Противогрибковые лекарственные средства

  • Вид работы:
    Дипломная (ВКР)
  • Предмет:
    Медицина, физкультура, здравоохранение
  • Язык:
    Русский
    ,
    Формат файла:
    MS Word
    744,50 kb
  • Опубликовано:
    2012-03-10
Вы можете узнать стоимость помощи в написании студенческой работы.
Помощь в написании работы, которую точно примут!

Противогрибковые лекарственные средства

НОУ МО «Тираспольский Межрегиональный Университет»

Фармацевтический факультет










Курсовая работа

Противогрибковые лекарственные средства













Тирасполь 2011

Оглавление

введение

. Общая характеристика противогрибковых средств

.1 История открытия противогрибковых средств

.2 Классификация и общая характеристика микозов

.3 Классификация антимикотиков

.4 Механизм действия некоторых противогрибковых препаратов

. Методы анализа некоторых противогрибковых препаратов

.1 Гризеофульвин (griseofulvin)

.2 Клотримазол (clotrimazole)

.3 Кислота борная (аcidum boricum)

.4 Йод (iodum) и раствор йода спиртовой 5% (solutio iodi spirituosa)

Заключение

Библиография

Введение

В последние десятилетия отмечается значительный рост грибковых заболеваний. Это связано со многими факторами и, в частности, с широким применением в медицинской практике антибиотиков широкого спектра действия, иммунодепрессантов и других групп лекарственных средств.[11]

В связи с тенденцией к росту грибковых заболеваний (как поверхностных, так и тяжелых висцеральных микозов, ассоциированных с ВИЧ-инфекцией, онкогематологическими заболеваниями), развитием устойчивости возбудителей к имеющимся лекарственным средствам, выявлением видов грибов, ранее считавшихся непатогенными (в настоящее время потенциальными возбудителями микозов считаются около 400 видов грибов), возросла потребность в эффективных противогрибковых средствах.[11]

Противогрибковые средства (антимикотики) - лекарственные средства, обладающие фунгицидным или фунгистатическим действием и применяемые для профилактики и лечения микозов.

Для лечения грибковых заболеваний используют ряд лекарственных средств, различных по происхождению (природные или синтетические), спектру и механизму действия, противогрибковому эффекту (фунгицидный или фунгистатический), показаниям к применению (местные или системные инфекции), способам назначения (внутрь, парентерально, наружно).

Большинство грибов устойчиво к действию антибактериальных препаратов. Лишь не многие химические соединения обладают угнетающим действием на патогенные для людей грибы, и большинство из них весьма токсичны. Потребность в эффективных противогрибковых препаратах приобрела особую актуальность в связи с резким возрастанием числа местных и диссеминированных микозов у больных с иммунодефицитом.[11]

Цель работы: На основании изучения различных информационных источников собрать и обобщить данные о противогрибковых препаратах, применяющихся на сегодняшний день в медицинской практике, их классификацию и действие на организм человека; фармакокинетику, фармакодинамику, метаболизм, методы анализа.

Задачи:

- Изучить действие, классификацию и механизм действия противогрибковых препаратов;

Подробно изучить методы анализа некоторых противогрибковых препаратов.

1. Общая характеристика противогрибковых средств

.1 История открытия противогрибковых средств

Грибковые заболевания известны очень давно, еще со времен античности. Однако возбудители дерматомикозов, кандидоза были выявлены только в середине XIX в., к началу XX в. были описаны возбудители многих висцеральных микозов. До появления в медицинской практике антимикотиков для лечения микозов использовали антисептики и калия йодид.[11]

В 1954 г. была обнаружена противогрибковая активность у известного с конца 40-х гг. XX в. полиенового антибиотика нистатина, в связи с чем нистатин стал широко применяться для лечения кандидоза. Высокоэффективным противогрибковым средством оказался антибиотик гризеофульвин. Гризеофульвин был впервые выделен в 1939 г. и использовался при грибковых заболеваниях растений, в медицинскую практику был внедрен в 1958 г. и явился исторически первым специфическим антимикотиком для лечения дерматомикозов у человека. Для лечения глубоких (висцеральных) микозов начали использовать другой полиеновый антибиотик - амфотерицин В (был получен в очищенном виде в 1956 г.).

