Планирование потребности в материально-технических ресурсах предприятия

  • Вид работы:
    Контрольная работа
  • Предмет:
    Менеджмент
  • Язык:
    Русский
    ,
    Формат файла:
    MS Word
    90,39 kb
  • Опубликовано:
    2012-03-16
Вы можете узнать стоимость помощи в написании студенческой работы.
Помощь в написании работы, которую точно примут!

Планирование потребности в материально-технических ресурсах предприятия

Оглавление

Введение

. Теоретическая часть

.1 Цели, задачи и содержание планирования потребности в материально-технических ресурсах

.2 Определение потребности в материально-технических ресурсах

.3 Изучение рынка сырья и материалов

.4 Планирование закупок материальных ресурсов

. Практическая часть

.1 Характеристика ОАО «АТФ»

.2 Работа планово-экономического отдела ОАО «АТФ»

Заключение

Список использованных источников

Введение


Ввиду того, что современная экономическая жизнь предприятий крайне сложна, на такие важные элементы управления, как планирование, распределение прибыли, рентабельности, составление баланса доходов и расходов влияют на будущее предприятия, причем если влияние одних факторов буквально «лежит на поверхности» и видно даже неспециалистам, то влияние многих других не так очевидно и грамотно оценить их влияние может только тот человек, который в совершенстве владеет методикой экономического анализа[4].

Планирование - это процесс разработки и принятия целевых установок в количественном и качественном выражении, а также определение путей их наиболее эффективного достижения[6].

Чем крупнее фирма и больше видов деятельности, тем требуется более сложная система внутрифирменного планирования. Однако есть и малые фирмы, где требуется ежедневный учет и более сложная система, чем система на некоторых крупных предприятиях.

Цель контрольной работы заключается в изучении планирования потребности в материально - технических ресурсах предприятия.

Для достижения цели необходимо решить следующие задачи:

-       на основании литературных данных рассмотреть теоретические аспекты планирования потребности в материально - технических ресурсах предприятия как элемента хозяйственного управления предприятием;

-       изучить основные характеристики работы планово-экономического отдела на конкретном предприятии.

Перейдем к рассмотрению теоретического раздела работы.

1. Теоретическая часть

 

.1 Цели, задачи и содержание планирования потребности в материально-технических ресурсах


Планирование ресурсов осуществляется в форме баланса материально-технического обеспечения, в котором рассчитывается потребность в материалах и определяется объем их поставки предприятию.

Планированию ресурсов предшествует анализ выполнения плана материально-технического снабжения по объему, ассортименту и качеству поступающих материалов.

План по ресурсам разрабатывается на основе следующих показателей: производственной программы; нормативов и норм расхода сырья, материалов, полуфабрикатов, топлива; комплектующих изделий; разработанных мероприятий по экономии материальных ресурсов; плана капитального строительства; остатков материальных ресурсов на начало и конец планируемого года; цен на все виды ресурсов.

План по ресурсам должен предусматривать[7]:

-       обеспечение количественного соответствия потребности в материальных ресурсах планируемому объему производства;

-       согласование календарных сроков поступления материалов со сроками запуска их в производство;

-       обеспечение необходимой номенклатуры и качества материальных ресурсов;

-       осуществление оптимального управления запасами ресурсов.

Нормы расхода могут быть подетальными (операционными), по-узловыми (постадийными) и на изделие в целом.

Службу материально-технического снабжения возглавляет отдел МТС (ОМТС). Задача ОМТС - бесперебойное материальное обеспечение производства в соответствии с планом выпуска продукции. Структура ОМТС показана на рис. 1.1.

Рисунок 1.1 - Структура службы МТС предприятия[2]

Основные функции ОМТС:

-       разработка нормативов запасов материальных ресурсов;

-       планирование потребности в материальных ресурсах и в увязка ее с планом производства и нормативами запасов;

-       поиск поставщиков, оценка вариантов поставок и выбор поставщиков по критериям качества поставляемых материалов, надежности поставщиков, цен, условий платежей и поставок, транспортно- заготовительных расходов и т.д.;

-       заключение договоров на поставки;

-       организация работ по доставке материальных ресурсов, контроль и оперативное регулирование выполнения договоров поставок;

-       организация приемки, обработки и хранения материальных ресурсов;

-       оперативное планирование и регулирование обеспечения производства материальными ресурсами;

-       учет, контроль и анализ расходования материальных ресурсов;

-       надзор за рациональным использованием материалов в производстве.

 

.2 Определение потребности в материально-технических ресурсах

планирование рынок материальный технический

Определение потребности в материальных ресурсах - центральное звено в планировании материально-технического снабжения предприятия. Потребность в материальных ресурсах складывается из потребности в ресурсах на основное производство, потребности на создание и поддержание переходящих запасов на конец планового периода и потребности на другие виды хозяйственной деятельности, включая и непроизводственную.

При расчете потребности в материальных ресурсах необходимо учитывать наличие средств для их покрытия. Источники покрытия могут быть собственными или заемными. Потребность в материальных ресурсах планируется по всей номенклатуре материалов в стоимостном и натуральном выражении. Объемы и сроки поставок материалов на предприятие обусловливаются режимом их производственного потребления, созданием и поддержанием необходимого уровня производственных запасов.

