Стратегии теории игр в современных экономических условиях
Введение
Считаются известными всевозможные состояния П1,
П2, ..., Пn природы П, которые она проявляет случайным образом независимо от
действий игрока А, не противодействуя злонамеренно его стратегиям. Природа
может находиться только в одном из отмеченных состояний, но в каком именно -
неизвестно, хотя в некоторых случаях могут быть известны лишь вероятности этих
состояний.
Известны также возможные стратегии
A1, A2, ..., An игрока А и его выигрыши
при каждой из стратегий
и каждом из
состояний природы Пj. Эти выигрыши можно расположить в виде матрицы выигрышей
(Таблица 1).
Таблица 1 - Матрица выигрышей
|
Пj
Ai
|
П1
|
П2
|
...
|
Пn
|
|
А1
|
а11
|
а12
|
...
|
а1n
|
|
(aij)
=
|
А2
|
а21
|
a22
|
...
|
a2n
|
|
...
|
...
|
...
|
...
|
...
|
|
Аm
|
аm1
|
am2
|
...
|
amn
|
|
qj
|
q1
|
q2
|
...
|
qn
|
В нижней строке матрицы указаны вероятности qj
состояний природы Пj, j = 1, ..., n.
Предположим, что игрок А, не зная состояния
природы, выбрал стратегию Аi. Если природа приняла состояние Пj, то выигрыш
игрока А будет аij. Но если бы игрок А заранее знал, что природа примет
состояние Пj, то он выбрал бы стратегию Аi0, при которой достигается наибольший
выигрыш аi0j, т.е.

(1)
Разность

(2)
между выигрышем
игрока А при
заранее известном ему состоянии природы Пj и выигрышем аij при незнании игроком
А состояния природы называется риском при стратегии Аi и состоянии природы Пj.
Таким образом, риск rij есть та часть наибольшего выигрыша
при
состоянии природы Пj, которую игрок А не выиграл, применяя стратегию
, по причине
незнания состояния природы.
Таблица 2 - Матрица рисков
|
Пj
Аi
|
П1
|
П2
|
...
|
Пn
|
|
A1
|
r11
|
r12
|
...
|
r1n
|
|
(rij)
=
|
A2
|
r21
|
r22
|
...
|
r2n
|
|
...
|
...
|
...
|
...
|
...
|
|
Am
|
rm1
|
rm2
|
...
|
rmn
|
|
qj
|
q1
|
q2
|
...
|
qn
|
В последней строке указаны
вероятности состояний природы qj, j = 1, …, n. Так как 
(правое неравенство следует из (1)),
то из (2) получаем, что
.
Вероятность
состояния природы Пj является
очевидно вероятностью выигрыша 
и риска 
при каждой стратегии Ai, i = 1, …,
m.Поэтому каждую стратегию 
можно интерпретировать как
дискретную случайную величину, которая может принимать значения, равные
выигрышам 
, …, 
или рискам 
, …, 
с соответствующими вероятностями 
, …, 
.
Задача игрока А состоит в выборе из
возможных стратегий Ai, ..., Am оптимальной. Таким образом, речь идет о решении
задачи в чистых стратегиях ([1], с. 502, 508). Оптимальность стратегии понимают
в различных смыслах и выбирают ее по различным критериям.
Цель настоящей статьи - предложить
некоторую общую схему формирования критериев выбора оптимальных стратегий, на
основе которой можно выделить некоторые классы критериев, включающие в себя
отмеченные классические критерии и дающие возможность получать новые критерии
оптимальности.
1. Теоретическая часть
Результат игры в общем случае
зависит от трех числовых параметров: выигрышей а игрока А, рисков r, которые
появляются при выборе игроком А той или иной стратегии, и вероятностей q
состояний природы. Желание "свернуть" эти три параметра в один
показатель приводит к некоторой числовой функции, зависящий от этих трех
параметров. Обозначим ее G(a, r, q) и назовем функцией игры. Характер
зависимости функции игры G от а, r и q мотивируется логикой применяемого
критерия. Значения
функции игры назовем показателями
игры. Эти показатели образуют матрицу игры.
выигрыш матрица критерий
оптимальный
Таблица 3 - Матрица игры
|
Пj
Ai
|
П1
|
П2
|
...
|
Пn
|
|
A1
|
G11
|
G12
|
...
|
G1n
|
|
(Gij)
=
|
A2
|
G21
|
G22
|
...
|
G2n
|
|
...
|
...
|
...
|
...
|
...
|
|
Am
|
Gm1
|
Gm2
|
...
|
Gmn
|
Критерий векторного аргументаjпредполагает задание некоторой
числовой функции
значение которой назовем показателем
стратегии Ai.
Затем среди показателей Gi стратегий
Ai выбирается экстремальный
. Для одних критериев это
максимальное значение: Ext = max, а для других минимальное: Ext = min.
Если Ext = max, то показатель Gi
назовем показателем оптимальности стратегии Ai; если же Ext = min, то Gi
назовем показателем неоптимальности стратегии Ai.
