Координатно-векторний метод розв'язування стереометричних задач
Вступ
Координатний метод розв'язування задач на сьогоднішній день
найбільш потужний і при правильному підході дозволяє розв'язувати фактично всі
види математичних, фізичних, астрономічних і технічних задач. Проте,
координатний метод в рамках шкільної програми використовується доволі обмежено
і неповно. В своїй роботі ми поставили задачу показати, як розв'язуються
стереометричні задачі, якщо на них поглянути «по-іншому», тобто розглянути
задачу в тривимірній системі координат.
Об’єкт - процес навчання учнів
стереометрії у 11 класі.
Предметом дослідження є координатно-векторний метод розв’язування стереометричних задач.
Завдання дослідження:
) Дослідити історію виникнення координатно-векторного методу
навчання розв'язування задач та його розвиток.
) Розкрити
зміст даного методу,розглянути основні формули.
3) Показати застосування
методу на неважких, елементарних задачах, розв'язати факультативні стереометричні задачі з використанням координатно-векторного методу, порівняти і показати його переваги та розкрити методику
викладання даного методу в стереометрії.
) Розробити план-конспет уроку з використанням
координатно-векторного методу для розв’язування стереометричних задач.
1.
Історія виникнення методу координат та його розвиток
Виникнення в першій половиніXVII ст. аналітичної теорії,що встановила
зв’язок між алгеброю і геометрією, не було випадковим. Воно було наслідком як
розвитку математики, так і загальною потребою виробництва, економіки й торгівлі
тієї епохи.
В основі аналітичної геометрії, створеної П. Ферма і Р.
Декартом, лежать дві ідеї:
) ідея координат, що привела до арифметизації площини тому,
що кожній точці площини ставиться у відповідність два числа, взятих у певном,
визначеному порядку, і навпаки;
) ідея вираження будь-якого рівняння двома невідомими як
деякої лінії на площині і, навпаки,представлення будь-якої лінії, визначеної,
як деяке геометричне місце точок, які відповідають рівнянню.
Перша робота, що містила деякий опис системи
координат і використання цього
методу при розв’язуванні задач, була написана приблизно
в середині 30-х років XVII ст. П’єром Ферма і названа ним
«Введение в учение о плоских и телесных местах». До своїх нових ідей Ферма прийшов,
ретельно вивчаючи, як і всі великі
математики того часу, класичні праці давньогрецьких учених, в тому числі Аполонія. Ферма займався навіть відновленням одного втраченого твору Аполонія - «Плоские места».
У передмові до «Введення» Ферма вказує, що давньогрецькі
вчені не володіли загальними методами розв'язування геометричних задач. Кожна задача трактувалася окремо і
незалежно від інших, подібних до неї задач.
Відсутність єдиного загального підходу до дослідження і
вирішення завдань,як і відсутність символіки, призводило до повторення одного і
того ж і робило неможливим раціонально класифікувати різні завдання і
розглядати їх сутність з більш широкої точки зору. Ферма задався метою
встановити загальний підхід до дослідження геометричних місць. Він з самого
початку заявляє, що всяке рівняння між двома «невідомими.
На прямій NZ (Наша вісь абсцис), що позначається буквою А
(наш х), він відзначає початковуточку N, потім при точці Z будує кут NZ1
(зазвичай прямий) і відкладає відрізок Z1 (ординату), що позначається літерою Е
(наш у) і рівний другій невідомій.(Рис. 1)
Одним з недоліків праці Ферма була обмеженість його системи
координат. По-перше, фіксованою вважалася лише вісь абсцис N2. Вісь ординат по
суті відсутня, вона ніби передбачається. По-друге, х і у приймають, як і в
давнину, лише додатні значення. Фактично вся система координат складалася з одного,
першого квадранта.«Геометрія» Декарта була вперше опублікована французькою
мовою в1637 р. у якості одного з трьох додатків до його філософського праці
«Міркування про метод». У ньому, як і в інших своїх творах, Декарт висловив
думку, що математика є найважливішим засобом для розуміння законів Всесвіту і
кращим підтвердженням того, що людський розум здатний знайти істину в науці і
пізнавати природу. Ще в 23-річному віці Декарта осяяла думка про перебудову
всіх наук на математичній, аналітичній основі, думка про створення однієї
єдиної та всеосяжної науки - «Універсальної математики». Ця думка його постійно
надихала, хоча йому так і не вдалося здійснити її повністю. «Геометрія» Декарта
і з'явилася як часткова реалізація загальної його ідеї, як об'єднання
арифметики і алгебри з геометрією. Фактично «Геометрія» Декарта є алгебраїчною
працею, і мало в ній можна знайти з того, що ми сьогодні називаємо
«аналітичноїгеометрією ». Проте основна ідея останньої - алгебраїчний спосіб
дослідження питань геометрії за допомогою методу координат - в ній чітко
викладена. Значна частина «Геометрії» присвячена методам алгебраїчного і
графічного розв’язування
рівнянь.
Отже, не тільки у Ферма, а й у Декарта ще немає того, що ми
називаємосистемою декартових координат на площині, є тільки вісь абсцис з
початковою точкою на ній. Хоча «Геометрія» Декарта ще не являла собою справжню
аналітичну геометрію, все ж вона як наука розвивалася саме під впливом цієї
книги Декарта, а не під впливом «Введення» Ферма, що з'явилася у пресі лише в
1679 р.Через нелегкий стиль і нечіткий спосіб викладу «Геометрія» Декарта
виявилася дуже важкою для читання. Вже в 1649 р. француз Ф. Дебон в своїх
«коротких зауваженнях» коментує і доповнює Декарта. Так само вчинив
голландський математик Франц Ван Скоотен, який видав «Геометрію» Декарта
латинською мовою в 1649 і 1659 рр. У ван Скоотена ми вже знаходимо самостійне
рівняння прямої у = аx + к, перетворення координат і
т.п. Дж. Валліс вперше ввів і від’ємні абсциси, які він застосував разом із
від’ємними ординатами. Метод координат поступово пробивав собі дорогу. Деякі з
послідовників Декарта хоча і малювали другу вісь координат, але не
застосовували її. Істотним поштовхом для подальшого розвитку координатної
геометрії на площині були невелика праця Ньютона «Перерахування кривих третього
порядку» (1706) і книга його співвітчизника Дж. Стірлінга «Ньютонові криві
третього порядку» (1717), в яких використовувалися обидві осі (хоча вісь V ще
не вважалася рівноправноюз віссю X) і квадранти. Лише Г. Крамер у своєму
«Введення в аналіз алгебраїчних кривих »(1750) вперше ввів вісь V, вважаючи її
рівноправною з віссю X1, і чітко користувався поняттям двох координат точки на
площині. Цього нововведення, однак, ще немає в другому томі «Введення в
аналіз»(1748) Ейлера. З іншого боку, ця робота Ейлера, присвячена геометрії,
стала першою в сучасному сенсі аналітичної геометрії конічних перерізів.
Близькі до сучасних нові позначення і розташування матеріалу плоскої
аналітичної геометрії ми знаходимо вперше у С. Лакруа в «Елементарний курс
прямолінійної і сферичної тригонометрії та програм алгебри до геометрії », який
перевидавався багато разів протягом цілого століття, починаючи з 1798 р.Ще
складніше щось говорити про полярну систему координат. Вважається, що її основи
були також закладені в геометрії Декарта, але подальшого глибокого розвитку її
в математиці не простежується. І математики мало приділяють уваги полярній
системі координат. Це пов'язано з незручністю її використання при проведенні
розрахунків і побудов, а також складністю сприйняття об'єктів в полярній
системі координат. Хоча, при вивченні об'єктів, що знаходяться на величезних
відстанях і недоступних об'єктів дуже зручно використовувати саме полярну
систему координат. Вся теорія руху небесних тіл побудована на основі полярної
системи координат. Були розроблені формули переходу від декартової системи
координат в полярну і навпаки.
На даний момент, різні системи координат застосовуються у
різних галузях науки. В школі найчастіше працюють з декартовими та полярними системами
координат. А основні положення вчень відомих математиків стали основою
координатного методу розв’язування задач, який частково
досліджується в роботі.
2. Координатно-векторний
метод розв’язування стереометричних
задач
Деякі метричні задачі зручно розв’язувати за допомогою
координатно-векторного методу. Це перш за все завдання, в яких мова йде про
куб, прямокутний паралелепіпед або тетраедр з прямим кутом. Прямокутна система
координат у просторі природним чином пов'язана з многогранниками, при цьому
серед координат їх вершин є багато нулів, що спрощує обчислення.
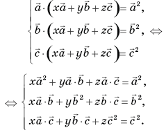
Сутність координатного методу, як і векторного, полягає в
тому, що геометрична задача перекладається на мову алгебри, і її розв’язання
зводиться до розв’язання рівнянь, нерівностей чи їх систем.
З курсу стереометрії відомо, що рівняння площини, що проходить через
точку 
перпендикулярно
ненульовому вектору 
в
прямокутній системі координат має вигляд:

