Проектирование РПУ мобильного терминала системы цифровой сотовой связи стандарта GSM-1800
Проектирование
РПУ мобильного терминала системы цифровой сотовой связи стандарта GSM-1800
Содержание
Введение
Структура
стандарта
Общие
характеристики стандарта
1. GMSK
- модуляция
2. Метод
MSK
. Модулятор
MSK
. Демодулятор
MSK
. Модем
(модулятор/демодулятор) GMSK
. Архитектура
тракта приема
6.1
Супергетеродинные приемники
.2
Тракт приема с двойным преобразование частоты
. Архитектура
тракта передачи
7.1 Квадратурные
модуляторы
7.2 Прямая
квадратурная модуляция
7.3 Прямая
модуляция
7.4 Прямая
модуляция с удвоением частоты
.5 Квадратурный
модулятор внутри петли ФАПЧ
8. Синтезаторы
9. Выполнение
технического задания
9.1 Расчет
полосы сигнала
9.2 Нестабильность
частоты
9.3 Расчет
по мощности
9.4 Частотный
план
.5 Принципиальная
схема синтезатора
.6 Описание
работы приемопередатчика стандарта GSM
- 1800
.7 Расчет
принципиальной схемы опорного кварцевого генератора
Выводы
Список
используемой литературы
Введение
Структура стандарта
Стандарты в области связи необходимы для
обеспечения совместимости технических решений, предлагаемых различными
компаниями - производителями аппаратуры, то есть для обеспечения возможности и
удобства работы на общем рынке систем сотовой мобильной связи всех ее
участников - изготовителей аппаратуры, сервис-провайдеров и операторов.
Вопросами стандартизации в области связи и в
смежных областях занимается большое число организаций - всемирных, региональных
и национальных.
Общие характеристики стандарта
Цифровая система сотовой мобильной связи
стандарта GSM
представляет собой сотовою систему второго поколения (G2).
Выбор цифровой технологии и последующих поколениях сотовых систем является
фундаментальным и, вероятно, необратимым решением.
Одним из наиболее привлекательных аспектов
цифровых методов передачи является то, что они более эффективны в условиях
сильных радиопомех и обеспечивают более высокую емкость систем, по сравнению с
аналоговыми методами первого поколения сотовых систем.
Преимущества цифровых методов, применяемых в
сотовой системе мобильной связи стандарта GSM,
сводятся к следующим:
· Цифровое кодирование речи с более низкими
скоростями. Низкоскоростное кодирование речи, совместимое с методами цифровой
модуляции, позволяет передавать несколько речевых каналов на одной несущей,
увеличивая тем самым эффективность использования спектра.
· Цифровая модуляция, позволяющая
повысить эффективность использования частотного спектра по сравнению с
аналоговыми методами.
· Гибко изменяемая ширина полосы
частот.
· Более высокая помехоустойчивость.
Цифровые системы имеют более высокие характеристики по сравнению с аналоговыми
в условиях сильных соканальных (или внутренних) помех (CCI,
Co-Channel
Interference)
и помех по соседнему каналу (ACI,
Adjacent
Channel
Interference).
Это одна из решающих причин в пользу принятия цифровой технологии для второго и
третьего поколений сотовых систем. Цифровые системы, вероятно, должны
функционировать в условиях значительно более сильных соканальных помех, что
дает возможность проектировщикам уменьшать размеры сот (например, организация
микро/пикосот) и расстояния между сотами, повторно использующими одни и те же
частоты, и даже упрощать структуру переиспользования частот. Эти параметры и
указанные геометрические изменения увеличивают общую емкость сотовых сетей
мобильной связи
· Снижение потерь емкости на
сигнализацию.
· Повышенная эффективность управления
доступом и передачей вызова. Для фиксированного распределения спектра частот
большее увеличение емкости подразумевает соответствующее уменьшение размеров
сот. Это значит, что нагрузка на каналы сигнализации возрастает, т.к.
происходит более частая передача вызова. В каждой соте базовая станция должна
обрабатывать большее количество запросов на доступ и регистрацию от всей
совокупности движущихся абонентов. Эти функции могут выполняться просто и быстро
с помощью цифровых методов.
В целом, система мобильной связи стандарта GSM
рассчитана на ее использование в коммерческой сфере. Она представляет
пользователям широкий спектр услуг и возможности применения разнообразного
оборудования для передачи речевых сообщений и данных, сигналов вызова и
аварийных сигналов, а также дает возможность подключения к телефонным сетями
общего пользования, сетям передачи данных и цифровым сетям с интеграцией услуг.
По сравнению с другими широко распространенным
стандартам цифровых сотовых мобильных систем связи стандарт GSM
обеспечивает:
· Лучшие энергетические характеристики;
· Более высокое качество связи;
· Безопасность связи и ее
конфиденциальность;
Достаточно высокое качество принимаемых речевых
сигналов в стандарте GSM
обеспечивается при отношении сигнал/шум на выходе приемника C/N
= 9дБ, а энергетические затраты в реальных канал связи (при замирании
радиосигналов) на 6..10дБ ниже по сравнению со стандартом D-AMPS
(США). Стандарт GSM,
кроме того, предоставляет своим пользователям ряд услуг, которые не реализованы
(или реализованы не полностью) в других стандартах сотовой связи. К ним
относятся следующие:
· Использование SIM
- карт для обеспечения доступа к каналам услугам связи;
· Шифрование передаваемых сообщений;
· Аутентификация абонента и
идентификация абонентского оборудования по криптографичеким алгоритмам;
· Закрытый от прослушивания
радиоинтерфейс;
· Использование служб коротких
сообщений SMS (Short
Message Services),
предаваемым по каналам сигнализации;
· Автоматический роуминг абонентов
различных сетей GSM
в национальном и международном масштабах;
· Межсетевой роуминг абонентов GSM
с абонентами сетей стандартов DCS 1800, PCS 1900, а также со спутниковыми
сетями персональной связи (Globalstar,
Inmarsat-P,
Iridium).
В соответствии с рекомендациями CEPT
стандарт GSM-1800
цифровой общеевропейской сотовой системы наземной мобильной связи
предусматривает работу передатчиков в двух диапазонов частот:
· Полоса частот 1710..1785 МГц - для передачи
сообщений с мобильной станции на базовую;
· Полоса частот 1805..1880 МГц - для
передачи сообщений с базовой станции на мобильную.
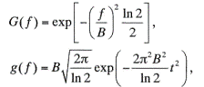
1. GMSK-модуляция
GMSK
(Gaussian
Minimum Shift
Keying) - гауссовская
модуляция (точнее манипуляция) с минимальным частотным сдвигом (shift
keying - манипуляция
переключения сдвигом или переключения скачком), используемая в стандарте GSM,
по сути есть не что иное, как двоичная цифровая частотная модуляция (ЧМ с
гауссовской предварительной фильтрацией (полоса гауссовского фильтра равна В =
81,3 кГц).
Как известно, частотная
модуляция является наиболее часто используемым видом аналоговой модуляции. Для
передачи данных была разработана цифровая ЧМ, известная как частотная
манипуляция FSK (Frequency
Shift Keying).
Индекс модуляции систем FSK
может быть установлен заранее и определяет режим узкополосной или
широкополосной передачи. Для демодуляции большого класса сигналов с FSK
могут использоваться простые некогерентные демодуляторы. Однако для таких
демодуляторов необходимо более высокое отношение мощностей несущая/шум (CNR
-Carrier-to-Noise-Ratio),
чем для систем с когерентной демодуляцией.
Если в передатчике частотная
девиация осуществляется согласно выражению [1]:
[1]
где Тb
- длительность бита входной цифрой последовательности (при
mчм=ΔfppТь=1/2),
то можно реализовать
когерентную модуляцию/демодуляцию сигналов с минимальным частотным сдвигом MSK
(Minimum Shift
Keying).
На рисунке 1 показана
возможность получения частотной модуляции с помощью частотного генератора,
управляемого напряжением (ГУН).
