Физико-химические методы идентификации и количественного определения углеводородов

  • Вид работы:
    Реферат
  • Предмет:
    Химия
  • Язык:
    Русский
    ,
    Формат файла:
    MS Word
    2,31 Mb
  • Опубликовано:
    2011-10-06
Вы можете узнать стоимость помощи в написании студенческой работы.
Помощь в написании работы, которую точно примут!

Физико-химические методы идентификации и количественного определения углеводородов

Физико-химические константы углеводородов нефти

Для характеристики индивидуальных углеводородов или нефтяных фракций необходимо определение их относительной плотности и показателя преломления. Определение этих констант для индивидуальных углеводородов позволяет идентифицировать их путем сравнения найденных констант с литературными данными для предполагаемого углеводорода. Совпадение найденных и литературных данных подтверждает предполагаемую структуру углеводорода.

Относительная плотность представляет собой отношение плотности углеводорода при 20°С к плотности воды при 4°С:


Относительные плотности углеводородов возрастают в ряду:

алканы < олефины < нафтены < ароматические углеводороды.

В одном гомологическом ряду относительные плотности повышаются с увеличением молекулярной массы. Относительную плотность определяют с точностью до 0,0001 с помощью пикнометров, представляющих собой стеклянные ампулы объемом обычно от 0,5 до 5 мл, в которых взвешивают одинаковые объемы исследуемого углеводорода и воды при 20°С. Вначале находят относительную плотность углеводорода к воде при 20°С ρ2020 затем пересчитывают это значение и находят ρ420 по формуле, учитывающей также величину потери веса пикнометра в воздухе:

ρ420 = 0,99703·ρ2020 +0,0012.

Показатель преломления характеризует степень преломления луча света при его прохождении через границу раздела двух сред различной плотности.

Показатель преломления данного вещества представляет собой, строго говоря, отношение скорости распространения света в вакууме к скорости света в веществе:

идентификация нефть спектроскопия углеводород


Это - абсолютный показатель преломления. На практике обычно изучают преломляющую способность среды n2 относительно воздуха, для которого n1=1,00027:


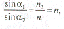
Согласно закону Снеллиуса (рис. 1),


Если заменить направление света на противоположное, то при некотором критическом угле α2 наблюдается явление полного внутреннего отражения (рис. 2). Для каждого вещества имеется вполне определенный угол α2. На измерении этого угла и основано определение показателя преломления вещества.

Действительно:


так как

sinα1 =sin90° =1 и n1 =1,

то


Рис. 1                                               Рис. 2

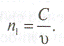
Показатели преломления измеряются с помощью рефрактометров. Показатель преломления для данного вещества зависит от длины волны луча света и от температуры. Для большинства углеводородов нефти с увеличением длины волны n уменьшается. Обычно определяют n для желтой линии в спектре натрия D (λ = 5896Ао), реже для С и F - красной и голубой линий в спектре водорода (λс= 6563Ао; λF = 4681Ао).

Показатель преломления уменьшается для углеводородов в последовательности: ароматические углеводороды > нафтены > олефины > алканы. В одном и том же гомологическом ряду n возрастает с увеличением плотности.

Показатель преломления подчиняется правилу аддитивности для смесей углеводородов, что позволяет определить содержание того или иного компонента в бинарной смеси, если известен показатель преломления этой смеси nСМ и каждого компонента:

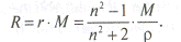
Кроме простых констант, таких, как ρ и n, для характеристики углеводородов и нефтяных фракций используют сложные константы, являющиеся функцией простых. Так, широко используются, например, сложные константы - удельная и молекулярная рефракции. Удельная рефракция является функцией ρ и n (формула Лоренца - Лорентца):


Молекулярной рефракцией называется произведение удельной рефракции на молекулярную массу:


Удельная и молекулярная рефракции связаны с поляризуемостью молекул α следующими зависимостями:


Таким образом, молекулярная рефракция по Лоренцу - Лорентцу является мерой средней поляризуемости молекул. В электромагнитном поле видимого света поляризуемость молекул обусловлена смещением электронов и равна сумме смещений отдельных электронов. Поэтому и молекулярная рефракция носит аддитивный характер. Она является суммой атомных рефракций для насыщенных соединений:


Атомная рефракция углерода равна 2,418, и атомная рефракция водорода - 1,100.

Для ненасыщенных соединений к сумме атомных рефракций необходимо прибавить инкременты рефракций для кратных связей:


Полученная таким путем (т. е. путем сложения атомных рефракций и инкрементов) молекулярная рефракция является теоретической величиной в отличие от экспериментально найденной по формуле Лоренца - Лорентца на основании экспериментального определения п и р. Совпадение теоретической и найденной молекулярных рефракций позволяет идентифицировать органическое соединение.