Объем требуемых материальных ресурсов складывается из потребности в материалах, необходимых для внедрения новой техники, для изготовления оснастки и инструмента, на эксплуатационные и технологические нужды, на создание необходимого задела незавершенного производства и на образование переходящих запасов. Потребность в материальных ресурсах определяется на основе баланса МТО предприятия с учетом остатков и внутренних источников обеспечения.

Определение потребности в материальных ресурсах можно осуществить тремя методами: детерминированным - на основе планов производства и нормативов расхода; стохастическим - на основе вероятностного прогноза с учетом потребностей за прошлые периоды; оценочным - на основе опытно-статистической оценки. Выбор метода зависит от особенностей материальных ресурсов, условий их потребления и наличия соответствующих данных для проведения необходимых расчетов.

Наиболее распространен метод прямого счета, основанный на программе выпуска продукции и нормах расхода материалов на единицу выпускаемой продукции. Его называют поизделъным. Расчеты при этом методе производятся по формуле:

Р = Ни ∙ Пи, (1)

где Р - общая потребность в материале;

Ни - норма расхода на изделие;

Пи - программа производства данного изделия.

Подетальный метод расчета потребности в материальных ресурсах определяется по формуле:

Р = Нд ∙ Пд, (2)

где Нд - норма расхода на деталь;

Пд - программа производства детали в плановом периоде.

При методе по типовым представителям потребность в материальных ресурсах определяется по формуле:

Р = Нтип ∙ Побщ, (3)

где Нтип - норма расхода материалов на изготовление типового представителя;

Побщ - общая программа производства изделий данной группы.

Поиздельный и подетальный методы применяются для определения потребности в сырье, основных и вспомогательных материалах, входящих в состав выпускаемой продукции. Наибольшее применение эти методы нашли в электроэнергетике, машиностроении и металлообработке.

Методы прогнозирования потребности в материальных ресурсах применяются при внедрении новой техники. Эта потребность складывается из потребности в материалах опытных производств, исследовательских лабораторий и технических отделов.

Статистические методы определения потребности в материальных ресурсах основываются на использовании данных о фактическом расходе материальных ресурсов за прошлые периоды с учетом изменения структуры и объемов производства, а также норм расходов ресурсов, обусловленных использованием новой техники и совершенствованием организации производства. Потребность в материальных ресурсах определяется при этом по формуле:

Рп = Рпр - Кпр ∙ Кп, (4)

где Рп, Рпр - плановая потребность и фактический расход материальных ресурсов, соответственно в планируемом и прошлом периодах;

Кпр, Кп - коэффициенты динамических изменений соответственно производственной программы и расхода материальных ресурсов.

Применяется этот метод преимущественно при значительной номенклатуре материальных ресурсов и относительно небольших расходах.

Потребность в оборудовании (по видам) определяют исходя из производительности оборудования и плана производства продукции по видам:

                      n

                ∑ Нп Пп

Р = ¾¾¾¾¾¾¾¾¾ , (5)

Т ∙ Ксм ∙ tсм ∙ Ки.о ∙ Ки.н

где n - число видов продукции;

Нп - норма времени на изготовление единицы продукции;

Пп - программа производства продукции;

Т- число рабочих дней в плановом периоде;

Ксм - число рабочих смен;см - продолжительность смены;

Ки.о - коэффициент использования оборудования;

Ки.н - коэффициент изменения (повышения или снижения норм).

Потребность материальных ресурсов на образование переходящих запасов рассчитывают исходя из ожидаемого остатка материалов в запасах на начало планового периода по формуле:

Оож = Оф + Вож - Рож, (6)

где Оож - ожидаемый остаток на конец года;

Оф - фактический остаток на первое число месяца, в котором разрабатывался план МТО;

Вож - ожидаемые поступления на предприятие за период от даты, на которую определен фактический остаток, до начала планового периода;

Рож - ожидаемый расход за тот же период.

Баланс материально-технического обеспечения предприятия включает потребность в материалах на:

-       производство продукции (Рп);

-       внедрение новой техники (Рн.т);

-       ремонтно-эксплуатационные нужды (Ррэ);

-       образование задела незавершенного производства (Рн.п);

-       образование переходящих запасов (Рз).

Источниками покрытия этой потребности могут быть:

-       ожидаемые остатки на начало планового периода (Оож);

-       материалы в незавершенном производстве на начало планового периода (Он.п);

-       мобилизация внутренних ресурсов (Мвн);

-       приобретение и завоз материалов со стороны (Зс).

Таким образом, материальный баланс можно представить в следующем виде:

Рп + Рн.т + Ррэ + Рн.п + Рз = Оож + Он.п + Мвн + Зс. (7)

Приведенный баланс материально-технического обеспечения служит инструментом логистического управления движением материальных ресурсов на промышленных предприятиях.

1.3 Изучение рынка сырья и материалов


Планирование является основанием для принятия решения о закупке материальных ресурсов. При организации закупки материальных ресурсов на предприятиях необходимо определять потребность в материальных ресурсах по специфицированной номенклатуре на плановый период.

