Обязательное страхование гражданской ответственности владельцев автотранспортных средств (на примере ASITO, SA)

  • Вид работы:
    Контрольная работа
  • Предмет:
    Банковское дело
  • Язык:
    Русский
    ,
    Формат файла:
    MS Word
    42,74 kb
  • Опубликовано:
    2011-12-26
Вы можете узнать стоимость помощи в написании студенческой работы.
Помощь в написании работы, которую точно примут!

Обязательное страхование гражданской ответственности владельцев автотранспортных средств (на примере ASITO, SA)

МИНИСТЕРСТВО ПРОСВЕЩЕНИЯ РЕСПУБЛИКИ МОЛДОВА

СЛАВЯНСКИЙ УНИВЕРСИТЕТ

ЭКОНОМИЧЕСКИЙ ФАКУЛЬТЕТ

Кафедра Бухгалтерского учёта и финансов









Контрольная работа № 2

по дисциплине «Страхование и перестрахование»

на тему: ОБЯЗАТЕЛЬНОЕ СТРАХОВАНИЕ ГРАЖДАНСКОЙ ОТВЕТСТВЕННОСТИ ВЛАДЕЛЬЦЕВ АВТОТРАНСПОРТНЫХ СРЕДСТВ (на примере ASITO, SA)

Выполнил:

Студент III курса

Специальность Финансы и Банки

Панаите Олег

Проверила:

Черга Т.Б.

КИШИНЭУ-2011

СОДЕРЖАНИЕ

Введение

Часть I. Теоретические аспекты обязательного страхования гражданской ответственности владельцев автотранспортных средств

.1 Термины, используемые в ОСАГО

.2 Законодательно-нормативное регулирование ОСАГО

.3 Сущность ОСАГО

.3.1 Экономическое содержание ОСАГО

.3.2 Юридическое содержание ОСАГО

.3.3 Особенности страхового возмещения

.3.4 ОСАГО в РМ и в международной практике

Часть II. Рассмотрение обязательного страхования гражданской ответственности владельцев автотранспортных средств на примере ASITO, SA

.1 Общая характеристика деятельности компании и виды предоставляемых услуг

.2 Преимущество ОСАГО в ASITO,SA

.3 Права и обязанности сторон договора страхования

.4 Расчёт базовой страховой премии по ОСАГО в Молдове

Заключение

Приложения

Приложения № 1

Приложения № 2

Приложения № 3

обязательство страхование владелец транспорт

ВВЕДЕНИЕ

Страхование автомобилей стало первым видом обязательного страхования в мире. В любой, даже богатой, стране машина относится к наиболее дорогим предметам потребления. Не случайно кроме средств передвижения они служат и наглядной демонстрацией социального статуса человека. Ежегодно во всем мире растет количество автомобилей, а вслед за этим повсеместно растет количество ДТП. Сама ситуация заставляет людей прибегать к автострахованию.

Для того чтобы в результате дорожно-транспортного происшествия страхователю была гарантированно выплачена хотя бы минимальная сумма страхования, введено обязательное страхование автогражданской ответственности. Ведь, несмотря на стаж водителя, никто не застрахован от неприятностей на дороге. Закон об обязательном страховании автогражданской ответственности принят практически во всех странах Европы. В некоторых бывших советских республиках, уже тоже введено та кое страхование: в Белоруссии, Украине, Литве, Латвии, Эстонии, Молдове и Казахстане.

Наличие нескольких этапов становления в системе обязательного страхования говорит о ее эволюционном развитии. Каждый этап имеет свои особенности и характерные черты, которые присущи первостепенным направлениям автострахования. Также имеются основные проблемы, которые должны решаться при помощи данной системы. Так, сравнивая системы обязательного автострахования в разных странах, нужно отметить, что различия в системе могут быть связаны с разными этапами развития в цепочке эволюции автострахования. Соответственно и методы для решения тех или иных задач должны быть разными.