Рис. 1. Частотная модуляции с
помощью частотного генератора, управляемого напряжением (ГУН)
Модулятор ЧМ, использующий ГУН
с девиацией частоты, определяемой по формуле [1], - возможный вариант
формирования радиосигналов с MSK.
Логическому состоянию «1»
соответствует частота f2,
а логическому состоянию «0» (уровень напряжения цифровых данных Uo
=
-1 В) - частота f1.
Девиация частоты для
когерентной FSK
определяется выражением [1], при этом между передаваемыми частотами и битовой
скоростью необходимо обеспечить соотношение когерентности, которому
соответствует индекс частотной модуляции, определяемый выражением [2]:
[2]
Как следует из названия
модуляции GMSK, по сути
термин «гауссовская» соответствует дополнительной фильтрации спектра
модулирующей битовой последовательности относительно узкополосным гауссовским фильтром,
имеющим отклик на прямоугольные импульсы при ВТЬ = 0,3
(рисунок 2).
Рис. 2. Отклик g(f)
гауссовского фильтра на прямоугольный импульс при значении ВТЬ =
0,3:
В - полоса гауссовского фильтра
на уровне 3 дБ, Tb
- длительность бита)
Итак, гауссовский узкополосный
фильтр, используемый в модуляции GSMK
стандарта GSM, имеет
параметры; произведение полосы на длительность одного бита равно - ВТb
= 0,3. При ВТb
=>∞, данное значение соответствует MSK.
Меньшие значения BTb
приводят к более компактному спектру, но и к увеличению уровня искажений.
Поэтому значение ВТb
= 0,3 было выбрано из компромиссных соображений: достаточно высокая
спектральная эффективность (то есть эффективность использования полосы частот
В, (бит/с)/Гц, которая для GSM
равна 1,35) и требуемая характеристика вероятности ошибки на бит (то есть
величины BER - пороговой
вероятности ошибки на бит), которая для кодеков адаптивной дельта-модуляции
может допускать значения BER
≤
10-2, а для системы с ИКМ-BER
≤
10-4
Для более детального изучения
метода модуляции GSMK
рассмотрим метод MSK,
а потом учтем влияние гауссовского фильтра на результирующий модулирующий
сигнал.
2. Метод MSK
Метод MSK
обычно рассматривают как метод квадратурной фазовой манипуляции со смещением OQPSK
(Offset
Quadrature
Phase
Shift
Keying),
но с заменой (в MSK)
прямоугольных модулирующих импульсов [(длительностью 2Тb)
в OQPSK] на полуволновые
отрезки синусоид или косинусоид (длительностью также 2Тb).
Рассмотрим структурную схему
модема (модулятор/демодулятор) MSК,
приведенную на рис. 3.
Рис. 3. Схема модема MS
Безусловно следует отметить,
что в схеме (рис. 3) используются следующие обозначения:
- перемножитель (балансный
модулятор или сигнальный процессор);ГЧ - генератор немодулированной несущей
частоты (f0);
ФВ на 90° - фазовращатель на 90°;
- сумматор, реализующий
суммирование (точнее вычитание) двух членов выражений (6); ФИ - формирователь
импульсов; ВС - входной сигнал.
3. Модулятор MSК
1. Получим квадратурное
представление сигналов FSK
применительно к MSK.
Частотно-манипулированный
сигнал Sfsk(t) можно рассматривать как
гармонический сигнал (синусоидальный или косинусоидальный), частота которого
может принимать два значения:
[3]
При этом он может быть
представлен в виде:
[4]
где А - амплитуда сигнала Sfsk(t).
При когерентной демодуляции
(рис. 3) частота девиации выбирается из условия:
[5]
где Ть длительность
бита.
Тогда сигнал MSK
может быть записан следующим образом:
[6]
При
Выражение [6] является
квадратурным представлением сигналов FSK
применительно k MSK.
2. На рис. 3 в схеме модулятора
сигналов MSK оконечная
его часть реализует выражение [6]: сигнал немодулированной несущей с частотой f0
перемножается (для этого в балансном смесителе выбран нелинейный режим,
позволяющий реализовать перемножение) с синфазным
[7]
и квадратурным
[8]
низкочастотными сигналами,
несущими информацию цифрового потока с выхода кодера канала (рис. 20).
3. В канале Q{t)
введение дополнительной задержки (Δt
= Tb) позволяет
сформировать в ФИ (формирователе импульсов) последовательность импульсов вида:
[9]
4. Итак, в формирователях
импульсов ФИ должны формироваться импульсы в виде полуволновых отрезков
косинусоид и синусоид, длительностью 2Тb, являющихся модулирующими сигналами
для модулятора MSK.
Рассмотрим принципы
формирования модулирующих сигналов [7] и [8].
. С выхода кодера канала (см.
рис. 20) подается цифровая последовательность, например, в виде биполярного
кода NRZ (Non
Return to
Zero) - БВН (без
возвращения к нулю), показанного на рисунке 4.
Этот сигнал подается на вход
блока ППП (последовательно-параллельного преобразователя), который разделяет
цифровой поток на два потока:
· at{t)
- синфазный (нечетные биты);
· a0(t)
- квадратурный (четные биты).
Эти потоки цифровых символов
имеют символьную скорость, равную половине входной битовой последовательности,
то есть если скорость битовой последовательности для кода NRZ
равна FNRZ
= 1/TS
= l/2Tb,
тогда скорость потоков at(t)
и aQ(t)
будет равна Fппп
= 1/2FNrz = 1/4Tb»
а период символьной последовательности Тппп = 4 Tb.
Итак, в блоке ППП цифровой
поток разделился на нечетные и четные биты, длительность которых равна 2ТЬ,
а их знаки определяются знаками входных битов.
На рис. 4 показано построение
нечетных и четных бит, растянутых во времени вдвое, при амплитудах 1→(+1)
В, 0→(-1) В, обозначенных символами а, (нечетные) и aQ
(четные). При этом использование задержки для входящих сигналов (ВС) на Δf3
= Ть, приводит к смещению aQ(i)
на время Ть.
. На входы формирователей
импульсов (ФИ) синусоидальной формы поступают нечетные а, и четные aQ
последовательности импульсов, которые в ФИ преобразуются в отрезки
косинусоидальной и синусоидальной формы, которые и являются модулирующими
сигналами, предварительно прошедшими блок ПРД/Ф (блок передающего ФНЧ (фильтра
низкихчастот) или сигнального процессора MSK),
где они окончательно формируются в сигналы:
и
.
Рис. 4. Временные диаграммы
сигнала и изменения фазы модулирующего сигнала при MSK
7. В зависимости от соотношения
я, ai и aQ, а также знаков выражений

и,
происходит изменение фазы
выходного сигнала S(t)
скачками по 90°, а по частоте в соответствии с выражением (3).
. Спектральная плотность
высокочастотного модулированного сигнала определяется выражением [1]:
]
где Рс - полная
мощность модулированного сигнала; f0
- частота смодулированной несущей; Ts
= 1/ fs
= 2ТВ - длительность символа; Тв - длительность бита; f0-
несущая частота.
Ширина главного лепестка
спектра сигналов MSK
равна ±3/4 Тв, то есть при длительности одного бита, равной Тв
= 3,69 мкс, полоса частот fn
= ±0,2 МГц, при этом спектр нефильтрованного сигнала MSK
спадает пропорционально f--4.
4. Демодулятор MSK
После прохождения
высокочастотного тракта с двойным преобразованием несущей частоты (см. рис.
20), сигнал вместе с шумом попадает в демодулятор MSK
(см. рис. 3) и поступает по трем цепям, включая:
· две
цепи в схеме перемножений по двум I(t)
и Q(t)
квадратурным сигналам;
· цепь
в блоке СВН (схеме восстановления несущей).
