Исследование индикаторов SMA, Полосы Боллинджера и их усовершенствование
Исследование индикаторов SMA, Полосы Боллинджера и их
усовершенствование
Содержание
Введение
. Теория фондового рынка
.1 Сущность фондового рынка
.2 Основополагающие принципы технического анализа
.3 Основные инструменты технического анализа - индикаторы
. Индикатор SMA и его оптимизация
.1 Скользящие средние
.2 Оптимизация индикатора
. Теоретические основы индикатора Полосы Боллинджера
.1 Полосы Боллинджера
.2 Построение и принцип расчета
.3 Применение и сигналы индикатора Полосы Боллинджера
.4 Преимущества и недостатки индикатора
Полосы Боллинджера
. Усовершенствование индикатора Полосы Боллинджера
Приложение
Заключение
Список используемой литературы
Введение
Исследование графиков рыночных цен
имеет познавательное, практическое и научное значение. Как правило, тенденции в
тех или иных сегментах рынка являются предвестниками изменений состояния
экономики в целом. Важной особенностью рыночного ценообразования является
наличие существенной «стихийной» составляющей в ценах. Поэтому наряду с методами
фундаментального анализа при прогнозировании цен разрабатываются специальные
методы. Технический анализ можно определить, как систему прогнозирования цен,
основанную не на экономических расчетах, а на математической обработке
ценового графика. В нём выделяют две основные группы методов: графические и
аналитические (методы индикаторов).
Все методики технического анализа
вначале создавались независимо друг от друга и лишь в 70-е годы были объединены
в единую теорию с общей философией, аксиомами и основными принципами.
Технический анализ широко
используется на Западе, а в последнее время находит применение и в нашей стране
при разнообразной работе на всех видах биржевых рынков. В качестве примера
подобных рынков можно привести ценные бумаги государств и предприятий, валютные
и промышленные индексы, цены на товары.
Математический базис не сложен, но
удивительным образом соединяет технический анализ с современными
физико-математическими теориями устройства природы. История же технического
анализа у нас в стране почти не известна, поскольку годы его наиболее бурного
развития пришлись на время государственного управления хозяйством, полностью
отторгавшим подобные методы. Ведь он был создан для прогнозов цен при
существовавшей системе биржевой торговли и развивался вместе с ней.
Основными инструментами технического
анализа являются индикаторы - математические преобразования котировок ценных
бумаг и/или объемов сделок, в результате которых получаются значения, которые
используются для характеристики состояния рынка и прогнозирования будущих
изменений цен.
Знание технического анализа для
работы на современных биржевых рынках трудно переоценить. Войти в рынок перед
подъёмом и выйти с него, когда тренд выдохся, либо продать перед падением рынка
- вот мечта биржевого спекулянта. Вот такие заветные мечты и позволяет
воплотить в жизнь грамотное применение технического анализа, он, как минимум,
позволяет стабильно уменьшать риск и увеличивать прибыль. Большинство методов
прогнозирования цен, при использовании даже не самых мощных персональных
компьютеров, доступны любому интересующемуся трейдеру. Все методы технического
анализа работают на практике уже многие годы и приносят пользователям немалый
доход.
В этой работе представлены основные
и наиболее популярные методы технического анализа, их теоретические основы,
необходимые для любого трейдера и аналитика. Даются сведения об основных
способах прогнозирования с помощью индикаторов, применяемых в техническом
анализе.
Так же более подробно представлены
одни из основных и наиболее популярных индикаторов технического анализа: SMA,
его теоретические основы и оптимизация; Полосы Боллинджера, его теоретические
основы и один из возможных способов усовершенствования. Усовершенствованный
индикатор Полосы Боллинджера в комплексе с другими индикаторами технического
анализа использовался при разработке механической системы, самостоятельно
принимающей решение о продаже либо покупке в текущий момент времени.
1. Теория фондового рынка
.1 Сущность фондового рынка
Фондовый рынок - механизм, который
объединяет лиц, имеющих свободные средства (инвесторов), с лицами, нуждающимися
в средствах (эмитенты ценных бумаг). Инвестиции в ценные бумаги - один из самых
популярных в мире способов размещения свободных денежных средств частных лиц.
