Роль коммерческого банка в кредитовании малого и среднего бизнеса
Курсовая работа
по дисциплине
на тему
Роль коммерческого банка в
кредитовании малого и среднего бизнеса
Выполнил
Студент ____ курса
группы
отделения
Руководитель
Санкт-Петербург
2007
Введение. 3
Глава 1. Особенности и проблемы кредитования малого и
среднего бизнеса в России 5
Глава 2. Кредитование малого и среднего бизнеса в ВТБ 24. 13
Глава 3. Кредитные продукты ВТБ-24 для предприятий и
индивидуальных предпринимателей. 22
«Микрокредит». 24
Кредит на развитие бизнеса. 25
Выкуп кредитов малому бизнесу. 26
Глава 4. Банк 24. Кредитование. 26
«Бизнес-Овердрафт». 26
«Беззалоговый». 28
«Снижай ставку сам». 29
«Инвестиционный». 30
«Бизнес-Авто». 32
Глава 5. Статистический анализ объемов кредитования малого и среднего бизнеса 35
Заключение. 39
Литература. 43
За последние три года
объемы банковского кредитования малого бизнеса увеличились в 2 раза. Рост
происходит как за счет входа на рынок новых игроков, так и за счет роста
портфелей прежних участников рынка. При этом на рынке четко выделились две
группы игроков - бизнес-модели. Первая - это региональные банки, вышедшие на
рынок 3-5 лет назад, в частности за счет кредитов РосБР и ЕБРР, предлагающие
индивидуальный подход к клиенту. Вторая - универсальные федеральные и
московские банки, вышедшие на рынок малого бизнеса в последние несколько лет,
предлагающие типовые услуги. Последние делают ставку на внедрение специальных
моделей оценивания бизнеса малых предпринимателей (по типу скоринг-оценок),
которые позволяют им быстро и качественно принимать решения по большому числу
потенциальных клиентов и в результате наращивать свой кредитный портфель без
существенного увеличения риска портфеля [1, С. 115]. У каждой из этих групп
есть перспективы для дальнейшего развития.
Официальных данных об
объемах этого рынка не существует [7, С. 214]. Причин тому несколько.
Во-первых, само понятие «малый бизнес» законодательством четко не определено.
Во-вторых, даже если бы можно было выделить малый бизнес по каким-либо однородным
критериям, специфика бухгалтерского учета в банках не предполагает отражения
ссуд малому бизнесу на отдельно выделенных счетах.
Потребность малых
предприятий в кредитных ресурсах участниками рынка оценивается в 25-30 млрд.
долл. США, ее удовлетворенность - не более чем в 15-20% [11, С. 58].
В последние год-два среди
основных игроков на рынке банковского финансирования малого бизнеса четко
выделились две группы банков. Это небольшие региональные, уже укрепившиеся на
этом рынке и целенаправленно работающие с малым бизнесом, и крупные банки,
которые стали активно выходить на этот рынок. Не менее 80 крупных банков имеют
программы кредитования малого бизнеса. Собственные программы появились у таких
банков, как «ВТБ-24», «Райффайзенбанк» [16], «МДМ-банк», «Международный
Московский Банк» и др. Причина очевидна: крупный российский бизнес поделен
между банками. Высокий уровень конкуренции на этом рынке ведет к снижению доходности
кредитования, в то время как доходность направления работы с малым бизнесом
обычно выше средней. Небанковские источники привлечения капитала также
становятся все более доступными для крупного бизнеса, что также негативно
сказывается на положении отечественных банков (снижается маржа от банковских
операций). Это вынуждает их искать новые рынки, активно развивать и предлагать
новые продукты. Работа с малым бизнесом позволяет нашему банку
диверсифицировать риски и получать дополнительную доходность, которая при
определенных масштабах работы выше, чем доходность от работы со средними и крупными
предприятиями [15].
Кто выиграет в этом
соревновании - федеральные или местные банки, - пока сказать сложно. С одной
стороны, крупные банки обладают значительными ресурсными возможностями для
привлечения большого числа заемщиков и снижения процентных ставок. Но в то же
время более строгие требования при отборе заемщиков-малых предпринимателей,
отсутствие интереса к небольшим ссудам не позволяют охватить весь сектор. Пока
крупные банки охватывают более качественных малых предпринимателей, чем более
мелкие кредитные организации. Лидеры рынка внедряют массовые схемы работы с
малым бизнесом, основанные на использовании скоринг-моделей оценки заемщиков [2,
С. 213]. С другой стороны, небольшие банки хотя и ограничены в ресурсах, но за
счет лучшего знания специфики бизнеса своих клиентов, их потребностей могут
успешно конкурировать с крупными банками. Сейчас, несмотря на возникшую
конкуренцию, и у тех, и у других есть достаточно пространства для развития -
порядка 80% предприятий малого бизнеса пока не охвачено банковскими кредитами.
Еще одной тенденцией в
последнее время стало появление интереса к малому бизнесу со стороны «дочек»
иностранных банков. До сих пор малый бизнес не был привлекательным для дочерних
иностранных банков, работавших на российском рынке. Традиционно зарубежные
банки имеют более строгие требования по рискам, процедурам, поэтому на рынке
КМБ они выглядят слабее более гибких российских банков. Но, похоже, ситуация
меняется, и ярким примером является выход на рынок малого бизнеса «Райффайзенбанка».
Большие надежды на развитие кредитования малого бизнеса «Райффайзенбанк»
возлагает на филиальную сеть купленного им «Импэксбанка». Сеть «Импэксбанка»
насчитывает более 190 отделений, 350 точек обслуживания и 335 банкоматов. Для
сравнения, у «Райффайзенбанка» лишь 23 точки обслуживания в пяти городах страны
[17].
Цели работы:
1.
определить, какие
механизмы кредитования малого и среднего бизнеса предлагают ведущие российские
банки,
2.
какие типы малые
предприятия могут брать займы у российских банков,
3.
определить
преимущества и недостатки кредитования малогои среднего бизнеса российскими
банками по сравнению с иностранными банками,
4.
определить
динамику кредитования предприятий малого и среднего бизнеса.
Бурное развитие
кредитования малого бизнеса приводит к тому, что кредитные продукты становятся
более доступными для малых предпринимателей: сроки кредитования растут,
процентные ставки падают, требования к потенциальным заемщикам становятся более
мягкими.
В целом ставки по
кредитам малым предприятиям в полтора раза превышают стоимость ресурсов для
других заемщиков. В среднем малый бизнес в 2006 году занимал в рублях под
17-18%, а более крупные предприятия платили 10-12% годовых. Разброс
среднегодовых ставок достаточно велик - от 13 до 28%. Зависят они от сроков
кредитования, обеспечения кредита, региона, насыщенности ресурсами. Повышенные
ставки процента объясняются более высоким уровнем риска, закладываемым банком
при кредитовании малого предприятия. Пока невысокий уровень конкуренции между
банками за малого предпринимателя также позволяет им держать ставки на высоком
уровне. К тому же малые предприятия готовы платить высокие проценты с учетом
срочности выдачи кредита. Стоит отметить, что в последние годы наблюдается
тенденция к сокращению ставок по кредитам и малому бизнесу.
Кредитование предприятий
малого бизнеса в целом отличается более короткими сроками, чем кредитование
компаний среднего и крупного бизнеса.
По размерам ссуд разброс
довольно большой: в небольших банках минимальная сумма 5 тысяч, а максимальная
- 500 тысяч рублей, у более крупных - 50 тысяч и 30 млн. рублей соответственно.
В целом, по данным
исследования, более 40% кредитов от общего числа выданных кредитов малым
предприятиям - это кредиты до 300 тыс. руб. (порядка 10 тыс. долл.). Иначе
говоря, 40% всех выданных кредитов составили микрокредиты. Чуть менее 40% всех
выданных кредитов находится в пределах 300 тыс. руб. - 3 млн. руб. Менее
четверти всех кредитов составили кредиты на сумму от 3 млн. руб.
Несмотря на активизацию
банков в сегменте малого бизнеса, конкуренция между ними по-прежнему ведется в
основном за клиентов из традиционных отраслей и регионов. Наиболее охотно банки
кредитуют бизнес, занимающийся торговлей. На его долю в 2006 году пришлось
более 60% всех кредитов, выданных малому бизнесу. Торговые компании продолжают
оставаться самым динамичным сектором нашей экономики и за счет быстрой
оборачиваемости своих средств могут себе позволить взять кредит в банке даже
под высокий процент [5, С. 39].
На обрабатывающие
производства пришлось всего чуть более 10%. При этом почти четверть компаний из
данной сферы - это производители пищевых продуктов, около 18% занимаются
металлургическим производством и производством готовых металлических изделий и
ещё одна четверть компаний занимается прочим производством, т.е. производством
мебели, ювелирных изделий, спортивных товаров, игрушек, аттракционов, пишущих
принадлежностей, переработкой отходов и др.
