|
Культура
|
Площадь под культурой, га
|
Номер полива
|
Поливная норма, м /га
|
Поливной расход, л/с
|
Средняя дата полива
|
Продолжительность полива, сут
|
Принятые сроки поливов
|
Уточненные сроки поливов
|
|
|
|
|
|
|
|
начало
|
конец
|
начало
|
конец
|
|
1
|
2
|
3
|
4
|
5
|
6
|
7
|
8
|
9
|
10
|
11
|
|
Яровая пшеница
|
120
|
1 2 3
|
700
|
20.05 15.06 10.07
|
5
|
19.05 14.06 09.07
|
23.05 18.06 13.07
|
18.05 14.06 09.07
|
22.05
18.06 13.07
|
|
Люцерна
|
120
|
1 2 3 4 5 6
|
600
|
260
|
15.05 10.06 30.06 20.07 15.08 10.09
|
5
|
14.05 09.06 29.06 19.07 14.08 09.09
|
18.05 13.06 03.07 23.07 18.08 13.09
|
14.05 10.06 01.07 23.07
14.08 09.09
|
18.05
14.06 05.07 27.07
18.08 13.09
|
|
Озимая пшеница
|
60
|
1 2 3
|
700
|
130
|
15.05 10.06 5.07
|
5
|
14.05 09.06 04.07
|
18.05 13.06 08.07
|
10.05 06.06 05.07
|
14.05
10.06 09.07
|
|
Кукуруза
|
60
|
1 2 3
|
450
|
130
|
1.06 1.07 1.08
|
4
|
30.05 30.06 30.07
|
02.06 03.07 02.08
|
04.06
28.06 27.07
|
06.06
01.07 29.07
|
3.3 Объем водоподачи на орошение
Объем водоподачи (нетто) на орошаемый участок определяется площадью
графика поливных расходов и рассчитывается по формуле:
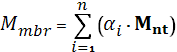
Vnt=Мmbr-Аrot м3 (3.3.)
где Mmbr - средневзвешенная оросительная
норма, м3/га; Аrot - орошаемая площадь севооборота нетто, га.
Средневзвешенная оросительная норма определяется по формуле:

м3
/га
где
Mnt - оросительная норма сельскохозяйственной культуры
нетто, м3 /га; αi - доля
культуры в севообороте.
Под
оросительной нормой понимается количество воды, в м3, которое
необходимо подать на 1 га орошаемой площади за весь вегетационный период, чтобы
восполнить дефицит влажности в расчетном слое почвы.
При
наличии только вегетационных поливов оросительная норма сельскохозяйственной
культуры определяется по формуле:
Люцерна:
Mnt =
6∙ 700 = 4200 м3 /га
Яровая
и озимая пшеница:
Mnt =
3∙600 = 1800 м3 /га
Кукуруза
Mnt =
3∙450 = 1350 м3 /га
Тогда
Mmbr= 0,33∙4200 + 0,33∙1800 + 0,17∙1800 +0,17∙1350
= 2515.5 м3/га
Vnt =
2515.5∙360 = 905 580 м3
Общий
объем воды (брутто), забираемый из источника орошения, при условии применения
совершенной техники и технологии полива, т.е. сведении технологических потерь
воды к минимуму, а также с учетом КПД оросительной сети определяется по
формуле:
Vnt=Vnt/η (3.5.)
где η - коэффициент полезного действия оросительной сети.
Значения КПД для комбинированной оросительной сети с применением ДДА -100
МА определяются по формуле:
η=ηнт∙ηрт∙ηво (3.5.)
где ηнт, ηрт, ηво- соответственно КПД напорного
трубопровода, распределительного трубопровода и временного оросителя.
Согласно СНиП КПД трубопроводов принимается не менее 0,98...0,99,для
временного оросителя в зависимости от водопроницаемости грунта0,85∙0,95.
η = 0,99 ∙0,99∙0,93 = 0,91
Vbr = 905 580/0,911 = 994050,5 м3
4. ПРОЕКТИРОВАНИЕ ВНУТРИХОЗЯЙСТВЕННОЙ ОРОСИТЕЛЬНОЙ СЕТИ
4.1 Проектирование поливного модуля
Площадь поливного модуля, участка, в пределах которого совершается полный
цикл всех технологических процессов, связанных с возделыванием культур при
орошении, принимается в зависимости от сезонной нагрузки дождевальной машины,
равной или кратной площади поля севооборота.
Каждая культура может занимать одно или несколько полей севооборота.
Студенту предлагается вычертить поливной модуль с выбранными параметрами,
соблюдая необходимые условия и рекомендации.
Проектирование внутрихозяйственной оросительной сети для полива
дождеванием ведется на плане М 1:10000 с сечением горизонталей через1,0...0,5
м. На плане размещаются поля одной хозяйственной единицы (севооборота) согласно
заданию. Форма их выбирается в зависимости от площади поливного участка и марки
дождевальной машины. Техническая характеристика дождевальных машин приведена в
приложении 4. На плане должны быть нанесены границы орошаемого участка и полей,
постоянная оросительная сеть, гидротехнические сооружения, эксплуатационные и
полевые дороги, лесные полосы.
Для дождевальной машины ДДА 100 МА размер стороны поливного модуля
вдоль оросительного трубопровода принимается кратным захвату машины (120 м), но
не менее 500 м, а размер другой стороны поливного модуля, соответствующим длине
оросителя 500 - 1000 м. Оросители нарезаются с уклонами 0,0002 - 0,002 с учетом
допустимой скорости на размыв. Первый и последний оросители располагают на
расстоянии 60 м от границы поля, а остальные оросители через 120 м. С левой
стороны в направлении движения вдоль оросителя предусматривается дорога для
прохода агрегата (рис.4.1.).