Атомные рефракции или рефракции связей (инкременты) могут быть найдены по экспериментальным рефракциям Rэқс химически чистых соединений. Например, для нахождения атомных рефракций С и Н поступают следующим образом.

Находят вначале атомную рефракцию группы -СН2-:


Затем находят RH:

и RС


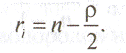
Другой сложной константой, применяемой при анализе углеводородов нефти, является интерцепт рефракции. Это разность между показателем преломления и половиной плотности:


Значения этой функции для углеводородов одного и того же ряда близки. Это позволяет отнести исследуемый углеводород к определенному гомологическому ряду. Так, алканы, нафтены и ароматические углеводороды, выкипающие до 200°С, имеют следующие значения ri.


Ряд аналитических задач решается в химии нефти с помощью дисперсионных методов, основанных на измерении рефракционной дисперсии. Дисперсией называют зависимость показателя лучепреломления от длины волны. В качестве меры дисперсии может служить разность показателей преломления для двух длин волн:

Для удобства эту разность умножают на 104. Углеводороды с близкими значениями показателей преломления могут иметь сильно различающиеся значения дисперсии. Это позволяет иногда провести идентификацию углеводородов.

Так, nс20 для n-ксилола и 1,3-диэтилбензола равны 1,49141 и 1,49146, а значения дисперсии (n F20 - nc20)∙104 для этих углеводородов значительно отличаются: 157,1 и 144,2.

Если (nF - nс)∙104 разделить на плотность, то получим удельную дисперсию:


У углеводородов ароматического ряда величина удельной дисперсии намного выше, чем у алканов и нафтенов, например у углеводородов ряда бензола до 200 (170-200), а у нафтенов и алканов - 99. Удельные дисперсии аддитивны, поэтому, зная удельную дисперсию бензиновой фракции (δфр), можно рассчитать содержание ароматических углеводородов в этой фракции (х):


Другой сложной константой является относительная дисперсия:

Относительная дисперсия может быть применена для идентификации углеводородов. Зная относительную дисперсию углеводорода ωF,С,D и его nD, можно с помощью специальных таблиц определить, к какому ряду углеводородов он относится. Относительная дисперсия ωF,С,D как указывает Иоффе, для легких ароматических углеводородов колеблется в пределах 29-33 ед.

Метод относительной дисперсии требует для анализа малых количеств фракции (0,5-1 мл) и является быстрым и удобным. Вместо ωF,С,D используется другая константа - дисперсиометрический коэффициент:


величина которого постоянна для деароматизированных бензиновых фракций и равна 194,4 (кроме бензольной фракции 60-95°С, для которой эта величина равна 193,9). Дисперсиометрический коэффициент является аддитивной функцией, позволяющей определить процентное содержание ароматических углеводородов в бензиновых фракциях.

Спектральные методы идентификации углеводородов и других компонентов нефти и газа

Молекулярная спектроскопия

Известно, что при прохождении электромагнитного колебания от источника излучения через вещество последнее поглощает лучи только определенной длины волны. В спектре поглощения этого вещества имеются характерные полосы поглощения, соответствующие частотам поглощенных лучей.

Молекула углеводорода обладает определенным запасом внутренней энергии. Эта энергия слагается из энергии взаимодействия электронов с ядрами, энергии колебательного движения атомов, энергии вращательного движения атомов или групп атомов. Энергия взаимодействия электронов с ядрами (энергия электронных переходов) в 10-20 раз превышает энергию колебательных движений внутри молекулы и в 1000 раз энергию вращательных движений.

В зависимости от того, какие лучи электромагнитного спектра пропускать через вещество, могут возбуждаться либо вращательные движения, либо колебательные, либо электронные переходы, либо все движения одновременно. Возбуждение того или иного движения в молекуле происходит тогда, когда его частота совпадает с частотой электромагнитного колебания. Таким образом, в основе молекулярной спектроскопии лежит физическое явление резонанса.

Энергия электромагнитных колебаний уменьшается с увеличением λ в последовательности: рентгеновские лучи (λ= 0,01 - 10 А), ультрафиолетовые (10-4000), видимый свет (4000-8000), инфракрасные лучи (0,8-300мкм), микроволны (0,03-100см), волны радиодиапазона.

Энергия радиоволн слишком мала, чтобы возбуждать органические молекулы.

Микроволны и длинные инфракрасные волны могут возбуждать только вращательные движения в молекулах. Если частоты колебаний этих волн совпадают с частотами вращения отдельных частей молекулы, то происходит резонансное поглощение энергии этих волн, что отразится в спектре поглощения. Такого рода спектры применяются для тонкого структурного анализа органических веществ.