Более четверти всех
кредитов, выданных малым предприятиям, приходится на Москву, по 20% - на Южный
и Уральский федеральные округа. Распределение кредитов, выданных малым
предпринимателям, по регионам примерно совпадает с территориальным
распределением самих малых предприятий по стране. Более половины малых предприятий
расположены в Центральном и Приволжском федеральных округах. Более 50%
предприятий малого бизнеса из числа получивших кредит также располагаются в
этих двух федеральных округах.
Более активному и
диверсифицированному развитию кредитования малого бизнеса препятствует целый
ряд факторов [7, С. 212].
Во-первых, на данном
этапе своего развития российские банки не обладают достаточной ресурсной базой
для выдачи долгосрочных кредитов. Большинство финансовых посредников, особенно
в регионах, существуют за счет краткосрочных вкладов. Учитывая краткосрочность
и неустойчивость такой ресурсной базы, эти банки не могут предоставлять
долгосрочные займы предпринимателям для обновления основных фондов. Таким
образом, банки ограничиваются краткосрочным кредитованием на пополнение оборотных
средств (на срок до одного года, а чаще - на три-шесть месяцев). Такая осторожность
повышает надежность банковского сектора, но краткосрочные займы не дают возможности
малому бизнесу модернизировать свое производство. В ситуации неразвитости в
нашей стране системы рефинансирования кредитов ЦБ большое значение приобретает
система финансирования по германской схеме - через государственные банки,
например, РосБР, или зарубежные банки, в частности, ЕБРР.
Во-вторых, при сравнимых
операционных издержках на обслуживание крупного и мелкого заемщика крупному
банку невыгодно работать с малым бизнесом. Нужны такие процедуры кредитования
малого бизнеса, которые бы позволили оперативно и с малыми затратами готовить и
проводить большую массу мелких сделок, обеспечивая в тоже время приемлемое
качество кредитного портфеля. Для решения этой проблемы крупные банки
разрабатывают скоринговые системы оценки партнеров [3, С. 72].
В-третьих, серьезным
препятствием для увеличения объемов кредитования малого бизнеса являются
высокие риски, отчасти обусловленные непрозрачностью малого бизнеса, и проблемы
залогового обеспечения сделки. Однако, как показала практика, эта проблема
также решаема. Тем более что доля проблемных ссуд, по оценкам банкиров, невелика
и составляет порядка 3-5% от выданных кредитов малому бизнесу.
Банки находят способы
работы с мелкими заемщиками даже в отсутствие надежного обеспечения. За
последний год банки стали активнее предлагать беззалоговые кредиты. Они,
безусловно, носят краткосрочный характер, но позволяют предпринимателям решить
временные трудности. Наиболее распространенными являются беззалоговые кредиты
под выручку, которую клиенты соглашаются инкассировать в банк. Но для работы с
беззалоговыми кредитами банк должен хорошо уметь оценивать бизнес клиента, его
возможности вернуть кредит за счет своей текущей выручки, эффективности работы.
Это новые технологии оценки рисков, и за этими технологиями - будущее массового
кредитования малого бизнеса.
В классическом варианте
залогом выступает жилая и нежилая недвижимость, оборудование, автотранспорт,
находящиеся в собственности, как предприятия, так и в личной собственности
владельца бизнеса. Товары в обороте чаще всего выступают обеспечением кредитов,
выданных малому бизнесу. Оценку залога банки предпочитают проводить своими
силами. Обеспечение должно покрывать сумму кредита и проценты за весь срок
кредитования. При этом обычно банк исходит из ликвидности залога и принимает в
расчет не более 70% его оценочной стоимости. Кроме того, обычно банки требуют застраховать
залоговое имущество в страховой компании. Это связано, в том числе с тем, что в
соответствии с современным залоговым законодательством в случае банкротства
предприятия банкиры не исключают ситуации, когда причитающиеся по закону банку
активы не удастся взыскать с бизнесменов [5, С. 312]. Залоговое имущество на
общих правах поступает на аукцион, и банки не имеют на него преимущественных
прав.
На сегодняшний день
автотранспортные средства, переданные в залог, тоже не могут гарантировать
банку абсолютное покрытие кредита. Дело в том, что заложенное автотранспортное
средство до сих пор не регистрируется в ГИБДД. Соответственно, банки
оказываются незащищенными от мошенничества со стороны клиентов, «теряющих» паспорт
транспортного средства, заложенный в банке, и перепродающих автомобиль.
Другим способом снижения
рисков кредитования малого бизнеса является личное знакомство банкира с
собственником бизнеса. На переговоры с сотрудниками банков при оформлении
кредита обычно приходят первые лица малых и средних предприятий, что нечасто
случается при взаимодействии с крупным бизнесом, а подобные неформальные
отношения с руководством позволяют получить более достоверную информацию о состоянии
дел предприятия. Кредитные эксперты должны не только уметь хорошо оценивать
бизнес потенциального заемщика, но и быть отличными психологами. Необходимо
лично знать человека, который стоит за конкретным бизнесом.
По мнению самих банкиров,
более интенсивной работе банков и малого бизнеса могли бы способствовать
следующие шаги государства:
- во-первых, принятие
нового закона о залоге, позволяющего исключить заложенное имущество из
конкурсной массы при банкротстве должника, а также предполагающего возможность
внесудебного взыскания банком заложенного имущества, и введение системы
регистрации залога движимого имущества;
- во-вторых, внесение
поправок в Положение Банка России от 26.03.2004 № 254-П «О порядке формирования
кредитными организациями резерва на возможные потери по ссудам, по ссудной и
приравненной к ней задолженности». Это положение препятствует кредитованию
малого бизнеса. Центробанк рассматривает кредиты малым предприятиям в
большинстве случаев как проблемные и безнадёжные ссуды, под которые кредитные
организации должны создавать резервы в размере половины либо полной суммы кредита.
Соответственно, банки должны изыскивать дополнительные средства для создания резервов,
и, как следствие, это приводит к увеличению издержек банка и повышению ставки.
Также банкиры сетуют на
отсутствие реального опыта оценки бизнеса малых предприятий у проверяющих
специалистов из ЦБ, которые используют слишком формальные показатели, такие как
недостаточность собственных средств или отрицательные чистые активы, при этом
забывают оценивать перспективность развития малого предприятия. С одной
стороны, ЦБ провозглашает курс на переход к содержательному надзору, опирающемуся
на оценку качественных показателей деятельности банка. Но на поверку выходит
иначе. Часто банки вынуждены отказываться от кредитования перспективного клиента,
потому что знают, что придет ЦБ и заставит создавать дополнительные резервы под
кредит, который с формальной точки зрения является рисковым. Но банк объективно
знает бизнес клиента лучше, это мы ездили к нему на склад, а не представители
из ЦБ.
Единственная лазейка,
которую оставил кредиторам малого бизнеса Центробанк, - это возможность
формировать резерв по портфелю однородных ссуд, незначительных по величине,
т.е. размером не более 0,1 % от величины собственного капитала. Величина резерва
определяется кредитной организацией в зависимости от применяемой методики
оценки риска по портфелю однородных ссуд. Этот норматив значительно сужает возможности
банка по кредитованию малого бизнеса. В соответствии с ним можно относить к
однородным ссудам только кредиты до 250 тыс. руб.
И, наконец, положительным
фактором для самих банков стало бы уменьшение налоговой нагрузки на малые
предприятия. Использование разных механизмов снижения налоговой нагрузи на
малые предприятия (налоговые льготы, специальные налоговые режимы) могли бы
позволить малым компаниям легализовать свой бизнес и, в конечном итоге, снизить
кредитные риски банков, что привело бы к росту кредитования малого бизнеса.
Более активному
взаимодействию банков и малого бизнеса препятствуют также проблемы, возникающие
у малого бизнеса при обращении в банки [6, С. 163].
В среднем в банках
процедура рассмотрения заявки на кредитование занимает не менее 1 месяца и
требует от предпринимателя огромного количества справок и копий документов. В
отличие от крупного заемщика малый бизнес не располагает ни трудовыми, ни
временными ресурсами для сбора всех документов. При этом никто не дает предпринимателю
гарантии, что все его усилия окупятся. Кроме того, у мелкого бизнесмена обычно
просто нет времени ждать необходимых «здесь и сейчас» денег. Часто от бизнесменов
требуется предоставить ряд дополнительных документов, таких как бизнес-план,
технико-экономическое обоснование и прочее, а квалификации большинства предпринимателей
на их составление обычно не хватает.
Банки для снижения
кредитных рисков обычно выдвигают жесткие требования к обеспечению выдаваемых
ссуд[1].
