Применение метода вейвлет-кодирования для сжатия и реконструкции физиологической информации, передаваемой по каналу радиотелеметрии

  • Вид работы:
    Дипломная (ВКР)
  • Предмет:
    Информатика, ВТ, телекоммуникации
  • Язык:
    Русский
    ,
    Формат файла:
    MS Word
    489,72 kb
  • Опубликовано:
    2011-11-25
Вы можете узнать стоимость помощи в написании студенческой работы.
Помощь в написании работы, которую точно примут!

Применение метода вейвлет-кодирования для сжатия и реконструкции физиологической информации, передаваемой по каналу радиотелеметрии















Тема: « Применение метода вейвлет-кодирования для сжатия и реконструкции физиологической информации, передаваемой по каналу радиотелеметрии »

Содержание

Введение

Глава 1. Информационная организация структур организма

1.1       Общие представления об информационной организации структур организма

1.2     Клиническая информатика как инструмент для анализа состояния организма

.3       Основные требования к информационным диагностическим системам

Информационная ценность биологических сигналов, как источников данных об организме

1.4       Принципы передачи регистрируемой физиологической информации от биообъекта к средствам обработки

1.5     Расчёт необходимой производительности канала связи

Выводы по главе 1

Глава 2. Приложение математических методов вейвлет-преобразования к медико-биологическим задачам

2.1 Основные принципы вейвлет-преобразования

.2 Сравнение частотных приложений вейвлет- и Фурье преобразований при обработке медико-биологической информации

Выводы по главе 2

Глава 3. Исследование алгоритмов компрессии биоэлектрических сигналов в реальном масштабе времени

.1 Методы сжатия цифровой информации для передачи по виртуальной магистрали

.1.1 RLE - кодирование

.1.2 Унарное кодирование (VLI

.1.3 Коды Хаффмена

.1.4 Вероятностное кодирование

.1.5 Алгоритм LZ77

.1.6 Алгоритмы LZ78 - LZW84

.2 Использование методов вейвлет-кодирования для сжатия биологических сигналов

.3 Практическое применение алгоритма сжатия на основе математического аппарата вейвлет-преобразования

3.3.1 Обработка электромиограммы

.3.2 Обработка сигнал тонов Короткова

3.3.3 Обработка электрокардиосигнала

.4 Использование современных микропроцессорных средств для поддержки вейвлет кодирования-декодирования и передачи по каналу радиотелеметрии

Выводы по главе 3

Глава 4. Организационно-экономическая часть

4.1 Построение, расчет и оптимизация сетевого графика выполнения

дипломной работы

.1.1 Расчет основных параметров сетевой модели

4.1.2    Оптимизация сетевого графика

4.1.3  Оптимизация по трудовым ресурсам

4.2.      Расчет себестоимости и оптовой цены разработки

4.2.1    Расчет капитальных вложений

4.2.2  Расчет заработной платы участников, проводимой работы

4.2.3  Расчет затрат на материалы и комплектующие изделия

4.2.4  Расчет энергетических затрат

4.3       Конкурентноспособность

4.4     Определение социального эффекта

4.5     Структурная схема бизнес-плана

4.6     Выводы по главе 4

Глава 5. Безопасность жизнедеятельности

5.1 Анализ потенциальных опасных и вредных факторов, воздействующих на разработчика и пользователя математического метода вейвлет-преобразования

.1.1 Анализ потенциально опасных и вредных факторов на рабочем месте

5.1.2 Факторы, влияющие на зрение

5.1.3 Параметры микроклимата

5.1.4 Шум и вибрация

.1.5 Электромагнитное и ионизирующее излучения

.1.6 Эргономические требования к рабочему месту

.1.7 Электробезопасность

5.1.8 Противопожарная безопасность

.1.9 Оценки факторов рабочей среды

.1.10 Определение категории тяжести работ

.2 Разработка организационных и технических мероприятий по обеспечению электробезопасности на рабочем месте

Выводы по главе 5

Заключение

Список литературы

Введение

Современная медицина неразрывно связана с применением различных диагностических и терапевтических приборов и тенденция к дальнейшему внедрению технических средств в медико-биологическую практику сохраняется. Многие сферы медицины невозможно представить без медицинской электроники, к которой относятся сложнейшие биотехнические и медицинские системы - комплексы для сбора, обработки, и хранения биосигналов, данных обследований, медицинских изображений, диагностические системы и комплексы, терапевтические аппараты и системы, экстракорпоральная и протезирующая техника, биостимуляторы, хирургическая операционная техника и др. В связи с этим, для успешной диагностики и наблюдения за процессом реабилитации в современных условиях жизненно необходимо, чтобы диагностические методы отвечали таким требованиям как простота в измерении, высокая точность, скорость и при этом доступность. Актуальной задачей при этом является проблема съема, сжатия и передачи физиологического сигнала в режиме реального времени. Существующие в настоящее время алгоритмы компрессии биологических сигналов несовершенны, и повсеместное их применение не представляется возможным за счет целого ряда имеющихся каждого из них ограничительных условий. По этой причине целью работы стала задача анализа имеющихся методов компрессии и выбора наиболее оптимального и целесообразного, с точки зрения его применения для оценки непрерывных биологических сигналов, и относительно простого для вычислений, которые могут производиться современными микроконтроллерами в реальном масштабе времени.

Глава 1. Информационная организация структур организма

.1 Общие представления об информационной организации структур организма

Человек, являющийся объектом медицины, представляет собой открытую нелинейную биологическую систему, существующую благодаря сбалансированному обмену с внешней средой веществом, энергией и информацией в виде "информационных потоков" с пространственно-временным распределением во внутренней среде.

Живыми организмами информация воспринимается, обрабатывается и потребляется посредством согласованного выполнения комплекса функций. Информационные потоки влияют на формирование и синхронизацию функций, что определяет эффективность жизнедеятельности организма, как целого. К информационному обмену имеют непосредственное отношение условия жизнедеятельности конкретных индивидуумов и их общественных образований; уровень их эмоционального и духовного развития; характер, выраженность и устойчивость связей с окружающим миром, происходящих на сознательном и подсознательном уровнях; отношения в семье и в трудовом коллективе; взаимные влияния естественных электромагнитных полей и многое другое.

Качественные и количественные особенности информационных воздействий внешней среды и последующих реакций биологических систем в виде трудовой активности, пищевой и половой мотивации, реализации инстинкта самосохранения и т.д. определяют, в конечном итоге, выживание и здоровье организма. Поэтому понятно, что информационные влияния внешней и внутренней среды могут быть как благоприятными, так и неблагоприятными по отношению к живой системе и, в частности, к здоровью человека, сопровождаясь адекватным или неадекватным функциональным ответом организма. Составляющие компоненты информационного обмена создают условия для реализации тех или иных известных этиологических факторов патологии.

Реакции организма, как целого, систем органов, отдельных органов, тканей, клеток и субклеточных структур являются естественным и закономерным ответом на информационные процессы. Эти реакции представлены многообразными биологическими сигналами, отражающими сложную иерархию внутриорганизменных коммуникационных связей.

Выделено несколько типов информационной коммуникации в биологических системах: химический (иерархически организованные процессы нейро-гуморального контроля жизнедеятельности с участием первичных и вторичных мессенджеров - нейропептидов, иммуноглобулинов и т.д.); прямой - посредством мембранных контактов, рецепторных полей, клеточных иммунологических механизмов; и физический - путем взаимодействия с внешними и внутренними электромагнитными полями различных волновых характеристик. Существует тесное единство этих процессов, а разделение их на конкретные пути коммуникации условно. При этом электромагнитные колебания рассматриваются в качестве универсального координатора функций организма.

Информационные процессы обеспечивают функциональные или патологические реакции субклеточных структур, отдельных клеток или их групп, тканей, органов или систем органов, что в совокупности формирует определенный физиологический (или клинический) "портрет" организма в определенный момент времени. Следовательно, выявление внешних проявлений (признаков) этих реакций может быть использовано в диагностических целях, тем более, что реакции биологических систем фиксируются на определенное время в виде т.н. конформаций, обеспечивая "память" и более или менее продолжительное хранение клинико-биологической информации. Фиксация этой информации обеспечивается генными структурами - ДНК.

Функциональные реакции организма регистрируются различными клинико-физиологическими методами, что и составляет основу клинической диагностики в биологии и медицине.

В здоровом организме эти реакции имеют в своей основе изменения преимущественно в молекулярно-энергетических и регуляторных процессах и обычно не выходят за границы представлений о норме.

Интенсивность и продолжительность комплекса внешних воздействий с одной стороны, и особенности полисистемного (полиорганного) функционального ответа организма - с другой, определяют направление патологического процесса (сердечно-сосудистая система, органы пищеварения), вид патологии (гипертоническая болезнь или инфаркт миокарда, язвенная болезнь или рак желудка), а также скорость клинической манифестации и исхода заболевания. Следовательно, становится очевидным существование особой начальной стадии болезни, которая может быть условно определена как информационная стадия, которая в последующем трансформируется в доклиническую и затем в клиническую стадии.

Доклиническая стадия характеризуется тем, что у человека отсутствуют субъективные и объективные признаки того или иного заболевания, но при использовании биохимических, иммунологических, серологических, иммуногенетических тестов и т.д. могут быть обнаружены отклонения от нормы соответствующих функций или показателей. В ряде случаев это могут быть т.н. функциональные или латентные органические изменения, прогностически неблагоприятные и говорящие о риске развития той или иной патологии. Но и во многих случаях на этой стадии могут быть обнаружены признаки уже существующих патологических состояний (например, неактивный хронический вирусный гепатит, скрытый сахарный диабет, «немая» язва желудка, доброкачественные или злокачественные опухоли и т.д.), которые клинически себя еще не проявили.

Для практической медицины доклиническая стадия патологии крайне важна. Ранняя диагностика и прогноз заболевания позволяют избежать развития грубых необратимых изменений и их осложнений, благодаря назначению, организации выполнения и контролю исполнения лечебно-профилактических мероприятий. Например, рекомендации пациентам, склонных к сахарному диабету, употреблять меньше сахара и мучного, снизить массу тела и больше двигаться, позволяют избежать с одной стороны, затрат на лекарства, а с другой - служат способом профилактики развернутого сахарного диабета и его осложнений. Но для контроля эффективности данных мероприятий требуется измерение уровня сахара в крови, АД, массы тела и т.д.

Клиническая стадия патологии, с которой преимущественно имеет дело традиционная медицина, отличается развернутой клинической картиной, жалобами больных (чаще всего на боли), наличием признаков (симптомов) того или иного заболевания. На данной стадии, как правило, в основе любой болезни уже лежат более или менее выраженные органические изменения (ишемия, воспаление, атрофические, дистрофические, фиброзные изменения, нарушения регенерации тканей). Фактически это стадия декомпенсации функций и необратимых изменений органа или системы органов. Можно ли излечить больного человека на этой стадии? Практически нет. Можно добиться той или иной компенсации нарушенных функций и обеспечить клиническую ремиссию заболевания, сохраняя этим трудоспособность больного или лишь сохраняя возможность самообслуживания и поддерживая на некоторое время его жизнь. И это несмотря на то, что современная медицинская наука способна улучшить качество и увеличить продолжительность жизни больных путем совершенствования способов диагностики, методов лечения и реабилитации. Однако наука пока не в состоянии устранить те патологические конформации, которые образуются в организме человека в ответ на многочисленные патогенные воздействия на доклинической и, тем более, клинической стадиях развития болезни.

Иными словами, диагностические задачи клинической медицины, решаемые традиционными методами исследований, нацелены на уже существующий материальный (органический) - клинический или субклинический субстрат заболеваний.

Правда, многие, используемые на практике, методы чаще всего не позволяют достоверно судить об органической или функциональной природе выявляемых изменений в организме, что могло бы дать основание для суждения о существующей патологии или о риске ее развития. Здесь, конечно, речь не идет о методах эндоскопический, ультразвуковой и рентгенологический диагностики, биохимических и иммунологических тестах и т.д., многие из которых нацелены на верификацию уже существующей патологии. Но понятно, что любая патология, зарождаясь задолго до появления органических изменений в организме, проходит доклинические (функциональные) этапы своего развития. И потому научные исследования, посвященные теоретическим и методическим основам диагностики патологии на этих этапах, представляются наиболее перспективными для современной клинической и профилактической медицины. Современное лечение в большинстве случаев потому недостаточно превентивно, потому что диагностика является запоздалой: это говорят классики нашей медицины.

1.2 Клиническая информатика как инструмент для анализа состояния организма


Клиническая информатика - это самостоятельная наука (в рамках, как медицины, так и информатики) о системах и о законах накопления, передачи, обработки информации в организме больного и медицинских системах (и в организме здорового человека или преморбидного больного). Предмет КИ - информационные процессы при патологических состояниях при их распознавании и в ходе помощи при них в реальных клинических условиях (информационные процессы существуют и у здорового человека). Для этого необходим количественный подход к оценке патологического процесса, его вида и тяжести с использованием вероятностных моделей и метрологических шкал оценки тяжести патологического состояния. В модели должны быть представлены процессы автоматического регулирования в организме в виде многочисленных контуров регулирования, звеньев этих контуров, взаимосвязей между звеньями и уравнений взаимосвязей, причем эти уравнения должны описывать не однозначно детерминированную, а вероятностную картину этих взаимосвязей. Многие экспертные системы не содержат вероятностных подходов, а основаны на детерминированных логических моделях (изменения на ЭКГ - ишемия, инфаркт).