Схема СВН выдает в
перемножители сигналы восстановленной несущей
f
= f0 ±
Δf,
при этом используется задержка
на 90° в фазовращателе сигнала, чтобы сформировать затем квадратурный сигнал Q(t).
После перемножителей формируются
сигналы I(t)
и Q(t),
которые затем пропускаются через приемные фильтры (ПРМ/Ф), в качестве которых
могут быть использованы фильтры низких частот (ФНЧ).
Сигналы I(t)
и Q(t)
затем поступают:
· в
пороговые решающие схемы (ПРС);
· в
схему восстановления тактовой частоты (СВТЧ).
Схема СВТЧ выдает сигналы на
ПРС для жесткой привязки всего демодулятора по тактовой частоте цифровой
последовательности Ts
и с входов ПРС на 2 входа ППП, а также из схемы СВТЧ поступают сигналы для
формирования из регенерированных квадратурных сигналов I(t)
и Q(t),
и объединенных в последовательно-паралельном преобразователе, чтобы получить
исходную цифровую последовательность.
5. Модем
(модулятор/демодулятор) GMSK
Модулятор GMSK
отличается от модулятора MSK
только тем, что перед схемой ППП включен предмодуляционный гауссовский фильтр
нижних частот (ГФНЧ) с амплитудно-частотной характеристикой в форме гауссовской
кривой (см. рис. 2), который приводит к следующим изменением в MSK:
· уменьшается
ширина главного лепестка и уровни боковых лепестков спектральной плотности
(формула (10)), что приводит к увеличению спектральной эффективности
модулятора;
· использование
ГФНЧ сглаживает зависимость фазы от величины (пТв) при фазочастотной
манипуляции в MSK;
· выбор
полосы ГФНЧ, равной В≈0,3/Тв, для GMSK
позволяет, с одной стороны, сузить спектр цифрового сигнала, а с другой,
увеличивает уровень межсимвольных искажений (то есть взаимное наложение
символов друг на друга).
Рассмотрим частотную и
импульсную характеристики ГФНЧ. На вход ГФНЧ подается цифровой поток сигналов
БВН (NRZ):
[11]
где Un = ±1, Тв
- длительность бита, П(t/Tв) -
прямоугольная функция:
[12]
Частотная и импульсная
характеристики ГФНЧ определяются следующими выражениями [1]:
[13], [14]
где В - ширина частотной полосы
ГФНЧ по уровню ЗдБ. Сигнал на выходе ГФНЧ:
[15], [16], [17]
На рисунке 2 показана
импульсная характеристика ГФНЧ для значений ВТВ: при ВТВ
=0,3 и ВТВ →∞.
Таким образом, модулятор GMSK
представляет собой соединение ГФНЧ и модулятора MSK.
При когерентной демодуляции
сигналов с GMSK, как
и в MSK,
используется квадратурная структура, аналогичная сигналам с OQPSK,
при этом демодулированные квадратурные низкочастотные сигналы I’(t)
и Q'(t)
описываются функциями cosφ(f)
и sinφ(f),
соответственно.
Квадратурное представление
модулированного сигнала с GMSK
имеет следующий вид [1]:
[18]
Демодулированные сигналы I'(t)
и Q'(t)
получаются перемножением принятого модулированного сигнала S'(t)
на составляющие восстановленной несущей (в СВН) cosω0t
и sinuω0t,
соответственно, и подавлением высокочастотных спектральных составляющих с
помощью ФНЧ.
В моменты дискретизации
получаем:
[19], [20]
где Д - представляет собой
составляющую межсимвольных искажений. Решающее правило определяется следующим
образом:
, [21], [22]
С применением детекторного
полосового фильтра (ДЦПФ) (особенно гауссовского ДДПФ) при ВiTB=
0,63, когерентно демодулированные низкочастотные составляющие cos[φ(t)]
и sin[φ(t)]
содержат в себе значительно меньше составляющих межсимвольных искажений.
Окончательно цифровой
демодулированный поток, пройдя ФНЧ, на вход эквалайзера канала.
Завершая рассмотрение модуляции
GMSK, следует отметить
ряд важных ее преимуществ:
1)достаточно
высокая спектральная эффективность (эффективность использования полосы частот),
равная: 270,883/200 = 1,354 (бит/с)/Гц, обусловленная использованием ГФНЧ с ВТв
= 0,3;
2)низкий
уровень помех по соседним частотным каналам;
3)приемлемая
для практики помехоустойчивость: вероятность ошибки на бит Рс≈10-3
при отношении несущая/шум С/N
= 30 дБ;
4)возможность
использования когерентной и некогерентной демодуляции;
5)высокий
коэффициент полезного действия усилителя мощности передатчика (благодаря
использованию нелинейного усилителя НЛУ).
Модемы GMSK
используются как в стандарте GSM,
так и в других европейских стандартах.
В настоящее время имеется
техническая реализация модема GMSK
в виде однокристальной СБИС [1].
6. Архитектура тракта приема
Применение интегральных микросхем существенно
уменьшило размер, стоимость и потребляемую мощность приемников. В последнее
время в РЧ блоках начали использовать приемники с различной архитектурой,
имеющие как достоинства, так и недостатки.
Различными производителями предлагается
достаточно большое количество наборов ИС с различной степенью интеграции для РЧ
блока, но производимый выбор влияет на конфигурацию приемопередатчика и
стоимость изделия. Если выбираются РЧ микросхемы с высокой степенью интеграции,
то, как правило, приходится обязательно использовать только те ИС
информационного тракта, которые предназначены для работы с этими РЧ ИС.
6.1 Супергетеродинные приемники
В приемном тракте устройства достаточно часто
используется архитектура с одним (Single-Conversion) или двойным
преобразованием (Double-Conversion) частоты. В обеих схемах изменение
используемого частотного канала производиться с помощью перестраиваемого по
частоте гетеродина РЧ ГУН, сигнал которого подается на первый смеситель, чтобы
трансформировать полезный сигнал вниз по частоте. Сигнал гетеродина
вырабатывается генератором, управляемым напряжением (ГУН), частота которого
стабилизируется с помощью синтезатора частоты СЧ.
6.2 Тракт приема с двойным
преобразованием частоты
На рис. 5 показана классическая архитектура
супергетеродинного приемника с двойным преобразованием частоты.
Полосовой ВЧ фильтр (Band Select Filter)
ПФ1, предшествующий малошумящему усилителю МШУ (low noise amplifier),
уменьшает внеполосные сигналы, а также уровень помех по зеркальному каналу
совместно с фильтром ПФ2 (image reject filter). Затем весь спектр
преобразуется вниз по частоте на фиксированную промежуточную частоту (Intermediate
Frequency, IF) с использованием перестраиваемого гетеродина РЧ ГУН.
Рисунок 5. Архитектура тракта приема с двойным
преобразованием частоты
Зеркальный сигнал или другие нежелательные
продукты преобразования уменьшаются далее до приемлемого уровня с помощью
внешнего фильтра ФПЧ1 перед ещё одним преобразованием вниз по частоте. Выбор
рабочего канала обычно осуществляется фильтром ПЧ2 (Channel Select Filter)
после окончательного преобразования вниз. Это ослабляет требования к
динамическому диапазону следующих блоков. От правильного выбора значения -
промежуточных частот зависят получаемые величины селективности и
чувствительности приемника. Второе преобразование вниз по частоте в современных
трактах приема обычно происходит в квадратурных схемах, чтобы облегчить
цифровую обработку синфазных и квадратурного сигналов I и Q.
В приемнике с двойным преобразованием частоты
существенно снижаются требования к элементам фильтрации. Супергетеродинная
архитектура приемного тракта считается наиболее надежной, так как в ней высокие
значения селективности и чувствительности могут быть достигнуты надлежащим
выбором значений ПЧ и параметров фильтров. Эффекты смещения постоянной
составляющей (DC offset) и утечки (leakage) не влияют на
характеристики приемника из-за использования нескольких шагов преобразования.
