Вычисление физических параметров точки
110. Частица вращается по окружности R = 0,3 м с постоянным угловым
ускорением. Найти тангенциальное ускорение точки, если за 4 с она совершила три
оборота и в конце третьего оборота имела нормальное ускорение 2,7 м/с2.
Дано:
R = 0.3 м, β = const, t = 4 с, N = 3, an
= 2.7 м/с2, аτ - ?
Решение
Модуль тангенциального ускорения аτ связан с модулем
углового ускорения β соотношением
аτ = βR.
Движение с постоянным угловым
ускорением есть равноускоренное движение, при котором угловая скорость ω меняется по закону
ω = ω0 + βt,
где ω0 - угловая скорость в
начальный момент времени t0, а угол поворота φ меняется по закону
φ = ω0t + βt2/2.
Полное число оборотов N = φ/(2π). Отсюда
πN = (ω
- βt) t + βt2/2 = ωt - βt2/2,
β
= 2/t2 (ωt -2πN).
По условию частица в конце третьего
оборота имела нормальное ускорение an = 2.7 м/с2, а значит, её угловая скорость была
ω
= √ an/R,
тогда
β = 2/t2
(√(an/R) t -2πN), а аτ = βR = 2R/t2 (√(an/R) t -2πN).
Подставляя значения величин,
произведём вычисления:
аτ = 2∙0.3/42 (√(2.7/ 0.3) ∙4
-2∙3,14∙3) = - 0,257 м/с2.
Знак «- «говорит о том, что вращение
происходит с постоянным отрицательным угловым ускорением (β<0) равнозамедленно.
Ответ: аτ = 2R/t2 (√(an/R)
t -2πN) = - 0.257 м/с2.
120. Ускорение
тела а = -1,5
.Через
сколько времени от начала движения тело остановится при начальной скорости 9
м/с?
Дано:
v0
= 9 м/с, а = -1.5√ v.
Решение
Составим
дифференциальное уравнение для определения функции v(t), учитывая, что ускорение есть первая производная от скорости по
времени:
d v(t)
3
a
= dt = - 2√ v(t),
Решая уравнение,
получим___
√ v(t)
= - 1.5t +C1,
v(t)
= (- 0.75t
+ C1)2.
Найдем коэффициент C1,
учитывая, что начальная скорость v0
= vt=0
= 9 м/с:
при t=0 v(0)
= (C1)2,
значит, С1 = 3, v(t)
= (- 0.75t
+ 3)2.
Найдем, через сколько
времени от начала движения тело остановится:
= (- 0.75t + 3)2, решая, получим t
= 4 с.
Ответ:
t = 4 с.
. Кубик
массой 0,2 кг движется из начала координат прямолинейно вдоль оси ОХ под
действием силы F = 0,6t. Найти координату через 3 с после начала движения, если при t = 0 скорость была 1 м/с.
Дано:
m = 0.2 кг, x(t0) = 0, F = 0.6t, t =
3 c, v (t=0) = 1 м/с.
Решение
Кубик, движущийся под
действием силы F, согласно
второму закону Ньютона, имеет ускорение
a
= F/m
= 0.6t/0.2
= 3t.
Уравнение для координаты
x(t)
имеет вид
x(t)
= x(t0) + v(t0) t + at2/2(t) = 0 + 1∙3 + 3∙33/2 = 43.5 м/с
Ответ:
x(t)
= 43.5 м/с.
140. Частица,
двигающаяся со скоростью 8i+3j, неупруго соударяется с другой, скорость которой 2i+2j. Скорость
образовавшейся частицы u
= 5i+6j. Найти соотношение масс
m1/m2 до соударения.
Дано:
v1
= 8i+3j, v2 = 2i+2j, u
= 5i+6j, m1/m2 - ?
Решение
При абсолютно неупругом
ударе выполняется только закон сохранения импульса:
m1v1+m2v2
= (m1+m2)
u,
разделим обе части
равенства на m2:
(m1/m2)
v1+v2 = (m1/m2 +1) u,
(m1/m2)
(v1 - u) = u - v2,
m1/m2
= /u - v2/// v1 - u/, ____ ___
m1/m2
= /5i+6j - (2i+2j)
/// 8i+3j - (5i+6j)/
= /3i+4j /// 3i - 3j/ = √9+16/√9+9
= 1.18
Ответ:
m1/m2
= 1.18.
150.
Ракета стартует с Земли со скоростью 6 км/с. На какую высоту она поднимется?
Радиус Земли 6400 км.
Дано:
v
= 6 км/с = 6∙103 м/с, R
= 6400 км = 6.4∙106 м, g
= 9.8 м/с2, h
- ?
Решение
Скорость, которую нужно
сообщить ракете, чтобы она двигалась вокруг планеты Земля по круговой орбите на
высоте h от
ее поверхности:
v
= R√g/(R+h),
отсюда
g/(R+h)
= (v/R)2,= gR2/v2 - R.
Вычисляем:
h
= 9.8∙(6.4∙106/6∙103)2
- 6.4∙106 = 4.75∙106 м = 4750 км
Ответ: h = gR2/v2 - R = 4750 км.
160. С
наклонной плоскости скатываются обруч и шар. Массы и радиусы обруча и шара
одинаковы. Найти отношение времени скатывания этих тел.
Дано:
m1
= m2
=m, r1
= r2
=r, t1/t2
- ?
Решение
Силы, действующие на
тело: сила тяжести mg,
сила реакции со стороны наклонной плоскости R,
сила трения Fтр.
Запишем уравнения движения. Центр масс тела С движется согласно уравнению maC = F, где F
- результирующая всех внешних сил; в проекции на ось x: maCx
= mgsinα - Fтр.
Тело вращается вокруг оси, проходящей через центр масс тела ICβz = MCz,
ICz и
MCz -
момент инерции и суммарный момент всех внешних сил; в проекции ICβz = r Fтр.
Условие отсутствия скольжения aCx
= rβz.
Из этих уравнений
находим ускорение 
.
Моменты инерции обруча и
шара относительно оси, проходящей через центр масс:
IC1
= mr2,
IC2
= 2/5 (mr2).
Соответственно ускорения
обруча и шара aCx1
= gsinα / 2, aCx2
= 5/7 (gsinα).
Время скатывания связано
с ускорением и пройденным путем: x
= aCxt2/2.
Отсюда найдем отношение t1/t2:

.
Ответ: t1/t2 = 1.2.
170. Найти
момент инерции однородного стержня длиной L
и массой m относительно оси, проходящей через конец стрежня и составляющей
со стержнем угол α.
Дано:
L,
m, α, J
- ?
Решение
По определению момента
инерции твердого тела относительно данной оси вращения J равен сумме произведений масс материальных точек, составляющих
это тело, на квадраты расстояний их до оси вращения. Разобьём мысленно стержень
на элементы длиной dx
и массой dm настолько малые, чтобы их можно было считать материальными
точками, и выберем один из таких элементов, находящийся на расстоянии r от оси вращения.
dJ
= dm∙r2,
r = x∙sinα, ρ
= dm/dx,
dJ = ρ∙sin2α∙x2dx,
где ρ - линейная
плотность стержня. Момент инерции всего стержня
J
= ρ∙sin2α ∫0L x2dx = ρ∙sin2α∙L3/3.
Учитывая, что стержень
однородный, т.е. ρ
= m/L,
получим
J
= m∙sin2α∙L2/3
=(mL2/3)∙sin2α.
Ответ:
J = (mL2/3)∙sin2α.
180.
По горизонтальной плоскости катится шар с начальной скоростью 10 м/с;
пройдя путь 20 м, он остановился. Найти коэффициент сопротивления.
Дано:
? =
10 м/с, S = 20 м, k
- ?.
Решение
Так как шар катится, а
не скользит, то он будет вращаться с угловой скоростью
и
двигаться поступательно со скоростью ϑ.
Угловые и линейные
величины, характеризующие движение точки по окружности (в нашем случае на
поверхности шара), связаны соотношением:
, где R - радиус шара. Поэтому
. Откуда
.
По определению
кинетическая энергия вращения равна
, где 
- момент инерции
сплошного шара. Тогда 
, а так как
, то 
.
Помимо вращения
существует поступательное движение со скоростью
. По определению
кинетическая энергия поступательного движения Eпост
= mv2/2.
Тогда полная кинетическая энергия равна:

.
Когда шар катится, на
него действует сила трения, равная
, где k - коэффициент сопротивления. Работа сил трения равна
,
где S - пройденный путь. Так как диск остановился, то вся кинетическая
энергия пошла на работу сил трения: A
= E. Поэтому 
, откуда искомая
величина равна:
Ответ:

.
. Материальная
точка совершает гармонические колебания так, что в начальный момент времени
смещение х0 = 4 см, а скорость v0
= 10 см/с. Определить амплитуду А и начальную фазу j0
колебаний, если их период Т = 2 с.
амплитуда сопротивление
коэффициент координата
Дано:
х0 = 4 см = 0.04 м, v0 = 10 см/с = 0.1 м/с, Т
= 2 с, А - ?, j0 - ?
Решение
Кинематическое уравнение
гармонических колебаний материальной точки
х(t) = Acos (wt + j0),
где х(t) - смещение точки, А - амплитуда колебаний, w - циклическая частота, j0 - начальная фаза.
Скорость v(t) есть первая производная смещения х(t) по времени t:
v(t) = - Awsin (wt + j0).
Период колебаний и циклическая
частота связаны соотношением w = 2π / T.
Подставляя в уравнения все известные
величины при t = 0, получим систему для
определения А и j0:
0.04 = Acos(j0), 0.1 = - A π sin(j0);(j0) = 0.04 / A, sin(j0) = - 0.1 / (A π);2(j0) + sin2(j0) = (0.04 / A)2 +(- 0.1 /(A
π))2;
= (0.04 / A)2 +(- 0.1 / (A π))2; A = 0.05 м = 5 см.
sin(j0) / cos(j0) = -
5/(2 π), tg(j0) = -
5/(2 π), j0 = -
0.67 рад
≈ - 38о
Ответ: A = 5 см, j0 = - 0.67 рад.
220. Амплитуда гармонических колебаний частицы А = 2 см, полная
энергия колебаний Е = 3∙10-7 Дж. При каком смещении от
положения равновесия на точку действует сила F = 2.25∙10-5
Н?
Дано:
А = 2 см = 0.02 м, Е = 3∙10-7 Дж, F = 2.25∙10-5
Н, x =?
Решение
Полная энергия гармонических
колебаний E = kA2 / 2, где k - коэффициент квазиупругой
силы F = - kx, стремящейся вернуть частицу
в положение равновесия. Отсюда
k = 2 E / A2 = 2∙3∙10-7 / (0.02)2 =
0.0015;
Ответ: k = 0.0015; x = 1.5 см.
230. Определить период Т гармонических колебаний
диска радиусом 40 см около горизонтальной оси, проходящей через образующую
диска.
Дано:
R = 40 см = 0.4 м, T - ?
Решение
Известно, что период колебаний
физического маятника равен:

где J - момент инерции тела относительно точки подвеса; m - масса физического маятника; L
- расстояние от точки подвеса до центра тяжести маятника (L=R).
Для нашего случая нужно
найти момент инерции диска J
относительно точки подвеса А. Для того чтобы вычислить момент инерции диска в
точке А воспользуемся теоремой Штейнера:

момент инерции тела
относительно его оси симметрии.
В нашем случае x=R,
а 
- момент инерции диска
относительно его оси симметрии, поэтому
Тогда
Подставляем числа
(переводя одновременно все величины в систему СИ).
Ответ:

240. За
время 6 мин амплитуда затухающих колебаний уменьшилась в три раза. Определить
коэффициент затухания β.
Дано:
t
= 6 мин = 360 с, n = 3, β - ?
Решение
При затухающих колебаниях
амплитуда А меняется во времени по закону
A
= A(t)
= A0e-βt,
где величина β характеризует степень затухания колебаний. Отсюда
A
/ A0 = e-βt.
По условию A0
/ A = n.
Значит, n = eβt, βt = ln(n), β
= ln(n)
/ t.
Вычисляем: β = ln(3)
/ 360 = 0.003 с-1.
Ответ:
β = 0.003 с-1.
250.
Давление воздуха внутри закупоренной бутылки при температуре 280 К было равно
100 кПа. На сколько градусов необходимо нагреть бутылку, чтобы из нее вылетела
пробка, если известно, что из холодной бутылки без нагревания пробку можно
вынуть силой 10 Н? Сечение пробки 4 см2.
Дано:
T1
= 280 K, p1
= 105 Па, F
= 10 Н, S = 4 см2 = 4 ∙10-4 м2,
ΔT
- ?
Решение
Считаем воздух в бутылке
идеальным газом. Из уравнения состояния идеального газа найдем его объем:
p1V
= νRT1 => V
= νRT1 / p1.
Пробка вылетит из
бутылки, когда давление внутри нее станет p2
= F/S.
Для нагретого состояния
уравнение Менделеева-Клапейрона примет вид:
p2V = νRT2 => T2 =
p2V / (νR).
ΔT = T2 - T1 = p2V
/ (νR) - T1 = p2 νRT1 / (νRp1) - T1 = p2T1
/ p1 - T1 =
= FT1/(Sp1)
- T1.
Вычисляем:
ΔT = 10∙280/(4 ∙10-4∙105)
- 280 = - 210 К
Ответ: при
данных условиях задачи ΔT<0.
260.
Водород находится при нормальных условиях в объеме 1 см3.
Определить число молекул в этом объеме, обладающих скоростями, меньше 1 м/с.
Дано:
M
= 2∙10-3 кг/моль, p0
= 105 Па, Т0 = 273 К, V
= 1 см3 = 10-6 м3, v
= 1 м/с, N - ?
Решение
Распределение молекул по скоростям
(распределение Максвелла) имеет вид

,
где dN - число молекул, имеющих значения относительных скоростей в
интервале между u
и u+du, N0
- общее число молекул газа, u
= v/vвер,

- наиболее
вероятная скорость, R
= 8.31 Дж/(К∙моль) - универсальная газовая постоянная.
При нормальных условиях
(Т0 = 273 К) для водорода vвер=1506
м/с; при условии v
< 1 м/с exp(-u2)
= 0.999 ≈ 1. Тогда число молекул найдем как интеграл

.
Общее число молекул 
, где ν
- количество вещества водорода, NA
- постоянная Авогадро (NA
= 6.02∙1023 моль-1).
Количество вещества
найдем из уравнения состояния идеального газа (уравнения Менделеева-Клапейрона):
pV = νRT
=> ν = pV
/ RT.
Значит, 
. Тогда выражение для N примет вид
Ответ: N = 5.8∙109.
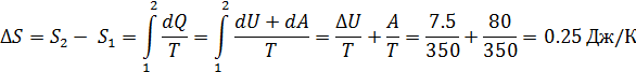
270. При обратимом изотермическом процессе при температуре 350 К тело
совершает работу 80 Дж, а внутренняя энергия тела получает приращение 7,5 Дж.
Что происходит с энтропией тела?
Дано:
T = 350 К = const, A = 80 Дж, ΔU = 7.5 Дж, S - ?
Решение
Изменение энтропии при равновесном
переходе из состояния 1 в состояние 2
Таким образом, энтропия растет.
Ответ: ΔS = 0.25 Дж/К.
280. Найти КПД цикла, состоящего из двух изотерм с температурами Т1
и Т2 (T1>T2) и двух изобар с давлениями p1 и р2 (p1>p2).
Дано:
Решение
Изобразим данный цикл на диаграмме T, S.
По определению, КПД
равно 
, где Q1 - количество теплоты, полученное от нагревателя, Q’2 - количество теплоты, отданное холодильнику.
Мы знаем, что 
,

.
Определим разности (S2 - S1)
и (S4 - S1)
с помощью формулы

: 
, 
.
Значит, 
.
Ответ:

.