Взаимосвязь стрессоустойчивости с частотой смены работы у специалистов сферы активных продаж
СОДЕРЖАНИЕ
Введение
Глава
1. Теоретические предпосылки и научные подходы к изучению психологических
условий, определяющих частоту смены мест работы в современной литературе
.1
Изучение в отечественной и зарубежной литературе проблемы психологических условий
в профессиональной деятельности
.2
Психологические условия трудовой деятельности в сфере продаж
.3
Факторы, влияющие на частоту смены мест работы у специалистов сферы активных
продаж
.4
Выводы
Глава
2. Изучение взаимосвязи стрессоустойчивости с частотой смены мест работы у
специалистов сферы активных продаж
.1
База и методы исследования
.2
Анализ и обсуждение полученных результатов
.3.
Выводы
Рекомендации
Заключение
Литература
Приложения
Введение
Актуальность проблемы нашего исследования
связана, прежде всего, со стремительным развитием малого, среднего и крупного
бизнеса в России, что требует наличия в штате компаний специалистов сферы
продаж. Профессионально важными качествами таких специалистов являются
коммуникабельность, стрессоустойчивость и знания техник продаж. В настоящее
время такие специалисты являются наиболее востребованными на рынке труда и
наиболее активной группой соискателей. По нашему мнению, одним из факторов,
влияющих на частоту смены мест работы у сотрудников сферы продаж, является
стрессоустойчивость специалиста - способность сохранять высокие показатели
психического функционирования и деятельности при возрастающих стрессовых
нагрузках. Наличие у менеджера продаж стрессоустойчивости как ПВК объясняется
быстрым формированием и накоплением профессиональных деструкций, связанных со
спецификой данной профессии.
Остро стоит проблема сохранности кадрового
ресурса компаний-работодателей, так как постепенно накопившиеся изменения,
сложившиеся в структуре деятельности и личности специалиста, негативно
сказываются на продуктивности труда, взаимодействий с коллегами и развитии
самой личности, что, как правило, приводит к отставанию в профессиональной
деятельности либо к ее прекращению, рассогласованности отдельных звеньев
профессионального развития, появлении ранее отсутствующих отрицательных
качеств; а это, в свою очередь, может негативно сказаться на развитии компании
в целом.
Научно-практическая значимость проведенного
исследования заключается в выявленной необходимости определения психологических
условий, влияющих на частоту смены мест работы в рамках деятельности работников
сферы продаж.
Цель исследования: изучить психологические
условия, определяющие частоту смены мест работы у специалистов сферы активных
продаж.
Задачи исследования:
изучить теоретические предпосылки и научные
подходы к проблеме психологических условий в профессиональной деятельности в
научной литературе;
выявить психологические условия трудовой
деятельности в сфере продаж;
выделить факторы, влияющие на частоту смены мест
работы у специалистов сферы активных продаж;
определить уровень стрессоустойчивости
работников сферы продаж и частоту смены мест работы.
изучить взаимосвязь стрессоустойчивости с
частотой смены мест работы у сотрудников сферы продаж.
выявить и изучить особенности личности
специалистов сферы активных продаж с различным уровнем стрессоустойчивости.
разработать рекомендации для специалистов по
персоналу, направленные на сохранность кадрового состава менеджеров по продажам
в организации.
Объект исследования: личность как
психологический феномен.
Предмет исследования: психологические условия,
определяющие частоту смены мест работы у специалистов сферы активных продаж.
Методологической основой данной работы явились:
принцип детерминизма, который заключается в раскрытии закономерной и
необходимой зависимости психических явлений от вызывающих их факторов; принцип
развития, который выражается в признании закономерного характера изменения
исследуемых психических феноменов, их перехода от одного уровня организации к другому,
возникновения новых форм психических явлений и процессов;
культурно-исторический подход Л.С. Выготского, который рассматривает развитие
психических функций в процессе опосредованного общением освоения индивидом
ценностей культуры, в результате чего психические функции, данные природой
(натуральные) преобразуются в функции высшего развития (культурные).
Нами была выдвинута следующая гипотеза:
существуют психологические условия, определяющие частоту смены мест работы у
специалистов сферы активных продаж, при этом мы исходили из следующих
допущений:
существует взаимосвязь между уровнем
стрессоустойчивости и частотой смены мест работы у специалистов сферы активных
продаж;
существуют особенности личности у специалистов
сферы активных продаж с различным уровнем стрессоустойчивости.
Методы исследования. При проведении исследования
нами был применены методы: метод анкетирования, тестирование. Мы использовали
следующие методики:
Методика Анализ стиля жизни (Бостонский тест на
стрессоустойчивость);
-факторный личностный опросник Кеттела;
анкета, разработанная нами с учетом исследуемых
признаков.
База исследования: исследование проводилось на
базе ООО «РОСГОССТРАХ-Сибирь», служба управления персоналом, в исследовании
принимали участие специалисты сферы продаж компании «РОСГОССТРАХ-Сибирь».
Глава 1. Теоретические предпосылки и научные
подходы к изучению
психологических условий, определяющих частоту
смены мест работы в
современной литературе
.1 Изучение в отечественной и зарубежной
литературе проблемы
психологических условий в профессиональной
деятельности
Профессиональная деятельность - это, прежде
всего, трудовая деятельность. С давних пор внимание психологов различных
направлений привлекала проблема полноценной самореализации человека в труде.
Многочисленными исследователями было доказано, что деятельность человека, в том
числе ее эффективность и успешность, зависит от условий, в которых она
протекает. Есть и обратная зависимость: успешный или неуспешный ход
деятельности, в свою очередь, так или иначе изменяет психологические условия ее
протекания. Влияние как успеха, так и неуспеха может быть при этом различным, в
зависимости от ряда конкретных условий, в частности от соотношения между силой
и способностями данного субъекта и трудностью задач, стоящих перед ним.
[рубинштейн]
Б.Г. Ананьев также говорит в своих трудах о том,
что профессионально-трудовая деятельность всегда осуществляется совместно с тем
или иным общественным поведением, которое оказывает определенное регулирующее
влияние на развитие этой деятельности.
Условия, оказывающие влияние на деятельность,
могут быть внешними и внутренними. Под «внешними условиями» подразумеваются
внешние обстоятельства, а под «внутренними условиями» - внутренние средства,
или возможности самого субъекта деятельности.
Е.А. Климов акцентирует внимание на том, что при
рассмотрении и внешних (средовых), и внутренних (субъектных) условий
деятельности важно оценить их «знак». А именно, определить, способствуют ли они
успеху деятельности, противодействуют или относительно нейтральны в этом
отношении.
Очевидно, что некоторые условия (как внешние,
так и внутренние) не во власти субъекта деятельности. И к этим условиям
приходится приспосабливаться. Вместе с тем есть внешние условия деятельности,
которые можно улучшить, если затратить труд, время, материальные ресурсы.
Среди внешних психологических условий труда есть
также в известном смысле неотвратимые или трудно преодолимые (например, обилие
навязанных контактов с людьми в работе продавца, или в работе руководителя
производственного участка, педагога). Некоторые профессии неизбежно и
обязательно связаны с повышенной ответственностью работников за жизнь, здоровье
людей или большие материальные или художественные ценности.
Вместе с тем среди психологических условий
профессиональной деятельности есть и такие, которые при компетентном подходе
можно улучшить, хотя это и не всегда просто. Речь идет, например, об изменении
психологического климата в коллективе, об уменьшении количества стрессовых
факторов на рабочем месте (например, сокращение количества сотрудников в одном
кабинете).
Что касается внутренних условий, то они влияют
на самооценку, самосознание, на положение в коллективе, и на всю систему
отношений человека на работе и в семье. Возраст, тип телосложения,
антропометрические характеристики человека, состояние здоровья - эти и подобные
обстоятельства выступают в роли условий труда.
К внутренним психологическим условиям можно
отнести тип темперамента, свойства характера, эмоциональность и т.п. Их сложно
изменить с помощью каких-либо воздействий. Наиболее поддаются коррекции умения
и опыт человека. Е.А. Климов говорит: «Умения и опыт влекут за собой успех, а
успех, «окрыляя» субъекта деятельности, ведет за собой интересы, замыслы,
мысленные перспективы, а следовательно, задает и корректирует общую
направленность активности.» [ ,с.149]
Феномен психологических условий в
профессиональной деятельности изучался и в научной литературе по психологии
управления. А.М. Бандурка выделяет такие внутренние условия, как уровень
профессиональной подготовки, личностные особенности, состояние работника, а под
внешними - объективные условия обстановки, организацию рабочего места, поток
информации, контроль деятельности.
А.А. Урбанович отмечает, что трудовая
деятельность сотрудника постоянно подвержена воздействию огромного количества
внутренних и внешних факторов. К основным внутренним факторам он относит
исполнение определенной социальной роли, соответствующий статус в организации,
степень эмоциональной близости с окружающими, предшествующий жизненный и
профессиональный опыт, принадлежность к определенной культуре и субкультуре,
конкретную рабочую ситуацию, настроение в данный момент. К внешним факторам
относятся социальное окружение в лице конкретных сотрудников как по
«вертикали», так и по «горизонтали», ожидание определенного поведения от
сотрудника, ориентация на определенные стереотипы поведения, одобряемые в
организации.
.2 Психологические условия трудовой деятельности
в сфере продаж
Работа менеджера по продажам - одна из самых
напряженных профессий. Деятельность этих специалистов характеризуется,
во-первых, предельно высокой эмоциональностью, содержит огромное количество
причин для возникновения негативных эмоций и трудных состояний. Во-вторых,
именно она предъявляет и наиболее высокие требования к эффективности и
жесткости эмоционально-волевой регуляции состояний. Безусловно, редкая
деятельность содержит в себе столь обширный спектр причин и факторов,
порождающих эмоциональные состояния, как деятельность специалиста по продажам.
В нашем исследовании нам хотелось бы
акцентировать внимание на таком профессионально важном качестве специалиста по
продажам, как стрессоустойчивость. Это качество играет огромную роль в
формировании личности такого специалиста, в становлении его как профессионала. Важной
стороной стрессоустойчивости является способность не только сохранять, но и
повышать показатели эффективности, продуктивности деятельности при стрессовом
усложнении условий. Личность любого человека находится в постоянной динамике
стресса. И то, как он справляется с трудностями, зависит не только от
биологических и социокультурных факторов, но и от активности самой личности, от
того насколько она может управлять своим поведением, своим стрессом.