Производим разбивку схемы проектирования оросительной сети на участки по
характерным ее точкам, на основании которых производим определение расчетных и
максимальных расходов по каждому участку сети.
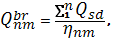
Максимальный расход полевого трубопровода брутто определяется суммарным
расходом одновременно работающих дождевальных машин, об- 1служиваемых этим
трубопроводом, с учетом КПД трубопровода:

л/с (4.1.)
где

- расход
в голове полевого трубопровода, л/с; Qsd- расход
дождевальной машины, л/с; 
- КПД
полевого трубопровода, 
= 0,99;n-
количество одновременно работающих дождевальных машин на полевом трубопроводе.

=393,94
л/с
При
работе дождевальной машины ДДА - 100 МА забор воды производится из временных
оросителей, КПД которых равен = 0,85… 0,95.
Максимальный
расход брутто распределительного трубопровода любого порядка равняется сумме
максимальных расходов одновременно работающих полевых трубопроводов с учетом
КПД системы этого распределителя:

л/с (4.2.)
где

- расход
в голове распределительного трубопровода любого порядка, л/с; 
- расход
в голове полевого трубопровода, или расход в голове распределительного
трубопровода младшего порядка, нетто, л/с; 
-КПД
распределительного трубопровода, 
= 0,99; n -
количество оросителей или распределителей младшего порядка, одновременно
работающих, подсоединенных к распределительному трубопроводу старшего порядка.
Максимальный
расход брутто магистрального трубопровода равняется сумме максимальных расходов
одновременно работающих распределительных трубопроводов с учетом КПД
магистрального трубопровода:
где
- расход в голове магистрального трубопровода, л/с; -расход в голове распределительного
трубопровода, л/с; - КПД магистрального трубопровода, = 0,99; n -
количество распределительных трубопроводов, одновременно работающих,
подсоединенных к магистральному трубопроводу.
=265,27
л/с
Q=130/0,99=131,31
л/с
=((130/0,99+130)/0,99)/0,99=266,62
л/с
4.3 Гидротехнические сооружения и арматура на сети
Вода на орошаемый участок подается насосной станцией, в здании которой
размещается насосно-силовое оборудование.
Трубчатая сеть оборудуется:
1. гидрантами для подключения дождевальной техники;
2. распределительные колодцы (РК) предназначены для регулирования воды между
отдельными элементами оросительной сети (устраиваются в начале ответвлений
трубопроводов), оборудуются запорной, регулирующей и предохранительной арматурой.
Колодцы выполняются из сборных железобетонных колец, размеры их определяются
арматурой, которая будет установлена в данном месте на трубопроводе;
3. вантузами для удаления воздуха, и клапанами для впуска и защемления
воздуха, которые устанавливаются в повышенных переломных точках профиля и в
концевых или начальных точках оросительных трубопроводов (в зависимости от
рельефа);
4. сбросными сооружениями для опорожнения сети, которые устанавливаются в
пониженных переломных точках профиля и в концевых или начальных точках
оросительных трубопроводов (в зависимости от рельефа).
На комбинированных системах для подачи воды из закрытых подземных
трубопроводов в открытую сеть устанавливаются гидранты- водовыпуски с
колодцами, где происходит гашение энергии потока.
Сооружения и арматура показывается на чертежах с помощью условных