Оптимальной по критерию называется
стратегия Ai0, для которой достигается экстремум показателя Gi , т.е.
Применяя описанную схему, сформируем
некоторые классы критериев.
Максиминные критерии (крайнего
пессимизма)
Для этих критериев

(3)
а показатели стратегий Ai
определяются следующим образом:
и являются, в силу (3), показателями
оптимальности стратегий.
Таким образом, Gi является наихудшим
показателем игры при стратегии Ai. Отсюда следует, что функция игры G(a, r, q)
должна быть неубывающей по выигрышу а и невозрастающей по риску r.
На показатели игры также оказывают
влияние вероятности состояний природы q. Так, например, если наихудший, т.е.
наименьший выигрыш аij при стратегии Ai имеет достаточно малую вероятность qj,
то считать его практически наименьшим уже нецелесообразно. Чтобы этот выигрыш
оставался и практически наименьшим, он должен иметь достаточно большую
вероятность. С рисками обстоит все наоборот: чтобы наихудший, т.е. наибольший риск
rij при стратегии Ai оставался практически наибольшим, его вероятность должна
быть также достаточно большой. Это говорит о том, что функция игры должна
невозрастать по вероятности q.
Итак, логика максиминного критерия
определяет характер поведения функции игры в зависимости от выигрыша а, риска r
и вероятности q:
G(a, r, q) Ú по a; Ø по r; Ø по q.
Для удобства различий в дальнейшем
для максиминного критерия обозначим функцию игры G через W, показатели игры Gij
через Wij, показатели оптимальности Gi стратегий Ai через Wi.
Таким образом, для максиминного
критерия функция игры
W(a,r,q) Ú по a; Ø по r; Ø по q, (4)
показатели игры
показатели оптимальности стратегий
Оптимальной по максиминному критерию
считается стратегия Ai0, для которой
Максиминный критерий является
критерием крайнего пессимизма лица, выбирающего стратегию, так как ориентирует
его на наихудшее для него проявление состояний природы и как следствие - на
весьма осторожное поведение при принятии решения.
Конкретная функция игры W(a,r,q)
может быть выбрана по-разному, но с непременным требованием обладания
свойствами (4).
Примерами максиминных критериев с
конкретными функциями игры W(a,r,q) могут служить следующие критерии:
3.1.
W(a,r,q) = a;
.2. W(a,r,q)
= (1-q)a;
.3. W(a,r,q)
= a-r;
.4. W(a,r,q)
= (1-q)a-qr.
То, что каждая их этих функций
обладает свойствами (4), можно проверить по знаку частных производных.
В критерии 3.1 показателями игры
являются выигрыши: 
, а потому он не учитывает ни
рисков, ни вероятностей состояний природы. Критерий 3.1 является критерием
Вальда ([1], с. 504; [3], с. 91; [5], с. 56), позволяющим обосновать выбор
решения в условиях полной неопределенности, т.е. в условиях незнания
вероятностей состояний природы. Критерий 3.2 учитывает выигрыши и вероятности
состояний природы, но не учитывает риски. В критерии 3.3 учитываются выигрыши и
риски без учета вероятностей состояний природы. И наконец, в критерии 3.4
учитываются выигрыши, риски и вероятности состояний природы.
1.1 Минимаксные критерии (крайнего
пессимизма)
Для минимаксного критерия функцию
игры обозначим через S(a,r,q). Она должна быть невозрастающей по выигрышу а и
неубывающей по риску r и по вероятности q состояний природы:
S(a,r,q) Ø по а; Ú по r; Ú по q (5)
Тогда Sij = S(aij, rij, qj ) -
показатели игры. Показатели стратегий определяются следующим образом:

(6)
Стратегия
считается оптимальной, если

(7)
В силу (7) показатели Si являются
показателями неоптимальности стратегий Аi.
То, что функция игры S(a, r, q)
должна обладать свойствами (5) мотивируется аналогично мотивировке в п. 3 с
учетом (6) и (7).
Приведем некоторые минимаксные
критерии с конкретными функциями игры S(a,r,q), удовлетворяющими условиям (5):
4.1.
S(a,r,q) = r;
.2. S(a,r,q)
= qr;
.3. S(a,r,q)
= r-a;
.4. S(a,r,q)
= qr-(1-q)a.
Критерий 4.1, в котором показатели
игры - риски, не учитывает ни выигрышей, ни вероятностей состояний природы. Это
есть критерий Сэвиджа ([1], с. 504; [3], с. 92, [5], с. 57).
Сравнивая максиминные и минимаксные
критерии, можно высказать следующее.
Утверждение 1. Максиминные критерии
3.3 и 3.4 эквивалентны соответственно минимаксным критериям 4.3 и 4.4:
3.3 Û 4.3, 3.4 Û 4.4.
Первая их этих эквиваленций
означает, что стратегия Ai является оптимальной по критерию 3.3 тогда и только
тогда, когда она оптимальна по критерию 4.3.
Аналогичное объяснение относится и
ко второй эквиваленции.