Но вероятностный подход особенно важен для догоспитального и доспециализированного периодов оказания помощи, в которых совершается большинство ошибок, которые могут снизиться, благодаря информационным технологиям. Процессы автоматического (информационного) управления в организме в норме и при патологических процессах моделируются N-мерным пространством признаков. И сегодня эта модель лежит в основе информационной концепции патологии как фундаментальной науки о патологических процессах в живых и неживых системах. Например, уравнения химической кинетики уже используются для описания процессов развития опухолей (Эммануэль Н.М., Евсеенко Л.С. Количественные основы клинической онкологии. М.: 1970).

С этой точки зрения, например, легко понять основное отличие процессов регуляции при болезни от физиологической регуляции. Это примерно то же, что отличает аварийное регулирование в технических системах от нормального регулирования - изменение цели (вектора) регулирования (пример с тонущим кораблем).

Рассматриваемый подход к пониманию патологического процесса можно назвать «информационной сущностью патологии». Однако правильнее его рассматривать как этап в развитии самой патологии (можно привести тот же технический пример).

Суть этого этапа и этого подхода состоит в том, что патологический процесс рассматривается как процесс динамической угрозы, которая прогрессирует до реализации при недостаточной помощи и убывает до ликвидации при достаточной помощи, а под основной измеряемой и регулируемой величиной патологического процесса нужно понимать вероятность реализации определенной угрозы за определенный отрезок времени.

1.3 Основные требования к информационным диагностическим системам


Информационные диагностические системы должны служить в интересах срочного распознавания угрожающих состояний и выбора тактического решения по спасению. Это - информационная задача. Основная задача компьютерных систем - оказание неспециалисту такой помощи в принятии решения, чтобы это решение стало близким по своей профессиональной компетентности к решению специалиста, но не выдача готовых решений и, тем более, не управление помощью вместо специалиста, а улучшение и ускорение тактических решений самого специалиста и повышение производительности консультативного труда. Цель - оптимальная медицинская помощь больному, как система выбора минимально достаточного уровня помощи и, разумеется, предоставления этой помощи. Здесь может быть обеспечено ускорение первичной диагностики тяжести и вида патологического процесса, преодоление «противоречий специализации». Поэтому важно использование условной «патометрической» шкалы: I - характер угрозы; II - нозологический вид угрозы; III - степень (величина) угрозы, как вероятность ее реализации от 0 до 1 применительно к N-мерной модели.

Многим перечисленным требованиям отвечает телеметрическая технология мониторинга качества здоровья и скрининг-диагностики, представляющая собой аппаратно-программный комплекс на базе персонального компьютера. Теоретическую основу технологии составляют представления об информационных взаимосвязях клеточных образований, органов и систем органов, обеспечиваемых не только системами регуляции и иммунитета, но и электромагнитно-частотными колебаниями и биологическими ритмами структур организма.

.4 Информационная ценность биологических сигналов, как источников данных об организме

Информационное единство внутриорганизменных связей дает основание использовать многие биологические сигналы организма, как отражение тех или иных реакций, для интегрального суждения не только о состоянии конкретного органа, являющегося источником данного сигнала, но и о состоянии иных органов и систем, и организма, как целого.

В биологии и медицине большинство методов исследований направлены на оценку тех или иных реакций или биологических сигналов. Ряд методов может быть использован для выявления заболеваний в режиме скрининга. В качестве примеров достаточно привести работы, посвященные изучению квантовых характеристик клеток, собственной люминесценции живых тканей, генетических структур клеток, диагностика по Фолю, иридодиагностика, тепловидение и т.д. Подобные примеры можно было бы продолжить, однако вопросы клинического применения этих и иных способов ограничены, прежде всего, узко направленным спектром выявляемой информации и, в большинстве случаев, невозможностью интегрального суждения о состоянии макроорганизма.

Среди множества биосигналов, выявляемых в клинико-диагностической практике, особое внимание привлекают кардиосигналы не только потому, что они наиболее доступны для информационно-математического анализа, но и в связи с тем, что сложились представления о сердечно-сосудистой системе, как индикаторе адаптационных реакций организма и состояния вегетативной нервной системы.

Применение математического анализа сердечного ритма (кардиоритмографии) и комплексной оценки сердечно-сосудистой системы (включая характеристики пульса, сердечного ритма, артериального давления, минутного объема, гомеостаза и т.д.) на практике доказало свою эффективность и перспективность для донозологической диагностики заболеваний, в том числе при проведении массовых обследований населения. В этом отношении уместно вспомнить, что еще древние китайские врачи, оценивая особенности пульса пациентов, диагностировали многие соматические заболевания. Поэтому сердце и сердечно-сосудистая система (в отличие от традиционного - анатомо-физиологического, понимания их функций) составляют мощный информационный канал, несущий значительный объем информации, первичным источником которой могут быть все без исключения органы и системы организма.

Известно, что оценка сердечного ритма и тонуса ВНС по Р.М. Баевскому позволяет судить: об удовлетворительной адаптации организма; о функциональном напряжении механизмов адаптации; о неудовлетворительном состоянии процессов адаптации с уменьшением функциональных резервов; о срыве адаптации с истощением функциональных резервов. Нетрудно убедиться, что варианты дисадаптации организма могут иметь связь с патогенетическими механизмами многих патологических синдромов и заболеваний (и не только сердечно-сосудистых).

Разработка данного направления позволила подойти к пониманию того, что амплитудно-частотные характеристики и ритмы кардиосигналов могут нести закодированную диагностическую информацию о конкретных патологических состояниях, синдромах и заболеваниях как на клинической, так и доклинической стадиях развития патологии. Это положение создало возможности выделения информационно-кодовых признаков как нормы, так и будущей патологии. Подробный анализ кардиосигнала совместно с физиологическими показателями дает возможность обнаружить наличие и, прежде всего, предрасположение к тому или иному заболеванию. По этой причине столь важно, чтобы процесс регистрации физиологического сигнала, последующая его передача (т.е. неизбежное сопутствующее преобразование) и анализ были произведены наиболее щадящими и сохранными методами по отношению к входному сигналу независимо от его типа и формы - ведь количество физиологических показателей человека и животных чрезвычайно велико и с развитием биологической науки общее число физиологических, биохимических, биофизических показателей, как и количество биомедицинских параметров ускоренно возрастает. В табл. 1 [1] представлены основные физиологические показатели, подлежащие первичному преобразованию или приему до ввода в измерительно-информационные системы.

Таблица 1. Основные физиологические показатели, подлежащие первичному преобразованию.

 Физиологические показатели

Диапазон частот, Гц

Величина биосигнала, мкВ

Вид приемного устройства

1

2

3

4

Электрокардиосигнал (ЭКС) Фонокардиография (ФКГ) Электрокимография (ЭКИ) Баллистокардиография (БКГ) Динамокардиография (ДКГ) Реокардиография (РКГ) Ультрозвуковая кардиография (УКГ) Ультрозвуковая вальвулокардиография (УВГД) Пульсовая осцилляция при регистрации артериального давления (АД) Регистрация АД по тонам Короткова Регистрация АД прямым методом Регистрация венозного давления прямым методом (ФД) Флебография (венный пульс) Объемная скорость крово-тока

0,3 - 300 20-1000 1-10 0,1-30 0,1-30 0,3-30      0,5 - 10   0,5 - 10 0,3 - 10 0,3 - 10 0,1 - 20

300 - 3000 100-1000    500-2000         100 - 104 100 - 104 100 - 2000 104 - 105

Электроды Датчики Датчики Датчики Датчики Электроды      Датчики   Датчики Датчики Датчики Датчики

Линейная скорость кровотока Температура крови в полости сердца и сосудах Температура кожного покрова Температура в полости пищевода и желудка Электроэнцефалограмма Альфа-ритм Бета-ритм Гамма-ритм Дельта-ритм Тета-ритм Электромиограмма (ЭМГ) Электронистагмограмма Элекроокулограмма (ЭОГ) Пневмограмма (ПГ) Объемная сфигмограмма Электроплетизмограмма Импедансная плетизмография Электроретигография Внутриглазное давление Легочная вентиляция Кожно-гальванический рефлекс (КГР) По Тарханову По Фере Перемещение кожного по-крова Контактное давление Вибрационное смещение Вибрационная скорость Вибрационное ускорение Статическое давление мор-ской воды при движении животных Перемещение кожного по-крова морских животных при движении Скоростной напор в погра-ничном слое при движении морских животных

0,1 - 20      8-13 14-35 30-80 0,5-3 4-7 0,1-1000 3-7 0,1-3 0,1-10 0,3-30 0,3-30 0-10 0,1-20 0,1-200  0,1-10 0,1-10 0,5-100   5-1000 5-1000 5-100 до 50   1-500 до 500

104 - 105 100 - 5000  100 - 5000   100-1000  20-100 5-30 2-10 10-80 20 и более 20-3000 20-100 20-200   20-100 20-100 30-400 100-10000 100-50000 100-2000  100-104  100-104 зависит от типа ДБИ 100-104 100-104   100-104

То же Катетерные датчики Датчики  Датчики  Электроды      Датчики Датчики Датчики Датчики  Датчики Датчики Датчики Датчики-электроды Датчики  Датчики Датчики Датчики Датчики Датчики  Датчики для гидробиони-ческих исследова-ний


1.5 Принципы передачи регистрируемой физиологической информации от биообъекта к средствам обработки

Передача различных медико-биологических сигналов от биообъекта к стационарному комплексу, который в настоящее время базируется на основе персонального компьютера, является достаточно сложной технической задачей. Для передачи подготовленной информации в существующих стандартах, необходимо наличие кабелей, которые загромождают помещения, через которые осуществляется передача. Кроме того, окружение биообъекта техническим оборудованием и кабелями связи нарушают комфортное состояние биообъекта, увеличивают стоимость требуемых технических средств. Элементы связи (кабели) существенно ограничивают возможности регистрации, при размещении пациента, привязывая его к оборудованию в непосредственной близости к оборудованию. Это может вносить психологический дискомфорт и изменять состояние оцениваемых функциональных систем организма. Кроме того, кабели, связывающие пациента с оборудованием, питающимся от сети переменного тока, являются источником потенциальной опасности поражения электрическим током, что недопустимо. Освобождение от таких кабелей также является актуальной задачей, обусловленной необходимостью обеспечить электробезопасность пациента в соответствии с достаточно жёсткими нормами ГОСТа Р50267.0-92.

Связь специализированных аппаратных средств с персональным компьютером должна быть простой, без вмешательства в аппаратные средства компьютера. С этой целью предложено использовать стандартный последовательный порт типа COM или USB, который с одной стороны обладает необходимым быстродействием, а с другой стороны позволяет организовать передачу данных с минимумом аппаратных затрат на схему интерфейса.

Анализ предъявленных требований к средствам связи показывает, что для минимизации указанных недостатков при множественной одновременной регистрации физиологической информации необходимо осуществлять обмен информацией путём последовательной передачи накопленных за достаточно короткий интервал времени данных из совокупности устройств регистрации по запросу персонального компьютера. Такая задача может быть решена путём использования каналов телеметрической связи, в которых носителем информации являются не физические линии связи (провода), а физические поля.

Основными предпосылками для применения технологий телеметрии являются:

необходимость получения вектора физиологических параметров требует использования нескольких датчиков, информационно объединенных в систему;

обеспечение высокой степени электробезопасности пациента;

оперативность установки датчиков физиологических параметров;

обеспечение возможности проведения процедур стимуляции в движении пациента;

исключение физиологических помех [2];

исключение влияния артефактов движения, обеспечение обработки сигнала в месте отведения;

интеграция системы в комплекс централизованного управления медицинским оборудованием.

Эти задачи могут быть решены с применением распределенной многоканальной биотелеметрической системы.

Основная концепция любой биометрической системы отражена на рис.1 [2]. Она подразумевает наличие некоего исследуемого биологического объекта, находящегося в свободном пространстве (в условиях среды обитания), и канала биотелеметрии, одной из основных характеристик которого является размер вектора параметров, передаваемых в единицу времени.

Любой процесс измерения физиологических параметров и контроль за состоянием объекта можно выразить операторным выражением:


гдеL - оператор, характеризующий непосредственно систему биотелеметрии

A - пространственно - временной оператор, отражающий множество исследуемых физиологических функций xÎX во множество их проявлений lÎL, подлежащих измерению: Ax=l

g - результат измерения на выходе системы биотелеметрии.

Ax=l (lÎL) LAx =Ll =g

Рис.1. Обобщенная схема биотелеметрических измерений.

Наличие пространственно - временного оператора А в схеме (рис.1) является характерной особенностью биоизмерений и отражает косвенный характер получаемых данных в ходе физиологического эксперимента.

.6 Расчёт необходимой производительности канала связи

Пусть в реальном времени передается информация с четырех высокопроизводительных каналов измерительных датчиков. Частота дискретизации - 1000 Гц, то есть за секунду необходимо транслировать 1000 10-битовых отсчетов полезной информации. Всего расчетных каналов 4: 4000 10-битовых отсчетов. С использованием вейвлет компрессии в реальном времени объем информации уменьшается до 4000 / 8 = 500 10-битовых отсчетов в секунду.

Фрейм виртуальной магистрали для передачи одного отсчета составляет 5 байт, то есть объем передаваемой информации необходимо увеличить в 2,5 раза (2 байта отсчета + 3 байта фрейма MBus): 500 * 2,5 = 1250 байт в секунду.