При действующей законодательной базе и условиях прохождения дел в арбитражных
судах вернуть залог достаточно сложно, на это уходит много времени и средств. К
тому же отсутствует адекватное залоговое законодательство и инфраструктура
реализации залогов. При следовании действующим нормативным актам залог, как
правило, реализуется не более чем за половину его действительной стоимости.
Продажа залога осуществляется через систему тендеров, что и обусловливает
резкое уменьшение его цены вследствие плохой организации торгов. Поэтому
банки-кредиторы требуют от потенциальных заемщиков 200% залогового обеспечения
кредита, что не под силу большинству малых предприятий [4, С. 209].
Все это формирует у
предпринимателей определенный стереотип в отношении банковских кредитов,
способствует низкой заинтересованности в сотрудничестве с банками. Ряд банкиров
говорят о том, что сейчас главной задачей для банковского сообщества, в том
числе государства, является привлечение интереса со стороны малого бизнеса к банкам.
Малый бизнес в основной своей массе не воспринимает банк как институт, готовый
к сотрудничеству с бизнесом. Банки постоянно вынуждены работать с недостоверной
отчетностью, предоставляемой предпринимателями. Малый бизнес заранее уверен,
что он не понравится банку, поэтому старается приукрасить собственное
положение.
Банки, ориентированные на
работу с малым бизнесом, стараются учитывать особенности данной категории
клиентов. Это, прежде всего относится к небольшим банкам, поведение которых
обычно характеризуется большей гибкостью по сравнению с крупными банками.
Банки готовы сокращать
сроки рассмотрения заявок на получение кредита в случае их небольших размеров,
но при этом либо у банка должна быть отлажена система оценки заемщиков, по типу
скоринг-модели или экспресс-анализа, либо он кредитует заемщиков с хорошей
кредитной историей.
Однако на сегодняшний
день банки практически не готовы сотрудничать с малыми предприятиями на самом
критичном для них этапе - стартовом. Потребность в стартовом банковском
кредитовании удовлетворена, по экспертным оценкам, на 4-7%, а по расчетам
Ресурсного центра малого предпринимательства, потенциальная емкость этого рынка
- более 5 млрд. долларов. А между тем, как показывает зарубежная практика, это
сотрудничество не просто реально, но и взаимовыгодно. Например, в Европе,
несмотря на то, что в достаточном объеме присутствуют другие источники
венчурного финансирования, банки финансируют треть старт-апов. И им еще
приходится конкурировать в этом сегменте. В России же для банков в этой области
особых конкурентов нет. Венчурные фонды только набирают силы и даже совместно с
государством, бизнес-ангелами и их объединениями они пока не могут
удовлетворить потребность начинающих предпринимателей в финансировании. И в
этой ситуации банки, сотрудничая с вновь образующимися компаниями малого
бизнеса, могли бы создать себе достаточно большой задел на будущее, застолбить
за собой определенные региональные и отраслевые ниши или даже стать одним из их
формообразующих факторов, а также усовершенствовать свое представление о рисках
в интересующих отраслях и регионах. Малому бизнесу же сотрудничество с банками
могло бы позволить с самого начала научиться планировать деятельность, анализировать
рынок, управлять финансовыми потоками и адекватно оценивать свое реальное
состояние. Пока же финансированием реальных старт-апов занимаются
преимущественно даже не венчурные фонды, а бизнес-ангелы - успешные бизнесмены
и специалисты, желающие вложить свои деньги в реальное производство и получить
с них приличный доход. Тем более что для первоначального финансирования
большинства проектов достаточно зачастую 15-20 тысяч долларов.
В последние годы на рынке
кредитования малого бизнеса происходят достаточно значимые изменения. Первое,
что хотелось бы отметить — банки, и государство стали уделять этому сегменту
больше внимания. Например, уже реализуется ряд программ — и на уровне областей,
и на уровне Минэкономразвития — связанных с разделением в том или ином виде
рисков по кредитованию банками малого бизнеса. Это и система компенсации
стоимости поручительства, и инструментарий поручительства со стороны государственных
фондов. Начата реализация программы по поддержке экспортно-ориентированных
предприятий. В целом, все эти позитивные изменения позволяют говорить о том, что
начинает появляться реально работающий механизм по государственному содействию
развитию малого бизнеса.
ВТБ 24 сотрудничает с
объектами региональной инфраструктуры в области кредитования малого бизнеса. В
частности, активно используется механизм взаимодействия с уполномоченными
организациями, выступающими поручителями по кредитам для малого бизнеса — в
этом направлении банк работает с Фондом содействия кредитованию малого бизнеса
Москвы и более чем с 20 региональными организациями.
Еще два-три года назад на
рынке действовали всего два-три крупных банка плюс ряд региональных, которые
специализировались на данном направлении. А сегодня на этот сегмент рынка
активно выходят крупные сетевые банки. Своеобразным катализатором этому
послужила программа, которая развивается в рамках группы Внешторгбанка с 2004
года. Ее дальнейшее развитие происходит во Внешторгбанке 24, для которого работа
по кредитованию малого бизнеса — одно из стратегических направлений развития.
Рынок кредитования малого
бизнеса будет расти, и этот вывод вытекает из анализа очевидных фактов. На
сегодня у нас доля малых предприятий в валовом продукте составляет порядка 12%.
Такова же примерно и доля занятости. А в большинстве стран этот показатель
гораздо выше — от 50% до 70%. Можно смело предположить, что при наблюдаемой
сегодня в стране макроэкономической динамике, малого предпринимательства будут
постепенно подтягиваться к мировым. Соответственно, и рынок кредитования будет
расти существенными темпами.
Одна из проблем малого
предпринимателя — залоги. В ВТБ 24 достаточно гибкий подход к залогам. У многих
малых предприятий часто нет необходимого фиксированного залога в виде основных
средств или недвижимости. Поэтому берутся во внимание оборотные средства,
торговое оборудование, а по совсем небольшим кредитам размером до 850 тыс. руб.
на сегодняшний день банк кредитует вообще без залога. Банк кредитует исключительно
под бизнес. Бизнес должен существовать, работать, подтверждая свою способность
погасить кредит. У банка есть определенные технологии, по которым кредитные
эксперты оценивают бизнес заемщика, его реальные денежные потоки. Эксперты
помогают заемщику, консультируют его, потому что многие впервые приходят за
кредитом в банк.
На сегодняшний день
российский бизнес гораздо менее прозрачен, если сравнивать его с мировой
практикой. Схожая ситуация и во многих латиноамериканских странах, и в
Восточной Европе. Однако уровень прозрачности сегодня заметно растет, в немалой
степени и за счет того, что банки отвоевывают клиентов у «серого» и «черного»
рынков. Потому что когда фирма кредитуется в банке, то получаешь «белые»
деньги, другого варианта не существует. Поэтому работа банков априори ведет к
повышению уровня цивилизованности российского бизнеса [18].
Спрос со стороны малых
предприятий огромен. По оценкам экспертов, в целом его объемы оцениваются в
$25-30 млрд. Удовлетворенный спрос, то есть сегодняшний кредитный рынок малого
бизнеса в стране — $6-8 млрд. То есть совершенно очевидно, что спрос
значительно опережает предложение. При этом спрос достаточно разный, и ВТБ 24 разрабатывает
разные кредитные продукты. Некоторые достаточно новые и необычные для
российского банковского рынка.
Среди «новинок»
продуктового ряда хотелось бы отметить специальные кредиты для микрофинансовых
организаций. На сегодняшний день на рынке работают различные потребительские
кооперативы, фонды и другие компании, которые занимаются микрокредитованием —
средний объем размер кредита, как правило, не превышает $1 тыс.). И здесь
весьма перспективной оказывается совместная работа с такими организациями, когда
банк их кредитует. Ведь для банков давать кредит в 10-20 тысяч рублей,
анализируя бизнес и проводя все необходимые банковские процедуры -
нерентабельно. Именно поэтому банку интересно финансирование таких
микрофинансовых организаций на базе анализа качества их кредитного портфеля. Выдаются
кредиты по $100-200 тыс., а они в свою очередь превращают эти деньги в кредиты,
условно говоря, по 30 тыс. руб. Микрофинансовые организации решают важную роль
в становлении малых предприятий на этапе старта и получения оборотных средств
для развития бизнеса. Кредитные кооперативы являются своеобразным
бизнес-инкубатором для роста микроклиентов и перехода их на обслуживание в
банк, где, соответственно, они могут получить более крупные кредиты на развитие
бизнеса в дальнейшем.
