Социально-ответственная деятельность коммерческих организаций

  • Вид работы:
    Дипломная (ВКР)
  • Предмет:
    Социология
  • Язык:
    Русский
    ,
    Формат файла:
    MS Word
    149,86 kb
  • Опубликовано:
    2011-07-07
Вы можете узнать стоимость помощи в написании студенческой работы.
Помощь в написании работы, которую точно примут!

Социально-ответственная деятельность коммерческих организаций

ОГЛАВЛЕНИЕ

ВВЕДЕНИЕ

. ТЕОРЕТИЧЕСКИЕ ОСНОВЫ СОЦИАЛЬНОЙ ОТВЕТСТВЕННОСТИ КОММЕРЧЕСКИХ ОРГАНИЗАЦИЙ

.1 Эволюция отношения бизнеса к социальной ответственности

.2 Содержание социально ответственной деятельности коммерческих организаций

.3 Социальное инвестирование как прогрессивное направление деятельности коммерческих организаций, направленной на решение социальных проблем

. ИССЛЕДОВАНИЕ СОЦИАЛЬНО ОТВЕТСТВЕННОЙ ДЕЯТЕЛЬНОСТИ НОВОСИБИРСКИХ КОММЕРЧЕСКИХ ОРГАНИЗАЦИЙ

.1 Обоснование методики исследования, характеристика и оценка социально ответственной деятельности новосибирских компаний

.2 Рекомендации по развитию социально ответственной деятельности новосибирских компаний

ЗАКЛЮЧЕНИЕ

СПИСОК ИСПОЛЬЗОВАННЫХ ИСТОЧНИКОВ

Введение

Актуальность темы дипломной работы обусловлена тем, что бизнес - институт, который появился в результате общественного развития, поэтому организации, занимающиеся бизнесом, по идее должны нести некую ответственность перед социумом, соответствуя определенным общественным ожиданиям. Однако контекст и содержание этой ответственности остаются предметов споров, как научных, так и практических.

В настоящее время в самом общем смысле под корпоративной социальной ответственностью понимается философия поведения и концепция выстраивания деловым сообществом, компаниями и отдельными представителями бизнеса своей деятельности, направленной на удовлетворение ожиданий заинтересованных сторон в целях устойчивого развития. Однако до сих пор корректное определение термина корпоративная социальная ответственность является сложной задачей.

В российском обществе, причем практически на всех его уровнях, по-прежнему не утихают споры о роли и месте социальной ответственности бизнеса. Предметом данных споров становится как трактовка самого этого термина, так и способы ее практической реализации. Взгляды на проблему поляризуются, как правило, пропорционально материальному достатку участников дискуссий.

В последние несколько лет российские компании переосмысливают свою роль в обществе, все чаще бизнес говорит о социальном партнерстве и социальных инвестициях, в повседневный обиход уже прочно вошло такое выражение, как корпоративная социальная ответственность. Идея социального вклада в устойчивое развитие общества как необходимого компонента корпоративной культуры и отличительной черты цивилизованного ведения бизнеса активно поддерживается большей частью бизнес-сообщества и государственными структурами.

Постепенно и в обществе меняется подход к благотворительности, от иждивенческой и пассивной позиции к активному и партнерскому участию всех заинтересованных сторон - граждан, власти и бизнеса. Сейчас, когда в стране накопился целый комплекс нерешенных социальных проблем и когда сам бизнес нуждается в более активной легитимации со стороны общества и власти, социальные инициативы бизнеса могли бы стать особенно актуальными и позитивно воспринимаемыми.

Сегодня в России отсутствуют общепринятые стандарты и модели социальной ответственности бизнеса, что обуславливает высокую вариативность корпоративных форм социальной активности. Данное обстоятельство заставляет предпринимать все новые шаги в направлении научного осмысления социальной ответственности бизнеса, учитывая, что большинство отечественных исследований характеризуются рядом особенностей. Во-первых, объектом исследования в первую очередь становятся крупнейшие компании, действующие на международных рынках и/или выходящие на рынки капитала. Во-вторых, нередко эксперты стремятся «наложить» принятые на Западе аналитические схемы на российскую действительность, не сообразуясь с существующими реалиями. В-третьих, практически отсутствует информация о том, каким образом политика социальной ответственности интегрируется в общую бизнес-стратегию компаний, а имеющаяся информация носит разрозненный характер и труднодоступна для исследователей.

Таким образом, актуальность темы дипломной работы связана с необходимостью дальнейшего обоснования теоретических и методологических возможностей использования концепции социальной ответственности в целях объединения усилий государства, бизнеса и гражданского общества для решения ключевых социально-экономических проблем страны и устойчивого развития российских компаний.

Степень научной разработанности проблемы. Проблема корпоративной социальной ответственности разрабатывалась в работах большого количества исследователей. Так, среди авторов фундаментальных работ в данной области можно выделить следующих: Роберт Оуэн (один из основоположников концепции, социалист-утопист); Эдвард Лейтон (исследовал истоки зарождения концепции корпоративной социальной ответственности); Даниэль Легран (развил идеи Роберта Оуэна о необходимости государственного регламентирования социальной ответственности); Эндрю Карнеги (автор принципа «служения», согласно которому у корпорации должны быть цели, которые не имеют прямого отношения к первоочередной задаче компании - получение прибыли); Роберт Вуд (внес существенный вклад в развитие концепции социальной ответственности, признав многослойность внешнего окружения компании (потребители, местные общины, держатели акций, сотрудники, констатировал косвенное влияние общества на деятельность организации); Милтон Фридман, Фридрих Хайек (основные представители нового консерватизма, которые были противниками модели корпоративной социальной ответственности, так как концепция противоречит функционированию свободного рынка, где основной целью игроков является прирост прибыли); Чарльз Тейлор (исследовал корпоративное гражданство, которое, по его мнению, должно стать опорой для развития прав общества через политиков или иные организации, ставящих своей целью улучшение жизни); Крейг Смит (по его мнению, корпоративное гражданство представляет собой осознанную деятельность компании по созданию дополнительных ценностей для общества в процессе осуществления ежедневной деловой практики ).

Основы современного подхода к социальной ответственности заложил американский экономист Ховард Боуэн в своей книге «Социальная ответственность бизнесмена». Другой известный исследователь Симпсон Сьюзан предложила новую трактовку этапов развития социальной ответственности бизнеса в США и Западной Европе.

В рамках современных исследователей социальной ответственности следует особо отметить объединения предпринимателей, целью которых является изучение концепции и ее влияние на деятельность самой компании, ее взаимоотношения с внешним окружением. В Великобритании существует объединение предпринимателей по вопросам социальной политики организаций the London Benchmarking Group. Ведущее объединение корпораций США, занимающееся развитием и продвижением концепции корпоративной социальной ответственности называется Business for Social Responsibility (Бизнес за социальную ответственность). В России большинство исследований в области корпоративной социальной ответственности проводится Ассоциацией менеджеров России, представляющей сообщество топ-менеджеров ведущих российских и международных компаний.

Среди отечественных трудов, вышедших в последнее время и посвященных исследованию различных аспектов проблемы социальной ответственности, можно выделить работы Благова Ю.Е., Волгина Н.А., Егоровой В.К., Литовченко С.Е., Ивановой Е.А., Туркина С.В., Шевчука А.В. и др.

Анализируя имеющиеся научные работы, освещающие вопросы эффективности концепции корпоративной социальной ответственности для организации, можно сделать выводы о том, что в них в равной степени уделяется большое внимание как общетеоретическим вопросам, таким, как модели и структура социальной ответственности, основные направления реализации программ социальной ответственности, так и практическому опыту ведущих западных и отечественных компаний.

Объектом исследования выступают новосибирские коммерческие предприятия.

Предметом исследования является деятельность новосибирских коммерческие предприятий, направленная на решение социальных проблем.

Гипотеза исследования - социально ответственная деятельность новосибирских предприятий недостаточно эффективна и нуждается в оптимизации.

Целью работы исследование проблем социальной ответственности коммерческих организаций в контексте решения социальных проблем.

В соответствии с основной целью в дипломной работе поставлены следующие задачи:

рассмотреть теоретические и исторические основы социальной ответственности коммерческих организаций в контексте решения социальных проблем;

исследовать практику социальной деятельности новосибирских предприятий и предложить рекомендации по ее активизации.

В процессе подготовки дипломной работы были использованы научные труды ведущих ученых, посвященные анализу социальной ответственности бизнеса, публикации в периодических изданиях, ресурсы сети Интернет.

Информационной основой исследования послужили российские законодательные и нормативные акты, международные и отечественные стандарты в области социальной ответственности бизнеса, статистические и аналитические материалы, а также данные отчетности новосибирских предприятий.

1. Теоретические основы социальной ответственности коммерческих организаций

1.1 Эволюция отношения бизнеса к социальной ответственности


Социальная ответственность бизнеса - это система отношений, воссоздающая деятельность, ориентированную на достижение экономического и социального эффекта в процессе общественного воспроизводства; создание стабильной экономической среды обитания; интеллектуализацию основного ресурса национальной экономики - человеческого капитала [3, c.12].

Социальная ответственность, в отличие от юридической, подразумевает определенный уровень добровольного отклика на социальные проблемы со стороны организации. Этот отклик имеет место по отношению к тому, что лежит вне определяемых законом или регулирующими органами требований или же сверх этих требований.

С переходом способности к труду из товарной формы в форму капитала, созданием материальных условий появились объективные основы превращения бизнеса в социально ответственный. Повторяющиеся, устойчивые взаимосвязи поступательного развития социально - экономических систем формируют фундамент трансформации содержания бизнеса. В конце ХIХ - начале ХХ века предприниматели столкнулись с объективной необходимостью считаться с интересами наемных работников и нести ответственность как непосредственно перед ними, так и перед обществом в целом. Экономический рост в Европе и Северной Америке - средний темп выпуска продукции в этих странах с 1860 по 1914 г. составлял приблизительно 3 %, а на душу населения - 2 % в год - позволил направлять средства на улучшение условий функционирования работника как фактора производства и поддержание социальной стабильности в обществе. Генезис социальной ответственности бизнеса представлен на рис. 1 - от эволюции теории его становления до создания системы институтов социальной ответственности [7, c.157].

Рис. 1. Генезис социальной ответственности бизнеса [7, c.158]

Способность бизнеса осознавать последствия своих действий для устойчивого развития возникает как результат совершенствования основного ресурса - человеческого капитала. Человек стремится к утверждению самоценности личности, а эффективное развитие постиндустриальной экономики позволяет решить эту проблему, так как созданы реальные экономические условия для развития всех отраслей социальной сферы: образования, здравоохранения, науки, культуры, искусства, спорта. В мировом производстве за период 1945-1973 гг. произошел беспрецедентный бум, сопровождавшийся высокими темпами роста. Средний ежегодный темп роста ВНП в развитых странах с 1950 по 1973 годы составлял 4,9 %, в то время как с 1913 по 1950 годы - 1,9 %.

К 60-70-ым годам прошлого столетия бизнес в своей социальной направленности уже преодолел первые формы ответственности - благотворительность и спонсорство. Основные интерпретации содержания социальной ответственности бизнеса складывались по мере изменения среды обитания самого бизнеса, «представлений общества и человека о собственной природе и своем предназначении» [9, c.87].

Концепция социальной ответственности бизнеса, в основе которой было утверждение, что единственной целью бизнеса является получение прибыли, а ответственность бизнеса перед обществом заключается в ее увеличении для своих акционеров, возникла в 70-х годах прошлого века. Эта точка зрения была «озвучена» Милтоном Фридманом в 1970г. и названа теорией корпоративного эгоизма. В интерпретации либералов социальная ответственность бизнеса заключается в выполнении социальных обязательств, которые государство предъявляет к бизнесу. Потом из этой концепции появился термин «компания собственников» (подход Минфорда). Таким образом, социальная ответственность бизнеса стала пониматься как обеспечение экономических и финансовых интересов собственников и получение компанией высокой прибыли. Подобная концепция характерна для фирм англосаксонской модели капитализма [9, c.92].

Вторая точка зрения, прямо противоположная теории М. Фридмана, получила название «теория корпоративного альтруизма» и заключалась в рекомендациях корпорациям «вносить значительный вклад в улучшение качества американской жизни». Социальная ответственность бизнеса в данном случае трактуется расширительно и наряду с социальными обязательствами включает в себя участие бизнеса в благотворительности и социальных проектах [9, c.96]. Используется концепция «компании участников». Таким образом, компания понимается как социальная общность, в рамках которой собственники сотрудничают с менеджерами, поставщиками, персоналом, потребителями, представителями общественности, а социальная ответственность становится результатом их совместных действий. Характерна для континентальной модели капитализма и распространена в Японии.

Представителя «центристских» теорий (концепция «разумного эгоизма»), по сути, менее радикальные, пытались найти место корпоративной социальной ответственности в рамках теории М. Фридмана. Так, Дуглас Дэн Ули уверял, что концепция Фридмана вполне допускает корпоративную социальную ответственность, но "с ограничением приоритета интересов акционеров", для чего предлагал руководству корпораций заключать с владельцами специальное соглашение о максимизации прибыли. Включив в обиход понятие социального соглашения между бизнесом и обществом, Т. Дональдсон и Н. Боуи предполагали, что корпорации должны быть прибыльными, уважая при этом определенные моральные устои и соблюдая права человека. В данной концепции подчеркивается, что социальная ответственность бизнеса - это просто «хороший бизнес», потому что это помогает уменьшить долгосрочные потери прибыли. Реализуя социальные программы, корпорация сокращает свои текущие прибыли, но в долгосрочном периоде времени формирует благоприятную социальную среду для своих работников и территорий своей деятельности, создавая при этом условия для стабильности собственной прибыли. Данная концепция укладывается в теорию рационального поведения экономических агентов [9, c.127].

Споры о роли бизнеса в обществе породили многочисленные аргументы за и против социальной ответственности.

Так в работе М. Мескона, М. Альберта, Ф. Хедоури «Основы менеджмента» [10] приводятся следующие аргументы «за» и «против» социальной ответственности бизнеса.

Аргументы в пользу социальной ответственности:

. Благоприятные для бизнеса долгосрочные перспективы. Социальные действия предприятий, улучшающие жизнь местного сообщества или устраняющие необходимость государственного регулирования, могут быть в собственных интересах предприятий в силу выгод, обеспечиваемых участием в жизни общества. В обществе более благополучном с социальной точки зрения благоприятнее условия и для деятельности бизнеса. Кроме того, даже если краткосрочные издержки в связи с социальным действием высоки, в долгосрочной перспективе они могут стимулировать прибыль, поскольку у потребителей, поставщиков и местного сообщества формируется более привлекательный образ предприятия.

. Изменение потребностей и ожиданий широкой публики. Связанные с бизнесом социальные ожидания радикально изменились с 60-х гг. Чтобы сузить разрыв между новыми ожиданиями и реальным откликом предприятий, их вовлеченность в решение социальных проблем становится и ожидаемой и необходимой.

Наличие ресурсов для оказания помощи в решении социальных проблем. Поскольку бизнес располагает значительными людскими и финансовыми ресурсами, ему следовало бы передавать их часть на социальные нужды.

. Моральное обязательство вести себя социально ответственно. Предприятие является членом общества, поэтому нормы морали также должны управлять его поведением. Предприятие, подобно индивидуальным членам общества, должно действовать социально ответственным образом и способствовать укреплению моральных основ общества. Более того, поскольку законы не могут охватить все случаи жизни, предприятия должны исходить из ответственного поведения, чтобы поддерживать общество, основанное на упорядоченности и законности [10, c.206].