Однако достижения высоких значений параметров и
характеристик приемника приводит к увеличению стоимости устройства и его
размеров. Это происходит за счет применения внешних высокодобротных полосовых
фильтров, необходимых для подавления зеркального канала. Так как выбор рабочего
канала происходит в первом каскаде ПЧ, перестраиваемый гетеродин требует
качественного выполнения и использования внешнего колебательного контура для
достижения хорошей характеристики по шумам. Указанные факторы затрудняют полную
интеграцию приемопередатчика в одной микросхеме.
Особенности супергетеродинных структур:
|
Достоинства
|
Недостатки
|
|
· Использование
пассивной фильтрации позволяет реализовать устройства с большим динамическим
диапазоном. · Номиналы ПЧ и РЧ частот значительно отличаются,
фильтрация и усиление производится в нескольких каскадах последовательно. Это
позволяет реализовать в тракте приема высокие устойчивые коэффициенты
усиления, минимизировать паразитные обратные связи уменьшить утечки сигналов
гетеродинов.
|
· Необходимость
использования внешних элементов фильтрации препятствует комплексной
интеграции всего РЧ блока и выполнения его в виде одной ИС. · Наличие
на выходе смесителей нежелательных комбинационных составляющих. Появление
паразитных каналов приема. · Устройство получается
относительно дорогим.
|
Для работы в приемных устройствах с двойным
преобразованием частоты рядом фирм, среди которых следует в первую очередь
упомянуть фирму Motorola, выпускаются ИС малой степени интеграции.
Осуществление преобразования частоты в двух ступенях позволяет распределить
коэффициенты усиления между каскадами ПЧ, что уменьшает вероятность ограничения
сигнала и улучшает стабильность работы приемопередатчика. На рисунке 6 показана
типовая структура приемопередатчика с двойным преобразованием частоты в
приемнике
Рис. 6. Приемопередатчик с двойным
преобразованием частоты в приемнике
В качестве примера ИС, предназначенных для
использования в приемных устройствах такой архитектуры, можно назвать комплект
ИС AD6400 фирмы Analog Devices. Укрупненная структура приемопередатчика,
выполненного с использованием этого комплекта, приведена на рис. 7.
ИС тракта ПЧ AD602 содержит смеситель тракта
приема, УПЧ, демодулятор на основе петли ФАПЧ и ГУН. Второй гетеродин ГУН2,
находящийся в подсистеме ПЧ приемопередатчика, служит для преобразования
сигнала на вторую ПЧ, значения которой лежат в диапазоне от 10 до 20 МГц.
Рисунок 7.Приемопередатчик на основе ИС AD6400
фирмы Analog Devices
7. Архитектура тракта передачи
Структура тракта передачи обычно более простая,
чем у тракта приема. Архитектура ИС тракта передачи, также так и приемного
тракта, отличается у различных производителей, что дает разработчикам
возможность реализации своих идей и достижения компромиссов при проектировании.
Необходимость быстрого изменения необходимого частотного канала, в особенности
при передаче данных, налагает на перестраиваемый по частоте ГУН довольно
жесткие требования по быстродействию.
При проектировании передатчика современной ССПО
важнейшим является тип используемой модуляции. Методы модуляции могут быть
разделены на две группы: методы модуляции с постоянной огибающей (constant
envelope) и с изменяющейся огибающей (variable envelope). Первая группа
методов имеет постоянную амплитуду промодулированного сигнала, что допускает
использование в передатчиках нелинейных усилителей мощности. Примером такой
модуляции является GFSK. сигнал - гауссовская частотная манипуляция (Gaussian
filtered frequency shift keying). Сигналы с постоянной огибающей более
эффективны энергетически (power efficient), чем спектрально (spectrally
efficient). В большинстве систем связи информационный сигнал подвергается
предварительной гауссовской фильтрации, чтоб и постепенно изменился сдвиг
частоты, делающей формируемый сигнал спектрально более эффективным. Передатчики
с таким видом модуляции должны соответствовать требованиям спектральной маски
так, чтобы излучаемый сигнал не создавал помехи другим пользователям в соседних
каналах.
У сигналов с изменяющейся огибающей типа
квадратурной фазовой манипуляции QPSK (quadrature phase shift
keying) происходит вариация и амплитуды и фазы, что
приводит к необходимости использования на выходе передатчика высоколинейного
усилителя мощности. Они спектрально компактны, но энергетически не очень
эффективны. Такие сигналы генерируются на ПЧ с использованием схем косвенной и
прямой квадратурной модуляции, и далее преобразуется вверх по частоте на РЧ
канал.
В последнее время появились новые разновидности
архитектур передатчиков для методов модуляции с изменяющейся и постоянной
огибающими, имеющие как достоинства, так и недостатки. Наиболее
распространенные разновидности описаны далее.
7.1 Квадратурные модуляторы
Квадратурный модулятор (Quadrature Modulator)
или I/Q (In-phase/quadrature)
модулятор, типовая структура которого показана на рис. 8, представляет собой
универсальное устройство, с помощью которого могут быть получены сигналы
практически со всеми видами модуляций, используемыми в ССПО. Квадратурный
модулятор - это устройство, имеющее РЧ вход и РЧ выход и два информационных
входа I и Q.
РЧ сигнал может быть изображен в полярных координатах амплитудой и фазой или в
декартовых координатах, как величины векторов X
и Y. В терминологии
цифровых сигналов, вектор X
заменяется на синфазный I(la-phase),
а вектор Y заменяется на
квадратурный Q
(Quadrature),
отсюда следует название I/Q
модулятор/демодулятор. При использовании квадратурных модуляторов на их
модуляционные I/Q
входы с информационного тракта поступают две информационные последовательности.
Они формируются в цифровых узлах из исходного информационного потока с помощью
последовательно-параллельного преобразования.
В синфазной I
и квадратурной Q
последовательностях скорость следования импульсов равна половине скорости в
исходной информационной последовательности.
Рис. 8. Функционирование
квадратурного модулятора
Квадратурные опорные сигналы
получаются при использовании фазосдвигающего узла, формирующего два опорных
ортогональных сигнала со сдвигом фазы на 90°. Фаза вы одного сигнала
перемножителя в канале может иметь значения от 0° до 180°, в канале Q
- 90° или 270° градусов. После суммирования этих сигналов на выходе модулятора
может быть получен модулирующий сигнал с требуемыми параметрами. Амплитуду и
фазу вектора промодулированного выходного РЧ сигнала определяют амплитуда и
полярность информационных I/Q
сигналов.
Большинство производителей ИС предпочитают при
возможности использовать в своих схемотехнических решениях архитектуру
передатчиков с прямой модуляцией на РЧ, т.к. при этом уменьшаются
массогабаритные показатели устройства.
7.2 Прямая квадратурная модуляция
Структура блока с прямой квадратурной модуляцией
(Direct
quadrature
modulation),
которая приведена на рис. 9, является более общей формой архитектурой прямого
преобразования, используемой в тракте передачи.
Рис. 9. Архитектура с прямой квадратурной
модуляцией
Исторически прямые квадратурные модуляторы
использовались в различных носимых устройствах ССПО, но при этом обычно
требовалось применение дуплексного фильтра для обеспечения выполнения
требований по коэффициенту шума в приемных трактах.
Конструктивно в таком тракте передачи
используются два РЧ перемножителя сигналов и петля ФАПЧ с перестраиваемым РЧ
гетеродином. Эта архитектура позволяет достигать высокой степени интеграции РЧ
блока, так как подавление зеркального канала производится в активных каскадах с
использованием фазовых методов. Побочные составляющие на выходе передатчика,
связанные с формированием ПЧ, отсутствуют в силу отсутствия в передатчике самой
ПЧ.
В данной архитектуре, по сравнению с непрямой
модуляцией, используется меньшее количество компонентов, но использование двух
перемножителей, работающих на высоких канальных частотах, может привести к
значительному увеличению тока, потребляемого РЧ блоком. Точность в достижении
точного сдвига фазы в квадратурных каналах на высоких частотах приводит к
недостаточному подавлению сигнала зеркального канала.