Если говорить о
финансировании «под идею», финансировании стартового бизнеса, то не секрет, что
с точки зрения банка это - очень рискованно. Проектное финансирование в области
малого бизнеса непросто даже представить. Здесь, скорее, место для венчурных
фондов, участвующих в капитале стартующих предприятий. Однако сейчас банк прорабатывает
пилотный проект по финансированию стартового бизнеса в составе своеобразного
тройственного союза. Стратегический партнер, заинтересованный в развитии бизнеса
в определенной отрасли, местная администрация и наш банк. Например, в случае хлебопекарного
бизнеса, когда оптовый поставщик сырья для изготовления хлебобулочных,
кондитерских изделий заинтересован в развитии сети малых точек непосредственно
на местах, где эти кондитерские изделия будут выпекать и продавать, местная
администрация, заинтересованная в развитии определенного направления и готовая
разделить риски с банком по кредитованию стартующих бизнесменов [17]. При таких
условиях банк готов входить в эти проекты.
Кроме того, у банка
подписаны соглашения о сотрудничестве в области поддержки малого и среднего
предпринимательства с уполномоченными структурами ряда российских регионов. В
соответствии с условиями соглашений, Внешторгбанк 24 предоставляет кредиты
субъектам малого предпринимательства под поручительство уполномоченных
региональных организаций, которые возмещают до 90% от стоимости покупки поручительства.
Такое поручительство является платным, но сумма его покупки предпринимателю
возмещается за счет средств федерального бюджета, полученных субъектом Федерации
на государственную поддержку предпринимательства. По такой схеме также может
кредитоваться и стартап. Подобные соглашения уже подписаны с Ленинградской,
Архангельской областями, республикой Удмуртия, а в ближайшее время будут
подписаны еще с рядом российских регионов.
Основные сложности, с
которыми сталкиваются малые предприятия, — это нехватка оборотных средств,
недостаточность ресурсов на приобретение нового оборудования или помещения. В
основном такие вопросы можно решить с помощью специализированного банковского
кредита. За рубежом существуют четко отлаженные схемы финансового содействия
малому бизнесу, но в нашей стране до последнего времени с этим было достаточно
трудно.
В прошлом году второй по
величине банк страны — Внешторгбанк — разработал и внедрил специальную
программу кредитования малого бизнеса, которая стартовала в столице, а затем и
по всей России. А с лета 2005 года эстафету в реализации этой программы
перехватил его дочерний банк — Внешторгбанк 24.
На сегодняшний день
Внешторгбанк 24 является лидером в кредитовании малого и среднего бизнеса во
многом благодаря тому, что предлагаемые им условия значительно упрощают жизнь
предпринимателям. Создавая специальные кредитные продукты для малого бизнеса,
Внешторгбанк 24 учел основные проблемы потенциальных заемщиков и разработал два
специализированных вида кредитов — микрокредиты и кредиты на развитие бизнеса.
Воспользовавшись любым из данных предложений банка, малые предприятия —
заемщики получают средства в необходимом объеме, не теряя много времени, так как
заявка на получение кредита рассматривается очень оперативно.
Требования Внешторгбанка
24 к потенциальным заемщикам можно назвать максимально мягкими — у заемщика
должен быть действующий доходный бизнес, представленный на рынке от полугода, а
также наличие обеспечения в виде залога.
Кстати, подход к залогу
тоже достаточно гибок — в этом качестве могут выступать автотранспортные
средства, объекты недвижимости, оборудование и даже товар в обороте. Годовая
выручка малого предприятия-заемщика не должна превышать 83 миллиона рублей.
Предоставляя качественные
услуги для предприятий малого бизнеса, Внешторгбанк 24 стремится сделать свои
ресурсы как можно более доступными для заемщиков. Кредитные технологии банка
постоянно совершенствуются, формальные процедуры упрощаются, расширяется и
список возможного залогового имущества. Все это ведет к тому, что количество
обращений малых предпринимателей с каждым месяцем стремительно увеличивается.
Как отмечают специалисты, свойственное ранее недоверие малого бизнеса к банковским
услугам уходит в прошлое.
Кредитование малого и
среднего бизнеса является одной из приоритетных услуг Внешторгбанка 24, поэтому
получить здесь средства на развитие бизнеса довольно просто. Достаточно
позвонить в банк, договориться о встрече с кредитным экспертом, который изучит
бизнес заемщика и оценит предлагаемое в залог имущество. Дальнейшие шаги — уже
за самим заемщиком, перед которым станет задача о наиболее эффективном использовании
кредитных ресурсов. Чтобы небольшое предприятие превратилось в одну из ведущих
компаний в России. Причем — в рекордно короткие сроки!
Согласно данным
Всероссийского центра изучения общественного мнения, лишь 16% малых предприятий
постоянно пользуются банковскими кредитами. Только каждый 4-й когда-либо
получал средства в банки. Примерно столько же предпринимателей хотели бы взять
кредит, но по какой либо причине не смогли. При этом половина опрошенных
бизнесменов вообще никогда не обращались в банк, считая это, скорее всего, безнадежным
делом. Для развития бизнеса используются в основном собственные средства,
получаемая прибыль и деньги, занятые у родственников и знакомых. В общем, как
видим большинство банков, по-прежнему не желает рисковать по мелочам, отдавая
предпочтение крупным клиентам.
В рамках Внешторгбанка
эта программа реализуется уже в течение полутора лет. Сейчас с лета этого года
программа дальнейшего развития будет происходить в рамках «Розничные услуги»,
работающая под брендом «Внешторгбанк 24».
Как правило, приходят за
кредитами предприятия, у которых уже есть свой бизнес. Они начали свой бизнес в
течение шести месяцев, после этого они приходят в банк и мы готовы их
финансировать на развитие этого бизнеса. «Внешторгбанк- 24» сейчас очень
активно эту программу будет развивать в дальнейшем. На сегодняшний день ВТБ 24 работает
в 21 городе, то к концу года это будет уже 30 городов и к концу следующего года
— около 50-ти региональных филиалов «Внешторгбанк — 24» будет обслуживать малый
бизнес в рамках этой программы. Нельзя выделить какую-то особенную активность
того или иного города. Спрос велик. И, по сути, в каждом городе, будь он
большой или не очень большой город спрос со стороны малого бизнеса на эти
услуги, на кредитные продукты в рамках программы «Внешторгбанк — 24» высок.
ВТБ 24 предлагает два
вида кредитов — это так называемые — микрокредиты — суммы до 1 миллиона рублей
и кредиты на развитие бизнеса — это, по сути дела, верхняя планка не ограничена
но, как правило, это кредиты порядка 100 тысяч долларов.
В зависимости от
финансового положения заемщика ему выдается тот или иной кредит. Кредитный
эксперт выезжают к заемщику. Непосредственно на месте смотрит его действующий
бизнес и без того, чтобы заемщику было необходимо заполнять много-много разных
ненужных бумаг, дела основываясь на анализе того, что эксперт увидел.
Как правило, человека,
который обращается за кредитом, интересуют два момента — насколько высокий
процент будет и как быстро оформят все бумаги и выдадут кредит. Для малого
бизнеса сегодня важнее гораздо получить кредит, иметь нормальный доступ к
кредитным ресурсам. Скорость обработки кредитной заявки очень важна. Три дня микрокредиты,
10 дней — кредиты на развитие бизнеса. Это тот нормативный срок, в который мы
стараемся укладываться. Ну, а то, что касается процентных ставок - это рыночные
процентные ставки. Диапазон их порядка 15 % по рублям, около 13 % по валюте.
Это нормальная приемлемая ставка, которая сегодня востребована рынком. В месяц сейчас
выдаются 250-300 кредитов, это, в общем, очень неплохой показатель.
Залог необходим, но у ВТБ
24 очень гибкий подход к залогу. Берутся и товарооборот, и недвижимость. И
более того, сейчас в рамках этой программы ВТБ 24 готов предоставлять, так
называемые, бланко-кредиты, то есть кредиты без обеспечения. Как правило, у
малого предприятия не всегда есть недвижимость и не всегда есть какой-то достойный
товар. Как правило, комбинация того или иного залога существует. Если предприятие
работает, оно имеет торговое оборудование, не оборудование, а какое-то торговое
предприятие. У этого предприятие есть торговое оборудование, есть товар в
обороте, банк готов это брать. Даже если не хватает немного залога, ВТБ прокредитуем
частично и без обеспечения.
9 сентября произошло открытие
Кредитного центра в Москве — новый формат ведения бизнеса для ВТБ 24, который
позволит предоставить клиентам широкий спектр банковских услуг. Приоритетными
направлениями являются ипотечное, потребительское кредитование, а также
кредитование малого бизнеса.
Москве сейчас работает 3
кредитных центра банка и один в Санкт-Петербурге. К 2010 г. ВТБ 24 планирует
увеличить количество кредитных центров в Москве до 5. В конце текущего года
начнут работу кредитные центры в Тюмени, Екатеринбурге и Нижнем Новгороде, а к
2010 году предполагается создать аналогичные центры в 16 ключевых регионах России.
