Векторные поля
Курсовая
работа
Тема:
Векторные поля
СОДЕРЖАНИЕ
Введение
.
Векторные линии
.
Векторные поля на плоскости. Векторные линии
.
Вращение векторного поля
.
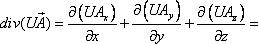
Дивергенция векторного поля
.
Циркуляция
.
Ротор и его основные свойства
.
Формулы Грина
.
Формулы Стокса
Заключение
Литература
Введение
Векторный анализ - это раздел векторного
исчисления, в котором изучается средствами математического анализа векторные и
скалярные функции одного или нескольких аргументов (векторные поля и скалярные
поля). Для характеристики данных полей вводится целый ряд понятий, часть
которых приведены в данной работе: векторные линии, циркуляция, дивергенция.
Поле - область пространства, каждой точке
которого соответствует определенное значение некоторой физической величины. По
своему характеру физические величины могут быть скалярными или векторными.
Соответственно поля этих величин также являются скалярными или векторными. Так
же в данной работе будут приведены формулы британского математика и физика
Джорджа Грина и английского физика-теоретика и математика ирландского
происхождения Джорджа Габрие́ля
Стокса. Объектом исследования в курсовой работе являются процессы поведения
характеристик векторного поля
Цель написания работы состоит в изучении теории
поля с помощью векторного анализа, и закрепить полученные знания по высшей
математике.
1. Векторные линии
Векторной линией поля А называется линия (L), в
каждой точке которой вектор А, отвечающий этой точке, касается (L); другими
словами, это - линия, идущая в каждой своей точке вдоль поля.
В зависимости от физического смысла поля
векторная линия может называться линией тока для поля скоростей, силовой линией
для силового поля и т. д. (Подумайте, почему линии тока совпадают с
траекториями частиц жидкости только для стационарных потоков.)
Задача о построении векторных линий заданного
векторного поля геометрически равносильна задаче о построении интегральных
линий для заданного поля направлений (п. XV. 12) Поэтому эта задача сводится к
интегрированию системы дифференциальных уравнений; для этого надо ввести в
пространство какую-либо систему координат.
Если, например, ввести декартовы координаты х,
у, z, то вектор А можно разложить:
А = А (х, у, г) = Ах(х, у, z)i-+-Ay(x, у, г)} +
Аг(х, у, г) к. (55)
На основании п. XV. 12 систему дифференциальных
уравнений векторных линий поля А можно записать в симметричной форме (ср.
ураннения (XV.66)). Для плоских полей (п. IX.9) эта система превращается в
уравнение
_ dy Ах(х, у)~ A v{x, у)'
В исчислении вектор, векторное поле назначение
вектор в каждой точке подмножество евклидова пространства . Векторного поля в
плоскости, например, можно изобразить в виде стрелки, с заданной величиной и
направлением, прилагаемый к каждой точке на плоскости. Векторные поля часто
используются для моделирования, например, скорость и направление перемещения
жидкости во всем пространстве, или сила и направление некоторых сил, таких как
магнитные и гравитационные силы, как она меняется от точки к точке.
Элементы дифференциального и интегрального исчисления
распространяются на векторные поля естественным образом. Если векторное поле
представляет силу, линейный интеграл от векторного поля представляет работу
силы движется по пути, и под эту интерпретацию сохранения энергии проявляется
как частный случай основной теоремы исчисления . Векторные поля может полезно
рассматривать как представляющий скорость движущегося потока в пространстве, и
эта физическая интуиция приводит к понятия, такие как дивергенция (который
представляет собой скорость изменения объема потока) и завиток (который
представляет вращение потока).
В координатах векторное поле на область в
п-мерном евклидовом пространстве можно представить в виде вектор-функция ,
которая связывает п-ки действительных чисел в каждой точке области. Такое представление
векторного поля зависит от системы координат, и нет четко определенных законом
преобразования при переходе от одной системы координат к другой. Векторные поля
часто обсуждаются на открытых подмножеств евклидова пространства, но и смысл от
других подмножеств, таких как поверхности, где они ассоциируют стрелка
касательной к поверхности в каждой точке (касательный вектор).