В большинстве стран обязательное автострахование - убыточный бизнес, которым страховщики занимаются для привлечения клиентов к добро вольным видам страхования. Ни в одной стране автострахование не приносит баснословных доходов страховым компаниям. Во всем мире уровень рентабельности этого вида страхования достигает не больше 2-3 %. Страховые компании воспринимают обязательное автострахование исключительно как социальное страхование. Опыт введения обязательного страхования автогражданской ответствен ности за рубежом показывает, что убыточность это го вида страхования в полной мере проявляется на 2-3-й год действия программы.

Однако практика обязательного страхования автогражданской ответ ственности показывает, что не во всех странах этот вид страхования обречен на убытки, и пониженные тарифные ставки не причина убыточности. Обязательное страхование автогражданской ответственности имеет некоторые особенности. Та кие факторы как географическое положение, мощность двигателя автомобиля, место регистрации автомобиля и многое другое определяют размер тарифной ставки. Но, несмотря на это, страховые компании учитывают всевозможные факторы, влияющие на эти показатели, и рассчитывают ставки со скидками и коэффициентами к стандартным тарифам.

Применение актуарных расчетов в практике страхования необходимо, чтобы до статочным образом уравновесить принимаемый на себя риск и величину полученных премий. Российский опыт показывает: чтобы уравновесить интересы всех сторон в страховом деле, следует усовершенствовать методы расчёта тарифных ставок и в срочном порядке решать другие проблемы, связанные с введением обязательного страхования авто гражданской ответственности. По оценкам аналитиков, на страховом рынке и, в частности, в таком его секторе, как автострахование, господствуют две основные тенденции: растет страховая культура на селения и вместе с ней количество заключаемых договоров, но одновременно растет и количество выплат, что приводит к массовому прекращению деятельности небольших страховых компаний.

Объектом ОСАГО являются имущественные интересы <#"514353.files/image001.gif">

где:

Pp - чистая премия; q - частота наступления страховых случаев; - средний размер ущерба.

) Частота наступления страховых случаев определяется согласно следующей формуле:

n

q = --,

N

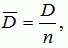
где: - число страховых случаев, приходящихся на действующие страховые полисы; - количество действующих страховых полисов (в пересчете на год).

) Средний размер ущерба определяется на основе следующего отношения:


где D - общая сумма ущерба, приходящаяся на действующие страховые полисы.

Общая сумма ущерба включает выплаченные страховые возмещения, резерв заявленных, но неурегулированных убытков и резерв непринятых убытков, относящихся к страховым полисам. Резерв заявленных, но неурегулированных убытков и резерв непринятых убытков определяются в соответствии с частью (6) статьи 34 Закона о страховании № 407-XVI от 21 декабря 2006 г.

В случаях, когда страховщикам возмещаются расходы по регрессному иску, эти расходы исключаются из суммы ущерба.

) Число страховых случаев, приходящихся на страховые полисы, рассчитывается как сумма оплаченных страховых случаев, заявленных, но неурегулированных страховых случаев и непринятых страховых случаев:

n = na + nn + nz ,

где: a - число оплаченных страховых случаев; n - число заявленных, но неурегулированных страховых случаев; z - число непринятых страховых случаев.

Число непринятых страховых случаев (произошедших, но не заявленных) рассчитывается актуарными методами на основе треугольников развития убытков (метод "chain-ladder").

) Рисковая премия определяется как сумма чистой премии и рисковой маржи:

Pe = Pp + Pm ,

где: e - рисковая премия; m - рисковая маржа.

) Рисковая маржа рассчитывается по следующей формуле:


где:

α(g) - коэффициент надежности, установленный на основании нормального распределения в зависимости от вероятности g, с которой гарантируются результаты (в соответствии с таблицей Gauss-Laplace); - коэффициент вариации общего ущерба.

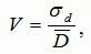
Коэффициент вариации общего ущерба рассчитывается по следующей формуле:


где:  σd - среднеквадратическое отклонение величины ущербов.

Среднеквадратическое отклонение рассчитывается по следующей формуле:


6. Базовая страховая премия для одной единицы транспорта на срок 12 месяцев рассчитывается в зависимости от рисковой премии, нагрузки (которая включает расходы страховщика, другие обязательные платежи и маржу прибыли) и коэффициента инфляции:

Pe

Pb = ---Ч Ki ,

1 - f

где:

Pb - базовая страховая премия; - доля нагрузки в базовой страховой премии; i - коэффициент инфляции, устанавливаемый на основании прогноза уровня инфляции.