ВТБ 24 намерен подписать
договор о предоставлении информации о клиентах с Национальным бюро кредитных
историй. Ведутся переговоры и с другими кредитными бюро, но основным партнером
является НБКИ. Кроме того, ВТБ 24 собирается создать собственный архив
информации о заемщиках.
Одним из преимуществ кредитования
ВТБ 24 является простота получения кредита, которая достигает за счет
использования новых технологий оценки финансового состояния заемщика и наличия
кредитных экспертов высокой квалификации. В частности, кредитный эксперт может
оказывать квазиконсалтинговые услуги.
Те банки, которые
работают с клиентами малого бизнеса на сегодняшний день в России, используют
технологию, рожденную в середине 1990-х годов, которая появилась здесь с
приходом Европейского банка реконструкции и развития (ЕБРР). Технология
действует до сих пор, немного модернизировалась, улучшилась и приноровилась к
российскому рынку. То есть программа кредитования малого и среднего бизнеса ВТБ
24 также использует опыт западных банков и дополнительно практику кредитования
на территории Российской Федерации. Банки, которые работают по данному
направлению, технологией сильно не отличаются. Самое основное — это выезд на
место бизнеса, определение залога не по бумагам, а воочию. Должна быть облегченная
форма заявки, потому что клиенты не хотят заполнять достаточно большой объем
бумаг, а также нужен лояльный подход к обеспечению. Каким образом банк далее
развивает уже каждый из этих пунктов — это уже вопрос самого банка, насколько
он готов брать на себя риски.
Все стараются на
сегодняшний день в первую очередь облегчить тяготы по обеспечению, т.к. клиенты
жалуются на его отсутствие. У ВТБ 24 есть определенные технологии оценки
клиентов по их финансовому состоянию, банк берет на себя риски обеспечения необеспеченных
кредитов. Микрокредиты в разных банках — это разные суммы, которые выдают без
обеспечения.
Банк идет на риск и
выдаем кредиты с собственным капиталом до 25% и выдает кредиты на развитие
бизнеса — это кредиты свыше 850 тысяч рублей и до 143 млн. рублей на срок до 5
лет с возможностью выдачи части. Под проценты кредит может быть не обеспечен.
Это тоже одно из послаблений, которое банк сейчас успешно внедряет.
Что касается скоринга, то
на сегодняшний день ВТБ 24 не имеет скоринговой программы по кредитованию
малого и среднего бизнеса, но она в очень активной разработке. Планируется к
концу года заявить о новом продукте — скоринг для микропредпринимателей, т.е.
это сумма до 850 тысяч рублей. Но не исключаю, что на выходе может быть и
больше.
Существуют здесь как и
плюсы, так и минусы. В первую очередь, это отсутствие исторической базы. Любая
скоринговая система должна строиться на исторической базе, на клиентской базе
самого банка или аналогичных банков, работающих по таким же программам. В России
сейчас этого нет. Если по потребительскому кредитованию начали работать в
начале этого века, и уже какая-то база существует, то по малому бизнесу пока
только разрабатывается скоринг, потому что считается, что скоринговая карта,
которая на сегодняшний день есть, не идеальна. Она позволяет выдачу кредитов
ненадежным заемщикам, а также отсеивает некоторую часть хороших, надежных
клиентов (эксперимент мы проводили). И приходится все равно подключаться
человеку и принимать решение о выдаче кредита «вручную».
«ВТБ 24» (закрытое
акционерное общество) образован на базе «Гута-банка», не выдержавшего
межбанковского кризиса 2004 года и выкупленного Внешторгбанком (ныне «ВТБ») при
активном участии Банка России. В 2005 году «Гута-банк» переименован в ЗАО
«Внешторгбанк Розничные услуги», а в ноябре 2006 года — в «ВТБ 24» (ЗАО).
Основным акционером ВТБ
24 является ОАО Банк ВТБ (98,19% акций). Уставный капитал ВТБ 24 составляет 30
млрд. рублей, размер собственных средств (капитала) — 45,6 млрд. рублей. С июля
2005 года банком руководит Президент-Председатель правления Михаил Задорнов, с
ноября 1997 по май 1999 (включая август 1998 года) занимавший пост министра
финансов, а с декабря 1999 года являвшийся членом Комитета Госдумы РФ по
бюджету и налогам.
Банк специализируется на
обслуживании физических лиц, индивидуальных предпринимателей и организаций
малого бизнеса. Стремительно расширяющаяся сеть продаж «ВТБ 24» состоит из
более 150 отделений в Москве, Московской области и в других российских городах
(67 филиалов). Численность персонала — около 5 тысяч человек.
С растущими активами в
размере более 168 млрд. рублей занимает 14-е место по активам-нетто рядом с
банком из группы «ВТБ» — Промышленно-Строительным Банком (Санкт-Петербург),
сеть отделений которого «ВТБ 24» сейчас активно осваивает. По капиталу — 18-е
место (19 млрд. рублей)
Одним из приоритетных
направлений деятельности банка является кредитование. ВТБ 24 предлагает
различные виды кредитов для предприятий и индивидуальных предпринимателей в
рублях и иностранной валюте, предоставляя российским предприятиям возможность
успешно выполнять различные бизнес-задачи. ВТБ 24 реализует программу
кредитования предприятий и индивидуальных предпринимателей в Москве и регионах
России.
Главные требования,
предъявляемые ВТБ 24 к заемщикам — это наличие действующего прибыльного бизнеса
и работа на рынке от полугода в сфере торговли, услуг или производства.
Существуют следующие
кредитные продукты
·
«Микрокредит» —
если необходимо финансирование до 850000 рублей (эквивалент в долларах США или
евро) на срок до 2 лет;
·
«Кредит на
развитие бизнеса» — если необходима сумма до 5000000 долларов США (эквивалент в
рублях или евро) на срок до 5 лет.
При использовании
кредитных средств по указанным выше программам заемщик имеет следующие
преимущества:
·
возможность
оперативного получения средств для выполнения бизнес-задач;
·
минимальный пакет
документов, который поможет подготовить эксперт ВТБ 24;
·
различные формы
кредитования;
·
гибкий подход к
обеспечению: ВТБ 24 принимает в залог различное имущество, в т. ч.
недвижимость, оборудование, автотранспорт, товары в обороте;
·
возможно
предоставление кредита без залога имущества;
·
не обязательно
иметь кредитную историю, действующий расчетный счет в банке, бизнес-план на
финансируемую сделку;
·
управление
счетами и погашение задолженности можно осуществлять через систему
дистанционного обслуживания «Клиент—Банк».
Продукт «Микрокредит»
разработан для компаний, которым необходимо финансирование до 850 000 рублей
(эквивалент в долларах США или евро) на срок до 2 лет.
В основу технологии
кредитования малого бизнеса положена международная практика предоставления
финансовых услуг в этой сфере. Один из ключевых аспектов данной технологии —
финансовый анализ кредитоспособности заемщика, проводимый на основе данных о
реальном состоянии бизнеса клиента. При проведении анализа сотрудник банка ВТБ
24 дает необходимые консультации, помогает составить справедливую оценку и адекватные
формы управленческой отчетности. Кредитные технологии ВТБ 24 позволяют
проводить оценку кредитоспособности и принимать решение о предоставлении
кредита в сжатые сроки.
Условия предоставления
·
Сумма — до 850
000 рублей (или эквивалент в долларах США или евро);
·
Срок кредита — до
24 месяцев;
·
Срок рассмотрения
заявки — 1—3 дня;
·
Процентная ставка
— фиксированная (определяется банком индивидуально для каждого клиента);
·
Погашение —
равными взносами или по индивидуальному графику;
·
Обеспечение — без
залога.
Формы предоставления
Разовый кредит. Клиент
приобретает право на получение суммы кредита одной суммой единовременно.
Овердрафт. Форма кредита,
которая позволяет оперативно провести необходимые платежи в случае временного
отсутствия или недостаточности денежных средств на расчетном или текущем счете компании
в ВТБ 24.
Банковская гарантия
ВТБ 24 предоставляет
клиентам различные виды банковских гарантий: тендерные гарантии, гарантии
исполнения обязательств по договору, гарантии возврата платежа и гарантии
таможенных платежей. Гарантии предоставляются на различные цели и их условия
зависят от особенностей конкретной сделки.
Получить кредит можно для
реализации различных задач
·
Пополнение
оборотных средств предприятия;
·
Приобретение
имущества (автотранспорт, оборудование, недвижимость и т. д.);
·
Покупка, ремонт
или реконструкция помещений;
·
Покупка векселей.
Продукт «Кредит на
развитие бизнеса» разработан для компаний, которым необходима сумма до 5.000.000
долларов США (эквивалент в рублях или евро) на срок до 5 лет.
