшим усовершенствованием базисных наборов было введение
поляризационных базисных функций. Причиной этого послужил недостаток, присущий
предыдущей группе базисов и заключающийся в том, что центр тяжести
отрицательного заряда совпадает с ядром атома, но это не всегда так.
Среди поляризационных базисных наборов получил
распространение 6-31G(d).
Описанные выше базисные наборы хорошо моделируют
электронейтральные системы, то есть молекулы, у которых электроны прочно
удерживаются ядрами. В анионах же электрон очень слабо связан с ядром, что
проявляется в значительном удалении электронной плотности от него. По этой
причине в базисный набор включают диффузные функции s- и p-типа с малыми
значениями экспоненциальных коэффициентов, что обусловливает большой размер и
удаленность этих функций от ядра. Такие функции обозначают символом «+». В
качестве примера можно привести базисный набор, включающий как поляризационные,
так и диффузные функции - 6-31+G(d).
К-LMG. В данном случае для
описания каждой валентной орбитали используется не одна, а две базисные
функции. Такие базисные наборы получили название валентно-расщепленных.
Обозначение К-LMG расшифровывается следующим образом:
· каждая внутренняя АО описывается одной
базисной функцией - СGF, построенной из K-примитивов;
· каждая валентная АО описывается двумя
базисными функциями ф’ (внутренней) и ф’’ (внешней). Первая ф’1s - СGF, построенная из M-примитивов, вторая ф -
СОР, построенная из М-примитивов.
Таким образом, в данном случае валентные орбитали являются
двукратно расщепленными.
В случае валентно-расщепленных базисных наборов экспоненты и
коэффициенты контрактации выбирают так, чтобы минимизировать энергию при
проведении расчетов соответствующих атомов. Далее, чтобы улучшить точность
расчетов молекул, для валентных оболочек также вводят соответствующие
экспоненты ζ’ и ζ’.
Большая гибкость валентно-расщепленных базисных наборов по
сравнению с минимальными становится ясной из следующих соображений. Каждая
валентная АО в валентно-расщепленном базисе описывается двумя функциями с разными
экспонентами, т.е. состоит из двух частей с разными размерами. Внутренняя
часть, которая описывается функцией ф’, - более компактная, а внешняя часть,
которая описывается функцией ф’’, - более диффузная. При проведении расчетов
коэффициенты перед обеими функциями можно варьировать независимо. Это позволяет
изменять размеры АО при расчетах.
Базисные наборы с поляризационными функциями. Следующим этапом
улучшения базисного набора обычно является добавление поляризационных функций,
т.е. добавление функций p-типа к атомам водорода и функций d-типа к атомам элементов
второго периода. Чтобы понять, почему эти функции называются поляризационными,
рассмотрим атом водорода.
Точной волновой функцией изолированного атома водорода в
основном электронном состоянии является 1s-орбиталь. Если рядом с
атомом водорода поместить точечный заряд, то электронное облако должно
деформироваться, и распределение электронной плотности становится
асимметричным. Очевидно, что этот эффект невозможно учесть, если в качестве
базисных функций выбрать только симметричные функции s-типа. Однако задачу
можно решить добавлением к атому водорода функций р-типа.
Аналогично для атомов элементов второго периода
поляризационными являются d-функции. Смешение функции d-типа с функцией р-типа
приводит к деформации образующейся орбитали по одну сторону от aтома.
Обозначения базисных наборов, содержащих поляризационные
функции, рассмотрим на двух примерах.
1. 6-31G*, или 6-З1G(d), обозначает базисный набор 6-31G с добавлением
поляризационных функций d-типа к тяжелым атомам (атомный номер больше
2. 6-31G**, или 6-31G (d, р), обозначает базисный набор 6-31G с добавлением
поляризационных функций d-типа к тяжелым атомам (атомный номер больше 2) и
поляризационных функций р-типа к легким атомам (водород и гелий).
Следует обратить внимание, что при проведении расчетов обычно
используют декартовы функции d-типа. Поэтому вместо пяти d-функций используют
шесть d-функций. Каждая такая d-функция является гауссовским примитивом.
Большинство современных программ позволяют также использовать пять чистых
d-функций.