Крупные успехи в создании противогрибковых средств относятся к 70-м гг. XX в., когда были синтезированы и внедрены в практику производные имидазола - антимикотики II поколения - клотримазол (1969 г.), миконазол, кетоконазол (1978 г.) и др. К антимикотикам III поколения относятся производные триазола (итраконазол - синтезирован в 1980 г., флуконазол - синтезирован в 1982 г.), активное использование которых началось в 90-е годы, и аллиламины (тербинафин, нафтифин).

Антимикотики IV поколения - новые ЛС, уже зарегистрированные в России или находящиеся в стадии клинических испытаний, - липосомальные формы полиеновых антибиотиков (амфотерицина В и нистатина), производные триазола (вориконазол - создан в 1995 г., позаконазол - зарегистрирован в России в конце 2007 г., равуконазол - в России не зарегистрирован) и эхинокандины (каспофунгин).[11]

 

.2 Классификация и общая характеристика микозов


В зависимости от локализации поражений микозы подразделяют на четыре группы:

·    системные, или глубокие микозы, характеризующиеся поражением внутренних органов с вовлечением в патологический процесс различных тканей (кокцидиоидоз, гистоплазмоз, криптококкоз, североамериканский и южноамериканский бластомикозы);

·              подкожные, или субкутанные микозы, характеризующиеся поражением кожи, подкожной клетчатки, фасций и костей (споротрихоз, хромомикоз, мадуромикоз);

·              эпидермомикозы, характеризующиеся поражением эпидермиса, волос и ногтей (дерматомикозы);

·              поверхностные микозы, характеризующиеся поражением волос и поверхностного рогового слоя эпидермиса (кератомикоз, разноцветный лишай - малассезиоз, черный лишай - кладоспориоз, белая пьедра - трихоспороз и черная пьедра - пьедраиоз.[8]

Возбудители глубоких и субкутанных микозов обычно обнаруживаются в почве. Входные ворота инфекции при разных микозах различны. Системные микозы развиваются после вдыхания спор возбудителя, а подкожные - после непосредственного попадания спор или мицелиальных фрагментов в кожную рану.[8]

Глубокие микозы напоминают хронические бактериальные инфекции, вызванные микобактериями или актиномицетами. Первичные поражения обычно затрагивают легкие и протекают в форме острых пневмоний. Хронические формы встречаются реже. Они медленно прогрессируют и характеризуются образованием нагноительных ран или гранулематозных поражений; иногда возникают легочные каверны и патологический процесс распространяется на плевру. Возбудители глубоких микозов могут распространяться гематогенным путем по всему организму, образуя метастатические абсцессы или гранулемы в любых органах и тканях.

При системных микозах, как правило, наблюдается аллергия с развитием ГЗТ. Однако эти заболевания неконтагиозны, т.е. не передаются от человека к человеку или от животного к человеку. До открытия антифунгальных полиеновых антибиотиков глубокие диссеминированные микозы заканчивались, как правило, смертью. Некоторые из возбудителей системных микозов относят к числу опасных (Coccidioides immitis, Histoplasma capsulatum) ввиду их высокой контагиозности. Кроме криптококкоза, другие глубокие микозы являются эндемическими инфекциями.[8]

Субкутанные микозы. Заболевание начинается незаметно и медленно прогрессирует с образованием подкожных абсцессов и гранулем, часто достигающих поверхности кожи, формируясь в виде хронических, изъязвляющихся дренирующих поражений. Инфекция может распространяться по лимфатическим путям и сопровождаться возникновением нагноительных, грануломатозных поражений в регионарных лимфатических узлах. Заболевание часто приводит к обезображиванию участков тела и нередко заканчивается летально, хотя диссеминация возбудителя во внутренние органы наблюдается редко.

Подкожные деструктивные абсцессы, распространяющиеся на мягкие ткани, фасции и костную ткань, называют мицетомами (мадуромикоз, или «мадурская нога», по названию местности Мадура в Индии, где впервые был описан данный микоз). Для них характерно образование свищей с гнойными выделениями. В последних (как и в абсцессах) часто обнаруживаются гранулы или друзы, представляющие собой части колоний соответствующих возбудителей. Подобные абсцессы могут быть вызваны также бактериями рода Nocardia, Actinomyces.

Эпидермомикозы представляют собой хронические инфекции, редко протекающие в тяжелой форме. Возбудитель -Microsporum gypseum. Дерматомицеты приближаются к категории облигатных паразитов человека и животных, передающихся при контакте здоровых лиц с больными или с кусочками пораженных волос и эпидермальными чешуйками. Воспалительные очаги на месте инфицирования в большинстве случаев носят локальный характер и не подвержены деструкции. У людей, страдающих эпидермомикозами, как правило, развивается ГЗТ. Заболевания бывают легкими и бессимптомными, возможны острые и хронические формы. Прогноз в нелеченных случаях не тяжелый. Поверхностные микозы являются относительно редкими заболеваниями. Они характеризуются минимальными реакциями микроорганизма на возбудителя, локализующегося в ногтях, волосах или роговом слое эпидермиса.