Достоинствами схемы с прямой модуляцией на РЧ
являются: простота, больший динамический диапазон передатчика по сравнению с
передатчиком, выполненным с трактом преобразования частоты, уменьшение
энергопотребления, уменьшение массогабаритных показателей устройства из-за
отсутствия фильтров ПЧ, смесителей. В системах, работающих по стандарту CDMA
важна работа тракта в большом динамическом диапазоне, что связано с
особенностями стандарта, в частности необходимости регулировки выходной
мощности передатчика в очень широких пределах. Получение большого динамического
диапазона передающего тракта особенно важно для осуществления перехода к
большим скоростям модуляции, обеспечивающим увеличение скоростей передачи
данных при переходе к системам подвижной связи третьего поколения (Third
Generation,
3G).
7.2 Прямая модуляция
В передатчике с прямой модуляцией (Direct
modulation
transmitter),
наиболее простая структура которого показана на рис. 10, модуляция и перенос
вверх по частоте информационного сигнала происходит за один шаг.
Рис. 10. Тракт передачи с прямой модуляцией
Большинство производителей ИС предпочитают при
возможности использовать в своих схемотехнических решениях архитектуру
передатчиков с прямой модуляцией на РЧ, т.к. при этом уменьшаются
массогабаритные показатели устройства.
7.3 Прямая модуляция с удвоением
частоты
Способом преодоления этих недостатков является
использование буферных каскадов и удвоителей частоты после ГУН (рис. 11). При
этом ГУН работает на половинной частоте, но в передатчике могут возникать
дополнительные искажения сигнала, паразитная амплитудная модуляция (ПАМ),
увеличиваться фазовый шум, ухудшаться спектральные характеристики получаемого
радиосигнала.
Рис. 11. Тракт передачи с прямой модуляцией на
РЧ и удвоением частоты
В частности, структура с прямой модуляцией на РЧ
применяется в приемопередатчиках систем. В качестве примера приведем
структурную схему такого устройства, реализованного на ИС РМВ 2420 и РМВ 2220
фирмы Siemens.
Система относится к системам с временным дуплексированием, поэтому приемник и
передатчик работают на одной частоте. Структурная схема приемопередатчика с
использованием такой архитектуры приведена на рис. 12.
Рис. 12. Структура РЧ блока приемопередатчика с
удвоением частоты
При таком построении приемопередатчика частоты
ГУН при передаче и приеме отличаются на величину, равную значению первой ПЧ
приемника, типовой номинал которой равен 110,592 МГц. За время между временными
интервалами приема и передачи синтезатор частот ГУН должен перестраиваться, по
крайней мере, в этом диапазоне. Это делает необходимым применение в таком
передатчике быстродействующего синтезатора частоты (Fast-hopping
Synthesizer).
Однако, за счет использования раздельных генераторов (Rx,
Tx), требования по
быстродействию, предъявляемые к используемым ГУН и СЧ, могут быть ослаблены.
7.4 Прямая модуляция ГУН на основе
петли ФАПЧ
Самый простой способ сформировать сигнал с
постоянной огибающей реализован в передатчике с прямой модуляцией ГУН на основе
ФАПЧ (PLL-based
direct
VCO
modulated
transmitter),
структура которого показана на рис. 13. В этой архитектуре происходит
непосредственная модуляция генератора РЧ ГУН, управляемого напряжением,
информационными данными. Для точной начальной установки несущей частоты ГУН
используется петля ФАПЧ. Затем происходит размыкание цепи, и в цепь управления
ГУН подается информационный поток.
Рис. 13. Передатчик с прямой модуляцией ГУН на
основе кольца ФАПЧ
Этот метод чрезвычайно привлекателен для
использования в ИС РЧ блока с высокой степенью интеграции и малым
энергопотреблением. Так как в ГУН происходит и преобразование частоты и
модуляция, в РЧ блоке используется меньшее количество компонентов. Самым
большим недостатком этой разновидности архитектуры является то, что частота ГУН
в разомкнутой петле дрейфует. Это приводит к расстройте выходной частоты,
которая после замыкания петли должна быть скомпенсирована до подачи на ГУН
модулирующего сигнала. В данной архитектуре наблюдается также явление
паразитной внешней синхронизации ГУН (Injection
Locking),
что требует хорошей развязки прежде всего между ГУН и УМ.
.5 Квадратурный модулятор внутри
петли ФАПЧ
На рис. 14 показан вариант петли трансляции,
которая включает квадратурный модулятор внутри петли обратной связи.
Рис. 14. Передатчик с квадратурным модулятором
внутри петли ФАПЧ
Такое построение использует I/Q
модулятор, смеситель с понижением частоты, фазовый детектор, два
программируемых делителя частоты, петлевой фильтр и ГУН. Преимущество этой
архитектуры в том, что программируемые делители обеспечивают необходимую
гибкость а частотном планировании.
8. Синтезаторы
Синтезаторы в передатчиках
радиостанций подвижной радиосвязи строят на основе колец ИФАПЧ. Как правило,
синтезатор состоит из двух функциональных устройств: ИС ПД- предварительного
делителя с переключаемым коэффициентом деления р/(p
+ 1) и собственно ИС синтезатора, содержащего три ДПКД и имлульсно-фазовый или
импульсньй частотно-фазовый детектор (ИФД, ИЧФД) (рис. 15). На вход ПД подают
напряжение с ГУН, на вход ДПКДR
- колебания опорной частоты, выход ПД соединяют со входом ИС синтезатора.
Необходимость использования ПД вызвана тем, что счетчики с переменным
(целочисленным рядом) коэффициента деления (ДПКД) не работают на частотах выше
30...70 МГц, что требует предварительного деления частоты ГУН.
Рис. 15.Кольцо ФАПЧ с
каскадированным ДПКД
Принцип работы схемы (рис. 15)
состоит в следующем. Частоту напряжения ГУН делят в ПД на р или на (р
+1); выходные импульсы с ПД поступают на два управляемых счетчика: ДПКДА
с коэффициентом деления А и
ДПКДВ с коэффициентом деления В. В начале каждого цикла
деления ПД производит деление на (р+1). Импульсы с его выхода идут на
оба счетчика ДПКДА и ДПКДВ. При окончании счета ДПКДА,
коэффициент деления в котором А меньше, либо равен В, выходной
импульс с ДПКДА через схему управления переводит ПД в режим деления
на р, и продолжается счет только в счетчике ДПКДВ (рис.2). Как
только счетчик ДПКДВ закончит счет, его выходной сигнал, являющийся
выходным сигналом ДПКД в целом, переведет ПД в режим деления на (р+1) и
произведет установку счетчиков ДПКДА и ДПКДВ в начальные
состояния А и В. Далее начнется новый цикл деления.
Период выходного колебания определяется
следующим образом
Тогда коэффициент деления
.
В схеме нельзя получить непрерывный
целочисленный ряд значений NДПКД ниже
.
При этом должно выполняется
неравенство
Параметры некоторых типовых схем
синтезаторов приведены в табл. 1.
При проектировании на выходе ИС
синтезатора устанавливают дополнительный усилитель постоянного тока для
получения требуемых пределов управляющего напряжения на ГУН и ФНЧ. В
передатчиках аналоговых систем с ЧМ при автоподстройке центральной частоты ЧМАГ
частота среза ФНЧ кольца ИФАПЧ должна быть много меньше минимальной частоты
модуляции, что при Fmin
=
300 Гц требует установки двухзвенного RC-фильтра
с частотой среза порядка 100 Гц. При смене частот для бол ее быстро го
установления частоты ФНЧ замыкают накоротко и включают после захвата частоты
ГУН по сигналу с детектора захвата. Процессом смены частот управляет ЦП.