Условия предоставления
·
Сумма — до
5.000.000 долларов США (эквивалент в рублях РФ или евро);
·
Срок кредита — до
60 месяцев;
·
Процентная ставка
— фиксированная (определяется банком индивидуально для каждого клиента);
·
Погашение —
равными взносами или по индивидуальному графику;
·
Обеспечение —
возможно частичное обеспечение залогом.
Формы предоставления
Разовый кредит
Овердрафт
Кредитная линия. В случае
более сложной формы необходимого клиенту финансирования ВТБ 24 предлагает
рамочную кредитную линию, при которой возможно получение нескольких кредитов в
рамках открытого лимита кредитной линии. ВТБ 24 предлагает возобновляемую
кредитную линию, в рамках которой клиент самостоятельно может получать
финансирование в необходимых ему объемах и на необходимые сроки. Гибкие условия
возобновляемой кредитной линии дают клиенту практически неограниченные
возможности использования схемы кредитования.
ВТБ 24 предлагает своим
партнерам разнообразные формы сотрудничества в этой области. Одним из новых
направлений деятельности банка в данном сегменте рынка является покупка у
третьих лиц кредитов, выданных субъектам малого бизнеса. К субъектам малого
бизнеса относятся юридические лица или индивидуальные предприниматели с объемом
годовой выручки, не превышающим 90 миллионов рублей.
Организации могут быть заинтересованы
в продаже портфеля кредитных продуктов, предоставленных предприятиям малого
бизнеса, с уступкой прав требования в пользу ВТБ 24.
Рассмотрим схемы
кредитования малого и среднего бизнеса еще и на примере Банка «Банк 24» [20].
Кредитование
в форме овердрафта возможно при условии, что Заемщик находится на
расчетно-кассовом обслуживании в Банке24.ру не менее 3-х месяцев. При этом регулярность
поступлений выручки на расчетный счет Заемщика в Банке24.ру составляет не реже
одного раза в неделю.
|
Цель кредита
|
пополнение оборотных средств
|
|
Сумма кредита
|
от 100 000 до 500 000 рублей,
кратная одной тысяче рублей
|
|
Срок кредита
|
от 1 до 3 месяцев, кратный 1 месяцу
|
|
Процентная ставка
|
16% годовых при отсутствии
имущественного обеспечения по кредиту;
15% годовых при наличии
имущественного обеспечения.
|
|
Комиссия за открытие ссудного счета
|
2% от суммы лимита овердрафта
взимается единовременно в день открытия ссудного счета.При наличии
положительной кредитной истории в Банке24.ру — 1,5% от суммы лимита
овердрафта.
|
|
Погашение основного долга
|
в конце срока действия договора
|
|
Погашение процентов
|
ежемесячно
|
|
Определение лимита кредитования
|
от 4 часов
|
|
Обеспечение
|
для
Заемщика-индивидуального предпринимателя — поручительство супруга (при
наличии такового, независимо от достаточности дохода);
для Заемщика-юридического
лица — поручительство учредителей (физических лиц), руководителя предприятия,
принимаемое без оценки платежеспособности поручителей;
залог оборудования (кроме
офисного и МБП) и/или автотранспорта (страховка от рисков ущерба и угона не
требуется) общей стоимостью, превышающей сумму кредита не менее чем на 25%.
|
Кредит
предоставляется автоматически при выставлении клиентом платежного поручения при
отсутствии или недостаточности денежных средств на расчетном счете Заемщика в
Банке24.ру. Погашение кредита происходит автоматически (без дополнительного
обращения в Банк) по мере поступления денежных средств на расчетный счет Заемщика
в Банке24.ру.
|
Цель кредита
|
пополнение оборотных средств
|
|
Сумма кредита
|
от 100 000 до 500 000 рублей,
кратная одной тысяче рублей
|
|
Срок кредита
|
от 2 до 12 месяцев, кратный 1
месяцу
|
|
Процентная ставка
|
16% годовых при наличии у Заемщика
одновременно положительной кредитной истории в Банке24.ру за последние 180
дней и регулярных оборотов по расчетному счету в Банке24.ру в течение
последних 3-х месяцев;
17% годовых при наличии у Заемщика положительной кредитной истории в
Банке24.ру за последние 180 дней или регулярных оборотов по расчетному счету
в Банке24.ру в течение последних 3-х месяцев;
18% годовых в иных случаях.
|
|
Комиссия за открытие
ссудного счета
|
2% от суммы кредита, но не менее 6
000 рублей, уплачивается единовременно в день открытия ссудного счета
|
|
График погашения
|
определяется по выбору Заемщика:
·
погашение
кредита и процентов производится равными ежемесячными (аннуитетными) платежами.
Досрочное погашение кредита возможно только в случае полного погашения
ссудной задолженности, с уведомлением Банка о досрочном погашении не менее
чем за 3 рабочих дня;
·
погашение
основного долга производится равными долями, погашение процентов производится
ежемесячно. Возможно досрочное погашение кредита полностью или частями, с
уведомлением Банка о досрочном погашении не менее чем за 3 рабочих дня.
При досрочном погашении всей суммы
основного долга проценты за пользование кредитом начисляются на фактический
остаток ссудной задолженности за фактическое количество дней, прошедшее с
момента уплаты последнего платежа до даты полного погашения кредита.
|
|
Определение лимита кредитования
|
от 4 часов
|
|
Выдача кредита
|
осуществляется на расчетный счет
Заемщика в Банке
|
|
Обеспечение
|
для Заемщика-индивидуального
предпринимателя — поручительство супруга (при наличии такового, независимо от
достаточности дохода);
для Заемщика-юридического
лица — поручительство учредителей (физических лиц), руководителя предприятия,
принимаемое без оценки платежеспособности поручителей.
|
«Снижай ставку сам»
|
Цель кредита
|
пополнение оборотных средств
|
|
Сумма кредита
|
от 300 000 до 2 000 000 рублей,
кратная одной тысяче рублей
|
|
Срок кредита
|
от 2 до 12 месяцев, кратный 1
месяцу
|
|
Процентная ставка
|
15% годовых, при наличии у Заемщика
одновременно положительной кредитной истории в Банке24.ру за последние 180
дней и регулярных оборотов по расчетному счету в Банке24.ру в течение
последних 3-х месяцев; 16% годовых, при наличии у Заемщика положительной кредитной
истории в Банке24.ру за последние 180 дней или регулярных оборотов по
расчетному счету в Банке24.ру в течение последних 3-х месяцев;
17% годовых в иных случаях.
|
|
Комиссия за открытие ссудного счета
|
2% от суммы кредита уплачивается
единовременно в день открытия ссудного счета
|
|
Погашение основного долга
|
производится равными долями,
погашение процентов производится ежемесячно. Возможно досрочное погашение
кредита полностью или частями, с уведомлением Банка о досрочном погашении не
менее чем за 3 рабочих дня. При досрочном погашении всей суммы основного
долга проценты за пользование кредитом начисляются на фактический остаток
ссудной задолженности за фактическое количество дней, прошедшее с момента
уплаты последнего платежа до даты полного погашения кредита.
В случае досрочного погашения
основного долга в сумме, двукратно превышающей ежемесячный платеж по кредиту,
процентная ставка снижается на 0,5 процентных пункта (до 2-х раз), при дальнейшем
досрочном погашении кредита в двукратном размере процентная ставка снижается
на 1 процентный пункт ежемесячно, но не ниже ставки 12% годовых.
|
|
Выдача кредита
|
осуществляется на расчетный счет
Заемщика в Банке
|
3 рабочих дня
|
|
Обеспечение
|
для
Заемщика-индивидуального предпринимателя — поручительство супруга (при
наличии такового, независимо от достаточности дохода);
для Заемщика-юридического
лица — поручительство собственников бизнеса, руководителя предприятия,
принимаемое без оценки платежеспособности поручителей;
имущественное обеспечение
стоимостью, превышающей на 25% сумму кредита (залог товаров в обороте
допускается в размере не более 50% от залоговой массы).
|
«Инвестиционный»
|
Цель кредита
|
капитальные затраты (приобретение
оборудования, ремонт помещения и т.п.)
|
|
Сумма кредита
|
от 300 000 до 2 000 000 рублей,
кратная одной тысяче рублей
|
|
Срок кредита
|
от 2 до 60 месяцев, кратный 1
месяцу
|
|
Процентная ставка
|
|
|
От 2 до 12 мес.
|
От 13 до 36 мес.
|
От 37 до 60 мес.
|
|
Наличие у Заемщика одновременно
положительной кредитной истории в Банке за последние 180 дней и регулярных
оборотов по расчетному счету в Банке в течение последних 3-х месяцев
|
14%
|
16%
|
17%
|
|
Наличие у Заемщика положительной
кредитной истории в Банке за последние 180 дней или регулярных оборотов по
расчетному счету в Банке в течение последних 3-х месяцев
|
15%
|
17%
|
18%
|
|
Иные случаи
|
16%
|
18%
|
19%
|
|
|
Комиссия за открытие ссудного счета
|
2% от суммы кредита уплачивается
единовременно в день открытия ссудного счета
|
|
График погашения
|
определяется по выбору Заемщика:
·
погашение
кредита и процентов производится равными ежемесячными (аннуитетными) платежами.