Оппортунистические микозы - группа микозов, которые вызываются условнопатогенными грибами из родов Absidia, Aspergillus, Candida, Mucor, Penicillium и др. у иммунодефицитных лиц.[8]

.3 Классификация антимикотиков

Противогрибковые антибиотики

Полиены

·Тетраены: натамицин.

·Гептаены: амфотерицин В, нистатин, леворин, микогептин, трихомицин.

Неполиеновые антибиотики

·Гризаны: гризеофульвин.

Азолы

·Имидазолы

1 поколение: клотримазол, миконазол, изоконазол, бифоназол, амиказол.

- 2 поколение: эконазол, тиоконазол, бутоконазол, фентиконазол.

- 3 поколение: кетоконазол, оксиконазол, сульконазол.

·Триазолы: итраконазол, флуконазол, вориконазол, терконазол, фторконазол.

Аллиламины: нафтифин, тербинафин, бутенафин.

Пиримидины: флуцитозин, циклопирокс.

Препараты йода: йод, калия йодид, повидон-йод.

Анилиновые красители: бриллиантовый зеленый, генциановый фиолетовый, метиленовый синий, фукорцин.

Морфолины: аморолфин.

Арены

·Галогенизированные фенолы: галапрогин, нитрофенол.

·Тиокарбонаты: толнафтат, толциклат.

Ингибиторы синтеза глюкана: каспофунгин, микофунгин, анидулафунгин.

Бис-четвертичные аммониевые соли: декамин.

Карбоновые кислоты: октицил.

Производные борной кислоты: борная кислота, тетраборат натрия.

Препараты растительного происхождения: анмарин.[2]

Противогрибковые средства различаются по следующим параметрам:

По происхождению противогрибковых препаратов: природные или синтетические;

По спектру и механизму действия;

- По противогрибковому эффекту: фунгицидные и фунгистатические;

По показаниям к применению: для лечения местных или системных грибковых заболеваний;

По способу приема: для приема внутрь, для парентерального введения, для наружного применения.[11]

В клинической практике противогрибковые средства делят на 3 основные группы:

1. Препараты для лечения глубоких (системных) микозов.

. Препараты для лечения эпидермофитий и трихофитий.

. Препараты для лечения кандидозов.[11]

1.4 Механизм действия некоторых противогрибковых препаратов

ГРИЗЕОФУЛЬВИН (GRISEOFULVIN)

Гризеофульвин - один из ранних природных антимикотиков, обладающий узким спектром активности. Продуцируется грибом рода Penicillium. Применяется только при дерматомикозах, вызванных грибами-дерматомицетами.[7]

Механизм действия. Обладает фунгистатическим эффектом, который обусловлен ингибированием митотической активности грибковых клеток в метафазе и нарушением синтеза ДНК. Избирательно накапливаясь в «прокератиновых» клетках кожи, волос, ногтей, гризеофульвин придает вновь образуемому кератину устойчивость к грибковому поражению. Излечение наступает после полной замены инфицированного кератина, поэтому клинический эффект развивается медленно.[7]

Спектр действия. Активен только против дерматомицетов (Trichophyton, Microsporum spp. и Epidermophyton spp.).

Фармакокинетика <#"513597.files/image002.gif">

Фармакодинамика. Клотримазол принадлежит к группе противогрибковых средств широкого спектра действия. Активное вещество препарата - производное имидазола клотримазол действует на дерматофиты (Epidermophyton floccosum, Microspporum spp, Trichophyton spp.), дрожжевые и плесневые грибы (Candida spp., Torulopsis spp., Rhodotorula spp., Cryptococcus neoformans, Asppergillus spp., Cladospporium spp., Madurella spp.), диморфные грибы (Blastomyces dermatitidis, Coccidiodes immitis, Histoplasma capsulatum) и актиномицеты рода Nocardia. [9]

Показания к применению. Инфекции слизистых оболочек полости рта, вызванные дрожжеподобными грибами; микозы стоп, ногтей (онихомикоз), ладоней; дерматомикоз головы, туловища, паховых областей, трихофитоз; отрубевидный лишай и эритразма.

