Особенности представлений о личности преступника у старшеклассников

  • Вид работы:
    Дипломная (ВКР)
  • Предмет:
    Психология
  • Язык:
    Русский
    ,
    Формат файла:
    MS Word
    56,56 kb
  • Опубликовано:
    2011-11-09
Вы можете узнать стоимость помощи в написании студенческой работы.
Помощь в написании работы, которую точно примут!

Особенности представлений о личности преступника у старшеклассников

РОССИЙСКИЙ ГОСУДАРСТВЕННЫЙ УНИВЕРСИТЕТ

ИМ. И. КАНТА

КАФЕДРА ОБЩЕЙ ПСИХОЛОГИИ









Курсовая работа

Особенности представлений о личности преступника у старшеклассников



Выполнила:

студентка Горяйнова Валерия Владимировна



Калининград

ОГЛАВЛЕНИЕ

психология преступник социальное представление старшеклассник

ГЛАВА 1. ТЕОРЕТИЧЕСКИЙ АНАЛИЗ ПРОБЛЕМЫ СОЦИАЛЬНЫХ ПРЕДСТАВЛЕНИЙ В СОЦИАЛЬНОЙ ПСИХОЛОГИИ

1.1       Понятие социального представления в психологии

1.2     Социальные представления как категория и социальное явление

1.3     Социальные представления и поведение

ГЛАВА 2. ЭМПИРИЧЕСКОЕ ИССЛЕДОВАНИЕ ОСОБЕННОСТЕЙ ПРЕДСТАВЛЕНИЙ О ЛИЧНОСТИ ПРЕСТУПНИКА У СТАРШЕКЛАССНИКОВ

.1 Методики исследования и условия проведения эмпирической части исследования

.2 Результаты исследования и их интерпретация

ЗАКЛЮЧЕНИЕ

ЛИТЕРАТУРА

ПРИЛОЖЕНИЕ

ВВЕДЕНИЕ

В Российской Федерации на протяжении ряда лет отмечается тенденция роста преступности среди несовершеннолетних. Подростками ежегодно совершается свыше 300 тысяч преступных деяний, из них около 100 тысяч - детьми, не достигшими возраста уголовной ответственности. В составе преступных деяний несовершеннолетних преобладают (до 85%) преступления против собственности - кража, мошенничество, грабеж, разбой, угон транспортного средства, умышленное уничтожение или повреждение имущества.

Приблизительно 10-12% составляют преступления против общественной безопасности и здоровья населения - хулиганство, незаконное изготовление, приобретение, хранение, перевозка, пересылка или сбыт наркотических или психотропных веществ, незаконное приобретение, передача, сбыт, хранение, перевозка или ношение оружия, боеприпасов, взрывчатых веществ или взрывных устройств.

Преобладание данных видов преступлений отражает, с одной стороны, возросшее финансовое и имущественное расслоение в обществе, с другой - рост социальной нетерпимости и агрессивности. Возможно, психологические переживания подростков вследствие данных социальных процессов сублимируются в антисоциальные, криминальные формы поведения, которые ведут к конфликту с законом.

Подростковая преступность начинает приобретать глобальный для российского общества характер. Самое опасное заключается в том, что криминальная деятельность, участие в уголовных группировках становится в глазах подростков и детей социально престижным занятием.

Проблема в том, что участие в деятельности, принадлежность к тем или иным преступным кланам и группировкам нередко становится для некоторых подростков пределом желаний и социальных ожиданий.

Часть несовершеннолетних мечтает пополнить ряды уголовников и войти в состав криминальных структур.

В данной работе мы попытаемся выяснить, все ли подростки негативно относятся к личности преступника и преступлениям. Без выявления глубинных корней криминальной активности подростков, невозможно создание эффективной системы профилактики и предупреждения правонарушений несовершеннолетних.

Проблема: высокий уровень преступности среди молодежи, «романтизация» образа преступника в литературе, кино и музыке.

Объект: социальные представления.

Предмет: особенности представлений о личности преступника у старшеклассников.

Цель: выявить особенности представлений о личности преступника у старшеклассников.

Задачи:

1.   Теоретический анализ проблемы социальных представлений в психологии.

2.       Выявление особенностей представлений о личности преступника у старшеклассников.