,

,
де 
Навпаки, будь-яке рівняння першого степеня 
визначає
в координатному просторі єдину площину, яка перпендикулярна вектору з
координатами (A, B, C).
Положення площини в просторі однозначно визначається заданням трьох точок,
що не лежать на одній прямій. Нехай дана площина перетинає осі координат в
точках 
,

,

,
але не проходить через початок координат. Підставивши координати цих точок у
загальне рівняння площини, отримаємо:

,

,

,
де числа
відмінні від нуля. Звідси знаходимо:
і рівняння 
приводиться
до вигляду:
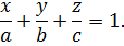
Отримане рівняння називають рівнянням площини у відрізках. Його часто
застосовують при розв’язуванні задач.
Як відомо, відстань між двома точками 
і 
обчислюється
за формулою:
Користуючись даною формулою можна легко вивести рівняння сфери.
В прямокутній системі координат рівняння сфери радіуса R з центром в
точці 
має
вигляд:
Якщо центр сфери співпадає з початком координат, то рівняння матиме
вигляд:
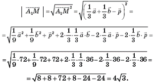
Розглянемо способи задання прямої в координатному просторі.
Нехай пряма l проходить через дану точку 
і
паралельна ненульовому вектору 
Вектор

називають
напрямним вектором прямої l (рис. 2).
Довільна точка 
належить
прямій l тоді і тільки тоді, коли вектори

або

де t- деяке число (параметр). Дане співвідношення в координатах
рівносильне системі рівнянь:
Дану систему називають параметричними рівняннями прямої.
Якщо пряма l паралельна осі 
то
вектор 
є
напрямним вектором, і рівняння прямої прийме вигляд: 

(координата
z прийме довільне значення).
Нехай жодна з координат вектора 
не
рівна 0. Тоді виключивши з отриманих рівнянь параметр t , отримаємо рівняння:
Отримані рівняння називаються канонічними рівняннями прямої.
Виведемо формулу для обчислення відстані від даної точки 
до
площини 
,
заданої в прямокутній системі координат рівнянням
Нехай перпендикуляр, проведений з точки 
до
площини 
,
перетинає її в точці 
(Рис.
3).
Тоді