Процесс планирования предусматривает следующие этапы: исследование рынка сырья и материалов, определение потребности предприятия по всей номенклатуре потребляемых материалов, составление плана закупок материалов и стоимостный анализ заготовительной фирмы.

Исследование рынка сырья и материалов - один из элементов планирования материально-технического обеспечения предприятия. Изучение рынка сырья и материалов предполагает систематические сбор, обработку, анализ и оценку информации о предложении конкретных видов материалов, ассортименте и ценах на сырье, материалы, топливо и полуфабрикаты. При исследовании рынка сырья и материалов предприятие должно дать количественную оценку предложений необходимых ему материальных ресурсов в ассортименте и по предлагаемым ценам. Важное место в изучении этого рынка занимает анализ издержек по доставке материалов.

При анализе конкретных поставщиков сырья и материалов важная роль принадлежит информации о состоянии портфеля заказчика.

Исследование рынка сырья и материалов носит стратегический характер, поскольку решается вопрос о закупке материальных ресурсов. Вырабатывая стратегию снабжения, предприятие сравнивает собственные расходы на производство необходимых деталей с ценой аналогичных деталей у поставщика[5].

1.4 Планирование закупок материальных ресурсов


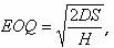
Наибольшую долю затрат большинства предприятий составляют расходы на создание материальных запасов. Одной из основных задач предприятия становится адаптация системы управления запасами к переменной величине материальной потребности, минимизация издержек в условиях зависимого спроса. В настоящее время для решения этой задачи часто используется модель экономичного размера заказа (Economic Order Quantity - EOQ):

 (8)

где EOQ - оптимальный размер заказа,-потребность в запасе в течение бюджетного периода (года, квартала);-операционные издержки по заказу (подготовка заявки, ведение переговоров, контроль выполнения поставки, осуществление расчетов, оформление возможных претензий контрагенту);-стоимость хранения запаса в течение бюджетного периода (года, квартала).

Данная модель управления запасами предполагает ряд допущений:

-       операционные издержки на один заказ не зависят от размера заказа;

-       стоимость хранения единицы запаса - величина постоянная;

-       цена материала не зависит от размера заказа.

Эти допущения зачастую оказываются неоправданно широкими - ведь при применении этой модели определить оптимальный размер заказа достаточно достоверно можно только при одинаковых размерах заказов и условий доставки, а также при равномерной периодичности осуществления заказов. Но в условиях зависимого спроса материальная потребность исходит из потребности производства, ориентированного на заказ покупателя. Такая потребность в материалах, как правило, не является величиной постоянной, а в условиях длительного цикла производства в некоторые периоды времени может быть просто равна нулю. Операционные издержки по заказу (оплата труда сотрудников, канцтовары, коммунальные услуги, амортизация помещений и оборудования) в основном состоят из условно-постоянных расходов и практически не зависят от размера заказа. Производная функции суммарных затрат на размещение заказа и хранение запаса в зависимости от размера заказа скорее всего не будет иметь нулевого значения, а модель - оптимального решения. Стоимость хранения запаса пропорциональна размеру заказа для неизменной загрузки склада, когда удельные затраты на хранение единицы запаса постоянны. Однако при разной загрузке склада, зависящей от размера заказа, затраты на хранение единицы запаса будут отличаться, к тому же условно-постоянные расходы имеют место и при пустом складе.

Для повышения достоверности применения модели определения экономичного размера заказа необходимо учесть дополнительные переменные. Так, расходы на доставку во многом зависят от размера заказа, вида транспортного средства, степени загрузки транспортной единицы, системе страхования, скорости доставки. При уменьшении размера заказа стоимость доставки заказа уменьшается, а в расчете на единицу материала увеличивается. Цена запаса также может зависеть от размера заказа. Поэтому в качестве критерия при определении наилучшего размера заказа целесообразно использовать суммарную стоимость затрат, приходящихся на единицу материала.

Поскольку материальные затраты определяются исходя из всех расходов, связанных с созданием запаса, то все составляющие стоимости материала разделим по отношению к потребителю на «внешние» и «внутренние». К «внешним» составляющим стоимости материала можно отнести зависимость цены от размера заказа и зависимость стоимости доставки от размера заказа. К «внутренним» составляющим отнесем затраты на оформление и контроль выполнения заказа; расходы на приемку товаров, учет, складирование и оформление претензий; расходы на хранение, зависящие от степени загрузки склада; расходы, связанные с расчетами по оплате материалов; возможные потери от «замораживания» оборотных средств.

Поскольку на момент планирования заказов предприятие располагает фактическими данными о ценах поставщика и стоимости доставки, то эти расходы можно спланировать достаточно точно. Однако фактическую стоимость внутренних расходов в это время определить затруднительно. Эти расходы приходится рассчитывать на основе предварительно разработанных нормативов, что влечет некоторую неточность[5].

2. Практическая часть

 

.1 Характеристика ОАО «АТФ»


ОАО «Архангельский траловый флот» - старейший промысловый флот на севере России, отмечающий в июне 2010 года 90 лет со дня своего основания. Это самое крупное рыбодобывающее предприятие Архангельской области.

