Корреляция для нелинейной регрессии
ГОСУДАРСТВЕННОЕ
ОБРАЗОВАТЕЛЬНОЕ УЧРЕЖДЕНИЕ
ВЫСШЕГО
ПРОФЕССИОНАЛЬНОГО ОБРАЗОВАНИЯ
«КАЛМЫЦКИЙ
ГОСУДАРСТВЕННЫЙ УНИВЕРСИТЕТ»
Контрольная
работа
по
дисциплине: «Эконометрика»
на
тему: «Корреляция для нелинейной регрессии»
Выполнила: студентка 3 курса
экономического факультета
заочного обучения специальности
«Бухгалтерский учет, анализ и аудит»
Проверил:
Уравнение нелинейной регрессии, так же как и в
линейной зависимости, дополняется показателем корреляции, а именно индексом
корреляции (R):
где
Так как
то индекс корреляции можно выразить как
Величина данного показателя находится в границах
чем
ближе к единице, тем теснее связь рассматриваемых признаков, тем более надежно
найденное уравнение регрессии.
Парабола второй степени, как и полином, более
высокого порядка, при линеаризации принимает вид уравнения множественной
регрессии. Если же нелинейное относительно объясняемой переменной уравнение
регрессии при линеаризации принимает форму линейного уравнения парной
регрессии, то для оценки тесноты связи может быть использован линейный
коэффициент корреляции, величина которого в этом случае совпадает с индексом
корреляции
- преобразованная
величина признака-фактора, например

Между тем при расчете индекса корреляции
используются суммы квадратов отклонений признака y,
а не их логарифмов. С этой целью определяются теоретические значения
результативного признака, т. е.
, как антилогарифм
рассчитанной по уравнению величины
и
остаточная сумма квадратов как
. Индекс корреляции
определяется по формуле
В знаменателе расчета
участвует
общая сумма квадратов отклонений фактических значений y
от их средней величины, а в расчете
участвует
Соответственно
различаются и числители рассматриваемых показателей:
Не совпадают данные показатели и для уравнения
регрессии в виде экспоненты, ибо при преобразовании в линейную форму
рассчитывается линейный коэффициент корреляции между x
и логарифмом y , т. е. опять
заменяется
и
заменяется
на
При
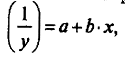
использовании в преобразовании нелинейных соотношений в линейную форму обратных
значений результативного признака, т. е. 1/y
, индекс корреляции
также не будет
совпадать ч линейным коэффициентом корреляции. В этом случае при определении
индекса корреляции практически используется формула
т.е. теоретические значения
определяются
не непосредственно по данным y
и x , а на основе
уравнения
нелинейный регрессия уравнение индекс
которое может быть дополнено линейным
коэффициентом корреляции между
При определении
используется
сумма квадратов отклонений
, которая
раскладывается на факторную и остаточную.
Вследствие близости результатов и простоты
расчета с использованием компьютерных программ для характеристики тесноты связи
по нелинейным функциям широко используется линейный коэффициент корреляции.
Несмотря на близость значений
в нелинейных
функциях с преобразованием значений признака y
, следует помнить, что если при линейной зависимости признаков один и тот же
коэффициент корреляции характеризует регрессию как
так
и
так
как
то
при криволинейной зависимости
для функции
не
равен
для
регрессии
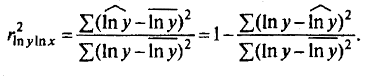
Поскольку в расчете индекса корреляции
используется соотношение факторной и общей суммы квадратов отклонений, то
имеет
тот же смысл, что и коэффициент детерминации. В специальных исследованиях
величину
для
нелинейных связей называют индексом детерминации.
Оценка существенности индекса корреляции
проводится, так же как и оценка надежности коэффициента корреляции.
Индекс детерминации используется для проверки
существенности в целом уравнения нелинейной регрессии по F-критерию
Фишера:
Величина m
характеризует число степеней свободы для факторной суммы квадратов, а (n
- m - 1) - число
степеней свободы для остаточной суммы квадратов.
Для степенной функции
и
формула F - критерия примет
тот же вид, что и при линейной зависимости:
Для параболы второй степени
и
Индекс детерминации
можно
сравнивать с коэффициентом детерминации
для
обоснования возможности применения линейной функции. Чем больше кривизна линии
регрессии, тем величина коэффициента детерминации
меньше
индекса детерминации
. Близость этих
показателей означает, что нет необходимости усложнять форму уравнения регрессии
и можно использовать линейную функцию. Практически если величина
не
превышает 0,1, то предположение о линейной форме связи считается оправданным. В
противном случае проводится оценка существенности различия
,
вычисленных по одним и тем же исходным данным, через t-критерий
Стьюдента:
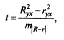
где
-
ошибка разности между
и
,
определяемая по формуле
Если
,
то различия между рассматриваемыми показателями корреляции существенны и замена
нелинейной регрессии уравнением линейной функции невозможна. Практически если
величина
,
то различия между
и
несущественны,
и, следовательно, возможно применение линейной регрессии, даже если есть
предположения о некоторой нелинейности рассматриваемых соотношений признаков
фактора и результата.
Список литературы:
1. Эконометрика:
Учебник / Под ред. И. И. Елисеевой. - М.: Финансы и статистика, 2006. - 576 с.
. Елисеева
И.И. Практикум по эконометрике: Учебное пособие. - М.: Финансы и статистика,
2005 - 192 с.
. Шалбанов
А. К., Роганов Д. А. Практикум по эконометрике с применением MS
Excel: - Казань:
Академия управления «ТИСБИ», 2008 - 53 с.