Доказательство. Докажем сначала
эквиваленцию 3.3 Û
4.3. Так
как функции игры W и S соответственно критериев 3.3 и 4.3 удовлетворяют
равенству S = -W, то и показатели игры удовлетворяют аналогичному равенству Sij
= -Wij. Тогда
откуда
Таким образом, Si будет минимальным
для номера i, для которого Wi будет максимальным, и эквиваленция 3.3 Û 4.3 доказана.
Совершенно аналогично доказывается и
эквиваленция 3.4 Û
4.4. n
1.2 Максимаксные критерии (крайнего
оптимизма)
В данном случае функция игры,
которую мы обозначим через M(a, r, q), должна не убывать по выигрышу
и по
вероятности
состояний
природы и не возрастать по риску
:
M(a, r, q) Ú а; Ø по r; по Ú q. (8)
Показатели игры Mij= M(aij, rij,
qj). Показатели оптимальности стратегий
Оптимальной называется стратегия
Ai0, для которой
Максимаксные критерии являются
критериями крайнего оптимизма, поскольку предполагают, что природа будет
находиться в наиболее благоприятном для игрока А состоянии и потому в качестве
оптимальной выбирается стратегия, при которой максимальный показатель игры -
показатель оптимальности максимален среди максимальных показателей всех
стратегий.
В качестве максимаксных критериев с
конкретными функциями игры M(a, r, q), обладающими свойствами (8), можно взять,
например, следующие:
5.1. M(a, r,
q) = а;
.2. M(a, r,
q) = qa;
.3. M(a, r,
q) = a-r;
.4. M(a, r,
q) =qa-(1-q)r.
В критерии 5.1 показателями игры
являются выигрыши Mij = aij, и мы получаем максимаксный критерий относительно
выигрышей ([2], с. 42).
1.3 Миниминные критерии (крайнего
оптимизма)
Функция игры, обозначим ее через
E(a, r, q), выбирается невозрастающей по выигрышу а и по вероятности q
состояний природы и неубывающей по риску r:
E(a, r, q) Ø по а; Ú по r; Ø по q. (9)
В качестве показателей
неоптимальности стратегий Аi берутся
где Eij = E(aij, rij, qi) -
показатели игры.
Оптимальной назначается стратегия
Ai0, минимизирующая показатель неоптимальности
, т.е.
Миниминные критерии также являются
критериями крайнего оптимизма, поскольку под оптимальной стратегией понимается
стратегия, при которой показатель неоптимальности минимален среди показателей
неоптимальности всех стратегий.
Примерами миниминных критериев с
функциями игры E(a, r, q) со свойствами (9) могут быть:
6.1. E(a, r,
q) = r;
.2. E(a, r,
q) = (1-q)r;
.3. E(a, r,
q) = r -a;
.4. E(a, r,
q) = (1-q)r -qa.
Показателями игры в критерии 6.1
являются риски, и он, таким образом, превращается в миниминный критерий
относительно рисков.
Утверждение 2. Максимаксные критерии
5.3 и 5.4 эквиваленты соответственно миниминным критерием 6.3 и 6.4:
5.3 Û 6.3, 5.4 Û 6.4.
Доказательство аналогично
доказательству утверждения 1, а именно для критериев 5.3 и 6.3 имеем: E = -M и,
следовательно, Eij = -Mij, откуда
Поэтому
Таким образом, эквиваленция 5.3 Û 6.3 доказана.
Аналогично доказывается и
эквиваленция 5.4 Û
6.4. n
Для лучшей обозримости стрелок,
указывающих в (4), (5), (8) и (9) на невозрастание или неубывание функций игры
рассмотренных критериев в пп. 3, 4, 5, 6 в зависимости от выигрышей а, рисков r
и состояний природы q, сведем их в следующую таблицу.
Таблица 4
|
Аргументы
|
Функции
игры и критерии
|
|
функций
игры
|
W(a,
r, q)
|
S(a,
r, q)
|
M(a,
r, q)
|
E(a,
r, q)
|
|
maxmin
|
minmax
|
maxmax
|
minmin
|
|
a
|
Ú
|
Ø
|
Ú
|
Ø
|
|
r
|
Ø
|
Ú
|
Ø
|
Ú
|
|
q
|
Ø
|
Ú
|
Ú
|
Ø
|
Из этой таблицы видно, что стоящие в первой
строке стрелки, обозначающие поведение функций игры в зависимости от выигрышей
а, соответствуют первому значку в названии критерия: max - Ú,
min - Ø, max - Ú, min - Ø. А стрелки во
второй строке, обозначающие поведение функций игры в зависимости от рисков r,
противоположны стрелкам первой строки.
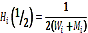
1.4 Критерии максимизации
взвешенного среднего показателя оптимальности стратегий
Функция игры L(a, r, q) должна неубывать по
выигрышу a и невозрастать по риску r :
L(a, r, q) Ú по а; Ø
по
r. (10)
Показатели оптимальности стратегий Ai0
определяются следующим образом:

(11)
где Lij = L(aij, rij, qj) -
показатели игры.
