Оценка финансовых результатов и использование прибыли (на примере ОАО Молочный комбинат 'Пензенский')

  • Вид работы:
    Дипломная (ВКР)
  • Предмет:
    Финансы, деньги, кредит
  • Язык:
    Русский
    ,
    Формат файла:
    MS Word
    1,25 Mb
  • Опубликовано:
    2012-01-26
Вы можете узнать стоимость помощи в написании студенческой работы.
Помощь в написании работы, которую точно примут!

Оценка финансовых результатов и использование прибыли (на примере ОАО Молочный комбинат 'Пензенский')

МИНИСТЕРСТВО ОБРАЗОВАНИЯ И НАУКИ РОССИЙСКОЙ ФЕДЕРАЦИИ ФЕДЕРАЛЬНОЕ ГОСУДАРСТВЕННОЕ БЮДЖЕТНОЕ ОБРАЗОВАТЕЛЬНОЕ УЧРЕЖДЕНИЕ

ВЫСШЕГО ПРОФЕССИОНАЛЬНОГО ОБРАЗОВАНИЯ

ВСЕРОССИЙСКИЙ ЗАОЧНЫЙ ФИНАНСОВО-ЭКОНОМИЧЕСКИЙ ИНСТИТУТ







Выпускная квалификационная работа на тему:

Оценка финансовых результатов и использование прибыли (на примере ОАО Молочный комбинат "Пензенский")












Пенза 2012г.

СОДЕРЖАНИЕ

ВВЕДЕНИЕ

. ТЕОРЕТИЧЕСКИЕ ОСНОВЫ ФОРМИРОВАНИЯ ФИНАНСОВЫХ РЕЗУЛЬТАТОВ ОРГАНИЗАЦИИ

.1 Цели и задачи оценки финансовых результатов

.2 Механизм формирования финансовых результатов

.3 Система показателей характеризующих прибыльность и рентабельность организации

. ОЦЕНКА ФИНАНСОВЫХ РЕЗУЛЬТАТОВ ДЕЯТЕЛЬНОСТИ ОАО МОЛОЧНЫЙ КОМБИНАТ "ПЕНЗЕНСКИЙ"

.1 Общая характеристика организации

.2 Анализ финансового состояния ОАО Молочный комбинат "Пензенский"

2.3 Оценка финансовых результатов деятельности организации и использования прибыли

. РАЗРАБОТКА РЕКОМЕНДАЦИЙ ПО УЛУЧШЕНИЮ ФИНАНСОВЫХ РЕЗУЛЬТАТОВ ОАО МОЛОЧНЫЙ КОМБИНАТ "ПЕНЗЕНСКИЙ"

.1 Формирование финансовой стратегии организации

.2 Информационные технологии, используемые при оценке финансовых результатов деятельности организации

ЗАКЛЮЧЕНИЕ

СПИСОК ЛИТЕРАТУРЫ

ПРИЛОЖЕНИЯ

ВВЕДЕНИЕ

Профессиональное управление финансами неизбежно требует глубокого анализа, позволяющего наиболее точно оценить неопределенность ситуации с помощью современных количественных методов исследования. В связи с этим существенно возрастает приоритет и роль анализа финансовых результатов.

Финансовый результат деятельности организации выражается в изменении величины его собственного капитала за отчетный период. Способность организации обеспечить неуклонный рост собственного капитала может быть оценена системой показателей финансовых результатов.

Показатели финансовых результатов (прибыли) характеризуют абсолютную эффективность хозяйствования организации по всем направлениям его деятельности: производственной, сбытовой, снабженческой, финансовой и инвестиционной. Они составляют основу экономического развития организации и укрепления его финансовых отношений со всеми участниками коммерческого дела.

В условиях рыночной экономики значение прибыли огромно. Стремление к получению прибыли ориентирует товаропроизводителей на увеличение объема производства продукции, нужной потребителю, снижение затрат на производство. При развитой конкуренции этим достигается не только цель предпринимательства, но и удовлетворение общественных потребностей. Для предпринимателя прибыль является сигналом, указывающим, где можно добиться наибольшего прироста стоимости, создает стимул для инвестирования в эти сферы. Свою роль играют и убытки. Они высвечивают ошибки и просчеты в направлении средств, организации производства и сбыта продукции.

Таким образом, прибыль организации - основной фактор его экономического и социального развития. Этот вывод вытекает из цели предпринимательской деятельности.

Активное управление финансами предприятия предполагает и разумное маневрирование денежными потоками, чтобы добиться синхронности поступления средств с расходами, выполнения всех финансовых обязательств, эффективного использования финансовых ресурсов.

Все вышеизложенное указывает на важность и актуальность выбранной темы.

Цель выпускной квалификационной работы - изучить особенности формирования финансовых результатов предприятия и разработать направления их улучшения.

В соответствии с целью поставлены следующие задачи:

раскрыть цели и задачи анализа финансовых результатов, его информационную базу;

показать механизм формирования, распределения и использования прибыли;

раскрыть методику расчета показателей рентабельности;

проанализировать структуру формирования финансовых результатов и выявить факторы и причины их изменения;

предложить мероприятия по улучшению финансовых результатов деятельности организации и максимизации прибыли.

Объектом исследования является открытое акционерное общество Молочный комбинат "Пензенский".

Предметом исследования является процесс оценки финансовых результатов и использования прибыли предприятием.

Анализ финансовых результатов проведен по данным бухгалтерской отчетности ОАО Молочный комбинат "Пензенский" за 2008-2010 годы.

Информационной базой работы являются нормативно - правовые акты и справочные источники, регулирующие порядок формирования финансовых результатов, распределение и использование прибыли.

При выполнении работы использованы издания Савицкой Г.В., Шеремета А.Д., Ковалева В.В., Банка В. Р., Палий В. Ф., Ефимовой О. В. и других ведущих российских и зарубежных экономистов.

Выпускная квалификационная работа содержит введение, три главы, заключение, библиографический список, приложения.

Во введении раскрыты значимость и актуальность выбранной темы, цели и задачи работы.

В первой главе изучены теоретические основы анализа финансовых результатов: его сущность, задачи, информационная база. В ней раскрыты порядок формирования и распределения прибыли, расчета показателей.

Во второй главе выполнен анализ имущественного состояния ОАО Молочный комбинат "Пензенский", динамика активов и пассивов. В ней проводится динамический и структурный анализ прибыли и рентабельности, выявлены факторы, повлиявшие на изменение прибыли, показан порядок распределения и использования прибыли.

В третьей главе выявлены резервы роста прибыли и рентабельности, предложены мероприятия по улучшению финансовых результатов.

В заключении делаются общие выводы по всей работе, подводится итог состоянию финансов анализируемой организации.

Практическая значимость выпускной квалификационной работы заключается в том, что содержащиеся в ней положения, выводы и практические рекомендации представляют практический интерес для большинства промышленных предприятий, в части проведения оценки финансовых результатов и использовании прибыли.

1. ТЕОРЕТИЧЕСКИЕ ОСНОВЫ ФОРМИРОВАНИЯ ФИНАНСОВЫХ РЕЗУЛЬТАТОВ ОРГАНИЗАЦИИ


1.1 Цели и задачи оценки финансовых результатов


Финансовые результаты деятельности организации характеризуются показателями полученной прибыли и уровня рентабельности. Важнейшими среди них являются показатели прибыли, создающие основу экономического развития фирмы. Последние получают прибыль главным образом от реализации продукции, работ, услуг, а также от других видов деятельности: сдачи в аренду основных фондов, коммерческой деятельности на фондовых и валютных биржах и т. д.

Формирование и распределение финансовых результатов хозяйственной деятельности предприятия в Российской Федерации регулируется нормативными актами, принимаемые Федеральным собранием РФ, Указами Президента, постановлениями правительства РФ, нормативными акты Министерства финансов РФ, нормативные акты других министерств и ведомств.

Прибыль - часть чистого дохода организации, созданного в процессе производства и реализованного в сфере обращения. Только после продажи продукции чистый доход принимает форму прибыли. Количественно она представляет собой разность между выручкой и полной себестоимостью реализованной продукции. Значит, чем больше рентабельной продукции реализует организация, тем больше оно получит прибыли, тем лучше его финансовое состояние. Поэтому финансовые результаты следует изучать в тесной связи с показателями использования и реализации продукции.

Объем реализации, прибыль, рентабельность зависят от производственной, снабженческой, сбытовой и коммерческой деятельности организации. Иначе говоря, эти показатели характеризуют все стороны хозяйствования. Чем больше прибыль и выше рентабельность, тем эффективнее функционирует организация, тем устойчивее его финансовое состояние.

Основные задачи анализа финансовых результатов деятельности:

систематический контроль за выполнением планов реализации продукции и получением прибыли;

определение влияния как объективных, так и субъективных факторов на объем реализации продукции и финансовые результаты;

выявление резервов увеличения объема реализации продукции и суммы прибыли;

оценка работы организации по использованию возможностей увеличения объема реализации продукции, прибыли и рентабельности;

разработка мероприятий по использованию выявленных резервов.

Цель анализа - определить реальную величину чистой прибыли, стабильность основных элементов балансовой прибыли, тенденции их изменения и возможности использования для прогноза прибыли, оценить "зарабатывающую" способность организации.

Для углубленного анализа прибыли целесообразно группировать факторы, влияющие на ее размер.

К группе внешних, не зависящих, как правило, от организации, или неконтролируемых факторов относятся:

чрезвычайные события, природные (климатические) условия, изменение рыночной конъюнктуры, конкуренция, социальные условия в стране, транспортные и другие факторы, вызывающие дополнительные затраты у одних предприятий и обусловливающие дополнительную прибыль - у других;

изменение государственными органами или инфляционными процессами цен на продукцию, потребляемое сырье, материалы, топливо, покупные полуфабрикаты, тарифов на услуги и перевозки, торговых скидок, надбавок, норм амортизационных отчислений, ставок заработной платы, начислений на нее и ставок налогов и других сборов, выплачиваемых организациями;

нарушения дисциплины по хозяйственным вопросам поставщиками, снабженческо-сбытовыми, вышестоящими хозяйственными, финансовыми, банковскими и другими органами, затрагивающие интересы организации.

К группе внутренних - зависящих от организации и контролируемых им факторов относятся: основные факторы, определяющие сущностные результаты работы, и факторы, связанные с нарушением хозяйственной дисциплины.

Экономическая теория определяет как основные факторы формирования прибыли от продаж: количество и качество продукции, ее себестоимость, цены на продукцию и элементы себестоимости, а также структурные сдвиги в составе продукции. Схематично процесс факторного анализа показателей прибыли изображен на рис.1.1 [31,с.273].

Основными источниками информации для анализа финансовых результатов деятельности служат данные аналитического бухгалтерского учета по счетам реализации, а также форма № 2 "Отчет о прибылях и убытках", форма № 3 "Отчет о движении капитала", годовой и квартальной отчетности, соответствующие таблицы бизнес-плана организации.

Отчет о прибылях и убытках (форма № 2) относится к числу основных форм бухгалтерской отчетности организации. Он дает представление о финансовых результатах хозяйственной деятельности организации за отчетный период. Годовой отчет о прибылях и убытках обобщает информацию о финансовых результатах отчетного года и входит в состав годовой отчетности; отчет, формируемый нарастающим итогом за каждый месяц (квартал), входит в состав промежуточной отчетности.

Отчет о прибылях и убытках, как и бухгалтерский баланс, составляется на основе двух основополагающих принципов - метода начисления и допущения непрерывности деятельности организации.

Рис. 1.1. Схема факторного анализа прибыли (до налогообложения)

За последние годы содержание отчета о прибылях и убытках претерпело существенные изменения и преобразовано в соответствии с форматом одноименного отчета, рекомендованного международными стандартами финансовой отчетности. МСФО "Представление финансовой отчетности" определяет минимальный объем информации, отражаемой в отчете о прибылях и убытках:

выручка;

результаты операционной деятельности;

затраты по финансированию;

доля прибылей и убытков ассоциированных компаний и совместной деятельности, учитываемой по методу участия;

расход по налогу;

прибыль или убыток от обычной деятельности;

чистая прибыль или убыток за период.

Вместе с тем МСФО прямо указывает на необходимость аналитического представления информации, что достигается посредством структуризации статей доходов, расходов и финансовых результатов. Составитель отчетности должен исходить из интересов пользователей, поэтому компоненты финансовых результатов следует представлять таким образом, чтобы можно было сделать выводы о стабильности прибыли, предсказуемости формирования финансовых результатов (получение прибыли или убытка в будущем), о потенциале компании генерировать прибыль. В связи с этим рекомендовано использовать один из двух подходов к представлению информации. Первый, аналитический, подход предусматривает раскрытие состава произведенных в отчетном году расходов, сгруппированных по их видам, второй - расходов, сгруппированным по видам деятельности [15, с. 38].

В соответствии с этими двумя подходами возможны два формата отчета о прибылях и убытках - одна и та же информация может быть представлена разными способами, которые дают одинаковый финансовый результат (таблица. 1.1).

Таблица 1.1 Сравнение форматов отчета о прибылях и убытках

Формат по методу характера затрат

Формат по методу себестоимости продаж

Доход от реализации

Доход от реализации

Затраты на производство: материалы заработная плата амортизация прочие расходы

Себестоимость реализованной продукции Управленческие расходы Коммерческие расходы

Себестоимость запасов готовой продукции и незавершенного производства: на начало года и на конец года

-

Операционная прибыль

Операционная прибыль

Прочие доходы и поступления

Прочие доходы и поступления

Прочие расходы и убытки

Прочие расходы и убытки

Прибыль до налогообложения

Прибыль до налогообложения

Налог на прибыль

Налог на прибыль

Чистая прибыль

Чистая прибыль


В первом формате отчета о прибылях и убытках расходы объединяются в соответствии с их характером (затраты на материалы, заработная плата, амортизация и др.) и не перераспределяются между функциональными направлениями внутри организации, что делает отчет более подходящим для небольших предприятий. Во втором формате расходы классифицируются в соответствии с их функцией - как часть себестоимости продаж, расходов на реализацию продукции и административную деятельность в зависимости от того, к какой деятельности организации они

Чистая прибыль или убыток за отчетный период состоит из двух слагаемых:

прибыли или убытка от обычной деятельности;

результатов прочих видов деятельности.