Основополагающими законами молекулярной спектроскопии являются законы Бугера, Ламберта и Бера.

Закон Бугера - Ламберта: относительное количество поглощенного слоем вещества света не зависит от интенсивности падающего света, и каждый последующий слой среды одинаковой толщины поглощает одну и ту же долю проходящего через него света.

Закон Бера: поглощение монохроматического света пропорционально числу молекул поглощающего вещества в единице объема раствора.

Оба закона могут быть выражены уравнением Бугера - Ламберта - Бера:

D =lg(J0/J)=ε∙c∙l

где J0 - интенсивность падающего излучения; J- интенсивность излучения, прошедшего через слой вещества; ε - молекулярный коэффициент поглощения; с - концентрация анализируемого вещества, моль/литр; l - толщина слоя вещества, см.

Инфракрасная спектроскопия

Обычно инфракрасные спектры органических соединений изучают в диапазоне 1-25 мкм. При этом линии поглощения в спектре появляются за счет колебательных движений в молекулах исследуемого вещества.

Колебательные движения могут быть линейными (валентными), деформационными и групповыми.

Линейные колебания проходят вдоль связи; при деформационном колебании меняются углы между валентностями. Ниже приводятся некоторые типы колебаний С-Н-связи в группе =СН2:

Рис. 3

Групповые колебания - это колебания скелета органической молекулы. Например, колебания цепочки из метиленовых групп в молекуле н-алкана, колебания третичной бутильной, изопропильной и других групп. Энергия и частота линейных колебательных движений выше, чем деформационных колебаний.

Колебательные движения в молекулах характеризуются частотой, т.е. числом колебаний в секунду (с-1); в практике инфракрасной спектроскопии обычно используют вместо частоты волновое число v- величину, обратную длине волны (см-1).

Если частота какого-либо колебательного движения в молекуле совпадает с частотой какого-либо луча, то такой луч поглощается веществом (резонансное поглощение) и в спектре появляется полоса поглощения.

Каждой функциональной группе, группе атомов и связи в молекуле исследуемого вещества в спектре соответствуют несколько линий, отвечающих частотам поглощенных лучей. В химии нефти задача качественного анализа углеводородов с помощью ПК-спектров состоит в обнаружении характеристических частот выделенных из нефти индивидуальных соединений.

В табл. 4 приводятся значения волновых чисел валентных и деформационных колебаний связи С-С и С-Н в молекулах углеводородов.

Таблица 1 - Значения волновых чисел

Групповым колебаниям скелета органических молекул соответствуют полосы поглощения в области 700-1500 см-1. Эта часть спектра органических молекул очень чувствительна к малейшим изменениям в их структуре. В этой области, называемой «отпечатком пальцев», каждое соединение имеет только свойственный ему набор полос поглощения. Колебаниям углеродного скелета ароматических ядер соответствует полоса при 1600 см-1, колебаниям углеродного скелета нафтеновых циклов - при 970 и 1030 см-1.

Колебания полиметиленовых цепочек в зависимости от их длины проявляются в области 720-790 см, колебания изопропильной группы - при 1170 и 1145см-1, трет -бутильной - при 1255 и 1210 см-1, для монозамещенного бензольного кольца характерна полоса при 700 см-1.

ИК-спектры записываются в координатах: процент пропускания (или поглощения) излучения - волновое число (рис.3 и 4).

Процент пропускания J/J0∙100. Процент поглощения 100 - J/J0∙100.

Рис. 4 - ИК- спектр 1 - децена

Рис. 5 - ИК-спектр толуола: А - валентные колебания =С-Н бензольного кольца; Б- валентные колебания С-Н в СН3; В- валентные колебания С=С бензольного кольца; Г- деформационные колебания С-Н в СН3; Д - деформационные колебания С-Н в бензольном кольце

Ультрафиолетовая спектроскопия

Она позволяет исследовать взаимодействие ультрафиолетового излучения с электронным облаком молекул. Для аналитических целей служит диапазон ультрафиолетового излучения в пределах 200-400 нм. В молекулах углеводородов электроны находятся на связующих молекулярных орбиталях; в случае гетероатомных соединений нефти (кислородных, сернистых, азотистых) электроны имеются также на несвязующих орбиталях (электроны неподеленных пар гетероатомов).

Так как энергия квантов ультрафиолетового излучения близка к энергии электронов, то при облучении молекул происходит возбуждение электронов и они переходят на разрыхляющие (нестабильные) молекулярные орбитали с более высокой энергией.

Похожие работы на - Физико-химические методы идентификации и количественного определения углеводородов

 

Не нашли материал для своей работы?
Поможем написать уникальную работу
Без плагиата!
Без нейросетей!