Нервное напряжение, как известно, чревато самыми
опасными последствиями, оно способствует развитию и прогрессированию многих
заболеваний. Это связано с накопленным напряжением и проистекает от сдерживания
эмоции, а под влиянием нервного напряжения возникает стрессовое состояние. С
давних пор внимание психологов различных направлений привлекала проблема
стрессоустойчивости человека в различных профессиях. В классических
исследованиях Селье, а позднее Лазаруса, Розенмана и Фридмана было показано,
что длительное воздействие стресса приводит к таким неблагоприятным
последствиям, как снижение общей психической устойчивости организма [Селье].
Стресс присутствует в жизни каждого человека,
так как наличие стрессовых импульсов во всех сферах человеческой жизни и
деятельности несомненно. Стрессовые ситуации возникают как дома, так и на
работе. С точки зрения управления, наибольший интерес для нас представляют
организационные факторы, которые вызывают стресс на рабочих местах. Знание этих
факторов и проявление к ним особого внимания поможет предотвратить многие
стрессовые ситуации и повысить эффективность управленческого труда, а также
достичь целей организации с минимальными потерями персонала. Ведь именно стресс
наносит ощутимый вред здоровью человека, тогда как здоровье - одно из условий
достижения успеха в любой деятельности [Овсянникова]. Поэтому в работе
рассматриваются и личностные факторы, вызывающие стресс.
Стрессом (давление, напряжение) обозначается
широкий круг состояний повышенной напряженности, возникающих в ответ на
разнообразные как экстремальные, так и обычные воздействия. Существует еще
такое понятие, как дистресс (эмоциональное состояние, проявляющееся как
невыносимое напряжение; может сопровождаться целым комплексом отрицательных
эмоций; длительный дистресс выматывает человека, он может стать причиной частых
недомоганий и даже тяжелых хронических заболеваний. [Левитов]. Поэтому, для
каждого человека очень важно такое состояние, как стрессоустойчивость - это
термин, характеризующий некоторую совокупность личностных качеств, позволяющих
переносить значительные волевые и эмоциональные нагрузки, это способность
сохранять высокие показатели психического функционирования и деятельности при
возрастающих стрессовых нагрузках [Прохоров].
Стрессоустойчивость является фактором адаптации.
Благодаря процессу адаптации достигается сохранение гомеостаза при
взаимодействии организма с внешним миром. В этой связи процессы адаптации
включают в себя не только оптимизацию функционирования организма, но и
поддержание сбалансированности в системе «организм-среда». При высокой стрессоустойчивости
всякий раз, когда на организм действуют значимые изменения, процесс адаптации
обеспечивает формирование нового гомеостатического состояния, которое позволяет
достигать максимальной эффективности физиологических функций и поведенческих реакций.
Известный зарубежный психолог Ганс Селье [Селье], основоположник западного
учения о стрессах и нервных расстройствах, определил следующие стадии стресса
как процесса:
. Непосредственная реакция на воздействие
(стадия тревоги);
. Максимально эффективная адаптация (стадия
резистентности);
. Нарушение адаптационного процесса (стадия
истощения).
Эти стадии характерны для любого адаптационного
процесса. У человека с низкой стрессоустойчивостью при любом нарушении
сбалансированности в системе «человек-среда» недостаточность психических или
физических ресурсов для удовлетворения актуальных потребностей или
рассогласование самой системы потребностей приводит к состоянию тревоги. Под
тревогой понимается ощущение неопределенной угрозы; чувство диффузного опасения
и тревожного ожидания; неопределенное беспокойство.
Кроме того, исследователи отмечают и считают
важным, что низкой стрессоустойчивости обычно соответствуют показатели нервной
системы, как со стороны возбуждения, так и в отношении тормозного процесса. Для
относительно слабого типа нервной системы характерны низкие пороги
чувствительности, длительные, истощающие психику переживания, даже по
незначительным, в сущности, стимулам.
В аспектах стрессоустойчивости,
предрасположенность к эмоциональной напряженности как временному понижению
устойчивости психических и психомоторных процессов, а также в аспектах быстроты
и необратимой полноты восстановления функциональной реактивности органов и
систем организма, типологические черты - сила, подвижность и уравновешенность
нервных процессов - вероятно, играют очень важную роль.
Бодровым В.А. отмечается интерес к врожденным,
генетически детерминированным биологическим факторам, обуславливающим
психологическую индивидуальность человека, особенно в связи с проблемой деятельности
человека, где выявляется способность к формированию реакции, адекватным
условиям деятельности, определяется устойчивость к стрессогенному воздействию.
Эта способность проявляется в скорости первичного приспособления организма к
влиянию возникших стрессовых условий, в длительном поддержании компенсаторных
реакций на эти условия, что обуславливается силой нервной системы, и в
адекватной перемене образа действий, что определяется свойством подвижности
нервных процессов [Бодров].
С позиции оценки оперативной способности
человека в условиях «острого» психологического стресса огромное значение
принадлежит способности данного человека осуществлять сложные,
специализированные виды деятельности вопреки таким эмоциональным помехам. Это
определяется типологической характеристикой личности, способностью к ее
эмоциональной изоляции, к подавлению возникающих психологических помех, к
устойчивости по отношению к различным ситуативным изменениям.
Стресс может быть вызван факторами, связанными с
работой и деятельностью организации или событиями личной жизни человека.
Рассмотрим те факторы, действующие внутри
организации, которые вызывают стресс.
. Перегрузка или слишком малая рабочая нагрузка,
т.е. задание, которое следует завершить за конкретный период времени.
Работнику просто поручили непомерное количество
заданий или необоснованный уровень выпуска продукции на данный период времени.
В этом случае обычно возникает беспокойство, фрустрация (чувство крушения), а
также чувство безнадежности и материальных потерь. Однако недогрузка может
вызвать точно такие же чувства. Работник, не получающий работы, соответствующей
его возможностям, обычно чувствует фрустрацию, беспокойство относительно своей
ценности и положения в социальной структуре организации и ощущает себя явно невознагражденным.
. Конфликт ролей.
Конфликт ролей возникает тогда, когда к
работнику предъявляют противоречивые требования. Например, продавец может
получить задание немедленно реагировать на просьбы клиентов, но, когда его
видят разговаривающим с клиентом, то говорят, чтобы он не забывал заполнять
полки товаром.
Конфликт ролей может также произойти в
результате нарушения принципа единоначалия. Два руководителя в иерархии могут
дать работнику противоречивые указания. Например, директор завода может
потребовать от начальника цеха максимально увеличить выпуск продукции, в то
время как начальник отдела технического контроля требует соблюдения стандартов
качества.
Конфликт ролей может также возникнуть в
результате различий между нормами неформальной группы и требованиями формальной
организации. В этой ситуации индивидуум может почувствовать напряжение и
беспокойство, потому что хочет быть принятым группой, с одной стороны, и
соблюдать требования руководства - с другой.
. Неопределенность ролей.
Неопределенность ролей возникает тогда, когда
работник не уверен в том, что от него ожидают. В отличие от конфликта ролей,
здесь требования не будут противоречивыми, но и уклончивы и неопределенны. Люди
должны иметь правильное представление об ожиданиях руководства - что они должны
делать, как они должны делать и как их после этого будут оценивать.
. Неинтересная работа.
Некоторые исследования показывают, что
индивидуумы, имеющие более интересную работу, проявляют меньше беспокойства и
менее подвержены физическим недомоганиям, чем занимающиеся неинтересной
работой. Однако взгляды на понятие “интересная” работа у людей различается: то,
что кажется интересным или скучным для одного, совсем не обязательно будет
интересно другим.
. Существуют также и другие факторы.
Стресс может возникнуть в результате плохих
физических условий, например, отклонений в температуре помещения, плохого
освещения или чрезмерного шума. Неправильные соотношения между полномочиями и
ответственностью, плохие каналы обмена информацией в организации и необоснованные
требования сотрудников друг к другу тоже могут вызвать стресс.
Идеальным будет такое положение, когда
производительность находится на возможно более высоком уровне, а стресс - на
возможно более низком.
В нашей работе нам также интересно остановиться
на некоторых особенностях личности, имеющих значение для успешной
профессиональной деятельности в сфере продаж.
Особое влияние на формирование личности
оказывают социальные взаимоотношения. Несомненно, от того, какие общественные
отношения господствуют в обществе, будут зависеть и отношения личность -
общество. И успешность таких взаимоотношений во многом определяется и
социальной группой, к которой принадлежит человек, и биографическими условиями,
и характером воспитания в семье, школе и т.п. в трудовой деятельности
проявляется главная форма общественной функции - деловая роль. Практическая
деятельность позволяет осуществить возникающие цели и задачи. И по мере того
как эти цели и задачи находят свое отражение в действительности, они формируют
обобщенные и устойчивые отношения личности. Однако лишь когда объективное
значение деятельности совпадает со значимым для человека, деловая роль
оказывает влияние на стержневые свойства личности. Осознанность деятельности
напрямую связана с вкладыванием в нее смысла.