При этом характер и величину каждой прочей статьи следует раскрывать отдельно.

Образец формы отчета о прибылях и убытках (ф.№2) годовой и промежуточной бухгалтерской отчетности соответствует формату отчета о прибылях и убытках, основанному на методе "себестоимости продаж", рекомендованном МСФО. Начиная с бухгалтерской отчетности за 2000 г. организации получили право вносить в установленные образцы форм отчетности дополнения и расшифровки, позволяющее более достоверно представить информацию о финансовом положении и финансовых результатах. Для отчетов о прибылях и убытках обязательная кодификация строк отменена приказом Минфина РФ от 22 июля 2003 г. № 67н "О формах бухгалтерской отчетности организации"; строки, по которым раскрываются соответствующие показатели, организациями кодируются самостоятельно при разработке и принятии форм бухгалтерской отчетности [7]. Содержание отчета о прибылях и убытках вновь было изменено в 2006 году Приказом Минфина России от 18.09.2006г. №115н, п.8. Из отчета убраны строки, в которых раньше отражались операционные и внереализационные доходы и расходы. Вместо четырех строк теперь будет две - для отражения прочих доходов и расходов.

Финансовые результаты определяются путем сопоставления доходов и расходов. В отчете о прибылях и убытках доходы и расходы организации за отчетный период отражаются с подразделением на доходы и расходы по обычным видам деятельности (выручку) и прочие доходы и расходы.

В первую очередь в отчете о прибылях и убытках отражает доходы и расходы организации, признанные как доходы и расходы от обычных видов деятельности.

Выручка (нетто) от продажи товаров, продукции, работ, услуг за минусом налога на добавленную стоимость, акцизов и аналогичных обязательных платежей (стр. 010) представляет собой выручку от продажи продукции и товаров; поступления, связанные с выполнением работ и оказанием услуг, а также поступления от хозяйственных операций, связанных с отдельными фактами хозяйственной деятельности.

Себестоимость проданных товаров, продукции, работ, услуг (стр. 020) - отражает учтенные затраты на производство продукции (работ, услуг) в доле, относящейся к проданной продукции (работам, услугам). Коммерческие расходы (стр. 030) - это затраты, связанные со сбытом продукции, а также издержки обращения. К управленческим расходам (стр. 040) относятся общехозяйственные расходы.

Валовая прибыль (стр. 029) представляет собой разницу между выручкой от продажи товаров, продукции, работ, услуг и себестоимостью проданных товаров, продукции, работ, услуг (строка 010 - строка 020). Это расчетный аналитический показатель, имеющий значение как показатель промежуточного дохода. Прибыль (убыток) от продаж (стр. 050) образуется как результат покрытия валовой прибылью коммерческих и управленческих расходов.

Остальные виды прочих доходов и расходов, включены в самостоятельный раздел отчета "Прочие доходы и расходы" на основе их признания в соответствии с ПБУ 9/99 и ПБУ 10/99 ( новая редакция Приказ Минфина от 18.09.2006г. №115н, 116н). В качестве прочих также могут быть отражены и чрезвычайные доходы и расходы, если они имели место в отчетном году. Эта информация соответствующим образом показывается в отчете о прибылях и убытках на основе соблюдения правил ведения бухгалтерского учета хозяйственных операций по формированию финансовых результатов. Прибыль (убыток) до налогообложения (стр. 140) определяется в результате сопоставления доходов от обычных видов деятельности, прочих доходов со всеми расходами, отраженными в форме №2. Она уменьшается на сумму текущего налога на прибыль и таким образом определяется величина чистой прибыли (убытка) отчетного года.

Информация об отложенных налоговых активах (стр.141), отложенных налоговых обязательствах (стр. 142), постоянных налоговых обязательствах (активах) приводится в отчете на основании правил, сформулированных в ПБУ 18/02 "Учет расчетов по налогу на прибыль", утвержденного приказом Минфина № 114н. Эта часть отчета о прибылях и убытках изменена таким образом, чтобы пользователи бухгалтерской информации получили представление о взаимосвязи показателей бухгалтерской и налогооблагаемой прибыли, а также о различиях налога на бухгалтерскую прибыль (убыток) и налога на налогооблагаемую прибыль, отраженного в налоговой декларации по налогу на прибыль.

Показатели доходов и расходов, прибылей и убытков отражаются в форме № 2 за два сопоставимых периода, но если организация сочтет целесообразным, то информация может быть приведена за три и более отчетных периода в сопоставимом виде. Графа 4 отчета заполняется на основе данных графы 3 отчета за предыдущий год. Если данные за аналогичный период предыдущего года несопоставимы с данными за отчетный период, то они подлежат корректировке исходя из изменений учетной политики, законодательных и иных нормативных актов. При этом исправления в бухгалтерском учете не делаются [8 ].

Один из способов раскрытия информации предполагают самостоятельную разработку дополнительного приложения к отчету о прибылях и убытках, или включение необходимых данных в состав формы №5 "Приложение к бухгалтерскому балансу".

К приемам (методам) анализа финансовых результатов относятся:

чтение отчетности по абсолютным показателям;

горизонтальный анализ;

вертикальный анализ;

анализ тенденций (трендовый анализ);

анализ относительных показателей (финансовых коэффициентов).

Чтение отчетности по абсолютным показателям позволяет сделать предварительный обзор результатов деятельности по цифрам отчетности. Предварительное изучение деятельности организации начинается с определения его профиля, объема валюты баланса, реализации продукции, различных финансовых результатов и т.д. Предварительное суждение о работе организации осуществляется по важнейшим показателям, характеризующим общие результаты и эффективность деятельности. Такой анализ дает возможность, не раскрывая внутреннего содержания показателей и факторов, влияющих на них, в общих чертах охарактеризовать работу организации и определить важнейшие направления более углубленного анализа.

Горизонтальный (временной) анализ - сравнение каждой позиции отчетности с предыдущим периодом. Рассчитывают абсолютное и относительное отклонение (в коэффициентах или в процентах). Так, расчет изменений в процентах необходим для того, чтобы показать, как объем данного изменения соотносится с базовой величиной показателя. За базу принимают один из предшествующих годов или (при анализе балансов) одну из предшествующих дат (начало года, например).

Вертикальный (структурный) анализ - определение структуры итоговых, финансовых показателей с выявлением влияния каждой позиции отчетности на результат в целом.

Трендовый анализ - сравнение каждой позиции отчетности с рядом предшествующих периодов и определение тренда, т.е. основной тенденции динамики показателя, очищенной от случайных влияний и индивидуальных особенностей отдельных периодов. С помощью тренда формируются возможные значения показателей в будущем, а следовательно, ведется перспективный, прогнозный анализ.

Анализ относительных показателей (финансовых коэффициентов) - это расчет отношений данных отчетности, определены взаимосвязей показателей. Относительный показатель имеет ценность, однако применение коэффициентов не заменяет собой изучение основных, принципиальных данных. Коэффициенты - это ориентиры, упрощенные характеристики, помогающие оценивать финансовое положение и основную деятельность компании и сравнивать их с собственными показателями прошлых лет или с показателями других компаний. Главная цель коэффициентов - выявление областей дальнейшего исследования. Применять их следует в сочетании с рассмотрением общих вопросов и условий деятельности компании.

Сравнение - важнейший метод экономического анализа. Сравнение- это прием, позволяющий выразить характеристику явлений через другие однородные явления. В широком смысле слова сравнение присуще каждому экономическому расчету. Мы же рассматриваем сравнение как аналитический прием, позволяющий выявить взаимосвязь экономических явлений, их развитие и степень достижения эффективности в использовании материальных, трудовых и финансовых ресурсов.

Графический метод - масштабное изображение показателей, чисел с помощью геометрических знаков или условно-художественных фигур. Метод имеет большое иллюстративное значение, обеспечивает наглядность и простоту восприятия и усвоения полученной информации. При его применении составляются столбиковые, круговые, линейные, координатные и другие графики. Они используются для изучения степени выполнения планов, динамики показателе данных ведущих предприятий и т. п. Графики должны быть точными и строятся в соответствии с установленном масштабом, в то же время их не следует перегружать информацией.

Табличный метод также широко используется в практике экономического анализа. Это рациональная и удобная для восприятия форма представления аналитической информации при помощи цифр, расположенных в определенном порядке. Аналитическая таблица представляет собой систему суждений, выраженных языком цифр.

1.2 Механизм формирования финансовых результатов


По итогам отчетного периода прибыль (убыток) организации формируется в результате получения доходов и осуществления расходов. Доходы и расходы организации выступают в качестве факторов формирования прибыли, поэтому анализу финансовых результатов деятельности организации должен предшествовать анализ его доходов и расходов.

Основным источником информации о доходах и расходах организации являются его бухгалтерский учет и бухгалтерская отчетность. Правила формирования в бухгалтерском учете информации о доходах и расходах организации устанавливают Положения по бухгалтерскому учету "Доходы организации" ПБУ 9/99 и "Расходы организации" ПБУ 10/99.

В соответствии с указанными Положениями доходы организации в зависимости от их характера, условий получения и направлений деятельности организации подразделяются на:

доходы от обычных видов деятельности;

прочие доходы.

Основными задачами анализа доходов организации являются изучение уровня и структуры доходов в отчетном периоде, сравнение уровней и структур доходов в отчетном и базовом периоде: плановом или предыдущем периоде (или в отчетном периоде и аналогичном периоде предыдущего года), оценка структурной динамики доходов и выяснение ее причин [13, с. 208].

Согласно Положению по бухгалтерскому учету "Доходы организации" (ПБУ 9/99) доходами от обычных видов деятельности являются выручка от продажи продукции и товаров, поступления, связанные с выполнением работ, оказанием услуг, т. е. выручка от основной деятельности.

Прочие (ранее операционные) доходы и расходы возникают в результате определенных хозяйственных операций: сдача имущества в аренду, продажа имущества, участие в совместной деятельности, предоставление займов и т.д. Прочие (ранее внереализационные) доходы и расходы возникают в результате определенных фактов хозяйственной жизни, как правило, не зависящих от организации: курсовые разницы, безвозмездное получение активов, списания задолженности и т. д.

Поэтому доходы от обычных видов деятельности следует рассматривать как основной, определяющий вид доходов организации, который при нормальных условиях деятельности имеет наибольший удельный вес в общей величине доходов. Если прочие доходы получают преобладающий характер в структуре доходов организации, то в ходе анализа данный факт должен быть объяснен конкретными изменениями условий деятельности.

В случае, когда преобладание удельного веса прочих поступлений приобретает устойчивый характер, т.е. повторяется в течение нескольких смежных отчетных периодов, может иметь место изменение содержании обычных видов деятельности, не отраженное в уставе организации (организации).

Например, в соответствии с уставом предметом деятельности организации может не являться предоставление за плату во временное пользование своих активов по договору аренды. В этом случае арендная плата будет отражаться организациям в отчетности (отчете о прибылях и убытках) в составе прочих доходов.

Если на протяжении нескольких смежных периодов прочие доходы имеют наибольший вес в общей величине доходов организации и арендная плата является преобладающей компонентой прочих доходов, то фактически предоставление своих активов по договору аренды становится обычным видом деятельности, хотя это еще не отражено в уставе организации.

Арендная плата приобретает характер дохода от обычного вида деятельности, а выручка и поступления, отраженные в отчетности в качестве доходов от обычных видов деятельности, перестают быть определяющими элементами структуры доходов организации. Таким образом, в результате анализа доходов устанавливается изменение содержания деятельности организации. При этом экономическое содержание предмета деятельности и его юридическое оформление не полностью соответствуют друг другу. В такой ситуации финансовый анализ фиксирует происходящие изменения и служит основанием для отражения их в уставе организации.

В ходе анализа важно не только установить структуру доходов организации в отчетном периоде и ее изменение по сравнению с предыдущим периодом (аналогичным периодом предыдущего года), но и определить тип структурной динамики доходов и причины, его обусловившие.

В соответствии с ПБУ 10/99 расходы организации в зависимости от их характера, условий осуществления и направлений деятельности организации подразделяются на:

расходы по обычным видам деятельности;

прочие расходы [22, с. 215]..

Все перечисленные показатели содержатся в форме № 2 "Отчет о прибылях и убытках" квартальной и годовой отчетности. Показатели финансовых результатов связаны друг с другом и с прочими показателями, отраженными в форме №2, определенными соотношениями, последовательность которых отражена на рисунке 1.2.

Рис. 1.2. Схема формирования чистой прибыли организации

Анализ доходов и расходов организации носит предварительный, вводный характер по отношению к дальнейшему анализу финансовых результатов организации. Он дает общую картину факторного влияния совокупности доходов и расходов организации на его чистую прибыль.

Укрупненный анализ соотношения всех доходов и расходов проводится по форме, в которой представлены общие величины доходов, расходов и чистой прибыли организации в предыдущем и отчетном периоде и их изменения в отчетном периоде по сравнению с предыдущим.

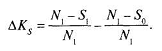
Общие величины доходов и расходов выступают в качестве укрупненных факторов формирования чистой прибыли, их изменения - в качестве факторов изменения чистой прибыли. В основе анализа лежит наиболее простая модель факторного анализа изменения чистой прибыли:

, (1.1)

Где РЧ - изменение чистой прибыли в отчетном периоде по сравнению с предыдущим, остальные обозначения соответствуют принятым выше.

Факторный анализ можно детализировать, выделив доходы и расходы по обычной деятельности и прочие доходы и расходы:

 (1.2)

Факторная модель (1.2) позволяет определить, что в большей степени сформировало изменение чистой прибыли (убытка) организации - обычные виды деятельности или прочие доходы и расходы.

После анализа общей картины соотношения доходов и расходов производится более детальное аналитическое исследование различных показателей финансовых результатов организации и факторов, их определяющих.