графических обозначений (приложение ...).
В местах поворота трубопроводов, где в результате возникающих
дополнительных усилий может произойти нарушение стыков, устраивают упоры. При
пересечении трубопроводом искусственных или естественных препятствий
устраиваются сооружения (дюкеры, акведуки).
.4 Расчёт площадей
Расчёт площадей немаловажен при проектировании мелиорируемых площадей,
поэтому для учёта всего объёма работ рассчитываем площадь занятую земельными
угодьями и отчуждения. В последнюю входят земли на дорогу 6-тии 3-х метровой
ширины, площадь лесных насаждений (полос), площадь занимаемая ГТС.
Sбрутто=Sнетто+Sотч=Snt+Sдор+Sлес+Sгтс Sгтс=Sкол+ Sоткр
Для правильной оценки использования площадей сосчитаем коэффициент
земельного использования, по значению которого будем судить о качестве
использования земель:
КЗИ= Sнетто/ Sбрутто
Площадь полей нетто:
[(7,2*100)*(8,334*100)]*6=3600288 м2=360,03 га
Длина открытого канала:
(8,334 *100*6)*6=30002,4 м
Длина трубопровода закрытого:
(8+21+21+14)*100= 6400 м =6,4 км
Суммарная площадь ГТС (с колодцами):
Sгтс= 30002,4*1+ 7*1=30009,4 м2
Протяженность трехметровых дорог:
(8,334 *100*6)*6=30002,4 м = 30 км
Протяженность шестиметровых дорог:
(21,6*3+16,668*4)*100=13147,2 м =13,15 км
Площадь, занятая дорогами:
Sдор=30002,4*3+6*13147,2= 168890,4 м2
Длина двухрядных лесополос:
*100*2+23*100=5900 м
Длина трехрядных лесополос:
(23+18)*100*2=8200 м
Площадь лесополос:
Sлес=5900*6+8200*9=109200 м2=10,92
га
КЗИ= 3600288/ (3600288+168890,4+109200+30009,4)=0,92
5.
ПРОЕКТИРОВАНИЕ МЕЛКОВОДНЫХ ЛИМАНОВ НЕПОСРЕДСТВЕННОГО НАПОЛНЕНИЯ
5.1 Расчет нормы лиманного орошения
Лиманное орошение - способ использования талых вод местного стока в целях
однократной весенней влагозарядки почвы. Благодаря дружному весеннему таянию
снега и наличию благоприятных условий местности в виде понижений и лощин
происходит их затопление на небольшое время талыми водами. Лиманное орошение
применяется в основном для создания кормовой базы хозяйства и увеличивает
урожайность сельскохозяйственных культур в 2-3 раза по сравнению с урожайностью
богарных культур.
Норма лиманного орошения - это объем воды в м3/га, необходимый
для создания в расчетном слое почвы запасов влаги, достаточных для получения
планируемой урожайности сельскохозяйственных культур или естественных
травостоев.
Норму лиманного орошения можно определить по зависимости:
Mлnt=к×h∙(Wfc-Wact)-Pef+E,м3/га (5.1.)
где к - коэффициент, учитывающий потери воды связанные с проникновением
ее за пределы расчетного слоя почвы (для мелководных лиманов к = 1,3);h - глубина расчетного слоя почвы, м;Wfc - запас влаги в почве,
соответствующий наименьшей влагоемкости, м3/га ;Wact - фактический запас влаги в почве, м3/га;
Е - потери воды на испарение за время наполнения лимана, мм;Pef- осадки, выпавшие за время
наполнения лимана, мм; Разность Е- Р можно принять равной нулю.
Полученную расчетом норму округляем кратно 100 м3/га;
Mлnt = 1,3∙1,7∙(3000-3000∙0,5)
= 3315≈3300 м3/га
.2 Определение объема водоподачи на проектируемый участок
лиманного орошения
Зная норму лиманного орошения и величину весеннего стока заданной
обеспеченности (25-30%) согласно заданию, уточняем возможную площадь лиманного
орошения, в гектарах, которую будем размещать на плане.