Противопоказания. Повышенная чувствительность к клотримазолу и/или другим компонентам препарата. Не применять в области глаз.

Побочное действие. В редких случаях может появиться местная аллергическая реакция, жжение, зуд, незначительное раздражение в месте применения препарата. Очень редко обобщенная эритема, сыпь, отек, крапивница, шелушение эпидермиса.

Взаимодействие с другими лекарственными препаратами. Клотримазол может тормозить действие других противогрибковых препаратов наружного применения. Пропиловый эфир β-гидроксибензойной кислоты в высоких концентрациях усиливают противогрибковое действие клотримазола. Дексаметазон в высоких дозах тормозит противогрибковое действие клотримазола.[9]

КИСЛОТА БОРНАЯ (АCIDUM BORICUM)

Механизм действия Борная кислота оказывают антибактериальное, противогрибковое, противопаразитарное и вяжущее действие. Кислота коагулирует белки микробной клетки, нарушает проницаемость клеточной оболочки, 2-4 процентный раствор борной кислоты задерживает рост и развитие бактерий, 5% - ингибирует процессы фагоцитоза. Препараты, содержащие борную кислоту, оказывают также инсектицидное и раздражающее действие.[10]

Фармакокинетика. Борная кислота хорошо проникает через кожу и слизистые оболочки, особенно у детей раннего возраста, может накапливаться в тканях, медленно выводится из организма - около 50% экскретируется с мочой за 12 ч, остаток выводится в течение 5-7 дней. При повторных применениях кумулирует.

Место в терапии. Борная кислота в виде мази может применяться при педикулезе. 3% раствором пользуются для примочек при мокнущей экземе, дерматитах, 0,5-3% спиртовые растворы применяются для обработки пораженных участков при пиодермии, экземе, опрелостях. 10% раствор в глицерине используется при опрелостях и кольпитах. Борная кислота входит в состав ряда комбинированных препаратов.[10]

Переносимость, побочные эффекты. При использовании борной кислоты, особенно при передозировке, длительном применении и нарушении функций почек возможно возникновение острых и хронических токсических реакций (тошноты, рвоты, диареи, кожной сыпи, десквамации эпителия, головной боли, спутанности сознания, судорог, олигурии, в редких случаях - шокового состояния).

Противопоказания. Применение борной кислоты противопоказано больным с нарушением функции почек, кормящим матерям для обработки молочных желез, детям (особенно новорожденным), беременным и лицам с индивидуальной непереносимостью, а также при поражении обширных участков кожи. Так как борная кислота хорошо всасывается при попадании на слизистые оболочки, не рекомендуется промывать ею полости.[10]

РАСТВОР ЙОДА СПИРТОВОЙ 5%(SOLUTIO IODI SPIRITUOSA)

Механизм действия. Препараты йода обладают фунгицидным действием на многие грибы, но основное клиническое значение имеет их активность в отношении Sporotrix schenckii. Кроме того, они обладают широким спектром противомикробного действия в отношении грамположительных кокков и грамотрицательных бактерий, вирусов и простейших. Ионы йода способны окислять фосфолипиды клеточной стенки грибов, приводя к появлению в клеточной мембране щелей, вследствие чего нарушается трансмембранный ионный потенциал. Клетка гриба гибнет за счет выхода ионов К+ и вхождения ионов Na+ с водой. Элементарный йод связывается с аминогруппами клеточных белков и образует йодамины, вызывая при этом коагуляцию белков и гибель клеток.[12]

Фармакокинетика. Йода спиртовой раствор применяется наружно. При контакте с кожей или слизистыми оболочками 30% превращается в йодиды, остальная часть - в активный йод. При нанесении на обширные поверхности всасывается в значительных количествах.

Место в терапии. Йода спиртовой раствор применяется в дерматовенерологии при грибковых и вирусных инфекциях кожи, трихомониазе.[12]

Противопоказания. При наружном применении йод может вызвать химический ожог кожи или слизистых оболочек, симптомы йодизма (угревая сыпь, крапивница, ангионевротический отек, конъюнктивит, слезотечение, слюнотечение, стоматит, ринит, ларингит, бронхит).

Препараты йода противопоказаны при их индивидуальной непереносимости, крапивнице, фурункулезе, угрях, герпетиформном дерматите Дюринга, гипертиреозе, аденоме и других опухолях щитовидной железы, тяжелых заболеваниях почек, почечной недостаточности, беременности, кормлении грудью, в периоде новорожденности.