Так як вектор 
перпендикулярний
площині 
і
колінеарний вектору 
то
згідно з визначенням скалярного добутку,
Позначимо 
Тоді
Виразимо скалярний добуток, що стоїть в знаменнику дробу, через
координати векторів 
і

Отримаємо:
Точка 
лежить
в площині 
,
тому 
.
Таким чином, маємо:
Враховуючи, що 
,
отримаємо:
Отже, для того щоб обчислити відстань від точки 
до
площини 
,
потрібно в многочлен 
замість

підставити
координати точки 
,
взяти модуль отриманого числа і поділити його на число 
Наведемо основні векторні співвідношення і формули, які
використовуються для розв'язування стереометричних задач.
) Для будь-яких трьох точок Α,
Β,C має
місце рівність:

(правило
трикутника).
2) Для будь-яких трьох точок Α,
Β і О
виконується рівність:

.
3) Для того, щоб точка С лежала на прямій АВ, необхідно
і достатньо, щоб існувало таке число k, що
З даної рівності випливає, що

.
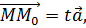
4) Нехай А і В - дві різні точки прямої і точка С - точка даної
прямої така, що 
.
Доведемо істинність формули:
де О - довільна точка.
Відмітимо, що 
,
інакше було б, що 
,
або

,
тобто 
.
Але це неможливо, тому що А і В різні точки.
Нехай 
або

Користуючись
правилом віднімання векторів, отримаємо:

,

,
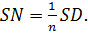
Дану формулу називають формулою ділення відрізка в даному відношенні. Якщо
С - середина відрізка АВ, то 
і

.
5) Чотирикутник ABCD є паралелограмом тоді і тільки
тоді, коли виконується одна з наступних рівностей:

,

,

,
де O - довільна точка простру.
) Якщо вектори 
і

неколінеарні,
то для будь-якого вектора 
,
що лежить в одній площині з 
і

,
існує єдина пара чисел x і y таких, що 
.
) В просторі для кожного вектора 
існує
єдиний розклад за трьома некомпланарними векторами 
,

,

:
(x, y, z - однозначно визначені числа).
8) Нехай точки А, В, С не лежать на одній прямій; тоді для того
щоб точка D лежала в площині АВС, необхідно і достатньо, щоб існувала така пара
чисел α
і β, що 
.
При розв’язуванні різних геометричних задач на
обчислення довжин відрізків і величин кутів, на доведення геометричних
нерівностей ефективно використовувати скалярне множення векторів. Нагадаємо
його основні властивості.
1) З визначення скалярного
добутку слідує, що

,
тобто скалярний квадрат вектора рівний квадрату його довжини. Отже, для
знаходження довжини відрізка AB може бути використана формула

.
За допомогою скалярного добутку двох векторів можна знаходити довжину
відрізка, величину кута, отже, знаходити відстані, площі та інші метричні
характеристики геометричних фігур. Для доведення перпендикулярності прямих і
площин зручно користуватися ознакою перпендикулярності двох ненульових
векторів:
Для знаходження довжини відрізка АВ векторним способом в якості
базисних вибирають такі вектори, довжини яких і кути між якими вже відомі.
Потім записують розклад вектора 
за
базисними векторами і знаходять:
Якщо в задачі потрібно знайти величину кута 
,
то в якості базисних беруть вектори з відомими відношеннями їх довжин і кутами
між ними. Потім вибирають вектори
на сторонах цього кута з початком в його вершині і розкладають їх по базису,
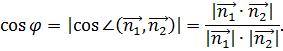
після чого знаходять cos φ за формулою
2) Для будь-яких векторів 
і

має
місце нерівність

.
3) Відрізки AB і CD
перпендикулярні тоді і тільки тоді, коли

.
4) Для будь-яких векторів 
і

має
місце формула:
Для успішного використання векторного методу, корисно знати
деякі рівності, які часто використовуються для роз’язування задач.
5) Для будь-яких векторів 
,

,

виконується
рівність:

.
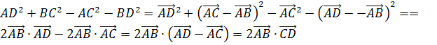
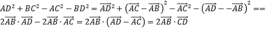
6) Для будь-яких трьох точок A,
B і C:

,
теорема косинусів.
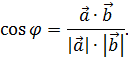
7) Для будь-яких чотирьох точок
A, B, C, D:

.
Вектори 
і

в
лівій частині представимо у вигляді різниці двох векторів, відкладених від
точки A. Отримаємо:

.
Доведена рівність є узагальненням рівності 6), яка випливає з неї при
співпаданні точок D і A.
3. Приклади
розв’язання стереометричних задач
координатно-векторним методом
В шкільному курсі математики координатно-векторний
використовується для роз’язування стереометричних
задач дуже мало. На вивчення теми «Вектори і координати» у 11 класі виділяється
10 годин. Застосування координатно-векторного проводиться по аналогії із його
застосуванням в планіметрії. Даний метод в шкільному курсі геометрії
використовується для досить легких та типових задач. Тому пропонуємо добірку
задач, які доречно було б розглянути на факультативних заняттях, для
поглиблення знань про координатно-векторний метод. При розв’язанні стереометричних задач такого
типу легко помітити переваги координатно-векторного методу над іншими методами,
які вимагають знання великої кількості означень, ознак і формул [4].
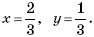
Задача 1
Основою піраміди SAΒCD є паралелограм. Проведено площину, що перетинає бічні
ребра SA, SΒ,
SC, SD піраміди відповідно в
точках K, L, M, N таких, що 




Знайти
залежність між числами k, l, m, n.
Розв’язання.
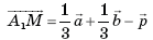
За умовою належності чотирьох точок M, N, K і L, маємо:
Представимо кожен із векторів, що входять в рівність у
вигляді різниці двох векторів зі спільним початком в точці S. Отримаємо:

.