Аргументы против социальной ответственности:

. Нарушение принципа максимизации прибыли. Направление части ресурсов на социальные нужды снижает влияние принципа максимизации прибыли. Предприятие ведет себя в наибольшей мере социально ответственно, сосредоточиваясь только на экономических интересах и оставляя социальные проблемы государственным учреждениям и службам, благотворительным институтам и просветительским организациям.

. Расходы на социальную вовлеченность. Средства, направляемые на социальные нужды, являются для предприятия издержками. В конечном счете, эти издержки переносятся на потребителей в виде повышения цен. Кроме того, фирмы, участвующие в конкурентной борьбе на международных рынках с фирмами других стран, которые не несут затрат на социальные нужды, оказываются в неблагоприятном положении в конкуренции [10, c.207].

В последние десятилетия мир столкнулся с новой социально-экономической реальностью, прежде всего в странах постиндустриальной экономики, которые пытаются искать (и находят) инновационные технологии преобразований, способствующие сохранению и упрочению человеческой цивилизации. Глобализация экономики, ускоряющая передачу рисков неблагополучия из одной точки планеты в другую, генерирует качественно новый формат последствий самих рисков. Уровень уязвимости мирового бизнеса резко возрос. В определенной степени это стало определяющим обстоятельством, потребовавшим включения в понимание эффективного бизнеса ответственности, выходящей за рамки экономических и правовых обязательств и позволяющей не только решить конкретные социальные задачи, но и минимизировать риски ведения бизнеса.

В качестве субъекта хозяйствования бизнес формирует систему отношений по поводу создания механизмов и инструментов рационального использования ресурсов на основе интеллектуализации общественного воспроизводства. Создавая новые механизмы и инструменты ответственности за ресурсы и, в первую очередь, за человека, бизнес становится системой отношений по поводу их эффективного использования, формирования интеллектуального человеческого капитала. Это обязывает бизнес - структуры инвестировать в создание инновационных отраслей, обеспечивающих снижение совокупных затрат общественного труда на единицу продукции и рост его производительности.

Отдельно остановимся на развитии социальной ответственности бизнеса в России.

В советское время понятия социальной ответственности бизнеса в чистом виде существовать не могло, хотя на балансе предприятий числилось немало объектов социальной инфраструктуры (например, в 1980-е гг. 30 млн. человек пользовались принадлежащими предприятиям медицинскими учреждениями, 1,5 млн. детей ежегодно отдыхали в принадлежащих предприятиям санаториях<#"512890.files/image002.jpg">

Рис.3. Мнение бизнесменов об основных носителях социальной ответственности [2, c.19]

На вопрос, на чью долю приходится большая социальная ответственность, большинство руководителей предприятий полагают, что это - государство - так ответили 49%. Считают, что ответственность должно нести население - 22%, каждый десятый указал, что ответственность должен нести бизнес - 11%. И, наконец, 14% опрошенных заявили, что все должны нести ответственность в равной степени (рис.3). Таким образом, бизнесмены склонны перекладывать социальную ответственность на государство, либо делить ее с другими субъектами социума.

В распределении социальной ответственности возможны два основных варианта: так называемый «американский», где социально ориентированный бизнесмен обеспечивает поддержку социальной сферы, или пример государств Северной Европы, например, Швейцарии, где социальная ноша - прерогатива государства. Руководителям предприятий, участвующим в опросе, было предложено сформулировать свое отношение к той и другой модели. Вопрос звучал так: «Если рассматривать роль государства в обществе, то выделяются две основных модели: первая - государство привлекает бизнес к решению социальных проблем, вторая - государство решает социальные проблемы общества за счет налогов. Какая из указанных моделей кажется вам правильной?». Большинство опрошенных считают, что правильной является вторая модель - так ответили 57% опрошенных.

В ответе на следующий вопрос - «Какая модель подходит для современной России?» - респонденты также выбрали «государственную» модель - ответы 59%(рис.4).  Все-таки надо учитывать, что в исследовании зафиксирована и другая тенденция - есть группа бизнесменов, которые склоняются к активному участию бизнеса в решении социальных проблем. Правильной такую позицию считают 34% опрошенных, подходящей для современной России - 28%.

 

Рис.4. Мнение бизнесменов об оптимальной модели социальной ответственности [2, c.22]

Популярность темы социальной ответственности бизнеса в современных СМИ может являться как требованием времени, так и конъюнктурой. 44% руководителей предприятий считают, что это - политическая конъюнктура, 49% - реальная потребность.

Чтобы ту или иную компанию назвать социальной ответственной, требуется оценить огромное количество показателей, параметров ее деятельности и пр. Руководителям предприятий было предложено оценить по 10-балльной шкале важность основных критериев социальной ответственности бизнеса (табл.2). Как видно из таблицы, самым значимым для социальной ответственности бизнеса оказалось «ведение бизнеса по-белому» - открытость, прозрачность компании перед всеми участниками социального взаимодействия. На втором месте - персонал компании: его обучение, социальный пакет и пр. Третье место по значимости - решение экологических проблем, учет интересов местных жителей. Четвертое место - участие компании в региональных социальных программах. Пятое место - у «чистой» благотворительности. Это последнее место не означает низкую оценку данного показателя, просто опрошенные выставили средние оценки по сравнению с более высокими в описанных выше ответах [2, c.27].

Таблица 2 Средние оценки значимости показателей социально ответственного бизнеса

Оцениваемая сфера деятельности компании

Средняя оценка

Неукоснительное выполнение обязательств перед клиентами, партнерами, персоналом и государством, полная прозрачность компании

7,9

Социальные программы для сотрудников: гарантии, льготы, работа с профсоюзами, повышение профессиональной квалификации

7,7

Ведение бизнеса с непременным учетом интересов местных сообществ - согласование изменений ландшафта, решение экологических проблем

6,6

Участие компании в социальных программах города, области

5,7

Благотворительность в чистом виде - поддержка проектов, не связанных напрямую с бизнесом компании

4,5



Проведенные опросы позволяют сформулировать некоторые выводы, касающиеся понимания бизнесменами социальной ответственности, а также их отношению к данном социальному феномену.

Бизнесмены считают, что коммерческие структуры действуют эффективнее, чем властные. При этом условия для развития бизнеса в России нельзя назвать благоприятными.

Большинство опрошенных руководителей предприятий считают, что большая доля ответственности в обществе приходится на государство. В реализации социальной политики государство должно, прежде всего, использовать налоговые средства, а уже потом привлекать бизнес для решения социальных проблем.

Социально ответственная компания в первую очередь исполняет все свои обязательства, заботится о сотрудниках, экологической ситуации, принимает участие в реализации региональных социальных программ.

Подводя итоги отметим, что современная ситуация в России характеризуется необходимостью разработки и распространения практических систем и методик развития корпоративной этики и социальной ответственности как на уровне компании, так и на уровне делового сообщества в целом.

Основными приоритетами при этом являются обеспечение взаимовыгодных интересов для бизнеса и общества, использование ведущих международных стандартов.

Соответственно, главными целями бизнеса в социальном контексте является обеспечение устойчивого развития, как для предприятий, так и для всего общества в целом, а также увеличение своей привлекательности для общества.

Социальная функция в данном случае минимально реализуется - за счет, в частности, создания материальных и нематериальных ценностей, сохранения или увеличения количества рабочих мест, добросовестной деловой практики в рамках предписанных обществом обязательств.

1.3 Социальное инвестирование как прогрессивное направление деятельности коммерческих организаций, направленной на решение социальных проблем

Долгосрочные социальные программы представляют собой не что иное, как инвестиции. Понятие корпоративных социальных инвестиций можно трактовать следующим образом. Корпоративные социальные инвестиции (КСИ) - это материальные, технологические, управленческие, финансовые и иные ресурсы компании, направляемые на реализацию корпоративных социальных программ, осуществление которых в стратегическом отношении предполагает получение компанией определенного экономического эффекта. Определение КСИ ложится в концепцию рациональности и выгоды компании от вложений в социальную сферу. Поэтому никак нельзя согласиться, что социальные инвестиции - это форма финансовой помощи, выделяемой компанией на реализацию долгосрочных и, как правило, совместных партнерских социальных программ, направленных на снижение социального напряжения в регионах присутствия компании и повышение уровня жизни различных слоев общества. Доказательством может служить структура социальных инвестиций российского бизнеса по направлениям использования (рис. 5) [8, c.52].

Рис.5. Структура социальных инвестиций в России в 2007 и 2008 гг., %

Социальное инвестирование в постиндустриальной системе мирового хозяйства развивается на принципиально новом уровне производительных сил и не является окончательной формой проявления социальной ответственности бизнеса. Экономическое содержание социального инвестирования определяется как способ и форма функционирования социально ответственного бизнеса при решении им (совместно с государственными структурами) задач сохранения прав собственности всех субъектов хозяйствования и обеспечения устойчивого развития и стабильности дохода нации. Государство может задавать основные параметры ответственной деятельности бизнеса, поощрять активность и диалог между заинтересованными сторонами, но главное - на законодательном уровне требовать соблюдение принципов социальной ответственности (система налогообложения для поощрения «экологически чистых методов» ведения бизнеса, создание отраслевых трудовых стандартов, установление минимального размера оплаты труда и т.д.).

Социальные инвестиции - это вложения в сферы общественного воспроизводства, связанные с развитием человеческого капитала и обеспечивающие возможность создания и реализации новой добавленной стоимости. Инвестиции в человеческий капитал являются фактором формирования потенциала устойчивого и динамичного экономического роста и средством достижения поставленных целей в интеллектуализации человеческого капитала. Исследование социального инвестирования с позиции системности экономических, политических и духовных взаимосвязей различных субъектов (индивидов, групп, институтов) социальной среды расширяет рамки теоретического и практического исследования за пределы понятий «корпоративная социальная ответственность» и «социально-незащищённые слои общества». Осуществление бизнесом социальных инвестиций означает, с одной стороны, необходимость аккумулировать доход для решения проблем, нацеленных на развитие человеческого интеллектуального капитала, а с другой - вкладывать средства в те сферы общественного воспроизводства, которые связаны с наращиванием нематериального потенциала и обеспечивают возможность создания и реализации новой добавленной стоимости.

Отличительными характеристиками социального инвестирования от традиционной благотворительности и спонсорства являются:

. Формирование рынка социальных инвестиций, обеспечивающее устойчивое развитие национальных экономик в долгосрочном периоде:

социальное инвестирование превращается в непрерывный процесс, обеспечивающий устойчивое развитие общества;

социальное инвестирование рассматривается как способ сохранения жизнеспособности бизнеса с точки зрения его эффективного воздействия на экономическое и социальное развитие общественного воспроизводства.

. Привлечение и выделение ресурсов на человеческое развитие, направленных в те сферы общественного воспроизводства, которые связаны с совершенствованием нематериального потенциала, обеспечивающего возможность создавать и реализовывать новую добавленную стоимость

. Установление партнёрских отношений для совместной разработки и реализации социальных программ на всех уровнях субъектов хозяйствования.

В соответствии с логикой работы социальное инвестирование определено как прямые частные и государственные вложения в отрасли экономики, которые на каждом конкретном этапе развития экономической системы оказывают существенное воздействие на интеллектуализацию общественного воспроизводства. Принимается во внимание, что их чистая приведенная стоимость, прямой доход во времени и его поступление в долгосрочном периоде ожидается в виде устойчивого экономического роста.

Непосредственные выгоды, которые дает бизнесу социальное инвестирование: создание стабильной экономической среды, увеличение рыночной стоимости компании в долгосрочной перспективе, снижение операционных рисков, улучшение финансовых показателей, рост производительности труда, снижение рекрутинговых затрат, подъем продаж. Эффект социального инвестирования, в основном, выражается в получении нематериальных благ, качественном повышении материального благополучия и здорового интеллекта членов общества.

Поэтому достаточно трудно провести денежную оценку социальных проектов и не всегда можно доказать, что определенный прирост экономических показателей произошел именно благодаря социальным инвестициям.

Интенсивность социального инвестирования российских компаний находится в прямой зависимости от уровня развития бизнеса.

По результатам обзора нефинансовых отчетов российских компаний можно рассмотреть динамику социальных инвестиций только приблизительно. В абсолютных цифрах затраты предприятий на социальную политику возросли. Однако для более точного определения изменений затрат на социальные программы, рассмотрим такой специальный показатель, как количественный индекс социальных инвестиций (табл. 3) [8, c.64].

Таблица 3 Значение количественного индекса социальных инвестиций

Разновидность индекса социальных инвестиций

2003

2008

Величина социальных инвестиций на одного работника

42807 руб.

54335 руб.

Отношение социальных инвестиций к валовым продажам

1,96%

3,76%

Отношение социальных инвестиций к балансовой прибыли

11,25%

6,25%


Несмотря на явный абсолютный рост величины социальных инвестиций на одного работника, за 5 лет наблюдалось существенное снижение коэффициента отношения социальных инвестиций к балансовой прибыли. Падение коэффициента связано с резким ростом прибыли крупнейших компаний, несоразмерным с ростом вложений в социальную сферу в и более осторожным подходам к объектам социального инвестирования.

К тому же за отчетный период времени из-за возрастающего износа оборудования, часть средств у экспортоориентированных компаний направлялась на модернизацию производства, то есть происходили вложения не в человеческий и социальный капитал, экологию, а в физический капитал.

Рассмотрим распределение социальных инвестиций по секторам экономики (табл. 4) [8, c.67].

Таблица 4 Величина социальных инвестиций по секторам

Сектор

На работника, руб.

Отношение к продажам, %

Отношение к балансовой прибыли, %


2003

2008

2003

2008

2003

2008

Сырьевой сектор

38908

83211

1,7

6,1

8,2

5,2

Перерабатывающий сектор

46055

27928

3,8

1,3

24,4

19,3

Сфера услуг

85190

47403

1,2

2,1

30,6

24,2


Из таблицы 4 можно сделать вывод, что однозначное увеличение социальных инвестиций наблюдается в сырьевом секторе экономики, в то время как в перерабатывающем секторе экономики и сфере услуг имеет место снижение показателей.

Последствиями данного явления может являться и ускорение отставания нашей страны в несырьевых отраслях от ведущих стран мира, в том числе из-за невысокого качества человеческого и социального капитала. Данное предположение подтверждается при рассмотрении ещё более подробных поотраслевых инвестиций (табл. 5).

В перерабатывающем секторе химическая промышленность и частично машиностроение, а в сфере услуг транспорт и финансовый сектор значительно сократили относительные затраты на социальные программы. В то время как основной рост был обеспечен топливным сектором и сервисом, а также в меньшей мере (учитывая меньший удельный вес в экономике) лесной промышленностью. Таким образом, при анализе роста социальных инвестиций получается выход на ситуацию аналогичную с ростом экономики страны.

Таблица 5 Величина инвестиций в зависимости от отраслевой принадлежности

Сектор

На работника, руб.

Отношение к продажам, %


2003

2008

2003

2008

Топливный комплекс

21,9

135,9

1,1

10,5

Лесная и лесоперерабатывающая промышленность

35,8

124,8

1,6

9,1

Связь и телекоммуникации

30,7

92,7

3,9

5,5

Электроэнергетика

53,9

62,7

4,2

2,8

Металлургия

57,6

61,1

5,5

2,4

Производство потребительских товаров и услуг

14,8

59,7

11,9

1,8

Сервис

4,5

46,8

0,4

1,5

Химическая промышленность

138,3

27,2

3,6

1

Профессиональные услуги

18,1

23,7

0,9

1

Транспорт

145,7

21,9

1,6

0,4

Машиностроение

32,5

14,3

0,1

0,4

Финансовый сектор

56,7

2,9

1.4

0,1

Проведем более детальный анализ социальных инвестиций в зависимости от отраслевой принадлежности (табл. 6) [8, c.71].