,га (5.2.)
гдеVP% - объем стока заданной обеспеченности, м3;η - коэффициент полезного действия, η = 0,75...0,8.

=89,81 га
Сравниваем
полученное значение с площадью заданной по хозяйственным условиям, в работе
принимается равной двойной площади поля, обслуживаемой дождевальной машиной
(для ДМ «Фрегат» 
= 90
га). Для дальнейшего проектирования принимается меньшее значение.
Так
какAw= 89,81 га < 2*Атl = 180 га
для дальнейшего проектирования принимаетсяAw = 89,81 га.
Затем
уточняем объем водоподачи на проектируемый участок лиманного орошения:

,м3
(5.3.)

=389964,5м3
.3 Обоснование размеров мелководных лиманов
Основными исходными данными для проектирования мелководных лиманов
является: план участка в горизонталях М 1:10000 с сечением горизонталей через
0,5 - 1,0 м; среднее значение коэффициента впитывания воды в почву для данного
массива для условий лиманного орошения, величина нормы лиманного орошения, как
величина средневзвешенная для культур, предполагаемых к возделыванию при
лиманном орошении.
Зная размер площади, на которой можно осуществить лиманное орошение,
приступают непосредственно к разбивке ярусов и секций в плане:
. Разбивка всей площади лиманного орошения на отдельные секции и ярусы
производится из условий эксплуатации, учитывая требования механизации и
агротехники.
Длина отдельных лиманов, образующих секции, а следовательно и длина
водоудерживающих валов должна быть в пределах 500 - 800 м, ширина не менее 150
- 200 м. Число секций в одном ярусе не более 5-6 шт.
Число ярусов определяется по формуле:
гдеAw - площадь лиманного
орошения, га;
- площадь
одного яруса лимана, га. После размещения ярусов лимана на плане уточняется
площадь лиманного орошения.
2. Намечают верхнюю границу затопления лимана и определяют ее отметку Леи;
3. От верхней границы затопления опускаются до тех пор, пока не будет
набрана максимальная глубина затопления в первом ярусе;
Максимальная отметка в первом ярусе равна:
h1max=2∙h1m, м (5.5.)
где h1m - средняя глубина воды в первом ярусе, м.
Средняя глубина воды в первом ярусе равна:

, м (5.6.)
где
кр - коэффициент впитывания, принимается равным 0,02 м/сут; Т -
продолжительность паводка, сут. (по заданию).
Отметка
подошвы первого яруса равна:
h1под=hвзг-h1m, м (5.7.)
где
hвзг -
отметка верхней границы затопления.
По
отметкам подошвы валов можно нанести их трассы на плане, которые будут
параллельны горизонталям.
Строительная
высота вала определяется по зависимости:
h1стр=h1max+Δh,м (5.8.)
гдеAh - конструктивный запас,
принимаемый равным 0,2 м. 4. Время наполнения первого яруса определяется по
зависимости:
где
-
площадь первого яруса лимана, определяемая по плану;VP% -
весенний сток расчетной
обеспеченности, м3.
Максимальная
отметка и строительная высота вала во втором и последующих ярусах определяется
аналогично.
Средняя
глубина воды во втором ярусе равна:

, (5.10.)
где

- время
наполнения первого яруса, сут. Отметка подошвы второго яруса равна:
h2под=h1под-h1стр, м (5.11.)
Время
наполнения второго яруса определяется по зависимости:
где
- площадь
второго яруса лимана, определяемая по плану. Определим площадь одного лимана
при длине лимана 664,341 м, ширине секции лимана 320 м:

= 0,5∙(664,341+200)∙320
= 13,83 га
Исходя из хозяйственных условий, примем три секции лиманов длиной по 600
м. Тогда число ярусов составит:

=2,16≈2
Схема для проектирования мелководного лимана представлена на рисунке 5.1.
Рис. 5.1. Схема проектирования мелководного лимана
Допустим,чтоhвзг=90 м
Средняя глубина воды в первом ярусе равна:

=0, 25 м
Тогда
h1max=2∙0,25= 0,5 м
Следовательноh1под= 90
-0,5 =89,5м
Строительная
высота вала составит:
h1стр= h1max +Δh=0,5+0,2 = 0,7
м
Время
наполнения первого яруса:


=1,4 сут.
Средняя
глубина воды во втором ярусе равна:

0,278 м
Тогдаh2max=2∙0,278= 0,556м
Строительная
высота вала:
h2стр= h2max +Δh=0,556+0,2 =
0,76м
Отметка
подошвы второго яруса равна:
h1под= h2под-h1стр=89,5-0,76
= 88,74м

= 0,5∙(719,787
+200)∙350 = 16,09 га
Время
наполнения второго яруса:
1,64сут
длина
валов:
(4*6+2*3+4,4*6+2*3+3,2+2+2,7+3,7+4,8+3,4+3,3+3,5+3,3+4+3,2+3,1)*100=10260
м
дороги
(17+31+17)*100=6500 м
лес
полосы (17,4+32,3+17,4)*100*8,5=57035 м2
.4 Сооружения на системе лиманного орошения
Для регулирования и распределения паводковых вод между лиманами и
системами лиманного орошения используют земляные направляющие:
- валы, перераспределяющие сток на водосборе;
- земляные водообходы по краям валов;
- автоматы-водосливы с широким порогом, устраиваемые для сброса
из одного лимана во второй излишних паводковых вод.
Обычно в лиманах мелкого наполнения в качестве водовыпускных сооружений
применяют водообходы. Водовыпуски трубчатые и открытого типа устраиваются на
лиманах мелкого наполнения в случае, если водообходы не обеспечивают
опорожнение лимана в требуемые сроки. Эти сооружения рассчитываются на пропуск
максимального расхода.
6. ДОРОЖНАЯ СЕТЬ И ЗАЩИТНЫЕ ЛЕСНЫЕ НАСАЖДЕНИЯ НА ОРОШАЕМЫХ
ЗЕМЛЯХ
Дороги на орошаемых землях должны обеспечивать возможность быстрого и
удобного обслуживания всех полей, вывоза урожая, не затопляться водой, иметь
минимальную длину и наименьшую стоимость. Они делятся на следующие виды:
¾ межхозяйственные, соединяющие хозяйства с районным центром,
со станциями железных дорог, пристанями и т.д.;
¾ внутрихозяйственные, соединяющие центр хозяйства с бригадами,
фермами, полевыми станами, с межхозяйственными дорогами;
¾ полевые, соединяющие все поливные участки с
внутрихозяйственными дорогами, служащие для вывоза урожая с полей, подвоза
удобрений, проезда сельскохозяйственной техники, располагаются вдоль постоянных
каналов или границ поливного участка с минимальным количеством мостов и
трубчатых переездов на них;
¾ эксплуатационные, служащие для осмотра каналов, сооружений,
для подвоза строительных материалов и оборудования, устраиваются вдоль
временных оросителей и валов лиманов.
Ширина проезжей части внутрихозяйственных дорог 6,5 м, полевых - 6 м,
эксплуатационных - 3 м. Под дороги отводится 1 - 2 % орошаемой площади.
Переезды через распределительные каналы выполняются обычно в виде труб
(бетонных, железобетонных и асбестоцементных), через реки и большие каналы
строятся мосты. Ширина проезжей части мостов и переездов, внутрихозяйственных
дорог равна 5 м.
Поперечный профиль всех дорог может быть одно- или двухскатным в
зависимости от размещения их по отношению к каналам, кюветы трапецеидальные и
треугольные.
Высота насыпи дорожного полотна может быть различной в зависимости от
геологических условий.
Рис.6.1. Схема дороги вдоль каналов
- кювет; 2 - дорога; 3 - межхозяйственный канал.
Создание лесополос является обязательным условием правильной ор¬анизации
территории для снижения скорости ветра над поверхностью почвы на 20 - 60 % и
увеличения относительной влажности воздуха на 10 - 40 %.
Целесообразно проектировать лесные полосы с двух сторон крупных каналов.
Двухсторонние лесные полосы более эффективны, имеют большее влияние на
микроклимат, лучше защищают каналы, полнее перехватывают фильтрационные воды,
уменьшают процесс вторичного засоления и заболачивания приканальной территории
(рис, 6.2.).
Рис, 6,2. Схема размещения лесополос.