Каждый байт циклически кодируется в два байта (двухкратная избыточность): объем информации на секунду составляет 1250 * 2 = 2500 байт в секунду.

Общее число бит - 2500 * 8 = 20000.

Таким образом, предельная производительность канала должна быть не менее 20000 бит / секунду.

Учитывая необходимость множественной регистрации физиологической информации ( часто более 16-ти), а также возможности только последовательной информации по каналу телеметрической связи, особо актуальной становиться проблема оптимального кодирования первичной информации и специальной подготовки её к передаче. Решению этой проблемы посвящается данный дипломный проект.

Выводы по главе 1

Осуществлён анализ представлений об информационной организации структур организма. Показано, что организм человека - сложная нелинейная система, взаимодействующая на информационном уровне с внешней и внутренней средой.

Определена связь нарушений в информационном обмене и патологическими состояниями организма. Предложено использовать методы клинической информатики для оценки состояния организма. Предъявлены требования к информационным диагностическим системам. Выявлена информационная ценность биологических сигналов с точки зрения оценки состояния систем организма. Показана необходимость использования методов информационно-математического аппарата для анализа медико-биологической информации. Рассмотрены физиологические показатели, определяемые современной физиологией и медициной. Определены принципы передачи регистрируемой физиологической информации от биообъекта к средствам обработки. Выявлены основные направления минимизации факторов, ведущих к нарушению принципа адекватности состояния организма человека при проведении исследования в составе биотехнического комплекса. Предложено использовать принципы биотелеметрии для передачи физиологической информации. Рассмотрены принципы организации биотелеметрических измерений. Осуществлён расчёт производительности канала связи при организации множественной регистрации физиологической информации.

Показано, что для повышения скорости обмена информацией, необходимо использовать методы её оптимального кодирования. Предложено использовать методы сжатия информации в канале связи с помощью математического аппарата вейвлет-преобразования, представленного в главе 2.

Глава 2. Приложение математических методов вейвлет-преобразования к медико-биологическим задачам

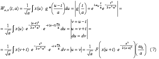
Вейвлет-преобразование (wavelet transformation) - новый перспективный метод цифровой обработки сигналов [<#"516029.files/image003.gif">

Где: g(,t) - волновая функция,  - означает комплексное сопряжение, x(u) - сигнал.

Наиболее широко используется волновая функция Морлета (Morlet’s wavelet), определяемая как:


Следовательно, можно записать:


Преобразование Фурье равенства (3) является симметричной функцией относительно частоты 0/2a. Поэтому wavelet-преобразование можно рассматривать как частотно-временное с частотой анализа равной 0/2a. Среди множества известных на данный момент волновых функций функция Морлета обладает следующими отличительными свойствами:

Определяется точной аналитической функцией.

Проста для вычисления.

Ее применение ведет к квазинепрерывному представлению.


Любая функция, используемая в качестве волновой функции, должна удовлетворять следующему необходимому условию:

В случае функции Морлета это условие выполнимо для широкого диапазона значений 0.

Другой подход основан на фиксации 0 и модификации g(t) введением дополнительного параметра , что приводит к модифицированной волновой функции:


Таким образом, выбирая малые значения  (1) - что соответствует высокой концентрации энергии во временной области - получают низкое разрешение в частотной области и, наоборот, большие значения  (2) приводят к более высокому разрешению в частотной области (принцип неопределенности). Принимая во внимание это утверждение, для пары значений  (1 и 2) определено модифицированное вейвлет-преобразование, имеющее размерность энергии. Его можно записать как:


где F означает Фурье оператор.

 и высокое частотное разрешение.

Для данного значения a (связанного с частотой) параметр  определяет ширину Гаусового окна. Малые значения  улучшают временное разрешение в ущерб спектральному, и наоборот. Интуитивно понятно, что произведение (7) принимает большие значения только тогда, когда оба множителя значительны. Таким образом, получается высокое временное разрешение,

Чтобы получить центральную частоту волновой функции равную 1 Гц при a=1, мы должны принять 0=2 rad/s. В классическом волновом преобразовании параметр a изменяется согласно закону: a=2-. Если  целое, закон называется двоичным. Из равенства (3) следует, что центральная частота также подчиняется двоичному закону, что несовместимо с классическим частотно-временным распределением.

Следовательно, можно переписать определение этого параметра как:


где f - интервал дискретизации по частоте, а n - положительное целое.

2.2 Сравнение частотных приложений вейвлет- и Фурье преобразований при обработке медико-биологической информации

Преобразование Фурье наиболее широко используется для спектрального анализа. Оно разлагает сигнал на ортогональные базисные функции (синусы и косинусы), определяя его частотные составляющие. Метод Фурье-анализа строго математически применим только к стационарным сигналам (не меняющим свои статистические свойства), к нестационарным сигналам он не применим. Фурье-преобразование не позволяет, например, определить присутствовала данная частота в сигнале всегда или она появилась в какой-то момент. В реальной практике, рассматривают нестационарные сигналы как стационарные, разделяя их на блоки условно стационарных сегментов, чья статистика остается по существу неизменной в течение их длительности.

Пока еще применяемый, метод оконного преобразования Фурье имеет фундаментальный недостаток: если временное окно сделать очень коротким, то пострадает частотное разрешение, удлинив его - можно аннулировать предположение о стационарности в пределах окна.

В медицинской практике преобладают нестационарные сигналы, статистические свойства которых изменяются со временем. Часто, они состоят из кратковременных, высокочастотных компонентов сопровождаемые длительными низкочастотными составляющими. Любой применяемый метод анализа таких сигналов должен показывать хорошее разрешение по частоте наряду с прекрасным разрешением по времени. Первое, чтобы локализовать низкочастотные компоненты, и второе, чтобы разрешить высокочастотные составляющие. Для анализа таких сигналов преобразование Фурье строго математически не применимо. Преобразование Фурье разлагает сигналы на ортогональные базисные функции (синусы и косинусы), определяя их частотные составляющие. Но этот метод не может локализовать частотные компоненты во времени, а только анализирует их наличие и величину. На практике, рассматривают нестационарные сигналы как стационарные, разделяя их на блоки квазистационарных сегментов, чья статистика остается по существу неизменной в течение их длительности. Пока еще применяемый в ряде приложений, этот метод названный short-time Fourier преобразованием, имеет фундаментальный недостаток: если временное окно сделать очень коротким, то пострадает частотное разрешение, с другой стороны, удлиняя его, можно аннулировать предположение о стационарности в пределах окна.

Альтернативный путь анализа нестационарных медицинских сигналов вейвлет-преобразование - разложение их в ряд базисных функций, особо выбранных для этого типа сигнала. Вейвлет-преобразование позволяет анализировать любые сигналы, как стационарные, так и нестационарные, точно локализуя частотные составляющие. Оно может обеспечить, как очень хорошее временное разрешение на высоких частотах, так и удовлетворительное частотное разрешение на низких частотах. Это возможно даже при отсутствии информации о статистическом характере временных и частотных параметрах сигнала, благодаря избыточности присущей непрерывному вейвлет-преобразованию сигнала.

В реальных приложениях желательно устранить значительную часть этой избыточности, чтобы уменьшить требования к памяти и ускорить численные вычисления. Этого достигают обычно дискретизацией частотных и временных параметров с необходимым временным разрешением для каждой частоты. Отличное сочетание временного и частотного разрешения позволяет применять вейвлет-анализ для медицинских исследований и диагностики.

Выводы по главе 2

Рассмотрен математический аппарат вейвлет-преобразования. Рассмотрены преимущества данного метода преобразования информации перед существующими. Осуществлён анализ основных принципов вейвлет-преобразования. Показаны принципы его реализации. Проведено сравнение результатов частотного анализа, полученных методами Фурье анализа и вейвлет-преобразования. Показаны преимущества аппарата вейвлет-преобразования при работе с квазистационарными процессами, представленными физиологическими сигналами. Предложено использовать аппарат вейвлет-преобразования для сжатия биотелеметрической информации. В главе 3 представлено исследование предложенных принципов сжатия медико-биологической информации.

Глава 3. Исследование алгоритмов компрессии биоэлектрических сигналов в реальном масштабе времени

Передача отсчетов сигналов в реальном времени по всем каналам в условиях конечной пропускной способности и производительности встроенных интеллектуальных систем требует построения строгой информационной модели системы. Известно, что физиологические сигналы имеют значительную избыточность и могут быть упакованы с целью снижения требований к системе.

Рассмотрение алгоритмов компрессии сигналов необходимо выполнять с представлением о том, что их выполнение будет возложено на микроконтроллерное управляющее ядро с известными возможностями по производительности. Важной особенностью анализируемого метода сжатия информации является его принципиальная неблочность, то есть метод должен позволять обеспечить компрессию в реальном времени и с предсказуемым коэффициентом сжатия для целей адекватного управления потоками информации с датчиков.

3.1 Методы сжатия цифровой информации для передачи по виртуальной магистрали

3.1.1 RLE - кодирование

Алгоритм: Последовательности отсчетов сигнала ставится в соответствие набор из трех выходных символов: байт префикса, длина входной последовательности, собственно входной символ.

Алгоритм в отношении биологических сигналов относительно эффективен в случае, если сигнал уже обработан (не имеет шумовой составляющей) и получен с высокой частотой дискретизации (велика вероятность повторения символов).

3.1.2
 Унарное кодирование (VLI)

Алгоритм: Значениям кода ставится в соответствие код, соответствующий частоте повторения данного отсчета в последовательности.

Алгоритм относится к разряду очевидных. Недостаток метода состоит в непредсказуемом объеме выходной последовательности и малой эффективности при использовании для кодирования биологических сигналов, для которых характерна шумовая форма с равномерным частотным распределением.

3.1.3 Коды Хаффмена

Алгоритм: Пусть I1, … IK - положительные целые числа (какими и являются отсчеты сигнала). Для того, чтобы существовал префиксный код, длины слов которого равны I1, … IK, необходимо и достаточно выполнение неравенства Крафта:


Все префиксные коды являются кодами со свойством однозначного декодирования, но не наоборот. Избыточность дешифрируемого кодирования неотрицательна. Для кода Хаффмена избыточность не превышает 1. Чем больше длина символом входного алфавита, тем меньше избыточность.

Для кода Хаффмена значительными являются требования к памяти данных для расчета алфавита. Недостатком можно назвать непредсказуемый коэффициент компрессии для каждой конкретной последовательности (имеется ввиду его вариабельность).

3.1.4 Вероятностное кодирование

Алгоритм: Кодирование осуществляется с построением модели Маркова 2. Осуществляется предсказание очередного кода по известным двух последним. Если предсказание осуществлено верно, то вместо кода передается логическая единица, а приемная сторона по той же модели вычисляет предсказанный код. Если предсказание неверно, то передается логический ноль и собственно код. Для некоторых видов сигналов, например, значение давления в манжете или узкополосные сигналы вроде импедансной пневмограммы или плетизмограммы, модель Маркова 2 может дать неплохие результаты. Однако, унификация протокола магистрали и построение строгой модели информационных потоков требует выбора метода компрессии для всех сигналов. Недостаток метода - непредсказуемость выходного потока в смысле объема информации и неработоспособность для сигналов всплескового характера.

3.1.5 Алгоритм LZ77

Алгоритм: Имеется скользящий словарь V объемом 2-32 кБ. Если очередная входная строка совпадает со строкой словаря, то она заменяется на указатель на эту строку вида ptr={prefix, distance, length}. Понятие словаря и строки несколько отличается от обыденного - под строкой подразумевается любая непрерывная последовательность отсчетов кода. Длина кода обычно выбирается из диапазона 16 - 256 байт. Алгоритм адаптирующийся, то есть подразумевается составление словаря по составу поступающей информации. Таким образом, в первый момент сжатия информации не происходит. Значительные возможности по эквивалентной компрессии сигнала могут быть получены при существенной предсказуемости сигнала, то есть повторении его последовательностей кода. Код, отсутствующий в словаре транслируется без изменения. Реализация алгоритма построения словаря и поиска по словарю - достаточно сложные и медленные процедуры. Объем выходного кода имеет не предсказуемую величину в известном смысле и не представляется возможным транслировать словарь на приемную сторону.

3.1.6
 Алгоритмы LZ78 - LZW84

Модификация метода LZ77, также требующая управления словарем и передачи его на приемную сторону.

Результаты обзора классических методов компрессии сигналов в реальном времени сведены в таблицу 2. Величины степени сжатия, скорости, объема требуемой памяти указаны в условных единицах.

Таблица 2. Методы компрессии сигналов в реальном масштабе времени.

Алгоритм

Степень сжатия

Скорость

Память

Сжатие без потерь

Проходы

Распространение ошибки

Возрастание избыточности

RLE

2-3

10

10

Да

1

Нет

Возм.

VLI

2-3

9

10

Да

1

Да

Возм.

Хаффмен

5-6

8

8

Да

2

Да

Редко

Вероят- ностное

5-6

9

6

Да

1

Да

Возм.

LZ77

8-9

3

2

Да

1

Да

Редко


Так или иначе ни один алгоритм компрессии сигнала не может обеспечить предсказуемого (в смысле объема выходного потока) коэффициента сжатия.