До 14 октября 2006 года Архангельская база тралового флота была государственным унитарным предприятием. В настоящее время - это акционерное общество со стопроцентным государственным капиталом.

Предприятие сохранило развитую береговую структуру: это база технического обслуживания судов со своими цехами, доком, 300-метровой причальной линией. Есть свой грузовой участок с подъездными железнодорожными путями, складами, двумя холодильниками, вмещающими по 1000 тонн рыбопродукции. Работает тралотакелажная мастерская.

Предприятие основано в 1920 году. В середине 80-х годов (максимальные показатели работы предприятия) компания владела 40 судами, вела промысел практически во всех районах мирового океана (Африка, Северная и Южная Америка, Антарктика, Северо-Западное побережье Европы) вылавливала 150 тыс. тонн рыбы в год. Основной объем, рыбы вылавливался в отдаленных районах океана. С вступлением России в рыночные отношения, а также в связи с прекратившейся государственной поддержкой флотов (как финансовой, так и политической), работа крупнотоннажных судов, ведущих промысел в отдаленных районах океана, стала убыточна. К середине 90-х годов часть судов была переведена в Северо-Западную Атлантику, часть сдана в аренду, а часть распродана. В настоящее время ОАО «АТФ» имеет 21 судно. 3 судна не включены в производственный цикл общества по причине судебных споров с мавританской компанией SPP, остальные ведут промысел в Северо-Восточной Атлантике. Вылов составляет порядка 95 тыс. тонн в год. Основным видом деятельности ОАО «АТФ» является вылов и переработка рыбы. Краткая характеристика ОАО «АТФ» приведена в табл.2.1.

Таблица 2.1 -Краткая характеристика ОАО «АТФ»

Полное наименование открытого акционерного общества

Открытое акционерное общество «Архангельский траловый флот»

Свидетельство о государственной регистрации

Серия 29 № 01085384 от 14 октября 2006г.

Субъект Российской Федерации

Архангельская область

Юридический адрес

г. Архангельск, пр. Ленинградский, 324

Почтовый адрес

163030, г. Архангельск, пр. Ленинградский, 324

Контактный телефон

(8182) 61-13-15, 62-89-88

Факс

(8182) 61-21-97, 61-05-45

Адрес электронной почты

flot@abtf.arh.ru

Основной вид деятельности

Добыча, обработка и реализация морепродуктов и рыбопродуктов

Размер уставного капитала, тыс. руб.

Общее количество акций

15 318 983 (Пятнадцать миллионов триста восемнадцать тысяч девятьсот восемьдесят три) штуки

Номинальная стоимость обыкновенных акций, тыс. руб.

100 (сто) руб.

Сумма вклада Российской Федерации, тыс. руб.

1 531 898 300,00 (Один миллиард пятьсот тридцать один миллион восемьсот девяносто восемь тысяч триста) рублей

Доля Российской Федерации в уставном капитале, %

100%


Рынок мороженой рыбы Северо-Запада России можно условно разделить на два основных сегмента: вылов и переработка донных пород рыб (треска, пикша) и вылов и переработка разноглубинных пород рыб (путассу, сельдь, скумбрия). Сегодня на рынке присутствует ограниченное количество компаний, которые могут влиять на российский рынок. В общей сложности это 6-8 компаний, которые обеспечивают вылов порядка 90% всего объема североатлантической разноглубинной рыбы. Вход на рынок новых компаний ограничен в первую очередь стоимостью основных фондов для ведения промысла (стоимость современного траулера колеблется от 50 до 75 млн. долларов США). Возможность ведения неквотируемого лова, снимает ограничение развития по объемам. У рыболовных компаний имеется большое количество поставщиков и покупателей, поэтому в среднем по отрасли риски, связанные с зависимостью от каких-либо контрагентов минимальны. Рынок сбыта можно охарактеризовать практически как рынок чистой конкуренции. Множество предприятий производят одинаковую продукцию, которая практически не различается своими свойствами. В этом случае возможна только ценовая конкуренция, поэтом все усилия участников этого рынка направлены на снижение себестоимости и получение дополнительных конкурентных преимуществ посредством более низких, чем у конкурентов цен. Товарами-заменителями для разноглубинных пород является рыба, завозимая с Дальнего Востока и из Норвегии. При особенно большом притоке этих товаров-заменителей цена реализации может падать на 20-30%.

Доля общества на рынке российских производителей мороженой рыбы, добываемой в Северо-Восточной Атлантике, практически не изменилась и составляет по породам (Табл. 2.2.):

Таблица 2.2 - Доля рынка ОАО «АТФ» по ключевым сегментам

Наименование продукции

2006

2007

2008

2009

2010

Крупнейший игрок в 2010г.







Наименование

Доля

Путассу

8,8%

13,2%

16,3%

20,7%

19,8%

ОАО АТФ

19,8%

Сельдь

21,0%

13,8%

15,3%

15,6%

15,8%

ОАО АТФ

15,8%

Скумбрия

10,5%

7,8%

8,2%

20,0%

9,6%

ООО Морская звезда

16,7%

Треска

7,6%

7,6%

7,7%

7,6%

6,3%

Консорциум МТФ

7,4%

Пикша

8,0%

8,0%

7,9%

7,8%

6,9%

Консорциум МТФ

7,4%


В настоящее время спрос на продукцию ОАО «АТФ» падает. Большое влияние на спрос имеет платежеспособность населения.