В целом, векторных полей, определенных на
дифференцируемых многообразиях, которые являются пространствами, которые
выглядят как евклидова пространства на малых масштабах, но может иметь более
сложную структуру, на больших масштабах. В этих условиях векторное поле дает
касательный вектор в каждой точке многообразия (то есть раздел о касательное
расслоение к многообразию). Векторного поля один вид тензорного поля.
2. Векторные поля на плоскости. Векторные линии
Пусть задано плоское векторное поле A, то есть в
каждой точке M плоскости (или некоторой ее части) определен вектор А(М ), также
лежащий в этой плоскости. Такое поле проще всего представлять себе как поле
скоростей частиц газа или жидкости при стационарном течении в узком слое, но
оно может иметь и другой физический смысл (гравитационное поле, электрическое
поле и т.д.).
Будем считать, что вектор А(М) непрерывно
зависит от точки M, за исключением, быть может, отдельных точек, в которых поле
может быть и не определено. Точка М, в которой поле не определено, или теряет
непрерывность, или равно нуль-вектору (и тем самым направление поля в ней не
определено), называется особой точкой этого поля. Будем считать, что таких
точек имеется лишь конечное число.
Векторные линии поля А - это линии, которые в
каждой своей точке М идут по направлению поля, то есть касаются вектора А(М ).
Для поля скоростей при стационарном течении газа это траектории частиц газа,
для силового поля это силовые линии. При некоторых разумных предположениях
можно доказать, что через каждую неособую точку проходит ровно одна векторная
линия. Направление векторов поля определяет также ориентацию векторных линий,
которая обозначается стрелкой.
Вблизи не особой точки М0 векторные линии
напоминают слегка искривленную совокупность параллельных, одинаково
направленных отрезков (рис. 1). В окрестности особой точки М0 картина векторных
линий может быть весьма разнообразной. Так, основные примеры, появляющиеся в
гидродинамике, показаны на рис. 2. Из законов движения жидкости вытекает, что в
этих примерах | A(M ) | ? при M M0 .
Векторные линии можно найти с помощью решения
дифференциального уравнения, введя на плоскости систему координат. Например,
если применяются декартовы координаты x, y, то, обозначив координаты точки М
через x, y, а проекции вектора A(M ) через P (x, y), Q(x, y), получаем
дифференциальное уравнение векторных линий:
В математике обычно плоское векторное поле трактуют
как поле скоростей точек на плоскости. Тогда движение этих точек определяется
системой дифференциальных уравнений, где точка над буквой означает производную
по времени t. Обратно, пусть мы исходим из системы (2,1); такая система, для
которой в правые части не входит независимая переменная t, называется
автономной. Тогда независимо от смысла величин x, y мы можем трактовать их как
координаты точек на плоскости (в этом случае она называется фазовой
плоскостью), а решения - как законы движения этих точек; при этом траектории
точек являются векторными линиями поля A = (P, Q ). Если функции P и Q
непрерывные, то особыми точками поля являются точки (x0 , y0), в которых P(x0 ,
y0) = Q(x0 , y0) = 0; им отвечают решения вида x(t) = x0 , y(t) = y0 , и поэтому
они называются точками покоя для системы (2,1). Наиболее распространенные типы
поведения траекторий вблизи точки покоя М0 показаны на рис. 3. Отметим, что
траектории на рис. 3, а, отличные от точки покоя M0 (точка покоя тоже
траектория), не проходят через нее, а асимптотически приближаются к M0 при t ?
или t - ?. То же относится к траекториям на рис. 3, в и к четырем траекториям
на рис. 3, б.