Коэффициент инфляции рассчитывается по следующей формуле:

Ri

Ki = 1 +--,

100         

где Ri - прогнозируемый уровень инфляции (%).

7. Доля нагрузки при внутреннем обязательном страховании автогражданской ответственности включает:

a) расходы страховщика- до 25%; ) маржа прибыли- до 10%;) взносы в специальные фонды (Национальный гарантийный фонд, Фонд защиты жертв аварии) и регуляторные платежи.

8. Доля нагрузки при внешнем обязательном страховании автогражданской ответственности (Зеленая карта) включает: ) расходы страховщика- до 20%; ) маржа прибыли- до 7%;) расходы на перестрахование- 18%;) взносы в специальные фонды (Национальный гарантийный фонд, Фонд компенсаций) и регуляторные платежи.

Расходы на перестрахование включаются в долю нагрузки исключительно в течение периода, в котором Национальное бюро страховщиков автотранспортных средств является транзитным членом в Совете бюро, указанном в статье 2 Закона об обязательном страховании гражданской ответственности за ущерб, причиненный автотранспортными средствами.

Суммы страховых возмещений, которые превышают лимит собственной ответственности перестрахователя, покрытые перестраховщиком в соответствии с договором перестрахования, вычитаются из расчета базовой страховой премии.

9. Расходы страховщика включают расходы на реализацию (комиссионное вознаграждение, другие расходы на страховых агентов и страховых и/или перестраховочных брокеров), заработная плата сотрудников, налоги и другие расходы страховщика на ведение дела.

Размер отчислений в Национальный гарантийный фонд в страховании устанавливается в соответствии с Законом о Национальном гарантийном фонде в страховании.

ЗАКЛЮЧЕНИЕ

Страхование ответственности владельцев автотранспортных средств является наиболее известным видом страхования гражданской ответственности, начавшим бурно развиваться в 20-е годы нашего столетия, когда стала возрастать интенсивность автомобильного движения и увеличился риск дорожно-транспортных происшествий. В большинстве развитых стран оно проводится в настоящее время в обязательной форме, которая во многих европейских государствах (Финляндии, Норвегии, Дании, Великобритании, Германии и др.) была введена еще до Второй мировой войны. Это обусловлено стремлением органов власти предоставить потерпевшим в дорожных авариях гарантию возмещения причиненного им вреда.

По договору страхования ответственности владельцев средств автотранспорта страховщики принимают на себя обязанность возместить в пределах оговоренных лимитов ответственности ущерб, нанесенный страхователем (застрахованным лицом) при эксплуатации автотранспортных средств третьим лицам, при условии, что такой ущерб должен быть компенсирован страхователем (застрахованным лицом) в соответствии с законодательством. Страхователями в данном виде могут выступать как юридические, так и физические лица. Застрахована может быть как ответственность самого страхователя, так и других лиц, являющихся владельцами указанных в договоре транспортных средств.

Объектом страхования являются имущественные интересы владельца автотранспортного средства, связанные с его обязанностью в порядке, установленном гражданским законодательством, возместить ущерб, причиненный им третьим лицам при эксплуатации автотранспортных средств. При этом действие договора распространяется, как правило, исключительно на указанные в нем средства транспорта.

В договоре страхования могут быть оговорены: круг лиц, имеющих право на вождение застрахованным средством транспорта; территория, за ДТП в пределах которой страховщик несет ответственность, и другие ограничения. Условия страхования могут предусматривать обязательства страховщика возместить ущерб, причиненный третьим лицам, по вине пассажиров застрахованного средства транспорта или иных лиц, пользующихся им (например, в случае, когда пассажир открывает дверь автомобиля и сбивает едущего сзади велосипедиста).

Важное место в условиях страхования занимает перечень случаев, за последствия которых страховщик не несет обязательств по страховым выплатам. При этом при проведении страхования в обязательной форме он, как правило, уже, чем при заключении договоров добровольного страхования.