Финансовые результаты деятельности организации за отчетный период характеризуются системой взаимосвязанных отчетных показателей. К ним относятся: валовая прибыль (убыток), прибыль (убыток) от продаж, прибыль (убыток) до налогообложения, прибыль (убыток) от обычной деятельности, чистая прибыль (нераспределенная прибыль (убыток) отчетного периода). В дальнейшем для краткости слово "убыток" в некоторых случаях мы опускаем.

Формула расчета каждого из абсолютных показателей финансовых результатов задает направления анализа показателя, поскольку содержит набор наиболее важных влияющих на него факторов.

Рассмотрим систему последовательных вычислительных процедур (итераций) для определения показателей финансовых результатов организации, конечным итогом которой, является показатель чистой прибыли. Общая схема имеет вид согласно [34, с.278]:

Шаг 1. Расчет валовой прибыли:

  (1.3)

где - выручка от продажи товаров, продукции, работ, услуг (без НДС, акцизов и аналогичных обязательных платежей);

 - себестоимость проданных товаров, продукции, работ, услуг.

Факторный анализ изменения валовой прибыли в отчетном периоде по сравнению с предыдущим (или аналогичным периодом предыдущего года) проводится по формуле:

 (1.4)

где символом  помечено изменение (положительное или отрицательное приращение) соответствующего показателя в отчетном периоде по сравнению с предыдущим. Формула (1.4) означает, изменение валовой прибыли организации равно разности изменений выручки от продажи и себестоимости проданных товаров, продукции, работ, услуг. При прочих равных условиях рост выручки от продаж и снижение себестоимости проданных товаров, продукции, работ, услуг приводят к росту валовой прибыли (или уменьшению валового убытка) и, наоборот, снижение выручки от продажи и рост себестоимости проданных товаров, продукции, работ, услуг выражается в уменьшении валовой прибыли (увеличении валового убытка).

Шаг 2. Расчет прибыли от продаж:

(1.5)

где SKOM - коммерческие расходы;

 - управленческие расходы.

Формула (1.5) отражает расчет показателя прибыли от продаж на основе значения показателя валовой прибыли (также расчетного показателя). В случае расчета прибыли от продаж на основе исходных показателей (выручки, себестоимости) получаем удлиненный (четырехфакторный) вариант расчетной модели:

 (1.6)

Факторный анализ изменения прибыли от продаж в отчетном периоде по сравнению с предыдущим (или аналогичным периодом предыдущего года) проводится по одной из формул (в зависимости от выбранного набора факторов):

,(1.7)

(1.8)

Согласно Положениям по бухгалтерскому учету "Доходы организации" ПБУ 9/99 и "Расходы организации" ПБУ 10/99 выручка от продажи товаров, продукции, работ, услуг является доходом от обычных видов деятельности, а себестоимость проданных товаров, продукции, работ, услуг, коммерческие и управленческие расходы относятся к расходам по обычным видам деятельности. Поэтому прибыль (убыток) от продаж равняется разнице (сальдо) доходов и расходов по обычным видам деятельности.

Шаг 3. Расчет прибыли до налогообложения:

,(1.9)

,(1.10)

где - сальдо прочих доходов и расходов (с учетом процентов к получению, процентов к уплате, доходов от участия в других организациях);

Факторный анализ изменения прибыли до налогообложения () в отчетном периоде по сравнению с предыдущим (или аналогичным периодом предыдущего года) проводится по формулам:

,

(1.11)

Шаг 4. Расчет прибыли от обычной деятельности:

, (1.12)

, (1.13)

где - налог на прибыль и иные аналогичные обязательные платежи, сформированный с учетом существующего порядка расчета платежей (сумма отложенных налоговых обязательств и текущего налога на прибыль за вычетом отложенных налоговых активов).

Факторный анализ изменения прибыли от обычной деятельности в отчетном периоде по сравнению с предыдущим (или аналогичным периодом предыдущего года) проводится по формулам:

,(1.14)

(1.15)

Шаг 5. Расчет чистой прибыли:

,(1.16)

,(1.17)

Чистая прибыль (нераспределенная прибыль (убыток) отчетного периода) является итоговым показателем формы № 2 "Отчет о прибылях и убытках". Именно чистая прибыль выступает в качестве основного источника пополнения собственного капитала, расширения масштабов деятельности организации и повышения его финансовой устойчивости. Для расчета чистой прибыли можно использовать еще одну формулу, показывающую основные факторы ее формирования:

(1.18)

Формула (18) означает, что чистая прибыль организации складывается как алгебраическая сумма (с учетом знаков) сальдо доходов и расходов по обычным видам деятельности (прибыли от продаж) и сальдо прочих доходов и расходов.

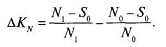
Факторный анализ изменения чистой прибыли в отчетном периоде по сравнению с предыдущим (или аналогичным периодом предыдущего года) проводится по формулам [ 33, с.121]:

,

(1.19)

(1.20)

Факторный анализ на основе формулы (1.20) дает обобщенную картину влияния финансовых результатов различных видов деятельности организации (обычных видов деятельности и видов деятельности, связанных с формированием прочих доходов и расходов) на его конечный финансовый результат. При необходимости следует из прочих доходов расходов выделить отдельно расходы, связанные с налогообложением и аналогичными обязательными платежами.

Одним из результатов факторного анализа уравнения чистой прибыли является выявления синхронного или несинхронного изменения отдельных видов прибыли по темпам роста. Это позволяет определить доминирующее влияние факторов, связанных с основной деятельностью или действием прочих операций на формирование финансовых результатов. Интерпретация различий в динамике отдельных показателей прибыли дает возможность оценить степень устойчивости (неизменности) структуры отчета о прибылях и убытках, что может быть использовано при планировании финансовых результатов.

1.3 Система показателей, характеризующих прибыльность и рентабельность организации


Финансовые результаты деятельности предприятия характеризуются приростом суммы собственного капитала (чистых активов), основным источником которого является прибыль от операционной, инвестиционной, финансовой деятельности, а также в результате чрезвычайных обстоятельств.

Прибыль это часть добавленной стоимости, которую непосредственно получают предприятия после реализации продукции как вознаграждение за вложенный капитал и риск предпринимательской деятельности. Количественно она представляет собой разность между совокупными доходами (после выплаты налога на добавленную стоимость, акционерного налога и других отчислений из выручки в бюджетные и внебюджетные фонды) и совокупными расходами отчетного периода [17, с. 87].

Размер прибыли, уровень рентабельности зависят от производственной, снабженческой, маркетинговой, сбытовой, инвестиционной и финансовой деятельности предприятия. поэтому данные показатели характеризуют все стороны хозяйствования. Основными задачами анализа финансовых результатов деятельности являются: изучение возможностей получения прибыли в соответствии с имеющимся ресурсным потенциалом предприятия и конъюнктурой рынка; систематический контроль за процессом формирования прибыли и изменением ее динамики; определение влияния как внешних, так и внутренних факторов на финансовые результаты и оценка качества прибыли; выявление резервов увеличения суммы прибыли и повышение уровня доходности бизнеса; оценка работы предприятия по увеличению прибыли и рентабельности; выработка рекомендаций по повышению эффективности системы управления прибылью.

В процессе анализа используются различные показатели прибыли, которые можно классифицировать следующим образом:

. По видам хозяйственной деятельности различают: прибыль от основной (операционной) деятельности; прибыль от инвестиционной деятельности; прибыль от финансовой деятельности.

. По составу включаемых элементов различают маржинальную (валовую) прибыль; общий финансовый результат отчетного периода до выплаты процентов и налогов (брутто - прибыль), прибыль до налогообложения, чистую прибыль.

. В зависимости от характера деятельности предприятия выделяют прибыль от обычной (традиционной) деятельности и прибыль от чрезвычайных ситуаций, необычных для данного предприятия.

. По характеру налогообложения различают налогооблагаемую и не облагаемую налогом (льготируемую) прибыль в соответствии с налоговым законодательством, которое периодически пересматривается.

. По степени учета инфляционного фактора различают номинальную прибыль и реальную прибыль, скорректированную на темп инфляции в отчетном периоде.

. По экономическому содержанию прибыль делится на бухгалтерскую и экономическую, которая отличается от бухгалтерской тем, что при расчете ее величины учитывают не только явные затраты, но и неявные, не отражаемые в бухгалтерском учете (например, затраты на содержание основных средств, принадлежащих владельцу предприятия).

. По характеру использования чистая прибыль подразделяется на капитализированную (нераспределенную) и потребляемую (расходуемую на выплату дивидендов акционерам и учредителям предприятия) [25, с.57].

В процессе анализа необходимо изучить состав прибыли, ее структуру, динамику и выполнение плана за отчетный год. При изучении динамики прибыли следует учитывать инфляционные факторы изменения ее суммы. Для этого выручку корректируют на средневзвешенный индекс роста цен на продукцию предприятия в среднем по отрасли, а затраты по реализованной продукции уменьшают на их прирост в результате повышения цен на потребленные ресурсы за анализируемый период.

Анализируя состав и динамику прибыли, следует иметь в виду, что ее размер во многом зависит и от учетной политики предприятия. Закон о бухгалтерском учете и другие нормативные документы предоставляют право субъектам хозяйствования самостоятельно выбирать некоторые методы учета, способные существенно повлиять на формирование финансовых результатов. Действующие нормативные акты допускают следующие методы регулирования прибыли субъектом хозяйствования [32,с. 81].

. Изменения стоимостных границ отнесения имущества к основным средствам или оборотным активам влечет за собой изменение суммы текущих затрат и прибыли из-за различных способов отнесения на затраты.

. Изменение метода переоценки основных средств: путем индексации первоначальной стоимости с использованием среднестатистических коэффициентов пересчета или прямым пересчетом первоначальной стоимости в цены, сложившиеся на дату переоценки на соответствующие виды основных средств. От выбранного метода переоценки основных средств зависят фонд переоценки имущества, сумма амортизационных отчислений и величина прибыли и собственного капитала предприятия.

. Использование метода ускоренной амортизации по активной части основных средств также приводит к увеличению себестоимости продукции и уменьшению сумм прибыли, а, следовательно, и налогов на прибыль.

. Применение различных методов оценки нематериальных активов и способов начисления амортизации по ним.

. Выбор метода оценки производственных запасов.

. Изменение порядка списания затрат по ремонту основных средств на себестоимость продукции.

. Изменение сроков погашения расходов будущих периодов, сокращение которых ведет к росту себестоимости продукции отчетного периода.

. Изменение метода определения прибыли от реализации продукции (по моменту отгрузки продукции или моменту ее оплаты).

Таким образом, учетная политика, формируемая администрацией, открывает большой простор для выбора методологических приемов, способных радикально менять всю картину финансовых результатов и финансового состояния предприятия.

Показатели рентабельности характеризуют финансовые результаты и эффективность деятельности организации. Они измеряют доходность организации с различных позиций и группируются в соответствии с интересами участников экономического процесса, рыночного обмена.

Показатели рентабельности являются важными характеристиками факторной среды формирования прибыли предприятий. Поэтому они обязательны при проведении сравнительного анализа и оценке финансового состояния организации. При анализе производства показатели рентабельности используются как инструмент инвестиционной политики и ценообразования [29, с. 64].

Основные показатели рентабельности можно объединить в следующие группы:

) показатели рентабельности капитала (активов);

) показатели рентабельности продукции;

) показатели, рассчитанные на основе потоков наличных денежных средств.

Первая группа показателей рентабельности формируется как отношение прибыли к различным показателям авансированных средств, из которых наиболее важными являются: все активы организации; инвестиционный капитал (собственные средства + долгосрочные обязательства); акционерный (собственный) капитал. Например рентабельности капитала на (рис.1.3):

Рис. 1.3. Показатели рентабельности капитала

Несовпадение уровней рентабельности по этим показателям характеризует степень использования организациям финансовых рычагов для повышения доходности: долгосрочных кредитов и других заемных средств.

Данные показатели специфичны тем, что отвечают интересам всех участников бизнеса организации. Например, администрацию организации интересует отдача (доходность) всех активов (всего капитала); потенциальных инвесторов и кредиторов - отдача на инвестируемый капитал; собственников и учредителей - доходность акций и т.д.[16, с. 28].

Каждый из перечисленных показателей легко моделируется по факторным зависимостям. Рассмотрим следующую очевидную зависимость (рис.1.4.):

Рис. 1.4. Двухфакторная модель рентабельности

Эта формула раскрывает связь между рентабельностью всех активов, рентабельностью реализации и оборачиваемостью активов. Экономически связь заключается в том, что формула прямо указывает пути повышения рентабельности: при низкой рентабельности продаж необходимо стремиться к ускорению оборота активов.

Рассмотрим еще одну факторную модель рентабельности (рис.1.5.):

Рис. 1.5. Трехфакторная модель рентабельности

Как видим, рентабельность собственного (акционерного) капитала зависит от изменения уровня рентабельности продукции, скорости оборота совокупного капитала и соотношения собственного и заемного капитала. Изучение подобных зависимостей имеет большое значение для оценки влияния различных факторов на показатели рентабельности. Из приведенной зависимости следует, что при прочих равных условиях отдача акционерного капитала повышается при увеличении доли заемных средств в составе совокупного капитала.

Вторая группа показателей формируется на основе расчета уровней рентабельности по показателям прибыли, отражаемым в отчетности организаций. Например (рис.1.6.):

Рис. 1.6. Показатели рентабельности продукции

Данные показатели характеризуют прибыльность продукции базисного (К0) и отчетного (К1) периодов. Например, рентабельность продукции по прибыли от реализации определяется по формуле [24, с.167]:

 (1.21)

где Р1, P01 - прибыль от реализации отчетного и базисного периодов;, No - реализация продукции (работ, услуг) отчетного и базисного периодов;, So - себестоимость продукции (работ, услуг) отчетного и базисного периодов;

К - изменение рентабельности в отчетном периоде по сравнению с базисным периодом.