. Вращение векторного поля
Пусть задано плоское векторное поле А и дана
ориентированная (то есть указано, в каком направлении она проходится) конечная
линия L, не проходящая через особые точки поля. Тогда вращением поля А вдоль
линии L называется деленный на 2p угол, на который поворачивается вектор А(М),
когда точка M проходит линию L в соответствии с ее ориентацией. При этом
поворот против часовой стрелки считается положительным, а по ней -
отрицательным. Если же вектор вращается то в одну, то в другую сторону, то
соответствующие углы поворота суммируются с их знаками (как если бы речь шла о
заводе спиральной пружины). Будем обозначать вращение поля А вдоль линии L
через g(L; А) или просто g(L), если ясно, о каком поле идет речь.
(Отметим еще, что общепринятый термин
"вращение векторного поля" не совсем удачен: конечно, само поле А не
вращается, вращается вектор А(М ), когда точка М движется.)
Приведем некоторые свойства вращения с краткими
пояснениями.
. При изменении ориентации линии L на
противоположную значение g(L; А) умножается на -1.
. Если линия L разбита на несколько частей,
ориентированных в соответствии с ориентацией L, то вращение поля вдоль L равно
сумме его вращений вдоль всех частей.
. Если линия L замкнутая, то g(L; А) - целое
число, не зависящее от того, какая точка на L была принята за начальную.
. Если замкнутая линия L непрерывно
деформируется так, что в любой момент процесса деформации она не проходит через
особые точки поля, то вращение поля вдоль деформируемой линии остается
неизменным.
Действительно, в той части плоскости, которую
покрывает рассматриваемая линия в процессе деформации, направление вектора А(М
) непрерывно зависит от точки М. Поэтому если бы вращение поля вдоль линии
менялось в процессе ее деформации, то это изменение было бы непрерывным. Но
величина, меняющаяся непрерывно и принимающая только целочисленные значения
(см. свойство 3), должна оставаться постоянной.
. Если на замкнутой линии L и внутри нее нет
особых точек поля А, то g(L; А) = 0.
В самом деле, выберем какую-либо точку M0 внутри
линии L. Тогда эту линию можно путем непрерывной деформации стянуть к М0 ,
причем так, чтобы в каждый момент деформируемая линия не выходила за пределы
области, ограниченной линией L. В силу свойства 4 в процессе деформации
вращение поля вдоль линии остается неизменным. Но когда деформируемая линия
окажется в достаточно малой окрестности неособой точки М0, то вектор поля не
может сделать полный оборот, и потому вращение, будучи целым числом, равно
нулю.
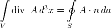
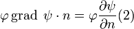
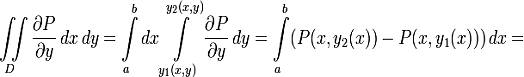
. Дивергенция векторного поля
Дивиргенция (или расходимость) векторного поля
в
точке М - это предел отношения потока вектора
через
замкнутую поверхность
окружающую точку
М, в направлении ее внешней нормали к объему, ограниченному этой поверхностью,
при условии, что вся поверхность
,
стягивается в точку М:
(1)
Основные свойства дивергенции:
.
-
это дифференциальная характеристика поля, является скалярной величиной.
.В каждой точке М поля
показывает
наличие источников или стоков поля:
если
,
то в точке М есть источник поля
, при этом значение
численно
равно мощности источника;
если
,
то в точке М есть сток поля
при этом значение
численно
равно мощности стока;
если
,
то в точке М нет ни источника, ни стока поля
.
вычисляется
по формуле:
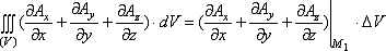
Воспользуемся формулой Остроградского-Гаусса,
связывающей интеграл по замкнутой поверхности с интегралом по объёму,
ограниченному этой поверхностью:
Применяем теорему о среднем к тройному
интегралу:
где М1 - это некоторая фиксированная точка в
объёме, ограниченном замкнутой поверхностью (σ),
-величина этого
объёма.
Теперь используем определение (1) дивергенции:
Так как при
точка
M1стремится к точке M. V
. Если использовать понятие дивергенции, то
теорема Остроградского-Гаусса в векторной форме:

Так как
можно
рассматривать как плотность распределения источников и стоков векторного поля
то
тройной интеграл
равен суммарной
мощности источников и стоков по объему
.