Прогноз развития ОАО «АТФ» на ближайшую перспективу не утешителен. В основном, в этот период будут действовать факторы, ухудшающие результаты работы, а именно:

-       снижение объемов производства, что приведет к снижению выручки от реализации, а значит и прибыли;

-       рост стоимости топлива, электричества, что повлечет к увеличению себестоимости продукции и снижение прибыли;

-       увеличение затрат на содержание социальной сферы приведет к снижению прибыли.

Из-за снижения доходов населения вследствие финансового кризиса, в целом внешняя среда неблагоприятно влияет на работу ОАО «АТФ».

Общая численность работников ОАО «АТФ» по итогам 2011 года составила 1980 человек, из них 1404 - работники плавсостава флота (табл.2.3).

На данный момент Общество имеет достаточное количество плавсостава для поддержания бесперебойной работы тралового флота, ощущается дефицит кадров по должностям судоводитель, матрос-оператор.

В береговых подразделениях на данный момент трудятся 618 человек, из них - 446 в производственных подразделениях обеспечивающих работу флота и на рыбокомбинате, и 172 человек в непроизводственной сфере.

Рисунок 1 - Организационная структура управления ОАО «АТФ»


Таблица 2.3 - Социально-демографический состав ОАО «АТФ» на начало года, чел.

Показатели

2009

2010

2011

1 . Общая численность работников, всего

2046

1976

1980

В том числе:




мужчины

1740

1690

1693

женщины

306

285

287

2. Численность работников по возрастным группам:




до 18 лет

134

131

131

18-30 лет

352

339

340

31 -40 лет

708

682

684

41-50 лет

350

339

339

51 -59 лет

134

129

130

60 лет и более

368

356

356

3. Численность плавсостава

1462

1404

1407

4. Численность руководящего и вспомогательного персонала, всего

584

572

573

В том числе:




мужчины

340

332

332

женщины

244

240

241


С учетом прогноза увольнения работников, продолжается пополнение плавсостава за счет: подготовки и выдвижения работников плавсостава на вышестоящие должности, в том числе за счет работников, обучающихся заочно без отрыва от производства в морских учебных заведениях; привлечения молодых специалистов, выпускников специализированных морских учебных заведений. В 2011 году в ОАО «АТФ» приняты: 9 выпускников Государственной морской академии, 12 выпускников Архангельского мореходного училища и 6 выпускников Архангельского рыбопромышленного колледжа. Всего по договорам о целевой подготовке в ГМА обучается 97 курсантов, в АМУ - 24. Это позволит сохранить приток молодых специалистов в условиях дефицита, вызванного снижением объема выпуска в высших морских учебных заведениях: привлечения специалистов организаций морской отрасли, в том числе бывших работников ОАО «АТФ», из компаний, работающих под иностранным флагом.

2.2 Работа планово-экономического отдела ОАО «АТФ»

Планово-экономический отдел ОАО «АТФ» является самостоятельным структурным подразделением предприятия и подчиняется непосредственно заместителю директора по экономическим вопросам.

Планово-экономический отдел ОАО «АТФ» выполняет следующие задачи:

. Руководство работой по экономическому планированию на предприятии, направленному на организацию рациональной хозяйственной деятельности, выявление и использование резервов производства с целью достижения наибольшей экономической эффективности.

. Организация комплексного экономического анализа деятельности предприятия и участие в разработке мероприятий по ускорению темпов роста производительности труда, эффективному использованию производственных мощностей, материальных и трудовых ресурсов, повышению рентабельности производства.

. Организация и совершенствование хозяйственного расчета.

. Разработка проектов оптовых и розничных цен на реализуемую продукцию и утверждение планово-расчетных цен.

Планово-экономический отдел ОАО «АТФ» имеет следующую структуру:

. Структуру и штаты отдела утверждает директор предприятия в соответствии с типовыми структурами аппарата управления и нормативами численности специалистов и служащих с учетом объемов работ и особенностей производства.

. Распределение обязанностей между работниками отдела осуществляется начальником отдела в соответствии с должностными инструкциями и настоящим Положением.

Планово-экономический отдел ОАО «АТФ» выполняет следующие функции:

. В области планирования

.1. Организация и общее руководство разработкой проектов перспективных и текущих планов ОАО «АТФ» в соответствии с контрольными цифрами, долговременными экономическими нормативами и лимитами, а также прямыми заказами потребителей и органов материально-технического снабжения на продукцию (работы, услуги):

-       подготовка предложений для утверждения руководством предприятия о порядке, сроках и участниках (отделах, службах) разработки проектов планов;

-       распределение производственной программы между службами предприятия;

-       рассмотрение обоснований и расчетов проектов планов подразделений предприятия;

-       обеспечение согласованности и взаимной увязки планов служб предприятия;

-       составление проектов планов предприятия в целом.