По определению оптимальной является
стратегия Ai0, максимизирующая показатель оптимальности Li:
В качестве функций игры L(a, r, q),
удовлетворяющих условиям (10), можно взять функции:
7.1. L(a, r,
q) = qa;
.2. L(a, r,
q) = q(a-r).
Если в критерии 7.1 q1 =qn =, то
показатели игры принимают вид
а показатели оптимальности стратегий
Ai превращаются (см. (11)) в среднее арифметическое выигрышей при стратегии Ai:
Такой критерий был предложен Байесом
([2], с. 119; см. также сноску на с. 2). Этот критерий также называют ([1], c.
503) "критерием недостаточного основания" Лапласа (т.е. у нас нет
достаточного основания отдать предпочтение какому-нибудь состоянию природы).
Если в критерии 7.1 вероятности
состояний природы q1, …, qn различны, то показатели игры
а показатели оптимальности стратегий
Ai будут представлять собой взвешенное среднее выигрышей при стратегии Ai,
взятых с весами q1, …, qn:
Получившийся критерий называют
критерием Лапласа ([2], c. 119.).
1.5 Критерии минимизации взвешенного
среднего показателя неоптимальности стратегий
Для данного критерия функция игры
K(a, r, q) невозрастает по выигрышу а и неубывает по риску r:
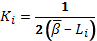
K(a, r, q) Ø по а; Ú по r, (12)
показатели игры Kij= K(aij, rij,
qj), показатели неоптимальности стратегий Ai
Оптимальной считается стратегия Ai0,
минимизирующая показатель неоптимальностиKi:
Примерами таких критериев с
функциями игры K(a, r, q), удовлетворяющими условиям (12), могут служить
критерии:
8.1. K(a, r,
q) = qr;
.2. K(a, r,
q) = q(r-a).
В критерии 8.1 показатели
неоптимальности стратегии Ai представляют собой взвешенное среднее рисков при
стратегии Ai с весами q1, …, qn, и критерий 8.1, таким образом, является
критерием минимизации взвешенного среднего риска.
Относительно критериев 7 и 8 имеет
место следующее.
Утверждение 3. Все четыре критерия
7.1, 7.2, 8.1, 8.2 эквивалентны между собой:
.1 8.2. (13)Û 8.1 Û 7.2 Û
Доказательство. Рассмотрим,
например, критерии 7.1 и 8.2. Показатели оптимальности в критерии 7.1 и
неоптимальности в критерии 8.2 стратегий соответственно равны

и 
Складывая
с
и используя
при этом определение риска (2), получим

(14)
где
- взвешенное среднее максимальных
выигрышей при каждом состоянии природы Пj. Из (14) имеем:
Аналогичным образом можно получить
выражение Ki через Li для других пар критериев 7.1 и 8.1, 7.2 и 8.2. Полученные
выражения представлены в табл. 5.
Таблица 5
|
Критерии
|
Критерии
|
8.1
|
8.2
|
|
Показатели
неоптимальности стратегий критерия 8
|
|
|
|
Показатели
оптимальности стратегий критерия 7
|
|
|
|
7.1
|
|
|
|
|
7.2
|
|
|
|
Из этой таблицы очевидно, что
поскольку
для данной матрицы выигрышей (aij)
есть величина постоянная, то показатель неоптимальности Ki в каждой клетке
обращается в минимум при том же значении i, при котором показатель
оптимальности Li обращается в максимум. Следовательно, имеем следующие
эквиваленции критериев:
.1 8.2, из которыx Û 8.1, 7.2 Û 8.2, 7.2 Û 8.1, 7.1 Û следует
требуемая экиваленция (13).
Отметим, 8.1 - известный факт
(доказанный, например, вÛчто
эквиваленция 7.1 [1], с. 502).
Из эквиваленции (13) можно сделать
вывод о том, что из критериев 7.1, 7.2, 8.1, 8.2 достаточно применить один,
причем с более простой функцией игры.
1.6 Максиминно-максимаксные критерии
Такие критерии представляют собой
комбинации максиминного и максимаксного критериев. В качестве показателя
оптимальности стратегии
берется
величина
где [0,1]- коэффициент оптимизма, аÎl
и 
показатели оптимальности стратегии Ai
соответственно в максиминном и максимаксном критериях (см. п. 3 и п. 5). При
этом функции игры в этих двух критериях целесообразно использовать
соответствующие друг другу. Это соответствие показано в табл. 6.
Таблица 6
|
Критерии
|
Выигрыши
a
|
Риски
r
|
Вероятности
состояний природы q
|
W
(a, r, q)
|
M
(a, r, q)
|
|
9.1
|
+
|
|
|
a
|
a
|
|
9.2
|
+
|
|
+
|
(1-q)a
|
qa
|
|
9.3
|
+
|
+
|
|
a-r
|
a-r
|
|
9.4
|
+
|
+
|
+
|
(1-q)a-qr
|
qa-(1-q)r
|
Оптимальной lсчитается стратегия
Ai0, максимизирующая показатель оптимальности Нi():
Коэффициент выбирается субъективно в пределах от
0 до 1, включая концы,lоптимизма в зависимости от опасности
ситуации: чем более опасной представляется ситуация, ; чем болееlтем
меньше оптимизма и тем меньше коэффициент оптимизма можно выбиратьlблагоприятная
ситуация, тем больше оптимизма и значит ближе к 1.