,
де γ=1-α-β.
Враховуючи умову задачі і попередню рівність перепишемо так

.
Позначимо через точку О перетин діагоналей паралелограма AΒCD.
Так як О - середина діагоналей AC
і ΒD,
то

2
.
Таким чином, вектор 
виражаємо
двома способами через не компланарні вектори 
,

і

.
В силу єдиності розкладу вектора, отримуємо числові рівності:

,

Звідси, враховуючи, що 
,
знаходим:
Наведемо числовий приклад. Якщо площина проходить через вершину A
тетраедра AΒCD
і перетинає його ребра SΒ і SD в точках L і N таких, що 
,

,
то 
,

,

,
значить 
,
тобто 
.
Задача 2 (побудова і обчислення довжини спільного
перпендикуляра) [6, с. 22 ]
В кубі ABCDA1B1C1D1 з ребром 
знайдіть
відстань між прямими AB1 і BC1.
Розв’язання.
Виберемо векторний базис 
,
де 

,

Нехай
P і Q - деякі точки відповідно прямих BC1 і AB1. Нехай


Тоді, 
Знайдемо такі числа x і y, щоб вектор 
був
ортогональним векторам 
і

,
і т. д., щоб мали місце рівності:
Беручи до уваги, що 
та,
що 
отримуємо
систему:

,

Точки P і Q шуканого спільного перпендикуляра будуються відповідно з
отриманих рівностей 
і

А
так як 
то


Умова компланарності трьох векторів.
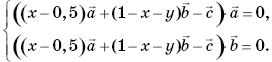
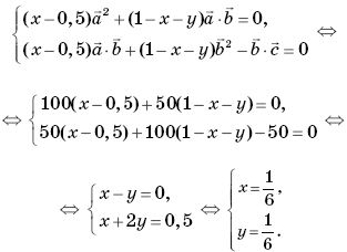
Задача 3
В паралелепіпеді АВСDА1В1С1D1 точка М - середина діагоналі
А1С1 грані A1B1C1D1, точка K - середина ребра ВВ1. Доведіть, що прямі А1В1, KМ
і ВС1 паралельні деякій площині.
Розв’язання.
Введемо вектори: 


Трійку 
некомпланарних
векторів,
приймемо
за базис. Розкладемо вектори 
за
векторами цього базису.Маємо:

Це означає, що вектори 



компланарні;
отже, вони паралельні деякій площині, тоді цій площині паралельні і прямі А1В1,
KМ і ВС1, для яких вектори є напрямними.
Задача 4
На діагоналях АВ1 і ВС1 граней AA1B1B і ВВ1С1С паралелепіпеда
ABCDA1B1C1D1 взяті точки відповідно Н і M так, що відрізки MН і A1C паралельні.
Знайдіть відношення довжин цих відрізків.
Розв’язання.
Введемо вектори:



Трійку 
,
некомпланарних векторів приймемо за базис і розкладемо вектори 
за
векторами цього базису.Маємо:
Оскільки точка Н лежить на діагоналі АВ1, то вектори колінеарні, тому
існує таке число х, що 
Аналогічно,
в силу колінеарності векторів 
існує
таке число у, що
За правилом ламаної знаходимо:
За умовою MН ׀׀A1C, значить, існує таке число t, що 
тобто
виконується рівність:
Внаслідок некомпланарності векторів 
і
єдиності розкладу вектора за базисом, приходимо до висновку:

,

,

.
Розв’язком цієї системи рівнянь є:
Тоді

виходить,
МН: СА1 = 1: 3.
Відповідь: 1: 3.
Скалярний добуток двох векторів
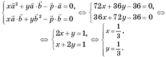
Задача 5 [4]
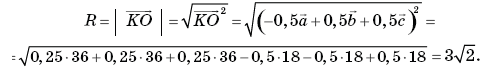
У кубі ABCDA1B1C1D1, ребро якого дорівнює 6, знайдіть:
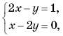
а) відстань від вершини А1 до площини ВС1D;
б) кут між діагоналлю ВА1 межі АА1В1В і площиною ВС1D.
Розв’язання.
а) Нехай відрізок A1М - перпендикуляр опущений з вершини А1
на (ВС1D), М (ВС1D) (рис. 4). Тоді A1М = ρ (А1; (ВС1D)). Знайдемо довжину
відрізка A1М.
За правилом трикутника маємо:
Позначимо: 
а
в площині ВС1D введемо базис 
де

і
запишемо розклад вектора 
за
векторами цього базису у вигляді:
Так як A1М
(ВС1D),
то A1М ⟘ ВС1, A1М ⟘ ВD (за визначенням прямої, перпендикулярної
до площини), значить,
Коефіцієнти х і у в розкладі
вектора знайдемо, користуючись умовою:
яка
рівносильна системі рівнянь