.2. Планирование производственно-хозяйственной деятельности служб на основе утвержденного плана ОАО «АТФ»:

доведение годовых и квартальных заданий цехам и службам по установленному перечню показателей;

участие в разработке годовых, квартальных и месячных производственных программ вспомогательными и непроизводственными цехами;

рассмотрение цеховых планов, их проверка, внесение необходимых коррективов.

.3. Внесение соответствующих корректировок в планы предприятия и отдельных подразделений в случае изменения производственно-хозяйственной ситуации.

. В области организации планово-экономической работы

.1. Подготовка необходимых материалов для рассмотрения проектов планов, итогов работы предприятия и цехов на постоянно действующем производственном совещании и заседаниях технико-экономического совета предприятия.

.2. Организация хозрасчета на предприятии:

-       разработка системы хозрасчетных показателей цехов и служб в соответствии со спецификой их работы;

-       контроль за внедрением и совершенствованием хозрасчета в подразделениях предприятия;

-       участие в разработке положений по материальному стимулированию.

.3. Организация работы по нормированию и ценообразованию на предприятии:

-       систематизация нормативных затрат на изготовление продукции; составление нормативных калькуляций, контроль за внесением в них всех текущих изменений;

-       участие в разработке прогрессивных плановых технико-экономических норм и нормативов и доведение их до цехов, отделов и служб предприятия;

-       разработка совместно с другими службами предприятия в соответствии с действующим законодательством проектов оптовых и розничных цен и тарифов и представление их на утверждение; разработка и представление на утверждение цен; подготовка заключений по проектам оптовых цен на поставляемую предприятию продукцию;

-       разработка ценников, применяемых при планировании и учете; осуществление анализа цен, выявление убыточных и высокорентабельных изделий, разработка мероприятий по ликвидации убыточности, в случае необходимости внесение предложений о пересмотре цен на высокорентабельные изделия, подготовка и представление для утверждения новых цен всех необходимых материалов.

.4. Организация разработки мероприятий по эффективному использованию производственных мощностей основных и оборотных фондов, материальных и трудовых ресурсов, по использованию всех резервов производства.

.5. Организация разработки мероприятий по выполнению и перевыполнению установленных плановых заданий.

. В области анализа и оперативно-статистического учета

.1. Контроль за выполнением цехами и службами предприятия годовых, квартальных, месячных, декадных и суточных планов и заданий.

.2. Организация и руководство работой по комплексному, экономическому анализу производственно-хозяйственной деятельности предприятия.

.3. Составление совместно с бухгалтерией пояснительной записки к годовому отчету, участие в балансовой комиссии по итогам деятельности предприятия.

.4. Представление необходимых обобщающих материалов и справок по результатам анализа производственно-хозяйственной деятельности предприятия.

.5. Контроль за правильностью производимых соответствующими службами и цехами предприятия расчетов экономической эффективности внедрения новой техники, рационализаторских предложений и других организационно-технических мероприятий, направленных на повышение эффективности производства, надежности и качества продукции, развитие специализации и кооперирования, механизацию инженерного и управленческого труда.

.6. Участие в организации постоянно действующих комплексных групп контрольно-ревизионной работы из представителей различных подразделений предприятия.

.7. Организация статистической отчетности предприятия:

-       сбор необходимых материалов, обобщение, подготовка и представление статистической отчетности в сроки;

-       контроль за качеством всей статистической отчетности на предприятии;

-       систематизация статистических материалов и составление справок по статистической отчетности.

. В области методологической работы

.1. Методическое руководство, разработка форм и документации, порядка и сроков проведения работ по:

-       технике-экономическому планированию;

-       оперативно-производственному планированию (совместно с производственно-диспетчерскими службами предприятия);

-       хозяйственному расчету (совместно с главной бухгалтерией);

-       учету и анализу результатов производственно-хозяйственной деятельности (совместно с главной бухгалтерией);

-       расчетам экономической эффективности;

-       статистической отчетности.

.2. Изучение и распространение передового опыта планово-экономической работы, оперативного учета и анализа хозяйственной деятельности цехов и служб предприятия.

.3. Совместно с отделом технического обучения и подготовки кадров организует экономическую учебу в целях повышения квалификации работников всех экономических служб предприятия.

Планово-экономический отдел ОАО «АТФ» взаимодействует с другими подразделениями предприятия:

. С бухгалтерией

Получает: отчеты по выпуску продукции (в номенклатуре и денежной оценке), сведения о состоянии незавершенного производства; другие данные, необходимые для планирования и анализа; финансовый план; отчеты о выполнении финансового плана; расчет амортизационных отчислений по цехам и предприятию в целом, копия задания цехам и отделам по снижению запасов оборотных средств; ежедневные сведения по выполнению плана реализации цехами (предприятием).

Представляет: план производства по номенклатуре на год, квартал и месяц; плановую себестоимость фактически выпущенной товарной продукции; план производства продукции по номенклатуре и объему товарной продукции по цехам.

. С техническим отделом

Получает: перспективные и текущие планы развития и внедрения новой техники и улучшения организации производства с расчетами экономической эффективности от внедрения и отчеты об их выполнении.

Представляет: планы производства продукции (перспективные, годовые и квартальные); задания по снижению себестоимости продукции; сроки выпуска новых изделий для составления планов и графиков подготовки производства; плановые задания о хозрасчетной деятельности отделов.