На фондовом рынке
Вы можете выбрать наиболее
подходящие для Вас инструменты: от надежных и менее прибыльных государственных
облигаций до более рискованных и прибыльных акций ведущих предприятий России.
Предприятия, в которые Вы можете вложить деньги, окружают нас в повседневной
жизни.
Вы пользуетесь услугами продукцией
этих предприятий - включаете свет (РАО ЕЭС), покупаете бензин (ЛУКОЙЛ),
зажигаете газ на кухне (Газпром), звоните по телефону (Ростелеком, МТС),
оплачиваете коммунальные счета (Сбербанк).
Основой фондового рынка являются
эмитенты, выпускающие ценные бумаги - и инвесторы, которые вкладывают в эти
ценные бумаги свои средства. Эмитенты - организации, выпускающие в обращение
ценные бумаги (акции и облигации), чтобы привлечь средства для развития бизнеса
или под конкретный проект. В роли эмитентов могут выступать государство, его
субъекты или коммерческие предприятия.
Инвесторы - Каждый, кто приходит на
фондовый рынок с целью вложить капитал в ценные бумаги, называется инвестором.
Физических лиц еще называют «частными инвесторами», а юридических -
институциональными (это инвестиционные, страховые, управляющие компании,
инвестиционные и пенсионные фонды). Функционирование фондового рынка
обеспечивают брокеры - посредники в сделках купли продажи ценных бумаг, биржи,
на которых происходят торги ценными бумагами, регистраторы и депозитарии,
ведущие реестры акционеров и учитывающие права собственности на ценные бумаги,
и органы регулирования и надзора, осуществляющие регулирование участников
рынка.
Брокеры. Чтобы вложить свой капитал
в ценные бумаги, инвесторы обращаются к брокерам, которые являются посредниками
при осуществлении операций с ценными бумагами.
Брокеры торгуют за счет клиента и
получают вознаграждение. Брокеры передают капитал инвесторов на фондовую биржу.
Биржи. Акции торгуются, то есть
покупаются и продаются, на специальных торговых площадках - биржах.
Биржа изначально заинтересована в
своевременных расчетах между брокерами, поэтому допускает их к торгам только
после внесения обеспечения (денежных средств). Это гарантирует брокерам и их
клиентам своевременные расчеты в полном объеме.
Без денежного обеспечения или
обеспечения ценными бумагами поручение брокера просто не исполняется. На
фондовой бирже брокеры по поручениям своих клиентов продают и покупают акции и
облигации различных эмитентов.
Регистраторы ведут реестры
акционерных обществ. Если количество акционеров становится больше 500, то
эмитент в соответствии с законодательством должен заключить договор с
независимым регистратором и передать ведение реестра ему.
Депозитарии ведут учет прав
собственности на ценные бумаги. Депозитарии работают по договору с инвестором и
клиентом, в отличие от регистратора, который сотрудничает с эмитентом.
Органы регулирования осуществляют
надзор и регулирование деятельности субъектов фондового рынка, обеспечивают
реализацию и защиту прав инвесторов и свободу деятельности участников рынка в
рамках правил, предусмотренных законодательно-нормативной базой.
.2 Основополагающие принципы
технического анализа
Классические определения и аксиомы
были сформулированы в начале 80-х годов трейдером и аналитиком Джоном Мэрфи:
«Технический анализ - метод прогнозирования цен с помощью рассмотрения графиков
движений рынка за предыдущие периоды времени». Под термином движения цен понимают
три основных вида информации: цена, объём торговли и открытый интерес.
Ценой называют как действительную
цену товаров на биржах, так и значения валютных и других индексов. Объём
торговли - это общее количество заключённых контрактов за определённый период
времени (минута, день, неделя). Открытый интерес - это количество позиций, не
закрытых на конец торгового дня.
Наиболее важной и информативной
является цена, её изучение удобнее, и большинство методов применяются именно к
ней. Объём торговли тоже имеет большое значение для прогнозирования и является
вторичным индикатором. Открытый интерес в явном виде встречается на фьючерсных
рынках, а на остальных он почти не определяется.