Особенность измерительного сигнала электрофизиологии - его всплесковый характер. Для обработки подобных сигналов разработан вейвлет-метод декомпозиции и реконструкции сигнала. Основной его идеей является разложение сигнала по заданному алгоритму на коэффициенты во временной области и трансмиссию исключительно последних. На приемной стороне с применением обратного алгоритма производится реконструкция сигнала. Собственно вейвлет-кодирование не предусматривает компрессию сигнала и не дает уменьшения объема информации при передаче коэффициентов разложения, однако, имеется возможность обработки коэффициентов с целью исключения избыточности биологического сигнала.

Всплесковая особенность биологического сигнала позволяет построить декомпозицию на основе вычисления сверток сигнала с выбранными вейвлетами. Серьезной проблемой остается выбор вейвлета, по вычислительным возможностям адекватного способности микроконтроллерного ядра работать по алгоритму в реальном времени.

В этом отношении вейвлеты более высоких порядков позволяют значительно повысить эффективность кодирования. На рис.2 представлены вейвлеты Хаара и Daubechies 3. На рис.3 представлено графическое представление коэффициентов декомпозиции выбранного сигнала (кардиограммы) и их объема.

Рис.2.Вейвлеты Хаара и Daubechies 3.

А) 2500 отсчетов 1:1 (исходный сигнал)

Б) 313 отсчетов 1:8

В) 161 отсчет 1:16

Рис.3.Декомпозиция ЭКГ-сигнала с применением вейвлет- кодирования.

А) Исходный сигнал - 2500 отсчетов

Б) Графическое представление коэффициентов декомпозиции по Хаару - 313 отсчетов

В) Графическое представление коэффициентов декомпозиции по - Daubechies 3 - 161 отсчёт

Необходимо отметить, что на рис.3 представлены коэффициенты разложения во временной области, но не сами сигналы. Реконструкция сигнала позволит визуально полностью восстановить сигнал, но даже коэффициенты позволяют констатировать высокую эффективность вейвлет метода.

К достоинствам метода можно отнести относительную простоту вычислительных операций, их итеративность, низкие требования в оперативной памяти и соответствие входного потока к выходному как степень двойки (1:8, 1:16 и т.п.).

.2       Использование методов вейвлет-кодирования для сжатия биологических сигналов

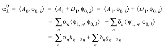
Для некоторого сигнала S длины N дискретное вейвлет - преобразование (ДВП) максимально состоит из log2N уровней разложения, уровней декомпозиции. На первом шаге, начиная с исходного сигнала S, получают два множества коэффициентов: аппроксимационные коэффициенты cA1 и коэффициенты детализации cD1. Эти коэффициенты получаются сверткой сигнала S с импульсной характеристикой фильтра нижних частот LoF_D для получения аппроксимации и фильтра верхних частот HiF_D для детализации. После чего следует децимация полученных коэффициентов.

Графически первый уровень представлен на рис.4.

Рис.4.Первый уровень декомпозиции сигнала S.

Если n = длина(S), то сигналы F и G (рис.4) имеют длину n+2N-1 и тогда коэффициенты cA1 и cD1 имеют длину ((n-1)/2)+N. На следующем шаге производится декомпозиция аппроксимационных коэффициентов cA1 на две последовательности по тому же алгоритму с получением на выходе cA2 и cD2, и так далее.

Прямое дискретное вейвлет-преобразование


На рис.5 обобщёно представлен алгоритм прямой декомпозиции коэффициентов. Инициализация алгоритма производится принятием cA0 = S.

Рис.5.Алгоритм прямой декомпозиции коэффициентов.

Вейвлет декомпозиция сигнала S, анализируемого на уровне j, имеет следующую структуру: [cAj, cDj, ..., cD1](8)

Рис.6.Структура процесса декомпозиции при j=3.

Напротив, начиная с коэффициентов cAj и cDj с использованием алгоритма обратного вейвлет-преобразования можно реконструировать cAj-1.

Алгоритм реконструкции на некотором уровне j представлен на рис.7.


Рис.7.Алгоритм реконструкции на некотором уровне j.

Обозначим h = LoF_R (импульсная характеристика ФНЧ) и g = HiF_R (импульсная характеристика ФВЧ). Необходимо определить переход от уровня j к уровню j+1 аппроксимационных коэффициентов процесса декомпозиции (аналогичным образом могут быть получены и коэффициенты детализации, но при использовании фильтра g вместо h).

(AK(j))KÎZ - координаты вектора Aj.

 (9)

(AK(j+1))KÎZ - координаты вектора Aj+1.

Полученный результат объясняется особенностями функций fj,k и yj,k (шкалирующей функции и импульсной характеристики вейвлета).

(10)

Ak(j+1) вычисляется как

 (11)

Эта формула сходна с выражением свертки. Вычислительные операции по объему не превышают операций по стандартной цифровой обработке. Пусть h*(k)=h(-k) и

(12)

Тогда:

(13)

Это определяет децимацию полученной на выходе последовательности координат векторов.

Инициализация выполняется при Ak(0)=S(k), где S(k) - входная последовательность (отсчеты обрабатываемого сигнала).

Некоторые основополагающие особенности функций fj,k и yj,k можно назвать:

1. Семейство (f0,k, kZ) сформировано ортонормальными функциями. Как следствие, для любого j (fj,k, kZ) являются ортонормальными;

2. Семейство (yj,k, jZ, kZ) также является ортонормальными функциями;

3. Для любого j (fj,k, kZ) ортогонально к (yj’,k, j’£ j, kZ);

4. Между двумя последовательными шкалами имеется соотношение:

5. Координата fj+1,0 на fj,k есть hk и не зависит от j; координата fj+1,n на fj,k эквивалентна (fj+1,n , fj,k) = hk-2n;

6. Перечисленные соотношения составляют основу алгоритма;

7. Фильтр высоких частот g используется в отношениях, соединяющих функции и . Между двумя последовательными шкалами имеются следующие соотношения:

8. Процедура реконструкции сигнала A0=A1+D1 то же, что Aj=Aj+1+Dj+1:

Пусть an, dn, ak0 определены как:


Координата ak0 определяется как:


По причине подобия вычислительных операций сумма Snanhk-2n определяется (следующая сумма Sndngk-2n определяется аналогично):

Если преобразовать последовательность (an) в новую последовательность (a*n), определенную как …, a-1, 0 , a0, 0, a1, 0, a2, 0, … или a*2n = a*n, a*2n+1 = 0, тогда:

(14)

или в общем случае:

(15)

Так как процедура реконструкции становится следующей:


Заменить последовательности a и d на последовательности a* и d*, вставляя нули;

Обработать последовательности a и d фильтрами h и g соответственно;

Суммировать полученные последовательности;

Полученные три операции выполняются относительно просто микроконтроллерными узлами и содержать предсказуемое число отсчетов на каждом этапе обработки.

Из приведенных рассуждений можно видеть, что в процессе декомпозиции общий объем коэффициентов разложения не меньше объема исходного сигнала S. Это утверждение верно, если требуется точно восстановить исходный сигнал по коэффициентам. Если предположить, что биологические сигналы содержат исключительную избыточность (прежде всего шумовую неинформативную последовательность), то часть коэффициентов разложения можно либо исключить, либо выполнить над ними жесткую пороговую обработку.

Алгоритм компрессии сигнала таким образом выглядит:

1) Декомпозиция сигнала до необходимой глубины j;

2) Выполнение пороговой обработки коэффициентов детализации (как имеющими наименьшую энтропию);

3) Реконструкция сигнала.

В результате жесткой пороговой обработки коэффициентов появляется значительное число нулевых коэффициентов и становится возможным применение классических методов сжатия сигнала, описанных в разделе 3.2.

Но результаты исследования, выполненные в настоящей работе показывают, что в случае, если достаточно для реконструкции коэффициентов с уровня Ajmax, то нет необходимости в дополнительной компрессии, - достаточно выполнять только децимацию.

3.3 Практическое применение алгоритма сжатия на основе математического аппарата вейвлет-преобразования

Рис.8. MATLAB модель канала декомпозиции и реконструкции без пороговой обработки.

Рассмотрим пример декомпозиции некоторого сигнала и оценим его степень сжатия. Для выполнения данной процедуры была создана модель компрессора в системе MATLAB (рис.8):

3.3.1 Обработка электромиограммы

Исходный сигнал содержит 9000 отсчетов (сигнал электромиограммы) и представлен на рис.9.

Рис.9. Исходный сигнал электромиограммы на входе системы компрессии (Time Scope 2).

После декомпозиции, исключении всех коэффициентов, кроме A3, реконструированный сигнал полностью содержит необходимую физиологическую информацию (рис.10), но содержит в 8 раз меньший объем отсчетов.


Рис.10. Реконструированный сигнал электромиограммы на выходе системы декомпрессии (Time Scope 1).

Результаты исследования некоторых других сигналов показали, что не для всех последовательностей возможно отбрасывание всех коэффициентов, кроме A3. В общем случае необходимо выполнять пороговую обработку в реальном времени.

Результаты исследования некоторых сигналов представлены в таблице 3. Алгоритм вейвлет-анализа: вид дерева разложения на основании энтропийного критерия Нj=Sdjklog2(djk), теоретическое значение амплитудного порога, достижимый коэффициент компрессии.

Таблица 3. Результаты компресси некоторых биологических сигналов.

Вид сигнала

Оптимальное разложение

Вектор изменения энтропии Hj по уровням разложения

Процент сохраненной энергии сигнала

Процент нулей

Амплитудный порог


НЧ

ВЧ

 Вейвлет

-7.346 1011 -7.346 1011 -7.346 1011 -7.343 1011

 -2.1225 107 -9.458 107 -2.476 108

 99.9%

 86.5%

 100

коэффициент компрессии 8:1

 ЭКГ

Вейвлет-пакет

-1.389 109 -1.389 109 -1.387 109  -1.3818 109 -5.5637 105

  -6.9849 105 -4.0443 105 -2.9406 105

 -1.6285 105

 99.35%

 87.43%

 325

коэффициент компрессии 8:1

декомпрессия

 Вейвлет

-2.2393 1011 -2.2391 1011 -2.2389 1011 -2.2388 1011

 -1.8194 107 -2.732 107 -4.888 106

 99.97%

 92.44%

 1201

коэффициент компрессии 13:1

 тоны Короткова

 Вейвлет

-5.8484 1011 -5.8479 1011 -5.8472 1011 -5.8461 1011

 -5.3798 107 -6.9432 107 -1.0416 108

 99.9%

 86.4%

 80

коэффициент компрессии 7:1

 

Из таблицы 3 видно, что процент сохраненной энергии практически 100 % при коэффициенте компрессии от 7 раз и более. Такой характер сохраняется для всех исследованных сигналов. Необходимость выполнения пороговой обработки для некоторых сигналов потребовала разработки специализированной микросхемы вейвлет - процессора. Назначение этой микросхемы - декомпозиция, пороговая обработка (трешолдинг) и реконструкция сигнала. На передающей стороне такая микросхема в реальном времени осуществляет декомпозицию и трешолдинг и передает обработанные коэффициенты на приемную сторону, где такая же микросхема выполняет реконструкцию.

Вейвлет-обработка биологических сигналов в предложенной системе позволила получить дополнительно некоторые преимущества их диагностики, что явилось решающим фактором в процессе исследования методов обработки и сжатия биологических сигналов.

Для примера можно привести особенности вейвлет-обработки двух сигналов - сигнала тонов Короткова и кардиограммы (в исследовании использовались записи сигналов, полученных в эксперименте с применением измерительных модулей предложенной системы, - все результаты экспериментально подтверждены).

.3.2 Обработка сигнал тонов Короткова

После выделения тонов сигнал не пригоден для классической фильтрации с целью удаления шума, так как полезный сигнал расположен в одной с шумом частотной области. Отличие состоит в амплитуде сигнала и шума. В этой связи жесткая пороговая обработка вейвлет-кодером является наиболее оптимальным решением. Удаление шума позволит не только сделать сигнал “более читаемым”, но и обеспечит возможность его оптимальной компрессии за счет удаления последовательности нулевых коэффициентов разложения. Однако, кроме “стандартных” достоинств применения вейвлет-метода положительным для работы с сигналом оказалась возможность автоматического выделения “истинных” тонов Короткова, что на практике так или иначе выполняется. Полученный эффект достигнут за счет правильного выбора величины порогов обработки коэффициентов разложения. На рис.11 представлен исходный сигнал тонов. Виден шум.

Рис. 11. Исходная запись тонов Короткова.


Рис.12. Тоны Короткова после обработки. Присутствуют только “истинные” тоны при отсутствии шума в сигнале

После пороговой обработки коэффициентов разложения оставлены только “истинные” тоны (рис.12).


Рис.13. Сигнал кардиограммы до и после обработки вейвлет-кодером.

3.3.3 Обработка электрокардиосигнала

На рис.13. представлен результат записи кардиосигнала после его обработки вейвлет-кодером. Видно, что удален шум и оставлены только информативные компоненты. За счет этого стало возможным его сжатие в 7-8 раз. Однако, для автоматической диагностики сигнала это не единственное преимущество. Модуль кардиосигнала производит автоматическую диагностику динамики кардиоритма. С этой целью должна быть решена задача выделения R-R интервалов, то есть задача локализации R - зубцов. В [91] предложен работоспособный метод автоматического детектирования QRS комплекса при наличии вейвлет-декомпозиции сигнала. Метод не требует дополнительных вычислительных операций и является исключительно аналитическим. Например, кроме фильтрации, компрессии сигнала кардиограммы и применения исследованного метода разложения по 3 уровням, он позволяет упростить процедуру локализации QRS - комплекса.