Учитывая это, смысл теоремы
Остроградского-Гаусса в форме (3) можно сформулировать следующим образом: поток
векторного поля
изнутри замкнутой
поверхности
равен суммарной
мощности источников и стоков этого поля, заключенных в объеме
,
ограниченном этой поверхностью
.
Следовательно, если поток равен 0, то внутри
поверхности
нет источников и
стоков поля
или они уравновешивают
друг друга.
. Линейность дивергенции:
Это следует из линейности операций сложения
векторов и дифференцирования.
. Дивергенция произведения скалярного поля
на
векторное поле
вычисляется по
формуле:
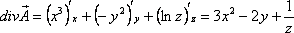
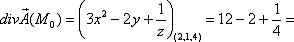
Примеры 1 (вычисление дивергенции векторного
поля)
Дано
-
поле радиус-вектора точки
. Вычислить
Решение
3
то есть каждая точка М этого поля является
источником постоянной мощности, равной 3.
Вычислить
и
объяснить смысл ее значения, если
Решение
10,25
Значение
указывает
на то, что в заданной точке
есть источник
векторного поля
и мощность этого
источника равна 10,25.
По рассмотренному примеру можно заметить, что
любое векторное поле
сопровождается
скалярным полем
его дивергенций.
5. Циркуляция
Циркуля́цией
ве́кторного
по́ля
называется криволинейный интеграл второго рода, взятый по произвольному
замкнутому контуру Γ. По
определению.
Где
-
векторное поле (или вектор-функция), определенное в некоторой области D,
содержащей в себе контур Γ,
-
бесконечно малое приращение радиус-вектора
вдоль контура.
Окружность на символе интеграла подчёркивает тот факт, что интегрирование
производится по замкнутому контуру. Приведенное выше определение справедливо
для трёхмерного случая, но оно, как и основные свойства, перечисленные ниже,
прямо обобщается на произвольную размерность пространства.
Аддитивность:
Циркуляция по контуру, ограничивающему несколько
смежных поверхностей, равна сумме циркуляций по контурам, ограничивающим каждую
поверхность в отдельности, то есть
Свойство аддитивности циркуляции: циркуляция по
контуру Γ
есть сумма циркуляций по контурам Γ1
и Γ2,
то есть C = C1 + C2
Формула Стокса:
Циркуляция вектора F по произвольному контуру Г
равна потоку вектора
через произвольную
поверхность S, ограниченную данным контуром.
Где
Ротор вектора F.
В случае, если контур плоский, например лежит в
плоскости OXY, справедлива теорема Грина
Где
-
плоскость, ограничиваемая контуром Γ
(внутренность контур).
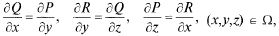
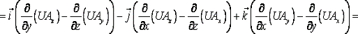
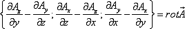
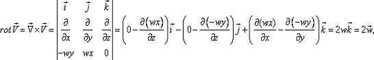
. Ротор и его основные свойства
Определение ротора векторного поля:
Ротором или вихрем векторного поля
называется
вектор с проекциями
Основные свойства ротора:
- это векторная
величина, которая является дифференциальной (т.е. точечной) характеристикой
векторного поля
.
- свойство
линейности.
Ротор произведения скалярной и векторной ункции
вычисляется по формуле:
4.Физический смысл ротора
Некоторое физическое истолкование понятия ротора
можно получить, если рассматривать векторное поле линейных скоростей
твердого
тела (материальной точки M), вращающегося вокруг оси
с
постоянной угловой скоростью
.
Из физики известно, что
,
где
-
это угловая скорость вращения,
- это радиус
вектор точки М.
Поэтому
то есть поле линейных скоростей тела ,
вращающегося вокруг неподвижной оси есть плоское векторное поле.
Вычислим его ротор равен:
то есть
Следовательно, ротор этого поля
направлен
параллельно оси вращения, его модуль равен удвоенной угловой скорости вращения.