Поскольку поляризационные функции не заселены электронами, то
их экспоненты не могут быть оптимизированы в результате расчетов свойств
атомов. Поэтому параметры поляризационных функций подбирают исходя из расчетов
молекул.
Базисные наборы с диффузными функциями. При проведении
расчетов анионов или расчетов, требующих более точного описания несвязывающих
электронных пар, рекомендуется включать в базисный набор диффузные функции. Это
ОР с очень малыми значениями экспонент. Диффузные функции позволяют лучше
описывать поведение электронов на больших расстояниях от ядра. Добавление
диффузных функций обозначается знаком «+». Например, аббревиатура 6-31+G*
обозначает базис 6-31G* с добавлением диффузных s- и p-функций к тяжелым
атомам.
В некоторых случаях даже базисный набор типа 6-31++G** оказывается
недостаточным. Дальнейшее улучшение базисного набора может быть достигнуто
путем использования трехкратно или даже четырехкратно расщепленных валентных
орбиталей. Примером базисного набора с трехкратно расщепленными валентными
орбиталями является 6-311++G**. Можно добавлять не один, как было рассмотрено выше, а
несколько наборов поляризационных функций, а также функции f-типа к тяжелым атомам и
функции d-типа к атомам водорода. Например, аббревиатура 6-31+G (3df, 2 р) обозначает
базис 6-31G
с добавлением диффузных функций, трех наборов поляризационных d-функций и одного набора f-функций к тяжелым атомам
и двух наборов поляризационных p-функций к легким. В настоящем пособии не рассматриваются
базисные наборы с эффективными потенциалами остова (Effective Core Potentials), которые также широко
используются в настоящее время. ЕСРs - это функции, которые используются для того,
чтобы заменить орбитали остова. Использование ЕСРs позволяет значительно
сократить время расчета, а также учесть некоторые релятивистские эффекты [4].
Заключение
В настоящее время неэмпирические методы позволяют изучать
особенности строения и взаимного расположения ППЭ, механизм реакций,
взаимодействия молекулы с электромагнитным излучением, постоянными или
переменными внешними воздействиями. Наиболее распространено применение
неэмпирических методов для малых молекул, для которых эти методы позволяют
подчас получить практически полное описание с точностью, близкой или даже
превосходящей экспериментальную. Развитие вычислительной техники позволяет
проводить неэмпирическое исследование все более сложных систем, например
аминокислот или их комплексов. Однако для последовательного анализа выделенного
класса родственных соединений целесообразнее использовать методы, учитывающие
их специфику. Обычно молекулы большого размера описывают с помощью
полуэмпирических методов квантовой химии либо других методов моделирования
химических систем [1].
Неэмпирические (ab initio) методы, оставаясь наиболее точными
и последовательными расчетными методами квантовой химии, тем не менее обладают
принципиальными недостатками, затрудняющими их широкое применение:
• большая трудоемкость расчетов, связанная с тем, что время
расчета растет как n4 (где n - число базисных атомных орбиталей (АО)), требует
применения суперкомпьютеров уже для молекул с n~200-250, что соответствует
числу атомов N=10-20 при использовании расширенного базиса;
• до сих пор не решена проблема полного учета корреляционной
энергии Ecorr, величина которой в некоторых случаях сопоставима с энергией
достаточно прочной ковалентной связи, хотя и мала по сравнению с полной
энергией молекулы (Etot) [3].
Список
использованной литературы.
1. Химическая
энциклопедия / «Советская энциклопедия», М. - 1988.
2. Овчинников,
М.Ю. История квантовой химии [Электронный ресурс]/ М.Ю Овчинников // Режим
доступа: http://www.qchem.ru/materials/history/omyu_qchem/. Дата обращения:
20.05.2011.
. Блатов,
В.А. Полуэмпирические расчетные методы квантовой химии/ В.А. Блатов A.П. Шевченко, Е.В.
Пересыпкина/ «Универс-групп», 2005
. Матулис,
В.Э. Прикладная квантовая химия/ В.Э. Матулис, В.Э. Матулис, О.А. Ивашкевич:
учебное пособие. - Минск: БГУ, 2007.
5. David C. Young COMPUTATIONAL CHEMISTRY/ David C. Young. -
2001