1- канал; 2 - насыпь; 3 - кюветы; 4 - дорога.
Площадь лесных насаждений на оросительных системах обычно составляет
1,5..,2,0% от площади нечто системы.
7. ЭКОЛОГИЧЕСКАЯ ОЦЕНКА ПРИНЯТЫХ ТЕХНИЧЕСКИХ РЕШЕНИЙ
Современное земледелие интенсифицируется в результате крупных
энергетических в форме поливной воды, работы механизированной техники,
минеральных удобрений, пестицидов и т.п.
Чем выше уровень технического вмешательства в экосистему, тем быстрее
нарушается экологическое равновесие, что, в свою очередь, требует увеличенных
энергетических затрат для преодоления последствий этого вмешательства.
При искусственно созданном избытке воды или другого экологического
компонента в экосистеме, по правилу оптимальной компонентной дополнительности,
возникает нарушение равновесия, сложившегося в природной системе высшего
уровня. Поэтому неудачно мелиорированная экосистема уже не может быть
устойчивой и выпадает из иерархии природных систем или преобразует их, что
нежелательно, как по экологическим, так и по хозяйственным причинам.
По экологическому закону оптимальности любая мелиоративная система может
эффективно функционировать лишь определенных пространственно-временных
пределах.
В районах интенсивного сельского хозяйства степной зоны экологическая
оценка проектируемых мелиоративных систем и сооружений выполняется по следующим
критериям:
- размещение мелиоративных систем и сооружений с учетом
экологической значимости природных объектов осваиваемого района;
- возможность повторного использования дренажных и сбросных
вод;
- наличие специальных инженерных сооружений или устройств,
проведение необходимых мероприятий (водоочистные, противоэрозионные,
лесозащитные, рыбозащитные, рыбопропускные, переходы для животных через каналы
и наземные трубопроводы) с учетом технологии сельскохозяйственного
производства;
- организация сброса воды с мелиоративных систем в соответствии
с «Правилами охраны поверхностных вод от загрязнения сточными водами»;
- назначение границ мелиоративных систем, мест расположения
водозаборных и водосбросных сооружений с учетом территориальных комплексных
схем охраны окружающей природной среды, защиты природных объектов, системы
мероприятий по охране земель, вод, ландшафтов.
При проведении экологической оценки рассматриваются мероприятия,
предусматривающие нормированное орошение земель, исключающее как заболачивание,
так и вторичное засоление, создающие комплексные противо- эрозионные
сооружения, предотвращающие развитие овражно-балочной сети, исключающие
недопустимые затопления и подтопления земель при сооружении водохранилищ,
предусматривающие рекультивацию и вовлечение в сельскохозяйственный оборот
земель из-под карьеров строительных материалов, создающие прибрежные
водоохранные зоны по берегам рек и крупных каналов.
На мелиоративных системах и прилегающих территориях предусматривается
охрана вод от истощения и загрязнения с учетом принятых санитарно-гигиенических
норм и правил, обеспечивается сохранение отдельных элементов ландшафта, имеющих
научную и эстетическую ценность.
СПИСОК ИСПОЛЬЗОВАННОЙ ЛИТЕРАТУРЫ
1. Природообустройство.
Учебное пособие / Голованов А.И. и др.- М.Колосс. 2007. - 500 с.
2. Мелиорация. Учебное пособие / А.В. Шуравилин, А.И. Кибека. -
ЭКСМОС.
2006.- 944 с. -
3. Гидротехнические
мелиорации: Учебник. 4-е изд. / Бабиков Б.В. Изд-во «Лань». Санкт-Петербург.
2005. - 304 с.
4. Мелиорация почв. Учебник / Ф. Р. Зайдельман. Серия:
Классический университетский учебник. - МГУ, 2003 г. - 448 с.
5. Сельскохозяйственные гидротехнические мелиорации. А.А.
Богушевский, А.И. Голованов, В.А. Кутергин и др.; Под ред. Е.С. Маркова. - М.:
Колос, 1981. - 375 с.