Таблица
1
мобильный станция информация
синтезатор
9. Выполнение технического задания
9.1 Расчет
полосы сигнала
Для передачи в стандарте GSM
используются несущие частоты в диапазоне 1805-1880 МГц, с шагом сетки 200 кГц.
Так как каждая несущая имеет два боковых спектра, поэтому с учетом
нестабильности частоты, которая задана в ТЗ 10×10-6,
можем рассчитать полный спектр частот для режима передачи:
,
,
.
Добавляем половину нестабильности
частоты с каждой стороны спектра, как видно на рис. 16.
Рис. 16. Полный спектр частот для
режима передачи.
9.2 Расчет по нестабильности частоты
Нашей схеме нестабильность частоты
задается ОКГ. Заметим, что смесители, умножители, усилители и фильтры
существенно не влияют на нее. Как известно из ТЗ нестабильность ОКГ должна быть
не хуже 10×10-6.
Следовательно, нужно выбрать наиболее подходящий угол среза для кварцевого
резонатора АТ. Данное условие удовлетворяет угол среза 35° +4'. По
температурно-частотной характеристике можно определить максимальную
нестабильность в заданном по ТЗ диапазоне температур. Максимальная
положительная нестабильность, при -10°С, составляет
.
Максимальная отрицательная нестабильность, при +35°С, составляет
.
9.3 Расчет по мощности
Рис. 17.План по мощности на выходе
передатчика.
Таблица
2
|
Обозначение
|
Наименование
|
Полоса
частот, МГц
|
Характеристики
|
Ток
потребления
|
Напряжение
питания
|
Рабочий
диапазон температур, С
|
Корпус
|
Применение
|
|
T0377
|
Усилитель
мощности
|
1850-1910
|
коэф.
усиления 29дБ, Pout=28дБм, PAE=31%
|
600мА
|
3,2-4,2
|
-40...+85
|
4х4мм
|
CDMA
(IS-95/98, 1xRTT)
|
В табл. 2 показаны характеристики м/с T0377,
которая является усилителем мощности. М/с перекрывает нужный диапазон частот и
обладает требуемым коэффициентов усиления.
9.4 Частотный план
Архитектура тракта приема
В соответствии с ТЗ используем тракт приема с
двойным преобразованием частоты, поэтому используем два смесителя.
ПФ1 отфильтровует канал из сигнала, который
поступает с антенного коммутатора (рис. 18). Затем усиливается на МШУ и
сдвигает вниз по частоте на СМ1. Получаем первую промежуточную частоту. Далее
сдвигаем спектр на вторую промежуточную частоту на СМ2. При этом сигнал
проходит ряд промежуточных фильтров. Затем усиливаем на УПЧ и детектируем.
Смесители
СМ1
Диапазон входных частот - 1805-1880 МГц
Диапазон смещающих частот - 1617-1692 МГц
Выходная частота - 188 МГц
СМ2
Входная частота - 188 МГц
Смещающая частота - 175 МГц
Выходная частота - 13 МГц
Смещающие частоты генерируются с помощью двух
колец ФАПЧ, для которых опорную частоту 13 МГц задает КГ.
Кольцо ФАПЧ с частотами генерации 1617-1692 МГц
Шаг сетки частот - 0,2 МГц
Коэффициент деления ДЧФКД - 65
Коэффициент деления ДЧПКД - 8085-8460
Частота среза ФНЧ > 9276 Гц
Так как шаг сетки fш=0,2
МГц, коэффициент деления ДЧФКД определяется:
.
Частота среза ФНЧ определяется из
неравенства:
,
где mmin -
минимальный коэффициент деления ДЧПКД.
Кольцо ФАПЧ с частотой генерации 175
МГц
Коэффициент деления ДЧФКД1 - 13
Коэффициент деления ДЧФКД2 - 175
Частота среза ФНЧ < 0,2 МГц
Архитектура тракта передачи
В тракте передачи используем прямую
модуляцию несущей частоты на ГУН (рис. 18).
9.5 Принципиальная схема синтезатора
Для генерирования несущего колебания используем
ИС синтезатор PBM2341, фирма
изготовитель которого Infineon
Technologies.
ИС синтезатор PBM2341:
Коэффициент деления ПД - 64/65
Коэффициент ДЧПКДR
- 65
Коэффициент ДЧПКДA
-
0…31
Коэффициент ДЧПКДB
-
133…139
В состав м/с входит также импульсньй
частотно-фазовый детектор (ИЧФД)
Минимальное и максимальное значение
коэффициентов деления каскадированного ДЧПКД определяется следующим образом
NДПКДmin=fmin/fш=8550,
NДПКДmax=fmax/fш=8925.
Минимальное и максимальное значение B:
Bmin=NДПКДmin/p=133,
Bmax=NДПКДmax/p=139.
Коэффициент ДЧПКДR
определяется следующим образом
R=fОГ/fш=26.
Расчет коэффициентов деления для сетки частот:
Таблица
3
|
№
|
f, МГц
|
NДПКД
|
В
|
|
1
|
1710,0
|
8550
|
38
|
133
|
|
2
|
1710,2
|
8551
|
39
|
133
|
|
………….
|
………....
|
………….
|
………….
|
………….
|
|
6
|
1711,2
|
8556
|
44
|
133
|
|
………….
|
………….
|
………….
|
………….
|
………….
|
|
25
|
1715,0
|
8575
|
63
|
133
|
|
26
|
1715,2
|
8576
|
0
|
134
|
|
27
|
1715,4
|
8577
|
1
|
134
|
|
28
|
1715,6
|
8578
|
2
|
134
|
|
………….
|
………….
|
………….
|
………….
|
………….
|
|
373
|
1784,8
|
8924
|
28
|
139
|
|
374
|
1785,0
|
8925
|
29
|
139
|
Частота среза ФНЧ - 100 Гц.
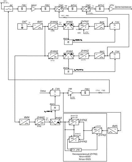
На рис. 18
приведена разработанная по ТЗ структурная схема РПУ и РПрУ с частотным планом и
коэффициентами деления делителей частот
Рис. 18. Структурная схема приемопередатчика
Расшифровка обозначений на схеме:
АК - антенный коммутатор
ПФ - полосовой фильтр
МШУ - малошумящий усилитель
СМ - смеситель
ФПЧ - фильтр промежуточной частоты
УПЧ - усилитель промежуточной частоты
ОКГ - опорный кварцевый генератор
ФИ - формирователь импульсов
ДЧФКД - делитель частоты с фиксированным
коэффициентом деления
ДЧПКД - делитель частоты с постоянным
коэффициентом деления
ФД - фазовый детектор
ГУН - генератор управляемый напряжением
ФНЧ - фильтр нижних частот
ПУ - пульт управления
УМЧ - умножитель частоты
9.6
Описание работы приемопередатчика стандарта GSM-1800
Ниже представлена относительно полная
структурная схема приемопередающего мобильного терминала системы цифровой
сотовой связи стандарта GSM - 1800, согласно с полученным техническим заданием.
Рис. 20. Структурная схема РПУ
мобильного терминала системы цифровой сотовой связи стандарта GSM-1800
Краткая характеристика некоторых
блоков структурной схемы, изображенной на рисунке 20.
Антенный блок включает:
· Собственно антенну (в простейшем случае
четвертьволновый вибратор, имеющий длину l~λ/4=8.425
см,
при этом антенна выполняет функции передающей и приемной антенны)
· Антенный переключатель - электронный
коммутатор, управляемый из CPU
и подключающий вход антенны либо на выход передатчика, либо на вход приемника.
В системах стандарта GSM
передатчик и приемник работают не одновременно, и режим передачи осуществляется
только в течение 1/8 длительности кадра. Это значительно уменьшает расход
энергии аккумуляторной батареи и увеличивает время функционирования, как в
режиме передачи, так и в режиме передачи, так и в режиме приема. Кроме того,
это приводит к снижению требований к высокочастотному фильтру приемника.