. С отделом механизации

Получает: план ремонта судов и оборудования на квартал, год и на перспективу; месячные отчеты о выполнении планово-предупредительного ремонта оборудования; сметы расходов на ремонт сооружений и оборудования и на выполнение оргтехмероприятий; отчет о выполнении заданий по снижению себестоимости товарной продукции.

Представляет: задание по снижению себестоимости товарной продукции.

. С отделом сбыта

Получает: отчеты об отгрузках продукции; годовые, квартальные и месячные планы производства по объему и номенклатуре; ежедневные сводки выпуска готовой продукции.

. С отделом организации труда и заработной платы

Получает: затраты времени и заработной платы на единицу изделий и сведения об изменении трудоемкости; план снижения трудоемкости изделий и отчет о его выполнении; штатное расписание отдела; планы по труду цехов предприятия по кварталам и месяцам; анализ использования фонда оплаты труда; расчеты повышения производительности труда.

Представляет: план производства продукции в номенклатуре; план производства по объему валовой и товарной продукции на год, квартал с разбивкой по месяцам.

. С основным производством

Получает: отчеты о выполнении плана по производству себестоимости, труду и заработной плате; сведения о расходе материалов на единицу готовой продукции: выходе готовой продукции, использовании рабочего времени, производственной мощности.

Представляет: производственную программу на год, квартал, месяц и другие расчетные показатели.

Планово-экономический отдел ОАО «АТФ» имеет следующие права:

. Требовать от соответствующих отделов, цехов и служб предприятия представления материалов (отчетов по установленным формам, справок и т. д.), необходимых для осуществления работы, входящей в компетенцию планово-экономического отдела.

. Проверять и подтверждать сметы, расчеты экономической эффективности, калькуляции, составленные другими отделами и цехами предприятия.

. Привлекать к участию при разработке плана и отдельных заданий другие отделы по принадлежности и экономистов цехов и служб.

. Указания планово-экономического отдела в пределах функций, являются обязательными к руководству и исполнению цехами, отделами и службами предприятия.

Планово-экономический отдел ОАО «АТФ» несет ответственность за:

. Всю полноту ответственности за качество и выполнения возложенных положением функций несет начальник отдела,

. Степень ответственности других работников устанавливается должностными инструкциями.

Должностная инструкция начальника планово-экономического отдела ОАО «АТФ»

. ОБЩИЕ ПОЛОЖЕНИЯ

.1. Настоящая должностная инструкция определяет функциональные обязанности, права и ответственность начальника планово-экономического отдела открытого акционерного общества «АТФ».

.2. Начальник планово-экономического отдела ОАО «АТФ» назначается, перемещается и увольняется приказом председателя правления акционерного общества по представлению исполнительного директора.

.3. Начальник планово-экономического отдела ОАО «АТФ» подчиняется непосредственно директору по экономике и всю работу выполняет под его контролем.

.4. На должность начальника планово-экономического отдела ОАО «АТФ» может быть назначен работник, имеющий высшее экономическое или инженерно-техническое образование и стаж работы на экономических и руководящих должностях не менее 5 лет.

.5. Начальник планово-экономического отдела ОАО «АТФ» в своей работе руководствуется действующим законодательством РФ, приказами, инструкциями, распоряжениями вышестоящих организаций в пределах их компетенции, приказами и распоряжениями председателя правления акционерного общества и настоящей инструкцией.

. ФУНКЦИОНАЛЬНЫЕ ОБЯЗАННОСТИ

.1. Осуществляет руководство планово-экономической деятельностью ОАО «АТФ». Организовывает работу: по рациональному использованию резервов производства, снижению материальных, трудовых и денежных затрат на производство продукции, по эффективному использованию основных фондов и оборотных средств на предприятии, соблюдению правильного соотношения между ростом производительности труда и средней заработной платой. Проводит работу по повышению рентабельности производства, снижению трудоемкости и себестоимости продукции.

.2. Методически руководит и контролирует деятельность всех подразделений предприятия по составлению перспективных планов экономического и социального развития, разрабатывает план производства с необходимыми обоснованиями и расчетами, положенными в основу планов, а также организационно-технических мероприятий по совершенствованию хозяйственного механизма, экономической работы, выявлению и использованию резервов производства.

.3. Проводит работу по совершенствованию планирования экономических показателей деятельности предприятия, достижению высокого уровня их обоснованности, по созданию и улучшению нормативной базы планирования, норм расхода товарно-материальных ценностей, оборотных средств и использования производственных мощностей.

.4. Обеспечивает строгий контроль над соблюдением режима экономии материальных, трудовых и финансовых ресурсов на всех участках хозяйственной деятельности предприятия.

.5. Организовывает планирование, учет, составление и своевременное представление отчетности о производственной деятельности предприятия, работу по улучшению нормирования труда, правильному применению форм и систем заработной платы и материального стимулирования.

.6. Обеспечивает строгое соблюдение планово-финансовой дисциплины, контроль за ходом выполнения плановых заданий, организовывает проведение комплексного анализа и оценки результатов производственно-хозяйственной деятельности предприятия и его подразделений.