Гипотеза: представления о личности преступника у подростков связаны с понятиями убийство, изнасилование, грабёж.

Методы исследования:

Теоретические - анализ психологической литературы по проблеме социальных представлений.

Практические - тестирование, статистические методы и метод незаконченных предложений.

Методики:

Методика для измерения эмоциональной составляющей социальной установки Крит, Фабригар и Петти (Crites, Fabrigar & Petty, 1994) и «Метод незаконченных предложений».

База исследования - лицей № 35 г. Калининграда.

Выборка исследования - 42 ученика старших классов лицея № 35 г. Калининграда.

Структура работы:

Во введении рассмотрены цель, объект и предмет исследования, определены задачи исследования, описаны его методы и применяемые методики.

В первой главе исследования рассматриваются: понятие социального представления в психологии, затем, социальные представления, как категория и социальное явление, а так же социальные представления и поведение.

Во второй главе представлены: методическое обеспечение исследования, особенности его проведения, результаты и интерпретация.

ГЛАВА I. ТЕОРЕТИЧЕСКИЙ АНАЛИЗ ПРОБЛЕМЫ СОЦИАЛЬНЫХ ПРЕДСТАВЛЕНИЙ В СОЦИАЛЬНОЙ ПСИХОЛОГИИ

.1 Понятие социального представления в психологии

Социальные представления рассматривались в отечественной литературе: Шихирев, 1985; Донцов, Емельянова, 1987; Калькова, 1992; Якимова, 1996; Андреева, 1997. Появлялись на русском языке и работы основателя школы социальных представлений С. Московичи [Московичи, 1992, 1995]. Таким образом, надо полагать, что в основном эта область исследований либо известна российским специалистам, либо при желании доступна, несмотря на мизерные тиражи некоторых фундаментальных работ [23].

Как феномен «социальные представления» предстают, следовательно, в разнообразных, более или менее сложных формах. Это образы, в которых сконденсирована совокупность значений. Это системы отсчета, позволяющие нам интерпретировать то, что с нами происходит, и даже осмысливать неожиданное. Это категории, служащие для классификации обстоятельств, феноменов, индивидов, с которыми мы имеем дело. Это и теории, позволяющие выносить о них решения. Нередко в конкретной действительности нашей жизни в обществе они служат всему этому одновременно.

Но в приведенных примерах, переходя от лаборатории к социальным или историческим контекстам, от данных, полученных с помощью закодированных процедур, к анализу институциональных или спонтанных рассуждений, мы во всех случаях могли видеть, что речь идет об одном и том же, а именно о способе интерпретировать и осмысливать нашу повседневную действительность, о форме социального знания. И в соответствии с этим о ментальной деятельности индивидов и групп, направленной на установление позиций по отношению к ситуациям, событиям, объектам и сообщениям, которые их касаются.

Социальное здесь проявляется многообразно: через конкретный контекст, в котором находятся люди и группы; через общение, которое возникает между ними; через рамки восприятия, которые задает их культурный багаж; через коды, ценности и идеологии, связанные со специфической социальной принадлежностью.

Следовательно, понятие «социальное представление» лежит на границе между психологическим и социальным [16 , 375].

Классическое определение социального представления дано самим Московичи и рядом его сотрудников. [1, 207].

Употребление термина «представление» в теории Московичи требует специального пояснения. Оно не эквивалентно тому значению, которое традиционно для психологии или логики, где «представление» есть звено в переходе либо от восприятия к мышлению, либо от образа к понятию [6].

«Под социальными представлениями, - пишет Московичи, - мы подразумеваем набор понятий, убеждений и объяснений, возникающих в повседневной жизни по ходу межличностных коммуникаций. В нашем обществе они являются эквивалентом мифов и систем верований традиционных обществ; их даже можно назвать современной версией здравого смысла. Наш подход фокусируется на том, как люди думают и создают свою разделяемую реальность, а также на содержательном аспекте их мышления» [3].

Д. Жоделе к этому добавляет: «Категория социального представления обозначает специфическую форму познания, а именно знание здравого смысла, содержание, функции и воспроизводство которого социально обусловлены» [6]. В этом определении особенно значимо в нашем контексте подчёркивание той мысли, что социальное представление - это форма познания социальной действительности. Необходимость введения такого понятия в лексикон социальной психологии вызвана к жизни недостаточностью других моделей, особенно бихевиористской, для объяснения смысловых связей человека с миром.