Одной из важнейших характеристик личности
является степень развития чувства личной ответственности за происходящие с
индивидом события - так называемый локус контроля, или уровень субъективного
контроля [Кабрин]. Возможны два полярных типа локализации индивидом локуса
контроля над значимыми для него событиями: экстернальный и интернальный. В
первом случае индивид интерпретирует значимые события как результат своей
собственной деятельности, во втором - полагает, что происходящие с ним события
являются результатом внешних сил. Уровень субьективного контроля связан с
такими характеристиками личности, как независимость, самостоятельность человека
в достижении своих целей, oщущениe человеком личной ответственности за
происходящие с ним события, зрелость и самостоятельность личности,
самоуважение, ощущение собственной силы и достоинства, положительная
самооценка. В целом принято считать, что интернальность, как компонент
личностной зрелости, связана с просоциальным поведением [Калмыкова]. При
анализе влияния локуса контроля на психическую адаптацию необходимо в первую
очередь отметить, что интерналы меньше подчиняются давлению других, внешнему
социальному контролю; в то же время интерналы сильнее реагируют на утрату
личной свободы. Интерналы более активно ищут информацию и обычно более
осведомлены о ситуации, чем экстерналы. Интерналы более ответственно относятся
к своему здоровью. Интерналы, надеящиеся только на себя, не нуждающиеся во
внешней поддержке, менее подвержены дистрессу в экстремальных условиях при социальном
давлении, чем экстерналы, неуверенные в себе, нуждающиеся в поощрениях,
болезненно реагирующие на порицания, полагающиеся на случай, на судьбу; при
дезадаптации же соотношения могут меняться на противоположные. Рядом авторов
подчеркивается связь экстернальности с психопатологией: она положительно
коррелирует как с тревожностью, так и с депрессией. Характеристики локуса
контроля существенно влияют на адаптацию, при этом естественно влияние его
вторично по сравнению со средовыми воздействиями. Очевидно, что в целом
интернальность способствует психической адаптации, экстернальность - ухудшает
ее. Адаптивная роль интернальности подтверждается данными исследования больных
неврозами, свидетельствующими о характерных для них низких исходных показателях
интернальности и повышении ее в процессе психотерапевтического воздействия.
Индивидуально-типологические особенности
стрессоустойчивости являются прямым следствием описанного физиологами
индивидуального стиля реагирования на стресс, связанного в первую очередь с
индивидуальными характеристиками вегетативной регуляции и не зависящего от
характера стрессоров. Как указывает К.В. Судаков [20], у человека имеются
значимые индивидуальные особенности адаптации и устойчивости к эмоциональным
стрессам: "... опыт жизненных и клинических наблюдений показывает, что
имеются отдельные индивиды, которые даже в острых и хронических конфликтных
ситуациях, когда у других людей наблюдаются нарушения сердечно-сосудистых
функций, остаются здоровыми". Подобный "антистрессовый иммунитет"
понимается как способность человека активно противостоять неврозообразующим
факторам, толерантность к стрессу или нейро-психологическая резистентность. В
качестве противоположных по смыслу личностных характеристик, предрасполагающих
к развитию дезадаптации, рассматриваются психосоциальная уязвимость по
отношению к стрессу.
Индивидуальные особенности стрессоустойчивости
человека характеризует понятие барьера психической адаптации, который
объединяет все потенциальные возможности осуществления человеком адекватной и
целенаправленной психической деятельности и переработки психотравмирующего
воздействия. Данная модель предполагает, что барьер психической адаптации
динамичен, то есть под влиянием жизненных обстоятельств его уровень постоянно
колеблется и в экстремальных условиях приближается к индивидуальной критической
величине, когда человек использует все резервные психические возможности.
Длительные же либо кратковременные, но чрезмерно интенсивные нагрузки на барьер
психической адаптации приводят к его перенапряжению, что проявляется
преневротическими состояниями (бессонницей, потерей аппетита, неустойчивостью
настроения, срывами в межличностных контактах). Известно, что в условиях
напряженности физиологические показатели приобретают большую зависимость от психологических
особенностей личности. Установлено, что индивидуальная выраженность проявлений
стресса зависит как субъективной значимости стресс-фактора (по отношению к
которому можно классифицировать людей на «репрессоров» и «скрывателей»), так и
в значительной степени - от осознавания человеком своей ответственности за
себя, за окружающих, за происходящее, от психологической установки на ту или
иную роль в экстремальных условиях. Выделяются: а) дезадаптивный,
предрасполагающий к дистрессу тип отношения человека к себе как к «жертве»
экстремальной ситуации и б) адаптивный, стресспротективный тип, сочетающий
отношение к себе как к «жертве» с отношением к себе как к «ценности»,
доверенной себе же. Такой тип характерен для людей, имеющих позитивный опыт адаптации
в экстремальных условиях, зрелых и сохраняющих в критических условиях чувство
собственного достоинства [25].
Априорно связь типологических характеристик
личности с особенностями психической адаптации не вызывает сомнений. Так, еще в
ранних работах психоаналитического направления (Фрейд, Джонс, Абрахам) была
показана связь типологии характера с обобщенными формами поведения, или
стремлением к адаптации [28]. Антистрессовая, эмоциональная устойчивость
индивида напрямую связана с его личностными особенностями, в превую очередь
характеристиками темперамента, а также силой потребностей личности. Типичные
формы реагирования в ситуации стресса, свойственные для каждого индивида, также
связаны с личностными особенностями. Как отмечает Ц.П. Короленко [31], "адаптация
человека к экстремальным условиям во многом определяется существующими у него
высшими адаптивными психофизиологическими уровнями. Применение тех или иных
адаптационных стратегий обусловлено в большой мере особенностями психического
склада человека". Указанные психологические особенности во многом
обусловлены физиологическими характеристиками - по выражению Ю.А.
Александровского, «индивидуально-типологическое своеобразие человека зависит от
особенностей его нервно-психической деятельности, сочетания врожденных и
приобретенных свойств» [15]. В качестве одного из возможных механизмов,
связывающих физиологические особенности индивида с его устойчивостью к стрессу,
рассматривается индивидуальный профиль межполушарной асимметрии. Так, в
условиях хронического стресса, связанного с экстремальными
климатогеографическими условиями, показатели психоэмоционального напряжения у
лиц с относительным доминированием правого полушария оказались в 1,5 раза ниже,
чем у обследованных с левополушарным преобладанием, а показатели тревожности и
агрессивности - в 2 раза ниже.
Описано влияние личностно-типологических
особенностей на формирование различных проявлений психической адаптации -
уровня тревоги, депрессии, психовегетативного синдрома.
Тревога - сигнал возможной опасности, прогноз
которой носит вероятностный характер, тем самым он зависит не только от
ситуационных, но и от личностных факторов. В случаях, когда влияние личностных
факторов преобладает, интенсивность тревоги преимущественно отражает
индивидуальные особенности cyбьeкта. В условиях хронического стресса
тревожность развивается у людей с любым типом нервной системы - как слабым, так
и сильным, однако у последних для этого требуется большая сила и
продолжительность действия фрустрирующих факторов.
Известно, что вегетативное обеспечение эмоций,
помимо неспецифических компонент (висцеровегетативных реакций) всегда содержит
и специфические компоненты в виде соответствующей интерпретации индивидом
происходящих вегетативных сдвигов, их осознавания, а также оценки ситуации в
целом [33]. Соответственно лица с акцентуациями характера, пограничными
нервно-психическими нарушениями более расположены к развитию психовегетативных
и вегетативных нарушений.
Какая же типология личности предпочтительна для
прогнозирования адекватности адаптации к стрессу? Среди большого числа
индивидуально- типологических характеристик, влияющих на стрессоустойчивость, в
частности называются: экстраверсия - интроверсия; тревожность (склонность к
избеганию); агрессивность (склонность к внешнему или внутреннему конфликту);
экстрапунитивность - интрапунитивность (направленность реакции на фрустрацию) и
фрустрированность; ригидность - флексибельность (склонность к «застреванию» в
ситуациях однородной стимуляции действий); психотизм - реактивность (ориентированность
на положительную или отрицательную потребность в стимуляции). Соответственно
данной типологии более высокую устойчивость к стрессу обнаруживают индивиды,
менее склонные к тревожности и фрустрированности, низкореактивные. В то же
время, очевидно, что классификации подобного рода, страдающие академической
сложностью и громоздкостью, мало пригодны для целей практической диагностики.
Для этого необходима максимально формализованная и компактная типологическая
классификация, опирающаяся на детально разработанную модель личности,
учитывающая закономерности как психологического, так и физиологического уровня
и сопровождаемая достаточным набором валидных диагностических методик.
По мнению Ц.П. Короленко [37], важнейшими
личностными особенностями, влияющими на психологическую адаптивность, являются
юнговские типологические характеристики - экстравертированность и
интровертированность, а также мыслительная, чувственная, сенсорная, интуитивная
типологические функции. По мнению Е.С. Жарикова [37], способность к психической
адаптации, или стрессоустойчивость, также связывается с психологическим типом
по системе «Типология-8» (по Юнгу) и особенностями функциональной асимметрии
мозга. Сам К.Г. Юнг [28] считал, что особенности личности, ее психологический
тип являются предпосылкой, или предрасполагают к развитию определенных,
характерных именно для данного психотипа видов патологии или нарушения
адаптации. Соответственно выделение типологических особенностей личности
позволяет надежно прогнозировать устойчивость к эмоциональному стрессу и
возможность нарушения адаптации.
В сфере «человек - человек» (учителя, врачи,
продавцы) были выражены: потребность в общении (фактор А), высокая
ответственность и принципиальность (фактор G), смелость в социальных контактах
(фактор Н), эмоциональная чувствительность, традиционализм (фактор Qi),
склонность к групповой деятельности (фактор Q2).
Любой деятельности может научиться человек,
обладающий достаточным интеллектом и умственными способностями,
конструктивно-критически относящийся к себе и своей работе. Однако он должен
иметь желание быть профессионалом, не придерживаться пассивной
приспособленческой позиции, делать все необходимое для профессионального роста.
В этом немаловажную роль может сыграть знание специалиста своих личностных и
стрессогенных возможностей, а, следовательно, на их основе можно своевременно
скорректировать свое поведение.
Эффективная психическая адаптация представляет
собой одну из предпосылок к успешной профессиональной деятельности менеджера
продаж. Ведь работа специалиста связана с высокой ответственностью и повышенной
нервно-эмоциональной нагрузкой и требует от него достойного выхода из сложных
непредвиденных ситуаций; он постоянно «на виду» и любые его нежелательные
эмоциональные проявления и состояния (неуверенность, подавленность,
нервозность) воспринимаются клиентами, с которыми он работает. Нагрузки в сфере
продаж присутствуют постоянно: прямая взаимосвязь успешно выполненной работы с
уровнем заработной платы, частое возникновение и разрешение конфликтных
ситуаций, постоянный контроль поведения, соответствие ожиданиям клиента и т. д.