Влияние фактора изменения объема реализации определяется расчетом (по методу цепных подстановок)

 (1.22)

Соответственно влияние изменения себестоимости составит

 (1.23)

Сумма факторных отклонений дает общее изменение рентабельности в отчетном периоде по сравнению с базисным периодом:

  (1.24)

Третья группа показателей рентабельности формируется аналогично первой и второй группам, однако вместо прибыли в расчет принимается чистый приток денежных средств (рис.1.7).

Рис. 1.7. Показатели рентабельности на основе потоков наличных денежных средств

Данные показатели дают представление о степени возможности организации расплатиться с кредиторами, заемщиками и акционерами денежными средствами в связи с использованием имеющего место денежного притока. Концепция рентабельности, исчисляемой на основе притока денежных средств, широко применяется в странах с развитой рыночной экономикой. Она приоритетна, потому что операции с денежными потоками, обеспечивающие платежеспособность, являются существенным признаком "здоровья" финансового состояния организации.

При анализе путей повышения рентабельности важно разделять влияние внешних и внутренних факторов. Такие показатели, как цена продукта и ресурса, объем потребляемых ресурсов и объем производства продукции, прибыль от реализации и рентабельность продаж, находятся между собой в тесной функциональной связи.

Доходность производства продукции рассматривается как произведение коэффициента производительности ресурсов и коэффициента соотношения цен единицы продукта и единицы ресурса. Последнее соотношение обычно называют финансовой производительностью (дефлятором) цены, потому что оно характеризует меру возмещения дополнительных затрат в цене реализуемой продукции в результате повышения себестоимости (затрат ресурсов за счет роста цен на ресурсы).

2. ОЦЕНКА ФИНАНСОВЫХ РЕЗУЛЬТАТОВ ДЕЯТЕЛЬНОСТИ ОАО МОЛОЧНЫЙ КОМБИНАТ "ПЕНЗЕНСКИЙ"


2.1 Общая характеристика организации


По проекту института "Росгипромясомолпром" в 1985 году введен в эксплуатацию городской молочный комбинат мощностью 400 тонн перерабатываемого молока в сутки, с цехом детского питания - мощностью 5 тонн готового продукта в смену. Строительство комбината стало необходимым в связи с быстрым ростом Пензенской промышленности и возросшей численностью населения.

Открытое Акционерное Общество Молочный комбинат "Пензенский" учреждено Комитетом по управлению имуществом Пензенской области в соответствии с Указом Президента РФ № 721 от 01/06/92 и решения Комитета по управлению имуществом Пензенской области № 645 от 09.12.1992г., путем преобразования государственного предприятия "Молочный комбинат "Пензенский".

Общество является правопреемником государственного предприятия Молочный комбинат "Пензенский" и несет права и обязанности, возникшие у указанного предприятия до момента его преобразования.

Общество является открытым акционерным обществом и действует в соответствии с Федеральным законом № 208-ФЗ "Об акционерных обществах" от 26.12.1995г. [1]. Место нахождения Общества: 440031, г. Пенза, ул. Курская, 70. Целью деятельности Общества является извлечение прибыли.

Основными видами деятельности Общества являются:

-закупка, хранение и переработка сельскохозяйственного сырья;

-производство и реализация молочной и другой пищевой продукции;

оказание посреднических услуг;

ремонт оборудования, используемого в производстве, переработки и хранения сырья и готовой продукции;

осуществление внешнеэкономической деятельности, в том числе экспортно-импортных операций, включая предоставление и использование услуг;

иные виды деятельности, не запрещенные законодательством.

Общество является юридическим лицом и имеет в собственности обособленное имущество, отражаемое на его самостоятельном балансе, включая имущество, переданное ему акционерами в счет оплаты ценных бумаг Общества.

Общество может от своего имени приобретать и осуществлять имущественные и личные неимущественные права, нести обязанности, быть истцом и ответчиком в суде. Общество вправе в установленном порядке открывать банковские счета на территории Российской Федерации и за ее пределами.

Общество имеет круглую печать, содержащую его полное фирменное наименование на русском языке и указание на место его нахождения. В печати может быть также указано фирменное наименование Общества на любом иностранном языке. Общество вправе иметь штампы и бланки со своим наименованием, собственную эмблему, а также зарегистрированный в установленном порядке товарный знак и другие средства визуальной идентификации.

Реализация продукции, выполнение работ и предоставление услуг осуществляются по ценам и тарифам, устанавливаемым Обществом самостоятельно, кроме случаев, предусмотренных законодательством.

В соответствии с п.1 ст.38 Федерального закона "О приватизации государственного и муниципального имущества" от 21.12.2001 №178 в отношении Общества действует специальное право субъекта РФ - Пензенской области - ("золотая акция") на участие в управлении Обществом [4]. Специальным правом ("золотой акцией") наделен Фонд имущества Пензенской области. Решение об использовании специального права ("золотой акции") было принято при приватизации имущественного комплекса.

Имущество Общества формируется за счет вкладов акционеров, полученных Обществом доходов, продукции, произведенной Обществом в результате хозяйственной деятельности, и иного имущества, приобретенного Обществом по другим основаниям, допускаемым действующим законодательством.

Уставный капитал Общества составляет 22035 рублей и составляется из номинальной стоимости всех размещенных акций Общества. Обществом размещено 22035 обыкновенных именных акций в бездокументарной форме номинальной стоимостью 1 рубль. На дату государственной регистрации настоящего Устава уставный капитал Общества оплачен полностью. Добавочный капитал Общества путем размещения дополнительных обыкновенных именных акций в бездокументарной форме составил 26262,0 тыс. рублей.

Руководство деятельностью ОАО Молочный комбинат "Пензенский" осуществляет генеральный директор, который действует в соответствии с Уставом организации. Генеральный директор распоряжается средствами организации в пределах предоставленных ему прав, издает приказы и указания, принимает и увольняет работников в соответствии со штатным расписанием, а также совершает другие действия, необходимые для достижения целей и задач организации.

Решает все вопросы в пределах предоставленных прав и поручает выполнение отдельных производственно-хозяйственных функций другим должностным лицам - своим заместителям, руководителям производственных единиц, а также функциональных и производственных подразделений организации.

Генеральному директору непосредственно подчиняются:

зам. генерального директора по производственно-технической службе;

зам. генерального директора по продажам - начальник отдела маркетинга и сбыта готовой продукции;

помощник генерального директора по соц.быту;

зам.генерального директора по коммерческим вопросам и сырьевому обеспечению;

главный технолог;

главный бухгалтер и др.

Организационная структура управления ОАО Молочный комбинат "Пензенский" представлена в Приложении 10.

Предприятие формирует в соответствии с законодательством о бухгалтерском учете учетную политику, исходя из структуры и особенностей деятельности организации, необходимости обеспечения его финансовой устойчивости.

На предприятии издан приказ № 123-П от 31.12.2009 г. "Положение об учетной политике для бухгалтерского учета на 2010 год", в соответствии с которым учетная работа на предприятии ведется как в электронном виде с помощью применения программного обеспечения фирмы "1С Бухгалтерия", так и на бумажных носителях. Ответственным за работу бухгалтерии со стороны предприятия является генеральный директор.

Предприятие применяет план счетов бухгалтерского учета, утвержденный Приказом Министерства финансов Российской Федерации от 31 октября 2000 г. № 94н [ 7 ].

Предприятие ведет бухгалтерский учет имущества, обязательств и хозяйственных операций путем двойной записи на взаимосвязанных счетах бухгалтерского учета, включенных в рабочий план счетов бухгалтерского учета.

Аналитический учет хозяйственный операций ведется как на отдельных субсчетах первого и второго уровней, так и без отражения на отдельных субсчетах с использованием возможностей программного обеспечения - отчет "Анализ счета по субконто".

На предприятии используются унифицированные формы первичных учетных документов; внедрены специализированные формы первичных учетных документов с внесением изменений в унифицированных формах применительно особенностей отраслей, а также приспособленных к современным требованиям стандартов построения документации, соблюдать компактность и удобность для компьютерной обработки; формы, применяемые в программном комплексе "1С Бухгалтерия".

Организационной структурой ОАО "Молочный комбинат "Пензенский" не предусмотрена финансовая служба, поэтому бухгалтерия, наряду с учетными функциями выполняет следующие задачи финансовых служб:

разработка финансовой стратегии наиболее эффективного использования собственных, заемных финансовых ресурсов;

составление и реализация финансового, кредитного и кассового планов;

помощь руководителю предприятия в управлении денежными потоками для обеспечения роста прибыли, повышения рентабельности и удовлетворения производственных и социальных нужд работников предприятия;

осуществление финансового контроля за эффективным использованием производственных средств, за доведением размеров оборотных средств до экономически обоснованных нормативов;

отслеживание внутренних и внешних факторов, влияющих на финансовое состояние предприятия, и выработка предложений по изменению текущей финансовой деятельности;

выполнение финансовых обязательств перед финансовыми, налоговыми органами, банками, поставщиками, партнерами, вышестоящей организацией, по выплате заработной платы и других обязательств, вытекающих из финансового плана;

составление отчетности о реализации предприятием разработанной финансовой стратегии и соответствующих финансовых планов.

Главный бухгалтер выполняет функции финансового менеджера. Для выполнения возложенных на него функций главный бухгалтер предприятия осуществляет организацию бухгалтерского учета хозяйственно-финансовой деятельности и контроль за экономным использованием материальных, трудовых и финансовых ресурсов, сохранностью собственности предприятия.

Ниже, рассмотрим основные финансово-экономические показатели работы ОАО Молочный комбинат "Пензенский" за 2008-2010 годы и проведём сравнительный анализ в таблице 2.1.

Таблица 2.1 Динамик основных финансово-экономические показатели ОАО Молочный комбинат "Пензенский" за 2008-2010 гг.

Показатели

2008г.

2009г.

2010г.

Отклонение (+,-) 2010 г. от





2008г.

2009г

Себестоимость проданных товаров, продукции, работ, услуг, тыс.руб.

697005

834833

942259

245254

107426

Выручка от продажи товаров, продукции, работ, услуг, тыс.руб.

821060

993838

1110269

289209

116431

Среднегодовая стоимость основных производственных фондов, тыс.руб.

64164

64248

68078

3914

3830

Среднегодовая стоимость оборотных средств, тыс.руб.

7739

48578

71371

63632

22793

Среднесписочная численность работников, чел.

688

669

671

-17

2

Прибыль (убыток) от продаж, тыс.руб.

60305

67126

6821

-10857

Чистая прибыль (убыток), тыс.руб.

88477

126921

157683

69206

30762

Уровень рентабельности (убыточности) продаж, %

7,50

6,40

5,86

-1,64

-0,54


В результате сравнительного анализа наблюдается в 2010 году рост себестоимости продукции на 12,8%, и выручки товарной продукции на 11,7% по отношению к 2009 году.

В 2010 году выросла среднегодовая стоимость основных производственных фондов в среднем на 3830 тыс. руб. за счет ввода промышленного объекта. Среднегодовая стоимость оборотных средств предприятия значительно выросла в 2010 году за счет роста нераспределенной прибыли, особенно к уровню 2008 года. В 2009 году за счет оптимизации численного состава и перераспределения работы сокращен вспомогательный персонал на 17 единиц.

По отношению к 2008 году наблюдается рост прибыли от продаж в 2010 году, а к уровню 2009 года снижение на 10875 тыс. руб., в основном за счет роста себестоимости и коммерческих расходов.

Уровень рентабельности продаж сократился в 2010 году по отношению к 2009 году на 0,54%,а к 2008 году на 1,64%.

Динамика основных финансово-экономических показателей приведена на рисунке 2.1.

Рис.2.1. Динамика основных финансово-экономических показателей

Вновь построены: цех по производству сухого и сгущенного молока, открыт участок по производству твердых сыров, запущена линия производства творога и йогуртов методом ультрафильтрации и т.д.

Выполняя Президентскую программу "Дети России" на комбинате установлено технологическое оборудование итальянской фирмы "Альберто Бертуцци" по производству детского питания на основе плодов и ягод, производительностью 10 млн. условных банок в год.

ОАО Молочный комбинат "Пензенский" имеет сеть собственных фирменных магазинов активно сотрудничает с торговыми сетями "Перекресток", "Лента", "Караван", "АШАН" и др. Продукция стала пользоваться спросом и в других регионах.

 

2.2 Анализ финансового состояния ОАО Молочный комбинат "Пензенский"


Важную роль в процессе анализа финансового состояния предприятия и его финансовых результатов играет построение сравнительного аналитического баланса. Сравнительный аналитический баланс получается из исходного бухгалтерского баланса путем укрупнения его статей и дополнения его показателями структуры, динамик вложений и источников средств за отчетный период.

Для наиболее полного и детального изучения и анализа финансового состояния ОАО Молочный комбинат "Пензенский" на основе бухгалтерского баланса за 2008-2010гг. составим сравнительный аналитический баланс в таблице 2.2.

Таблица 2.2 Анализ структуры активов ОАО Молочный комбинат "Пензенский"

Статьи баланса

2008г.

2009г.

2010г.

Изменение


тыс.руб

% к итогу

тыс.руб

% к итогу

тыс.руб.

% к итогу

тыс.руб 2008г.к 2010г.

темп роста, в %

1.Внеоборотные активы, в т.ч.:









Основные средства

63830

32,9

64666

33,2

71490

31,0

7660

20,8

Нематериальные активы

-

-

72

0,04

92

0,04

92

0,2

Незавершенное строительство

6309

3,3

4896

2,5

6170

2,7

-139

-0,3

Долгосрочные финансовые вложения

66

0,03

74

0,04

74

0,03

8

0,02

Отложенные налоговые активы

130

0,06

136

0,07

161

0,07

31

0,1

2.Оборотные активы









Запасы

86111

44,4

82223

42,2

110239

47,8

24128

65,7

Дебиторская задолженность

33358

17,2

37093

19,0

37429

16,3

4071

11,0

НДС по приобретенным ценностям

187

0,1

-

-

-

-

-

-

Денежные средства

3815

2,0

5673

2,9

4922

2,1

1107

3,0

Прочие оборотные активы

29

0,01

29

0,01

-


-

-

БАЛАНС

193835

100

194862

100

230577

100

36742

100


Основной составляющей внеоборотных активов являются основные средства, их удельный вес в структуре активов колеблется от 32,9 до 31 % и к концу 2010 года они выросли на 7660 тыс. руб. к уровню 2008 года, за счет ввода объектов промышленного назначения.