Таким образом, применение вейвлет-преобразования для сжатия информации позволяет сделать вывод о целесообразности его применения. Предлагаемые процедуры разложения исходного биологического сигнала и его реконструкции обеспечивают сохранение основной энергии сигнала (не менее 90%). Кроме того, данные методы обеспечивают одновременную фильтрацию помех в биологическом сигнале, причём удаётся отфильтровать помехи в полезном спектре частот. Использование вейвлет-преобразования для оценки биологических сигналов даёт уникальную возможность практически непрерывного частотного анализа. Существенным полезным свойством вейвлет-преобразования является относительная простота вычислений, которые могут производиться современными микроконтроллерами в реальном масштабе времени.

3.4 Использование современных микропроцессорных средств для поддержки вейвлет кодирования-декодирования и передачи по каналу радиотелеметрии

Важной особенностью предложенной измерительной системы является использование предложенного и разработанного вейвлет-процессора, функционально совмещенного с модулятором радиотелеметрического канала. Вейвлет-процессор выполняет “на лету” декомпозицию измерительного сигнала, децимацию, пороговую обработку и перекодирование информации для передачи в канале связи (модуляцию). Структура выполняемых вейвлет-процессором функций представлена на рисунке 3.4.

Рис.14. Структура программной последовательности работы вейвлет-процессора.

В настоящем исследовании были использованы RISC микроконтроллеры серии AVR AT90 фирмы “ATMEL”. Контроллеры данной серии способны выполнять относительно сложные команды за 80 - 100 нс при приемлемом потреблении тока (до 4 мА @8МГц, 3 вольта). Альтернативные решения могут быть найдены в серии контроллеров PIC16 фирмы “Microchip”, но они преимущественно EPROM контроллеры и по системе команд уступают серии AT90.

Выводы по главе 3

Рассмотрены классические методы компрессии биологических сигналов. Осуществлён анализ их достоинств и недостатков. Предложено использовать математический аппарат вейвлет-преобразования для обработки биологических сигналов, имеющих всплесковый характер. Рассмотрены принципы декомпозиции и реконструкции сжимаемого сигнала с помощью вейвлет-преобразования. Показано, что процедура компрессии содержит три этапа: декомпозиция, пороговая обработка коэффициентов детализации, реконструкция. Проведены экспериментальные исследования в системе “MATLAB“. Осуществлена компрессия различных биологических сигналов, имеющих различную природу. Показано, что потери информации при компрессии/декомпрессии составляет не более 1% при коэффициенте сжатия, равном 8. Предложено использовать аппарат вейвлет-преобразования для обработки биологических сигналов, особенно для сигналов, имеющих всплесковый характер. Предложено использовать RISC микроконтроллеры серии AVR AT90 фирмы “ATMEL” для реализации предложенных методов вейвлет-преобразования при компрессии/декомпрессии медико-биологической информации и передаче её по каналу радиотелеметрии.

Глава 4. Организационно-экономическая часть

Современное состояние технических средств биотелеметрии, особенно в России, оставляет желать лучшего. К сожалению, новая техника не разрабатывается и не производится, а существующий парк средств регистрации физиологической информации устарел морально и физически. Обращая взгляд на Западный рынок можно заметить, что существуют достаточно развитые технические средства биотелеметрии, однако в подавляющем большинстве случаев они представляю собой системы решающие локальные задачи. При этом канал связи, представляющий собой радиочастотную виртуальную магистраль, не оптимизирован по быстродействию и ограничен в пропускной способности. Это является существенным недостатком.

Данная дипломная работа посвящёна разработке методов компрессии и восстановления медико-биологической информации в канале связи устройств биотехнического комплекса.

.1 Построение, расчет и оптимизация сетевого графика выполнения дипломной работы

Сетевой график обеспечивает наглядность взаимных связей выполняемых работ, допускает внесение изменений в результате принимаемых решений и позволяет установить перечень и непрерывную последовательность работ, их резервы времени. Путем перераспределения ресурсов, в целях оптимизации плана, обеспечить наиболее благоприятные условия выполнения всего комплекса работ.

В сетевом графике существуют два основных элемента - событие и работа: событие - это вершина графа, работа - это ребро графа. Работа - это совокупность приемов и действий, необходимых для выполнения конкретной задачи или достижения определенной цели. Событие - это констатация некоего состояния или факта, а не процесс, поэтому событие не имеет продолжительности. Событие i (кроме исходного) является однозначным результатом выполнения работ и обычно обозначается кружком, разделенным на 4 сектора.


№ соб. - номер события;(i) - поздний срок наступления события;(i) - ранний срок наступления события;(i) - резерв времени события.

На сетевом графике особый интерес представляет критический путь, т.е. полный путь с наибольшей суммарной продолжительностью.

Путем называется любая последовательность в сети, в которой конечное событие каждой работы совпадает с начальным событием следующей за ней работы. Длина пути равна сумме продолжительностей составляющих его работ.

Зная список этапов проекта и структурную схему, строим сетевую модель, образованную соответствующим числом работ и событий. Для определения логической взаимосвязи между всеми операциями составляется перечень их в логической последовательности, который представлен в таблице 3

Для каждого этапа определим экспертным путем следующие значения:

ti-jmin - нижняя граница длительности работы

ti-jmax - верхняя граница длительности работы

ti-jож = (3ti-jmin + 2ti-jmax)/5 - математическое ожидание длительности.

Через i обозначим начальное событие, а через j - конечное событие.

Полученные значения представим в таблице 4.

Таблица 4.

Этапы работ по разработке комплекса.



Код работы

Длительность работы

Наименование работ

I

J

ti-jmin

ti-jmax

ti-jож

1

Получение темы и оформление задания

0

1

1

4

2

2

Анализ задания

1

2

1

2

1

3

Подбор научной литературы

2

5

6

12

8

4

Изучение научной литературы

5

13

7

14

10

5

Анализ медицинских аспектов задачи

1

3

6

12

7

6

Анализ технических аспектов задачи

3

6

5

10

7

7

Модернизация существующих комплексов

6

13

7

12

9

8

Разработка структурной Схемы

1

4

5

9

7

9

Разработка функциональной схемы

4

7

6

12

8

10

Разработка алгоритмов

7

8

26

12

8

11

Разработка электрической принципиальной схемы

8

9

7

14

10

12

Набор текста на ПЭВМ

9

10

10

16

12

13

Консультации с руководителем

10

11

1

5

3

14

Исправление ошибок

11

12

1

4

2

15

Анализ результатов

12

13

1

2

1

16

Технико-экономический анализ

13

14

10

14

12

17

Построение и оптимизация сетевого графика

14

16

3

7

5

18

Определение затрат на разработку

16

17

4

8

6

19

Разработка мероприятий по БЖД

13

15

8

13

10

20

Оформление пояснительной записки

13

18

12

20

15

21

Согласование полученных результатов с руководителем

15

17

1

4

2

22

Оформление графического материала

17

18

6

9

7

23

Сдача на рецензирование и получение рецензии

18

19

5

10

7

24

Предварительное обсуждение дипломного проекта

19

20

1

3

2

25

Защита дипломного проекта

20

21

1

1

1


На основании данных таблицы 4 можно построить упрощенную модель сетевого графика.

Сетевой график обеспечивает наглядность взаимных связей между выполняемыми работами, допускает внесение изменений в результаты принимаемых решений и позволяет установить перечень и непрерывную последовательность работ, резервы времени, а так же дает возможность путем перераспределения ресурсов в целях оптимизации плана обеспечивать наиболее благоприятные условия выполнения всего комплекса работ.

В сетевом графике существуют два основных элемента - событие и работа. Вершина графа - событие, ребро графа - работа.

Под термином “работа” принимается совокупность приемов, действий или естественных процессов, необходимых для выполнения конкретной задачи или достижения определенной цели. Работа изображается линией со стрелкой, направленной от одной окружности к другой. Событие определяет факт получения конечных результатов всех предшествующих ему работ и готовность к началу непосредственно следующих за ним работ. Окружность изображает событие, т. е. однозначный результат, получаемой после выполнения одной или нескольких работ, заканчивающихся этим событием.

Любая последовательность в сети называется путем, в котором конечное событие каждой работы совпадает с начальным событием следующей за ней работы. Длина пути равна сумме продолжительностей составляющих его работ.

Полным путем называется непрерывная последовательность взаимосвязанных работ и событий, начинающаяся исходным и заканчивающаяся завершающим событием. Полный путь, имеющий наибольшую суммарную продолжительность выполняемых работ, называется критическим.

Ненапряженные пути - это полные пути сетевого графика, которые по продолжительности меньше критического пути. Ненапряженные пути обладают важным свойством: на участках, не совпадающих с критической последовательностью работ, они имеют резервы времени. Это означает, что задержка в совершении событий, не лежащих на критическом пути, до определенного момента (до исчерпания располагаемых резервов) не влияет на сроки завершения разработки в целом.

Критические пути резервами не располагают. Если наступление какого - либо события, находящегося на критическом пути, будет задержано, то в соответствии с данным выше определением критического пути, либо будет отодвинуто на тот же срок наступление завершающего события, либо должны быть сокращены на такое же в сумме время продолжительности работ, расположенных на критическом пути после этого события (цепочка последующих работ). Таким образом, если даже удастся обеспечить соблюдение установленного срока наступления завершающего события при задержке выполнения какой - либо из работ критического пути, то это достигается за счет переоценки сроков выполнения других работ, или сокращения времени их выполнения.

4.1.1 Расчет основных параметров сетевой модели

После построения полной сетевой модели, необходимо рассчитать календарные временные параметры. Календарно временные параметры представляют собой информационное обеспечение для планирования проекта по факту времени.

Основные временные параметры сети:

ti-j- продолжительность работы

tpi - ранний возможный срок наступления события

tni- поздний допустимый срок наступления события

tрнi-j - ранний возможный срок начала работы

tpoi-j - ранний возможный срок окончания работы

tпнi-j - поздний допустимый срок начала работы

tпоi-j - поздний допустимый срок окончания работы

Ri - резерв времени события

Rпi-j- полный резерв времени работы

Lкр - критический путь

t(Lкр) - длина критического пути

Pк - вероятность выполнения работы к директивному сроку

Кнi-j - коэффициент напряженности выполнения работы

индекс i - номер начального события работы

индекс j - номер конечного события работы

Расчет сроков начала и окончания работ, расчет резервов времени:

Ранний возможный срок наступления события равен пути максимальной длины из начального события в данное и устанавливает нижнюю календарную границу свершения события:

tрj = tрi + ti - j

Поздний допустимый срок наступления события определяется как разность

между длиной критического пути и максимальным по продолжительности путем, следующим за этим событием, и устанавливает верхнюю календарную границу совершения события, совместимую с длиной критического пути:

tпi = t кр - t (Lmax)

Для событий, лежащих на критическом пути, tрi = tпi

Ранний возможный срок начала работы определяется ранним возможным сроком наступления предшествующего этой работе события:

tрнi-j =tрi

Ранний возможный срок окончания работы определяется суммой раннего возможного срока наступления предшествующего этой работе события и продолжительности этой работы:

tрoi-j =tрi+ti-j

Поздний допустимый срок начала работы определяется как разность между поздним допустимым сроком наступления завершающего эту работу события и продолжительностью этой работы:

tпнi-j = tпj - ti-j

Поздний допустимый срок окончания работы определяется поздним допустимым сроком наступления завершающего эту работу события:

tпoi-j =tпj

Резерв времени события определяется как разность между поздним и ранним сроками наступления события, он показывает, на какое предельно допустимое время можно задержать наступление этого события, не увеличивая общего времени окончания всех работ:

Rj = tпj - tpj

Полный резерв времени работы определяется как разность между поздними и ранними сроками начала или окончания работы, он показывает на какое минимальное время можно увеличить продолжительность работы, не изменяя длины критического пути:

Rпi-j = tпоi-j - tpоi-j

Рассчитанные временные параметры сетевой модели по событиям приведены в таблице 4 Рассчитанные временные параметры сетевой модели по работам приведены в таблице 5.

На основании таблицы 5 строится полный сетевой график дипломного проекта, который приведен на рисунке 16.

 
Таблица 5.
Основные временные параметры сетевой модели по событиям

№ события

 tpi

 tпi

 Ri

0

0

0

0

1

2

2

0

2

3

35

32

3

9

37

28

4

9

9

0

5

11

43

32

6

16

44

28

7

17

17

0

8

25

25

0

9

35

35

0

10

47

0

11

50

50

0

12

52

52

0

13

53

53

0

14

65

65

0

15

61

63

2

16

70

70

0

17

76

76

0

18

85

85

0

19

94

94

0

20

96

96

0

21

97

97

0


Таблица 6.

Временные параметры сетевой модели по работам.

№ п/п

Код работы

tpнi-j

tpoi-j

tпнi-j

tпоi-j

Rпi-j

1

0-1

2

4

0

2

0

2

1-2

3

4

34

35

31

3

2-5

11

19

35

43

24

4

1-3

9

16

30

37

21

5

3-6

16

23

37

44

21

6

1-4

9

16

2

9

0

7

4-7

17

25

9

17

0

8

7-8

25

33

17

25

0

9

8-9

35

45

25

35

0

10

9-10

47

59

35

47

0

11

10-11

50

53

47

50

0

12

11-12

52

54

50

52

0

13

5-13

21

31

43

53

22

14

6-13

25

34

44

53

19

15

12-13

53

54

52

53

0

16

13-14

65

77

53

65

0

17

14-16

70

75

65

70

0

18

13-15

61

71

53

63

2

19

15-17

76

78

74

76

0

20

13-18

85

100

70

85

0

21

16-17

76

82

70

76

0

22

17-18

85

95

76

85

0

23

18-19

94

103

85

94

0

24

19-20

96

98

94

96

0

25

20-21

97

98

96

97

0

 

.1.2 Оптимизация сетевого графика

Оптимизация по временным параметрам.