Таким образом,
характеризует
вращательную способность поля
, наличие у этого
поля “закрученных” векторных линий или “вихрей”.
В технической литературе ротор векторного поля
часто называют вихрем этого поля.
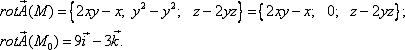
Примеры 2 (вычисление ротора векторного поля)
Вычислить ротор радиус-вектора
точки
Решение
,
,
векторное поле
не
обладает вращательной способностью.
Вычислить
,
если
Решение
Записываем проекции данного векторного поля:
,
и по формуле (4) получаем, что
Из рассмотренного примера следует, что любое
векторное поле
сопровождается
другим векторным полем
его ротора.
Если учесть, что потоку можно приписать
алгебраический знак, то нет необходимости учитывать входящий и исходящий потоки
по отдельности, всё будет автоматически учтено при суммировании с учетом знака.
Поэтому можно дать более короткое определение дивергенции:
дивергенция - это дифференциальный оператор на
векторном поле, характеризующий поток данного поля через поверхность, малой
окрестности каждой внутренней точки области определения поля.
Оператор дивергенции, применённый к полю ,
обозначают как
F или
Определение:
Определение дивергенции выглядит так:
где Фf - поток векторного поля F через
сферическую поверхность площадью S, ограничивающую объём V. Ещё боле-общим, а
потому удобным в применении, является определение, когда форма области с
поверхностью S и объёмом V допускается любой. Единственным требованием является
её нахождение внутри сферы радиусом, стремящимся к нулю (то-есть чтобы вся
поверхность находилась в бесконечно малой окрестности данной точки, что нужно,
чтобы дивергенция была локальной операцией и для чего очевидно недостаточно
стремления к нулю площади поверхности и объема ее внутренности). В обоих
случаях подразумевается, что:
Это определение не привязано к определённым
координатам, например к декартовым, что может представлять дополнительное
удобство в определённых случаях.
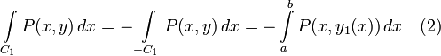
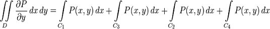
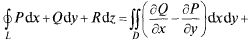
. Формулы Грина
Пусть C - положительно ориентированная
кусочно-гладкая замкнутая кривая на плоскости, а D - область, ограниченная
кривой C. Если функции P = P(x,y), Q = Q(x,y) определены в области D и имеют
непрерывные частные производные
На символе интеграла часто рисуют окружность,
чтобы подчеркнуть, что кривая C замкнута.
Доказательство:
Пусть область D - криволинейная трапеция
(область, цилиндрическая в направлении OY):
Для кривой C, ограничивающей область D зададим
направление обхода по часовой стрелке. Тогда
Заметим, что оба полученных интеграла можно
заменить криволинейными интегралами:
Интеграл по C1 берётся со знаком
"минус", так как согласно ориентации контура C направление обхода
данной части - от b до a.
Криволинейные интегралы по C2 и C4 будут равны
нулю, так как
Заменим в (1) интегралы согласно (2) и (3), а
также прибавим (4) и (5), равные нулю и поэтому не влияющие на значение
выражения:
Так как обход по часовой стрелке при правой
ориентации плоскости является отрицательным направлением, то сумма интегралов в
правой части является криволинейным интегралом по замкнутой кривой C в
отрицательном направлении:
Аналогично доказывается формула:
если в качестве области D взять область,
правильную в направлении OX.
Складывая (6) и (7), получим:
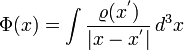
Если бы в электростатических задачах мы всегда
имели дело с дискретным или непрерывным распределением заряда без всяких
граничных поверхностей, то общее решение для скалярного потенциала
было бы самой удобной и непосредственной формой
решения таких задач и не нужны были бы ни уравнение Лапласа, ни уравнение
Пуассона. Однако в действительности в целом ряде, если не в большинстве, задач
электростатики мы имеем дело с конечными областями пространства (содержащими
или не содержащими заряд), на граничных поверхностях которых заданы
определенные граничные («краевые») условия. Эти граничные условия могут быть
заменены некоторым соответственно подобранным распределением зарядов вне
рассматриваемой области (в частности, в бесконечности), однако приведенное выше
соотношение в этом случае уже непригодно для расчета потенциала, за исключением
некоторых частных случаев (например, в методе изображений).