Существенными статьями оборотных активов на конец 2010 года являются запасы (их удельный вес составляет 47,8 %) и краткосрочная дебиторская задолженность (16,3 %), соответственно наиболее ликвидные (денежные средства) в структуре актива баланса занимают незначительный удельный вес, всего 2,1 %. Анализ состава и структуры запасов показал, что значительными составляющими этой статьи являются сырье и материалы, а также готовая продукция и товары для перепродажи.

Наиболее общую структуру активов характеризует коэффициент соотношения оборотных и внеоборотных активов, рассчитываемый по формуле: K о/в = оборотные активы / внеоборотные активы

Найдем коэффициент соотношения оборотных и внеоборотных активов предприятия. Для этого построим таблицу 2.3.

По данным таблицы 2.3 видно, что коэффициент соотношения оборотных и внеоборотных активов за отчетный период несколько изменился. Если в начале периода на 1 рубль основного капитала приходилось 1,75 оборотного капитала, то на конец периода - 1,95. Это указывает на рост инвестиционной деятельности организации.

Таблица 2.3 Анализ структуры активов баланса ОАО Молочный комбинат "Пензенский"

Показатели

Абсолютные величины

Изменения


на 01.01. 2009г.

на 01.01. 2010г.

на 01.01. 2011г.

2009г. к 2008г.

2010г. к 2008г.

I. Внеоборотные активы

70335

69844

77987

8143

7652

II. Оборотные активы

123500

125018

152590

27572

29090

Итого активов

193835

194862

230577

35715

36742

Коэффициент соотношения оборотных и внеоборотных активов

1,75

1,78

1,95

0,17

0,20


Платежеспособность предприятия выступает в качестве внешнего проявления финансовой устойчивости, сущностью которой является обеспеченность оборотных активов долгосрочными источниками формирования.

Имущественное состояние ОАО Молочный комбинат "Пензенский" отражает динамика и структура его активов, приведенные в Приложении 1,2,3. И в таблице 2.4.

Таблица 2.4 Анализ динамики активов ОАО Молочный комбинат "Пензенский" за 2008-2010 гг. (в тыс. руб.)

Показатели

2008г.

2009г.

2010г.

Отклонение (+,-)





2010г. к 2008г.

в %

Активы: на начало года на конец года

 164762 193835

 193835 194862

 194862 230577

 30100 36742

 118,2 118,9

Стоимость активов, средн.

179298,5

194348,5

212719,5

33421

118,6

Внеоборотные активы: на начало года на конец года

 68328 70335

 70335 69844

 69844 77987

 1516 7652

 102,2 110,8

Внеоборотные активы, средн.

69331,5

70089,5

73915,5

4584

106,6

Оборотные активы на начало года на конец года

 96434 123500

 123500 125018

 125018 152590

 28584 29090

 129,6 123,5

Оборотные активы, средн.

109967

124259

138804

28837

126,2


По данным таблицы 2.4 видно, что имущество ОАО Молочный комбинат "Пензенский" в 2010 году увеличилось на 36742 тыс. руб., или на 18,9 % к соответствующему периоду 2008 года благодаря модернизации и техническому перевооружению производства.

Внеоборотные активы увеличились на 7652 тыс. руб., или 110,8 %, а оборотные активы соответственно на 29090 тыс. руб., или на 23,5 % к соответствующему периоду 2008 года.

Руководство организации должно иметь четкое представление, за счет каких источников ресурсов оно будет осуществлять свою деятельность, и в какие сферы деятельности будет вкладывать свой капитал. Капитал- это средства, которыми располагает субъект хозяйствования для осуществления своей деятельности с целью получения прибыли.

Формируется капитал организации, как за счет собственных (внутренних), так и за счет заемных (внешних) источников. Анализ динамики пассивов приведен в таблице 2.5.

Таблица 2.5 Анализ динамики пассивов ОАО Молочный комбинат "Пензенский", тыс.руб.


2008г

2009г

2010г

Отклонение





2010г. к 2008г.

в %

Собственный капитал на начало года на конец года Среднегодовая стоимость

 52483 78074 65278

 78074 118422 98248

 118422 149358 133890

 65939 71284 68612

 225,0 191,0 205

Долгосрочные обязательства на начало года на конец года Среднегодовая стоимость

 9667 14227 11947

 14227 11059 12643

 11059 2302 6680

 1392 -11925 -5267

 114,0 16,0 55,0

Краткосрочные обязательства на начало года на конец года Среднегодовая стоимость

 102612 101534 102073

 101534 65381 83457

 65381 78917 72149

 -37231 -22617 -29924

 63,0 77,0 70,0

Валюта баланса на начало года на конец года Среднегодовая стоимость

 164762 193835 179298

 193835 194862 194348

 194862 230577 212719

 30100 36742 33421

 118,0 118,0 118,0


Собственный капитал за 2010 вырос на 71284 тыс.руб. или на 191,0 % к 2008 году. Наблюдается снижение долгосрочных обязательств организацией на конец 2010 года в сумме 11925 тыс.руб. или на 84% к уровню 2008 года.

Краткосрочные обязательства также имеют тенденцию к снижению. К концу 2010 года они сократились на 22617 тыс.руб., или на 23,0 %.

Анализ платежеспособности по балансу осуществляется на основе характеристики ликвидности оборотных активов, которая определяется временем, необходимым для превращения их в денежные средства.

Анализ ликвидности баланса ОАО Молочный комбинат "Пензенский" за 2008-2010 гг. проведем, используя бухгалтерский баланс (Форма №1). Для определения ликвидности баланса следует сопоставить итоги приведенных групп по активу и пассиву баланса, проведенных в таблице 2.6.

Баланс предприятия считается абсолютно-ликвидным, если выполняются условия: А1≥П1; А2≥П2; А3≥П3; А4≤П4.

Таблица 2.6 Анализ ликвидности баланса организации (в тыс. руб.)

Актив

2008г

2009г

2010г

Пассив

2008г

2009г

2010г

Платежный излишек или недостаток









2008г.

2009г.

2010г.

А1

3815

5673

4922

П1

58366

56882

68592

-54551

-51209

-63670

А2

33358

37093

37429

П2

34495

-

2000

-1137

37093

35429

А3

86327

82252

110239

П3

22900

19558

10627

63427

62694

99612

А4

70335

69844

77987

П4

78074

118422

149358

-7739

-48578

-71371

Баланс

193835

194862

230577

Баланс

193835

194862

230577

-

-

-

Результаты расчетов, приведенные в таблице 2.6, показывают, что в этой организации сопоставление итогов групп по активу и пассиву имеет следующий вид:

2008г.= А1<П1; А2<П2; А3<П3; А4<П4.

г.= А1<П1; А2>П2; А3>П3; А4<П4.

г.= А1<П1; А2>П2; А3>П3; А4<П4.

В 2008 - 2010 гг. наблюдался платежный недостаток наиболее ликвидных активов (А1) денежных средств и краткосрочных финансовых вложений предприятия. Иными словами, наиболее ликвидных активов недостаточно для покрытия наиболее срочных обязательств, т.е. А1<П1.

Быстро реализуемые активы (А2) в 2009-2010 гг. превышают краткосрочные пассивы (П2), т.е. А2>П2. Группа медленно реализуемых активов (А3) значительно выше долго- и среднесрочных пассивов (П3), т.е. А3>П3, за исключением 2008 года, когда А3<П3.

Как видно из расчета, А4<П4, трудно реализуемые активы не перекрывают постоянные пассивы, т.е. было соблюдено важное условие платежеспособности, что говорит о наличии у предприятия собственных оборотных средств для воспроизводственного процесса.

На основании данных структуры активов и пассивов ОАО Молочный комбинат "Пензенский" рассчитаем показатели ликвидности организации за 2008 - 2010 гг.

Коэффициент текущей ликвидности (покрытия долгов), показывает, какую часть краткосрочных обязательств организации можно погасить, если мобилизовать все оборотные средства. Значения, соответствующие нормативу от 2 и выше. Рассчитывается по формуле: Ктл = (А1 + А2 + А3) / (П1 + П2)

Коэффициент быстрой ликвидности, или коэффициент "критической оценки", показывает, насколько ликвидные средства организации покрывают его краткосрочную задолженность. Рекомендуемое значение данного показателя от 08 до 1,5. Определяется по формуле: Кбл = (А1 + А2 ) / (П1 + П2)

Коэффициент абсолютной ликвидности представляет собой отношение денежных средств, которыми располагает организация на счетах в банках и в кассе, к краткосрочным обязательствам. Значения данного коэффициента за рассматриваемый период соответствует нормативным от 0,2 до 0,5. Определяется по формуле: Кал = А1 / (П1 + П2). Расчеты показателей ликвидности отражены в таблице 2.7.

Таблица 2.7 Показатели ликвидности ОАО Молочный комбинат "Пензенский" за 2008-2010 гг.

Показатели

Норматив

2008 г.

2009г.

2010 г.

Отклонение (+, -) 2010 г. от

2009г.

Коэффициент покрытия (текущей ликвидности)

>2

1,32

2,19

2,16

-0,68

0,19

Коэффициент быстрой ликвидности

0,8-1,5

0,40

0,75

0,60

-0,4

-0,05

Коэффициент абсолютной ликвидности

0,2

0,04

0,09

0,06

-0,16

-0,11


Как следует из данных таблицы 2.7, в течение анализируемого периода коэффициент покрытия текущей ликвидности (долгов) находится ниже нормативного значения (2,0) в 2008 году, но уже в 2009 и 2010 годах норматив был превышен, значит, предприятие имело достаточное количество денежных средств для покрытия текущей задолженности.

Коэффициент быстрой ликвидности и абсолютной ликвидности в анализируемый период был значительно ниже норматива.

Затем проведем анализ финансовой устойчивости ОАО Молочный комбинат "Пензенский". Для этого рассчитаем ряд финансовых коэффициентов, используя бухгалтерский баланс организации за 2008-2010 гг. Результаты расчетов сведены в таблице 2.8.

Коэффициент автономии (финансовой независимости) в течение 2009-2010 года превышал предел нормативного значения равного 0,5 и это означает, что предприятие не зависимо от заемного капитала. В 2008 году нормативный коэффициент не был выполнен по причине привлечения значительных кредитов банка, а в 2009 -2010 годах привлечение кредитов было минимально, долгосрочные обязательства были погашены.

Таблица 2.8 Показатели финансовой устойчивости организации

Наименование коэффициента

Нормативное значение

2008г.

2009 г.

2010г.

Коэффициент автономии (финансовой независимости)

≥ 0,5

0,4

0,6

0,7

Коэффициент соотношения заемных и собственных средств

<0,7

1,2

0,5

0,4

Коэффициент маневренности

0,2- 0,5

0,1

0,4

0,5

Коэффициент соотношения мобильных и иммобилизованных активов

-

0,56

0,55

0,51

Коэффициент обеспеченности оборотного капитала собственными источниками финансирования

≥0,1

0,06

0,4

0,5


Коэффициент соотношения заемных и собственных средств показывает, если коэффициент превышает 1, то это говорит о том, что предприятие зависимо от заемных средств. В анализируемом периоде коэффициент снизился с 1,2 до 0,4, что говорит об обеспеченности организации собственными средствами.

Коэффициент маневренности в пределах установленного норматива, что говорит о достаточности собственных средств.

Коэффициент соотношения мобильных и иммобилизованных активов на конец 2010 года показывает, что только 0,51 коп. внеоборотных активов приходится на каждый рубль оборотных активов.

Коэффициент обеспеченности оборотного капитала собственными источниками финансирования в 2010 году превышает норматив, что говорит о том, что организация обеспечена собственными источниками финансирования.

Можно сделать вывод, что ОАО Молочный комбинат "Пензенский" не зависит от заемных средств, и обеспечено производственными запасами.

В таблице 2.9 представлены результаты расчета коэффициентов деловой активности для ОАО Молочный комбинат "Пензенский".

Таблица 2.9 Показатели деловой активности за 2008-2010 годы

Наименование показателя

Значение


2008г.

2009г.

2010г.

Общая оборачиваемость капитала

4,58

5,11

5,22

Оборачиваемость собственного капитала

11,09

9,30

7,80

Оборачиваемость запасов и затрат

9,69

9,92

9,79

Оборачиваемость текущих активов

7,47

8,0

8,0

Оборачиваемость дебиторской задолженности

24,15

28,21

29,80

Оборачиваемость кредиторской задолженности

12,43

13,31

16,35

Средний срок оборачиваемости дебиторской задолженности, дней

14,99

12,89

12,15

Средний срок оборачиваемости кредиторской задолженности, дней

29,12

27,20

22,14

Фондоотдача собственных оборотных средств и прочих внеоборотных активов, руб.

12,80

15,53

16,31


Анализируя данные таблицы 2.9 можно сделать следующие выводы:

)        рост оборачиваемости капитала является положительным моментом, так как осуществляется более рациональное использование средств в организации;

)        оборачиваемость запасов и затрат по отношению к 2009 году несколько снизилось, что свидетельствует о замедлении активности производства;

)        рост оборачиваемости текущих активов свидетельствует о повышении скорости оборота всех мобильных средств;

)        рост оборачиваемости дебиторской задолженности свидетельствует об улучшении соблюдения платежной дисциплины дебиторами;

)        рост оборачиваемости кредиторской задолженности свидетельствует об улучшении соблюдения платежной дисциплины организацией;

6)      сокращение среднего срока оборачиваемости кредиторской и дебиторской задолженности свидетельствует об уменьшении сроков погашения кредиторской и дебиторской задолженностей;

7)      рост фондоотдачи свидетельствует об улучшении использования недвижимого имущества организации.

В целом, можно говорить об усилении деловой активности организации.