Развивая высказанные в этих определениях мысли, можно сказать, что социальные представления рождаются в обыденном, повседневном мышлении с целью осмыслить, понять окружающий человека социальный мир[1, 207], могли объяснить факты и идеи, уже существующие в мире, в котором мы живем, или возникающие в нем, чтобы мы могли воздействовать на других и действовать вместе с ними, чтобы могли позиционировать себя по отношению к ним, отвечать на вопросы, которые ставит перед нами мир, а также понимать, что означают для нашего поведения в жизни открытия науки и историческое становление, другими словами, это практическое знание. Придавая смысл - в непрерывном кипении жизни в обществе - нашим событиям и поступкам, оно создает очевидные истины в реальной действительности, где мы достигаем консенсуса, способствует социальному строительству нашей реальности.

Короче говоря, понятие «социальное представление» относится к «спонтанному», «наивному» знанию, так интересующему сегодня общественные науки, - к знанию, обычно называемому здравым смыслу или естественным мышлением в противоположность мышлению научному [16, 376].

Понятно, что именно через социальное представление, посредством его обыденный человек и осуществляет познание социального мира. Отсюда легко видеть, что основная идея концепции социальных представлений органично включена в те поиски, которые типичны для других представителей психологии социального познания в Европе [1, 207].

По мнению авторов концепции, для человека всегда есть возможность встречи с чем-то «странным и незнакомым». Такая встреча таит в себе опасность разрушить привычный ход вещей, взорвать устоявшийся образ. Московичи полагает, что человек испытывает потребность как-то «приручить» новые впечатления и тем самым уменьшить риск неожиданности, приноровиться к новой информации.

Он считает, что именно при помощи социальных представлений «странное и незнакомое» становится со временем понятным и знакомым.

По мнению Московичи, происходит «торжество обычного через овладение странным». Это и есть русло социального познания обыденного человека. На этом пути, естественно, возникает опасность утерять значительную часть информации, коль скоро сложные характеристики не менее сложных явлений превращаются в банальности. Более того, под влиянием таких трансформаций социальное представление может вообще очень далеко отойти от действительного содержания встреченного нового («странного») объекта или события и приобрести своеобразную автономию. Однако именно так происходит процесс, и в который раз социальной психологии приходится констатировать, что она изучает не то, как «должно быть», а то, как «есть» [1, .208 ].

Московичи предлагает пересмотреть образ обыденного человека как наивного наблюдателя или даже как наивного ученого, которому свойственна «невинность наблюдения», «нейтралитет к миру», «прозрачность информации». Он - не Адам, он живет в социальном окружении, принадлежит к различным группам, смотрит на мир часто их глазами: социальное представление есть продукт именно группы, поскольку в ней получаемые обрывки знаний вращаются, обрастают определенной смысловой нагрузкой. Такой обыденный человек скорее напоминает ученого-любителя, который пополняет свой багаж знаний самообразованием, беседами, личными наблюдениями и размышлениями [1, 209 ].

Все это нужно человеку, чтобы понять смысл окружающего его мира, чтобы облегчить процесс коммуникации с другими людьми по поводу различных событий, наконец, для того, чтобы построить для себя относительно непротиворечивую картину мира. При этом совершается отнюдь не только когнитивная «работа» - трансформации одних понятий и категорий в другие, «понятные» [12].

У социального представления «пристрастная», природа, поскольку факты окружающего мира подвергаются трансформации и оценке, апеллирующим именно к реальному социальному опыту индивида. По мере введения нового, непривычного, непонятного в сферу обычного представления наполняются реальным смыслом, следовательно, «окрашиваются» определенным образом и как минимум конкретизируются [13].

В своих экспериментах, проводимых в лабораториях или естественных условиях, исследователи сосредоточили внимание специфических аспектах социальных представлений, нередко в ответ на теоретические вопросы, которые поднимает эта новая область исследований, где постоянно сохраняется напряжение между психологическим и социальным полюсами. Конечно, все согласны, что к социальным представлениям следует подходить как к продукту и процессу переработки психологической и социальной реальности. Но отдельные феномены и выявляемые механизмы располагаются на различных уровнях - от индивидуального до коллективного, - и это затрудняет общий охват социального мышления.