Кодер речи
осуществляет кодирование речевого сигнала, т.е. преобразования сигнала
(имеющего цифровую форму) по определенным законам с целью сокращения его
избыточности, т.е. с целью сокращения объема информации, передаваемой по каналу
связи.
Кодер канала
добавляет цифровой сигнал, получаемый с выхода кодера речи, дополнительную
(избыточную) информацию, предназначенную для защиты от ошибок при передачи
сигнала по линии связи; с той же целью информация подвергается определенной
переупаковке (перемножению); кроме того, кодер канала вводит в состав
передаваемого сигнала информацию управления, поступающую от CPU.
Фазовый модулятор
реализует гауссовскую манипуляцию с минимальным частотным сдвигом (GMSK
= Gaussian
Minimum Shift
Keying), то есть
реализует перенос цифрового сигнала в область радиочастотного канала. В
стандарте GSM с
модуляцией GMSK
произведение BTb,
определяющее частоту среза предмодуляционного гауссовского фильтра, равно BTb=0.3
(где B - полоса частотного
спектра Tb
- длительность бита сообщения). Такое значение произведения BTb
достигается
путем сложной аппаратурной реализации для увеличения требуемого отношения C/I
(сигнал/помеха) и уменьшения влияния условий распространения радиоволн и
неидеальности аппаратуры. При GMSK
обеспечивается высокий КПД усилителя мощности и приемлемая помехоустойчивость:
вероятность ошибки Pe=10-3
при C/N=30
дБ.
Усилитель мощности
не только усиливает высокочастотный сигнал с выхода ФСС, но и под действием
команд из CPU меняет
коэффициент усиления, тем самым в зависимости от расстояния между мобильной MS
и базовой BTS станциями
выходная мощность передатчика MS
автоматически регулируется: чем ближе MS
к BTS, тем меньше
мощность передатчика MS,
тем меньше излучаемая антенной MS
мощность.
Блок демодуляции.
В блоке сигнал вначале демодулируется в фазовом демодуляторе, при этом на вход
канального эквалайзера он поступает в виде цифрового видеосигнала; (назначение
канального эквалайзера состоит в компенсации той разности хода между
составляющими радиолучами при многолучевом распространении радиоволн, которая
приводит к межсимвольной интерференции (эквалайзер по своей сути - это
адаптивный фильтр, настраиваемый таким образом, чтобы сигнал на его входе был
по возможности в большей степени очищен от межсимвольных искажений,
содержащихся во входном сигнале)); далее цифровой сигнал попадает в декодеры
канала и речевого сигнала.
Декодер канала
реализует процесс, обратный кодированию, и с учетом закодированной в кодере
канала управляющей информацией и речевого закодированного сигнала, декодирует
весь поток информации.
Декодер речи
декодирует цифровой поток речевой информации для дальнейшего преобразования ее
из цифровой формы в аналоговую в цифро-аналоговом преобразователе (ЦАП).
Далее электрический сигнал аналоговой речевой
информации подается на телефон. Таким образом, завершается прием информации,
переданной базовой станцией BTS
мобильной MS.
Управляющим устройством в MS
является центральный управляющий процессор CPU,
который имеет свою оперативную и постоянную память (MEM)
и выполняет широкий спектр функций.
SIM
- карта, придается к MS
в виде съемного модуля, взаимодействует с CPU
и определяет процедуру аутентификации MS.
9.7 Расчет принципиальной схемы
опорного кварцевого генератора
При правильном выборе и расчете параметров
элементов схемы, режима их работы стабильность частоты КГ без применения
термокомпенсации и термостатирования определяется в основном стабильностью
частоты резонатора. Стабильность частоты КГ оценивают обычно по изменению
частоты из-за изменения температуры окружающей среды, воздействия механических
и климатических дестабилизирующих факторов, а также старения.
Наиболее широко в диапазоне средних (1-30 МГц)
применяется емкостная трехточка, которая позволяет получить высокую
стабильность частоты.
Частота и интервал рабочих температур резонатора
выбирается, как правило, соответствующими этим параметрам КГ.
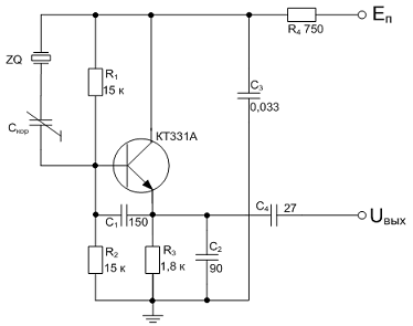
Для расчета ОКГ выбираем емкостную трехточку,
эквивалентная схема которой показана на рис. 21.
Рис. 21. Эквивалентная схема ОКГ
Выбор элементов
Варикап
Берем варикап с коэффициентами
аппроксимации:
a0=284.64e-13,
a1=-8.907e-13,
a2=-0.011e-13,
a3=0.531e-15.
Варикап используем для расчета
корректирующей емкости (табл. 5).
Транзистор
Выбираем транзистор КТ331А, так как
достаточно мощный, высокочастотный и имеет маленький размер.
Параметры:
СБЭ=8 пФ,
СКБ=5 пФ,
RБЭ=1000 Ом,
Рk max=15 мВт.
Расчет эквивалентной схемы КГ
методом подбора
С помощью программных средств
проведем расчет эквивалентной схемы (рис. 20).
Таблица
4
|
1. C01 - Var 2. Ck1 - 0 3. Lk1 - Var 4. Rk1 -
Var 5. CB1 - 0 6. C02 - 0 7. Ck2 - 0 8. Lk2 - 1 9. Rk2 - 0
|
11. L36 - 1 12. L2 - 0 13. L3 - 0 14. L57 - 1
15. L5 - 0 16. L6 - 0 17. L45 - 0 18. L12 - 0 19. Lp - 1
|
21.
C4 - 90 пФ 22. Cбэ+С3
= 8+150 = 158 пФ 23. Lka1
- 0 24. Cka1 - 2 пФ
25. Rka1 - 0 26. Lka2 - 0 27. Cka2 - 0 28. Rka2 - 0 29.
С0ф - 0
|
31.
Lкф1 - 0 32. Rкф1
- 0 33. С0ф2 - 0 34. Скф2 - 0 35. Lкф2 - 0 36. Rкф2 - 0 37. R9 - 0 38. Cкб -
5 пФ 39. R8 - 3600 Ом
|
В табл. 4 предоставлены все элементы, которые
находятся в схеме, где первые четыре элемента - это параметры КР, которыми
будем варьировать.
Составляем входной файл (labk.dat):
1 0 1 15 12997500 1 0 0 0 24 6 0 100
1 0 0 0 60 0 0 0 0 0 1
.64e-13 -8.907e-13 -0.011e-13
0.531e-15
e-12 0 0 0
e-12 0 4e-2 10 0 0 0 1 0 0 0 0 0 1 0
0 0 0 1 0
e-12 150e-12 0 2e-12 0 0 0 0 0 0 0 0
0 0 0 0 0 5e-12 3600 1000
39 2131 40 2232 3 410 0 210 0 130 0 510 0 2410 0
0 4110 0 4240 0 -140 0 -54 0 -130 0 -60 0 40
Где в первой строке 5-й элемент - частота
КР(варьируем), 2-я строк коэффициенты аппроксимации варикапа, 4-я и 5-я строка
- таблица из 40-а элементов (табл. 4), 6-я и 7-я - код схемы.
Пропускаем данные через программу KOEVLAB.EXE и
получаем таблицу 5 с информацией о кварцевом генераторе.
Таблица
5
======================================================
! 1 0 1 15 100 1 0 0 0 60 0 0 0 0 0 1 !
! Fk1=12997500 Гц,Fk2= 1 Гц,Ff1= 0 Гц,Ff2= 0 Гц!
!
2.84640E-11-8.90700E-13-1.10000E-15 5.31000E-16 !
! 1.00000E-12 0.00000E+00
0.00000E+00 0.00000E+00 !
! BeKTop E !