По мере приобретения опыта уровень эмоциональных нагрузок может снижаться,
однако никогда не исчезает полностью. Все зависит от умения правильно
реагировать на те или иные события. Для того, чтобы надежно справляться со
стрессами, чтобы они не мешали успешной профессиональной деятельности,
необходимо научиться своеобразной технике психологической безопасности,
служащей для защиты от стресса. В первую очередь - научиться правильно
обращаться со своими эмоциями, бережно относиться к собственной нервной
системе. Как сказал Л.С. Выготский: «Воспринимать вещи по-иному означает в то
же время приобретать иные возможности действия по отношению к ним» [7]. Другими
словами, каждый специалист по продажам должен формировать себя, приобщая к тем
видам деятельности, в ходе которых вырабатываются желательные качества
личности. Самосовершенствование будет успешным, если будут соблюдаться
определенные условия. Главные условия - осознание необходимости поддержания
своего здоровья, возможность уделять себе время для отдыха, адекватно
воспринимать конфликтные ситуации, уметь использовать методы и приемы
релаксации и другие методы, которые помогут эффективно преодолевать возникающие
стрессы, сохранять себя, достигать поставленных целей.
Таким образом, можно сказать, что
стрессоустойчивость характеризует некоторую совокупность личностных качеств,
позволяющих переносить значительные волевые и эмоциональные нагрузки, постоянно
присутствующие в деятельности менеджеров активных продаж, но каждый специалист
должен формировать свою личность, чтобы противостоять этим нагрузкам.
.3 Факторы, влияющие на частоту смены мест
работы у специалистов
сферы активных продаж
Бурно развивающаяся экономика России очень
изменчива. В этой связи изменчивы и условия работы в различных компаниях. На
данный момент есть большой процент людей, довольно часто меняющих место работы.
Психологический дискомфорт, отсутствие возможности самораскрытия, конфликты,
более высокая зарплата, более престижная работа и ряд других причин побуждают
их искать новые места работы. Для каждого человека «Job Hopping» - отдельная
психологическая проблема, связанная с его будущим благополучием. Кадровые
агентства хорошего уровня в основном не рассматривают таких специалистов на
вакансии. Но не все «Job Hoppers» на самом деле проблемные люди - некоторым
просто не везет или они не нашли «свое».
На сегодняшний момент можно выделить несколько
групп соискателей, которых можно назвать «Job Hopper». Во-первых, это молодые
люди с высшим образованием и минимальным опытом работы. Многие из них еще не
определились с будущей профессией. И частая смена места работы связана именно с
поиском «себя». Они хотят попробовать разные профессии и выбрать то, чем будут
заниматься в будущем. Естественно, столь частая смена места и должности
является реальным препятствием для нового трудоустройства. Для потенциального
работодателя такой кандидат представляется человеком крайне амбициозным, со
слишком завышенной самооценкой, при том не являющимся профессионалом с
отсутствием лояльности к компаниям.
Вторая группа: Sales-Managers (Менеджеры
продаж). Часто это тоже молодые специалисты с 1-2 летним опытом работы в
продажах продуктов и услуг и привлечении клиентов. Здесь ситуация немного
другая. Специфика работы и максимальная мотивация на зарабатывание денег,
подогреваемая самими же работодателями, предлагающими схему заработной платы
«оклад+процент», подталкивает менеджеров по продажам к постоянному поиску более
хорошо оплачиваемого места работы. Работодатели всегда заинтересованы в
принятии на работу Sales-менеджера, который увеличит их продажи, поэтому момент
лояльности компании уходит на второй план.
Третья группа: менеджеры проектов, менеджеры по
развитию бизнеса и т.д. Речь идет в основном о менеджерах среднего звена,
которых компании нанимают для выполнения определенных проектов компании
(внутренних или внешних). Это может быть и разработка и запуск нового брэнда, и
развитие продаж в новом для компании сегменте рынка, и покупка, модернизация и
запуск нового завода, и введение в эксплуатацию новой системы, и постановка
учета по международным стандартам. В любом случае менеджер мотивирован на
переход в компанию для получения конечного результата, для получения полезного
опыта и повышения своего профессионального уровня. Проект завершен - результат
получен. А далее идет текущая работа, которая им не интересна. Безусловно,
часть менеджеров остается в компании для дальнейшего сопровождения проекта,
руководит текущей деятельностью или возглавляет новый проект компании. Но
большая часть менеджеров действует по принципу - «Я сделал все, что от меня
требовалось, мне здесь больше не интересно, поэтому я ухожу». Такие
«проектно-ориентированные» менеджеры при переходе из компании в компанию не
теряют, а только повышают свой статус и интерес со стороны потенциального
работодателя.
Если же посмотреть на данную тему более широко,
то для компании, взрастившей специалиста, уход его оборачивается проблемой, как
в собственно потере ценного сотрудника, так и в потере вложенных в него
средств. И решением данной проблемы является разработка мотивации для удержания
сотрудника, будь то повышение в должности, увеличение зарплаты или расширение
круга полномочий.
В целом же специалист, меняющий место работы чаще,
чем раз в год, становится для потенциального работодателя наименее интересным
кандидатом. Среди рекрутинг-менеджеров (специалистов по подбору персонала) его
резюме будет считаться «испорченным». Такой человек представляется
поверхностным, не умеющим и не желающим понять суть проблем, встающих перед
компанией, и, соответственно, принести пользу.
Причин несколько. Первой и самой очевидной
причиной является быстрая смена внешних условий, правил игры на рынке. Эти
факты в большинстве случаев влияют на крупный бизнес, который подвержен
политической конъюнктуре, и, конечно же, экономическим спадам и подъемам.
Подобные примеры характерны именно для столпов отечественного бизнеса.
Второй причиной формирования
специалистов-«бегунков» является постоянный поиск лучших условий. С подобными
кандидатами на каком-то этапе кадровые агентства сыграли злую шутку. Попав в
базу данных различных агентств, успешный специалист гарантированно получает
несколько звонков в месяц с предложениями о новой работе. И, несмотря на то,
что он определился с выбором, преступил к новой работе, из любопытства
продолжает выслушивать условия, зачастую более выгодные существующих, иногда
ездить на встречу, оправдывая себя - "Посмотрю, сколько за меня
дают!". В конечном итоге ему подворачивается что-нибудь более интересное,
и он переходит на новое место работы, не выполнив возложенных на себя
обязательств на предыдущем месте. Подобная ситуация повторяется вновь и вновь,
а уже через какое-то время в резюме появляется множество строчек о разных местах
работы, что является броской "рекламой" профессиональных и личностных
качеств кандидата. Совет подобным специалистам - нужно вовремя остановиться!
И последнее, скорее не причина, а характерная
черта - это принадлежность к тому или иному региону. К примеру, для
специалистов Санкт-Петербурга пяти - семилетний стаж работы на одном месте
является характерным показателем и не вызывает удивления т.к. является нормой,
для Москвы срок работы на одном месте значительно меньше. Причина подобной
разницы может заключаться как в менталитете жителей региона, так и в
сравнительной неразвитости бизнеса в целом.
Остается неизменным высокий спрос на
специалистов в области продаж. Определенные должности в сфере продаж требуют
большого опыта и отличных навыков общения с клиентов, хотя многие работодатели
приходят к тому, что обучить человека, не обладающего опытом, но имеющего
потенциал часто проще, чем найти готового специалиста, который бы не только был
бы хорошим профессионалом, но и вписался в корпоративную культуру компании.
Неизменным остается и то, что текучесть кадров
среди сотрудников сферы продаж высокая. Как показало исследование, менеджеры по
продажам меняют место работы раз в 1-2 года (примерно 30-38% от общего числа
соискателей), что характерно для менеджеров начинающих так и для менеджеров с
опытом.
Для торговых представителей, которые только
начинают свою карьеру, характерно, что они меняют работу реже (раз в год - это
примерно 37% от общего числа соискателей), чем торговые представители, которые
уже имеют опыт работы (здесь текучка выше - 47% соискателей меняют работу через
полгода). Скорее всего, это связано с тем, что на должность торгового
представителя чаще всего берут людей с минимальным опытом и, они, получив опыт,
уходят на работу более интересную по функциональным обязанностям.
Специалисты в сфере продаж являются наиболее
активной группой кандидатов. Причины смены работы такие же, как и для всех
остальных групп, это и материальная сторона, желание карьерного роста,
профессионального роста и т.д., но для этой группы соискателей свойственно быть
в активном поиске, постоянно общаться с большим количеством людей и все это
приводит к более частой смене работы, чем для остальных категорий соискателей.
При исследовании рассматривались резюме
кандидатов с опытом работы в сфере продаж. Общее количество обработанных резюме
составило 1500. Оценка производилась по продолжительности работы кандидата на
одном месте. Полученную информацию в графическом виде можно увидеть на
следующих графиках [47].

Рис. 1. Продолжительность работы торговых
представителей.

Рис.2. Продолжительность работы менеджеров по
продажам.
.4 Выводы
. На профессиональную деятельность каждого
человека влияют разнообразные внешние и внутренние психологические условия.
. На специалистов сферы активных продаж в
большой степени влияет такой фактор, как стресс.
. Индивидуальная выраженность проявлений стресса
зависит как от субъективной значимости стресс-фактора, так и в значительной
степени - от осознавания человеком своей ответственности за себя, за
окружающих, за происходящее, от психологической установки на ту или иную роль в
экстремальных условиях.
. Стрессоустойчивость индивида напрямую связана
с его личностными особенностями, в первую очередь характеристиками
темперамента, а также силой потребностей личности.
. Предпосылками, побуждающими сменить человека
место работы могут послужить: специфика работы специалистов сферы активных
продаж; экономическая ситуация на том или ином сегменте рынка; географическая
принадлежность работника, как в рамках стран, так и в рамках регионов в
пределах одной страны; развитие и усовершенствование методологии рекрутинга
(процесса поиска и подбора квалифицированного персонала).
. К психологическим условиям, определяющим
частоту смены мест работы, относят: особенности личности, уровень
стрессоустойчивости, потребности личности, особенности развития личности в
профессиональном становлении.
Глава 2. Изучение взаимосвязи
стрессоустойчивости с частотой смены
мест работы у специалистов сферы активных продаж
.1 База и методы исследования
Исследование проводилось на базе ООО
«РОСГОССТРАХ-Сибирь», служба персонала. В исследовании приняли участие специалисты
сферы активных продаж, в количестве 40 человек, из них 15 мужчин и 25 женщин в
возрасте от 21 до 35 лет. Стаж работы данных специалистов варьируется от 1 года
до 12 лет.