В техническом анализе, как в теории
с собственной философской системой, есть свой набор аксиом:
Аксиома 1. Движения рынка учитывают
всё.
Это утверждение является основным в
техническом анализе, без него невозможно адекватно воспринимать какие-либо
методики. Суть заключается в том, что любой фактор (экономический,
политический, психологический), влияющий на цену, заранее учтён и отражён в её
графике. Аксиома говорит, что на любое изменение цены есть соответствующее
изменение внешних условий. Поэтому изучение графика - обязательное условие для
прогнозирования.
Аксиома 2. Цены двигаются
направленно.
Данное предположение стало основой
для создания всех методик технического анализа. Главной задачей которого
является именно определение трендов, а особенно их характеристик от момента
возникновения до самого конца, для использования в торговле.
Аксиома 3. История повторяется.
Что естественно и очевидно.
Технический анализ занимается именно историей определённых событий, связанных с
рынком. Аналитики предполагают, что если определённые типы анализа работали в
прошлом, то будут работать и в будущем, поскольку работа основана на устойчивой
человеческой психологии. С точки зрения технического анализа понимание будущего
лежит в изучении прошлого.
.3 Основные инструменты технического
анализа - индикаторы
Самыми важными инструментами
визуального анализа, точно определяющими момент покупок и продаж, являются
индикаторы. Индикатор - это результат математических расчётов на основе
показателей цены и/или объёма. В настоящее время их существует огромное
количество, которое невозможно даже назвать в этом разделе. А, по сути,
большинство из них только дублируют друг друга, сигнализируя об одних и тех же
грядущих событиях. Так происходит и потому, что некоторые аналитики хотят
оставить о себе след в виде хотя бы одного индикатора. Но придумать что-то
действительно новое очень трудно. Сейчас есть несколько типов индикаторов,
имеющих определённую основу для своего построения. Это всевозможные средние
значения цены и производные от него, например, типичная цена, скользящие
средние, конверты, полосы. А также индикаторы, использующие объёмные
показатели, такие как балансовый объём, индекс отрицательного объёма. Большое
значение в техническом анализе играют осцилляторы, которых великое множество,
например, стохастический, предельный, индекс относительной силы и другие.
Существуют ещё индикаторы, основанные на изменениях процентных ставок, на
изменениях в цене и количестве растущих/падающих акций. Находят своё применение
и психологические индикаторы, отражающие настроения различных групп участников
биржевой торговли, это коэффициенты крупных пакетов, коротких продаж публикой,
покупки/продажи неполными лотами. Но некоторые вышеперечисленные индикаторы
могут быть рассчитаны только по данным с Нью-йоркской фондовой биржи.
Здесь же будут подробно рассмотрены
индикаторы SMA и Полосы Боллинджера.
фондовый рынок индикатор цена
боллинджер
2. Индикатор SMA и его оптимизация
.1 Скользящие средние
Скользящее среднее показывает
среднее значение цены за некоторый промежуток времени. При расчёте скользящего
среднего производится математическое усреднение цены за данный период, который
является характеристикой любой скользящей, называемый порядком. По мере
изменения цены её среднее значение либо растёт, либо падает. Существует пять
распространённых типов скользящих средних: простое (арифметическое),
экспоненциальное, треугольное, переменное и взвешенное. Скользящие средние
можно рассчитывать для любого последовательного набора данных, включая цены
открытия и закрытия, максимальную и минимальную, объём торговли или значения
других индикаторов. Единственное, чем скользящие средние разных типов
существенно отличаются друг от друга, это разными весовыми коэффициентами,
которые присваиваются последним данным.
Общий принцип сигналов скользящими
средними формулируется так: если линия скользящей находится ниже ценового
графика, то ценовой тренд является бычьим, а если выше, то тренд - медвежий;
при пересечении графика цены со скользящей средней ценовой тренд меняет
направление. Иными словами, скользящие средние представляют собой усложнённый вариант
линий сопротивления и поддержки. Интерпретация скользящих средних индикаторов
аналогична интерпретации ценовых скользящих средних: если индикатор поднимается
выше своего скользящего среднего, значит, восходящее движение индикатора
продолжится; если он опускается ниже скользящего среднего, это означает
продолжение его нисходящего движения.