Досрочное погашение кредита возможно только в случае полного погашения
ссудной задолженности, с уведомлением Банка о досрочном погашении не менее
чем за 3 рабочих дня;
·
погашение
основного долга производится равными долями, погашение процентов производится
ежемесячно. Возможно досрочное погашение кредита полностью или частями, с
уведомлением Банка о досрочном погашении не менее чем за 3 рабочих дня.
При досрочном погашении всей суммы
основного долга проценты за пользование кредитом начисляются на фактический
остаток ссудной задолженности за фактическое количество дней, прошедшее с
момента уплаты последнего платежа до даты полного погашения кредита.
|
|
Выдача кредита
|
осуществляется на расчетный счет
Заемщика в Банке
|
|
Срок принятия решения о возможности
кредитования
|
3 рабочих дня
|
|
Обеспечение
|
для
Заемщика-индивидуального предпринимателя — поручительство супруга (при
наличии такового, независимо от достаточности дохода);
для Заемщика-юридического
лица — поручительство собственников бизнеса, руководителя предприятия,
принимаемое без оценки платежеспособности поручителей;
имущественное обеспечение
стоимостью, превышающей на 25% сумму кредита:
·
при
кредитовании на срок до 12 месяцев залог товаров в обороте допускается в
размере не более 50% от залоговой массы,
·
в качестве
залога может выступать приобретаемое имущество (оборудование);
·
при
кредитовании на срок свыше 12 месяцев в качестве обеспечения могут выступать
автотранспортные средства, жилая и коммерческая недвижимость,
производственное оборудование.
Автотранспорт, предоставляемый в
залог, должен быть застрахован от рисков ущерба и угона, выгодоприобретателем
по договору страхования должен выступать Банк. При залоге жилой недвижимости
залогодатель должен являться единственным собственником квартиры, иметь
дополнительное жилье, квартира должна быть без прописки, при кредитовании на
срок от 36 до 60 месяцев застрахована в пользу Банка.
|
«Бизнес-Авто»
|
Цель кредита
|
на покупку автомобиля
|
|
Сумма кредита
|
от 200 000 до 2 000 000 рублей,
кратная одной тысяче рублей, но не более 85% стоимости приобретаемого нового
автомобиля, 70% — подержанного автомобиля
|
|
Срок кредита
|
от 2 до 60 месяцев, кратный 1
месяцу, при приобретении легкового автомобиля отечественного производства
срок кредита составляет от 2 до 30 месяцев
|
|
Процентная ставка
|
|
|
От 2 до 12 мес.
|
От 13 до 36 мес.
|
От 37 до 60 мес.
|
|
Наличие у Заемщика одновременно
положительной кредитной истории в Банке за последние 180 дней и регулярных
оборотов по расчетному счету в Банке в течение последних 3-х месяцев
|
14%
|
16%
|
17%
|
|
Наличие у Заемщика положительной
кредитной истории в Банке за последние 180 дней или регулярных оборотов по
расчетному счету в Банке в течение последних 3-х месяцев
|
15%
|
17%
|
18%
|
|
Иные случаи
|
16%
|
18%
|
|
|
Комиссия за открытие ссудного счета
|
2% от суммы кредита уплачивается
единовременно в день открытия ссудного счета. Сумма комиссии не может
удерживаться из предоставленного кредита
|
|
График погашения
|
определяется по выбору Заемщика:
·
погашение
кредита и процентов производится равными ежемесячными (аннуитетными)
платежами. Досрочное погашение кредита возможно только в случае полного
погашения ссудной задолженности, с уведомлением Банка о досрочном погашении
не менее чем за 3 рабочих дня;
·
погашение
основного долга производится равными долями, погашение процентов производится
ежемесячно. Возможно досрочное погашение кредита полностью или частями, с
уведомлением Банка о досрочном погашении не менее чем за 3 рабочих дня.
При досрочном погашении всей суммы
основного долга проценты за пользование кредитом начисляются на фактический
остаток ссудной задолженности за фактическое количество дней, прошедшее с
момента уплаты последнего платежа до даты полного погашения кредита.
При несвоевременном исполнении
обязательств по погашению кредита и/или уплате процентов штрафная неустойка в
виде пени составляет 1% в день от суммы невыполненных обязательств.
|
|
Выдача кредита
|
осуществляется на расчетный счет
Заемщика в Банке
|
|
Срок принятия решения о возможности
кредитования
|
3 рабочих дня
|
|
Обеспечение
|
для
Заемщика-индивидуального предпринимателя — поручительство супруга (при
наличии такового, независимо от достаточности дохода);
для Заемщика-юридического
лица — поручительство собственников бизнеса, руководителя предприятия,
принимаемое без оценки платежеспособности поручителей;
залог автомобиля,
транспорт должен быть застрахован от рисков ущерба и угона, выгодоприобретателем
по договору страхования выступает Банк.
|
|
Требования к автомобилю
|
новый автомобиль, либо подержанный
автомобиль (не старше 6 лет, включая срок кредита), приобретаемый через салон
|
|
Требования к Заемщику
|
·
Заемщик
является юридическим лицом или индивидуальным предпринимателем;
·
регистрация и
постановка на налоговый учет в городах Екатеринбург, Верхняя Пышма, Арамиль,
Березовский;
·
Заемщик-индивидуальный
предприниматель имеет гражданство РФ, возраст от 25 до 60 лет, при условии,
что срок возврата кредита приходится на дату до достижения заемщиком возраста
60 лет;
·
срок
существования бизнеса (поступления доходов от осуществляемой деятельности) составляет
не менее 6 месяцев;
·
устойчивое
финансовое положение;
·
отсутствие у
Заемщика просроченной задолженности перед бюджетами всех уровней и
внебюджетными фондами;
·
отсутствие
текущей картотеки неоплаченных расчетных документов к банковским счетам
Заемщика;
·
отсутствие
задолженности перед работниками по заработной плате.
|
|
Требования к поручителям
|
·
гражданство РФ;
·
возраст от 25
до 60 лет при условии, что срок возврата кредита приходится на дату до
достижения поручителем возраста 60 лет;
·
постоянная
регистрация в городах Екатеринбург, Верхняя Пышма, Арамиль, Березовский.
|
Глава
5. Статистический анализ
объемов кредитования малого и среднего бизнеса
На сайте [17] найдем
значение объемов кредитования малого и среднего бизнеса. Все цифры представлены
в млрд.руб.
|
год
|
квартал
|
номер квартала
|
значение
|
|
2003
|
I
|
1
|
1755,948
|
|
II
|
2
|
1811,537
|
|
III
|
3
|
1874,549
|
|
IV
|
4
|
2159,331
|
|
2004
|
I
|
5
|
2238,223
|
|
II
|
6
|
2350,099
|
|
III
|
7
|
2469,254
|
|
IV
|
8
|
2563,987
|
|
2005
|
I
|
9
|
2688,187
|
|
II
|
10
|
2942,515
|
11
|
3169,526
|
|
IV
|
12
|
3277,757
|
|
2006
|
I
|
13
|
3630,248
|
|
II
|
14
|
3656,638
|
|
III
|
15
|
4018,558
|
|
IV
|
16
|
4179,892
|
|
2007
|
I
|
17
|
4333,535
|
|
II
|
18
|
4463,815
|
Построим
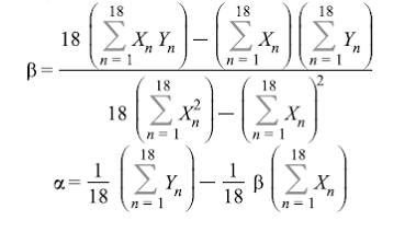
уравнение тренда и осуществим прогноз.









Для
регрессии вида
найдем
коэффициенты по формулам
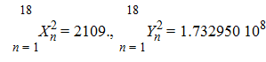
Вычислим
Тогда
Откуда
Тогда
линейная регрессия будет иметь вид
Смысл
коэффициента beta заключается в том, что при изменении значения X на 1 единицу
Y меняется на 167,31 единиц. Нарисуем точки и регрессию:
Выводы: объемы
кредитования малого и среднего бизнеса растут на 167 млрд.руб. ежеквартально.
Ожидается, таким образом, что в 2008 году объем кредитов будет равен
|
2007
|
I
|
17
|
4333,535
|
18
|
4463,815
|
|
III
|
19
|
4566,326
|
|
IV
|
20
|
4733,638
|
|
2008
|
I
|
21
|
4900,950
|
|
II
|
22
|
5068,261
|
|
III
|
23
|
5235,573
|
|
IV
|
24
|
5402,884
|
и составит 20608
млрд.руб.