2.3 Оценка финансовых результатов организации и распределения прибыли


Для реальной оценки финансового результата деятельности любого предприятия в первую очередь необходима информация о состоянии его финансовых ресурсов и их движении во времени, т. е. о денежных потоках.

Отчет о движении денежных средств форма № 4 - в последнее время стал одним из основных элементов бухгалтерской (финансовой) отчетности в мировой практике. Он дополняет бухгалтерский баланс и отчет о прибылях и убытках, но в специальной учетной литературе часто подчеркивается, что для предпринимателей этот отчет стал важнее, чем баланс и отчет о прибылях и убытках.

Эта форма отражает реальное финансовое положение и платежеспособность предприятия. Если бухгалтерский баланс отражает финансовое положение хозяйствующего субъекта на определенный момент, то отчет о движении денежных средств поясняет изменения, происшедшие с одним из компонентов финансовой отчетности - денежными средствами - от одной даты составления бухгалтерского баланса до другой.

Отчет о прибылях и убытках характеризует результаты деятельности за период. Эта деятельность является основным фактором, который изменяет состояние денежных средств, отражаемое в форме №4. Информация о движении денежных средств анализируемого объекта полезна в качестве базы для оценки ее способности, привлекать и использовать денежные средства.

Группировка денежных потоков по видам деятельности позволяет отразить влияние каждого из трех направлений деятельности организации на денежные средства. Данные организации по форме №4 за 2008-2010 годы представлены в Приложении 7,8,9.

Комбинированное их воздействие определяет чистое изменение денежных средств за период, которое выверяется с начальным и конечным сальдо денежных средств. Движение денежных потоков за 2008 год представлено в таблице 2.9.

Как видно из сгруппированных данных, в результате осуществления в 2010 году своей деятельности ОАО Молочный комбинат "Пензенский" увеличил объем денежной массы в части как поступления, так и их оттока.

Данную ситуацию можно оценить положительно, поскольку она является следствием значительного роста масштабов реализации товаров. Однако отрицательным моментом является превышение оттока денежных средств над их притоками в 2010 году на 776 тыс. руб.

Таблица 2.9 Движение денежных средств на ОАО Молочный комбинат "Пензенский" по видам деятельности

Показатель

Сумма денежных средств, тыс. руб.

Отклонение (+,-) 2010г. к 2008г.

Удельный вес в %


2008г.

2009г.

2010г.



1.Остаток денежных средств на начало года

3654

3815

5673

2019

155,0

2.Поступление денежных средств - всего

982918

1147960

1269365

286447

129,0

в т. ч. по видам деятельности:






- текущей

982787

1147960

1269340

286553

129,0

-инвестиционной

131

-

25

-106

19

- финансовый

-

-

-

-

-

3.Расходование денежных средств - всего

982757

1146102

1270116

287359

129,0

в том числе по:






- текущей

974958

1044758

1192748

217790

122,0

-инвестиционной

7799

7535

20368

12569

261,0

- финансовой

-

93809

57000

57000

-

4.Остаток денежных средств на конец года

3815

5673

4922

1107

129,0


Основными финансовыми результатами работы ОАО Молочный комбинат "Пензенский" выступают: прибыль (убыток) от продаж, прибыль (убыток) до налогообложения, чистая прибыль (нераспределенная прибыль (убыток) отчетного периода). Все перечисленные показатели содержатся в форме № 2 "Отчет о прибылях и убытках" годовой отчетности предприятия в Приложении 4,5,6. Проведем анализ данной формы отчетности по таблице, приведенной в таблице 2.10.

В данных показателях видно, что с 2008 года наблюдается рост выручки и на конец 2010 года ее прирост составил 289209 тыс. руб.

Положительным можно считать меньший прирост себестоимости (245254 тыс. руб.) по сравнению с приростом выручки. Увеличение коммерческих и управленческих расходов вызвано повышением затрат ОАО Молочный комбинат "Пензенский" на проведение маркетинговых исследований, на рекламу, поиск новых рынков сбыта.

Таблица 2.10 Динамика и структура прибылей и убытков организации, тыс. руб.

Наименование показателя

ККод строки

2008г.

2009 г.

2010 г.

Отклонение (+,-), в тыс.руб

Уровень в % к выручке в 2010 г.

Выручка (нетто) от продажи товаров,услуг (за минусом НДС, акцизов) (В)

0010

821060

993838

1110269

289209

100

Себестоимость проданных товаров, , работ, услуг. (С)

020

697005

834833

942259

245254

84,8

Коммерческие расходы (КР)

0030

58397

75517

94344

35947

12,4

Управленческие расходы

2040

5353

5505

6540

1187

0,4

Прибыль (убыток) от продаж (Пб)

0050

60305

77983

67126

6821

-

Прочие доходы

0090

1751

1315

6027

4276

1,5

Прочие расходы

100

5011

3713

7520

2509

0,8

Текущий налог на прибыль

150

11692

14512

12182

490

0,1

Чистая прибыль (убыток) отчетного периода

190

40659

59874

52646

11987

-

Всего доходов (Д)

_

822811

995153

1116296

-

-

Всего расходов (Р)

-

777458

934080

1062845


-

Коэффициент соотношения доходов и расходов

Д/Р

1,05

1,06

1,05

-

-


Решающее влияние на формирование всех финансовых показателей предприятия, в том числе и прибыли, оказывает соотношение его доходов и расходов. На анализируемом предприятии коэффициент соотношения доходов и расходов чуть больше 1. Так в 2008 коэффициент составлял- 1,05, в 2009 -1,06, в 2010 году - 1,05. Поэтому, финансово-хозяйственная деятельность организации является недостаточно эффективной.

Основными задачами анализа доходов предприятия являются изучение уровня и структуры доходов в отчетном периоде, сравнение уровней и структур доходов в последние три года работы предприятия, оценка структурной динамики доходов и выяснение ее причин. Проведем анализ сведений об объеме, динамике и структуре доходов и расходов ОАО Молочный комбинат "Пензенский" за 2008-2010 гг. в таблице 2.11.

Таблица 2.11 Анализ уровня доходов и расходов ОАО Молочный комбинат "Пензенский", тыс. руб.

Наименование

2008г.

Уд.вес в %

2009г.

Уд.вес

2010г.

Уд.вес в %

Доходы от обычной деятельности

821060

99,8

993838

99,9

1110269

99,5

Прочие доходы

1751

0,2

1315

0,1

6027

0,5

Итого:

822811

100

995153

100

1116296

100

Расходы от обычной деятельности

760755

99,3

915855

99,6

1043143

99,3

Прочие расходы

5011

0,7

3713

0,4

7520

0,7

Итого:

765766

100

919568

100

1050663

100


Как показывают данные таблицы 2.11, изменения доходов и расходов предприятия за последние 3 года имеют почти схожую тенденцию.

В составе доходов организации имеются доходы от обычных видов деятельности (выручка от реализации), прочие доходы. При этом преобладание выручки (от 99,8 до 99,5 %) в структуре доходов ОАО Молочный комбинат "Пензенский" носит устойчивый характер, что свидетельствует о сохранении содержания основной деятельности предприятия согласно его Уставу. Доходы в 2010 году по сравнению с 2008 годом выросли на 293485 тыс. руб. Данные приведенных расчетов в таблице 2.8 показывают, что общие расходы предприятия в 2010 году по сравнению с 2008 годом выросли на 284897 тыс. руб. В структуре расходов преобладают расходы от обычных видов деятельности (себестоимость продукции с учетом коммерческих и управленческих расходов). Их удельный вес составляет 99,3 %, что указывает на стабильность основной деятельности. Обобщенную информацию о формировании чистой прибыли организации представим в виде таблицы 2.12.

Таблица 2.12 Динамика прибылей и убытков ОАО Молочный комбинат "Пензенский"

Показатели

Абсолютные величины, тыс. руб.

Изменения по отношению к 2010 г.


2008г.

2009г.

2010г.

2008г.

2009 г.

Выручка от продаж

993838

1110269

289209

116431

Валовая прибыль

124055

159005

168010

43955

9005

Прибыль (убыток) от продаж

60305

77983

67126

6821

-10857

Прибыль (убыток) до налогообложения

52539

74578

65046

12507

-9532

Налог на прибыль

11692

14512

12182

490

-2330

Чистая прибыль (убыток)

40659

59874

52646

11987

-7228

Данные таблицы 2.12 показывают, различия между разными финансовыми результатами предприятия: прибылью от продаж и прибылью до налогообложения. Эта разница возникла как результат прочей деятельности предприятия.

По итогам 2010 года выручка от продаж составила 1110269 тыс.руб., и выросла по отношению к 2008 году на 289209 тыс.рублей, или на 35,0 %.

Значительно возросла в 2010 году валовая прибыль предприятия и составила 168010 тыс.рублей, что также на 35,0 % выше аналогичного периода 2008 года.

На рисунке 2.2. показана динамика прибылей и убытков организации.

Рис.2.2. Динамика прибылей и убытков организации

Важнейшим показателем, отражающим конечные финансовые результаты деятельности организации, является рентабельность. Рентабельность характеризует прибыль, получаемую с каждого рубля средств, вложенных в финансовые операции, либо в другие организации.

Ниже, в таблице 2.13 приведены показатели рентабельности для ОАО Молочный комбинат "Пензенский".

На основании содержания таблицы 2.13 можно сделать следующие выводы. Рентабельность продаж показывает, сколько прибыли, полученной организацией за анализируемый период, приходится на каждый рубль выручки от продаж.

Таблица 2.13 Показатели рентабельности организации,%

Коэффициент

2008г.

2009г.

2010г.

1. Рентабельность продаж

7,50

6,40

5,86

2. Рентабельность производства

49,74

44,28

41,04

3. Рентабельность активов

20,98

30,62

22,83

4. Чистая рентабельность

4,95

6,0

4,74

5. Рентабельность собственного капитала

52,08

50,39

35,25

6. Рентабельность заемного капитала

35,12

78,07

64,82

7. Рентабельность перманентного капитала

44,05

46,00

34,71

финансовый прибыльность рентабельность доход

Отсюда следует, что доля прибыли от продаж в выручке в 2008 году составила 7,50 %, в 2009 году - 6,40%, в 2010 году - 5,86 %. Максимальное значение данного показателя было достигнуто в 2008 году. В целом можно наблюдать нестабильную динамику продаж (рис.2.3.)

Рис. 2.3. Динамика показателей рентабельности организации

Рентабельность производства отражает величину прибыли, полученной организацией за анализируемый период, приходящуюся на каждый рубль себестоимости проданной продукции. Коэффициент показывает, сколько предприятие имеет прибыли с каждого рубля, затраченного на производство и реализацию продукции. Максимальным данный показатель был в 2008 году. Его значение составило 49,74 %. Относительно начала анализируемого периода и его конца, можно сделать вывод, что данный показатель несколько сократился.

Рентабельность активов отражает величину прибыли, полученной за анализируемый период, приходящуюся на каждый рубль вложений в ее активы. На один рубль вложений в 2008 году приходилось 20,98 % прибыли, в 2009 - 30,62 %, и в 2010 - 22,83 %. Большую прибыль организации удалось получить в 2009 году.

Чистая рентабельность показывает долю чистой прибыли в выручке предприятия за анализируемый период. Наибольшая доля прибыли в выручке наблюдается в 2009 году и составляет 6,0 %. А в 2008 и в 2010 годах - 4,95 % и 4,74 % соответственно.

Рентабельность собственного капитала показывает величину чистой прибыли, полученной организацией за анализируемый период, и приходящуюся на каждый рубль собственных средств, вложенных в активы. Следовательно, величина чистой прибыли на один рубль вложенных собственных средств составила в 2008 году - 52,08 %, в 2009 году - 50,39 % и в 2010 году - 35,25 %.

Рентабельность заемного капитала характеризует величину прибыли, полученной организацией за анализируемый период, приходящуюся на каждый рубль собственных средств, вложенных в активы. Максимальное значение данного коэффициента было достигнуто в 2009 году, оно составило 78,07 %. В 2008 году - 35,12 %, а в 2010 году - 64,82 %.

Рентабельность перманентного капитала показывает, эффективность использования капитала, вложенного в деятельность организации на длительный срок. В 2008 году его значение составило 44,05 %, в 2009 - 46,0 %, в 2010 - 34,71 %.

Если говорить обо всем анализируемом периоде, то можно отметить, что наблюдается неравномерная динамика значений показателей рентабельности ОАО Молочный комбинат "Пензенский". Особенно большим был рост показателей в 2008 году.

В соответствии с Уставом ОАО Молочный комбинат "Пензенский" вправе ежегодно принимать решение о распределении своей чистой прибыли между участниками Общества. Решение о распределении части прибыли Общества, распределяемой между его участниками, принимается общим собранием его участников. Часть прибыли Общества, предназначенная для распределения между его участниками, распределяется пропорционально их долям в уставном капитале.

На предприятии распределению подлежит прибыль после уплаты налогов. Из этой прибыли также уплачиваются некоторые налоги в местные бюджеты и взыскиваются экономические санкции.

Чистая прибыль предприятия в 2010 году составила 52646 тыс. руб., что выше аналогичного периода 2008 года на 11987 тыс.рублей, но ниже 2009 года на 7228 тыс.руб.

В ОАО Молочный комбинат "Пензенский" размер нераспределенной прибыли постоянно возрастает и увеличивает величину собственного капитала. Наличие нераспределенной прибыли увеличивает финансовую устойчивость предприятия, свидетельствует о наличии источника для последующего развития.

В таблице 2.14 представлено распределение прибыли предприятия ОАО Молочный комбинат "Пензенский" за 2008 - 2010 годы.

Таблица 2.14 Анализ распределения прибыли организации

Показатель

2008г.

2009г.

2010г.


Сумма, тыс.руб.