Простое скользящее среднее (SMA).
Простое, или арифметическое,
скользящее среднее (рис.2.1) рассчитывается путём суммирования цен закрытия за
определённое число единичных периодов с последующим делением суммы на число
периодов. В результате получается средняя цена за данный временной интервал и
ценам каждого из дней присваивается равный вес.
, где
-
цена закрытия, n - период расчёта.
рис. 2.1 График SMA
.2 Оптимизация индикатора SMA
Количество и качество сигналов
индикатора SMA в основном определяется периодом его расчета. Рассмотрим, как
ведет себя индикатор при различных значениях периода. Так, при периоде равным
28 индикатор ведет себя следующим образом (рис.2.2).
рис. 2.2 SMA при n=28
Видим, что индикатор становится
малоинформативным, т.к. многие нужные сигналы не учитываются.
Теперь выясним, как ведет себя SMA
при малом значении периода, например при n=3. (рис.2.3)
рис. 2.3 SMA при n=3
Видим, что число сигналов
существенно увеличилось. Но, несмотря на то, что появилось много нужных
сигналов, количество ложных сигналов (т.е. тех, после которых не происходит
смены тренда) также сильно прибавилось.
Основная задача заключалась в том,
чтобы подобрать оптимальный период: такой, чтобы процент ложных сигналов был
наименьшим и в то же время отслеживались все полезные. Для этого проводились
тесты в разработанной механической системе принятия решений. На основе
статистики можно сделать вывод о том, что оптимальным периодом для SMA является
7. (см. тесты в приложении)
3. Теоретические основы индикатора
Полосы Боллинджера и его несовершенство
.1 Полосы Боллинджера
Полосы Боллинджера разработал Джон
Боллинджер, финансовый и технический аналитик, президент и учредитель Bollinger
Capital Management, Inc., - инвестиционной компании, специализирующейся в
области доверительного управления финансами физических лиц и корпораций.
Этот индикатор характеризует
наиболее вероятный диапазон изменения цен и ненормально резкое отклонение цены
от действующего тренда. Под трендом здесь имеется в виду скользящая средняя.
Линии индикатора строятся как полоса или границы вокруг средней. Ширина полосы
пропорциональна среднеквадратичному отклонению от скользящей средней за
анализируемый период времени.
Полосы Боллинджера обычно наносятся
на ценовой график, но могут наноситься и на график индикатора. Все
нижеописанное будет относится к полосам, наносящимся на ценовые графики. При
удачном выборе параметров канал будет соответствовать равновесному состоянию
рынка, а все выходы цены за его пределы должны сопровождаться возвращением ее
назад
Полосы Боллинджера
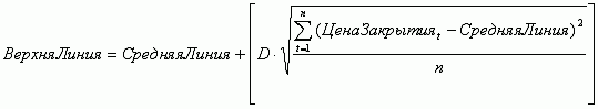
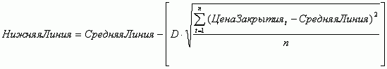
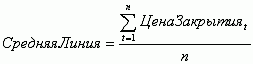
.2 Построение и принцип расчета
Границы полос Боллинджера строятся
на расстояниях от простой скользящей средней, равных определенному числу
стандартных отклонений. Стандартное отклонение - мера разброса случайных
величин от среднего значения, которая равна квадратному корню из дисперсии.
Поскольку величина стандартного отклонения зависит от волатильности, полосы
сами регулируют свою ширину: она увеличивается, когда рынок неустойчив, и
уменьшается в более стабильные периоды. Пересечение границ Боллинджера или их
пробитие ценой обычно является хорошим сигналом последующего отката. Полосы
Боллинджера формируются из трех линий. Средняя линия - это обычное скользящее
среднее. В нижеследующем выражении «n» обозначает число единичных отрезков
времени, составляющих период расчета скользящего среднего (напр., 20 дней).
Верхняя линия - это та
же средняя линия, смещенная вверх на определенное число стандартных отклонений
(например, на два). В следующей формуле «D» обозначает число стандартных
отклонений.