С другой стороны, тот факт, что социальное представление является формой знания, таит опасность его сведения к межличностному событию, в котором социальный аспект окажется вторичным. То, что речь идет о форме общественного мышления, создает опасность его растворения в феноменах культуры и идеологии.

Тем не менее, в этой бурно развивающейся области исследования появляются результаты, обобщение которых позволяет дать многостороннее освещение феноменов социальных представлений. Эти знания могут быть представлены в единой теоретической модели, развивающей понятие «социальные представления». Предлагается следующее общее определение социальных представлений: понятие «социальное представление» обозначает специфическую форму знания - знание здравого смысла, содержание которого свидетельствует о действии социально маркированных порождающих и функциональных процессов. В более широком понимании оно обозначает форму социального мышления.

Социальное представление - это разновидность практического мышления, направленная на общение, на понимание и освоение социального окружения, материального и идеального. Как таковые они обнаруживают специфические свойства в плане организации содержания, а также мыслительных операций и логики.

Социальную маркировку содержания или процессов репрезентации следует соотносить с условиями и контекстами, в которых возникают представления, с сообщениями, в которых они распространяются, а также с функциями, которым они служат при взаимодействии с миром и «другими» [1].

.2 Социальные представления, как категория и социальное явление

Социальных представлений концепция - одна из теорий «среднего ранга», нацеленная на выявление тенденций функционирования структур обыденного сознания в современном обществе [3], автором, которой выступил французский социальный психолог С. Московичи, и которая принята большинством исследователей французской школы. Развернутая характеристика идей этой школы дана в отечественной литературе [6]. В данном контексте важно выявить некоторые положения теории, непосредственно касающиеся процессов социального познания, хотя, впрочем, вся она имеет к этому сюжету достаточно близкое отношение.

Во французской школе особенно активно работают в названном ключе С. Московичи, Ж.-П. Кодол, Д. Жоделе и др. Сущность теории «социальных представлений» выражена, прежде всего, в её общей направленности. Подобно тому, как это имело место в теории социальной идентичности А. Тэшфела, основное «остриё» теории направлено против американского подхода к социальному поведению, которое, по мнению С. Московичи, «десоциализировано». Поэтому первая задача теории «социальных представлений» - установить более тесную связь между когнитивными процессами человека и социальными макропроцессами. Употребляя принятый нами девиз - выявить то, что находится «за пределами когни-ций», теперь за этими пределами необходимо рассмотреть саму «ткань» социальных отношений, всю их совокупность. Эта идея Московичи находится в тесной связи с его общими воззрениями на предмет социальной психологии, а именно на необходимость ее большей «социологизации», т.е. включения в ее исследования в значительно более полном объеме социального контекста [2].

Основная идея социального представления концепция заключена в следующем утверждении: ментальные (духовные), структуры общества призваны упрочивать психологическую стабильность социального субъекта (группы или индивида) и ориентировать его поведение в меняющихся ситуациях. Предметом социально-психологического изучения считается социальная реальность, понимаемая как совокупность социальных представлений, посредством которых общественные отношения представлены в индивидуальном сознании субъекта. Ключевым понятием является социальное представление, заимствованное из социологической доктрины Э. Дюркгейма. Оно трактуется в С. п. к. как особая форма коллективного знания, усваиваемая отдельными индивидами. Структура социального представления содержит три измерения: информацию - сумму знаний о представляемом объекте; поле представления, характеризующее организацию его содержания с качественной стороны; установку по отношению к объекту представления. Динамика социальных представлений обыденного сознания получает в С. п. к. наименование «объективации» и включает ряд фаз: «персонификацию» (ассоциирование объекта представления с конкретными личностями), образование «фигуративной схемы» представления (визуально-репрезентируемой ментальной конструкции) и «натурализацию» (оперирование в обыденном сознании элементами «фигуративной схемы», как автономными объективными сущностями). В рамках С. п. к. сложились следующие направления анализа социальных представлений.

) На уровне индивидуальной картины мира социальное представление рассматривается как феномен, разрешающий напряженность между привычным и новым содержанием, адаптирующий последнее к уже имеющимся системам представлений с помощью так называемых «моделей закрепления» и превращающий необычное в банальность.