Для изучения уровня стрессоустойчивости была
использована методика «Анализ стиля жизни» (Бостонский тест на
стрессоустойчивость).
Данный тест разработан исследователями
Медицинского центра Университета Бостона. При выполнении теста, необходимо
ответить на заданный перечень вопросов, исходя из того, насколько часто эти
утверждения верны для испытуемого. Отвечать следует на все пункты, даже если
данное утверждение вообще не относится к человеку.
При обработке результаты ответов суммируются, из
полученного числа отнимается 20 баллов, чем и определяется итоговое количество
баллов, которое соответствует тому или иному уровню стрессоустойчивости:
|
Количество
баллов
|
Уровень
стрессоустойчивости
|
|
до
30
|
Высокий
|
|
от
31 до 50
|
Средний
|
|
от
50
|
Низкий
|
Нами была разработана анкета с учетом
необходимых для исследования показателей.
Анкета
Ваш пол___________
Ваш возраст_______
Общий стаж работы в сфере продаж__________
Сколько раз за последние 5 лет Вы сменили
работу*______
Сколько раз за последние 3 года Вы сменили
работу*______
Перечислите причины, по которым Вы меняли работу
(в качестве причин могут быть: уровень з/п, условия труда, смена руководства,
коллектив и др. Собственное желание - это не причина! Постарайтесь наиболее
полно и кратко описать эти причины)
_____________________________________________________________________________________________________________________________
* - смена работы считается, если Вы сменили
организацию. Если же Вы меняли должность в рамках одной организации, в данном
случае это НЕ считается сменой места работы.
Для изучения особенностей личности специалистов
сферы активных продаж с различным уровнем стрессоустойчивости мы использовали
16-факторный личностный опросник Кеттела, который является одним из наиболее
распространенных анкетных методов оценки индивидуально-психологических
особенностей личности как за рубежом, так и у нас в стране. Он разработан под
руководством Р.Б. Кеттела и предназначен для написания широкой сферы
индивидуально-личностных отношений.
Отличительной чертой данного опросника является
его ориентация на выявление относительно независимых 16 факторов (шкал,
первичных черт) личности. Данное их качество было выявлено с помощью факторного
анализа из наибольшего числа поверхностных черт личности, выделенных
первоначально Кеттелом. Каждый фактор образует несколько поверхностных черт,
объединенных вокруг одной центральной черты.
Существует 4 формы опросника: А и В (187
вопросов) и С и Д (105 вопросов). В России чаще всего используют формы А и С.
Наибольшее распространение опросник получил в медицинской психологии при
диагностике профессионально важных качеств, в спорте и научных исследованиях.
Опросник Кеттела включает в себя все виды
испытаний - и оценку, и решение теста, и отношение к какому-либо явлению.
Перед началом опроса испытуемому дают
специальный бланк, на котором он должен делать определенные пометки, по мере
прочтения. Предварительно дается соответствующая инструкция, содержащая
информацию о том, что должен делать испытуемый. Контрольное время испытания
25-30 минут. В процессе ответов на вопросы экспериментатор контролирует время
работы испытуемого и, если испытуемый отвечает медленно, предупреждает его об
этом. Испытание проводится индивидуально в спокойной, деловой обстановке.
Предлагаемый опросник состоит из 105 вопросов
(форма С) на каждой из которых предлагается три варианта ответов (a, b, c).
Испытуемый выбирает и фиксирует его в бланке ответов. В процессе работы
испытуемый должен придерживаться следующих правил: не терять времени на
обдумывание, а давать пришедший в голову ответ; не давать неопределенных
ответов; не пропускать вопросов; быть искренним.
Вопросы группируются по содержанию вокруг
определенных черт, выходящих в конечном итоге к тем или иным факторам.
Обработка результатов ведется по специальному
ключу, где даны номера вопросов и количество баллов, которые получают ответ a,
b, c в каждом вопросе. В тех клеточках, где проставлена буква, обозначающая
фактор, количество баллов равно нулю. Таким образом, за каждый ответ испытуемый
может получить 2, 1 или 0 баллов. Количество баллов по каждому фактору
суммируется и заносится в бланк ответов (в правый столбик), экспериментатор
получает профиль личности по 16-ти факторам в сырых оценках. Эти оценки
переводятся в стандартные (стены) по таблице 3. Затем экспериментатор
определяет какое развитие получил каждый фактор: низкая, средняя, высокая,
выписывает черты, характеризующие степень их развития и анализирует результаты.
Если какая - либо из черт вызывает сомнение, лучше ее не включать в
характеристику.
Чтобы результаты были надежными, следует
подтвердить их с помощью других методик или с помощью другой формы этого же
теста.
Результаты применения данной методики позволяют
определить психологическое своеобразие основных подструктур темперамента и
характера. Причем каждый фактор содержит не только качественную и
количественную оценку внутренней природы человека, но и включает в себя ее
характеристику со стороны межличностных отношений. Кроем того, отдельные
факторы можно объединить в блоки по трем направлениям:
Интеллектуальный блок: факторы: В - общий
уровень интеллекта; М - уровень развития воображения; Q 1 - восприимчивость к
новому радикализму.
Эмоционально-волевой блок: факторы: С -
эмоциональная устойчивость; О - степень тревожности; Q 3 - наличие внутренних
напряжений; Q 4 - уровень развития самоконтроля; G - степень социальной
нормированности и организованности.
Коммуникативный блок: факторы: А - открытость,
замкнутость; Н - смелость; L - отношение к людям; Е - степень доминирования -
подчиненности; Q 2 - зависимость от группы; N - динамичность.
Методы статистической обработки данных
Для подтверждения статистической значимости
гипотезы исследования был использован метод Пирсона. Корреляция представляет
собой меру зависимости переменных. Коэффициенты корреляции изменяются в
пределах от -1.00 до +1.00. Значение -1.00 означает, что переменные имеют
строгую отрицательную корреляцию. Значение +1.00 означает, что переменные имеют
строгую положительную корреляцию, значение 0.00 означает отсутствие корреляции,
степень, с которой значения двух переменных пропорциональны друг другу. показывает,
принята или нет нулевая гипотеза (гипотеза об отсутствии связи между двумя
переменными в популяции). Нулевая гипотеза отвергается если тестовая статистика
больше
или равна критическому значению.
Для определения достоверности различий между
данными двух выборок одной и той же генеральной совокупности, нами был
использован t-критерий Стьдента для независимых выборок. Метод Стьюдента
применяется для сравнения двух выборок, взятых из одной и той же генеральной совокупности,
или двух различных состояний одной и той же выборочной совокупности.
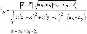
Сравнение двух малых групп с
попарно-независимыми вариантами проводится по формулам:
где: k - число степеней свободы,
- объем первой
выборки,
- объем второй
выборки,
- среднее
арифметическое 1 группы,
- среднее
арифметическое 2 группы,
- ошибка
репрезентативности 1 группы,
- ошибка
репрезентативности 2 группы.
- критерий
Стьюдента, по найденному значению которого определяют доверительную вероятность
различия групп.
психологический продажа работа
стрессоустойчивость
2.2 Анализ и обсуждение результатов
Изучение частоты смены мест работы у
специалистов сферы активных продаж
По результатам анкетирования мы получили
следующие результаты: 12,5 % (5 человек) за последние 5 лет ни разу не сменили
работу, столько же (12,5 %) за последние 5 лет сменили работу 1 раз. Равное
количество: по 37,5% (15 человек) сменили место работы за последние 5 лет 2 и 3
раза (рис. 1).
Рис. 1. Диаграмма частоты смены мест работы у
специалистов сферы активных продаж
Среди причин смены места работы были указаны: 70
% (28 человек) назвали в качестве одной из причин низкий уровень заработной
платы, 30 % (12 человек) в качестве одной из причин указали отсутствие
карьерного роста. 40% (16 человек) назвали другие причины смены места работы,
такие как: смена места жительства, смена собственников компании,
неудовлетворенность стилем руководства и другие (рис. 2).
Рис. 2. Основные причины смены места работы у
менеджеров продаж
Изучение уровня стрессоустойчивости у
специалистов сферы активных продаж
По результатам диагностики уровня
стрессоустойчивости мы получили следующие результаты: 50% (20 человек)
испытуемых имеют высокий уровень стрессоустойчивости, 50 % (20 человек)
испытуемых имеют средний уровень стрессоустойчивости, 0% имеют низкий уровень
стрессоустойчивости, это можно объяснить тем, что стрессоустойчивость является
профессионально важным качеством специалистов сферы активных продаж (рис. 3).
Рис. 3. Диаграмма уровня стрессоустойчивости у
специалистов сферы продаж
Изучение взаимосвязи уровня стрессоустойчивости
и частоты смены мест работы у специалистов сферы активных продаж
Для изучения взаимосвязи между уровнем
стрессоустойчивости и частоты смены мест работы был использован метод линейной
корреляции Пирсона. Коэффициент корреляции r = 0,1884, t = 1,183, число
степеней свободы 38, p = 0,002, для n = 40.
Следовательно, корреляция статистически значима,
таким образом, одна из гипотез подтвердилась: существует взаимосвязь между
уровнем стрессоустойчивости и частотой смены мест работы у специалистов сферы
активных продаж.
Изучение личностных особенностей у специалистов
сферы активных продаж с различным уровнем стрессоустойчивости
С помощью метода психодиагностики, были выявлены
черты личности, характерные для специалистов сферы активных продаж и составлен
усредненный профиль, представленный на рисунке 4.