Нижняя линия - это
средняя линия, смещенная вниз на то же число стандартных отклонений (т.е. на
«D»).
.3 Применение и сигналы
индикатора Полосы Боллинджера
Интерпретация полос
Боллинджера основана на том, что ценам свойственно оставаться в пределах
верхней и нижней границ полосы. Отличительной особенностью полос Боллинджера
является их переменная ширина, обусловленная волатильностью цен. В периоды значительных
ценовых изменений (т.е. высокой волатильности) полосы расширяются, давая
простор ценам. В периоды застоя (т.е. низкой волатильности) полосы сужаются,
удерживая цены в пределах своих границ.
Сам разработчик отмечает
следующие особенности полос Боллинджера:
• Резкие изменения цен
обычно происходят после сужения полосы, соответствующего снижению
волатильности.
• Если цены выходят за
пределы полосы, следует ожидать продолжения текущей тенденции
• Если за пиками и
впадинами за пределами полосы следуют пики и впадины внутри полосы, возможен
разворот тенденции
• Движение цен,
начавшееся от одной из границ полосы, обычно достигает противоположной границы.
Последнее наблюдение
полезно для прогнозирования ценовых ориентиров.
Торговые решения на
основе анализа ПБ принимаются, когда цена либо поднимается выше верхней линии
сопротивления ПБ, либо опускается ниже нижней линии поддержки ПБ.
Если же график цены
колеблется между этими двумя линиями, то надежных сигналов о покупке/продаже на
основе анализа ПБ не подается. Решение об открытии позиции принимается только
тогда, когда график цены пересекает линию ПБ для возврата в нормальное
состояние.
Иногда выход за границу
ПБ означает «фальшивый пробой», т.е. когда цены только попробовали новый
уровень и сразу же вернулись назад.
В данном случае у вас
появляется возможность для работы против тренда, но внимательно оцените - а
правда ли пробой оказался «фальшивым». Хорошим подтверждением в таких случаях
является показатель объема, который при фальшивом пробое должен резко
снизиться.
3.4 Несовершенство
индикатора Полосы Боллинджера Рассмотрим индикатор на графике:
Приглядевшись, можно
заметить некоторое несовершенство индикатора:
Так, например, при
повышательном либо понижательном тренде видим, что одна из полос дает излишнее
отклонение, таким образом становясь малоинформативной.
Индикатор вел бы себя
гораздо наглядней если бы при выраженных трендах определенная полоса (при
повышательном - нижняя, при понижательном - верхняя) прижималась бы ближе к SMA.
Таким образом, основная
идея усовершенствования индикатора заключается в том, чтобы варьировать
величину коэффициента перед стандартным отклонением у верхней или нижней полосы
(в зависимости от тренда).
4. Усовершенствование
индикатора Полосы Боллинджера
Устанавливать тренд и
рассчитывать его величину будем следующим образом:
В каждый бесконечно
малый промежуток времени h
будем рассматривать приращение функции SMA
(скользящее среднее);
Если SMA(x0) некоторое значение цены в конкретное время x0, SMA(x0+h) - значение цены через промежуток времени h ,
тогда
SMA’(x0) = (SMA(x0+h) - SMA(x0))/h - приращение заданной
функции.
Если SMA’(x0)>0,
то наблюдаем повышательный тренд; если SMA’(x0)<0 - понижательный. Если же SMA’(x0)->0, то наблюдаем переход к боковому тренду, так называемому
флэту.
Основная задача
усовершенствования состоит в том, чтобы выявить зависимость между величиной SMA’(x0)
и величинами коэффициентов K1
и K2 перед стандартным отклонением.
Поступать будем таким
образом:
1) Когда наблюдаем переход от
флэта к повышательному тренду (величина SMA’() начинает возрастать
от нулевого значения), тогда начинаем как бы «поджимать» нижнюю полосу,
уменьшая коэффициент перед D1.
Когда наблюдаем переход от флэта к
понижательному тренду (величина SMA’() начинает убывать от нулевого значения), тогда как бы
«прижимаем» верхнюю полосу, уменьшая коэффициент перед D2.