Взаимодействия. Йод химически несовместим с эфирными маслами, растворами аммиака, препаратами ртути, окислителями. При одновременном применении 2 или более препаратов йода риск побочных эффектов возрастает.[12]

2. Методы анализа некоторых противогрибковых препаратов

.1 Гризеофульвин (griseofulvin)

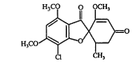
Номенклатурное название. 7-хлор-2,4,6-триметокси-6,-метилгризен-2,-дион-3,4'

Описание. Белый или белый с кремоватым оттенком мелкодисперсный кристаллический порошок со слабым специфическим запахом. Т. пл. 218-224°С. Удельное вращение от +355 до +366° (1%-ный раствор в диметилформамиде).

Растворимость. Гризеофульвин практически нерастворим в воде и эфире, мало растворим в этаноле, ацетоне, бутилацетате, легко растворим в диметилформамиде.

Синтез. Гризеофульвин - антибиотик, продуцируемый различными видами плесневых грибов, в частности Penicillium nigricans griseofutvum. При биосинтезе накапливается в мицелии и ферментативном растворе, откуда извлекается экстракцией хлороформом. Экстракт упаривают, остаток экстрагируют горячим бензолом и перекристаллизовывают из этанола.

Основой химической структуры гризеофульвина является гетероциклическая система гризан, включающая 2,3-дигидробензофуран и конденсированный с ним (в положении 2) циклогексан:


Подлинность. Используют ИК-спектроскопию, УФ-спектрофотометрию, а также методы ТСХ и ВЭЖХ. Сравнивают ИК-спектры испытуемых веществ и стандартных образцов, снятых в дисках-с бромидом калия в области 3300-680 см-1. Они должны полностью совпадать. С теми же стандартными образцами сравнивают УФ-спектры поглощения гризеофульвина в области 230-300 нм. Его растворы в этаноле должны иметь максимумы поглощения при 231 и 291 нм.[1]

Для испытания подлинности используют цветные реакции. Раствор гризеофульвина в концентрированной серной кислоте под действием дихромата калия приобретает темно-красное окрашивание. Подлинность гризеофульвина устанавливают также по голубовато-сиреневому свечению нанесенного на фильтровальную бумагу его 1%-ного раствора в ацетоне, возникающему при облучении ртутно-кварцевой лампой. При нагревании до кипения спиртового раствора гризеофульвина с 0,2 г бисульфита натрия и 2 мл раствора гидроксида натрия появляется лимонно-желтое окрашивание. Тот же раствор после добавления концентрированной хлороводородной кислоты и порошка магния приобретает желтое окрашивание, переходящее в желто-коричневое. Окрашенное соединение извлекается амиловым спиртом.

Методом ВЭЖХ на хроматографе с УФ-детектором устанавливают наличие в гризеофульвине специфических примесей с относительными временами удерживания 0,56-0,57; 0,87-0,88 и 1,09-1,10. Подвижная фаза состоит из воды, ацетонитрила и ледяной уксусной кислоты (49:45:1). Детектируют при длине волны 291 нм. Суммарное содержание примесей не должно превышать 2%. При испытании на чистоту порошка гризеофульвина требуется микроскопический контроль с помощью окулярмикрометра, т. к. его активность повышается с увеличением степени дисперсности и достигает оптимального значения при размере кристаллов не более 4 мкм.[1]

Количественное определение. Можно выполнить методом ВЭЖХ. При определении гризеофульвина используют подвижную фазу вода-ацетонитрил-тетрагидрофуран (60:35:5). Детектируют при длине волны 254 нм, сравнивая со стандартным раствором гризеофульвина в метаноле.

Можно определить содержание гризеофульвина спектрофотометрическим методом при длине волны 291 нм, используя в качестве растворителя безводный этанол. Известен фотоколориметрический метод, основанный на использовании цветной реакции со стабилизированной солью диазония из 4-амино-2',5'-диметоксибензанилида.[1]

.2 Клотримазол (clotrimazole)

Номенклатурное название. Дифенил-(2-хлорфенил)-имидазолилметан

Описание. Белый или желтоватый кристаллический порошок. Т. пл. 141-145°С

Растворимость. Практически не растворим в воде, хорошо растворим в этаноле, хлороформе и полиэтиленгликоле.[1]

Подлинность:

Снятие ИК-спектра поглощения.

Снятие УФ-спектра поглощения.