При = 0 данный критерийlнаименьшем
значении коэффициента оптимизма превращается в максиминный критерий крайнего
пессимизма, а при наибольшем = 1 рассматриваемый критерийlзначении
коэффициента оптимизма = 1/2lпревращается в максимаксный критерий
крайнего оптимизма. При максиминно-максимаксный критерий можно считать
критерием реализма.
Критерий 9.1 является критерием Гурвица
относительно выигрышей ([1], с. 505; [2], с. 120; [3], с. 47; [5], с. 57).
1.7 Минимаксно-миниминные критерии
Минимаксно-миниминные критерии являются
результатом комбинации минимаксного и миниминного критериев. Показатель
неоптимальности стратегии Ai определяется следующим образом:
где [0,1]- коэффициент оптимизма, аÎl
- показатели неоптимальности
стратегии Ai соответственно в минимаксном и миниминном критериях (см. п. 4 и п.
6). Функции игры в этих двух критериях лучше выбирать соответствующими друг
другу, как это указано в табл. 7.
Таблица 7
|
Критерии
|
Выигрыши
a
|
Риски
r
|
Вероятности
состояний природы q
|
S
(a, r, q)
|
M
(a, r, q)
|
|
10.1
|
|
+
|
|
r
|
r
|
|
+
|
+
|
qr
|
(1-q)r
|
|
10.3
|
+
|
+
|
|
r-a
|
r-a
|
|
10.4
|
+
|
+
|
+
|
qr-(1-q)a
|
(1-q)r-qa
|
Оптимальной по критерию является стратегия Ai0,
для которой
Данный = 0, в миниминныйlкритерий
превращается в минимаксный критерий при = 1, в критерии Гурвица относительно
рисков приlкритерий при

(критерий 10.1).
Утверждение 4. При одном и том же
коэффициенте оптимизма
максиминно-максимаксные
критерии 9.3 и 9.4 эквиваленты соответственно минимаксно-миниминным критериям
10.3 и 10.4.
Доказательство. Для критериев 10.3 и
9.3 имеем:
откуда
т.е. будет минимальным для того
значения i,l показатель
неоптимальностиDi() будет максимален. Такимlдля
которого показатель оптимальности Hi( 10.3 доказана.Ûобразом,
эквиваленция 9.3
Эквиваленция 10.4 доказывается
аналогично. nÛ9.4
Рассмотрим игру с природой, в
которой игрок А имеет возможность применить одну из четырех стратегий А1, А2,
А3, А4, а природа П может находиться в одном из трех состояний П1, П2, П3 с
вероятностями соответственно q1 = 0,7; q2 = 0,1; q3 = 0,2. Известны выигрыши
(aij) игрока А. Найдем оптимальные стратегии по рассмотренным выше критериям.
Выпишем таблицы показателей игры и в
дополнительных столбцах - показатели оптимальности и неоптимальности для соответствующих
критериев. При этом на основании утверждений 1-4 из эквивалентных критериев
будем рассматривать только один.
Таблица 8
|
Таблица
для критериев 3.1 и 5.1
|
Таблица
для критерия 3.2
|
|
Пj
Ai
|
П1
|
П2
|
П3
|
Wi
|
Mi
|
|
Пj
Ai
|
П1
|
П2
|
П3
|
Wi
|
|
A1
|
4