Внутренние социальные инвестиции представлены в таблице затратами на развитие персонала и здоровье работников, охрану труда и промышленную безопасность (ОТ и ПБ). Внешние социальные инвестиции представлены затратами на добросовестную деловую практику в отношении потребителей и партнеров, местное сообщество, природоохранную деятельность и ресурсосбережение. В данной работе в качестве внешних инвестиций наибольший интерес только инвестиции в местное сообщество, хотя роль вложений в экологию также весьма велика и значима, в том числе и для персонала компаний.

Таблица 6  Структура отраслевых социальных инвестиций по направлениям использования, %, 2008 [8, c.67]


Развитие персонала

Здоровье работников, ОТ и ПБ

Добросовестная деловая практика в отношении потребителей

Добро-совестная деловая практика в отношении партнеров

Местное сооб-щество

Природоохранная деятельность и ресурсосбережение

Сырьевой сектор

Топливный комплекс

37

17,5

0

0

31,1

14,3

Металлургия

51

7,6

2,8

0,2

17,8

20,5

Электроэнергетика

66,1

8,9

0,8

0,2

11,5

12,5

Всего

54,8

9,7

1,6

0,2

17,4

16,3

Перерабатывающий сектор

Лесная промышленность

24,2

7,4

0

0,4

10,8

57,1

Машиностроение

69

19,3

0,2

0,7

6,7

4

Производство потребительских товаров

71,5

2,4

0,1

2

23

1,1

Строительство

34,2

14,5

3,9

2,3

7,3

37,8

Химическая промышленность

22,9

10

1,3

0,2

7,5

58

Всего

44,9

12,5

1,3

1

9,4

30,9

Сфера услуг

Финансовый сектор

58,3

3,2

4,7

1,1

29,5

3,2

Профессиональные услуги

27,2

23,7

3,7

4,3

25,9

15,2

Сервис, включая ЖКХ

11,7

10,2

3,9

2,8

3,8

67,7

Связь и телекоммуникации

17,3

7

71

2,6

1,6

0,5

Торговля

73

11,1

9,5

3,2

3,2

0

Транспорт

87,4

4,8

2,8

0

4,3

0,7

Всего

46,3

8,5

2

15,3

11


Сравним данные за 2008 год с аналогичными за 2003 год.

Как видно из таблицы 6, самую сбалансированную социальную политику в последние годы проводили компании топливного комплекса: за пять лет в топливном комплексе инвестиции в местные сообщества возросли почти в 3 раза с 10,9% до 31,1% (в то же время затраты на природоохранную деятельность существенно снизились, более чем в 2 раза - с 35,5% до 14,3%). Подобный рост расходов на развитие местного сообщества может быть связан в первую очередь с введением в действие программ повышения качества жизни сотрудников и членов их семей в моногородах топливно-энергетической промышленности (ввод в эксплуатацию новых домов) и развитие финансовой инфраструктуры. Таким образом, инвестиции в территории присутствия в данном случае почти не отличаются от затрат на персонал.

Металлургический комплекс также ориентирован на персонал и местное сообщество, так как большинство предприятий является градообразующими, однако по показателю инвестиций в местное сообщество он топливному комплексу уступает.

Энергетики демонстрируют наибольший объем инвестиций в персонал и наименьший в экологию, за 5 лет инвестиции в экологию упали в 3 раза в пользу персонала. Одно из объяснений данного феномена заключается в реструктуризации отрасли и падения эффекта от масштаба.

В лесной промышленности наблюдались обратные тенденции: падение расходов на персонал, но увеличение на экологию (более, чем в 3 раза).

В машиностроении стал преобладать крен в сторону внутренних инвестиций: в 3 раза возросли затраты на персонал (охрану здоровья и обеспечение безопасных условий труда работникам, а также повышение квалификации работников) и в 10 раз упали затраты на деловую репутацию. Объяснение кроется в переходе к новым технологиям, требующим повышения качества персонала.

В производстве потребительских товаров наибольшее внимание уделяется персоналу: за 5 лет инвестиции вырослы в 1,5 раз (с 47,1% до 71,5%). Доля инвестиций в местное сообщество стабильно высока - около 23%. Данная тенденция связана с большой привязанностью предприятий, занимающихся производством потребительских товаров к регионам - рынкам сбыта.

В строительстве расходы на развитие персонала и экологию - примерно треть. В химической промышленности произошел переход от развития персонала к природоохранной деятельности, из-за нового химического законодательства и технических регламентов.

Финансовый сектор перешёл от развития персонала к вкладам в местное сообщество. Тем самым, позиционирование компании важнее кадрового голода, что в целом согласуется с кадровой политикой основных финансовых институтов. Доля расходов на персонал снизилась с 75,9% до 58,3%, а развитие местного сообщества возросла с 17% до 29,5%.

Отрасль профессиональных услуг можно охарактеризовать высокими совокупными «внутренними» инвестициями. Однако по сравнению с 2003 годом в данной отрасли (как и в финансовом секторе) очень быстро возросли расходы на инвестиции в мсетное сообщество от 0 до 25,9%.

Торговля - один из лидеров по «внутренним» инвестициям, львиная доля которых направлено на развитие персонала, тенденция по сравнению с 2003 годом сильно не изменилась.

Транспортные компании в своих социальных политиках также отдают приоритет «внутренним» социальным инвестициям: на развитие персонала и охрану его здоровья направлено около 92,2% инвестиций. В 2008 году по сравнению с 2003 годом ситуация изменилась ненамного (было 91,4%).

Важность оценки результатов внешних социальных программ признают сегодня многие компании, однако пока нельзя сказать, что эта практика получила широкое распространение.

Попытку представить результаты оценки в отчете сделали немногие компании: ЛУКОЙЛ, Альфа-Банк, ФИА-Банк, РУСАЛ сообщает о разработке системы оценки. На данном этапе оценка проводится по наиболее общим количественным показателям, отражающим, скорее, масштабы реализованных программ, чем их эффективность.

По мнению экспертов РСПП для повышения эффективности благотворительной деятельности компаний (независимо от выбранной модели) используются такие инструменты, как:

диалоги (общественные консультации «лицом к лицу» с различными группами заинтересованных сторон);

оценка эффективности социальных программ

В качестве примера социального проекта с оценкой результативности можно привести корпоративный медицинский центр, ОК «РУСАЛ», который был открыт в 2005 году.

Главная цель данного проекта - снижение трудопотерь из-за высокой заболеваемости. При этом вводятся целевые показатели результативности функционирования центра - снижение трудопотерь до 600 дней на 100 работающих в год.

Медицинский центр работает в двух направлениях - осуществляет все обязательные мероприятия по снижению трудопотерь и участвует в реализации корпоративной программы добровольного медицинского страхования. В данном учреждении используются средства ранней диагностики профессиональных заболеваний, организовываются регулярные проверки предприятий на соответствие принятым стандартам безопасности, проводится модернизация оборудования и пропаганда здорового образа жизни.

Критерий эффективности работы: переход работника из более «проблемной» группы в более «здоровую».

В целом можно констатировать, что российский бизнес, особенно крупный, постепенно осознает, что одним из основополагающих признаков цивилизованности и современности любой крупной компании становится ее социальная роль[11, c.209].

Рис.6. Изменение общего объема запланированных вложений в корпоративные социальные программы в 2009г. по сравнению с фактическим уровнем расходов в 2008г., %[11, c.210]

Результаты многочисленных исследований показывают, как происходит изменение взгляда на социальные расходы: от восприятия их как добровольных вложений в соответствии с личными ценностями и этическими принципами, до признания социальных инвестиций одним из важных способов эффективного вложения активов. Демонстрацией данного утверждения может служить изменение оценки компаниями перспектив социального инвестирования (рис. 6). Рост объемов социальных инвестиций в 2009 году планировали 75% ведущих российских компаний, включивших социально ответственную деятельность в стратегию своего развития. И только 5% заявили о снижении этих расходов.

Важным представляется разделение социальной политики корпорации в соответствие с её адресатам на внутреннюю и внешнюю.

Внутренняя корпоративная социальная политика - социальная политика, проводимая для работников своей компании, а потому ограниченная рамками данной компании.

Внешняя корпоративная социальная политика - социальная политика, проводимая для местного сообщества на территории деятельности компании или ее отдельных предприятий.

Все больше компаний участвует в различных внешних социальных проектах (федеральных и региональных), инициируемых как властью, так и самостоятельно. Основные направления социального партнерства бизнеса и власти:

-       участие в финансировании инициируемых властью масштабных инвестиций в религиозные, медицинские, спортивные, культурные объекты;

-              содержание объектов ЖКХ (в первую очередь градообразующими предприятиями);

-              поддержка деятельности и формирование базы медицинских, образовательных и культурных учреждений;

-              помощь в организации культурно - досуговой деятельности;

-              проведение образовательных проектов для населения;

-              поддержка инновационных проектов, направленных на развитие местного сообщества;

-              поддержка незащищённых групп населения.

Наибольшее значение и распространение имеют программы внешних социальных инвестиций в моногородах. Проводятся они, соответственно, градообразующими предприятиями, в основном на дополнительные средства, кроме налоговых платежей в местные бюджеты. С учетом того, что на градообразующих предприятиях работает большинство населения территорий присутствия крупных компаний, происходит фактически смыкание внутренней и внешней социальной политики.

В некоторых случаях внешняя социальная политика фирмы способствует устранению провалов государства в определенных направлениях социальной сферы; зачастую муниципальные и региональные власти согласуют и даже перекладывают значительную часть социальной нагрузки на предприятия.

Внутренняя корпоративная социальная политика основывается на сложившемся мнении общества о необходимости компании не только обеспечивать прибыль и платить налоги, но и заботиться о своих работниках. Однако общество посылает бизнесу не совсем четкие сигналы, относительно своих пожеланий. Поэтому компания зачастую формирует социальную политику исходя из собственных представлений о данном процессе.

Обычно программы «внутренних» инвестиций не выходят за рамки следующих расходов:

-       развитие персонала, повышение профессионально-квалификационного уровня работников;

-              формирование корпоративной культуры;

-              рекреация и оздоровление работников и членов их семей;

-              привлечение и поддержка молодежи, в том числе и в образовательных программах;

-              спортивные программы;

-              оказание материальной помощи;

-              помощь ветеранам;

-              реализация разнообразных детских программ.

Внутренняя корпоративная политика направлена, как правило, как на развитие социального капитала, путем укрепления связей, в том числе и неформальных, между работниками, а также между руководством компаний и работниками, так и на увеличение человеческого капитала (здоровье, образование) сотрудников.

Внутренние социальные инвестиции более подробно.

Многие компании осознают сегодня важность внутренних социальных программ как своего конкурентного преимущества. Дальнейшее развитие в социальной практике компаний получили следующие достаточно стандартные программы:

-       добровольного медицинского страхования;

-              жилищного кредитования;

-              негосударственного пенсионного обеспечения.

Помимо этих программ, Компании осуществляют также программы, направленные на охрану здоровья сотрудников, продвижение здорового образа жизни и организацию отдыха персонала и членов их семей независимо от отраслевой принадлежности. В области здравоохранения компании:

-       контролируют и стремятся постоянно улучшать санитарно-гигиенические условия труда;

-              регулярно проводят медицинские осмотры и вакцинацию сотрудников;

-              принимают программы дополнительного медицинского страхования;

-              обеспечивают сотрудников бесплатным питанием;

-              обеспечивают доставку сотрудников на работу;

-              организуют спортивные мероприятия, спартакиады, формируют корпоративные спортивные команды и др.

Российские компании уделяют основное внимание реорганизации системы охраны и улучшения здоровья работников на своих предприятиях. До сих пор используются два принципиальных подхода к организации этой системы:

1.  Сохранение инфраструктуры медицинского характера на балансе предприятий, при этом проводится перестройка всей работы учреждений.

2.       Покупка услуг имеющихся в регионе медицинских учреждений; объем услуг определяется в коллективных договорах и регулярно пересматривается.

В ряде случаев применяется смешанная система, т.к. согласно действующему законодательству предприятия ряда отраслей обязаны иметь постоянно действующие медицинские учреждения для контроля за состоянием здоровья работников.

На рисунке 7 приведена доля затрат на здоровье работников, санаторно-курортное лечение и поддержку здорового образа жизни в процентах от общих социальных инвестиций крупных российских компаний [11, c.219].

Рис.7. Затраты на здоровье работников, санаторно-курортное лечение и поддержку ЗОЖ, % от общих социальных инвестиций [11, c.219]

Программы льготного жилищного кредитования недостаточно распространены в российских фирмах из-за очень высоких цен на жильё и неудовлетворительных темпах жилищного строительства. Тем не менее, в некоторых компаниях подобная практика социального инвестирования действует: «Северсталь» тратит 21% социальных инвестиций, а «Роснефть» более 12% на обеспечение работников жильем.

Негосударственное пенсионное обеспечение в некоторых компаниях осуществляется за счет оказания дополнительной материальной помощи вышедшим на пенсию работникам. В то же время ряд российских компаний перешли на качественно новый уровень пенсионного обеспечения накопительные корпоративные пенсионные программы, увязанные с негосударственными пенсионными фондами.

Причины развития корпоративных пенсионных программ - действующая в стране уравнительная пенсионная система, по которой пенсионер даже с большим стажем работы и высокой заработной на прежних местах не может получать пенсию, превышающую среднюю зарплату по стране на определенный коэффициент. Коэффициент замещения наиболее оплачиваемых работников (работники электростанций, горняки, докеры, машинисты, плавсостав морского флота, металлурги, нефтяники-газовики, авиадиспетчеры и летный состав авиакомпаний) составляет 10-20%, в то время как средний по России - 27,6% по данным на 2009 год.

В результате в отдельных отраслях (нефтегазовая отрасль и железнодорожный транспорт) практически каждый работник, вышедший на пенсию, получает на ряду с государственной ещё и негосударственную пенсию. В то время как в среднем по стране в 2009 году только 1 из 55 пенсионеров получал негосударственную пенсию. В нефте- и газодобывающем Ханты-мансийском Автономном Округе соотношение было 1:10.

Приведем данные 2008 года по наличию корпоративных пенсионных программ в крупных российских компаниях.

Примерно 50:50, чуть менее половины компаний корпоративной пенсионной программы не имеют, чуть более 50% имеют (39,4%) или собираются её внедрять (11,3%).

Так, «Норильский никель» связал корпоративные пенсионные программы с повышением эффективности производства и производительности труда.

В конце 1990-х с целью высвобождения мест и реструктуризации компании были запущены программы «Шесть пенсий» и «Пожизненная профессиональная пенсия», а затем и «Дополнительная корпоративная пенсия» (нацелена на обеспечение ротации кадров) и «Дополнительная пенсионная выплата» (сокращение неэффективных рабочих мест).

Эти 4 программы полностью финансируются за счет средств компании. Однако существуют ещё 2 программы на принципах софинансирования. «Солидарная корпоративная пенсия» - основана на принципах накопления и солидарного участия работников и компании в формировании негосударственной пенсии.