Рис.4. Средние значения факторов личности по
опроснику Кеттела у специалистов сферы активных продаж
Средние показатели (от 5 до 7) по факторам A, C,
D, E, F, L, M, N, Q3; низкие (от 0 до 5) - по факторам H, O, Q2, Q4; высокие
(от 7 до 10) - по факторам В, G, Q1. Специалисты сферы продаж характеризуются
такими чертами личности как: развитое мышление, сознательность, радикализм,
нерешительность, самоуверенность, но в тоже время зависимость от чужого мнения
и низкий уровень внутренней напряженности. Развитое мышление и отсутствие
консерватизма объясняется необходимостью творческого подхода к решению рабочих
задач. Высокий уровень сознательности необходим менеджерам продаж в силу
специфики работы, так как уровень заработной платы у работников сферы активных
продаж напрямую зависит от выполнения задач и планов продаж. Нерешительность и
зависимость от чуждого мнения у специалистов по продажам объясняется
необходимостью формирования положительного отношения со стороны клиента (так
называемая, клиенториентированность). Высокий уровень самоуверенности и низкий
уровень внутреннего напряжения определяется необходимостью частого установления
контакта, как правило, с незнакомыми людьми.
Для изучения личностных особенностей у
специалистов сферы активных продаж с различным уровнем стрессоустойчивости мы
разделили и сравнили две группы испытуемых (группу специалистов с высоким
уровнем стрессоустойчивости и группу со средним уровнем стрессоустойчивости).
Рис.5. Изучение черт личности у специалистов
сферы активных продаж с высоким уровнем стрессоусточивости
Специалисты по продажам с высоким уровнем
стрессоустойчивости по факторам A, C, E, H, M имеют более высокие показатели,
чем специалисты со средним уровнем стрессоустойчивости, в то время как
специалисты по продажам со средним уровнем стрессоустойчивости имеют более
высокие показатели по факторам N, O, Q2, Q4, L. Таким образом, менеджеры продаж
с высоким уровнем стрессоустойчивости более открыты, имеют более высокий
уровень эмоциональной устойчивости, в меньшей степени зависят от мнения других
людей, более смелы, менее практичны. В то время как менеджеры со средним
уровнем стрессоустойчивости эстетически более разборчивы, имеют большую
склонность к чувству вины, более самостоятельны, имеют более высокий уровень
внутренней напряженности и подозрительности.
Далее по каждому из факторов с помощью
t-критерия Спирмена для независимых выборок мы определили значимость различий.
Различия статистически значимы для факторов A
(открытость - замкнутость), C (эмоциональная устойчивость), E (доминирование -
подчинение), Н (смелость), L (подозрительность - доверчивость), М (богемность -
практичность), N (утонченность - простота), O (склонность к чувству вины -
спокойная самоуверенность), Q2 (самостоятельность - зависимость от группы), Q4
(внутренняя напряженность - внутренняя расслабленность).
По фактору A (открытость - замкнутость), при t =
6,376, p = 0,00, различия у специалистов продаж со средним и высоким уровнем стрессоустойчивости
статистически значимы. При чем, специалисты сферы активных продаж с высоким
уровнем стрессоустойчивости характеризуются тем, что они более открыты в
общении, более внимательны к людям, больше нацелены на сотрудничество, в
большей степени приветливы, уживчивы, внимательный к людям, естественны в
обращении. Специалисты со средним уровнем стрессоустойчивости более замкнуты,
скептичны, менее гибки в отношениях с людьми, в большей степени
бескомпромиссны.
По фактору С (эмоциональная устойчивость), при t
= 5,649, p = 0,00, различия у специалистов продаж с высоким и средним уровнем
стрессоустойчивости статистически значимы. Менеджеры продаж с высоким уровнем
стрессоустойчивости в большей степени обладают такими качествами как
спокойствие, зрелость, уверенность, а также, чувственно более постоянны, меньше
опасаются сложных ситуаций, эмоционально более устойчивы. Менеджеры со средним
уровнем стрессоустойчивости более нетерпимы и нетерпеливы, раздражительны,
склонный к озабоченности и огорчениям, склонны откладывать решение сложных
вопросов.
По фактору E (доминирование - подчинение), при t
= 3,706, p = 0,00, различия у специалистов продаж с высоким и средним уровнем
стрессоустойчивости статистически значимы. При этом менеджеры продаж с высоким
уровнем стрессоустойчивости характеризуются тем, что они в большей мере
независимы, самоуверенны, тверды, серьезны, менее уступчивы, обладают большей
оригинальностью. Менеджеры со средним уровнем стрессоустойчивости более
податливы и уступчивый, в большей степени зависимы, больше склонны к таким
проявлениям как: ласка и мягкосердечность, чаще дают волю чувствам, легко
впадают в смятение, застенчивы, конформны.
По фактору H (смелость - застенчивость), при t =
2,833, p = 0,006, различия у специалистов продаж с высоким и средним уровнем
стрессоустойчивости статистически значимы. У людей с высоким уровнем
стрессоустойчивости преобладают такие качества как: смелость, склонность к
риску, такие люди легко находят контакт, отличаются реактивностью и бодростью.
Люди со средним уровнем стрессоустойчивости обладают противоположными
качествами, а именно: застенчивостью и нерешительностью.
По фактору L (подозрительность - доверчивость),
при t = -15,00, p = 0,00, различия у специалистов продаж с высоким и средним
уровнем стрессоустойчивости статистически значимы. При этом специалисты по
продажам с высоким уровнем стрессоустойчивости более дружелюбны и открыты, с
пониманием относятся к людям, более снисходительны и спокойны, не завистливы,
лучше ладят с людьми. Специалисты по продажам со средним уровнем
стрессоустойчивости в большей степени подозрительны, ревнивый, замкнуты в себе,
имеют излишнее самомнение, задумчивы, а также более раздражительны и тверды.
По фактору М (богемность - практичность), при t
=2,663, p = 0,009, различия у специалистов продаж с высоким и средним уровнем
стрессоустойчивости статистически значимы. Менеджеров продаж с высоким уровнем
стрессоустойчивости можно охарактеризовать как: в большей степени интерналы,
интересуются искусством, теорией, смыслом жизни, имеют богатое воображение, в
большей степени беспомощны в практических делах, преимущественно веселы, в
коллективе конфликтны, у таких людей не исключены истерические аномалии.
Менеджеры продаж со средним уровнем стрессоустойчивости обладают в большей степени
противоположными качествами: практичность, они больше интересуются фактами,
имеют узкий круг интересов, направленных на непосредственный успех, также
надежны, серьезны и заботливы, ориентированы на внешнюю реальность,
общепринятые нормы, уделяют большое количество внимания мелочам, но им иногда
не хватает творческого воображения.
По фактору N (утонченность - простота), при t =
-15,00, p = 0,00, различия у специалистов продаж с высоким и средним уровнем
стрессоустойчивости статистически значимы. Люди с высоким уровнем
стрессоустойчивости обладают такими качествами как: проста, открытость,
спонтанность в поведении, в обществе, обладают простым вкусом, у них в меньшей
степени присутствует самоанализ, они не склонны анализировать мотивы поведения
других, довольны тем, что имеют. Со средним уровнем стрессоустойчивости люди
более утонченны, эстетически разборчивы, честолюбивы, обладают высоким уровнем
самоконтроля, но при этом несколько в себе не уверены и в меньшей степени
удовлетворены своим положением.
По фактору O (склонность к чувству вины -
спокойная самоуверенность), при t = -5,152, p = 0,01, различия у специалистов
продаж с высоким и средним уровнем стрессоустойчивости статистически значимы.
Специалистов сферы активных продаж можно охарактеризовать спокойных и упрямых
людей, которые видят смысл в целесообразности, они несколько неряшливы и
бесстрашны, нечувствительны к мнению о себе. А специалистов со средним уровнем
стрессоустойчивости можно охарактеризовать следующим образом: склонность к
чувству вины, боязливы, неуверенны в себе, обладают повышенным уровнем
тревожности, депрессивны, они легко впадает в растерянность, обладают сильным
чувством долга, чересчур заботливы, полны страхов, подвержены настроению.
По фактору Q2 (самостоятельность - зависимость от
группы), при t = -6,245, p = 0,00, различия у специалистов продаж с высоким и
средним уровнем стрессоустойчивости статистически значимы. Специалисты с
высоким уровнем стрессоустойчивости в большей степени зависимы от чужого
мнения, предпочитают принятие решения вместе с другими людьми, ориентированы на
социальное одобрение. У специалистов со средним уровнем стрессоустойчивости,
напротив, отмечается большая самостоятельность, для них приоритетно собственное
мнение, проявляют независимость во взглядах, стремяться к самостоятельным
решениям и действиям.
По фактору Q4 (внутренняя напряженность), при t
= -4,762, p = 0,00, различия у специалистов продаж с высоким и средним уровнем
стрессоустойчивости статистически значимы. Менеджеры по продажам с высоким
уровнем стрессоустойчивости обладают меньшим внутренним напряжением, менеджеры
со средним уровнем стрессоустойчивости, напротив, большим уровнем внутренней
напряженности.
По фактору В (развитое мышление - ограниченное
мышление), при t = -1,305, p = 0,196; по фактору F (беспечность -
озабоченность), при t = 0,124, p = 0,902; по фактору G (сознательность -
беспринципность), при t = 0,00, p = 1,00; по фактору I (чувственность -
твердость), при t =1,237, p = 0,202; по фактору Q1 (радикализм - консерватизм),
при t = 1,883, p = 0,063 и по фактору Q3 (сила воли - индиффирентнность), при t
=2,828, p = 0,06; различия у специалистов продаж с высоким и средним уровнем
стрессоустойчивости статистически не значимы.
Таким образом, наша гипотеза о том, что у
специалистов сферы активных продаж с высоким и средним уровнем
стрессоустойчивости существуют различия личностных особенностей, подтвердилась.
Таблица 1. Сравнительный анализ личностных
особенностей специалистов сферы активных продаж с разным уровнем
стрессоустойчивости
|
Черты
личности
|
Уровень
стрессоустойчивости
|
|
Фактор
|
Высокий
|
Средний
|
|
A
|
+
|
-
|
|
B
|
различия
не значимы
|
|
C
|
+
|
-
|
|
E
|
+
|
-
|
|
F
|
различия
не значимы
|
|
G
|
различия
не значимы
|
|
H
|
+
|
-
|
|
I
|
различия
не значимы
|
|
L
|
-
|
+
|
|
M
|
+
|
-
|
|
N
|
-
|
+
|
|
O
|
-
|
+
|
|
Q1
|
различия
не значимы
|
|
Q2
|
-
|
+
|
|
Q3
|
различия
не значимы
|
|
Q4
|
-
|
+
|
Примечание: + - личностная черта наиболее
выражена; - - личностная черта наименее выражена.