|
7
|
1
|
1
|
7*
|
|
A1
|
1,2
|
6,3
|
0,8
|
0,8
|
|
(aij)
=
|
A2
|
4
|
3
|
5
|
3*
|
5
|
|
A2
|
1,2
|
2,7
|
4,0
|
1,2
|
|
A3
|
6
|
5
|
2
|
2
|
6
|
|
A3
|
1,8
|
4,5
|
1,6
|
1,6*
|
|
A4
|
0
|
6
|
3
|
0
|
6
|
|
A4
|
0,0
|
5,4
|
2,4
|
0,0
|
Таблица 9 - для критериев 4.1 и 6.1 Таблица для
критерия 4.2
|
Пj
Ai
|
П1
|
П2
|
П3
|
Si
|
Ei
|
|
Пj
Ai
|
П1
|
П2
|
П3
|
Si
|
|
A1
|
2
|
0
|
4
|
4
|
0*
|
|
A1
|
1,4
|
0,0
|
0,8
|
1,4
|
|
(rij)
=
|
A2
|
2
|
4
|
0
|
4
|
0*
|
(qjrij)
=
|
A2
|
1,4
|
0,4
|
0,0
|
1,4
|
|
A3
|
0
|
2
|
3
|
3*
|
0*
|
|
A3
|
0,0
|
0,2
|
0,6
|
0,6*
|
|
A4
|
6
|
1
|
2
|
6
|
1
|
|
A4
|
4,2
|
0,1
|
0,4
|
4,2
|
Таблица 10 - для критерия 3.3 и 5.3 Таблица для
критерия 3.4
|
Пj
Ai
|
П1
|
П2
|
П3
|
Wi
|
Mi
|
|
Пj
Ai
|
П1
|
П2
|
П3
|
Wi
|
|
A1
|
2
|
7
|
-3
|
-3
|
7*
|
|
A1
|
-0,2
|
6,3
|
0,0
|
-0,2
|
|
(аij-rij)=
|
A2
|
2
|
-1
|
5
|
-1*
|
5
|
((1-qj
)аij- qjrij)=
|
A2
|
-0,2
|
2,3
|
4,0
|
-0,2
|
|
A3
|
6
|
3
|
-1
|
-1*
|
6
|
|
A3
|
1,8
|
4,3
|
1,0
|
1,0*
|
|
A4
|
-6
|
5
|
1
|
-6
|
5
|
|
A4
|
-4,2
|
5,3
|
2,0
|
-4,2
|
Таблица 11 - для критерия 5.2 и 7.1 Таблица для
критерия 6.2
|
Пj
Ai
|
П1
|
П2
|
П3
|
Mi
|
Li
|
|
Пj
Ai
|
П1
|
П2
|
П3
|
Ei
|
|
A1
|
2,8
|
0,7
|
0,2
|
2,8
|
3,7
|
|
A1
|
0,6
|
0,0
|
3,2
|
0,0*
|
|
(qjаij)
=
|
A2
|
2,8
|
0,3
|
1,0
|
2,8
|
4,1
|
((1-qj)rij)
=
|
A2
|
0,6
|
3,6
|
0,0
|
0,0*
|
|
A3
|
4,2
|
0,5
|
0,4
|
4,2*
|
5,1*
|
|
A3
|
0,0
|
1,8
|
2,4
|
0,0*
|
|
A4
|
0,0
|
0,6
|
0,6
|
0,6
|
1,2
|
|
A4
|
1,8
|
0,9
|
1,6
|
0,9
|
Таблица 12 - для критерия 5.4
|
Пj
Ai
|
П1
|
П2
|
П3
|
Mi
|
|
|
A1
|
2,2
|
0,7
|
-3,0
|
2,2
|
|
(qjaij
- (1-qj) rij) =
|
A2
|
2,2
|
-3,3
|
1,0
|
2,2
|
|
|
A3
|
4,2
|
-1,3
|
-2,0
|
4,2*
|
|
|
A4
|
-1,8
|
-0,3
|
-1,0
|
-0,3
|
Теперь выпишем таблицы показателей оптимальности
для критериев 9 с коэффициентом = ½ lоптимизма
Таблица 13 - для критерия 9.1 Таблица для
критерия 9.2
|
Ai
|
|
|
|
|
Ai
|
|
|
|
|
A1
|
1
|
7
|
4*
|
|
A1
|
0,8
|
2,8
|
1,8
|
|
A2
|
3
|
5
|
4*
|
|
A2
|
1,2
|
2,8
|
2,0
|
|
A3
|
2
|
6
|
4*
|
|
A3
|
1,6
|
4,2
|
2,9*
|
|
A4
|
0
|
6
|
3
|
|
A4
|
0,0
|
0,6
|
0,3
|
Таблица 14 - для критерия 9.3 Таблица для
критерия 9.4
|
Ai
|
|
|
|
|
Ai
|
|
|
|
|
A1
|
-3
|
7
|
2
|
|
A1
|
-0,2
|
2,2
|
1,0
|
-1
|
5
|
2
|
|
A2
|
-0,2
|
2,2
|
1,0
|
|
A3
|
-1
|
6
|
2,5*
|
|
A3
|
1,0
|
4,2
|
2,6*
|
|
A4
|
-6
|
5
|
-0,5
|
|
A4
|
-4,2
|
-0,3
|
-2,25
|
Звездочкой * во всех таблицах отмечены
оптимальные по соответствующему критерию стратегии.
Для лучшей обозримости сведем полученные
результаты в таблицу.
Таблица 15 - оптимальных стратегий по различным
критериям
|
№
критерия
|
Критерии.