Массовая программа «Корпоративная опционная пенсионная программа», разрабатывается с целью сделать доступным негосударственное пенсионное обеспечение для всех работников.

Затраты на пенсионное обеспечение работников, % от общих социальных инвестиций приведены на рисунке 8.

Рис.8. Затраты на пенсионное обеспечение работников, % от общих социальных инвестиций [11, c.222]

Целевое развитие персонала компании-мировые лидеры считают сегодня одной из актуальных стратегических задач. Важной тенденцией является появление у компаний собственных центров обучения - корпоративных университетов. Имеющийся позитивный опыт в этом направлении достаточно убедителен даже для правительств развитых стран: в последние годы идет активное обсуждение законопроектов о признании корпоративного обучения наравне с обучением, предоставляемом государственными и негосударственными учебными заведениями, имеющими соответствующие лицензии/сертификаты. В России в условиях кризиса объем корпоративного обучения и количество корпоративных университетов значительно сократился. Затраты на обучение работников, в процентах от общих социальных инвестиций приведены на рисунке 9.

Рис.9. Затраты на обучение работников, % от общих социальных инвестиций [11, c.225]

Подводя итоги первой главы, следует отметить, что стратегическим направлением развития социальной ответственности для российского бизнеса должен быть уход от достижения только краткосрочных финансовых результатов за счет клиентов, поставщиков или окружающей среды. Внимание следует переключить на источники роста стоимости, связанные с созданием и развитием интеллектуального человеческого капитала.

проблема социальная деятельность предприятие

2. Исследование социально ответственной деятельности новосибирских коммерческих организаций

 

2.1 Обоснование методики исследования, характеристика и оценка социально ответственной деятельности новосибирских компаний


В России отсутствуют отчетливые и понятные критерии оценки корпоративной социальной ответственности, представления о том, каковы этические принципы современного бизнеса и экономические выгоды социально ответственного поведения. Изучение опыта, накопленного иностранными корпорациями и международными институтами в этой области, полезно для понимания сущности социальной ответственности, однако простое копирование западных принципов и стандартов без учета российских особенностей не может являться решением проблемы. Все это требует уточнения формулировок, определения принципов и критериев оценок для формирования методических подходов к исследованию и анализу проблемы.

Низкий уровень практики корпоративного управления и недостаточная обоснованность социальных отчислений в компаниях оказывает негативное воздействие на формирование социально ответственного поведения, а также способствует возникновению более крупных проблем системного характера на национальном и региональном уровне. Это показывает, что помимо совершенствования корпоративного управления и законодательства в данной сфере необходимо определение качества корпоративной социальной ответственности.

В данной работе использована методика «Оценка эффективности социальной работы с помощью качественного индекса социальных инвестиций». Выбор методики обусловлен ее соответствием теме квалификационной работы. Данная методика позволяет не только оценить эффективность социальной работы отдельной компании, но и сравнить компании между собой. Кроме того, появляется возможность оценить социальную работу всей рассматриваемой совокупности компаний.

Качественный индекс социальных инвестиций призван оценить степень комплексности и полноты такого явления, как корпоративная социальная ответственность. Идея данного индекса состоит в учете факта наличия (или отсутствия) позитивных параметров у компании-респондента. В связи с этим различают частные и общие качественные индексы социальных инвестиций:

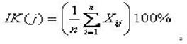
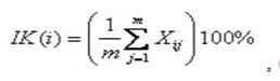
Качественный индекс социальных инвестиций для i-ой компании IK(i) показывает уровень комплексности социальной деятельности компании (единица измерения - проценты) и рассчитывается следующим образом:

где Xij - переменная, принимающая значение 1, если j-ый признак присутствует у i-ой компании, и равна 0, если этот признак отсутствует; m -число признаков, по которым оценивается социальная деятельность компаний. В идеале набор признаков должен быть составлен таким образом, чтобы каждый из них был «сквозным», то есть важным для каждой компании.





Качественный индекс социальных инвестиций для j-го признака IK(j) степень присутствия данного качественного признака в статистической выборке компаний-респондентов (единица измерения - проценты) и рассчитывается следующим образом:




где n - число компаний, участвующих в обследовании.

Общий качественный индекс социальных инвестиций IK показывает уровень комплексности социальной деятельности обследуемой совокупности компаний (единица измерения - проценты) и рассчитывается следующим образом:





В методике используются три группы критериев качественной оценки социальных инвестиций, базирующиеся на 12 показателях, наиболее адекватно характеризующих нынешний этап развития рос¬сийских компаний.

-я группа - институциональное оформление социальной политики. Данная группа предполагает учет по трем позициям:

наличие специального документа, в котором закреплена социальная политика компании (нормативная централизация социальной политики);

наличие специального подразделения, отвечающего за реализацию социальных программ компании (организационная централизация социальной политики);

наличие коллективного договора (нормативная основа социальной политики).

-я группа - система учета социальных мероприятий. Данная группа предполагает учет по четырем позициям:

наличие ежегодных финансовых отчетов в соответствии с международными стандартами (унификация и стандартизация финансовой информации); внедрение международных стандартов социальной отчетности;

оценка эффективности осуществляемых социальных инвестиций (обеспечение обратной связи между инвестором и социальными инвестициями);

примеры социальных программ (информирование общественности в целях передачи позитивного опыта, саморекламы и продвижения репутации и имиджа компании).

-я группа - комплексность осуществляемых социальных инвестиций. Данная группа предполагает учет по пяти направлениям затрат:

развитие персонала компании;

охрана здоровья и труда персонала;

природоохранная деятельность и ресурсосбережение;

поддержание добросовестной деловой практики;

развитие местного сообщества.

На основе сформулированных направлений 3-й группы формируется критерий максимального разнообразия социальной политики предприятий, так как концентрация социальных инвестиций на 1-2 направлениях ведет к диспропорциям в развитии всей социально-экономической системы.

Информацию о наличии или отсутствии каждого из 12-ти признаков обобщает раскрытый в методике единый интегральный показатель - качественный индекс социальных инвестиций (IK).

Все три разновидности качественного индекса социальных инвестиций пронормированы и могут принимать значения от 0 до 100%. Чем больше значение индекса, тем целостнее социальная политика компаний. Сравнение индексов IK(i) для разных компаний позволяет определить лидеров и аутсайдеров по показателю комплексности организации процесса социального инвестирования. Сравнение индексов для разных признаков позволяет выявить соответствующие «узкие места», то есть те признаки, которые представляют для компаний наибольшую проблему.

В дипломной работы по вышеприведенной методике исследуется социально ответственная деятельность следующих десяти новосибирских коммерческих организаций.

Выбор организаций производился по следующим критериям.

. Выбранные компании относятся к разным отраслям экономики.

.Выбранные компании декларирую социально-ответственную деятельность как один из своих приоритетов.

. Выбранные компании публикуют отчетность о социальной работе.

1. Западно-сибирская железная дорога.

.ОАО «НЗХК».

3.ОАО «Сибирьэнерго».

4. ОАО НПО «Элсиб».

5.ОАО ПСК «Сибирь».

.ОАО «Белон».

. Новосибирский муниципальный банк.

.ОАО «Новосибхлеб».

9. ХК ОАО «НЭВЗ-Союз».

.ООО «АСМ».

Источниками информации для исследования послужила отчетность рассмотриальнных организаций о деятельности, направленной на решение социальных проблем.

Далее дадим характеристику и проведем оценку социально ответственной деятельности новосибирских компаний

1. Западно-сибирская железная дорога.

Информация о социальной работе предоставлена отделом по связям с общественностью.оциальная ответственность является одной из важных составляющих деятельности ЗСЖД. Процесс содействия развитию общества в социальной сфере обозначен как важнейшая стратегическая задача Компании, а масштаб деятельности и статус государственной корпорации накладывает на Компанию целый ряд обязательств, от выполнения которых во многом зависит благополучие значительной части российского общества.

Важной функцией корпоративной социальной ответственности является управление нефинансовыми рисками. В связи с этим социальная отчетность ЗСЖД, подготовленная с учетом рекомендаций международных стандартов в области нефинансовой отчетности, призвана не только продемонстрировать обществу и инвесторам качество управления нефинансовыми рисками и уровень социальной ответственности Компании, но и является реальным инструментом корпоративного управления.

В 2007 году ЗСЖД был разработан и введен в действие ряд новых механизмов социальной ответственности. Это касается в первую очередь пилотных проектов в области социальной защиты, охраны окружающей среды <http://rzd.ru/isvp/public/rzd?STRUCTURE_ID=1413&layer_id=3290&id=1211>, менеджмента качества <http://rzd.ru/isvp/public/rzd?STRUCTURE_ID=1448&layer_id=3290&id=1334>. ЗСЖД в составе ОАО «РЖД» вступила в РСПП и присоединилось к Глобальному договору ООН и Социальной хартии Российского бизнеса.

Важным инструментом коммуникаций между Компанией и заинтересованными сторонами в области социальной ответственности является корпоративный социальный отчет. В нем содержится информация по всем направлениям корпоративной социальной ответственности, реализуемым в ЗСЖД, а именно:

информация об ответственности перед персоналом, обществом, потребителями и деловыми партнерами;

сведения об ответственности за охрану окружающей среды и рациональное природопользование;

анализ управленческих подходов - мероприятия и показатели результативности по обеспечению устойчивого экономического, экологического и социального развития Компании.

На основе принципов социального партнерства в ЗСЖД создан реально работающий механизм по урегулированию коллективных и индивидуальных трудовых споров в трудовых коллективах, обеспечению их стабильной работы и социальной защиты работников и ветеранов Компании.

Компания стремится к формированию дифференцированных компенсационных пакетов для каждого из уровней управления, включающих в себя различные социальные услуги (медицинскую страховку, оплату проезда и др.). Продвижение по карьерной лестнице внутри Компании сопровождается увеличением компенсационного пакета.

По состоянию на начало 2010 года средняя стоимость социального пакета (с учетом оздоровления в домах отдыха и санаториях, медицинского обслуживания и других социальных гарантий) составляет около 40 тыс. рублей в год на каждого работника, 5,9 тыс. рублей для неработающего пенсионера.

Важной составляющей стратегии развития ЗСЖД является обеспечение экологической безопасности производственно-транспортного комплекса Компании. Для осуществления природоохранной деятельности в Компании разработан ряд документов.

Главная цель ЗСЖД в сфере экологии - забота о благополучии природной среды и здоровье людей. Для достижения этой цели экологической стратегией <http://doc.rzd.ru/isvp/public/doc?STRUCTURE_ID=5155&layer_id=3368&id=3863> предусматривается:

снижение негативного воздействия на окружающую среду на 35% к 2015 г. и на 70% к 2030 г.;

внедрение эффективных ресурсосберегающих природоохранных технологий и экологически чистых материалов, рациональное использование природных ресурсов;

снижение энергоемкости перевозок: сокращение удельного расхода электроэнергии на тягу поездов на 14,4%, топлива - на 9,1%;

- повышение экологической безопасности и социальной ответственности деятельности компании.

Результаты оценки социально ответственной деятельности предприятия по вышеприведенной методике представлены в таблице 7.

Таблица 7 Оценка социально ответственной деятельности ЗСЖД

Критерии оценки

Оценка

1. Институциональное оформление социальной политики

3

1.1. Наличие специального документа, в котором закреплена социальная политика компании

1

1.2. Наличие специального подразделения, отвечающего за реализацию социальных программ компании

1

1.3. Наличие коллективного договора (нормативная основа социальной политики)

1

2. Система учета социальных мероприятий

2

2.1.Наличие ежегодных финансовых отчетов в соответствии с международными стандартами

1

2.2.Внедрение международных стандартов социальной отчетности

1

2.3.Оценка эффективности осуществляемых социальных инвестиций

0

3.Комплексность осуществляемых социальных инвестиций

5

3.1.Развитие персонала компании

1

3.2.Охрана здоровья и труда персонала

1

3.3.Природоохранная деятельность и ресурсосбережение

1

3.4.Поддержание добросовестной деловой практики

1

3.5.Развитие местного сообщества

1

Итого, баллов

10

Итого, %

91


2.ОАО «НЗХК».

Информация о социальной работе взята из отчетности, опубликованной на сайте компании.

Социальная политика ОАО «НЗХК» занимает важное место наряду с производственной деятельностью и реализуется через собственные социальные программы. Приоритетными направлениями социальной политики ОАО «НЗХК» являются:

решение жилищных проблем работников;

охрана и укрепление здоровья трудящихся;

адресное внимание и материальная поддержка ветеранов и неработающих пенсионеров предприятия, молодежи, семей с детьми.

Работники Н3ХК имеют весомый социальный пакет благодаря значительным финансовым средствам, направляемым на эти цели. Ежегодно часть прибыли предприятия расходуется на приобретение путевок в санатории и дома отдыха, на оказание материальной помощи работникам для возмещения затрат на лечение, медикаменты. Коллективным договором предусмотрены выплаты на дополнительные (по сравнению с действующим законодательством) социальные гарантии, льготы и компенсации. Ежегодно предприятие заключает договоры добровольного медицинского страхования, благодаря чему работникам оплачивается дорогостоящее лечение, обследование и операции в ведущих клиниках города.

В ОАО «НЗХК» реализуется соответствующая современным рыночным условиям жилищная политика, которая направлена на привлечение молодых специалистов, наиболее востребованных на предприятии специальностей, а также на закрепление в ОАО "НЗХК" тех профессионалов, от которых зависит экономическая, научная и производственная эффективность предприятия. Завод вкладывает большие средства в строительство нового жилья, которое затем передается в собственность работникам на условиях оплаты его стоимости в рассрочку в течение 10-15 лет без начисления процентов. С целью финансовой поддержки работников, приобретающих жилье за счет собственных средств, предприятие погашает часть процентной ставки по кредитам, выданным банками на приобретение или строительство жилья. Данная программа позволяет снизить процентную ставку по кредитным договорам работников НЗХК на 5 процентов.

В сфере охраны и укрепления здоровья работников ОАО «НЗХК» обеспечивает традиционно высокий уровень медицинского обслуживания и профилактики. Предприятие полностью содержит собственную медсанчасть (МСЧ), в структуру которой входят поликлиническое отделение, стоматологическое отделение, дневной стационар, санаторий-профилакторий, 11 здравпунктов в подразделениях промышленной площадки (из них 2 - круглосуточные). С 1999 года МСЧ работает в рамках долговременной программы "Здоровье". МСЧ обслуживает более 8 тысяч человек ежегодно. Около 6 тысяч работников предприятия ежегодно проходят профилактический медицинский осмотр. Значительные финансовые средства ежегодно направляются на мероприятия по охране здоровья работников. Предприятие предоставляет работникам бесплатное лечебно-профилактическое питание, которое организовано заводским комбинатом питания, включающим 3 столовые на промышленной площадке, а также несколько буфетов.

В области поддержки молодежи, семей с детьми:

осуществляется оплата за содержание детей работников ОАО «НЗХК» в дошкольных учреждениях г. Новосибирска (более 400 детей);

в связи с рождением ребенка выплачивается материальная помощь в размере 5 тыс. рублей;

предоставляются льготные путёвки в загородный детский оздоровительный центр, путёвки «Мать и дитя»;

значительные средства выделяются и на другие направления программы, в том числе помощь многодетным семьям, новогодние праздники, акции ко Дню матери, Дню защиты детей.