Для испытаний клоритмазола используют химические свойства, основанные на наличии в их молекулах третичного атома азота, атомов хлора.

Метод ТСХ, устанавливают значения Rf в выбранных системах растворителей и сравнивают со стандартными образцами тех же лекарственных веществ.

Количественное определение:

метод неводного титрования. Титрант 0,1 М раствор хлорной кислоты (индикатор кристаллический-фиолетовый).[1]

метод ВЭЖХ в подвижной фазе метанолозамещенный фосфат калия (3:1). Детектируют при длине волны 254 нм, в качестве внутреннего стандарта используют тестостерона пропионат.

титриметрический метод титрант - 0,004 М раствора лаурилсульфата. Титруют в присутствии хлороформа с индикатором диметиловым желтым до ярко-розового окрашивания хлороформного слоя.[1]

.3 Кислота борная (аcidum boricum)

противогрибковый лекарственный микоз клотримазол

Описание. Бесцветные, блестящие, жирные на ощупь чешуйки или мелкокристаллический порошок без запаха.[1]

Получение. Для медицинских целей борную кислоту получают из буры обработкой горячего раствора ее минеральной кислотой:

Подлинность. Кислота борная возгоняется с парами воды и этанола. При нагревании кристаллов она постепенно теряет воду, образует вначале (при 100°С) метаборную кислоту, затем стекловидную сплавленную массу (тетраборная кислота), которая при последующем прокаливании теряет воду, оставляя остаток оксида бора (III):[1]


Подлинность соединений бора можно установить по реакции образования в присутствии этанола борноэтилового эфира:


Если затем смесь поджечь, она горит пламенем, окаймленным зеленым цветом.

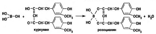
Соединения бора идентифицируют с помощью куркумовой бумаги, которая от смачивания раствором кислоты борной (буры) и хлороводородной кислоты окрашивается при высушивании в розовый или буровато-красный цвет, переходящий после обработки раствором аммиака в зеленовато-черный. Установлено, что содержащееся в куркуме производное ацетилацетона - куркумин (диферулоилметан) в енольной форме взаимодействует с кислотой борной, образуя розоцианин - внутрикомплексное окрашенное соединение по типу эфира:[1]


В качестве реактивов для капельного обнаружения кислоты борной могут быть использованы раствор кармина в концентрированной серной кислоте (фиолетовое окрашивание), раствор хинализарина в концентрированной серной кислоте (синее окрашивание), раствор ализаринового красного С в концентрированной серной кислоте (красное окрашивание), водный раствор пирокатехинового фиолетового в присутствии аммиачного буферного раствора (красное окрашивание).[1]

Хинализарин реагирует с борной кислотой в присутствии концентрированной серной кислоты с образованием продуктов синего цвета:


Испытания на чистоту. Соли кальция, железа, тяжелых металлов, мышьяка, сульфатов, определение которых осуществляют с использованием соответствующих эталонных растворов.

Количественное определение: используют кислотные свойства растворов кислоты борной в глицерине и щелочные свойства водных растворов натрия тетрабората. При прямом титровании кислоты борной щелочью образуется метаборат натрия, который в водных растворах сильно гидролизуется:[1]


В результате гидролиза щелочная реакция наступает до точки эквивалентности. Поэтому для количественного определения используют способность кислоты борной образовывать с глицерином сильную одноосновную диглицериноборную кислоту, которую можно с достаточной точностью оттитровать щелочью, используя в качестве индикатора фенолфталеин:

Количественное определение кислоты борной проводят в смеси свежепрокипяченной воды (свободной от углекислого газа) и нейтрализованного (по фенолфталеину) глицерина при комнатной температуре. Для контроля полноты образования натриевой соли диглицериноборной кислоты к концу титрования добавляют дополнительную порцию глицерина. Сохранение при этом розовой окраски свидетельствует о достижении эквивалентной точки. Если окраска исчезает, вновь добавляют глицерин и титрование продолжают. Добавление глицерина продолжают до тех пор, пока розовая окраска не перестанет исчезать.[1]

.4 Йод (iodum) и раствор йода спиртовой 5% (solutio iodi spirituosa)

Описание. Серовато-черные с металлическим блеском пластинки или сростки кристаллов с характерным запахом.[1]

Прозрачная жидкость красно-бурого цвета с характерным запахом.

Свойства. Йод летуч при обычной температуре, при нагревании возгоняется, образуя фиолетовые пары. Т. пл. 113-114°С.