Таким образом, специалисты сферы активных продаж
характеризуются такими чертами личности как: развитое мышление, радикализм, что
объясняется необходимостью творческого подхода к решению рабочих задач;
сознательность, которая определяется спецификой работы и расчета заработной
платы у менеджеров продаж; нерешительность и зависимость от чужого мнения, что
объясняется необходимостью ориентации на клиента; высокий уровень
самоуверенности и низкий уровень внутреннего напряжения определяется
необходимостью частого установления контакта, как правило, с незнакомыми
людьми.
У специалистов сферы активных продаж с высоким
уровнем стрессоустойчивости значимо выше такие качества, как: открытость
(фактор А), эмоциональная устойчивость (фактор C), доминирование (фактор Е),
смелость (фактор Н), богемность (фактор М). В то время как у менеджеров продаж
со средним уровнем стрессоустойчивости преобладают такие факторы, как: простота
(фактор N), склонность к чувству вины (фактор О), самостоятельность (фактор
Q2), внутренняя напряженность (фактор Q4), подозрительность (фактор L).
.3 Рекомендации
Опираясь на результаты исследования и
теоретические и практические знания рекрутинга (поиск и подбор
квалифицированного персонала) мы разработали следующие рекомендации для
специалистов по работе с персоналом.
При подборе и оценке персонала на вакантные
должности специалистов сферы активных продаж осуществлять оценку уровня стрессоустойчивости,
с целью прогноза продолжительности работы.
При подборе и оценке персонала на вакантные
должности специалистов сферы активных продаж осуществлять оценку уровня
стрессоустойчивости, с целью прогноза качества исполнения задач, определяющих
эффективность работы специалиста.
При сопроводительной работе сотрудников отдела
продаж компании, учитывать уровень стрессоустойчивости и особенности личности
для разработки общих и индивидуальных рекомендаций для профилактики стресса.
.4 Выводы
. При изучении частоты смены мест работы у
специалистов сферы активных продаж мы получили следующие результаты: 12,5 % за
последние 5 лет ни разу не сменили работу, столько же (12,5 %) за последние 5
лет сменили работу 1 раз. Равное количество: по 37,5% сменили место работы за
последние 5 лет 2 и 3 раза.
. При изучении уровня стрессоустойчивости было
выявлено, что равное количество испытуемых (по 50%) имеют высокий и средний
уровень стрессоустойчивости, 0% имеют низкий уровень стрессоустойчивости, что
объясняется тем, что стрессоустойчивость является профессионально важным
качеством у менеджеров продаж.
. В ходе исследования была установлена
взаимосвязь между уровнем стрессоустойчивости и частотой смены мест работы у
специалистов сферы активных продаж (при r = 0,1884, t = 1,183, для n = 40).
. Было установлено, что существуют особенности
личности у специалистов сферы активных продаж с различным уровнем
стрессоустойчивости. Различия значимы по 10 факторам из 16. При чем, у
специалистов сферы активных продаж с высоким уровнем стрессоустойчивости
значимо выше такие качества, как: открытость (фактор А), эмоциональная
устойчивость (фактор C), доминирование (фактор Е), смелость (фактор Н),
богемность (фактор М); у специалистов со средним уровнем стрессоустойчивости -
простота (фактор N), склонность к чувству вины (фактор О), самостоятельность
(фактор Q2), внутренняя напряженность (фактор Q4), подозрительность (фактор L).
Заключение
Нами было проведено исследование на тему:
«Психологические условия, определяющие частоту смены мест работы у специалистов
сферы активных продаж». Были выделены теоретические основы проблемы
стрессоустойчивости, смены мест работы, а также личностных черт в научной
психологической литературе. Мы определили, что стрессоустойчивость индивида напрямую
связана с его личностными особенностями. Предпосылками, побуждающими сменить
человека место работы могут послужить: нормативный кризис профессионального
становления личности, незавершенный этап профессионального самоопределения,
специфика работы специалистов сферы активных продаж, экономическая ситуация на
том или ином сегменте рынка, географическая принадлежность работника, развитие
и усовершенствование методологии рекрутинга. К психологическим условиям,
определяющим частоту смены мест работы, относят: особенности личности, уровень
стрессоустойчивости, потребности личности, особенности развития личности в
профессиональном становлении.
Нами была выдвинута гипотеза, о том, что
существуют психологические условия, определяющие частоту смены мест работы у специалистов
сферы активных продаж, при этом мы исходили из следующих допущений:
Существует взаимосвязь между уровнем
стрессоустойчивости и частотой смены мест работы у специалистов сферы активных
продаж.
Существуют особенности личности у специалистов
сферы активных продаж с различным уровнем стрессоустойчивости.
Было проведено исследование, в ходе которого мы
определили, равное количество (по 12,5 %) менеджеров по продажам за последние 5
лет ни разу не сменили работу и сменили работу 1 раз, за последние 5 лет. 37,5%
сменили место работы за последние 5 лет 2 раза, столько же - сменили работу 3
раза.
При изучении уровня стрессоустойчивости было
выявлено, что равное количество испытуемых (по 50%) имеют высокий и средний
уровень стрессоустойчивости, 0% имеют низкий уровень стрессоустойчивости, что
объясняется тем, что стрессоустойчивость является профессионально важным
качеством у менеджеров продаж.
В ходе исследования нами было установлено, что
существует взаимосвязь между уровнем стрессоустойчивости и частотой смены мест
работы у специалистов сферы активных продаж (при r = 0,1884, t = 1,183, для n =
40), а также, существуют особенности личности у специалистов сферы активных
продаж с различным уровнем стрессоустойчивости. Различия значимы по 10 факторам
из 16. При чем, у специалистов сферы активных продаж с высоким уровнем
стрессоустойчивости значимо выше такие качества, как: открытость (фактор А),
эмоциональная устойчивость (фактор C), доминирование (фактор Е), смелость
(фактор Н), богемность (фактор М); у специалистов со средним уровнем
стрессоустойчивости - простота (фактор N), склонность к чувству вины (фактор
О), самостоятельность (фактор Q2), внутренняя напряженность (фактор Q4),
подозрительность (фактор L).
Таким образом, обе выдвинутые гипотезы нашли
свое подтверждение. Нами были разработаны рекомендации для специалистов,
осуществляющих подбор и оценку специалистов сферы продаж.
Литература
1. Асеев
В.Г. Психология труда: учебное пособие. - Ч. 1. - Иркутск: Иркут. ун-т, 2004.
2. Анастази
А. Психологическое тестирование: Книга 2; Пер. с англ. /Под ред. К.М. Гуревича,
В.И. Лубовского. - М.: Педагогика, 1982.
. Бодров
В.А. Психологический стресс: Развитие учения и современное состояние проблемы.
- М, 1995.
. Божович
Л.И. Личность и ее формирование в детском возрасте.- М., 1968.
. Вавилов
Ю.П. Психологические особенности и основные факторы профессионального
самоопределения старшеклассников средней школы: Автореф. канд. дис.- Ярославль,
1971.
. Вопросы
профориентации, адаптации и профессиональной подготовки. Сборник научных
трудов,- Иркутск, 1994
. Выготский
Л.С. Психология развития человека. - М.: Изд-во Смысл, 2004.
. Гамезо
М.В., Домашенко И.А. Атлас по психологии информационно-методическое пособие к
курсу «Психология человека». - М.: Педагогическое общество России, 2001.
. Гмурман
Б.Е. Руководство к решению задач по теории вероятности и математической
статистике. - М.: «Высшая школа», 1998.
. Голизек
Э. Преодоление стресса за 60 секунд/ Пер. с англ. Н.Б, Прутковской. - М.:
КРОН-ПРЕСС, 1995.
. Зеер
Э.Ф. Психология профессий (http://www.bookw.narod.ru/zeer.htm)
. Изард
К. Психология эмоций. - М.: Владос, 1980.
. Кабрин
В.И. Психология коммуникативного развития человека как личности. - М.: Владос,
1993.
. Калмыкова
З.И. Продуктивное мышление как основа обучаемости. - М.: Владос,1981.
. Катаев
- Смык Л.А. Психология стресса. - М.: Владос, 1983,
. Климов
Е.А. Психология профессионального самоопределения: Учеб. пособие для студ.
высш. пед. учеб. заведений. - М.: Издательский центр «Академия», 2004.
. Леонтьев
А.Н. Проблемы развития психики. - М.: Педагогика, 1972.
. Методики
диагностики и измерения психических состояний личности/ автор и составитель
А.О. Прохоров. - М.: ПЕР СЭ, 2004
. Немов
Р.С. Психология. Кн. 1 - М.: Владос, 2002
. Немов
Р.С. Практическая психология. - М.: Владос, 1998
. Пермякова
В.А. Возрастное развитее детей, его предпосылки и закономерности. - Иркутск:
ИГЛУ, 2001.
. Петровский
А.В., Психология развивающейся личности. - М.: Педагогика, 1987.
. Практикум
по общей, экспериментальной и прикладной психологии /Под ред. А.А. Крылова,
С.А. Маничева. - СПб.: Питер, 2000.
. Практическая
психодиагностика. Методики и тесты. Самара, 1998.
. Прохоров
А.О. Методы психической саморегуляции. - Казань, 1990.
. Рогов
Е.И. Настольная книга практического психолога: Учеб. пособие: В 2 кн.- М.:
Изд-во Владос-ПРЕСС, 2002.- Кн.2: Работа психолога со взрослыми. Коррекционные
приёмы и упражнения.
. Рубинштейн
С.Л. Основы общей психологии. СПб.: Питер, 2002.
. Селье
Г. Стресс без дистресса. М.: Дрофа, 1979.
. Социальный
стресс и психическое здоровье /Под ред. академика РАМН проф. Т.Б. Дмитриевой и
проф. А.И. Воложина. М.: ГОУ ВУНМЦ МЗ РФ, 2001
. Толочек
В.А. Современная психология труда: Учебное пособие. - СПб.: Питер, 2006.
. Виноградова
М.Д. Воспитательная работа с подростками в школе по выбору профессии.- М.:
Союз, 1961.