Страхование автогражданской ответственности - способ сократить такие расходы. Оплату расходов на восстановление автомобиля или здоровья пострадавших вместо виновника осуществляет страховая компания.

Закон обязывает владельцев транспортных средств за свой счет страховать риск гражданской ответственности за причинение вреда, который может наступить при использовании данного конкретного транспортного средства.

На практике владелец обязан застраховать автогражданскую ответственность в момент приобретения автомобиля в собственность (покупки), получения в хозяйственное управление и т.д. Подтверждением заключения договора страхования служит наличие страхового полиса и специальный знак государственного образца на лобовом стекле автомобиля (аналогично талону техосмотра). В отношении транспортных средств, владельцы которых не исполнили обязанность по обязательному страхованию, не проводятся государственный технический осмотр и регистрация.

БИБЛИОГРАФИЯ

Законодательные и нормативные акты:

Закон Республики Молдова № 414-XVI от 21.12.2006 г. "Об обязательном страховании автогражданской ответственности за ущерб, причиненный автотранспортными средствами"

Закон Республики Молдова №407 от 21.12.2006 г. "О страховании"

Положение о порядке определения износа в случае ущерба, причиненного автотранспортным средствам.

Постановление Правительства Республики Молдова об утверждении Методологии расчета базовой страховой премии и корректирующих коэффициентов для обязательного страхования гражданской ответственности за ущерб, причиненный транспортными средствами N 318 от 17.03.2008

Учебники, монографии:

Александров А.А. Страхование. М.: "Издательство ПРИОР", 2004 г. -192 стр.

Балабанов И. Т., Балабанов А. И. Страхование. - СПб: Питер, 2003 г. - 256 стр. (Серия „Учебники для вузов“)

Интернетовские источники

статья Т.В. Калашникова, Н.В. Кривовяз на тему «АНАЛИЗ ЭФФЕКТИВНОСТИ ТАРИФНОЙ СТАВКИ С ЦЕЛЬЮ БЕЗУБЫТОЧНОСТИ ОСАГО» www.lib.tpu.ru/fulltext/v/Bulletin_TPU/2010/v316/i6/06.pdf (12 ноября 2011 г 15:55)

Основные термины и понятия, практикуемые в автостраховании http://www.osagovrn.ru/content/osnovnye_terminy_i_ponyatiya_praktikuemye_v_avtostrakhovanii (12 ноября 2011 г 16: 23)

Статья Страхование ОСАГО в Молдове http://www.rca.md/ru/strahovoy-polis-osago-onlayn.html (13 ноября 2011 г 14:47)

статья «Страховые компании Молдовы заставят ...» http://www.point.md/News/Read.aspx?NEWSID=74451 (13 ноября 2011 г 15:21)

О компании Asito SA http://4663.md.all.biz/info.php?block=history (15 ноября 2011 г 16: 17)://4663.md.all.biz/info.php?block=about (15 ноября 2011 г 16: 35)://www.4auto.md/viewtopic.php?f=5&t=105#p1472 (15 ноября 2011 г 17: 21)://astrovaz.md/ru/AORC (15 ноября 2011 г 17:43)

ПРИЛОЖЕНИЯ

ПРИЛОЖЕНИЕ № 1

ЕДИНАЯ ФОРМА

сертификата страхования гражданской ответственности владельцев

автотранспортных средств и городского электрического транспорта

_____________________________________ _______________________

(denumirea organizatiei de asigurare) (наименование страховой организации)____________________ Адрес _____________________OBLIGATORIE DE ОБЯЗАТЕЛЬНОЕ СТРАХОВАНИЕCIVILA AUTO АВТОГРАЖДАНСКОЙ ОТВЕТСТВЕННОСТИnr. СЕРТИФИКАТ N_________________________ Страхователь ____________________________________________ Адрес ____________________(tipul si Транспортное средство (тип и) ___________________________ модель) __________________. de inmatriculare _______________ Регистрационный номер ________de la _____ pina la ________ Действителен с ________ по _____Semnгtura Печать Подпись

Размеры 6 х 9 см.

Единая форма сертификата страхования гражданской ответственности владельцев автотранспортных средств и городского электрического транспорта (приложение N 1).