Растворимость. Йод очень мало растворим в воде, растворим в органических растворителях (эфире, хлороформе). В водных растворах йодидов йод растворяется с образованием комплексной соли (полийодида):

Kl + I2 -> К[I3]

Получение. Йод (слово «йодос» − фиолетовый) был впервые обнаружен в 1811 г. Французским фармацевтом Куртуа в золе морских водорослей. Природные минералы йода − лаутарит и йодаргирит встречаются редко. Источники промышленного получения йода - подземные воды нефтяных и газовых месторождений, отходы при получении чилийской селитры и морские водоросли. Поскольку содержание йода в природных источниках очень мало, основной задачей при его получении является концентрирование элемента.[5]

О.Ю. Магидсон с сотрудниками (1924-1926 гг.) разработал оригинальную технологию получения йода из буровых вод, содержащих 0,001 -0,01% йода в виде йодидов. Процесс состоял из ряда последовательных стадий: очистки буровых вод от примеси нефти и нафтеновых кислот, отстаивания от механических примесей, окисления йодид-ионов до свободного йода нитритом натрия в присутствии серной кислоты:[1]


Выделившийся йод адсорбируют активированным углем. Это наиболее важный этап производства, так как происходит концентрирование (в 200-300 раз) малых количеств йода. Затем йод подвергают десорбции с помощью раствора гидроксидa натрия или сульфита натрия:[1]


Следующий этап - окисление йодидов до свободного йода с помощью различных окислителей. Наиболее часто используют хлор:


Процесс окисления может быть осуществлен электролизом. Заключительный этап - процесс очистки йода от примесей. Для этого йод-сырец подвергают сублимации в стальных, чугунных или керамических ретортах.

Существуют и другие способы получения йода из буровых вод, например окисление с последующим извлечением орфическими растворителями (керосином, дихлорэтаном).

Подлинность. Устанавливают с помощью специфической реакции. Она основана на образовании продукта синего цвета при взаимодействии йода и крахмального клейстера. При кипячении окраска исчезает и появляется вновь при охлаждении. [1]


С помощью рентгеноструктурного анализа и других физико-химических методов установлено, что синий йодид крахмала представляет собой соединения включения (клатраты). Крахмал, представляющий собой смесь двух типов полисахаридов - α- и β-амилозы (линейного) и амилопектина (разветвленного), образует с йодом соответственно клатраты синего (λмах 620-680 нм) и красного(λмах 520-550 нм) цвета. Причем молекула β-амилозы в этих клатратах образует вокруг молекулы йода спираль, каждый виток которой содержит 6 остатков глюкозы.[1]

Испытания на чистоту. Примесь активированного угля, используемого для адсорбции йода в процессе его получения, может быть легко обнаружена растворением растертого в порошок йода с тиосульфатом натрия. При этом проходит реакция:[5]


Образование прозрачного раствора свидетельствует о чистоте лекарственного средства (отсутствие механических примесей).

При получении йода из озоленных морских водорослей или буровых вод может образоваться очень токсичная примесь цианида йода:[1]


Для установления этой примеси йод обесцвечивают, восстанавливая раствором сернистой кислоты, и обнаруживают цианид-ион по образованию берлинской лазури [гексацианоферрат (II) железа (III) натрия], имеющей темно-синюю окраску:


Примесь хлоридов также устанавливают после обесцвечивания раствора йода сернистой кислотой. Для этого раствором нитрата серебра в присутствии аммиака осаждают йодид-ион и отфильтровывают образовавшийся йодид серебра (нерастворимый в аммиаке). Примесь хлорида серебра растворяется с образованием аммиаката серебра и остается в фильтрате. Фильтрат подкисляют азотной кислотой и определяют содержание примеси хлоридов по образованию хлорида серебра (в виде опалесценции):[1]

Количественное определение. Йод определяют титрованием 0,1 М раствором тиосульфата натрия в присутствии индикатора - раствора крахмала. Навеску йода предварительно растворяют в водном растворе йодида калия. [1]


Поскольку процесс протекает в присутствии йодида калия, йод образует вначале комплексное соединение, которое затем взаимодействует с тиосульфатом натрия:


Аналогичным образом, но без индикатора определяют количество йода в 5%-ном спиртовом растворе (4,9-5,2%). Затем устанавливают содержание калия йодида (1,9-2,1%) и этанола (не менее 46%).[1]

Заключение

По данным ВОЗ, грибковыми патологиями страдает от 1/5 до 1/3 населения Земли. Число больных с различными формами микозов не имеет тенденции к снижению, поскольку грибковые инфекции плохо поддаются лечению, что связано как с недостаточной эффективностью существующих препаратов, так и быстрой изменчивостью микроорганизмов, приводящей к появлению устойчивых форм.