(
)
Перш ніж розв’язувати. цю систему
рівнянь, знайдемо скалярні добутки векторів:
Так як трикутники ВС1D, A1ВС1,
A1ВDv-правильні і рівні, то довжини їх сторін рівні
а
Тоді:
(**)
(***)
Повернемося до розв'язання системи рівнянь (*).
Враховуючи співвідношення (**) і
(***) і властивості скалярного добутку векторів, отримуємо:
і
Таким чином,
б) Позначимо (ВА1;(ВС1D)) = φ.
Так як А1М ⟘ (ВС1D), то ВМ - ортогональна
проекція ВС1 на (ВС1D),
значить, 
(ВА1;(ВС1D))
= ∠(ВА1; ВМ) =
= ∠А1ВМ = φ. Використовуючи співвідношення (**) і (***) і те, що
вектор
при
має вигляд
знаходимо:
Відповідь.
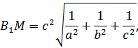
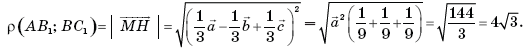
Задача 6
Знайдіть відстань між перехрещеними діагоналями АВ1 і ВС1
суміжних граней АА1В1В і ВВ1С1С куба ABCDA1B1C1D1, якщо ребро цього куба
дорівнює 12.
Розв’язання. Введемо вектори:
(мал.5). Трійку
некомпланарних векторів
приймемо за базис і розкладемо
вектори
за векторами цього базису. Маємо:
Нехай відрізок МН - спільний перпендикуляр прямих АВ1 і ВС1
(Н∊АВ1, М∊ВС1). Тоді довжина відрізка
МН дорівнює відстані між цими прямими: ρ(АВ1;ВС1) = |МН|. Оскільки точка
Н лежить на діагоналі АВ1, то вектори
колінеарні, тому існує таке число х,
що
Аналогічно, в силу колінеарності
векторів
існує таке числоу, що
За правилом ламаної знаходимо:
(1)
Враховуючи, що базисні вектори
попарно взаємно перпендикулярні і
довжина кожного з них дорівнює 12, маємо:
Отримуємо:
Таким чином, система векторних
рівностей (1) рівносильна системі рівнянь
розв’язком якої є:
Тоді
Значить,
Відповідь. 
.
Многогранники, фігури обертання і вектори
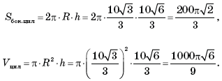
Задача 7
Навколо правильної чотирикутної піраміди, кожне ребро якої
дорівнює 10, описаний циліндр так, що всі вершини піраміди знаходяться на колах
основ циліндра. Знайдіть об'єм та площу бічної поверхні циліндра.
Розв’язання.
Нехай вершина Р цієї піраміди РАВСD лежить на колі з центром
О нижньої основи циліндра, описаного біля цієї піраміди (рис.11).
Так як кожне ребро піраміди дорівнює 10, то радіус R кола
основи,описаного навколо правильного трикутника РАВ зі стороною 10, дорівнює
Нехай точка М - середина ребра СD, МK
- перпендикуляр опущений з точки М на площину АВС основи циліндра, K∊(АВС). Тоді МK ⟘ ВА, МK ⟘ ВР (за визначенням прямої,
перпендикулярної площині), при цьому висота h циліндра дорівнює
.
Знайдемо
для цього введемо в якості базисних не компланарні вектори
розкладемо вектор
у базисі
і знайдемо
Маємо:
Тоді:
Значення x і y знайдемо з умови:
(2)
Система (2) рівносильна системі рівнянь:
….. (3)
Перш ніж розв’язувати цю систему рівнянь, знайдемо скалярні
добутки векторів:
Маємо: трикутники АВР, РВС - правильні і рівні, а довжини їх
сторін рівні
АВСD - квадрат зі стороною 10, тому
Тоді:
(4)
(5)
(6)
Продовжимо розв’язання системи рівнянь (3). На підставі
властивостей скалярного добутку векторів, враховуючи (4) - (6), отримуємо:
Тоді:
Значить,
Відповідь.
Сфера, описана навколо тетраедра, та вектори
Якщо дані довжини трьох ребер РА, РВ і РС тетраедра РАВС, що
виходять з його вершини Р, а також відомі величини плоских кутів при цій
вершині, то за допомогою векторів можна знайти радіус, а отже і площа сфери
(об'єм кулі), описаної навколо цього тетраедра.
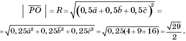
Задача 8
У трикутної піраміді РАВС всі плоскі кути при вершині Р
прямі. Знайдіть площу сфери, описаної навколо цієї піраміди, якщо РА = 2, РВ =
3, РС = 4.
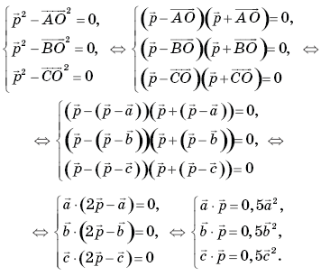
Розв’язання. Нехай точка О - центр сфери, описаної навколо тетраедра РАВС, R - радіус
цієї сфери. Тоді ОА = ОВ = ОС = ОР = R.
Введемо не компланарні вектори
(рис.7) і приймемо їх за базисні в
просторі. Тоді
при цьому
Знайдемо коефіцієнти х, у і z в цьому розкладі вектора
За правилом трикутника, маємо:
звідки
З рівностей ОА = ОВ = ОС = ОР (як
радіуси сфери, описаної навколо тетраедра РАВС) випливає,
що означає,
Тоді отримуємо:
Зауважимо, що так як базисні вектори
попарно перпендикулярні і довжини їх
рівні відповідно 2, 3 і 4, то
(7)
Замінюючи
виразом
в останній системі рівнянь і
враховуючи (7), отримуємо:
Тоді,
Значить,
Відповідь. 
.
Тригранний кут, сфера та вектори
Якщо відомі величини плоских кутів при вершині Р тригранного кута РАВС
і дано відстань РО від цієї вершини до центру О сфери, що дотикається до всіх
трьох ребер РА, РВ і РС цього кута, то можна знайти радіус, а значить і площу
цієї сфери.
Задача 9
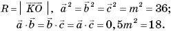
У тригранному куті РАВС відомі величини плоских кутів при вершині
Р: ∠АРВ = ∠ВРС = ∠АРС = 60 ° [2].
Сфера, центр якої віддалений від вершини Р на відстань, рівну 
дотикається
до всіх ребер цього кута. Знайдіть радіус даної сфери.
Розв’язання.
Нехай сфера дотикається ребер РА, РВ
і РС в точках відповідно K, Н і М. Тоді РK = РН = РМ (як відрізки дотичних,
проведених до сфери з точки Р), при цьому ОK = ОН = ОМ = R ( R - радіус сфери),
ОK ⟘ РА, ОН ⟘ РВ, ОМ ⟘ РС (як радіуси сфери,
проведені в точки дотику її з ребрами кута).
Введемо не компланарні вектори
(рис. 8) і приймемо їх як базисних в
просторі. Тоді
причому
Так як РK = РН = РМ, то
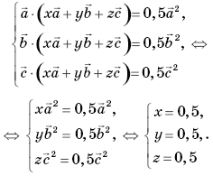
Знайдемо значення коефіцієнтів х, у,
z розкладу вектора
використовуючи наступний факт: ОK ⟘ РА, ОН ⟘ РВ, ОМ⟘РС, тобто
Маємо:
При цьому:
Замінивши в трьох останніх рівностях
вектор
виразом
отримуємо:
Знайдемо скалярні добутки векторів:
координатний векторний стереометричний задача
Маємо:
∠АРВ = ∠ВРС = ∠АРС = 60°;
Тоді:
(9) - (10)
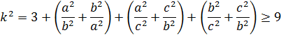
Продовжимо розв’язання системи рівнянь (8). Після поділу на
m2 обохчастин кожного рівняння системи (8), враховуючи (9) - (10), отримуємо:
Після додавання всіх рівнянь останньої системи отримуємо: х +
у + z = =1,5. Тоді з першого рівняння 2х + у + z = 2 отримуємо: х + 1,5 = 2,
звідки х = =0,5. Аналогічно, з другого і третього рівнянь системи знаходимо: y
= 0,5, z = =0,5.
Таким чином,
(Рівність коефіцієнтів розкладання вектора
означає, що центр О сфери, що
дотикається всіх ребер тригранного кута з плоскими кутами 60 °, лежить на
прямій перетину бісектральних площин двогранних кутів при ребрах цього
тригранного кута.) Знайдемо довжини базисних векторів та враховуючи умову і
співвідношення (9) - (10).Одержуємо:
Тоді маємо:
Тепер знайдемо радіус R сфери, враховуючи, що
Маємо
Тоді
Відповідь. 
.
Задача 10
Дано тетраедр ABCD, у якого всі плоскі кути при вершині D прямі, 
,
,