Доля чистой прибыли, %

Сумма, тыс.руб

Доля чистой прибыли, %

Сумма, тыс.руб

Доля чистой прибыли, %

Чистая прибыль (убыток) отчетного года

40659

100

59874

100

52646

100

В резервный фонд

20329

50

35924

60

31587

60

В фонд накопления

12198

30

14969

25

15794

30

В фонд потребления

8132

20

14969

15

5265

10

На выплату доходов участникам

-

-

-

-

-

-

На основании таблицы 2.14 можно сделать следующие выводы. В 2008 году чистая прибыль составляла 40659 тыс. руб. Участниками Общества было принято решение направить часть чистой прибыли в резервный фонд в размере 20329 тыс. руб., в фонд накопления в размере 12198 тыс. руб., и фонд потребления 8132 тыс. руб. По выплате доходов участникам Общества было принято решение не начислять дивидендов по акциям, а средства от чистой прибыли направить в резервный фонд.

Наибольшая доля отчислений составила в резервный фонд от чистой прибыли - 50,0 %, что говорит о том, что участники Общества хотели создать резерв для погашения убытков, которые могло бы понести предприятие в последующий год. Часть прибыли 2008 года была направлена на исполнение обязательств за 2007 год.

В 2009 году участниками Общества было также принято решение о распределении части чистой прибыли, которые предусмотрены Уставом Общества, а именно: в резервный фонд, фонд накопления, фонд потребления и на выплату доходов участникам Общества. Чистая прибыль в 2009 году составила 59874 тыс. руб. В резервный фонд было направлено 35924 тыс. руб., в фонд накопления - 14969тыс. руб., в фонд потребления - 14969 тыс. руб.

Наибольшую долю в отчислении от чистой прибыли составляли резервный фонд- 60,0 % и отчисления в фонд накопления- 25,0 %. Это говорит о том, что в планах руководства предприятия предусматривалось расширение производства, а именно, увеличение основных и оборотных фондов, освоение новых видов продукции. И небольшую долю имеют отчисления в фонд потребления - 15,0 %. Это показывает, что в планы руководства ОАО Молочный комбинат "Пензенский" в краткосрочном периоде не входит значительное развитие социальной сферы предприятия.

В 2010 году предприятием получено чистой прибыли всего 52646 тыс.руб., в результате неэффективной работы с поставщиками и заказчиками. Поэтому значительная сумма прибыли около 60% была направлена в резервный фонд, что составило 31587 тыс. руб., а оставшаяся сумма была распределена в фонде накопления - 15794 тыс.руб. и фонде потребления- 5265 тыс.руб.

На основании результатов, полученных во второй главе данной выпускной квалификационной работе можно сделать следующие выводы.

Баланс ОАО Молочный комбинат "Пензенский" за 2008 - 2010 гг. на основании проведенного анализа не является абсолютно ликвидным, так как не выполнены нормативные условия ликвидности.

Рассчитанные показатели финансовой устойчивости говорят о том, что предприятие не зависимо от заемного капитала и обеспечено собственными средствами.

В анализируемом периоде наблюдается неравномерная динамика значений показателей рентабельности ОАО Молочный комбинат "Пензенский". Особенно большим был рост показателей в 2008 году.

Отмечается рост коэффициента соотношения оборотных и внеоборотных активов за отчетный период. Это указывает на рост инвестиционной деятельности организации.

Постоянная динамика увеличения собственных оборотных средств, свидетельствует об усилении деловой активности предприятия, рациональном использовании имеющегося капитала.

В целом можно сказать, что предприятие успешно работает в анализируемом периоде.

3. РАЗРАБОТКА РЕКОМЕНДАЦИЙ ПО УЛУЧШЕНИЮ ФИНАНСОВЫХ РЕЗУЛЬТАТОВ ОАО МОЛОЧНЫЙ КОМБИНАТ "ПЕНЗЕНСКИЙ"


3.1 Формирование финансовой стратегии организации


В процессе планирования финансовых результатов важно определить, за счет каких факторов она может вырасти или снизиться.

В период высоких темпов инфляции рост прибыли обеспечивался за счет ценового фактора. Замедление инфляционных процессов, насыщение рынка товарами, развитие конкуренции ограничили возможности производителей повышать цены и получать прибыль посредством этого фактора. На очередь приходит метод снижения затрат.

В практике предпринимательской деятельности применяются различные способы снижения себестоимости. Безусловно, используются такие приемы, как экономия топливно-сырьевых ресурсов, материальных и трудовых затрат, снижение доли амортизационных отчислений в себестоимости, сокращение административных расходов и т.п. Однако следует иметь в виду, что уменьшение себестоимости имеет предел, после которого оно невозможно без снижения качества продукции. То же относится и к административным и коммерческим расходам, которые невозможно свести к нулю, поскольку без них организация нормально функционировать не сможет и продукция реализовываться не будет.

Перечень основных факторов, влияющих на размер прибыли представлен в таблице 3.1.

Изучение внутреннего состояния организации и внешних факторов, позволяет определить стратегию его развития. Только четко представляя положение своего организации на рынке, учитывая особенности рынка, можно лучше определить стратегию, способствующую достижению намеченных целей и финансовых результатов. Стратегия - это инструмент выполнения определенных задач как стратегических, так и финансовых.

Таблица 3.1 Факторы, ведущие к изменению прибыли

Фактор

Пояснение

Объем продаж

При высоком удельном весе постоянных расходов в себестоимости продукции рост объема реализации приведет к еще большему росту прибыли за счет снижения доли постоянных расходов, приходящихся на единицу продукции

Рост цен

В период высоких темпов инфляции рост прибыли обеспечивался за счет ценового фактора. Замедление инфляционных процессов, насыщение рынка товарами, развитие конкуренции ограничили возможности производителей повышать цены и получать прибыль посредством этого фактора

Снижение себестоимости

Снижение затрат без негативного влияния на качество выпускаемой продукции. Достигается за счет большей управляемости и контроля в области расходов

Обновление ассортимента и номенклатуры выпускаемой продукции

Прибыль в рыночной экономике - движущая сила обновления, как производственных фондов, так и выпускаемой продукции. Характерно проявление этой силы в концепции "жизненного цикла" продукции


Выбор конкретной стратегии означает, что из всех возможных путей развития и способов действия, открывающихся перед компанией, решено выбрать одно направление, в котором она и будет развиваться. Без стратегии у организации нет продуманного плана действий, нет путеводителя в мире бизнеса, нет единой программы достижения желаемых результатов.

Хорошо предусмотренное стратегическое ведение готовит организацию к будущему, устанавливает долгосрочное направление развития и определяет намерение организации занять конкретные деловые позиции. Чем лучше продуманна стратегия и чем более умело она выполнена, тем больше у компании шансов на сильную позицию.

Стратегия организации, как правило, состоит из продуманных целенаправленных действий и реакции на непредвиденное развитие событий и на усиливающуюся конкурентную борьбу, обстановка постоянно изменяется, будь то важное открытие в области технологии, успешный вывод конкурентом, на рынок нового товара, новая государственная регламентация и политика, расширение интересов покупателей в той или иной области и т.д.

Планирование мероприятий оптимизации финансовых результатов организации осуществляется по синтетической оценке финансовых результатов деятельности организации, выявленных проблем и резервов улучшения финансовых показателей организации с учетом влияния факторных показателей на результирующий показатель.

Факторные показатели и вид зависимости между ними и результирующим показателем "Финансовые результаты" представлены в таблице 3.2.

Таблица 3.2 Факторные показатели и характер их влияния на финансовые результаты

Наименование факторного показателя

Характер влияния (вид зависимости)

Прибыль от продаж

Прямая

Выручка-нетто от продаж

Прямая

Валюта баланса

Обратная

Внеоборотные активы

Обратная

Собственный капитал

Обратная

Долгосрочные обязательства

Обратная

Оборотные активы

Обратная

Материальные оборотные активы

Обратная

Готовая продукция

Обратная

Дебиторская задолженность со сроком погашения менее года

Обратная

Кредиторская задолженность

Обратная


Благоприятно на финансовые результаты действует рост таких показателей как прибыль от продаж, выручка-нетто от продаж и уменьшение величин таких показателей как валюта баланса, внеоборотные активы, собственный капитал, долгосрочные обязательства, оборотные активы, материальные оборотные активы, готовая продукция, дебиторская задолженность со сроком погашения менее года, кредиторская задолженность.

Установив в качестве основного критерия совершенствования финансового состояния организации оптимизацию финансовых результатов, сформулируем по объектам и составляющих финансовой стратегии организации предложения (таблица 3.3) по оптимизации финансовых результатов в пессимистическом, неизменном и оптимистическом вариантах, исходя из среднеотраслевых данных.

Основой предложенных вариантов финансовой стратегии на 2011 год по оптимизации финансовых результатов является политика увеличения собственных оборотных средств предприятия в целях поддержания его устойчивости. При пессимистическом варианте финансовой стратегии это предполагается осуществить за счет сокращения дебиторской задолженности на 100 тыс. руб. по сравнению с отчетным периодом 2010 года (применение льготных скидок покупателям, введение предоплаты, ужесточение условий при несвоевременной оплате за продукцию); при неизменном варианте - 300 тыс.руб.; при оптимистическом - 500 тыс.руб. Сокращение дебиторской задолженности изменит сроки оборачиваемости оборотных средств.

Прирост выручки при освоении новых рынков сбыта при пессимистическом варианте в сумме 14000 тыс.руб., предполагает увеличение прибыли на 10%, или 1400 тыс.руб.; при неизменном варианте- 16000 тыс.руб., рост прибыли составит -1600 тыс.руб.; при оптимистическом-19000 тыс.руб., рост прибыли составит- 1900 тыс.руб., что обеспечит рост валютного баланса.

Применение эффективной системы взаимозачета имеющейся дебиторско-кредиторской задолженности на предприятии предполагает, при пессимистическом варианте сокращение задолженности на 300 тыс.руб.; при неизменном варианте на 500 тыс.руб.; при оптимистическом на 750 тыс.руб.

Снижение себестоимости на единицу выпускаемой продукции за счет модернизации и технического перевооружения производства предполагает увеличение прибыли при пессимистическом варианте на 1400 тыс.руб.; при неизменном варианте на 2000 тыс.руб.; при оптимистическом на 2600 тыс.руб.

Применение логистических схем поставок сырья и материалов при оптимизации финансовых результатов приведет к снижению НДС, кредиторской задолженности, затрат в себестоимости, прочих расходов при пессимистическом варианте на 1600 тыс.руб.; при неизменном варианте на 2000 тыс.руб.; при оптимистическом на 2000 тыс.руб.

Таблица 3.3 Предложения к формированию финансовой стратегии по оптимизации финансовых результатов организации

Предложения

Влияние на показатели баланса

Наименование предложения

Количественная оценка по вариантам, тыс.руб.



Пессимистический

Неизменный

Оптимистический


1. Перевод дебиторской задолженности менее года в денежные средства за счет применения новых схем расчетов с покупателями

100

300

500

-ДЗ<1

2. Прирост выручки при освоении новых рынков сбыта

14000 1400

16000 1600

19000 1900

+B +Пр

3. Применение системы взаимозачета имеющейся дебиторско-кредиторской задолженности

300

500

750

-К3 -ДЗ<1 -А2, -ВБ

4. Снижение себестоимости единицы продукции

1400

2000

2600

+Пр

5. Применение логистических схем поставок сырья и материалов

1600

2000

2000

-3НДС -А2, -ВБ -К3


Результаты анализа финансовой устойчивости предприятия до и после реализации финансовой стратегии сведем в итоговую таблицу (табл. 3.4).

Таблица 3.4 Результаты расчета по предложениям оптимизации финансовых результатов ОАО Молочный комбинат "Пензенский"

Показатели

Значение показателя на конец анализируемого периода 2010 года, тыс.руб.

Прогнозное значение показателей на 2011 год с учетом предложений по варианту, в тыс.руб.



Пессимисти-ческому

Неизменному

Оптимисти-ческому

Прибыль от продаж

67126

69926

70726

71626

Выручка-нетто от продаж

1110269

1124269

1126269

1129269

Валюта баланса

194862

192962

192362

193112

Внеоборотные активы

77987

77600

78300

79200

Собственный капитал

149358

149895

150000

156000

Долгосрочные обязательства

2302

2500

2000

1800

Оборотные активы

152590

150690

150090

149840

Дебиторская задолженность со сроком погашения менее года

37429

37029

36629

36179

Кредиторская задолженность

68592

68192

67792

67342

Коэффициент рентабельности продаж

0,06

0,06

0,06

0,06

Коэффициент соотношения оборотных и внеоборотных активов

1,96

1,94

1,92

1,89

Коэффициент рентабельности собственного капитала

0,45

0,47

0,47

0,46

Коэффициент рентабельности всего капитала организации (всех активов организации

0,34

0,36

0,37

0,37

Коэффициент рентабельности внеоборотных активов

0,86

0,90

0,90

0,90

Коэффициент общей оборачиваемости капитала к (общей оборачиваемости активов)

5,70

5,83

5,85

5,88

Значение коэффициента рентабельности всего капитала организации при пессимистическом варианте достигает 0,36, по неизменному варианту 0,37, по оптимистическому 0,37 по сравнению с 0,34 на конец анализируемого периода.

Коэффициент рентабельности собственного капитала организации при пессимистическом варианте достигает 0,47, по неизменному варианту 0,47, по оптимистическому 0,46 по сравнению с 0,45 на конец анализируемого периода.

Коэффициент рентабельности внеоборотных активов организации при пессимистическом варианте достигает 0,90, по неизменному варианту 0,90, по оптимистическому 0,90 по сравнению с 0,86 на конец анализируемого периода.

Коэффициент общей оборачиваемости капитала по пессимистическому варианту достигает значения 5,83, по неизменному - 5,85, по оптимистическому - 5,88 по сравнению с 5,70 на конец анализируемого периода.

Задача финансового планирования выполнена - финансовые результаты организации оптимизируются при любом поведении внешней среды.

.2 Информационные технологии, используемые при оценке финансовых результатов деятельности организации

На предприятии ОАО Молочный комбинат "Пензенский" основное внимание уделяется автоматизации сводного финансового учета и получению сводной финансовой отчетности и поэтому предприятие использует "1С: Предприятие 8.0".