Для оптимизации по временным параметрам вычисляется коэффициент напряженности выполнения работы, показывающий насколько свободно можно располагать имеющимися резервами времени, рассчитывается по формуле:


гдеt’i,j - совпадающая с длиной критического пути величина отрезка пути, проходящего через данную работу.

Кн (1 - 2) = 1 - 31/ (97 - 1) = 0,68

Кн (2 - 5) = 1 - 24/ (97 - 8) = 0,73

Кн (1 - 3) = 1 - 21/ (97 - 7) = 0,77

Кн (4 - 6) = 1 - 21/ (97 - 7) = 0,77

Кн (5 - 13) = 1 - 22/ (97 -10) = 0,75

Кн (6 - 13) = 1 - 19/ (97 - 9) = 0,78

Вероятность выполнения проекта к директивному сроку сводится к вычислению вероятности попадания в область кривой нормального распределения при заданном математическом ожидании и дисперсии некоторой случайной величины, представляющей длину критического пути.

Рассчитывается вероятность свершения конечного события в заданный срок Рк, при этом 0,35 <= Pk <= 0,65. Если Рк <= 0,35, опасность нарушения срока настолько велика, что необходимо повторное планирование с перераспределением ресурсов. При Рк >=0,65 работы критического пути имеют избыточные ресурсы, что вызывает необходимость проведения повторного расчета сетевого графика.

Вероятность рассчитывается через меру разброса ожидаемого времени выполнения работы (т.е. дисперсию работы, лежащей на критическом пути), определяемую по формуле:


б2 (0 - 1) = ((4 - 1) / 5)2 = 0,36

б2 (1 - 4) = ((9 - 5) / 5)2 = 0,64

б2 (4 - 7) = ((12 - 6) / 5)2 = 1,44

б2 (7 - 8) = ((12 - 6) / 5)2 = 1,44

б2 (8 - 9) = ((14 - 7) / 5)2 = 1,96

б2 (9 - 10) = ((16 - 10) / 5)2 = 1,44

б2 (10 - 11) = ((5 - 1) / 5)2 = 0,64

б2 (11 - 12) = ((4 - 1) / 5)2 = 0,36

б2 (12 - 13) = ((2 - 1) / 5)2 = 0,04

б2 (13 - 14) = ((14 - 10) / 5)2 = 0,64

б2 (14 - 16) = ((7 - 3) / 5)2 = 0,64

б2 (16 - 17) = ((8 - 4) / 5)2 = 0,64

б2 (17 - 18) = ((10 - 4) / 5)2 = 0,36

б2 (18 - 19) = ((11 - 6) / 5)2 = 1

б2 (19 - 20) = ((3 - 1) / 5)2 = 0,16

Аргумент нормальной функции распределения вероятностей определяется по формуле:


где Z - аргумент нормальной функции распределения вероятностей.

По графику функции нормального распределения (рис.15), определим вероятность свершения завершающего события в заданный срок,

Рк = 0,61

,35 <= 0,61 <= 0,65

Рис.15. Кривая нормального распределения

Рис. 16. Оптимизированный сетевой график

4.1.3 Оптимизация по трудовым ресурсам

При оптимизации анализируются структура графа, трудоемкость и длительность выполнения каждой работы, вероятность завершения разработок в заданный срок и загрузка исполнителей. Распределение исполнителей, связанное со сроками работ, определяют путем построения “карты работ” или графика потребности в исполнителях, далее строится оптимизированный сетевой график.

4.2     Расчет себестоимости и оптовой цены разработки


Рассмотрев поэтапно виды производимых работ, время, необходимое на их осуществление, и количество исполнителей закрепленных за данными работами, определим затраты на проведение дипломной работы.

Затраты на проведение работы включают:

1) Заработную плату участников, проводимой работы.

2)      Затраты на материалы и различные виды энергии.

)        Накладные расходы.

4.2.1  Расчет капитальных вложений

Капитальные вложения на необходимое специальное оборудование представляет собой сумму затрат на его приобретение, доставку и монтаж.

Величина капитальных вложений условно приравнивается к суммарной стоимости всех основных фондов, используемых для проведения научно-исследовательской работы.

Амортизационные отчисления определяются по формуле

= (Cо´Ha´T)/(100´12),    (1)

где А - амортизационные отчисления, руб.;

Со - стоимость оборудования, руб.;

На - норма амортизации, %;

Т - время использования оборудования, месяцев.

Затраты на оборудование и величина амортизации приведены в Таблице 7.

Таблица 7. Стоимость оборудования и сумма его амортизации

№ п/п

Наименование оборудования

Кол-во единиц

Стоимость единицы, руб.

Суммарная стоимость оборудования

Норма амортизации, %

Сумма амортизации, руб.

1

Компьютер

1

30 000,00

30 000,00

15

4 500,00

2

Принтер

1

9 200,00

9 200,00

15

1 380,00

3

ПО

1

8 000,00

8 000,00

10

800,00






Итого:

6 680,00


4.2.2  Расчет заработной платы участников, проводимой работы

Затраты на заработную плату включают основную и дополнительную заработную плату с отчислением на социальное страхование. Основная заработная плата состоит из заработной платы непосредственных исполнителей, руководителей, и консультантов. Затраты на основную заработную плату определяются умножением размера месячной заработной платы на число месяцев, отводимых на выполнение задачи. Дополнительная заработная плата устанавливается в размере 20 % от суммы затрат по статье "Основная заработная плата",

Отчисления на социальное страхование вычисляется от фонда заработной платы с учетом ставки единого социального налога 35,6%

Фонд заработной платы


Таблица 8.

№ п/п

Должность

Трудо- емкость

Оклад, руб.

Осн. ЗП

Доп. ЗП

Фонд зарплаты

Отчисления на соц. страх.

1

Руководитель

30 ч

3 200

579,00

115,80

694,80

247,35

2

Исполнитель

97 ч

1 500

4 850,00

970,00

5 820,00

2 071,92

3

Консультант по экон.

20 ч

2 500

302,00

60,40

362,40

129,01

4

Консультант по БЖД

2 500

302,00

60,40

362,40

129,01


ИТОГО



6 033,00

1 206,60

7 239,60

2 577,30

 

4.2.3  Расчет затрат на материалы и комплектующие изделия

В этой статье учитывается суммарная стоимость материалов и комплектующих изделий, а также затраты на их приобретение и доставку. Расчет стоимости материалов и комплектующих изделий заносятся в таблицы.

Затраты на приобретение основных и вспомогательных материалов.

Таблица 9.

№ п/п

Наименование материала

Ед. измерения

Расход

Цена за ед., руб.

Сумма затрат, руб.

1

Бумага писчая

уп.

2

165,00

330,00

2.

Дискеты 1,44 М

шт.

4

50,00

200,00

3

Тонер принтера

шт.

1

850,00

850,00





Итого:

1 380,00

 

4.2.4  Расчет энергетических затрат

В составе энергетических затрат определяются затраты на электроэнергию, отопление и воду, израсходованные на технологические нужды при выполнении исследования.

Расчет стоимости потребляемой электроэнергии производится по формуле

Зэ = Пм kм Т Ц,  (2)

где Зэ - затраты на электроэнергию, руб.;

Пм - паспортная мощность электрооборудования, кВт;

kм - коэффициент использования мощности электрооборудования, 0,8;

Т - время работы электрооборудования, ч;

Ц - цена 1 кВт × ч электроэнергии, руб.

Затраты на электроэнергию

Таблица 10.

№ п/п

Наименование оборудования

Номинальная потребляемая мощность, Вт

Число ед. оборудования

Суммарная потребляемая мощность, Вт

Время работы

Расход электроэнергии, кВт ч

Стоимость 1 кВт ч, руб.

Стоимость электроэнергии, руб.


Компьютер

450

1

450

350

157,5

0,63

99,23


Принтер

110

1

110

10

1,1

0,63

0,69







Итого:

99,92


Затраты на освещение, отопление и водоснабжение устанавливаются на основании данных о расходовании воды, пара, электроэнергии и стоимости их единицы.

Расход электроэнергии на освещение определяется по формуле

осв = Нэ Sп Вэф Восв, (3)

где Нэ - норма расхода электроэнергии на освещение 1 м2 площади, кВт × ч/м2;

Sп - освещаемая площадь помещения, м2;

Вэф - планируемое количество дней работы;

Восв - время искусственного освещения в сутки, ч.

Подставляя в выражение (3) числовые значения, получаем

Qосв = 0,1´21´97´5 = 1 018,5 кВт ч

Отсюда затраты на освещение:

018,5´0,63 = 641,66 руб.

С учетом электроэнергии потребляемой оборудованием, затраты на электроэнергию составят:

,92 + 641,66 = 741,57 руб.

Затраты на отопление определяем, исходя из нормы оплаты на 1 м2 отапливаемого помещения и длительности отопительного сезона по формуле

Пот = Нот Sп Вэф/30,   (4)

где Нэ - норма оплаты за отопление 1 м2 площади, руб/мес;

Sп - отапливаемая площадь помещения, м2;

Вэф - планируемое количество дней работы;

Подставляя в выражение (4) числовые значения, получаем

Пот = 6,14´21´97/30 = 416,91 руб.

Расход воды на хозяйственные нужды (мытье помещений и аппаратуры) Wм (м3) вычисляется по формуле

м = Нw Sп Вэф / 1000,  (5)

где Нw - норма расхода воды на 1 м2 площади пола в сутки (1,5 л);

Sп -площадь помещения, м2;

Вэф - планируемое количество дней работы.

Подставляя в выражение (5) числовые значения, получаем

Wм = 1,5´31´97/1000 = 3,06 м3.

Расход воды на санитарно-гигиенические нужды Wс определяется следующим образом, м3:

Wc = H′w Ряв Вэф / 1000,      (6)

где H′w - норма расхода воды в сутки на одного человека (100 л);

Ряв - явочное число работников;

Вэф - планируемое количество дней работы.

Подставляя в выражение (6) числовые значения, получаем

Wc = 100´1´97/1000 = 9,7 м3.

С учетом средней стоимости одного кубометра воды 16,47 руб. получаем суммарные затраты на воду:

(30,6 + 9,7)´16,47 = 210,08 руб.

Для определения общей суммы текущих (эксплуатационных) затрат составим таблицу. Смета рассчитана по отдельным статьям, отражающим состав текущих затрат при выполнении исследования, которые включают основные и накладные расходы.

К основным расходам относятся затраты на материалы, заработная плата и амортизация.

Накладные расходы, включающие затраты на содержание учебно-вспомогательного и административно-управленческого персонала, на отопление, освещение, содержание в чистоте и ремонт зданий, канцелярские и прочие хозяйственные расходы, принимаются в размере 35% от суммы основной и дополнительной заработной платы.

Смета затрат на проведение научно-исследовательской работы

Таблица 11.

№ п/п

Наименование статей затрат

Сумма, руб.

Удельный вес статей в общей сумме затрат

1

Материалы и комплектующие

1 380,00

6%

2

Энергетические затраты:

 



электроэнергия

741,57



отопление

416,91



водоснабжение

210,08


Итого:

1 368,56

6%

3

Основная ЗП

 



исполнителя

4 850,00



руководителя

579,00



консультантов

604,00


Итого:

6 033,00

28%

4

Дополнительная ЗП

1 206,60

6%

5

Единый соц. налог

2 577,30

12%

6

Амортизационные отчисления

6 680,00

31%

7

Накладные расходы

2 533,86

12%

Всего:

21 779,32

100%

 

4.3     Конкурентоспособность


Современные 8-разрядные RISC-микроконтроллеры занимают промежуточную нишу по своим техническим характеристикам между классическими 8-разрядными микроконтроллерами и их 16-разрядными кузенами. Высокая производительность и меньшая, чем у 16-разрядных МК, цена превращают RISC-микроконтроллеры в мощный инструмент для построения эффективных многофункциональных контроллеров, используемых в самых разнообразных приложениях.

Существующие микроконтроллеры типа PIC и AVR выпускаются ведущими зарубежными медицинскими фирмами (Microchip и Atmel), их стоимость намного выше, так как они производятся на основе импортных компонентов, при том, что они не вполне адаптированы под российские стандарты.

Производство отечественных микроконтроллеров не развито, несмотря на то, что разработки в этой области ведутся. Единственный на сегодня российский производитель ОАО «Ангстрем» не является на данном этапе мощным конкуретом, потому конкурентоспособность данной разработки достаточно высока

4.4 Определение социального эффекта

Внедрение описанного метода вейвлет-кодирования в систему биотехнического информационно-измерительного комплекса позволит существенно улучшить оперативный контроль за состоянием больного, быстро и в удобной форме получить информацию об измерениях жизненно важных параметров организма. Применение вейвлет-метода для регистрации и обработки сигнала повышает качество производимых измерений, за счет точности и быстродействия системы измерения и увеличения числа проводимых измерений. Освобождается время медицинского персонала для более качественного ухода за больными, более качественного выполнения назначений врача. Это дает возможность более эффективно использовать оборудование, в том числе и вычислительную технику и позволяет медицинскому персоналу большее внимание уделять уходу за больными.