і

,
де 
-
висота тетраедра. Довести, що
Розв’язання.
Візьмемо точку D за початкову точку, а напрямлені прямі DA, DB, DC за
осі прямокутної системи координат. Вершини тетраедра матимуть координати 
,

,

.
Запишемо рівняння площини у відрізках:

За формулою відстані від точки до площини знайдемо висоту тетраедра:
і отримаємо відношення:

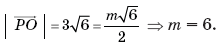
Дано прямокутний паралелепіпед ABCDA1B1C1D1, в якому 
,

,

.
Через вершину B1 проведена пряма 
перпендикулярно
площині 
.
Довести, що якщо 
,
то пряма 
перетинає
грань ABCD в деякій точці М. Знайти 
[16].
Розв’язання.
Введемо в просторі прямокутну систему координат з початком в т D (Рис.
14).
Вершини паралелепіпеда матимуть координати 
,

,

,

.
Запишемо рівняння площини 
:
Вектор 
перпендикулярний
до площини 
і
є напрямним вектором прямої 
:
де 
.
Знайдемо координати точки 
перетину
прямої 
з
площиною 
.
Нехай 
,
тоді 


Очевидно, якщо 
,
то 
,

.
Значить, точка М лежить всередині прямокутника ABCD.
За формулою відстані між двома точками знаходимо
чи 
де
h - відстань від точки D до площини 
.
Зауваження. Отримана формула показує, як отримати
елементарно-геометричний розв’язання задачі.
Нехай перпендикуляр 
до
площини 
перетинає
площину A1B1C1 в точці 
.
Тоді 
-
паралелограм. З трикутника DND1 випливає, що 
тому

.
Задача 12
Дано прямокутний паралелепіпед ABCDA1B1C1D1. Яке найбільше значення
може приймати кут нахилу його діагоналі 
до
площини 
?
Розв’язання.
Виберемо в просторі прямокутну систему координат з початком в точці D.
Рівняння площини 
має
вигляд:
Вектор 
перпендикулярний
до площини 
.
Позначимо шуканий кут через 
.
Легко довести, що 
Знаходимо 
Значить,

де
З очевидної нерівності 
слідує,
що 
Звідки слідує, що:
і 
,
причому 
тоді
і тільки тоді, коли 
Таким чином, 
і

приймає
найбільше значення, рівне 
лише
за умови, що паралелепіпед є кубом.
Отже, якщо 
-
напрямний вектор даної прямої і 
-
вектор, перпендикулярний до площини 
то
кут 
між
прямою і даною площиною знаходиться з рівності
Величина кута між двома площинами обчислюється за визначенням від 0° до
90°. Якщо вектори 
і

-
вектори перпендикулярні відповідно площинам 
і

то
кут між даними площинами знаходиться з рівності
(даний кут або рівний куту між векторами 
і

або
доповнює його до 180°.)[15]
Задача 13
Дано куб ABCDA1B1C1D1. Знайти кут між площинами 
і

Розв’язання[4].
Так як 
і

то
вектор 
перпендикулярний
площині 
Аналогічно,
вектор 
перпендикулярний
до площини 
Виберемо прямокутну систему координат з початком в точці D і
координатними векторами 
Тоді
вершини куба будуть мати координати 
а
вектори 
-
такі ж координати, як і точки 
і