Проблема кредитования
малого и среднего бизнеса в нашей стране остаётся нерешённой на протяжении
длительного периода времени. Необходимо отметить некоторое противоречие: с одной
стороны предприниматели нуждаются в денежных средствах, а банки готовы их им
предоставить, а с другой стороны, по данным опросов, проведённых среди
представителей малого и среднего бизнеса лишь около 12% бизнесменов регулярно
пользуются банковскими кредитами. Почему возникла такая ситуация?
Банкиры дают на этот
вопрос два ответа. Прежде всего, для получения кредита деятельность предприятия
должна быть более или менее “прозрачной”. В среде малого и среднего бизнеса на
этот шаг готовы решиться не многие предприятия. Зачастую “выход из тени” грозит
потерей конкурентных преимуществ, по причине того, что конкуренты обеспечат
себе более стабильное финансовое положение, продолжая работать по “серым”
схемам. Таким образом, низкая легитимность бизнеса, фигурирующая в
бухгалтерских отчётах, становится основанием для отказа в получении кредита.
Однако более высокая прибыль сопряжена с увеличением налогового бремени. Это
чревато для предприятия значительным снижением прибыли и потерей
конкурентоспособности. Получается замкнутый круг. Тем бизнесменам, кто всё-таки
хочет из него вырваться, банкиры приводят следующую закономерность. Чаще всего,
повышение легитимности бизнеса на 25-30% даёт предприятиям возможность
воспользоваться кредитными инструментами, выгода от которых уже через небольшой
период времени покроет увеличившуюся налоговую нагрузку. По мнению банкиров,
вторым фактором, который не позволяет бизнесменам в полной мере воспользоваться
кредитом, это их низкая финансовая грамотность. То есть далеко не все предприниматели
имеют представление о том, как именно использовать полученные денежные
средства.
Сами бизнесмены приводят
несколько другие данные. Согласно статистике, порядка 15% представителей малого
и среднего бизнеса не берут кредит по причине высоких процентных ставок[2]. Всё потому, что в зависимости от
вида кредитного инструмента, суммы кредита, периода времени, на который он
предоставляется, залогового обеспечения, а также валюты, в которой выдается
кредит, процентная ставка может изменяться от 10 до 19% годовых. Другой
причиной не слишком высокой популярности кредитов в среде малого и среднего
бизнеса, которую привели около 23% предпринимателей, являются требования банка
по предоставлению поручителей. И, наконец, порядка четверти всех бизнесменов не
прибегают к использованию кредитных инструментов из-за необходимости
предоставления залога. Основная причина этого заключается в низкой стоимости
активов предприятий малого бизнеса. Существуют и беззалоговые кредитные
инструменты, однако сумма кредита в данном случае, как правило, не превышает
500-700 тысяч рублей. Это мало даже для “малого” предприятия, не говоря уже о
среднем. Необходимо также отметить, что существует зависимость между получением
кредита и видом залога. Чем больше скорость реализации залога, тем больше
вероятность получения бизнесменом кредита. В случае если залогом являются,
например продовольственные, фармацевтические товары или бытовая химия, срок
хранения которых составляет менее полугода, банки выдают кредит неохотно. Это
связано с тем, что в случае непогашения кредита, банку сложно будет реализовать
залог до истечения срока его годности.
На сегодняшний день, по
оценкам экспертов, более 80% банков разработали собственные программы
кредитования малого и среднего бизнеса. При этом слабым местом подобных
программ является отсутствие универсальной системы оценки бизнесменов,
обращающихся за кредитом. В Европе и США система оценки носит название скоринг
и является полностью автоматизированной[3]. В России балы выставляются
человеком. Таким образом, оценка предприятия не может быть всецело объективной.
Какие факторы могут добавить баллы и увеличить вероятность получения кредита, а
какие – её уменьшить?
Одно из самых важных
условий для любого банка, без соблюдения которого вероятность получения кредита
практически равна нулю, это регистрация предприятия и ведение бизнеса в регионе
присутствия банка не менее шести месяцев. Второе условие – это отсутствие
просроченной задолженности по кредитам, взятым ранее. Следующее условие это
показатель успешной деятельности предприятия – наличие постоянного дохода. Необходимо
отметить, что последний критерий для большинства банков имеет определяющее
значение: ведь гарантом возврата кредита является в первую очередь стабильный и
приносящий доходы бизнес. Однако низкая легитимность бизнеса также не может служить
основанием для “пожизненного” отказа в кредитовании. Чаще всего банки советуют
повторно обратиться за кредитом через несколько месяцев, либо всё же выдают
кредит, сокращая при этом его объём. Другим обстоятельством, которое может
послужить причиной для отказа от кредитования может служить плохая кредитная
история. По словам самих банкиров, в последние годы предприятия с плохой
историей встречаются всё реже: бизнесмены понимают, что соблюдение платёжной
дисциплины – залог того, что он сможет получить кредит в будущем. Кстати, в
последнее время банки вспоминают не только о кредитной истории данной
организации, но и её владельца. И, наконец, последним важным обстоятельством,
которое способно воспрепятствовать получению банковского кредита – это проблемы
у предприятия с законом. В данном случае далеко не все проблемы являются 100%
гарантией отказа: всё зависит от их характера и “тяжести” [16].
Существуют и
положительные моменты кредитования. Например, крупные банки поощряют постоянных
клиентов. Это выражается в упрощённой форме получения кредита, а также в
снижении процентной ставки. Так, например, хорошая кредитная история может
снизить процентную ставку на 0,5%.
Обобщая всё сказанное
выше, можно сказать, что малый или средний бизнес, который имеет наиболее
высокие шансы получить необходимый ему кредит в требуемом размере – это
предприятие, оперирующее на рынке данного региона не менее полугода, приносящее
своим владельцам стабильную прибыль, а также имеющее чёткие перспективы
развития. Если же говорить в общем о кредитовании малого и среднего бизнеса в нашей
стране, то несмотря на рост данного сегмента рынка кредитных услуг в последние
несколько лет, ему необходимо дальнейшее развитие по целому ряду направлений.
Среди них совершенствование системы оценки предприятий малого и среднего
бизнеса, создание новых кредитных программ, снижение процентных ставок,
улучшение условий кредитования и так далее. Однако, несмотря на высокие темпы
роста, объемы кредитования малого и среднего бизнеса в России, по оценкам
экспертов, смогут догнать объёмы кредитования в развитых странах не ранее, чем
через 15 лет.
1.
Банки на
развивающихся рынках: Справочник. В 2-х томах/пер. с англ. Всемирный банк.
Вашингтон. 1996г т. 1 Укрепление руководства и повышение чувствительности к
переменам.
2.
Жуков Е.Ф.,
Максимова Л.М. и др.. Банки и банковские операции/Учебник для вузов. под ред.
профессора Е.Ф Жукова. – М.; Банки и биржи, ЮНИТИ, 1998г.
3.
Лаврушин О.И.,
Мамонтова И.Д., Валенцева Н.И., и др. Банковское дело. –М.; Финансы и
статистика .
4.
Колесников В.И.
Банковское дело –М.; Финансы и статистика. 1998г.
5.
Василишен Э.Н.
Регулирование деятельности коммерческого банка. Москва, 1997 г.
6.
Денежное
обращение и банки: Учеб. Пособие / Под ред. Г.Н. Белоглазовой, Г.В.
Толоконцевой. – М.: Финансы и статистика, 2001. – 272 с.: ил.
7.
Зарубежные
инвестиции испанских банков. «Банковское обозрение», №4, апрель 2007 г.
8.
Дележ по-братски:
тебе половину и мне три четверти. «Банковское обозрение», №4, апрель 2007 г.
9.
Вторая волна
экспансии иностранцев. «Банковское обозрение», №3, март 2007 г.
10.
Как продать
контроль, но сохранить влияние. «Банковское обозрение», №1, январь 2007 г.
11.
Райффайзенбанк
идет в массы. «Банковское обозрение», №7, июль 2006г.
12.
Миллиарды
русские, управление немецкое. «Банковское обозрение», №5, май 2006 г.
13.
Откроемся и
поборемся. «Банковское обозрение», №5, май 2006 г.
14.
Западные банки
съедят треть российской розницы. «Банковское обозрение», № 01, январь 2006
15.
[Электронный
ресурс] www.bank24.ru
[1]
Также часто банки требуют от предпринимателей перевести свои расчетные счета в
банки-кредиторы
[2]
На самом деле привести среднее значение ставки по кредитованию малого и
среднего бизнеса достаточно сложно.
[3]
Скоринг представляет собой бальную систему оценки, позволяющую отсеять
субъективные факторы и определить насколько целесообразно давать кредит тому
или другому предприятию