. Захаров
А.И. Психологические особенности диагностики и оптимизации взаимоотношений в
конфликтной семье.- Вопросы психологии, 1981, № 3, с. 58-68.
. Иванов
Н.Я., Личко А.Е. Усовершенствованный метод патохарактерологического
исследования подростков.- Л., 1983.
. Климов
Е.А., Королькова Г.Ф. О некоторых эмоциональных переживаниях как
психодиагностических индикаторах в профконсультации.- В кн.: Проблемы
интегрального исследования индивидуальности. - Пермь, 1978.
. Климов
Е.А. Общая типология ситуаций (казусов) и структура мыслительных задач,
возникающих в практике работы профконсультанта.- Научные труда ВНИИ
профтехобразования.- Л., 1976, вып. 32.
. Климов
Е.А. Путь в профессию.- Л., 1974.
. Крягжде
С.П. Психология формирования профессиональных интересов.- Вильнюс, 1981.
. Кудрявцев
Т.В. Психолого-педагогические проблемы высшей школы.- Вопросы психологии, 1981,
№ 2, с. 20-30.
. Кудрявцев
Т.В., Шегурова В.Ю. Психологический анализ динамики профессионального самоопределения
личности.- Вопросы психологии, 1983, № 2, с. 51.
. Левитов
Н.Д. Психология характера. - М., 1969.
. Овсянникова
В.В. Самооценка учащегося ПТУ как субъекта профессиональной деятельности:
Автореф. канд. Дис. - Л., 1982.
. Рожанец
Р.В. Психогигиенические аспекты профессиональной ориентации.- В сб.:
Методологические и теоретические вопросы трудового обучения, воспитания и
профессиональной ориентации школьников. М., 1980.
. Смирнов
А.Г. Профессиональное самоопределение старших школьников и его влияние на
отношение к учению: Автореф. канд. дис.- Л., 1975с.
. Сухарев
А.В. Связь личностных особенностей подростков и выбора ими пути
профессионального становления.- В сб.: Актуальные вопросы подготовки
инженеров-педагогов. Свердловск, 1983.
. Титкова
Л.С. Математические методы в психологии: Учебное пособие. - Владивосток: ТИДОТ
ДВГУ, 2002.
. Чебышева
В.В. Психологические проблемы профориентации школьников// Вопросы психологии,
1971, № 1, с. 14-19.
. Шавир
П.А. Психология профессионального самоопределения в ранней юности.- М., 1981.
. Хьелл
Л., Зиглер Д. Теории личности. - СПб.: Питер, 2005. 3. Подготовка школьников к
выбору профессии / Под ред. А.А. Бардиковой.- М., 1966.
. http://www.executive.ru/news
. http://www.hh.ru/
Приложения
Приложение 1. Показатели 16-ти факторного
опросника Кеттела у специалистов сферы активных продаж с высоким уровнем
стрессоустойчивости
|
Ср.зн.
|
|
a
|
7
|
5
|
7
|
6
|
7
|
7
|
5
|
7
|
4
|
7
|
5
|
8
|
5
|
7
|
6
|
7
|
6
|
7
|
6
|
6,25
|
|
b
|
6
|
7
|
9
|
10
|
5
|
8
|
8
|
11
|
6
|
7
|
8
|
12
|
7
|
7
|
10
|
10
|
6
|
6
|
8
|
9
|
8
|
|
c
|
9
|
7
|
8
|
7
|
8
|
7
|
7
|
7
|
9
|
8
|
8
|
7
|
7
|
9
|
8
|
7
|
9
|
7
|
8
|
7
|
7,7
|
|
d
|
9
|
5
|
6
|
7
|
9
|
5
|
7
|
7
|
9
|
6
|
6
|
7
|
9
|
6
|
5
|
7
|
9
|
5
|
6
|
7
|
6,85
|
|
e
|
5
|
10
|
3
|
10
|
4
|
4
|
3
|
6
|
5
|
10
|
3
|
3
|
5
|
3
|
4
|
10
|
5
|
7
|
5
|
8
|
5,65
|
|
f
|
3
|
7
|
5
|
8
|
3
|
7
|
5
|
8
|
3
|
7
|
5
|
8
|
3
|
7
|
5
|
8
|
3
|
7
|
5
|
8
|
5,75
|
|
g
|
#
|
7
|
6
|
9
|
10
|
7
|
6
|
9
|
10
|
7
|
6
|
9
|
10
|
7
|
6
|
9
|
10
|
7
|
6
|
9
|
8
|
|
h
|
4
|
3
|
6
|
4
|
6
|
3
|
4
|
4
|
4
|
3
|
5
|
3
|
4
|
3
|
4
|
3
|
6
|
3
|
6
|
4
|
4,1
|
|
l
|
5
|
3
|
4
|
3
|
4
|
3
|
3
|
5
|
5
|
3
|
4
|
3
|
4
|
3
|
3
|
3
|
5
|
4
|
4
|
3
|
3,7
|
|
m
|
7
|
9
|
6
|
4
|
6
|
4
|
9
|
7
|
7
|
9
|
6
|
7
|
7
|
6
|
4
|
9
|
7
|
9
|
6
|
4
|
6,65
|
|
n
|
3
|
6
|
2
|
4
|
3
|
2
|
4
|
6
|
2
|
3
|
2
|
4
|
2
|
5
|
2
|
4
|
3
|
5
|
3
|
4
|
3,45
|
|
o
|
1
|
5
|
5
|
3
|
1
|
2
|
5
|
2
|
5
|
3
|
2
|
4
|
4
|
5
|
3
|
2
|
1
|
1
|
2
|
5
|
3,05
|
|
q1
|
9
|
10
|
10
|
7
|
9
|
10
|
10
|
7
|
9
|
10
|
10
|
7
|
9
|
10
|
10
|
7
|
9
|
10
|
10
|
7
|
9
|
|
q2
|
4
|
1
|
3
|
4
|
4
|
4
|
4
|
2
|
1
|
2
|
3
|
2
|
4
|
2
|
3
|
4
|
4
|
2
|
3
|
4
|
3
|
|
q3
|
6
|
5
|
6
|
6
|
6
|
5
|
6
|
5
|
6
|
5
|
6
|
5
|
7
|
6
|
5
|
5
|
6
|
6
|
6
|
5
|
5,65
|
|
q4
|
3
|
5
|
2
|
5
|
3
|
5
|
2
|
5
|
3
|
4
|
2
|
5
|
3
|
4
|
2
|
3
|
3
|
5
|
2
|
5
|
3,55
|
Приложение 2. Показатели 16-ти факторного
опросника Кеттела у специалистов сферы активных продаж со средним уровнем стрессоустойчивости
|
Ср.зн.
|
|
a
|
6
|
5
|
3
|
3
|
7
|
6
|
3
|
6
|
5
|
6
|
4
|
7
|
3
|
2
|
4
|
6
|
5
|
3
|
3
|
4,55
|
|
b
|
7
|
10
|
8
|
8
|
7
|
10
|
8
|
8
|
7
|
10
|
8
|
8
|
7
|
10
|
8
|
8
|
7
|
10
|
8
|
8
|
8,25
|
|
c
|
7
|
7
|
8
|
6
|
7
|
7
|
7
|
5
|
8
|
6
|
5
|
5
|
7
|
7
|
6
|
5
|
7
|
5
|
5
|
7
|
6,35
|
|
d
|
5
|
8
|
5
|
4
|
5
|
8
|
5
|
4
|
5
|
8
|
5
|
4
|
5
|
8
|
5
|
4
|
5
|
8
|
5
|
4
|
5,5
|
|
e
|
8
|
4
|
4
|
5
|
8
|
4
|
8
|
5
|
5
|
5
|
5
|
4
|
8
|
8
|
3
|
5
|
4
|
5
|
4
|
4
|
5,3
|
|
f
|
4
|
7
|
7
|
5
|
4
|
7
|
7
|
5
|
4
|
7
|
7
|
5
|
4
|
7
|
7
|
5
|
4
|
7
|
7
|
5
|
5,75
|
|
g
|
6
|
10
|
6
|
5
|
6
|
10
|
6
|
5
|
6
|
10
|
6
|
5
|
6
|
10
|
6
|
5
|
6
|
10
|
6
|
5
|
6,75
|
|
h
|
6
|
6
|
2
|
1
|
6
|
6
|
3
|
3
|
4
|
5
|
2
|
1
|
6
|
6
|
3
|
1
|
2
|
6
|
2
|
5
|
3,8
|
|
l
|
6
|
7
|
7
|
5
|
6
|
7
|
7
|
6
|
6
|
6
|
7
|
6
|
6
|
5
|
7
|
6
|
5
|
6
|
7
|
6
|
6,2
|
|
m
|
4
|
7
|
7
|
4
|
6
|
7
|
5
|
4
|
4
|
7
|
6
|
4
|
6
|
7
|
4
|
4
|
4
|
5
|
7
|
4
|
5,3
|
|
n
|
7
|
8
|
8
|
7
|
6
|
8
|
8
|
7
|
7
|
8
|
7
|
7
|
7
|
8
|
9
|
7
|
8
|
7
|
8
|
7
|
7,45
|
|
o
|
6
|
5
|
3
|
4
|
6
|
3
|
5
|
9
|
6
|
5
|
3
|
3
|
5
|
5
|
3
|
7
|
6
|
6
|
3
|
9
|
5,1
|
|
q1
|
9
|
7
|
8
|
10
|
9
|
7
|
8
|
10
|
9
|
7
|
8
|
10
|
9
|
7
|
8
|
10
|
9
|
7
|
8
|
10
|
8,5
|
|
q2
|
3
|
6
|
4
|
7
|
3
|
5
|
4
|
7
|
4
|
6
|
4
|
5
|
3
|
6
|
5
|
7
|
5
|
3
|
3
|
7
|
4,85
|
|
q3
|
2
|
4
|
8
|
5
|
2
|
5
|
8
|
6
|
2
|
4
|
8
|
3
|
2
|
4
|
8
|
5
|
2
|
4
|
8
|
5
|
4,75
|
|
q4
|
4
|
6
|
5
|
6
|
6
|
6
|
4
|
4
|
4
|
6
|
5
|
6
|
4
|
5
|
4
|
6
|
4
|
6
|
6
|
6
|
5,15
|