Выдвинуто следующее предположение об
изменениях в коэффициентах:
Если повышательный тренд
k1=2+SMA’
k2=2-SMA’
Если понижательный тренд
k1=2-SMA’
k2=2+SMA’
Так как изменение цен во времени не
подчиняется математическим законам, то работоспособность измененных
коэффициентов исследовалось на основе статистики после проведения
многочисленных тестов
Приложение
Усл. обозначения
Сигнал - пересечение линией SMA
ценового графика
Сигнал к продаже - пересечение
графиком цен графика SMA сверху вниз
Сигнал к покупке - пересечение
графиком цен графика SMA снизу вверх
Под ложным сигналом будем понимать
пересечение графиков без последующего изменения тренда.
Сигнал считается неучтенным, если
пересечения не произошло, либо произошло слишком поздно, в то время как
направление движения цен изменилось
Проведённые тесты
дата начала - 02.06.09
дата окончания - 02.06.09
период - 5 мин.
количество промежутков времени - 98
|
Период SMA
|
Количество сигналов
|
Из них ложных
|
Не учтено сигналов
|
% нужных сигналов
|
|
5
|
29
|
21
|
0
|
28
|
|
7
|
21
|
12
|
0
|
43
|
|
9
|
18
|
11
|
2
|
39
|
|
14
|
10
|
6
|
5
|
40
|
|
21
|
6
|
2
|
5
|
40
|
эмитент - Лукойл
дата начала - 20.05.09 дата окончания - 02.06.09
период - 1 час.
количество промежутков времени - 89
|
Период SMA
|
Количество сигналов
|
Из них ложных
|
Не учтено сигналов
|
% нужных сигналов
|
|
5
|
18
|
12
|
0
|
34
|
|
7
|
15
|
9
|
0
|
40
|
|
9
|
14
|
9
|
1
|
30
|
|
14
|
13
|
7
|
2
|
27
|
|
21
|
8
|
2
|
3
|
32
|
эмитент - Роснефть
дата начала - 01.06.09
период - 5 мин.
количество промежутков времени - 197
|
Период SMA
|
Количество сигналов
|
Из них ложных
|
Не учтено сигналов
|
% нужных сигналов
|
|
5
|
45
|
27
|
0
|
40
|
|
7
|
34
|
16
|
0
|
53
|
|
9
|
33
|
15
|
0
|
52
|
|
14
|
20
|
8
|
6
|
38
|
|
21
|
18
|
6
|
6
|
36
|
эмитент - Лукойл
дата начала - 09.06.08 дата
окончания - 09.06.09
период - 1 день.
количество промежутков времени - 243
|
Период SMA
|
Количество сигналов
|
Из них ложных
|
Не учтено сигналов
|
% нужных сигналов
|
|
5
|
51
|
30
|
0
|
41
|
|
7
|
38
|
16
|
0
|
58
|
|
9
|
32
|
15
|
2
|
53
|
|
14
|
21
|
7
|
6
|
43
|
|
21
|
16
|
5
|
10
|
36
|
эмитент - Газпром
дата начала - 09.06.07
дата окончания - 09.06.09
период - 1 день.
|
Период SMA
|
Количество сигналов
|
Из них ложных
|
Не учтено сигналов
|
% нужных сигналов
|
|
5
|
107
|
63
|
0
|
41
|
|
7
|
89
|
45
|
0
|
49
|
|
9
|
81
|
44
|
3
|
43
|
|
14
|
67
|
32
|
7
|
40
|
|
21
|
49
|
20
|
16
|
32
|
Полосы Боллинджера
Количество пробоев - сколько раз
график цен коснулся либо пробил ту или иную полосу (количество сигналов).
% - какой процент количества
значений цен укладывается в коридор полос Боллинджера.
эмитент - Газпром
дата начала - 02.06.09
дата окончания - 02.06.09
период - 5 мин.
количество промежутков времени - 98
|
Период
|
Коэф. перед станд. отклонением
|
Количество пробоев
|
%
|
|
7
|
2
|
13
|
87
|
|
9
|
2
|
9
|
91
|
|
7
|
2.5
|
6
|
94
|
|
7
|
2±SMA’
|
11
|
89
|
|
9
|
2±SMA’
|
7
|
93
|
эмитент - Газпром
дата начала - 14.05.09
дата окончания - 02.06.09
период - 1 час.
