Расчет прочности и организация строительства магистрального трубопровода
Содержание
. Расчет прочности трубопровода
2.
Организация подготовительных работ
.
Технологическая карта производства работ по рытью траншеи
.
Материально-технические ресурсы
.
Контроль качества и техника безопасности при строительстве магистральных трубопроводов
.
Природоохранные мероприятия
.
Машинная очистка, изоляция и укладка трубопровода в траншею
Список
литературы
1. Расчет прочности
трубопровода
По ГОСТ 20295-85 «Трубы стальные сварные для
магистральных газонефтепроводов» принимаем трубы прямошовные диаметром 720 мм
(тип 3) класса прочности К52.
Принимаем,
что назначение проектируемого трубопровода - транспортирование природного газа.
Таким образом, трубопровод относится к I
категории по табл. 4 [2].
Трубопровод
работает на растяжение. Расчетное сопротивление стали растяжению R1
определяется
по формуле:
где
-
временное сопротивление разрыву, принимаемое по табл. 7 [1] равным
;
m
-
коэффициент условий работы трубопровода, принимаемый по табл. 1 [2] равным m=0,75
для трубопроводов I категории.
Трубопровод относится к Ι
категории в соответствии с классификацией магистральных трубопроводов (СНиП
2.05.06 - 85).
k1
-
коэффициент надежности по материалу, принимаемый соответственно по табл. 9 [2]
равным k1=1,4 для труб, изготовленных из нормализованной,
термически упрочненной стали;
kн
-
коэффициент надежности по назначению трубопровода, принимаемый по табл. 11 [2]
равным kн=1 при наружном диаметре трубопровода 720 мм и
внутреннем давлении р=3 МПа (р £
5,4 МПа).
R1 =
.
где
n -
коэффициент надежности по нагрузке - внутреннему рабочему давлению в
газопроводе, принимаемый по табл. 13 [2] равным n=1,1;
р
-
рабочее (нормативное) давление, равное р=3 МПа;
Дн-
наружный диаметр трубы, равный Дн=720 мм;
R1
-
расчетное сопротивление растяжению.
δ
.
В соответствии с [1] принимаем δ
= 4,5мм.
Проверку
на прочность подземных трубопроводов в продольном направлении следует
производить из условия:
,
σпрN
- продольное осевое напряжение определяется по формуле :
где
-
коэффициент температурной деформации, равный
;
Е
- переменный модуль упругой деформации;
t
-
расчетный температурный перепад;
t
ºС
принимаем
Dt=30
ºС,
µo
− коэффициент Пуассона, для стали µo
;
n
-
коэффициент надежности по нагрузке;
р
-
рабочее (нормативное) давление;
Двн
-
внутренний диаметр трубы;
Внутренний
диаметр трубы Дв определяется по формуле:
где
Dн - наружный диаметр трубы;
d
-толщина
стенки трубы.
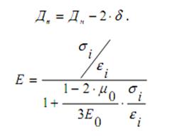
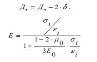
Двн
.
где
si
-
интенсивность напряжений;
ei
-
интенсивность деформаций;
m0
-
коэффициент Пуассона, для стали m0=0,3;
E0
-
модуль упругости, равный E0=2,05×105
МПа.
Переменный
коэффициент поперечной деформации стали m
(коэффициент Пуассона) определяется по формуле:
,
где
si
-
интенсивность напряжений;
ei
-
интенсивность деформаций;
m0
-
коэффициент Пуассона;
E0
-
модуль упругости.
Интенсивность
напряжений si
определяется по формуле:
,
где
sкц
-
кольцевые напряжения от расчетного внутреннего давления.
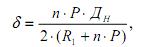
Кольцевые
напряжения sкц определяются по
формуле:
где
n -
коэффициент надежности по нагрузке;
р
- рабочее (нормативное) давление;
Двн
-
внутренний диаметр трубы;
d
-толщина
стенки трубы.
σкц
,
m0
-
коэффициент Пуассона,
σ i
.
Интенсивность деформаций определяется по
формуле:
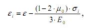
ε
,
ε
i
.
Тогда:
Е
.
Переменный
коэффициент поперечной деформации стали m
равен:
.
Следовательно:
При
,
[3], следовательно:

2. Организация
подготовительных работ
Подготовительные
работы в зависимости от места их выполнения при строительстве линейной части
магистральных трубопроводов можно разделить на работы, выполняемые внутри
строительной полосы и за ее пределами.
Выполнение
подготовительных работ должно быть совмещено во времени и пространстве с учетом
технологической зависимости между различными видами работ и необходимых
разрывов, обусловленных, в частности, правилами техники безопасности,
сезонностью строительства, дискретностью выполняемых работ, распределением
ресурсов.
Подготовительные
работы, выполняемые за пределами строительной полосы, могут быть объединены в
три группы: I группа - инженерная подготовка территории к ее застройке; II
группа - строительство временных сооружений; III группа - инженерно-техническая
подготовка технологических потоков. Подготовительные работы, выполняемые внутри
строительной полосы, объединены в две группы (IV и V): инженерная подготовка
строительной полосы и инженерная технологическая подготовка.
Подготовительные
работы, выполняемые за пределами строительной полосы.
ПЕРВЫЙ
ЭТАП