"1С: Передприятие 8.0" - это универсальная система для автоматизации ведения бухгалтерского учета. В системе главные особенности ведения учета задаются (настраиваются) в конфигурации системы. Данная конфигурация реализует стандартную методологию учета для хозрасчетных организаций в соответствии с текущим законодательством Российской Федерации.

Главной проблемой при оценке финансовых результатов следует признать не только объективность и полноту полученной информации, но и ее оперативность. Именно непрерывный мониторинг показателей позволяет не просто констатировать факт потери платежеспособности, а предотвратить возникновение такой ситуации.

Оценка финансовых результатов организации позволяет вовремя разработать мероприятия по улучшению показателей устойчивости и платежеспособности ОАО "Молочный комбинат "Пензенский". Данная задача является актуальной в свете наличия у ОАО Молочный комбинат "Пензенский" достаточно большого размера долгосрочных и краткосрочных обязательств. Это обуславливает необходимость проведения постоянной оперативной работы, направленной на контроль своевременного возврата и привлечения в оборот на непродолжительное время других капиталов. Данное обстоятельство существенно отражается на показателях платежеспособности, и должно быть вовремя обнаружено для принятия неотлагательных управленческих решений.

Расчет и оценка коэффициентов ликвидности, коэффициентов платежеспособности вполне может быть осуществлена без использования информационных технологий, но для получения информации своевременно будут затрачиваться значительные трудовые ресурсы. Внедрение информационных технологий позволит получать результаты сразу же по результатам составления баланса.

Таким образом, целесообразность и необходимость внедрения информационных технологий для оценки финансовых результатов организации достаточно актуальна.

В соответствии с этим формируется дерево целей (рис. 3.1):

Рис. 3.1. "Дерево целей" оценки финансовых результатов деятельности организации

Ц- Повышение эффективности оценки финансовых результатов организации;

Ц1 - Автоматизация анализа структуры баланса;

Ц2 - Автоматизация процессов формирования финансовых результатов;

Ц3- Автоматизация структуры анализа прибыли или убытка;

Ц4- Автоматизация расчета показателей рентабельности организации;

Ц5- Автоматизация расчета коэффициентов, характеризующих ликвидность, платежеспособность и финансовую устойчивость организации;

Ц6- Внедрение информационных технологий для планирования финансовых результатов организации;

Ц7- Своевременное обеспечение информацией о финансовом состоянии организации, планирование и распределение прибыли.

Основной целью составленного дерева целей в соответствии с проведенным анализом, который выявил основные аспекты оценки финансовых результатов на предприятии ОАО "Молочный комбинат "Пензенский", является повышение эффективности системы управления финансовыми результатами, отдельных элементов и оптимизации их соотношения. Таким образом, входная информация будет включать в себя следующие документы:

·        баланс организации за соответствующий период;

·        отчет о прибылях и убытках;

·        справочники;

·        документы;

·        константы;

·        журналы расчетов, регистры и др.

Графическое изображение информационной модели представлено на рисунке 3.2. В свою очередь результирующая (выходная) информация будет включать в себя:

·        анализ структуры баланса организации ;

·        расчет показателей рентабельности;

·        оценка финансовых результатов и использования прибыли.

Рис. 3.2. Информационная база решения задачи

Оценка результатов финансово-хозяйственной деятельности предприятия, как правило, осуществляется в рамках финансового анализа, основной целью которого является обеспечение руководства соответствующей информацией для принятия решений по управлению финансовыми ресурсами предприятия. К основным его задачам относятся:

• анализ структуры баланса;

• анализ ликвидности;

• анализ платежеспособности;

• анализ рыночной устойчивости;

• анализ использования и распределения прибыли.

Анализ структуры баланса помогает создать полную картину деятельности и стратегии предприятия, а анализ коэффициентов - понять причины увеличения или уменьшения прибыли предприятия.

Краткая характеристика основных видов объектов метаданных, необходимых при создании информационной базы анализа финансовых результатов в системе "1С:Предприятие 8.0" приведена в таблице 3.5.

Как следует из таблицы 3.5, объект типа справочник используется для хранения сведений о множестве однородных объектов предметной области. При создании концептуальной модели информационной базы финансовых результатов к справочникам относятся списки предприятий-аналогов (объект-аналог), списки активов и д.р.

Таблица 3.5 Основные виды объектов метаданных используемые при создании информационной базы анализа финансовых результатов

Наименование

Краткая характеристика

Константы

Постоянные (условно-постоянные) величины. Константы хранят информацию, которая не изменяется или изменяется достаточно редко: название организации, ее почтовый адрес и так далее.

Справочники

Списки однородных элементов данных. Используются для хранения нормативно-справочной информации.

Отчеты

Средство получения выходной информации. Источником данных для построения отчетов служат документы, справочники и регистры, также используется информация, хранящаяся в константах.

Обработка

Объекты метаданных этого вида используются для выполнения различных действий над информационной базой.

Календари

Средство построения графиков работы предприятия, внешних организаций или отдельных категорий работников.


Механизм ведения справочников позволяет создавать и поддерживать самые различные справочники. Помимо кода и наименования, механизм работы со справочниками позволяет создавать набор реквизитов для хранения любой дополнительной информации об элементе справочника.

Для реквизитов справочника можно указание тип "Периодический" для хранения истории изменения значений реквизитов. Это свойство можно использовать для реализации связи между сущностью "объект анализа" и сущностью "исходные данные отчетности" при увязывании исходных данных отчетности и объектов анализа с указанием значений показателей конкретного периода.

Для каждого справочника может быть задано несколько форм просмотра и редактирования.

Список элементов справочника в системе "1С:Предприятие 8.0" может быть многоуровневым. В этом случае все строки справочника будут разделяться на два вида: элементы справочника и группы справочника. Группы позволяют переходить на нижележащие уровни многоуровневого справочника. Использование многоуровневых справочников позволяет организовать ввод информации в справочник с нужной степенью детализации. Элементы и группы элементов в многоуровневом справочнике можно переносить из одной группы в другую.

Любой справочник может использоваться как сам по себе, так и быть подчиненным какому-либо другому справочнику. Например, справочник договоров может использоваться отдельно, а может быть связан со справочником организаций, что важно при реализации концептуальной модели информационной базы для связки отдельных сущностей.

Каждый объект метаданных обладает уникальным набором свойств. Этот набор описан на уровне системы и не может быть изменен в процессе настройки конфигурации задачи. Набор свойств объекта метаданных определяется, в основном, его назначением в системе "1С:Предприятие 8.0".

Свойства, которыми может обладать объект метаданных, можно условно разделить на несколько групп.

Первую группу образуют свойства, которые присущи любому объекту метаданных. Такие свойства для всех объектов метаданных имеют одинаковое наименование и одинаковый физический смысл. К ним, прежде всего, относятся, идентификатор и комментарии. Во вторую группу можно объединить свойства, которые могут встречаться у большинства объектов метаданных. Как и свойства из первой группы, они имеют одинаковое наименование и одинаковый физический смысл. К этой группе можно отнести такие свойства, как тип значения, длина значения, точность значения и др. Наконец, в третью группу объединяются свойства, специфические для конкретного типа объектов метаданных. Главным свойством любого объекта метаданных является идентификатор - краткое наименование объекта метаданных. При создании нового объекта метаданных ему автоматически присваивается условный идентификатор, состоящий из слова "Новый" и числа - порядкового номера нового объекта метаданных, что в какой-то мере соответствует присвоению ключей сущностям предложенной концептуальной модели. Данный идентификатор можно изменить в процессе редактирования свойств объекта метаданных, при этом система отслеживает уникальность идентификаторов. Однако идентификатор не может быть удален без удаления самого объекта метаданных. Отдельные свойства из всего набора свойств, присущих объекту метаданных, доступны для редактирования и могут быть так или иначе изменены в процессе конфигурирования системы "1С:Предприятие 8.0". Характер изменений и их пределы также задаются на уровне системы. Целенаправленным изменением свойств объекта метаданных специалист, осуществляющий конфигурирование системы, может добиться требуемого поведения объекта при работе системы. Однако такие изменения не затрагивают сущности объекта и не позволяют добиться от него действий, не свойственных объектам данного типа. Рассмотрим следующий пример Объект метаданных "Константа" в системе "1С:Предприятие 8.0" предназначен для хранения информации, которая не изменяется во времени или изменяется очень редко, например название предприятия. Константа обладает следующим набором редактируемых свойств: идентификатор - "имя" константы, комментарий, тип значения, длина значения, точность значения (для числовых констант), периодичность. В наиболее общем случае информация в константу заносится один раз. Информацию, записанную в константу, можно многократно извлекать, просто указывая имя константы. Конкретное значение константы в этом случае несущественно, важным является то, что константа сохранила когда-то записанное в нее значение и возвратила его. Способность сохранять и возвращать значение -- неотъемлемая особенность любой константы в системе "1С:Предприятие 8.0". Никакое редактирование свойств константы на эту способность не влияет. Большинство объектов метаданных в системе "1С:Предприятие 8.0" могут иметь визуальное представление. В самом общем случае визуальное представление состоит из следующих частей:

·   экранный диалог, используемый для ввода и редактирования информации, хранящейся в объекте метаданных;

·   печатная форма объекта метаданных (печатных форм может быть несколько);

·   модуль формы - программа на встроенном языке системы "1С:Предприятие 8.0". Как правило, модуль формы содержит алгоритм построения печатной формы объекта метаданных, а также может выполнять обработку вводимой в диалог информации для целей входного контроля, выполнения расчетов и т.п.

Объекты метаданных в системе "1С; Предприятие 8.0" могут быть как независимыми, так и подчиняться друг другу. Например, независимым объектом метаданных является константа. Константа самодостаточна: она может содержать какое-либо значение, и этим полностью исчерпывается ее назначение в системе "1С:Предприятие 8.0". Более того, константа может присутствовать в системе и далее может содержать какое-либо значение, но при этом не использоваться другими объектами метаданных. Одним из свойств объекта метаданных является "тип значения", которое может принимать объект. "Тип значения" определяет, какого рода информацию может содержать объект метаданных. "Тип значения" объекта метаданных назначается при создании или редактировании свойств объекта в процессе настройки конфигурации задачи. Свойство "Тип значения" существует не у всех объектов метаданных: как правило, агрегатные объекты метаданных - типа "Справочник", "Документ", "Журналы" и тому подобные - не обладают этим свойством. Объекты метаданных, для которых может быть указан тип информации, содержащейся в объекте, в системе "1С:Предириятие 8.0" называются типизированными объектами метаданных.

Объекты метаданных, которые могут образовывать типы значений других объектов метаданных, в системе "1С:Предприятие 8.0" называются типообразующими объектами метаданных. Hеобходимо обратить внимание, что типообразующие объекты метаданных образуют тип значения сразу после создания в Конфигураторе объекта любою из таких типов. Например, когда в Конфигураторе создается новый справочник, то в списке типов значений появляется наименование созданного справочника. Такой тип значения может быть присвоен любому из типизированных объектов метаданных. Основные типы значений для объектов метаданных и их характеристики, приведены в Приложении 11. Ниже проведен алгоритм решения оценки финансовых результатов организации по шагам.

Шаг 1. Разработка формы для входного документа

Шаг 2.Заполнить справочник "Документы"

Шаг 3. Заполнить "Модуль формы"

Шаг 4. Ввести тип назначения

Шаг 5. Ввести вид расчета

Шаг 6. В случае необходимости вернуться на Шаг 4

Шаг 7. Проверка условия

Шаг 8. Ввести в базу данных значения

Шаг 9. Проверка условия

Шаг 10. Разработка формы для выхода документа

Шаг 11. Полученный результат

На первом шаге создается справочник данных, куда вводятся основные показатели баланса, отчет о прибылях и убытках организации. В этой связи следующим шагом реализации программы предлагается использовать рассмотренную выше систему "1С: Предприятие 8.0". На основании полученных данных баланса может быть дана комплексная оценка финансового состояния организации. Начинается анализ с разработки сравнительного аналитического баланса (рис. 3.3).

Рис. 3.3. Представление бухгалтерского баланса в MS Excel

Для анализа финансового состояния организации по данным баланса обычно уплотняют статьи с целью получения баланса-нетто. Суммарные значения по разделам баланса заносятся в виде формул. Агрегирование однородных по составу элементов балансовых статей упрощает анализ финансового состояния, однако значения расчетных показателей дают лишь приблизительную оценку. Для более точного определения причин и источников неудовлетворительных значений потребуется аналитическая информация из других документов бухгалтерской отчетности, в том числе и первичных. Следующим шагом для проведения вертикального анализа актива занесем в ячейку Е2 формулу =С2/$C$2, а в ячейку F2 =D2/$D$2. Для пассива - в ячейку E20 =C20/$C$20 и в ячейку D20 =D20/$D$20. Для проведения горизонтального анализа в ячейку G2 занесем формулу =D2/C2, а в ячейку G20 =D20/C20. Затем проводим копирование формул. Для расчета коэффициентов ликвидности, платежеспособности и устойчивости баланса применим многооконный пользовательский интерфейс, который позволит переносить информацию с одного листа на другие в пределах одного документа (рис. 3.4.).

Рис. 3.4. Расчет коэффициентов ликвидности по данным баланса

Аналогичным образом можно просчитать платежеспособность и рыночную устойчивость предприятия, основываясь на расчетах с применением технологий Ms Excel. Целью разработки является расчет всех необходимых коэффициентов, характеризующих платежеспособность и финансовую устойчивость предприятия. В качестве инструмента решения данной задачи был выбран пакет прикладных программ MS Excel. Такой выбор обусловлен тем, что данная программа имеется в наличии, а значит, дополнительных материальных затрат не потребуется. Разработка таблицы для решения поставленной задачи может быть решена силами сотрудников организации. В качестве исходной информации выступает бухгалтерский баланс, отчет о прибылях и убытках за период.

Похожие работы на - Оценка финансовых результатов и использование прибыли (на примере ОАО Молочный комбинат 'Пензенский')

 

Не нашли материал для своей работы?
Поможем написать уникальную работу
Без плагиата!
Без нейросетей!