Для привлечения и закрепления работающей молодежи Н3ХК поддерживает тесные связи с базовыми учебными заведениями по подготовке кадров: Томским политехническим университетом, Сибирским политехническим колледжем и профессиональным училищем № 62. для студентов организована оплачиваемая практика, учреждены стипендии, проводится защита дипломных работ по актуальным производственным темам. В ОАО «НЗХК» создан Молодёжный комитет, который играет позитивную роль в привлечении молодежи к общественной жизни, работе с ветеранами, благотворительным акциям. Вошло в традицию празднование Дня молодежи, проходит конкурс на звание «Лучший молодой работник ОАО «НЗХК». Жилищные проблемы молодых специалистов активно решаются, для них ежегодно выделяются квартиры в новых домах на условиях беспроцентной оплаты в рассрочку.

В пенсионных организациях НЗХК состоит на учете около 4,7 тыс. ветеранов и пенсионеров. На предприятии реализуется целый комплекс мер, направленных на улучшение материального обеспечения и социального самочувствия бывших работников:

адресная материальная помощь и компенсация затрат на дорогостоящее лечение, зубопротезирование, медикаменты;

ежемесячная негосударственная дополнительная пенсия в размере до 1000 рублей;

бесплатное лечение и отдых в санатории-профилактории (около 250 пенсионеров ежегодно);

ежегодное единовременное вознаграждение участникам ВОВ и ветеранам-орденоносцам в размере 5000 рублей каждому.

В ОАО «НЗХК» существуют богатые традиции и разнообразные формы проведения корпоративных мероприятий. Ежегодно для работников предприятия, молодежи, детей и пенсионеров проводится более 40 культурно-массовых мероприятий: праздничные программы, концерты, митинги, корпоративные вечера, фестивали, выставки, торжественные церемонии, выезды за город, интеллектуальные игры и игры КВН.

В спортивной жизни коллектива особое место занимает ежегодная внутризаводская спартакиада по таким видам спорта, как легкая атлетика, плавание, настольный теннис, мини-футбол, волейбол, а также соревнования по стендовой стрельбе и подледному лову. Финансирование культурных и спортивных мероприятий составляет в год около 9 млн. рублей.

В рамках благотворительной деятельности предприятие активно помогает школам, детским домам района, города, области, оказывает финансовую поддержку при проведении спортивных мероприятий, общественным и ветеранским организациям. Для детей - сирот ежегодно приобретается 60 путёвок в загородный лагерь, более 600 детей - сирот получают бесплатные новогодние подарки. На благотворительные цели направляется около 4 млн. рублей в год.

Результаты работы предприятия в области социальной политики в течение ряда лет получают высокую оценку Правительства Российской Федерации. Ежегодно участвуя во Всероссийском конкурсе «Российская организация высокой социальной эффективности», ОАО «Н3ХК» является обладателем дипломов лауреата в номинациях «Организация спортивно-оздоровительной работы», «Организация работы по охране материнства и детства», а также в отраслевой номинации.

Основные направления экологической политики ОАО «НЗХК»:

соблюдение российского природоохранительного законодательства и других требований, принятых ОАО «НЗХК»;

постоянное совершенствование нашей системы управления окружающей средой для предупреждения загрязнения и уменьшения негативного воздействия, связанного с вредными выбросами, сбросами, размещением отходов и потреблением ресурсов;

взаимодействие и сотрудничество с органами власти, общественностью и средствами массовой информации;

проведение производственного экологического контроля соблюдения экологических нормативов;

осуществление постоянного контроля соблюдения мер безопасности, регулярная оценка достаточности и эффективности мероприятий по предупреждению и ликвидации чрезвычайных ситуаций;

обучение персонала культуре безопасности, охране здоровья и окружающей среды во всех видах производственной деятельности ОАО «НЗХК».

Руководство ОАО «НЗХК» берет на себя ответственность за реализацию этой политики, выделение адекватных ресурсов для достижения поставленных целей и считает обеспечение охраны окружающей среды осознанной обязанностью каждого работника ОАО «НЗХК».

 Экологическая безопасность - одна из главных составляющих общей безопасности производства, которая понимается как всеобъемлющее понятие и является одним из базовых принципов, опора на которые позволяет ОАО "НЗХК" успешно развиваться и постоянно совершенствоваться. Функционирование системы экологической безопасности предприятия обеспечивается действием ряда внутренних стандартов предприятия, определяющих задачи каждого подразделения по выполнению требований защиты окружающей среды и пути реализации основных направлений Экологической политики ОАО "НЗХК".

Лучшим свидетельством эффективной деятельности ОАО "НЗХК" по защите окружающей среды являются заключения государственных и независимых аудиторов. Подтверждением экологической безопасности ОАО "НЗХК" является присуждение Обществу в 1996 году международного приза "Золотая пальмовая ветвь" французского отделения "Гринпис" за хорошие результаты по экологии. В 2004 году предприятие успешно прошло процедуру сертификации на соответствие требованиям международного стандарта ISO 14001, которую проводила команда аудиторов немецкого органа по сертификации TUV CERT. Получение первого сертификата - это только начало работы. Основной целью этого стандарта является постоянное снижение негативного воздействия производственной деятельности предприятия на окружающую среду. Для её достижения разработана и успешно реализуется "Программа управления окружающей средой ОАО "НЗХК", в которой намечены пути развития системы управления охраной окружающей среды, опирающиеся на последние достижения науки и техники. Получение сертификата является для ОАО "НЗХК" точкой отсчета в этом развитии, стремлении к самым передовым технологиям.

Результаты оценки социально ответственной деятельности предприятия по вышеприведенной методике представлены в таблице 8.

Таблица 8 Оценка социально ответственной деятельности ОАО «НЗХК»

Критерии оценки

Оценка

1. Институциональное оформление социальной политики

2

1.1. Наличие специального документа, в котором закреплена социальная политика компании

0

1.2. Наличие специального подразделения, отвечающего за реализацию социальных программ компании

1

1.3. Наличие коллективного договора (нормативная основа социальной политики)

1

2. Система учета социальных мероприятий

1

2.1.Наличие ежегодных финансовых отчетов в соответствии с международными стандартами

0

2.2.Внедрение международных стандартов социальной отчетности

0

2.3.Оценка эффективности осуществляемых социальных инвестиций

1

3.Комплексность осуществляемых социальных инвестиций

5

3.1.Развитие персонала компании

1

3.2.Охрана здоровья и труда персонала

1

3.3.Природоохранная деятельность и ресурсосбережение

1

3.4.Поддержание добросовестной деловой практики

1

3.5.Развитие местного сообщества

1

Итого, баллов

8

Итого, %

73


3.ОАО «Сибирьэнерго».

Информация о социальной работе предоставлена пресс-службой компании.

Один из факторов успеха ОАО «СибирьЭнерго» - профессиональная стабильная команда. В настоящее время на предприятии работает чуть более 1700 человек, каждый из которых ежедневно участвует в построении успешного бизнеса.

Политика в области управления персоналом основывается на привлечении сотрудников, как с опытом работы, так и выпускников учебных заведений. «Руководителями не рождаются. Ими становятся» - золотое правило компании. А потому новые сотрудники, придя на работу, имеют широкие возможности для карьерного роста. Ведь не случайно, большинство менеджеров среднего и высшего звена «выросли» из рядовых сотрудников. Для тех, кто только начинает строить карьеру ОАО «СибирьЭнерго» предлагает несколько направлений деятельности, которые позволят начать профессиональную деятельность и стать интересным, грамотным специалистом. Новым сотрудникам помогают максимально быстро и эффективно войти в работу с помощью адаптационной программы.

ОАО «СибирьЭнерго» - социально ответственная команда, где делается всё возможное, чтобы сохранить рабочие места и обеспечить достойные условия труда сотрудникам. Система мотивации персонала позволяет каждому сотруднику рассчитывать на карьерный рост и вознаграждение, соответствующее его профессиональному уровню и личному вкладу в дело компании.

Разработана целая система поощрения и стимулирования сотрудников. Она дает работникам возможность проявить себя, добиться признания в своей профессиональной среде и стремиться к высоким результатам. На предприятии ежегодно проводятся смотр-конкурсы «Лучший по профессии» среди инженеров-инспекторов и агентов по сбыту энергии.

Сотрудники имеют возможность повышать свой профессионализм, пройдя программы обучения, повышения квалификации, побывав на интересных тренингах и семинарах; двигаться вперед по карьерной лестнице и осваивать новые горизонты.

Компания уделяет много времени вопросам корпоративной культуры и формированию сплоченной команды талантливых специалистов. В числе мероприятий: ежегодное празднование «Дня энергетика», проведение спартакиад, КВН, корпоративных мероприятий.

Также реализуются внешние социальные программы.

Компания уже несколько лет реализует программу «Энергосбыт - детям!», в рамках которой оказывается помощь детским домам, домам ребенка, детским приютам в Новосибирске и области. Также оказывается помощь детским спортивным и медицинским учреждениям, общеобразовательным школам, детским садам, общественным организациям, инвалидам и ветеранам Великой Отечественной войны.

Специалисты компании курируют студентов профильных факультетов и специальностей НГТУ в подготовке дипломных и курсовых работ. ОАО «СибирьЭнерго» участвует в программе поддержки студенчества Общественного совета «Социальное партнерство» «Уникальный ресурс Сибири».

Результаты оценки социально ответственной деятельности предприятия по вышеприведенной методике представлены в таблице 9.

Таблица 9 Оценка социально ответственной деятельности ОАО «Сибирьэнерго»

Критерии оценки

Оценка

1. Институциональное оформление социальной политики

2

1.1. Наличие специального документа, в котором закреплена социальная политика компании

1

1.2. Наличие специального подразделения, отвечающего за реализацию социальных программ компании

0

1.3. Наличие коллективного договора (нормативная основа социальной политики)

1

2. Система учета социальных мероприятий

0

2.1.Наличие ежегодных финансовых отчетов в соответствии с международными стандартами

0

2.2.Внедрение международных стандартов социальной отчетности

0

2.3.Оценка эффективности осуществляемых социальных инвестиций

0

3.Комплексность осуществляемых социальных инвестиций

5

3.1.Развитие персонала компании

1

3.2.Охрана здоровья и труда персонала

1

3.3.Природоохранная деятельность и ресурсосбережение

1

3.4.Поддержание добросовестной деловой практики

1

3.5.Развитие местного сообщества

1

Итого, баллов

7

Итого, %

64

 

4. ОАО НПО «Элсиб».

Информация о социальной работе предоставлена специалистом по связям с общественностью.

Выделяются следующие основные направления внутренней социальной политики.

1.Обеспечение жильем, помощь в улучшении жилищных условий.

В рамках данной программы предприятие помогает в улучшении жилищных условий своих сотрудников, а иногородним работникам предоставляются места в общежитиях.

На предприятии рассматривается возможность улучшения жилищных условий работников за счет предоставления им ряда финансовых льгот и оказания поддержки при получении работниками ипотечного кредита.

. Охрана и укрепление здоровья работников.

В рамках программы охраны здоровья работников на предприятии проводятся следующие мероприятия:

-       периодические медицинские осмотры работников, по результатам которых разрабатываются долгосрочные и ежегодные программы; направленные на поддежание укрепление потенциала здоровья работников предприятия, включая профилактическую вакцинацию, витаминотерапию, санаторно-курортное лечение;

-              проводится физкультурно-оздоровительная работа, организуются спортивные мероприятия;

-              реализуется получение медицинской помощи через системы обязательного и добровольного медицинского страхования;

-              организована работа здравпункта, куда сотрудники могут обратиться за первичной медицинской помощью.

. Поддержка молодых семей.

Программа направлена на поддержку молодых семей работников предприятия, в которых один из супругов не достиг возраста 30 лет.

В рамках данной программы предприятие:

-       выплачивает ежемесячные компенсационные выплаты работникам, находящимся в оплачиваемом отпуске по уходу за ребенком при рождении двух и более детей;

-              оказывает содействие в размещении детей в дошкольных образовательных учреждениях города;

-              рассматривается возможность содействия в улучшении жилищных условий молодой семьи через предоставление финансовых льгот и поддержку при получении ипотечного кредита.

. Материальная помощь сотрудникам.

Данная программа направлена на материальную поддержку работников предприятия в любой жизненной ситуации.

Одна из целей программы - организовать отдых и досуг детей работников предприятия.

В рамках программы организации отдыха и досуга детей предприятие:

-   организует творческие конкурсы, посвященные Дню смеха, Дню защиты детей, Дню машиностроителя;

-              организует спортивные мероприятия, соревнования для детей и родителей.

-              для детей работников предприятия в возрасте до 14 лет включительно организуются праздничные мероприятия, вручаются новгодние подарки.

5. Работа с ветеранами и пенсионерами.

Большое внимание предприятие уделяет работе с ветеранами труда и пенсионерами, оказывая им материальную помощь, организуя различные праздничные мероприятия.

. Развитие корпоративной культуры.

-   разработка и внедрение принципов производства и норм поведения работников в организации, соблюдение которых обеспечит соответствие деятельности высоким профессиональным стандартам и моральным ценностям;

-       разработка и соблюдение единых стандартов социального обеспечения и бытового обслуживания работников;

-              выявление лучших работников (по результатам деятельности) и разработка системы их морального и материального стимулирования;

-   организация корпоративных ных мероприятий;

-              создание системы профессионального развития работников;

-              разработка и реализация программ работы с молодежью через систему наставничества;

-       развитие физкультуры и спорта на предприятии;

-              организация творческих конкурсов для детей сотрудников предприятия.

Уже несколько лет НПО «ЭЛСИБ» ОАО шефствует над детским домом №4.

Таблица 10 Оценка социально ответственной деятельности ОАО НПО «Элсиб»

Критерии оценки

Оценка

1. Институциональное оформление социальной политики

1

0

1.2. Наличие специального подразделения, отвечающего за реализацию социальных программ компании

0

1.3. Наличие коллективного договора (нормативная основа социальной политики)

1

2. Система учета социальных мероприятий

0

2.1.Наличие ежегодных финансовых отчетов в соответствии с международными стандартами

0

2.2.Внедрение международных стандартов социальной отчетности

0

2.3.Оценка эффективности осуществляемых социальных инвестиций

0

3.Комплексность осуществляемых социальных инвестиций

5

3.1.Развитие персонала компании

1

3.2.Охрана здоровья и труда персонала

1

3.3.Природоохранная деятельность и ресурсосбережение

1

3.4.Поддержание добросовестной деловой практики

1

3.5.Развитие местного сообщества

1

Итого, баллов

6

Итого, %

55


Большая работа проводится в рамках проекта «Моя рабочая семья», разработанного Корпоративным благотворительным фондом «Катрен». Его цель - помочь выпускникам детских домов в трудоустройстве. Проект направлен на социальную адаптацию в обществе детей-сирот через организацию преемственности учреждений «детский дом - учебное заведение - предприятие».

Результаты оценки социально ответственной деятельности предприятия по вышеприведенной методике представлены в таблице 10.

5.ОАО ПСК «Сибирь».

Информация о социальной работе предоставлена отделом по связям с общественностью.

Концерн «Сибирь» - активный участник федеральных социальных программ - только в 2009 году построил 458 квартир для молодых семей, военнослужащих, уволенных в запас, переселенцев и беженцев, членов жилищно-строительного кооператива.

Промышленно-строительный концерн «Сибирь» принимает участие в первой в Сибирском регионе коалиционной социальной программе поддержки студенчества «Уникальный ресурс для экономики Сибири». Главная цель этой программы - предоставление дополнительных профессиональных знаний и навыков, стажировок и премий самым одаренным студента - тем, кто завтра станет профессиональной бизнес-элитой общества.