.7. Проводит сравнительный анализ фактической себестоимости, фонда заработной платы, расхода материалов, расшифровку накладных расходов за отчетный период.

. ПРАВА

Начальник планово-экономического отдела ОАО «АТФ» имеет право:

.1. Представлять предложения руководству предприятия о приеме на работу, переводе на другую работу работников предприятия. Вносить предложения по подбору и расстановке кадров.

.2. Утверждать рабочим премии в соответствии с действующими на предприятии системами оплаты труда и положениями о премировании. Участвовать в разработке положений о формах и системе оплаты труда и премировании работников.

.3. Утверждать график предоставления работникам очередных отпусков, а также по необходимости дополнительного отпуска с соблюдением действующего трудового законодательства.

.4. Визировать приказы о приеме на работу, переводе на другую работу, об увольнении, об установлении окладов, о выплате премий и надбавок к зарплате. Принимать участие в работе технического совета ОАО «АТФ» и в балансовой комиссии.

.5. Подготавливать приказы, распоряжения и указания руководителям подразделений по всем вопросам, входящим в круг деятельности отдела. Производить проверки в подразделениях ОАО «АТФ» по всем вопросам организации труда, заработной платы и применения трудового законодательства. Контролировать учет сверхурочного времени.

. ОТВЕТСТВЕННОСТЬ

Начальник планово-экономического отдела ОАО «АТФ» несет ответственность за:

.1. Состояние работы по организации, нормированию, оплате труда, управлению производства, выполнение плановых показателей по труду и заработной плате.

.2. Разработку штатного расписания в пределах выделенного фонда оплаты труда. Правильность тарификации рабочих, установление наименований должностей в соответствии с действующим Классификатором профессий, соблюдение штатной дисциплины.

.3. Составление графиков работы отдельных подразделений предприятия, работающих в режиме, отличном от основного графика по предприятию.

.4. Формирование коллективного договора и выполнение обязательств по нему, относящихся к планово-экономическому отделу.

.5. Своевременное и качественное предоставление отчетности, закрепленной за отделом.

. УСЛОВИЯ РАБОТЫ

.2. Режим работы Начальника планово-экономического отдела ОАО «АТФ» определяется в соответствии с Правилами внутреннего трудового распорядка, установленными на предприятии.

.3. В связи с производственной необходимостью Начальник планово-экономического отдела ОАО «АТФ» может выезжать в служебные командировки (в т.ч. местного значения).

.4. Для решения оперативных вопросов Начальнику планово-экономического отдела ОАО «АТФ» может выделяться служебный автотранспорт.

 

Заключение


Внутрифирменное планирование является чрезвычайно важным для фирм, которые сталкиваются с трудностями в осуществлении принципиально новых стратегий своего развития. В условиях жёсткой конкурентной борьбы и быстро меняющейся ситуации фирмы должны не только концентрировать внимание на внутреннем состоянии дел, но и вырабатывать долгосрочную стратегию поведения, которая позволяла бы успевать за изменениями, происходящими в их окружении. Ускорение изменений в окружающей среде, появление новых запросов и изменения позиций потребителей, возрастание конкуренции за ресурсы, интернационализация бизнеса, появление новых неожиданных возможностей для бизнеса, открываемых достижениями науки и техники, развитие информационных сетей, делающих возможным быстрое распространение и получение информации, широкая доступность современных технологий, изменение роли человеческих ресурсов, а также ряд других причин привели к резкому возрастанию значения стратегического менеджмента.

Проведённые исследования показали, что организация деятельности предприятия непременно требует от руководителей планирования. Сегодняшним менеджерам приходится думать о положении, в котором находится компания, и о влиянии, которое на неё оказывают меняющиеся условия. Они вынуждены анализировать внешнюю среду достаточно тщательно, чтобы знать, когда вносить изменения в деятельность. Они должны быть достаточно хорошо знакомы с деятельностью компании, чтобы знать, какие изменения вносить в стратегию. Другими словами, внутрифирменное планирование является фундаментом общего подхода к управлению всей компанией.

 

Список использованных источников

 

1        Анискин, Ю. Планирование и контроллинг [Текст]. - М.: Омега-Л, 2009. - 280 с.

         Гаврилов, Д.А. Управление производством на базе стандарта MRP II [Текст]. - СПб.: Питер, 2005. - 402 с.

         Родионов, А.Р. Управление производственными запасами [Текст] // Менеджмент в России и за рубежом. - 2007. - №1.

         Чейз, Р.Б. Производственный и операционный менеджмент [Текст]. 8-е изд. - М.: Вильямс, 2010. - 396 с.

         Шукаев, А.И., Модели планирования закупок материальных ресурсов [Текст] // Менеджмент в России и за рубежом. - 2011. - №3. - С. 34-43.

         Мескон, М.Х. Основы менеджмента [Текст]. Пер. с англ. - М.: Дело, 2008. -762 с.

         Современный менеджмент: принципы и правила [Текст] / Под ред. Данилова В.И. - М.: ТК Велби, 2010. - 450 с.

Похожие работы на - Планирование потребности в материально-технических ресурсах предприятия

 

Не нашли материал для своей работы?
Поможем написать уникальную работу
Без плагиата!
Без нейросетей!