Для рассмотрения задач с граничными условиями
необходимо расширить используемый нами математический аппарат, а именно вывести
так называемые формулы, или теоремы Грина (1824 г.). Они получаются
непосредственно из теоремы о дивергенции
которая справедлива для любого векторного поля
А, определенного в объёме V, ограниченном замкнутой поверхностью S. Пусть
где
и
-
произвольные дважды непрерывнодифференцируемые скалярные функции. Тогда
И
Где
нормальная
производная на поверхности S (по направлению внешней нормали по отношению к
объёму V). Подставляя (1) и (2) в теорему о дивергенции, мы придем к первой
формуле Грина
Напишем такую же формулу, поменяв в ней местами
и
и
вычтем её из (3). Тогда члены с произведением
ократятся
и мы получим вторую формулу Грина, называемую иначе теоремой Грина:
В физике и математике теорема Грина дает
соотношение между линейным интегралом простой ограниченной кривой С и двойным
интегралом по плоской поверхности D ограниченной кривой С. И в общем виде
записывается следующим образом.
Третье уравнение Грина получается из второго
уравнения путем замены
и замечания о том,
что
в R ³.
Если дважды дифференцируема на U.
если x ∈
Int U,
если
x ∈
∂U и плоскость касания только в x.
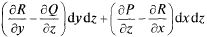
. Формулы Стокса
Формула Стокса устанавливает связъ между
поверхностным и риволинейным интегралами, а также обобщает формулу Грина а
пространственный случай. Т: Пусть функции P(x,y,z), Q(x,y,z), R(x,y,z)
непрерывны вместе со своими частными производными на гладкой ориентированной
поверхности G, ограниченной гладкой замкнутой кривой L. Тогда
Формула (27.10) называется формулой Стокса.
Из формулы Стокса следует, что если
то криволинейный интеграл по любой
пространственной замкнутой кривой L равен нулю:
Как и в случае плоской кривой
условия
(27.11) являются необходимыми и достаточными для независимости криволинейного
от
пути интегрирования. При их выполнении подынтегральное выражение - полный
дифференциал некоторой функции
u(x,y,z): Pdx+ Qdy+ Rdz = du,
поле векторный дивергенция
аддитивность ротор
Заключение
Для того что бы сделать вывод о проделанной
работе обратимся к задачам, которые были поставлены в введении.
Итак, примерами векторных полей служат силовое
поле (поле тяготения, электрическое и электромагнитное поля) и поле скоростей
текущей жидкости. Векторное поле задано, если в каждой точке Р поля указан
соответствующий этой точке вектор А(Р).
Векторной линией векторного поля называется
линия, в каждой точке которой направление касательной совпадает с направлением
вектора, соответствующего этой точке.
Дивергенцией, или расходимостью, векторного поля
А(Р) в точке Р называется предел отношения потока вектора через поверхность,
окружающую точку Р, к объему, ограниченному этой поверхностью, при условии, что
вся поверхность стягивается в точку Р.
Циркуляцией вектора А(Р) вдоль замкнутого
контура L называется криволинейный интеграл по этому контуру от скалярного
произведения вектора А(Р) на вектор dS касательной к контуру.
По результатам курсовой работы можно сделать
вывод, что с помощью векторного анализа можно описать поведение любого поля, в
любой точке пространства пользуясь рядом характеристик, таких как , дивергенция
, циркуляция , поток , ротор
Литература
1.
Мышкис «Лекции по высшей математике».
.
Данко П.Е., Попов А.Г., Кожевников Т.Я., «Высшая математика в упражнениях и
задачах» М., Выс.школа 1980 г.