В течение нескольких лет концерн «Сибирь» отбирает по конкурсу и приглашает для стажировки с последующим трудоустройством студентов Новосибирского государственного архитектурно-строительного университета. Выпускники университета успешно трудятся на строительных объектах «Сибири».

«Сибирь» работает на перспективу, и в кадровом вопросе ее политика неизменна: поиск будущих профессионалов должен осуществляться прежде всего в студенческой среде - они молоды, полны сил и энергии.

Президент концерна «Сибирь» Валерий Дмитриевич Червов - не только инициатор проведения благотворительной акции «Жизнь без наркотиков», он помогает этому движению реально - разрабатывает и внедряет социальные программы по реабилитации безнадзорных детей, инвалидов и граждан, попавших в кризисные ситуации. Концерн «Сибирь» во главе с президентом В.Д. Червовым является коллективным членом Новосибирского областного отделения Общественной организации «Международная Ассоциация по борьбе с наркоманией и наркобизнесом», оказывает реальную помощь в реализации проекта по созданию Российского Антинаркотического Центра, организации обучения и создания рабочих мест во время реабилитации наркозависимых, прошедших стационарное лечение. Помощь эта действительно реальна: благотворительные взносы на счет НОООО МАБНН, предоставление собственной продукции (деревоизделий и необходимых строительных материалов).

Таблица 11 Оценка социально ответственной деятельности ОАО ПСК «Сибирь»

Критерии оценки

Оценка

1. Институциональное оформление социальной политики

1

1.1. Наличие специального документа, в котором закреплена социальная политика компании

0

1.2. Наличие специального подразделения, отвечающего за реализацию социальных программ компании

0

1.3. Наличие коллективного договора (нормативная основа социальной политики)

1

2. Система учета социальных мероприятий

0

2.1.Наличие ежегодных финансовых отчетов в соответствии с международными стандартами

0

2.2.Внедрение международных стандартов социальной отчетности

0

2.3.Оценка эффективности осуществляемых социальных инвестиций

0

3.Комплексность осуществляемых социальных инвестиций

5

3.1.Развитие персонала компании

1

3.2.Охрана здоровья и труда персонала

1

3.3.Природоохранная деятельность и ресурсосбережение

1

3.4.Поддержание добросовестной деловой практики

1

3.5.Развитие местного сообщества

1

Итого, баллов

6

Итого, %

55


С 1999 года (с момента образования отделения конного спорта), концерн «Сибирь» активно сотрудничает с детским юношеским клубом «Заря». С его помощью приобретается новое снаряжение, лошади, корм, строительные материалы для ремонта конюшен, форма для детей.

Результаты оценки социально ответственной деятельности предприятия по вышеприведенной методике представлены в таблице 11.

6.ОАО «Белон».

Информация о социальной работе предоставлена пресс-службой компании.

Во главу кадровой политики ОАО «Белон» ставит развитие и обучение сотрудников. В 2007 году Группа «Белон» начала реализацию комплексной программы обучения, соответствующей самым передовым практикам в сфере управления персоналом. Она включает в себя три направления - «Топ-менеджер Группы «Белон», «Менеджер Группы «Белон» и «Внутрикорпоративное развитие».

Социальная ответственность компании отражается в ее вкладе в экономическое, социальное и культурное развитие регионов, где работают предприятия Группы «Белон».

Участвуя в общественной жизни регионов, компания вносит свой вклад в создание гармоничного общества.

Основой социальной политики является обеспечение социальных гарантий для сотрудников, реализация большого числа благотворительных проектов. Компания активно внедряет современные технологии в производственный процесс и заботимся о сохранении окружающей среды.

Современная организация производства подразумевает внедрение высоких технологий, рациональное природопользование, переработку и использование отходов производства. Реализуемые в настоящее время проекты, направленные на создание инновационных продуктов, благоприятно сказываются и на состоянии окружающей среды.

Благотворительная и спонсорская деятельность Группы «Белон» - это вклад компании в решение общественных проблем, отражение ее социально-ответственной позиции.

Компания поддерживает социальные, медицинские, образовательные и культурные учреждения: детские спортивные и творческие коллективы, общественные организации инвалидов, Советы ветеранов войны и труда, оказываем помощь в строительстве социально-культурных объектов, социальных и детских дошкольных образовательных учреждений, школ и гимназий.  Несколько лет компания взаимодействует с Российским фондом помощи, оказывая финансовую поддержку детям с серьезными заболеваниями. В рамках акции «От сердца к сердцу», проводимой НИИ кардиологии Томского научного центра СО РАМН, детям из малообеспеченных семей оказывается помощь в лечении кардиологических заболеваний.

Результаты оценки социально ответственной деятельности предприятия по вышеприведенной методике представлены в таблице 12.

Таблица 12 Оценка социально ответственной деятельности ОАО «Белон»

Критерии оценкиОценка


1. Институциональное оформление социальной политики

2

1.1. Наличие специального документа, в котором закреплена социальная политика компании

1

1.2. Наличие специального подразделения, отвечающего за реализацию социальных программ компании

0

1.3. Наличие коллективного договора (нормативная основа социальной политики)

1

2. Система учета социальных мероприятий

0

2.1.Наличие ежегодных финансовых отчетов в соответствии с международными стандартами

0

2.2.Внедрение международных стандартов социальной отчетности

0

2.3.Оценка эффективности осуществляемых социальных инвестиций

0

3.Комплексность осуществляемых социальных инвестиций

5

3.1.Развитие персонала компании

1

3.2.Охрана здоровья и труда персонала

1

3.3.Природоохранная деятельность и ресурсосбережение

1

3.4.Поддержание добросовестной деловой практики

1

3.5.Развитие местного сообщества

1

Итого, баллов

7

Итого, %

64

 

7. Новосибирский муниципальный банк.

Информация о социальной работе взята из отчетности, опубликованной на сайте банка.

Новосибирский муниципальный банк одним из первых среди российских банков обозначил свою социально ответственную позицию и сформировал многоуровневую систему корпоративной социальной ответственности - перед обществом, перед городом и регионом, перед своими сотрудниками.

Выпуск первого Социального отчета по итогам 2005 - 2007 гг. подтверждает стремление Банка к максимальной открытости и поддержанию эффективного диалога с сотрудниками, клиентами и партнерами, обществом в целом.

Банк убежден: активная позиция в вопросах социальной ответственности является залогом будущих коммерческих успехов, благополучия самого Банка и общества, в котором он функционирует.

Одним из приоритетных направлений социальной политики, реализуемой Банком на протяжении всей его деятельности, является поддержка молодого поколения. Банк активно участвует в реализации проектов, направленных на физическое, духовно-нравственное и творческое развитие детей и молодежи, расценивая это как свой вклад в социальное благополучие не только настоящего, но и будущего г. Новосибирска и всей страны.

На протяжении 2009 г. Банк продолжал оказывать помощь детям-сиротам, воспитанникам детских домов, молодым талантам, а также поддерживал социально значимые проекты органов власти, общественных, культурных, образовательных организаций. На реализацию этого направления благотворительной деятельности Банком и его сотрудниками, делавшими добровольные личные пожертвования, было направлено свыше 700 тыс. рублей.

Так, Банк традиционно оказал помощь в проведении молодежного рождественского праздника, организуемого Новосибирской епархией Русской православной церкви. Поддержал международную детскую Сибириаду-2009, посвященную 115-летия столицы Сибири, детско-юношескую спортивную школу по боксу в подготовке к чемпионату России. Принял участие в реализации проекта по профилактике детского дорожного травматизма, инициированного общественной организацией «Форпост». В организованном при поддержке Банка студенческом музыкальном фестивале приняли участие свыше 20 команд ведущих вузов г. Новосибирска.

Таблица 13 Оценка социально ответственной деятельности Новосибирского муниципального банка

Критерии оценкиОценка


1. Институциональное оформление социальной политики

1

1.1. Наличие специального документа, в котором закреплена социальная политика компании

1

1.2. Наличие специального подразделения, отвечающего за реализацию социальных программ компании

0

1.3. Наличие коллективного договора (нормативная основа социальной политики)

0

2. Система учета социальных мероприятий

2

2.1.Наличие ежегодных финансовых отчетов в соответствии с международными стандартами

1

2.2.Внедрение международных стандартов социальной отчетности

1

2.3.Оценка эффективности осуществляемых социальных инвестиций

0

3.Комплексность осуществляемых социальных инвестиций

4

3.1.Развитие персонала компании

1

3.2.Охрана здоровья и труда персонала

1

3.3.Природоохранная деятельность и ресурсосбережение

0

3.4.Поддержание добросовестной деловой практики

1

3.5.Развитие местного сообщества

1

Итого, баллов

7

Итого, %

64


Результаты оценки социально ответственной деятельности предприятия по вышеприведенной методике представлены в таблице 13.

8.ОАО «Новосибхлеб».

Информация о социальной работе предоставлена специалистом по связям с общественностью.

Давней традицией ОАО «Новосибхлеб» была и остается широкомасштабная благотворительная деятельность. Руководствуясь заботой об общественных интересах, фирма всегда готова прийти на помощь всем, кто в ней остро и неотложно нуждается, - детским домам и приютам, учреждениям культуры и церковным организациям и, конечно же, пожилым людям, обращающимся в ОАО «Новосибхлеб» с просьбой о помощи и поддержке в тяжелых жизненных ситуациях. На благотворительность направлены значительные материальные средства. Один лишь яркий штрих: только на реконструкцию знаменитого Новосибирского театра оперы и балета, начатую по инициативе полномочного представителя президента РФ по Сибирскому федеральному округу и губернатора Новосибирской области, ОАО «Новосибхлеб» выделило более одного миллиона рублей.

В правилах фирмы и в ее духе открывать впечатляющие перспективы перед молодежью, решившей посвятить свою жизнь хлебопекарной и кондитерской индустрии. Стопроцентная оплата образования в любых техникумах, лицеях, вузах, университетах России, оплата се зонных отпусков и проезда, проживания в гостиницах и общежитиях, постоянная техническая, духовная и финансовая помощь трудящейся молодежи - важнейший из приоритетов ОАО «Новосибхлеб».

В 2009 году из бюджета предприятия перечислены средства в центр реабилитации детей-инвалидов, на развитие профессиональной гимназии № 1 и профучилища № 9. Для детей сотрудников предприятия выделяются путевки в пионерские лагеря, ребятишек радуют подарками и веселыми праздниками в Новый год, в День защиты детей и, конечно же, на праздник маленьких первоклашек - в День знаний 1 сентября. Не забыты и ветераны «Новосибхлеба»: все пенсионеры предприятия ежемесячно получают стабильную социальную помощь.

В рамках благотворительной программы на 2010 год к традиционно оказываемой помощи детям и ветеранам в бюджет предприятия включены оказание спонсорской помощи профессиональному клубу по мини-футболу «Сибирь», Преображенской епархии г. Новосибирска, региональной организации «Моя новая жизнь».

Результаты оценки социально ответственной деятельности предприятия по вышеприведенной методике представлены в таблице 14.

Таблица 14 Оценка социально ответственной деятельности ОАО «Новосибхлеб»

Критерии оценки

Оценка

1. Институциональное оформление социальной политики

1

1.1. Наличие специального документа, в котором закреплена социальная политика компании

0

1.2. Наличие специального подразделения, отвечающего за реализацию социальных программ компании

0

1.3. Наличие коллективного договора (нормативная основа социальной политики)

1

2. Система учета социальных мероприятий

0

2.1.Наличие ежегодных финансовых отчетов в соответствии с международными стандартами

0

2.2.Внедрение международных стандартов социальной отчетности

0

2.3.Оценка эффективности осуществляемых социальных инвестиций

0

3.Комплексность осуществляемых социальных инвестиций

4

3.1.Развитие персонала компании

1

3.2.Охрана здоровья и труда персонала

1

3.3.Природоохранная деятельность и ресурсосбережение

1

3.4.Поддержание добросовестной деловой практики

0

3.5.Развитие местного сообщества

1

Итого, баллов

5

Итого, %

45

 

9. ХК ОАО «НЭВЗ-Союз».

Информация о социальной работе предоставлена отделом по связям с общественностью.

ХК ОАО «НЭВЗ-Союз» имеет развитую социальную инфраструктуру, а именно:

собственный Дом культуры (ДК «Энергия»), в котором проводятся общезаводские мероприятия, работают общественные формирования (Совет мастеров, Совет технологов, Круглый стол экономистов), осуществляют свою деятельность творческие коллективы, такие как Школа раннего развития детей «Гармония», хор «Оптимист» и т.д.;

санаторий-профилакторий, заводские дачи, где ежегодно проходят оздоровление свыше 300 человек.

Компания имеет собственную корпоративную газету «НЭВЗ-Ритм», ведет большую благотворительную деятельность.

Результаты оценки социально ответственной деятельности предприятия по вышеприведенной методике представлены в таблице 15.

Таблица 15 Оценка социально ответственной деятельности ХК ОАО «НЭВЗ-Союз»

Критерии оценкиОценка


1. Институциональное оформление социальной политики

1

1.1. Наличие специального документа, в котором закреплена социальная политика компании

0

1.2. Наличие специального подразделения, отвечающего за реализацию социальных программ компании

0

1.3. Наличие коллективного договора (нормативная основа социальной политики)

1

2. Система учета социальных мероприятий

0

2.1.Наличие ежегодных финансовых отчетов в соответствии с международными стандартами

0

2.2.Внедрение международных стандартов социальной отчетности

0

2.3.Оценка эффективности осуществляемых социальных инвестиций

0

3.Комплексность осуществляемых социальных инвестиций

5

3.1.Развитие персонала компании

1

3.2.Охрана здоровья и труда персонала

1

3.3.Природоохранная деятельность и ресурсосбережение

1

3.4.Поддержание добросовестной деловой практики

1

3.5.Развитие местного сообщества

1

Итого, баллов

6

Итого, %

55

 

10.ООО «АСМ».

Информация о социальной работе предоставлена отделом по связям с общественностью.

Благотворительная деятельность ООО «АСМ» направлена на решение проблем незащищенных слоев населения, в частности:

- детей, оказавшихся в трудной жизненной ситуации (сироты; дети, оставшиеся без попечения родителей; дети из семей группы риска);

детей-инвалидов;

детей, нуждающихся в социально-педагогической реабилитации.

Компания оказывает материальную поддержку:

ОГУ «Областной социально-реабилитационный центр для несовершеннолетних «Радуга»:

ОГУ «Реабилитационный центр для детей и подростков с ограниченными возможностями»;

социально-реабилитационному центру для несовершеннолетних «Снегири»;

МДОУ «Центр развития ребенка № 312».

Таблица 16 Оценка социально ответственной деятельности ООО «АСМ»

Критерии оценки

Оценка

1. Институциональное оформление социальной политики

1

1.1. Наличие специального документа, в котором закреплена социальная политика компании

1

1.2. Наличие специального подразделения, отвечающего за реализацию социальных программ компании

0

1.3. Наличие коллективного договора (нормативная основа социальной политики)

0

2. Система учета социальных мероприятий

0

2.1.Наличие ежегодных финансовых отчетов в соответствии с международными стандартами

0

2.2.Внедрение международных стандартов социальной отчетности

0

2.3.Оценка эффективности осуществляемых социальных инвестиций

0

3.Комплексность осуществляемых социальных инвестиций

3

3.1.Развитие персонала компании

1

3.2.Охрана здоровья и труда персонала

1

3.3.Природоохранная деятельность и ресурсосбережение

0

3.4.Поддержание добросовестной деловой практики

0

3.5.Развитие местного сообщества

1

Итого, баллов

4

Итого, %

36


Благотворительная деятельность ООО «АСМ» позволяет создавать детям равные условия жизни - независимо от наличия семьи, а также их сризических и умственных способностей. В социальных учреждениях находятся дети с нелегкой судьбой, и забота о них вселяет в детские души добро и надежду на лучшее.