Функции игры
|
Оптимальная
стратегия
|
|
3
|
Максиминные
критерии (крайнего пессимизма)
|
|
|
3.1
|
W(a,r,q)=a
|
A2
|
|
3.2
|
W(a,r,q)=(1-q)a
|
A3
|
|
3.3
|
W(a,r,q)=a-r
|
A2
, A3
|
|
3.4
|
W(a,r,q)
=(1-q)a-qr
|
A3
|
|
4
|
Минимаксные
критерии (крайнего пессимизма)
|
|
|
4.1
|
S(a,r,q)=r
|
A3
|
|
4.2
|
S(a,r,q)=qr
|
A3
|
|
5
|
Максимаксные
критерии (крайнего оптимизма)
|
|
|
5.1
|
М(a,r,q)=а
|
А1
|
|
5.2
|
М(a,r,q)=qа
|
А3
|
|
5.3
|
М(a,r,q)=а-r
|
A1
|
|
5.4
|
М(a,r,q)=qa-(1-q)r
|
А3
|
|
6
|
Миниминные
критерии (крайнего оптимизма)
|
|
|
6.1
|
E(a,r,q)=r
|
A1,
A2, A3
|
|
6.2
|
E(a,r,q)=(1-q)r
|
A1,
A2, A3
|
|
7
|
Критерий
максимизации взвешенного среднего выигрыша (критерий Лапласа)
|
|
|
7.1
|
L(a,r,q)
= qа
|
А3
|
|
9
|
Максиминно-максимаксные
критерии с коэффициентом =1/2lоптимизма
|
|
|
9.1
|
W(a,
r, q)= М(a, r, q) = а
|
A1,
A2, A3
|
|
9.2
|
W(a,r,q)=(1-q)a; М
(a,r,q)=qа
|
А3
|
|
9.3
|
W(a,r,q)= М(a,r,q)=a-r
|
А3
|
|
9.4
|
W(a,r,q)=(1-q)a-qr; М(a,r,q)=qa-(1-q)r
|
А3
|
|
10
|
Минимаксно-миниминные
критерии с коэффициентом = ½ l
оптимизма
|
|
|
10.1
|
S(a,r,q)
= E(a,r,q)=r
|
А3
|
|
10.2
|
S(a,r,q)=qr; E(a,r,q)=(1-q)r
|
А3
|
Из этой таблицы видно, что в качестве
оптимальной стратегии A1 и A2 выступают по 5 раз, стратегия А3 - 16 раз, а
стратегия А4 - ни разу. n
Поэтому, если у лица, принимающего решение, нет
серьезных возражений, то стратегию А3 можно считать оптимальной.
2. Практическая часть
Задача 1 - планирование посевов
Руководство сельскохозяйственного
предприятия определяет вариант использования имеющихся посевных площадей (100
га), пригодных для выращивания двух типов зерновых культур. Урожайность этих
культур и ожидаемые цены (за один центнер) при различных вариантах возможных
погодных условий представлены в табл.
<#"516094.files/image092.gif">
|
Матрица
W
|
Культуры:
|
Матрица
A
|
Культуры:
|
|
Лето:
Сухое
|
|
|
Лето:
Сухое
|
4
|
|
|
Нормальное
|
|
|
Нормальное
|
6
|
3
|
|
Дождливое
|
|
|
Дождливое
|
0
|
7
|
|
Урожайность
(ц/га)
|
Цены
(тыс.руб./ц)
|
Примем, что предприятие может
одновременно засеять обе культуры, используя для первой из них часть площадей,
задаваемую долей x

, а для второй - оставшуюся часть
площадей, определяемую долей 1-x. Тогда ожидаемая прибыль от продажи урожая
обеих культур (в расчете на один гектар используемой посевной площади) составит
(как функция параметра x и погодных условий) величину
При этом, в соответствии со значениями
коэффициентов матрицы A из табл. 4.2
<#"516094.files/image095.gif">

Зависимости (17.1)-(17.3)
представлены на рис. 1
<#"516094.files/image098.gif">
Рис. 1
Приняв некоторый план использования
посевных площадей, определяемый параметром x, 
, предприятие гарантирует себе
ожидаемую (удельную) прибыль

которой соответствует (выделенная на
рис. 4.1 <#"516094.files/image100.gif">
. Т.е. ожидаемая прибыль,
соответствующая минимаксной стратегии x*, составляет (для всей посевной площади)
не менее 25,53 тыс. руб.
Напомним, что рассмотренный пример
относится к задачам вида (1.17), в которых есть лишь одна сторона, являющаяся
носителем интересов. Трудности выбора решений в таких задачах связаны с тем,
что исход операции зависит от некоторых неконтролируемых параметров, значения
которых влияют на исход операции, но не известны оперирующей стороне. Эти
параметры (их роль в рассмотренном выше примере играли неизвестные погодные
условия) обычно называют состояниями природы. В связи с этим, обсуждаемый класс
задач принятия решений в условиях неопределенности определяют также как игры с
природой. При этом следует иметь в виду, что в любой конкретной операции
природа не является носителем чьих-либо интересов. Это обстоятельство открывает
определенные возможности для прогнозирования неизвестных состояний природы
(заметим, такие возможности обычно не могут быть использованы для
прогнозирования действий сторон, имеющих свои интересы в операции).
Вероятностные модели прогнозирования
и оценки состояний природы (модели с испытаниями)
Рассмотренная выше задача является
примером операции с единственной оперирующей стороной. В связи с этим, выбор
решения не осложняется конфликтом интересов. Основная трудность выбора в таких
условиях связана с влиянием на исход операции неизвестного состояния природы 
, что интерпретируется как наличие
неопределенности. В связи с этим, в таких операциях обычно оцениваются не
выигрыши оперирующей стороны, а ее потери
, вызываемые принятием решения a в
ситуации, когда природа находится в состоянии 
. Подобные задачи часто
интерпретируются как антагонистические игры с природой, в которых единственная
реально имеющая интересы оперирующая сторона (называемая статистиком)
рассматривается как второй игрок.