Заболевания, вызываемые патогенными грибами, получили название микозов. К препаратам, избирательно действующим на патогенные грибы и сопутствующую им инфекцию, относят:

противогрибковые антибиотики;

противогрибковые препараты синтетического происхождения (производные азолов, аллиламинов, пиримидинов, нитрофенолов, ундециловой кислоты и других химических групп).

Механизм действия большинства противогрибковых препаратов связан с воздействием на основные ферменты, влияющие на процесс биосинтеза эргостерола, входящего в состав мембраны клеток гриба, однако уровень воздействия различен.

Основными фармакологическими эффектами противогрибковых препаратов являются фунгицидный, фунгистатический и противобактериальный. Как побочные можно назвать гепатотоксический, нефротоксический, антиандрогенный. При применении этих препаратов могут наблюдаться нарушения со стороны ЖКТ (анорексия, диарея, тошнота, рвота), аллергические реакции, головная боль и т.д. При системном использовании противогрибковых препаратов спектр их побочного действия шире и степень проявления выше.[14]

В терапии грибковых инфекций существует большое количество нерешенных проблем:

§ Низкая эффективность имеющихся препаратов по отношению к грибам, находящимся в составе биопленок;

§   Распространение штаммов устойчивых к имеющимся препаратам;

§   Отсутствие новых препаратов с фунгицидным эффектом;

§   Низкая эффективность имеющихся препаратов по отношении к возбудителям особо опасных глубоких микозов;

§   Недостаточная эффективность лечения лиц с иммунодефицитом (СПИД, онкология, сахарный диабет, пациенты после трансплантации органов (в т.ч. костного мозга и др.);

§   Недостаточная эффективность лечения криптококковых менингитов и пневмонии;

§   Низкая эффективность терапии онихомикозов.

Разработка и создание новых системных противогрибковых препаратов идет по пути как усовершенствования уже имеющихся антимикотиков, так и создания новых лекарственных средств. В настоящее время разрабатываются новые антимикотики системного действия, производные триазола, - вориконазол, позаконазол, равуконазол. Основной их мишенью являются системные грибковые инфекции. [14]

Однако, несмотря на внедрение новых подходов в лечении системных микозов, эффективность терапии по-прежнему остается недостаточно высокой, в связи с чем необходимо проведение дальнейших исследований и разработка новых более эффективных схем лечения. [13]

Библиография

1.   Беликов В.Г. Фармацевтическая химия. − М.: МЕДпресс-Информ, 2007. - 624 с.

.     Мелентьева Г.А., Антонова Л.А. Фармацевтическая химия. - М.: Медицина, 2001. - 480 с.

4.   Основы учения об антибиотиках: Учебник. 6-е изд., перераб. и доп. / Н.С. Егоров. − М.: Изд-во МГУ; Наука, 2004. − 528 с.

5.       Фармацевтическая химия: Учебник для студ. ср. проф. учеб. заведений. / Н.Н. Глущенко, Т.В. Плетнева, В.А. Попков; Под ред. Т.В. Плетневой. − М.: Академия, 2004. − 384 с.

6.   Фармацевтическая химия: учеб. пособие. / Под ред. А.П. Арзамасцева. - 3-е изд., испр. - М.: ГЭОТАР-Медиа, 2006. - 640 с.

7.   Гризеофульвин. − http://www.e-apteka.ru (посещение 14.12.11).

.     Классификация и общая характеристика микозов. − http://www.eurolab.ua (посещение 14.12.11).

.     Клоритмазол. - http://vetinfo.su (посещение 14.12.11).

10. Кислоты. - http://farmius.org/antiseptiki/kisloty (посещение 14.12.11).

11.     Противогрибковые средства. Описание фармакологической группы. − http://www.rlsnet.ru (посещение 14.12.11).

.        Препараты йода - противогрибковые средства. - http://lekmed.ru/ (посещение 14.12.11).

.        Новые подходы к терапии инвазивных грибковых инфекций. − http://www.antibiotic.ru/ (посещение 14.12.11).

.        Терапия грибковых инфекции. − http://ltn-pharm.ru/ (посещение 14.12.11).


Не нашли материал для своей работы?
Поможем написать уникальную работу
Без плагиата!
Без нейросетей!