Результаты оценки социально ответственной деятельности предприятия по вышеприведенной методике представлены в таблице 16.

Обобщенную оценку социально ответственной деятельности десяти предприятий (общий качественный индекс социальных инвестиций) представим в таблице 17.

 

Таблица 17 Обобщенная оценка социально ответственной деятельности предприятий

Критерии оценки

Оценка

1. Институциональное оформление социальной политики

15

1.1. Наличие специального документа, в котором закреплена социальная политика компании

5

1.2. Наличие специального подразделения, отвечающего за реализацию социальных программ компании

2

1.3. Наличие коллективного договора (нормативная основа социальной политики)

8

Всего, %

50

2. Система учета социальных мероприятий

5

2.1.Наличие ежегодных финансовых отчетов в соответствии с международными стандартами

2

2.2.Внедрение международных стандартов социальной отчетности

2

2.3.Оценка эффективности осуществляемых социальных инвестиций

1

Всего, %

17

3.Комплексность осуществляемых социальных инвестиций

46

3.1.Развитие персонала компании

10

3.2.Охрана здоровья и труда персонала

10

3.3.Природоохранная деятельность и ресурсосбережение

8

3.4.Поддержание добросовестной деловой практики

8

3.5.Развитие местного сообщества

10

Всего, %

92

Итого, баллов

66

Итого, %

60


Подведем итоги исследования. Качественный индекс институционального оформления социальной политики составил 50%. При этом наличие коллективного договора установлена у 8 из 10 компаний, наличие специального документа, в котором закреплена социальная политика компании у 5 из 10 компаний, а наличие специального подразделения, отвечающего за реализацию социальных программ только у 2 компаний.

Таким образом, можно констатировать, что главным иструментом социальной политики новосибирских предприятий был и остается коллективный договор, т.е. ситуация не изменилась со времен СССР.

Система учета социальных мероприятий у новосибирских компаний практически отсутствует (индекс 17%). Попытки внедрения международных стандартов и публикации социальных отчетов предпринимали только 2 компании (ЗСЖД и Муниципальный банк), а оценить эффективность социльных инвестиций пыталось только ОАО «НЗХК».

Намного более благополучна ситуация с комплексностью осуществляемых социальных инвестиций (индекс 92%). Все рассматриваемые предприятия осознают необходимость диверсификации социальных инвестиций и, по мере финансовых возможностей, этот принцип реализуют.

Общий качественный индекс социальных инвестиций рассмотренных предприятий составляет 60%. Данный результат следует оценить как удовлетворительный (3 балла по пятибальной системе).

2.2 Рекомендации по развитию социально отвественной деятельности новосибирских компаний

Выгоды программ социальной ответственности, прежде всего, в налаживании двухсторонних коммуникаций с целевыми группами, от которых зависит благополучие компаний. Репутационный капитал, приобретаемый при концепции социально ориентированного бизнеса, приносит социальное признание, за которым и рост продаж, и улучшение внутрикорпоративных отношений, а значит сокращение текучести кадров, рост производительности труда и стабильность развития компании в долгосрочной перспективе. Во внешней среде это отражается на сохранении социальной стабильности в обществе в целом, помогает компаниям интегрироваться в сообщество и заручиться его поддержкой.

Рассмотрим некоторые направления социализации бизнеса и способы решения бизнес-задач компаний при использовании социального маркетинга для продвижения во внешней среде.

1. Программы социального партнерства в области Government Relations.

Данные программы способствуют установлению доброжелательных двусторонних коммуникаций с властными структурами, от которых зависит лицензирование, аренда, экологические нормативы, контроль за качеством продукции, тендеры.

Социальная активность выступает при этом фактором, повышающим конкурентоспособность предприятий. Поэтому когда проводятся крупные федеральные, городские мероприятия, наряду с властью мы часто видим список спонсоров, выступающих партнерами. Проведение Дельфийских игр в мае в Новосибирске, Дня города в июне - пример таких крупных общественных событий, имеющих консолидированный бюджет. Это позволяет отнести такие PR-акции к разряду направленных на повышение общей инвестиционной привлекательности региона, от чего выигрывают все его жители.

2.Программы внешнего кадрового резерва.

Привлечение сотрудников других отделов (кроме служб персонала) к реализации программ внешнего кадрового резерва имеет многозначительный эффект. Чаще всего, их участие заключается в выступлениях и преподавании в вузах.

Такая деятельность приносит компании вполне реальные экономические выгоды: выступая перед студентами вузов, руководители и сотрудники компании имеют возможность заинтересовать и привлечь в компанию наиболее талантливых и активных молодых людей, которые впоследствии могут составить «интеллектуальный» капитал компании. С другой стороны, готовность компании поделиться своим богатым опытом, демонстрирует сообществу и потенциальным потребителям открытость и прозрачность ее деятельности, заинтересованность в развитии квалифицированных кадров, а значит, улучшает ее имидж и репутацию. Для сотрудников компании, участвующих в образовательном проекте, такая деятельность может служить дополнительным стимулом к собственному профессиональному росту, дает возможность ощутить свою значимость и ответственность, что, несомненно, повлияет на повышение их лояльности к компании в целом. Таким образом, реализация благотворительной программы способна повлиять на успешность кадровой политики, сократить расходы компании на обучение персонала, внедрение специальных программ по повышению лояльности.

Примером может служить программа Студенческого кадрового резерва Новосибирского муниципального банка.

3.Добровольческая деятельность сотрудников компании (волонтерство).

Волонтерство является одной из самых распространенных в мире моделей корпоративной социальной ответственности. В компаниях существует, как правило, две схемы волонтерства:

1.  Сотрудники работают волонтерами в свободное от работы время, а компания поощряет и поддерживает инициативу своих сотрудников.

2.       Сотрудники работают волонтерами в рабочее время, а компания оплачивает сотрудникам эти часы (например, сотрудники проводят бесплатные консультации, участвуют в специальных благотворительных акциях и т.д.)

Добровольческая деятельность сотрудников может быть актуальной и для компаний, которые получили в наследство тяжелое бремя социальной инфраструктуры. Постепенно вовлекая сотрудников в благотворительность, например, начав со сбора книг для соседнего детского сада, руководство компании может заинтересовать персонал более крупными проектами и «разделить» свою ответственность за социальную сферу с сотрудниками. Независимо от формы участия - посещение детского дома, бесплатные консультации для пенсионеров, организация благотворительной акции в защиту животных - волонтерская деятельность сплачивает коллектив, усиливает мотивацию каждого работника, развивает неформальное взаимодействие между сотрудниками, независимо от их статуса в организации. Компании, где сотрудники отдают свое свободное время для помощи тем, кто в этом остро нуждается, легче переживают сложные времена и кризисы, не испытывают высокой текучки кадров, реже несут финансовые потери из-за несогласованности действий сотрудников.

Примером можно предложить программу корпоративного волонтерства Intel Involved

4. Программа частных пожертвований сотрудников компании.

Это самая распространенная в мире модель социальной ответственности компаний. Программы совместной социальной поддержки (сотрудники + компания) действуют в большинстве корпораций стран Европейского союза и США уже несколько десятков лет.

В нашей стране примером может служить участие сотрудников «Альфа-банка» в программе частных пожертвований «Линия жизни», сбор средств шёл на дорогостоящее лечение детей, нуждающихся в экстренной медицинской помощи.

При внедрении этой программы в компании сотрудники получают возможность жертвовать определенную сумму (или процент) от своей зарплаты на выбранный ими социальный проект или в выбранное учреждение (например, в детский дом). Пожертвование может быть единовременным или регулярным. Средства удерживаются из зарплаты сотрудника в процессе ее расчета в бухгалтерии, и перечисляются компанией в выбранное сотрудником учреждение. Компания может добавить свои средства к вкладу сотрудника, увеличивая, таким образом, размер пожертвования. Сотрудники получают постоянные отчеты о том, на что были израсходованы полученные средства. Положительный «внешний» эффект для общества и компании очевиден - общество получает дополнительные ресурсы для решения социальных задач, компания повышает свой авторитет в местном сообществе и на международном уровне, разделяет свою ответственность за социальную сферу со своими сотрудниками и т.д.

Наряду с этим программа является мощным инструментом «внутреннего пиара» и оказывает значительное влияние на лояльное отношение сотрудников к компании и построение личных взаимоотношений внутри коллектива.

5. Программы паблисити и продвижения брендов и компаний.

Брэнд - это некое впечатление о товаре в умах потребителей, ярлык, который мысленно наклеивается на товар. Выигрывает компания, которая создала собственный неповторимый бренд-код, связанный с сообществом многими нитями. Приведем в качестве примера программу страхового холдинга СТИФ в области страхования спортивных соревнований. Традиционно позиционируясь, как компания по защите жизни, здоровья и имущества граждан, СТИФ выступает спонсором турнира на приз Карелина, «Безопасное колесо», «Молодежь против наркотиков» и др. Тем самым они привязывают бренд холдинга к таким ценностям как спорт, здоровый образ жизни, защита жизни и здоровья граждан. Общественный интерес к этим событиям, публикации в СМИ, баннеры на таких мероприятиях помогают формированию позитивного имиджа компаний. Общий итог: за счет подобных проектов повышается узнаваемость и позитивное восприятие бренда, что приводит к общему росту продаж.

6. Корпоративные объединения, рейтинги.

Важным направлением стало создание корпоративных брендов по профессиональным признакам. Социальная ответственность компаний перестает быть только внутрикорпоративным делом или только вопросом отношений предприятия с профсоюзами или общественными организациями. Все чаще компании объединяются для выработки общих принципов и подходов к социальной ответственности, обмена опытом. В связи с отменой лицензирования в ряде отраслей стали активно создаваться СРО - саморегулируемые общественные объединения строителей, аудиторов и др. Они формируют корпоративный профессиональный имидж. Например, в Новосибирске в мае создана Региональная ассоциация аудиторов как филиал Аудиторской Палаты России.

По данным экспертов, темпы развития нефинансовой отчетности в России скоро достигнут европейских. Все крупные компании, особенно те, кто выходит на IPO или планирует иметь активы за рубежом, будут выпускать нефинансовые отчеты по международным стандартам.

Политика социальной ответственности становится и составной частью оценки деятельности и успешности корпораций. А ряд известных зарубежных рейтинговых агентств вырабатывают рейтинги корпоративной социальной ответственности, которые оказываются не менее важными для повышения капитализации компании, увеличения ее нематериальных активов, чем исключительно бизнес-показатели.

7.Взаимодействие с некоммерческими организациями (НКО).

Ключевую роль в обеспечении результативности и эффективности программ корпоративной благотворительности играют профессиональные некоммерческие организации, которые могут выступать действительно полноценным партнером для бизнеса в осуществлении корпоративной благотворительности.

Целесообразно использовать потенциал механизма pro bono. Данный вид благотворительности заключается в предоставлении для НКО сотрудниками компании профессиональной помощи, например, финансовых, юридических, бухгалтерских, маркетинговых, IT услуг.

Этот подход позволяет применять навыки и умения сотрудников, создавая добавленную ценность для НКО, и одновременно профессионализировать организации третьего сектора, развивать и углублять сотрудничество между компаниями и благотворительными организациями.

Рекомендуется использовать «неденежные» возможности компании (помощь вещами, предоставление помещений, выбор НКО в качестве поставщика услуг или продукции и проч.). Неденежная помощь со стороны компаний не ограничивается передачей неликвидных товаров или списанной оргтехники в некоммерческие организации и благотворительные фонды; она может иметь цивилизованные интересные форматы, работать на потребности компаний, НКО и конечных благополучателей.

Если есть выбор, компании могут заказывать услуги (тренинги, исследования и пр.) и покупать товары (новогодние сувениры или календари) в НКО. Так компании помогают некоммерческим организациям самим зарабатывать на свою деятельность.

В качестве партнеров для реализации благотворительной деятельности стоит выбирать некоммерческие организации, которые могут способствовать не только выполнению собственно филантропической миссии благотворительных программ компании, но также работать на решение PR задач, стоящих перед бизнесом.

Ключевую роль в обеспечении результативности и эффективности программ корпоративной благотворительности играют профессиональные некоммерческие организации, которые могут выступать действительно полноценным партнером для бизнеса в осуществлении корпоративной благотворительности.

В качестве примера разработаем концепцию корпоративной социальной ответственности в банковском бизнесе.

Коммерческая деятельность банков напрямую влияет на общество, в котором они функционируют, а будущие успехи в бизнесе тесно связаны с ключевыми общественными ценностями. Потенциал роста банковского бизнеса в условиях возрастающей конкуренции все более определяется нематериальными факторами. Доверие становится одним из важнейших условий нормально функционирующего рынка банковских услуг, а уровень получаемой прибыли все больше обусловливает не технология оказания услуг, но правильное позиционирование банков в социальной среде, основанное на социальной ответственности и репутации.

Общественное назначение коммерческих банков проявляется в том, что они работают не только ради собственной прибыли, но и ради прибыли своих клиентов. Попытка проводить политику, не отвечающую общественным интересам и потребностям, приводила к неэффективности банков, их уходу с рынка. Уровень социальной ответственности банка проявляется в его деятельности. В переломных периодах банки работают ради собственной прибыли в ущерб общественным интересам, что в итоге приводит к нарушению законодательных и экономических норм и, как следствие, ликвидации тех банков, которые провозгласили исключительно коммерческие цели. Чем быстрее в деятельности банков утвердится концепция социально ответственного поведения, тем в большей степени скажется их позитивная роль в общественном развитии.

Ориентация на устойчивое развитие и необходимость совершенствования корпоративного управления в банках (качество которого, по мнению Банка России, все еще остается неудовлетворительным), требует не только приведения деятельности банка в соответствие потребностям клиентов и улучшения финансовых показателей деятельности, но и учета долгосрочных интересов общества, что находит отражение в концепции корпоративной социальной ответственности. Таким образом, возникает необходимость сбалансирования трех составляющих: финансового результата банка, потребностей клиентов и интересов общества (рис.10).









Рис.10. Составляющие социально ответственной деятельности банка

Учет банком потребностей клиентов позволяет достичь определенного финансового результата, который, в свою очередь, позволяет расширить возможности банка в части анализа существующих и выявления скрытых потребностей. В то же время ориентация на интересы общества в целом определяет долгосрочную устойчивость бизнеса банка, которая является, в том числе, источником финансового результата (максимизации стоимости банка). В свою очередь, учет интересов общества банком осуществим при помощи социальных инвестиций, источником которых является финансовый результат. На наш взгляд, чрезмерная концентрация на одном из выделенных направлений не может вполне отвечать целям повышения эффективности деятельности банка, в то же время исключение любого из них является предпосылкой потери эффективности.