:

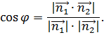
Кут 
між
площинами 
і

знайдемо
за формулою:
Так як 
Відмітимо, що лінійний кут AMC двогранного кута з ребром 
тупий
і рівний 120°.
Традиційне розв’язання задачі полягає в побудові лінійного кута AMC
двогранного кута 
обчислення
сторін трикутника AMC, а потім і кута AMC.
Аналітичне розв’язання задачі підштовхує на ще один, більш простий
спосіб розв’язання. Трикутник 
-
рівносторонній, так як кожна його сторона рівна діагоналі квадрата з стороною
1. Значить, кут між векторами 
рівний
60°.
Метод координат з успіхом може застосовуватись при розв’язуванні
задач на відшукання множини точок з певною властивістю.
Задача 14
Дано дві точки простору 
Знайти
множину точокМ простору, для яких 
де
c - даний відрізок[2].
Розв’язання.
Виберемо прямокутну систему координат з початком в точці А, напрямок
осі абсцис - напрямок променя АВ.
Нехай 
-
довільна точка простору, 
Точка
В буде мати координати (
).
За формулою відстані між двома точками, отримаємо рівняння:
чи 
звідки
Отже, шукана множина точок є площиною, перпендикулярною прямій АВ.
4. Розробка
уроку з використанням координатно-векторного методу розв’язування стереометричних задач
План-конспект уроку
Урок геометрії в 10 класі з теми «Координатно-векторний метод»
Мета:
· сформувати уявлення про координатно-векторний метод розв’язування задач, показати його переваги;
· розвивати навички критичного мислення, рефлексії;
· виховати працелюбність, вольові якості.
Хід уроку. Організаційний момент
Перевірка готовності учнів до уроку. Сьогодні на уроці ми
продовжуємо розв’язувати стереометричні задачі
та розглянемо новий метод. Кожен учень під час уроку буде оцінений. За кожен
етап уроку ви самі собі виставляєте бали у табличку. Виставлені вами бали я
порівняю зі своїми та виставлю вам у журнал.
Оцінювальна табличка
|
Вид роботи
|
Оцінка
|
|
Домашня робота
|
|
|
Бліц опитування
|
|
|
Самостійна робота
|
|
|
Розв’язування задач
|
|
|
Кінцева оцінка
|
|
. Перевірка домашнього завдання.
Учні звіряють відповіді домашнього завдання, виставляють бали
у оцінювальну таблицю.. Актуалізація опорних знань.
Бліц - опитування
Завдання: Записати першу букву слова, яке відповіддю на
запитання.
) Положення точки на координатній площині (ОВ.
координати).
) Перша цифра (ОВ. одиниця).
) Інша назва перпендикулярних прямих (ОВ. ортогональні
прямі).
) Пряма CD для піраміди (ОВ. ребро).
) Математик, в честь якого назвали прямокутну систему
координат (ОВ. Декарт).
) Восьма буква в слові «математика» (ОВ. «и»).
) Числа, що використовуються при лічбі (ОВ. натуральні
числа).
) Перша буква алфавіту (ОВ. «а»).
) Три точки, що не лежать на одній прямій і три
відрізки, що послідовно їх сполучають (ОВ. трикутник).
) Що позначає стрілка у вектора? (ОВ. напрям)
) Точка, якою позначають початок координат (ОВ. «О»).
12) Направлений відрізок (ОВ. вектор).
13) Четверта буква в слові «математика» («е»).
14) Вектори, що лежать на паралельних
прямих (ОВ. колінеарні вектори).
) Правильний многогранник, що складається з чотирьох правильних трикутників (ОВ. тетраедр).
) Одиничний вектор (ОВ. орт).
17) Сторона грані многогранника (ОВ. ребро).
18) Довжина
вектора 
(ОВ.
нуль).
) Нам
бичок сказав: «Уви! Немає слів на букву …» (ОВ. «И»)
20) Який молочний
продукт найчастіше рекламують? (ОВ.
йогурт)
21) Відрізок, що сполучає вершину трикутника з серединою протилежної сторони (ОВ. медіана).
) Давньогрецький математик, творець геометрії (ОВ. Евклід).
23) Твердження, яке потребує доведення (теорема).
) (На
моделі піраміди) Дайте назву вказаної грані(ОВ. основа).
25) Кут, утворений
двома півплощинами зі спільним ребром (ОВ. двогранний кут).
IV. Повідомлення теми, мети і завдань уроку.
Отже, тема нашого уроку координатно-векторний метод розв’язування задач. Сьогодні на уроці, ми
дізнаємось як використовується координатно-векторний метод розв’язування задач та його переваги над
іншими методами.. Самостійна робота
Варіант 1
. ABCDA1B1C1D1 - паралелепіпед. Спростіть вираз:
2. Визначити довжину відрізка АВ; точки мають
координати А(1, 2, 0), В(5, 3, 1).
Варіант 2
. ABCDA1B1C1D1 - паралелепіпед. Спростіть вираз:
2. Визначити довжину відрізка АВ; точки мають
координати А(0, 2, 0), В(3, 3, 1).
Перевірка самостійної роботи, виставлення балів в оцінювальну
таблицю.. Розв’язування задач
Задача 1
Довести, що медіани тетраедра перетинаються в одній точці і
діляться у цій точці в відношенні 3:1, починаючи від вершини.
Розв’язання.
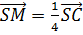
Візьмемо на медіані 
тетраедра
AΒCD
точку М таку, що 
.
За формулою поділу відрізка в даному відношенні, маємо:
де О - довільна точка простору.
Враховуючи, що точка М задовольняє рівність