Т.к. ранее экспериментальные данные обрабатывались вручную, экономический эффект рассчитаем по следующей формуле:

(7

где  - полная заработная плата работника, решавшего эту задачу вручную, руб./мес.;

 - полная заработная плата работника, решавшего эту задачу с помощью ЭВМ, руб./мес.;

tм.в. - машинное время, необходимое для решение задачи на ЭВМ;

Сэкс - эксплуатационные затраты, приходящиеся на 1 час машинного времени.

Учитывая, что ранее для решения данной задачи требовалось привлечение двух высококвалифицированных специалистов, подставляет числовые значения в выражение (7) и получаем

Э = 1,21´2500´2 - (150х7 + 1,21´1300´1) = 2377,00 руб.

Получаем ожидаемый годовой экономический эффект - 28 524,00 руб.

.5 Структурная схема бизнес-плана

Принципиальные позиции плана.

Бизнес-план является одним из первых обобщающих документов обоснования инвестиций и содержит укрупненные данные о планируемой номенклатуре и объемах выпуска продукции, характеристики рынков сбыта и сырьевой базы, потребность производства в земельных, энергетических и трудовых ресурсах, а также содержит ряд показателей, дающих представление о коммерческой, бюджетной и экономической эффективности рассматриваемого проекта и в первую очередь представляющих интерес для участников-инвесторов проекта. Расчеты показателей адаптированы к требованиям и условиям современного отечественного и зарубежного инвестирования

. Основные цели разработки:

·   организация массового использования вейвлет-кодеров и распространение их в России и за рубежом;

·   представление в аренду и оказание платных услуг населению.

·   мониторинг состояния здоровья в процессе проведения нагрузочно-оздоровительных мероприятий;

·   контроль показателей здоровья при реабилитации пациентов в условиях амбулаторного лечения;

2. Описание главных областей применения:

·   экспресс-контроль и прогноз показателей здоровья у лиц, заключающих договоры медицинского страхования;

·   клиническая диагностика;

·   консультационные услуги в домашних условиях;

·   прогноз показателей здоровья у тяжелобольных.

З. Возможности системы:

- биотелеметрия;

·   электронная база данных;

·   визуальный контроль качества записи;

·   автоматический анализ и вычисление параметров ЭКГ;

·   суточный прогноз состояния.

4.       Возможные рынки сбыта данной разработки:

·   медицинские учреждения Комитетов по здравоохранению: поликлиники, больницы, медсанчасти и т.д.;

·   специализированные медицинские учреждения;

·   медицинские центры по оказанию платных услуг населению;

·   санатории и профилактории;

·   семейные врачи и простое население;

5.       Планируемый объем продажи прибыли в прогнозах:

·   1 квартал - 10 шт. - 30000 руб.;

- 2 квартал - 20 шт. - 25000 руб.;

·   4,5 квартал - 30 -40 шт. - 20000 руб.;

·   6,7 квартал - 50 - 60 шт. - 15000 руб.;

·   8,9 квартал - 70 - 80 шт. - 10000 руб.;

·   10,11,12 квартал - 90 100 шт. - 5000 руб.

6.       Потенциальные возможности разработки на рынке:

·   приобретение клиентуры;

·   известность на рынке;

·   гибкая система скидок;

·   рост объема продаж;

·   внедрение новых технологий;

·   растущий спрос на относительно дешевые и простые для практического использования компьютерные системы мониторинга показателей здоровья.

Выводы по главе 4

На основании расчетов, приведенных в данной главе, можно сделать вывод, что разработка алгоритмов и программного обеспечения для микропроцессорного блока управления имеет высокую конкурентоспособность и, следовательно, должен завоевать отечественный рынок.

Данная разработка позволит качественно повысить состояние обследуемых больных, сократить время нахождения в стационаре, улучшить их психологическое состояние и тем самым общество получит более здоровых и трудоспособных граждан.

информация организм вейвлет преобразование

Глава 5. Безопасность жизнедеятельности

.1 Анализ потенциальных опасных и вредных факторов, воздействующих на разработчика и пользователя математического метода вейвлет-преобразования.

Безопасность жизнедеятельности - это комплекс мероприятий, направленных на обеспечение безопасности человека в среде обитания. Охрана здоровья трудящихся, обеспечение безопасности условий труда, ликвидация профессиональных заболеваний и производственного травматизма составляет одну из главных забот человеческого общества. Особенно это актуально в наше время, когда стремление людей использовать экологически чистую продукцию чрезвычайно велико, а во главу угла на любом рабочем месте ставятся достойные условия труда, которые работодатель и старается обеспечить.

В современном мире темпы жизни велики и продолжают ускоряться, условия труда меняются и соответственно меняются мероприятия, необходимые для обеспечения безопасности. Например, еще лет 15 тому назад вычислительная техника не была настолько распространена, а сейчас компьютеры есть повсеместно. Развитие вычислительной техники сделало широкодоступным огромные информационные ресурсы, вовлекло в индустрию переработки информации миллионы людей. Сейчас трудно найти отрасль науки или техники, где не использовались бы компьютеры. Видоизменяя практическую деятельность человека, они породили большое число технических, психофизиологических, медицинских, эргономических проблем, без современного решения которых невозможно полно реализовать потенциальные возможности как современной вычислительной техники, так и работающего на ней человека. Кажущаяся простота работы на ЭВМ обманчива, на что указывают и субъективные ощущения работников, и те публикации, которые, опираясь на многочисленные исследования, констатируют вредность этой работы. Работа программиста относится ко второй категории тяжести по воздействию факторов производства на здоровье человека и его работоспособность.

.1.1 Анализ потенциально опасных и вредных факторов на рабочем месте

Работа пользователя ЭВМ и ПЭВМ, помимо напряженного нервно-эмоционального характера труда, повышенной нагрузки на зрительный анализатор, недостатка подвижности и физической активности, сопровождается и воздействием на его организм электромагнитных и электростатических полей, шума, неудовлетворительного освещения и микроклимата.

Действующие “Единые санитарные нормы и правила для пользователей информационно-вычислительной техникой” не имеют достаточно обоснованной регламентации условий труда. Эти нормы лишь указывают на то, что ЭВМ являются источниками широкополосных электромагнитных излучений: мягкого рентгеновского, ультрафиолетового, ближнего инфракрасного, радиочастотного диапазона, сверх- и инфранизкочастотного, а также электростатических полей. Кроме того, они создают аэроионные потоки и электростатическое поле.

Особенностью труда операторов вычислительной техники является повышенное зрительное напряжение, связанное со слежением за информацией. Оператор утомляется из-за постоянного мелькания, неустойчивости и нечеткости изображения, необходимости частой переадаптации глаз к освещенности дисплея и общей освещенности помещения. Неблагоприятно влияют на зрение разноудаленность, нечеткость и слабая контрастность изображения на экране, расплывчатость, яркие вспышки света, плохое качество исходного документа, используемого при работе в режиме ввода данных. На органы зрения воздействует появление ярких пятен за счет отражения светового потока на клавиатуре и экране, различие в освещенности рабочей поверхности и ее окружения.

Помимо этого пользователь длительное время имеет дело с поверхностями разной яркости: экран дисплея и окружающие предметы. При переводе взгляда от ярко освещенного предмета на поверхность, менее освещенную, например клавиатуру, документ или какой-либо другой предмет, у пользователя наступает астенопия, т.е. утомляемость глаза. В результате человек за компьютером быстро утомляется, у него ухудшается внимание, снижается работоспособность, что вызывает реакцию психического напряжения (стресс).

Хотя в состоянии стресса у операторов ПК отмечается повышение работоспособности, общая собранность, более четкие действия, ускоряется двигательная реакция, однако механизм эмоциональной стимуляции имеет физический предел, за которым наступает отрицательный эффект, когда психической напряжение, достигая максимального уровня, утрачивает свое прямое, выработанное в процессе эволюции назначение - повышение физической и психической активности человека и даже переутомление. Стрессы являются причиной головокружений, тошноты, депрессий, стенокардии, снижении трудоспособности, легкой возбудимости, невозможности долго концентрировать внимание, хронических головных болей, нарушений сна, отсутствия аппетита.

 

.1.2 Факторы, влияющие на зрение

Недостаточность освещения приводит к напряжению зрения, ослабляет внимание, приводит к наступлению преждевременной утомленности. Чрезмерно яркое освещение вызывает ослепление, раздражение и резь в глазах. Неправильное направление света на рабочем месте может создавать резкие тени, блики, дезориентировать работающего. Все эти причины могут привести к несчастному случаю или профзаболеваниям, поэтому столь важен правильный расчет освещенности.

Согласно СНиП II-4-79 в помещениях вычислительных центров необходимо применить систему комбинированного освещения.

Кроме того, все поле зрения должно быть освещено достаточно равномерно - это основное гигиеническое требование. Иными словами, степень освещения помещения и яркость экрана компьютера должны быть примерно одинаковыми, т.к. яркий свет в районе периферийного зрения значительно увеличивает напряженность глаз и, как следствие, приводит к их быстрой утомляемости.

5.1.3 Параметры микроклимата

Вычислительная техника является источником существенных тепловыделений, что может привести к повышению температуры и снижению относительной влажности в помещении.

Параметры микроклимата могут меняться в широких пределах, в то время как необходимым условием жизнедеятельности человека является поддержание постоянства температуры тела благодаря терморегуляции, т.е. способности организма регулировать отдачу тепла в окружающую среду. Принцип нормирования микроклимата - создание оптимальных условий для теплообмена тела человека с окружающей средой.

В помещениях, где установлены компьютеры, должны соблюдаться определенные параметры микроклимата. В санитарных нормах СН-245-71 установлены величины параметров микроклимата, создающие комфортные условия. Эти нормы устанавливаются в зависимости от времени года, характера трудового процесса и характера производственного помещения

Объем помещений, в которых размещены работники вычислительных центров, не должен быть меньше 19,5м3/человека с учетом максимального числа одновременно работающих в смену.

Для обеспечения комфортных условий используются как организационные методы (рациональная организация проведения работ в зависимости от времени года и суток, чередование труда и отдыха), так и технические средства (вентиляция, кондиционирование воздуха, отопительная система).

 

.1.4 Шум и вибрация

Шум ухудшает условия труда, оказывая вредное действие на организм человека. Работающие в условиях длительного шумового воздействия испытывают раздражительность, головные боли, головокружение, снижение памяти, повышенную утомляемость, понижение аппетита, боли в ушах и т. д.

Уровень шума на рабочем месте математиков-программистов и операторов видеоматериалов не должен превышать 50дБА, а в залах обработки информации на вычислительных машинах - 65дБА. Для снижения уровня шума стены и потолок помещений, где установлены компьютеры, могут быть облицованы звукопоглощающими материалами. Уровень вибрации в помещениях вычислительных центров может быть снижен путем установки оборудования на специальные виброизоляторы.

 

.1.5 Электромагнитное и ионизирующее излучения.

Большинство ученых считают, что как кратковременное, так и длительное воздействие всех видов излучения от экрана монитора не опасно для здоровья персонала, обслуживающего компьютеры. Однако исчерпывающих данных относительно опасности воздействия излучения от мониторов на работающих с компьютерами не существует и исследования в этом направлении продолжаются. Существует мнение, что электромагнитные поля дисплеев могут инициировать изменения в клетках вплоть до нарушения синтеза ДНК, а пульсирующие излучения очень низкой частоты оказывают и прямое негативное воздействие на белые кровяные клетки.

Хотя дисплеи и являются потенциальными источниками УФ, в реальных условиях уровни УФ-А излучения (320 - 400 мкм) в десятки раз ниже допустимого уровня 10 Вт/см. В остальных диапазонах (УФ-В, УФ-С) ультрафиолетового излучения вообще не регистрируется.

То же самое можно сказать и о мягком рентгеновском излучении, которое в несколько раз ниже нормы 100 мкР/с. А та часть рентгеновского излучения, которая остается не поглощенной экраном, слишком мала и не представляет серьезной опасности. Так, на расстоянии 5 см от экрана зафиксировано всего от 0,05 до 0,1 млР/ч, т.е. в 10 раз меньше излучения, которое используется для получения рентгеновских снимков. На расстоянии 20 - 30 см от экрана приборы уже ничего не фиксируют, т.е. рентгеновское излучение на этом расстоянии практически отсутствует.

Следует отметить, что большинство мониторов создает повышенный уровень электростатического поля: 58 и 7 кВ/м на расстоянии 5 и 30 см от экрана соответственно у немецких дисплеев, 75/90 и 8/9 - у американских, 72 и 9 - у тайваньских, 75 и 11 - у польских.

Допустимые значения параметров неионизирующих электромагнитных излучений от монитора компьютера представлены в табл. 1.1

Таблица 12. Допустимые значения параметров неионизирующих электромагнитных излучений (в соответствии с СанПиН 2.2.2.542-96)

Наименование параметра

Допустимые значения

Напряженность электрической составляющей электромагнитного поля на расстоянии 50см от поверхности видеомонитора

10В/м

Напряженность магнитной составляющей электромагнитного поля на расстоянии 50см от поверхности видеомонитора

0,3А/м

Напряженность электростатического поля не должна превышать: для взрослых пользователей для детей дошкольных учреждений и учащихся средних специальных и высших учебных заведений

20кВ/м 15кВ/м


Для снижения воздействия этих видов излучения рекомендуется применять мониторы с пониженным уровнем излучения (MPR-II, TCO-92, TCO-99) и устанавливать защитные экраны.