Учет интересов общества в рамках концепции корпоративной социальной ответственности возможен при помощи реализации программ корпоративной социальной ответственности в форме добровольного и выходящего за рамки определенного законодательством минимума вклада банковского бизнеса в развитие социальной и экономической жизни общества. Деятельность банков имеет стратегическое значение для развития экономики как России в целом, так и отдельных регионов и областей. Масштабы и специфика этой деятельности определяют уровень социальной ответственности перед клиентами и обществом. Социальные расходы в контексте программ социальной ответственности должны рассматриваться банком не как благотворительность, а как инвестиции, имеющие значительный социальный эффект, так как отдача от них выражается в виде укрепления доверия, создания положительного имиджа в глазах внутренней и внешней общественности и стимулировании положительных перемен в обществе, что является предпосылкой повышения экономической эффективности банка. В данной статье социальная программа банка понимается как добровольно осуществляемая деятельность в социальной и экономической сферах, которая носит системный характер, связана с миссией и стратегией развития банка и направлена на удовлетворение запросов различных заинтересованных в деятельности банка сторон (стейкхолдеров).

Реализация программ социальной ответственности требует от банка определения приоритетных направлений социального инвестирования, которые могут быть весьма многообразны, учитывая многообразие социальных проблем современного общества. Социальные инвестиции могут осуществляться, например, в развитие науки и образования, поддержку культуры и спорта, реализацию долгосрочных социальных программ федерального, регионального и областного уровня, благотворительную деятельность, содействие социальным группам и общественным объединениям, нуждающимся в поддержке и многое другое.

Однако охватить все перечисленные направления, реализуя комплекс социальных программ по каждому из них, не всегда представляется возможным для банка по объективной причине ограниченности финансовых ресурсов. Социально значимые проблемы существуют всегда и отличаются многообразием. В то же время, развитие банковского бизнеса на современном этапе сопровождается и осложняется рядом проблем, многие из которых представляют собой социально значимые проблемы.

По нашему мнению, перспективными и экономически эффективными будут такие социальные инвестиции, которые направлены на решение проблем, находящихся на стыке проблем развития банковского бизнеса и проблем, значимых для общества в целом (рис.11).






Рис. 11. Перспективные направления социального инвестирования в сфере банковских услуг

Наличие проблем, тормозящих развитие банковского бизнеса и одновременно имеющих значение для общества, демонстрируют данные социологических исследований. Результаты опроса в рамках исследования ВЦИОМ по заказу и при участии Агентства страхования вкладов (АСВ) в марте 2010 г. выявили снижение сберегательной активности населения. В течение 2010 года открывать новые банковские вклады и/или пополнять уже существующие намерены только 9% опрошенных. При этом 8% респондентов указали на то, что они вообще не видят смысла делать сбережения. Наиболее весомыми причинами этого они считают: инфляцию (26%), низкий уровень доходов (22%), недоверие к банкам, основанное на негативном опыте 90-х годов (19%), нестабильную экономическую ситуацию (14%).

В октябре 2008 г. и феврале 2010 г. были проведены опросы в рамках исследования Национального агентства финансовых исследований (НАФИ) «Доверие финансовым институтам, привлекательность финансовых инструментов: индексы и рейтинги». В результате выявлено, что в условиях финансового кризиса индекс доверия финансовым институтам снижается: с октября 2008 года индекс доверия финансовым институтам снизился на 13 пунктов с 97 до 84, индекс текущей ситуации с 96 до 83, а индекс ожиданий упал за пять месяцев с 99 до 86 пунктов. По сравнению с декабрем 2007 года россияне стали относиться к банкам с меньшим доверием: доля таких респондентов с 2007 года выросла почти в три раза - с 8% до 21%..

Результаты опроса населения НАФИ, посвященного изучению уровня финансовой грамотности россиян, показали, что один из базисных индикаторов финансовой грамотности, а именно: практика планирования расходов и доходов домохозяйств, - не претерпел существенных изменений за год и остался на прежнем низком уровне. Более половины населения (56%) по-прежнему не ведет учета своих доходов и расходов. Всего 44% тех, кто имеет вклады в банках, знают о существовании системы страхования вкладов (ССВ), причем только 18% оценили свое знание как достаточное, а 26% знают об ССВ лишь в общих чертах. Большинство (60%) не знают, сохранность какой суммы гарантирует система страхования вкладов. В этом признаются даже те респонденты, которые считают себя более или менее информированными. Результаты исследования отражают общий низкий уровень финансовой грамотности населения в России. Можно констатировать негативные тенденции в банковской сфере, характеризующиеся как ухудшением макроэкономических показателей, так и ухудшением общественного мнения и низкой финансовой грамотностью населения.

Социальное инвестирование банковского бизнеса в решение такого рода проблем позволит обеспечить баланс общественных интересов и интересов банка. Конкретизация концепции корпоративной социальной ответственности для банковского бизнеса, приведение стратегии банка в соответствие с этой концепцией, определение направлений социального инвестирования и разработка программ по каждому из них является фактором улучшения качества корпоративного управления и обеспечения устойчивого развития банковского бизнеса.

Подводя итоги главы отметим, что в качестве рекомендаций новосибирским компаниям предложено использовать следующие направления социализации бизнеса: программы социального партнерства в области Government Relations; программы внешнего кадрового резерва; добровольческая деятельность сотрудников компании (волонтерство); программа частных пожертвований сотрудников компании; программы паблисити и продвижения брендов и компаний; корпоративные объединения, рейтинги.

Заключение

В ходе выполнения данной дипломной работы проанализирована социально ответственная деятельность новосибирских предприятий и определены направления ее оптимизации.

Социальная ответственность бизнеса - это система отношений, воссоздающая деятельность, ориентированную на достижение экономического и социального эффекта в процессе общественного воспроизводства; создание стабильной экономической среды обитания; интеллектуализацию основного ресурса национальной экономики - человеческого капитала.

Социальная ответственность, в отличие от юридической, подразумевает определенный уровень добровольного отклика на социальные проблемы со стороны организации. Этот отклик имеет место по отношению к тому, что лежит вне определяемых законом или регулирующими органами требований или же сверх этих требований.

В настоящее время в России основными движущими силами социальной ответственности пока являются государство и незначительное количество наиболее «продвинутых» крупных компаний. И это не удивительно, так как понятие ответственности бизнеса чаще ассоциируется с деловой этикой, репутацией, ростом доверия к бизнесу со стороны общества.

Корпоративные социальные программы в первую очередь следует рассматривать с позиции рациональности и извлечения выгод в долгосрочном периоде. Масштаб и охват корпоративной социальной политики будет зависеть от конкретных целей (краткосрочных и долгосрочных), которые преследует компания и многих внешних условий.

Среди наиболее распространенных направлений социальных программ компаний можно выделить такие, как: развитие персонала, охрана здоровья и безопасные условия труда, социально ответственная реструктуризация, природоохранная деятельность и ресурсосбережение, развитие местного сообщества и добросовестная деловая практика.

Современная ситуация в России характеризуется необходимостью разработки и распространения практических систем и методик развития корпоративной этики и социальной ответственности как на уровне компании, так и на уровне делового сообщества в целом. Основными приоритетами при этом являются обеспечение взаимовыгодных интересов для бизнеса и общества, использование ведущих международных стандартов. Соответственно, главными целями бизнеса в социальном контексте является обеспечение устойчивого развития, как для предприятий, так и для всего общества в целом, а также увеличение своей привлекательности для общества.

По результатам исследования, социально ответственной деятельности новосибирских предприятий, качественный индекс институционального оформления социальной политики составил 50%. При этом наличие коллективного договора установлена у 8 из 10 компаний, наличие специального документа, в котором закреплена социальная политика компании у 5 из 10 компаний, а наличие специального подразделения, отвечающего за реализацию социальных программ только у 2 компаний.

Таким образом, можно констатировать, что главным иструментом социальной политики новосибирских предприятий был и остается коллективный договор, т.е. ситуация не изменилась со времен СССР.

Система учета социальных мероприятий у новосибирских компаний практически отсутствует (индекс 17%). Попытки внедрения международных стандартов и публикации социальных отчетов предпринимали только 2 компании (ЗСЖД и Муниципальный банк), а оценить эффективность социальных инвестиций пыталось только ОАО «НЗХК».

Намного более благополучна ситуация с комплексностью осуществляемых социальных инвестиций (индекс 92%). Все рассматриваемые предприятия осознают необходимость диверсификации социальных инвестиций и, по мере финансовых возможностей, этот принцип реализуют.

Общий качественный индекс социальных инвестиций рассмотренных предприятий составляет 60%. Данный результат следует оценить как удовлетворительный (3 балла по пятибалльной системе).

В качестве рекомендаций новосибирским компаниям предложено использовать следующие направления социализации бизнеса и способы решения бизнес-задач компаний при использовании социального маркетинга для продвижения во внешней среде.

. Программы социального партнерства в области Government Relations.

.Программы внешнего кадрового резерва.

.Добровольческая деятельность сотрудников компании (волонтерство).

. Программа частных пожертвований сотрудников компании.

. Программы паблисити и продвижения брендов и компаний.

. Корпоративные объединения, рейтинги.

Таким образом, определенную во введение цель работы следует признать достигнутой, а задачи исследования решенными в полном объеме.

СПИСОК ИСПОЛЬЗОВАННЫХ ИСТОЧНИКОВ

1. Астахов В.М. Социальная работа. - М.: Инфо-М, 2007.

. Белл Д. Грядущее постиндустриальное общество. Пер. с англ. М.: Academia, 2007.

. Благов Ю.Е. Генезис концепции корпоративной социальной ответственности // Вестник Санкт-Петербургского университета, серия 8, выпуск 2. 2009.

. Благов Ю.Е. Концепция корпоративной социальной ответственности и стратегическое управление // Российский журнал менеджмента №3, 2009.

. Винокуров В.А. Организация стратегического управления на предприятии. - М.: Центр экономики и маркетинга, 2008.

. Виханский О.С., Наумов А.И. Менеджмент. - М.: Высшая школа, 2009.

. Влияние злоупотребления алкоголем и наркотиками на конкурентоспособность компаний в России. Национальный доклад / Гречаная Т.Б., Кашницкий Д.С., - М.2009.

. Волгин Н.А., Егорова В.К. Социальная корпоративная политика: проблемы, опыт, перспективы, учебное пособие, - М.: БЕК, 2008.

. Доклад о социальных инвестициях в России - 2008. / Под. ред. Благова Ю.Е., Литовченко С.Е., Ивановой Е.А.- М.: Ассоциация менеджеров, 2009.

. Кайгородова Л.А. Teория социальной работы. - М.: Прогресс, 2008.

. Макашева Н.А. Этические основы экономической теории. М.: ИНИОН. 2007.

. Мескон М., Альберт М., Хедоури Ф. Основы менеджмента. -М.: Прогресс 2008.

. Муртазалиев Е.А. Введение в социальную работу. - М.: Прогресс, 2008.

. Национальный доклад «Риски бизнеса в частно-государственном партнерстве» / Дынин А.Е., Нефедьев А.Д., Семенов Я.В. - М.: Ассоциация менеджеров, 2009.

. Нефинансовые отчеты компаний, работающих в России: практика развития социальной отчетности. Аналитический обзор / Под общей ред. А.Н. Шохина - РСПП, М., 2009.

. Основы социальной работы: Учебник / Ответственный редактор П.Д.Павленок. - М.: ИНФРА-М, 2007.

. Павлов О.Б. Основы социальной работы. - М.: Прогресс, 2007.

. Пенсионная система России: роль частного сектора - 2008. / Под. ред. Литовченко С.Е.- М.: Ассоциация менеджеров, 2009.

. Развитие социально ответственной практики: аналитический обзор корпоративных нефинансовых отчетов, 2007-2008 годы выпуска. Аналитический обзор / А. Аленичева, Е. Феоктистова, Ф. Прокопов, Т. Гринберг, О. Менькина. Под общей редакцией А. Шохина - РСПП, Москва, 2009.

. Розанваллон П. Новый социальный вопрос. Переосмысливая государство всеобщего благосостояния. М.: Ad Marginem. - 2007.

. Сологубова Т.К. Социальная работа. Учебное пособие. Ростов-на-Дону: Феникс, 2007.

. Социальная ответственность бизнеса: актуальная повестка. / Под. ред. Литовченко С.Е., Корсакова М.И.- М.: Ассоциация менеджеров, 2009.

. Социальная политика и социальная работа в изменяющейся России/ Под. Ред. Е. Ярской-Смирновой, П. Романова.- М: ИНИОН РАН, 2002.

. Социальная политика: реалии XXI века. Сборник работ грантополучателей Четвертого тура конкурса. - Выпуск 2. - Москва, 2008.

. Социальная помощь: на пути к адресности: Сб.ст. / Под ред. М.И. Либаракиной. - М.: Фонд «Институт экономик игорода», 2009.

. Социальная работа /Под общей ред. проф. В.И.Курбатова. Серия «Учебники, учебные пособия». - Р-н/Д: «Феникс», 2007.

. Социальная работа как профессия. Уч. пособие. Под общей ред. З.Х.Саралиевой. -Н.Н.: ННГУ, 2006

. Социальная работа. Программа курсов и методические рекомендации.- Барнаул-Шумановка, 2008.- 125 с.

. Социальная работа. Российский энциклопедический словарь. М.: МГСУ «Союз». - 2007.

. Социальная работа: вопросы и ответы. - М: Институт социальной работы, 2007.

. Социальная работа: история и современность: коллективная монография/ Под ред. Профессора Р.И. Даниловой.- Архангельск: «Типография № 2», 2007.

. Социальная работа: история, теория и технологии. - Ярославль, 2008.

. Социальная работа: методология, теория, технологии: в 2 ч. - Саратов: Изд-во Поволж. межрегион. учеб. центра, 2008.

. Социальная работа: основные понятия и определения. - Анапа: АФРГСУ, 2005.

. Социальная работа: Введение в профессиональную деятельность: учебное пособие / Отв. ред. проф. А.А. Козлов. - М.: Логос, 2008.

. Социальная работа:Методические разработки/Сост. Т.А. Кантемирова.- Н.Новгород: ННГУ, 2007.

. Социальные реформы в странах с переходной экономикой. / Под ред. С.В.Кадомцевой. - М.: ИКЦ “ДИС”, 2007.

. Теория и методика социальной работы. Учебное пособие. М.: Издательство «Союз». 2008.

. Теория и практика социальной работы. Отечественный и зарубежный опыт. 2 ТТ. М., Тула.: Ассоциация социальных педагогов и социальных работников РФ., РАО. - 2008.

. Теория социальной работы. Под ред. Холстовой Е.И. М.: Юрист. - 2007.

. Туркин С.В. Социальные инвестиции, «Управление компанией» №7/2009.

. Уткин Э.А. Управление фирмой. - М.: Акалис, 2006.

. Фирсов М.В., Студенова Е.Г. Теория социальной работы: Учебное пособие. - М..: Гуманит. изд. цент ВЛАДОС, 2009.

. Цыгичко В.Н. Руководителю - о принятии решений. - М.: Инфра-М, 2009.

. Чирикова А.Е. Взаимодействие власти и бизнеса в реализации социальной политики: региональная проекция. - М.: Независимый институт социальной политики, 2009.

. Шевчук А.В. Социальная роль бизнеса в моделях корпоративного управления, «Социальная политика: экспертиза, рекомендации, обзоры», №2 Зима 2009, http://spero.socpol.ru.

. Шишкин С.В. «Бизнес как субъект социальной политики: должник, благодетель, партнер?» - М. ГУ-ВШЭ, 2009

. Энциклопедия социальной работы в 3 Т. Т.1. -М.: Центр общечеловеческих ценностей, 2007.


Не нашли материал для своей работы?
Поможем написать уникальную работу
Без плагиата!
Без нейросетей!