ПРИЛОЖЕНИЕ № 2

Годовые премии по обязательному страхованию гражданской ответственности владельцев автотранспортных cредств и городского электрического транспорта

----------------------------------------------------------------------

Вид автотранспортного средства Леев

--------------------------------------------------------------------. Легковые автомобили (предназначенные для перевозки |

пассажиров с количеством мест до 9, включая водителя):|

---------------------------------------------------------------------

до 1200 куб.cм 300

между 1201 - 1600 куб.см 400

между 1601 - 2000 куб.см 600

между 2001 - 2400 куб.см 750

между 2401 - 3000 куб.см 900

свыше 3000 куб.см 1100

--------------------------------------------------------------------. Автотранспортные средства для перевозки пассажиров

---------------------------------------------------------------------

Микроавтобусы для перевозки 10-17 пассажиров, включая водителя 1000

Автобусы для перевозки 18-30 пассажиров, включая водителя- 1600

Автобусы для перевозки более 30 пассажиров, включая водителя 2000

Троллейбусы 1500

-------------------------------------------------------------------

до 45 ЛС включительно 400

от 46 ЛС до 100 ЛС включительно 700

свыше 100 ЛС 1000

--------------------------------------------------------------------. Другие автотранспортные средства, кроме указанных в пунктах 1-3, максимальная установленная масса которых:

---------------------------------------------------------------------

до 3500 кг 800

между 3501-7500 кг 1200

между 7501 - 16000 кг 1700

свыше 16000 кг 2200

--------------------------------------------------------------------. Мотоциклы

--------------------------------------------------------------------

до 300 куб.см 200

свыше 300 куб.см 400

----------------------------------------------------------------------

Размеры взносов по обязательному страхованию гражданской ответственности владельцев автотранспортных средств и городского электрического транспорта (приложение N 2);

ПРИЛОЖЕНИЕ № 3

Tipul autovehiculului

Statutul juridic al pers.

Numar limitat de persoane

Numar nelimitat de persoane

a) autoturisme ( destinate transportului de persoane, cu max 9 locuri, inclusiv conducatorul):

pTnS la 1200 cm3

fizica

945

1134


uridica

1575

1890

1201 -1600cm3

fizica

1350

1620


juridica

2250

2700

1601 -2000 cm3

fizica

1485

1782


juridica

2475

2970

2001 - 2400 cm3

fizica

1620

1944


juridica

2700

3240

2401 - 3000 cm3

fizica

2025

2430


juridica

3375

4050

peste 3000 cm3

fizica

4050

4860


juridica

6750

8100

taxi

iuridica

6750

8100

b) microbus si autobuze pentru transport persoane:

10-17 persoane, inclusiv conducatorul

2025

2430


juridica

3375

4050

18-30 persoane, inclusiv conducatorul

fizica

2700

3240


juridica

4500

5400

peste 30 persoane, inclusiv conducatorul

fizica

2970

3564


juridica

4950

5940

troleibuze

juridica

6750

8100

c) tractoare rutiere, avtnd puterea motorului:

pina la 45 CP inclusiv

fizica

675

810


juridica

1125

1350

46- 100 CP inclusiv

fizica

945

1134


juridica

1575

1890

peste 100 CP

fizica

1215

1458


juridica

2025

2430

d) alte autovehicule, decit cele mentionate la lit. a) - c), a caror masa max autorizata este:

рina la 3500 kg

fizica

2025

2430


juridica

3375

4050

3501 - 7500 kg

fizica

2295

2754


juridica

3825

4590

7501 - 16000 kg

fizica

2700

3240


juridica

4500

5400

peste 16000 kg

fizica

3375


juridica

5625

6750

e) motociclcte:

pina la 300 cm3

fizica

405

486


juridica

675

810

peste 300 cm3

fizica

675

810


juridica

1125

1350


Похожие работы на - Обязательное страхование гражданской ответственности владельцев автотранспортных средств (на примере ASITO, SA)

 

Не нашли материал для своей работы?
Поможем написать уникальную работу
Без плагиата!
Без нейросетей!