Необходимо отметить, что в последнее время стали приобретать широкое распространение жидкокристаллические мониторы (LCD - (Liquid Crystal Display), преимуществом которых перед обычными ЭЛТ (на электронно-лучевой трубке) является, прежде всего, отсутствие вредных для человека электромагнитных излучений и компактность.

5.1.6 Эргономические требования к рабочему месту

Программист проводит свой рабочий день в основном в сидячем положении, что само по себе способствует развитию заболеваний, связанных с малоподвижным образом жизни, но во избежание развития более серьезных последствий, необходимо занимать во время работы правильную позу, иметь удобную мебель, расположение на столе всех предметов должно быть также удобным, т.е. рабочее место и расположение всех его элементов должно соответствовать антропометрическим, физическим и психологическим требованиям. Существуют определенные требования к проектированию рабочего места, определяющие такие параметры как длина/высота столешницы, высота стула, расположение клавиатуры и пр.

.1.7 Электробезопасность

Для обеспечения электробезопасности должна быть исключена возможность контакта пользователя с токоведущими элементами, находящимися под напряжением. Для этого розетки, разъемы и провода размещены в недоступных или закрытых для пользователей местах.

Электропроводка в помещении выполнена в соответствии с требованиями ПУЭ, инструкциями по проектированию электрооборудования общественных зданий массового строительства ВСН 19-74 и СНиП 111-33-76. Провода и кабели, применяемые для электропроводки, имеют изоляцию, рассчитанную на напряжение переменного тока не ниже 500 В.

Выбор сечения проводников питания в зависимости от их вида, тока нагрузки и способа прокладки проведен согласно пп. 1.3.1 - 1.3.11 ПУЭ.

Устройство распределительных щитов произведено в соответствии с ПУЭ. Токоведущие части в распределительных щитах закрыты сплошным ограждением с замком. Распределительные щиты снабжены кнопкой аварийного отключения, обеспечивающей отключение электропитания всего помещения (за исключением общего освещения). К работе с электроприборами допускаются лица, прошедшие инструктаж по правилам эксплуатации ВТ и технике безопасности, оформленные в надлежащем порядке в специальном журнале.

5.1.8 Противопожарная безопасность

При воздействии пожара на людей возникают такие опасные факторы, как открытый огонь и искры, повышенная температура воздуха и предметов, токсичные продукты горения, дым, пониженное содержание кислорода в воздухе, обрушение и повреждение зданий, сооружений и технологических установок.

Предотвращение образования источников зажигания в горючей среде достигается: регламентацией применения и режима эксплуатации оборудования, которое может явиться источниками зажигания; применением электрооборудования, соответствующего классу пожаровзрывоопасности помещения; применением оборудования, удовлетворяющего требованиям электростатической искробезопасности; устройством молниезащиты зданий, сооружений, оборудования. Система пожарной защиты предусматривает применение средств пожаротушения, коллективных и индивидуальных средств защиты, эвакуацию людей. В служебных помещениях должны быть вывешены «Планы эвакуации людей при пожаре», регламентирующие действия персонала в случае возникновения очага возгорания и указывающий места расположения пожарной техники, а в необходимых местах размещены ручные огнетушители - углекислотные ОУ-8.

5.1.9 Оценки факторов рабочей среды

Таблица 13.

№ п/п

Наименование

Содержание работ

Класс условий труда

1

Температура воздуха на рабочем месте, °С:

20-23

1

2

Влажность, %

40-60

1

3

Скорость движения воздуха, м/с

0,1

1

4

Освещенность (естест-венная, искусственная)

Люминесцентные лампы.

1


Рабочая поза

Вынужденная продолжительность сидения в одной и той же рабочей позе. Нет возможности регулировки параметров рабочего стула. Неудобство расположение клавиатуры и дисплея.

3

6

Число важных объектов наблюдения

7 - 9 

2

7

Число сигналов в час

200-300

3

8

Режим труда и отдыха

Обоснованный без применения функциональной музыки и гимнастики

2

9

Продолжительность непрерывной работы в течение суток, час

до 8

2

10

Длительность сосредо-точенного наблюдения, % от времени рабочей смены

50 - 60 

3


5.1.10 Определение категории тяжести работ

Комплексная оценка факторов рабочей среды производится с учетом медико-физиологической классификации тяжести работ. Тяжесть работ - это степень совокупного воздействия всех факторов производства на здоровье человека и его работоспособность. Классификация выделяет шесть категорий тяжести работ Для определения категории тяжести работ каждый из факторов рабочей среды, действующих на человека на рабочем месте, оценивается по шестибальной системе, согласно критериям балльной оценки факторов рабочей среды. Затем была определена интегральная балльная оценка условий труда по формуле:

Ит = [Xmax + (6 - Xmax) / (6 x (n - 1)) x SUM (Xi)] x 10

где Хmах - наивысшая из полученных бальных оценок;

Xi - бальная оценка по i-ому из учитываемых факторов;

n - число учитываемых факторов без максимальных (Хmах).

Подставив полученные значение в данное уравнение, получим:

Ит = [3 + (6 - 3) / (6 х (9-1) * 19) *10 = (3 + 1,19)*10 = 41,9.

Таблица 14. Категория тяжести труда

Интегральная балльная оценка

до 18

19...33

34...45

46...52

53...58

59...60

Категория тяжести

I

П

III

IV

V

VI


Из табл. 14 видно, что работа программистом соответствует III категории тяжести труда.

.2 Разработка организационных и технических мероприятий по обеспечению электробезопасности на рабочем месте

Помещение по опасности поражения электрическим током можно отнести к 1 классу, т.е. это помещение без повышенной опасности (сухое, не пыльное, с нормальной температурой воздуха, изолированными полами и малым числом заземленных приборов).

На рабочем месте из всего оборудования металлическим является лишь корпус системного блока компьютера, но здесь используются системные блоки, отвечающие стандарту фирмы IBM, в которых кроме рабочей изоляции предусмотрен элемент для заземления и провод с заземляющей жилой для присоединения к источнику питания. Таким образом, оборудование обменного пункта выполнено по классу 1 (ПУЭ).

Электробезопасность помещения обеспечивается в соответствии с ПУЭ. Опасное и вредное воздействие на людей электрического тока, электрической дуги и электромагнитных полей проявляется в виде электротравм и профессиональных заболеваний.

Степень опасного и вредного воздействия на человека электрического тока, электрической дуги и электромагнитных полей зависит от:

·   Рода и величины напряжения и тока

·   Частоты электрического тока

·   Пути тока через тело человека

·   Продолжительности воздействия на организм человека

Электробезопасность в помещении лаборатории обеспечивается техническими способами и средствами защиты, а так же организационными и техническими мероприятиями.

В течении работы на корпусе компьютера накапливается статическое электричество. На расстоянии 5-10 см от экрана напряженность электростатического поля составляет 60-280 кВ/м, то есть в 10 раз превышает норму 20 кВ/м. Для уменьшения напряжённости применяются увлажнители и нейтрализаторы, антистатическое покрытие пола.

Электробезопасность обеспечивается в соответствии с ГОСТ 12.1. 030. - 81, техническими способами и средствами защиты, а так же организационными и техническими мероприятиями. Опасное и вредное воздействие на людей электрического тока проявляется в виде электротравм и профессиональных заболеваний.

Рассмотрим основные причины поражения электрическим током на рабочем месте:

1. Прикосновение к металлическим нетоковедущим частям системного блока ПЭВМ, которые могут оказаться под напряжением в результате повреждения изоляции.

2. Запрещенное использование электрических приборов, таких как электрические плиты, чайники, обогреватели.

Так как все токоведущие части ЭВМ изолированы, то случайное прикосновение к токоведущим частям исключено, а для обеспечения защиты от прикосновения к металлическим нетоковедущим частям, которые могут оказаться под напряжением в результате повреждения изоляции, можно применить защитное заземление.

Заземление корпуса ЭВМ обеспечено подведением заземляющей жилы к питающим розеткам. Сопротивление заземления 4 Ом, согласно (ПУЭ) для электроустановок с напряжением до 1000 В.

Основным организационным мероприятием является инструктаж и обучение безопасным методам труда, а так же проверка знаний правил безопасности и инструкций в соответствии с занимаемой должностью применительно к выполняемой работе.

Выводы по главе 5

В результате рассмотрения элементов составляющих факторов рабочей среды, было выявлено, что наиболее существенное влияние в качестве потенциально опасных и вредных факторов на рабочем месте оказывает непосредственная работа за персональным компьютером и нарушение режима труда и отдыха.

Для улучшения условий труда и были разработаны соответствующие организационные мероприятия и правила, постоянное выполнение и следование которым способно максимально защитить человека от пагубного воздействия вредных факторов. Необходимо отслеживать тщательное выполнение этих требований работниками и обязательно оговаривать в трудовом договоре при найме на работу. В случае нарушения правил, меры должны быть кардинальными - надо предусмотреть систему штрафов и иных административных наказаний вплоть до увольнения сотрудников. Руководству следует понимать, что пренебрежение безопасностью недопустимо, т.к. может нанести непоправимый ущерб, как здоровью самого человека, так и всему производству в целом.

Заключение

Осуществлён анализ представлений об информационной организации структур организма. Показано, что организм человека - сложная нелинейная система, взаимодействующая на информационном уровне с внешней и внутренней средой. Предложено использовать методы клинической информатики для оценки состояния организма. Показано, что для повышения скорости обмена информацией, необходимо использовать методы её оптимального кодирования. Предложено использовать методы сжатия информации в канале связи с помощью математического аппарата вейвлет-преобразования. Рассмотрены преимущества математического аппарата вейвлет-преобразования и осуществлён анализ основных его принципов. Предложено использовать аппарат вейвлет-преобразования для сжатия биотелеметрической информации. Рассмотрены классические методы компрессии биологических сигналов. Предложено использовать математический аппарат вейвлет-преобразования для обработки биологических сигналов, имеющих всплесковый характер. Рассмотрены принципы декомпозиции и реконструкции сжимаемого сигнала с помощью вейвлет-преобразования. Показано, что процедура компрессии содержит три этапа: декомпозиция, пороговая обработка коэффициентов детализации, реконструкция. Осуществлена компрессия различных биологических сигналов, имеющих различную природу. Показано, что потери информации при компрессии/декомпрессии составляет не более 1% при коэффициенте сжатия, равном 8.

Предложено использовать RISC микроконтроллеры серии AVR AT90 фирмы “ATMEL” для реализации предложенных методов вейвлет-преобразования при компрессии/декомпрессии медико-биологической информации и передаче её по каналу радиотелеметрии.

Список литературы:

1.       Астафьева Н.М. Вейвлет-анализ: основы теории и примеры применения. // Успехи физических наук. - 1996. - Том 166, №11. - с. 1145-1170.

.        Баевский Р.М. Прогнозирование состояния на грани нормы и патологии.- М.: Мир, 1976.- С. 21.

.        Баевский Р.М., Кирилов О.И., Клецкин С.В.Математический анализ изменений сердечного ритма при стрессе. - М.: Наука, 1984. -219с.

.        Гутников В.С. Фильтрация измерительных сигналов. - Энергоатомиздат, Ленингр. отд-ние, 1990.-192с.

.        Мала С. Вэйвлеты в обработке сигналов. - М.: Мир, 2005. - С. 27-30

.        Мастрюков Д.В. Алгоритмы сжатия информации. Часть 2. Арифметическое кодирование. // Монитор.- 1994.-№1.-С. 21-32.

.        Микрокомпьютеры в физиологии. Под ред. П. Фрейзера. - М.: Мир, 1990. - 383с.

.        Абрамов Л.А. Основы кодирования и декодирования телеметрической информации: Учеб.пособие.- Харьков, 1977.- 82 c.

.        Бакалов В.П. Методы биотелеметрии.- Л.: Наука, 1983.- 176 с.-(Методы физиологических исследований).

.        Бакалов В.П., Миррахимов М.М. Теоретические проблемы биотелеметрии / АН Киргизской ССР. - Фрунзе,1978.- 308c.

.        Витерби А.Д., Омура Дж.К. Принципы цифровой связи и кодирования :Пер. с англ./Под ред. К.Ш. Зигангирова.-М.: Радио и связь, 1982.-536 с., ил.-(Стат. теория связи; Вып.18).

.        Дмитриев В.И., Хромов В.В. Помехоустойчивое кодирование в системах передачи данных: Учеб.пособие.- Л.: Изд. ЛПИ, 1988.- 80 с.

.        Муттер В.М. Основы помехоустойчивой телепередачи информации.-Л.:Энергоатомиздат. Ленингр.отд-ние, 1990.- 288 с., ил.

.        Хэмминг Р.В. Теория кодирования и теория информации: Пер. с англ.-М: Радио и связь, 1983.-176 с.,ил.

.        Гуткин В.И., Рогалев В.А. Безопасность жизнедеятельности и чрезвычайные ситуации, СПб; МАНЭБ, 2006

. Гуткин В.И., Мельникова Е.В. Безопасность жизнедеятельности. Основы физиологии и рациональные условия деятельности. ; Учебное пособие.- СПб; СЗТУ, 2003

Похожие работы на - Применение метода вейвлет-кодирования для сжатия и реконструкции физиологической информации, передаваемой по каналу радиотелеметрии

 

Не нашли материал для своей работы?
Поможем написать уникальную работу
Без плагиата!
Без нейросетей!