,
отримаємо:

.
Для точки M´, що
ділить будь-яку з трьох інших медіан тетраедра AΒCD у відношенні 3:1, починаючи від вершини,
отримаємо такий самий вираз (симетричний відносно
). Значить, 
і
всі чотири медіани тетраедра перетинаються в одній точці М і кожна з них
ділиться цією точкою у відношенні 1:3, починаючи від вершини тетраедра. Точку М
називають центроїдою тетраедра.
Задача 2
У сферу вписано правильну чотирикутну піраміду з двогранним кутом при
основі 
.
Знаючи, що площа сфери дорівнює S, знайти площу основи піраміди[13, c. 478 - 479].
Розв’язання.
Вибиремо систему координат з початком в точці М - центр основи; додатні
напрямки осей x, y, z збігаються відповідно з напрямками променів МВ, МС, МS,
на яких лежать діагоналі основи і висота піраміди. Позначимо сторону основи a.
У вибраній системі координат 

,

Аплікату точки S визначимо з прямокутного трикутника 
,
де 

Отже, 
Аплікату 
центра
О сфери визначимо із співвідношення:
враховуючи, що 


Отже, маємо

.
Звідси
Радіус описаного кола
Відомо, що 
або
Із цієї рівності визначимо площу основи піраміди SABCD:
VII. Повідомлення домашнього завдання.
Задача 1
Бічні грані правильної шестикутної призми - квадрати. Знайти
величину кута між схрещеними діагоналями суміжних граней призми [1].
Розв’язання.
Нехай 
-
правильна шестикутна призма. Потрібно знайти кут між прямими 
і

.
Розкладемо вектори 
і

за
не компланарними векторами 
,

і

.
Отримаємо:

,

.
Довжини векторів 
,

,

однакові,
приймемо їх за 1, тоді 
.
Кут між векторами 
і

рівний
60°, 
,

.
Звідси,
Нехай 
-
кут між прямими 
і

,
тоді 
Отже, 
.
Розв’язування векторним способом подібних задач набагато
простіше і ефективніше, ніж звичайними способами.
VIII. Підведення підсумків уроку.
Виставлення балів за таблицями оцінювання.
Висновки
Отже, при розв'язуванні стереометричних задач, крім
традиційних методів з використанням алгебри і тригонометрії, можуть
використовуватись і інші методи, в тому числі і координатно-векторний.
Координатно-векторний метод поєднує в собі два методи розв’язування задач: векторний та
координатний. Порівнюючи
вказаний метод з іншими методами розв’язування стереометричних задач ми виявили,що дуже часто він дозволяє
уникнути штучних побудов, спрощує розв’язання багатьох геометричних задач і доведення теорем. Він зручний також
тим, що не потрібно використовувати велику кількість формул, ознак і властивостей
фігур.
Координатно-векторний метод в шкільному курсі геометрії
застосовується дуже мало, хоч і є досить зручним. Дивлячись на те, що учні не
дуже добре розуміють вказаний метод, важливо поєднувати координатно-векторний
метод разом із аналітичним методом. Такий підхід до розв’язування
стереометричних задач сприятиме відшуканню більш простих та доступних
розв’язків задач і кращому засвоєнню учнями навчального матеріалу.
Список використаних джерел
1. Артеменко Н. М. Методи розв’язування
стереометричних задач // Математика в школах України. - № 5. - с. 6-12.
2. Атанасян Л.С., Атанасян В.А. Сборник задач по
геометрии, ч.1.-М.:Просвещение,1974.
3. Атанасян Л.С.,Базылев В.Т. Геометрия. В 2-х ч..
Ч.1.- М.: Просвещение,1986.-336 с.
. Григорьева Т. П. К изучению скалярного произведения
скалярного произведения векторов // Математика в школе, 1979. - № 6, с. 43-44.
5. Бевз Г. П. Методика викладання математики:
навчальний посібник. - 3-тє вид., перероб. і допов. - К.: Вища школа, 1989. -
367 с.
. Бевз Г. П. Методика розвязування стереометричних
задач. Посібник для вчителя. - Київ: Радянська школа. - 1988
. Кушнир А. И. Векторные методы решения задач. - К.:
Обериг - 1994р.- 210 с. Готман Э. Г. Стереометрические задачи и методы их
решения. - М.: МЦНМО, 2006. - 160 с.
. Окунев А. А. Об эксперементальном преподавании
стереометрии// Математика в школе, 1985. - № 3, с. 36-39.
. Понарин Я. П. Элементарная геометрия: В 2 т. Т. 2:
Стереометрия, преобразования пространства. - М.:МЦНМО, 2006. - 256 с.
. Потоскуев Е. Векторный метод решения
стереометрических задач // Математика., 2009. - № 6.
. Прасолов В. В., Шарыгин И. Ф. Задачи по
стереометрии. -М.: Наука, 1989.
. Прус А. Шкільний курс стереометрії // Математика в
школі. - 2008. - № 11. - с. 23-26.
. Слєпкань З. І. Методика навчання математики:
[підруч. для студ. мат. спеціальностей пед. навч. закладів]. - К.: Зодіак-ЕКО,
2000.- 512 с.
. Слєпкань З. І. Методика навчання математики:
Підручник. - 2-ге вид., допов. і переробл. - К.: Вища школа, 2006. - 582 с.
. Уткина Т. И. К методике обучения учащихся решению
задач с помощью векторов // Математика в школе, - 1979, № 4. - с.37-39.
. Шувалова Э. Координатный метод // Математика в
школе. -1978.-№ 4. - с. 6-12.