! 8.0000E-12 3.7485E-15 4.0000E-02
1.0000E+01 2.8464E-11!
! 0.0000E+00 2.5330E-02 1.0000E+00
0.0000E+00 1.0000E-12!
! 0.0000E+00 0.0000E+00 0.0000E+00
1.0000E+00 0.0000E+00!
! 0.0000E+00 0.0000E+00 0.0000E+00
1.0000E+00 0.0000E+00!
! 9.0000E-11 1.5000E-10 0.0000E+00
2.0000E-12 0.0000E+00!
! 0.0000E+00 0.0000E+00 0.0000E+00
0.0000E+00 0.0000E+00!
! 0.0000E+00 0.0000E+00 0.0000E+00
0.0000E+00 0.0000E+00!
! 0.0000E+00 0.0000E+00 5.0000E-12
3.6000E+03 1.0000E+03!
!КМ=15
MOK= 39 2131 40 2232 3 410 0 210 0 130!
! 0 510 0 2410 0 3833 0 4110 0 4240
0 -140!
! 0 -54 0 -130 0 -60 0 40
!======================================================
!CB=
2.8464E-11+-8.9070E-13Ey+-1.1000E-15Ey*2+ 5.3100E-16Ey*3!
!======================================================
! Ey1 B ! 0.00 ! 6.00 ! 12.00 !
18.00 ! 24.00 !
! Cв1
пФ
! 28.46 ! 23.19 ! 18.53 ! 15.17 ! 13.79 !
! Ey2 B ! 24.00 ! 18.00
! 12.00 ! 6.00 ! 0.00 !
! Cв2 пФ ! 1.00 ! 1.00 ! 1.00 ! 1.00 ! 1.00 !
! Итерации ! 200 ! 200 ! 200 ! 200 ! 200 !
!------------------------------------------------------------!
! F1 Гц ! 12999988! 12999995! 13000004!
13000013! 13000018!
! Ry1 Ом ! -28.1! -27.3! -26.3! -25.2! -24.7!
! Re1 Ом ! 52.0! 50.7! 49.0! 47.2! 46.3!
! Q1 ! -276752! -274973! -272552! -269865!
-268376!
!------------------------------------------------------------!
! Fp Гц ! 12999988! 12999995! 13000004!
13000013! 13000018!
! Ryp Ом ! 28.1! 27.3! 26.3! 25.2! 24.7!
! Aрг град ! 0.0 ! -0.0 ! -0.0 ! 0.0 ! 0.0 !
!======================================================
! Kнл1= 7.2% Df1= 30 Гц S1= 1.2 Гц/B D1= 0.00% !
! Kнл2=
0.0% Df2= 0 Гц S2= 0.0 Гц/B
D2= 0.00% !
! Kнлp=
7.2% Dfp= 30 Гц Sp= 1.2 Гц/B
Dp= 0.00% !
!======================================================
! N12 ! 0.00000 ! 0.00000 ! 0.00000 ! 0.00000 !
0.00000 !
! N1R ! 1.00000 ! 1.00000 ! 1.00000 ! 1.00000 !
1.00000 !
! N2R ! 0.00000 ! 0.00000 ! 0.00000 ! 0.00000 !
0.00000 !
======================================================
Соображения по подбору номиналов с учетом
таблицы 5.
) C01
- статическая емкость КР. На частоте 13 МГц (данной по ТЗ) может быть
реализована в пределах от 5 до 16 пФ. Выбираем по меньше, так как уменьшает
добротность КР. С учетом влияния на управляющее напряжение Ry.
) Lk1
- динамическая индуктивность КР. Желательно эту индуктивность брать как можно
больше, но так как добротность при частоте 13 МГц не может быть больше 300 000,
выбираем ее соответствующей.
) Rk1
- динамическое сопротивление КР. На данной частоте изменяется в пределах от 2
до 40 Ом. Учитываем его при подборе добротности и управляющего напряжения.
) Емкость варикапа СВ изменяется в
пределах от 13,79 до 28,46 пФ.
) Управляющее напряжение изменяется в пределах
от 24,7 до 28,1.
) Частота перестройки Df
= 30 Гц, что значит частота генерации изменяется в пределах от 12999988 до
13000018.
) С учетом отстройки частоты КГ выбираем частоту
КР меньшей 2500 Гц.
) Фазирующие емкости С3 и С4
выбираем по меньше, что бы уменьшить Ry.
После проведенного подбора имеем:
Кварцевый резонатор
C01=8
пФ
Lk1=0,4
мГн
Rk1=10
Ом
f01=12997500
Гц
Qmax=276752
Будем использовать КР с АТ срезом в
герметическом корпусе. Возбуждается первая гармоника.
Фазирующие емкости
С3=150 пФ
С4=90 пФ
Корректирующие элементы
Скор=1,75…1,87 пФ
Расчет принципиальной схемы ОКГ
После проведенного расчета эквивалентной схемы
КГ осталось задать рабочий режим транзистору (расчет по постоянному току) и
расставить разделительные и блокирование емкости. Получаем готовый ОКГ,
принципиальная схема показана на рисунке 22.
Рис. 22. Принципиальная схема опорного
кварцевого генератора.
Технические характеристики ОКГ:
Напряжение питания, В……………………………………………….6-10
Мощность, потребляемая от источника,
мВт………………………..5-20
Нестабильность частоты при изменении напряжения
питания на ±15%, не более……………………………………………………………………±5×10-7
Дополнительная нестабильность частоты,
обусловлена изменением параметров элементов схемы при изменении температуры от
-50 до 700С, не более………………………………..……………………………………...±1,5×10-6
Выходное напряжение,
мВ…………………………………………………………………………..150-500
Выводы
При написании данного курсового проекта
познакомился со структурой стандарта GSM-1800.
А именно с организацией покрытия, структурой современной мобильной станции,
способом модуляции и организации приема и передачи информации.
В рамках технического задания обрел навыки
выбора, создания и эскизного расчета структурных схем РПУ и РПрУ мобильной
станции. Изучил возможности применения и принцип работы современных микросхем
ИС синтезаторов для создания РПУ.
Освоил технику расчета опорного кварцевого
генератора с помощью программных средств ЭВМ. Обрел навыки подбора кварцевых
резонаторов с учетом пределов реализации его параметров, а также выбор
транзистора с требуемыми параметрами. Освоил метод выбора принципиальной схемы
ОКГ и ее расчет по постоянному и переменному току.
Список используемой литературы
1. В.И.
Попов Основы сотовой связи стандарта GSM
- М.: Эко-Трендз, 2005. - 296 с.: ил.
2. С.И.
Дингес Мобильная связь: технология DECT
- М.: Солон-Пресс, 2003. 272 с. - (Серия Библиотека инженера).
. Скляр,
Бернард. Цифровая связь. Теоретические основы и практическое применение Изд.
2-е, испр.: Пер. с англ. - М.: Издательский дом “Вильямс”, 2004. - 1104 с.: ил.
- Парал. тит. англ.
. В.В.
Шахгильдян Радиопередающие устройства. Учебник для вузов - 3-е изд., перераб. и
доп. - М.: Радио и связь, 2003. - 560 с.: ил.
. В.В.
Шахгильдян Радиопередающие устройства. Учебник для вузов - 4-е изд., перераб. и
доп. - М.: Радио и связь, 2002. - 630 с.: ил.
. А.А.
Зеленский, В.Ф. Солодовник “Структурные схемы радиопередающих устройств”
Учебное пособие по курсовому и дипломному проектированию - Х.: ХАИ, 1990. - 58
с.
. Справочник
по кварцевым резонаторам/Андросова В.Г., Банков В.Н., и др.; Под ред. П.Г.
Позднякова. - М.: Связь, 1986. - 288 с., ил.
. Альтшуллер
Г.Б., Елфимов Н.Н., Шакулин В.Г. “ Кварцевые генераторы”: Справ. Пособие. М.:
Радио и связь, 1984. - 232 с., ил.