В дальнейшем мы ограничимся случаем,
когда множество возможных состояний природы 
и множество возможных решений
статистика A являются конечными, т.е.
|
|
(
|
При этом будем полагать, что
состояния природы 
могут быть охарактеризованы
вероятностями их наступления
,
. Это важное допущение позволяет
накапливать информацию о состояниях природы с помощью наблюдений, на основании
которых оцениваются распределения

где Sm из (11.15).
Помимо распределений (17.6),
позволяющих прогнозировать неизвестное состояние природы на основании
результатов (длительных) наблюдений, оценка текущего состояния может осуществляться
с помощью экспериментов.
Задача 2 - диагностика туберкулеза
Органы здравоохранения проводят
обследование населения некоторой территории с целью выявления и последующего
лечения больных туберкулезом. В отношении каждого обследуемого принимается
решение, следует ли ему пройти курс лечения (a=2) или он не нуждается в таком
лечении (a=1)? Это очевидным образом предполагает два состояния, в которых
может находиться пациент "здоров" 
и "болен"
.
Одной из типичных форм обследования,
широко применяемых для раннего выявления туберкулеза (например, у детей),
является использование пробы Манту (для лиц старше 12 лет обычно используется
флюорография). Эксперименты такого рода, целью которых является установление
состояния природы, мы будем называть испытаниями. Каждой схеме испытаний можно
сопоставить множество Z возможных исходов z, которое мы будем полагать
конечным, т.е.

Заметим, что, в случае пробы Манту,
каждый исход представляет собой (измеренную с помощью линейки) ширину
инфильтрата. При этом, хотя и нет однозначной связи между шириной инфильтрата и
наличием заболевания, тем не менее существует достаточно выраженная
статистическая связь, которая может быть охарактеризована следующим образом.
Введем функции p1(z) и p2(z),
соответствующие вероятностям появления инфильтрата с показателем
у лиц, не
имеющих заболевания (функция p1), и у лиц, имеющих заболевание (функция p2).
Эти функции определяются свойствами пробы Манту и могут быть установлены на
основании анализа статистики испытаний для пациентов с заранее известным диагнозом.
Допустим, что графики этих функций подобны кривым, представленным на рис. 4.2
<#"516094.files/image112.gif">
Рис. 2
Примем также, что на обследуемой территории
длительное время ведется сбор статистики заболеваний. Наличие такой статистики
позволяет интерпретировать долю населения, пораженную туберкулезом, как
вероятность соответствующего состояния природы. Разумеется, что использование
подобных оценок для целей прогнозирования имеет смысл лишь в случае, если
указанные выборочные частоты стационарны (т.е. не имеют тенденции к быстрым
изменениям).
Согласно сделанным предположениям,
вероятность того, что реакция Манту даст результат z, описывается величиной
При этом вероятности того, что
пациент, реакция которого характеризуется исходом z, является (соответственно)
здоровым или больным, описываются выражениями
Таким образом, в общем случае,
которому соответствуют множества (17.5), введение испытаний, характеризуемых
исходами из (17.7) и распределениями
позволяет пересчитать априорное
распределение вероятностей для состояний природы (т.е. распределение, имевшее
место до проведения испытания) в апостериорное распределение.
ЗАКЛЮЧЕНИЕ
В заключение данной работы можно
сделать вывод о необходимости использования теории игр в современных
экономических условиях.
В условиях альтернативы (выбора) очень
часто нелегко принять решение и выбрать ту или иную стратегию. Исследование
операций позволяет с помощью использования соответствующих математических
методов принять обоснованное решение о целесообразности той или иной стратегии.
Теория игр, имеющая в запасе арсенал методов решения матричных игр, позволяет
эффективно решать указанные задачи несколькими методами и из их множества
выбрать наиболее эффективные, а также упрощать исходные матрицы игр.
В данной работе были
проиллюстрированы практическое применение двух основных стратегий теории игр и
сделаны соответствующие выводы.
СПИСОК ИСПОЛЬЗОВАННЫХ ИСТОЧНИКОВ
1. Вентцель
Е.С. Исследование операций. М.: Советское радио, 1972.
2. Дубров
А.М., Лагоша Б.А., Хрусталев Е.Ю. Моделирование рисковых ситуаций в экономике и
бизнесе. М.: Финансы и статистика, 1999.
. Князевская
Н.В., Князевский В.С. Принятие рискованных решений в экономике и бизнесе. М.:
ЭБМ - Контур, 1998.
. Федосеев
В.В. Экономико-математические методы и модели в маркетинге. М.: Финстатинформ, 1996.
. Чернов
В.А. Анализ коммерческого риска. М.: Финансы и статистика, 1998.
. Исследование
операций в экономике / Под ред. проф. Н.Ш. Кремера. М.: ЮНИТИ, 1997.
7. Сайт
<http://www.vestnik.fa.ru/>