количество промежутков времени - 125
|
Период
|
Коэф. перед станд. отклонением
|
Количество пробоев
|
|
7
|
2
|
16
|
87
|
|
9
|
2
|
12
|
90
|
|
7
|
2.5
|
8
|
94
|
|
7
|
2±SMA’
|
11
|
91
|
|
9
|
2±SMA’
|
9
|
93
|
эмитент - Газпром
дата начала - 22.04.09
дата окончания - 02.06.09
период - 1 час.
количество промежутков времени - 251
|
Период
|
Коэф. перед станд. отклонением
|
Количество пробоев
|
%
|
|
7
|
2
|
28
|
89
|
|
9
|
2
|
23
|
91
|
|
7
|
2.5
|
13
|
95
|
|
7
|
2±SMA’
|
21
|
92
|
|
9
|
2±SMA’
|
18
|
93
|
эмитент - Лукойл
дата начала - 09.06.07 дата окончания - 09.06.09
период - 1 день.
количество промежутков времени - 491
|
Период Коэф. перед станд. отклонениемКоличество пробоев%
|
|
|
|
|
7
|
2
|
49
|
90
|
|
9
|
2
|
41
|
92
|
|
7
|
2.5
|
30
|
94
|
|
7
|
2±SMA’
|
42
|
92
|
2±SMA’
|
36
|
93
|
Следует отметить, что оптимальная
ширина коридора - 89-92%.
Во время проведения тестов на
графиках наглядно выяснили, что найболее полезные сигналы получаем при
коэффициентах, равных 2±SMA
Заключение
Движение рынка есть результат
решений огромного числа участников, в сумме располагающих всей доступной
информацией, которую они используют в принятии решений. Результат этих решений
выражается в поведении цены, наблюдая за которым, мы косвенно имеем доступ ко
всей рыночной информации.
Технический анализ предоставляет в
распоряжение трейдера достаточное количество готовых индикаторов, которые
позволяют определить дальнейшее колебание цен. Но как сказал Томас Р. Демарк в
своей книге «Технический анализ - Новая наука»: «…Хотя довольно многие трейдеры
хотя бы частично используют этот тип анализа, они, как правило, ограничиваются
только самыми известными индикаторами и придерживаются общепринятых способов
их истолкования.
Другими словами, в их работе
полностью отсутствует творческий подход. Эти трейдеры не пытаются создать свои
собственные индикаторы или улучшить уже существующие. Кроме того, они связывают
с этими индикаторами излишне большие ожидания и не замечают их недостатков. »
Эти слова о техническом анализе, сказанные человеком, который является самым
авторитетным консультантом таких финансовых баронов, как Леон Куперман и
Лоренс Тиш, показывают, что для получения наиболее больших прибылей при игре на
бирже не достаточно пользоваться уже готовыми индикаторами, а надо создавать
что - то новое, ведь рынок, как живое существо находится в постоянном движении,
приспосабливаясь и подстраиваясь под поведение трейдеров. В этой работе была
сделана попытка улучшить существующий индикатор, приспособить и адаптировать
его под условия рынка; экспериментальным путём была показана состоятельность
алгоритма и на основе полученных результатов и в совокупности с другими
индикаторами была разработана механическая система принятия решений.
Список использованной литературы
1.
Стивен Б. Акелис «Технический анализ от А до Я», «Диаграмма»,
Москва, 2000 г.
2.
Р. Колби, Т. Мейерс «Энциклопедия технических индикаторов рынка»,
«Альпина», Москва, 2000 г.
3.
А. Эрлих «Технический анализ товарных и финансовых рынков»,
«ИНФРА-М», Москва, 1996 г.
4.
Я.М. Миркин «Волатильность», журнал «Рынок ценных бумаг» №6 2001
г.
Ссылки на Интернет-источник
1. Финам.ru - Рынок и Аналитика : Интерактивный теханализ.
http://www.finam.ru/analysis/charts/default.asp
2. ФорексКлуб
http://forexclub.com.ru/index.php