) На уровне малой группы социальное представление выступает в С. п. к. как феномен рефлексивной активности во внутригрупповом взаимодействии. Показано существование иерархической системы

представлений об элементах ситуации взаимодействия, а также эффекта «сверхсоответствия Я», выражающегося в конструировании субъектом представления о себе как о человеке более соответствующем требованиям ситуации, чем другие люди (Ж.Кодол).

) В плане межгрупповых отношений, исходя из посылок, близких положениям теории социальной категоризации Г. Тешфела, социальное представление понимается как элемент рефлексивных отношений между группами, детерминированный, с одной стороны, общесоциальными факторами, с другой - частно-ситуативными особенностями взаимодействия. Важным теоретическим итогом явился вывод о неабсолютном характере феномена межгрупповой дискриминации и о его зависимости от социальных факторов (В. Дуаз).

) На уровне больших социальных групп создан подход к изучении элементов обыденного сознания.

В С. п. к. изучены системы представлений о психоанализе (С. Московичи), о городе (Ст. Милгрем), о женщине и детстве (М.-Ж. Шомбар де Лов), о человеческом теле (Д. Жоделе), о здоровье и болезни (К. Херзлиш) и др. Выводы С. п. к. об особенностях современного массового сознания (например, о растущей индивидуализации личности, униформизации и стандартизации жизни, отсутствии истинного равноправия полов, фетишизации престижности) имеют как социально-психологическое, так и мировоззренческое значение. Имеющиеся в С. п. к. методологические противоречия связаны с двойной ориентацией этой теории - на французскую социологическую традицию и на когнитивистскую доктрину социальной психологии. В целом С. п. к. явилась одним из немногих в мировой науке прецедентов обращения к феноменологии обыденного сознания. Собранный ею ценный эмпирический материал представляет интерес для советских психологов.

Определить социальные представления пытались и в отечественной социальной психологии. Например, Е.Б. Маценова предложила такое определение: «Социальное представление - это способ осмысления, интерпретации человеком феноменов социальной жизни» [ 9].

Проблематика социальных представлений, изучение которой было начато С. Московичи и его последователями, получила поддержку и у исследователей других стран, Например, австралийских авторов M. Augoustinos & J.M. Innes, немецких ученых Б. Шефер и Б. Шледер, финских A. Vornanen, H. Raty & L. Snellman и японских исследователей H. Azuma & K. Kashivagi и др.

В современной отечественной социальной психологии социальные представления изучаются как одно из функционально образующих социальное мышление процедур такими учеными, как К.А. Абульханова-Славская, Г.М. Андреева, Г.Э. Белицкая, О.П. Николаева, В.В. Знаков и др. [20].

Стоит отметить, что подобная проблематика в свое время в отечественной психологии поднималась виднейшими психологами, такими как Л.С. Выготский и С.Л. Рубинштейн.

С категорией «социальные представления» смыкается категория «житейские понятия», разработанная в отечественной психологической науке Л.С. Выготским (1982).

Житейские понятия противопоставлялись им научным понятиям. Первые формируются раньше вторых и образуются на основе собственного опыта, вторые - на основе связей с другими понятиями [5].

Подобного мнения придерживается и О.К. Тихомиров. Житейские понятия (наряду с научными понятиями) он связывал непосредственно с обобщениями.

Житейские понятия подразделял на два класса: вырабатываемые самостоятельно в результате жизнедеятельности человека и усваиваемые от  других людей в ходе совместной деятельности, но в условиях отсутствия жесткого контроля за процессом усвоения [10, 184].

Формирование житейских понятий происходит в дошкольном возрасте. Образуются они в результате стихийного обобщения опыта ребенка, которое, по мнению Л.С. Выготского, строится по типу комплекса. В основе создания последнего, лежат фактические связи, которые открываются ребенком в непосредственном опыте и являются ситуативными и необязательными. Л.С. Выготский показал, что «в отличие от понятия, конкретный элемент входит в комплекс как реальная единица со всеми своими фактическими признаками и связями. Комплекс фактически сливается с конкретными предметами, входящими в его состав и связанными между собой. Это слияние общего и частного, комплекса и элемента… составляет самую существенную черту комплексного мышления». В результате образуются «псевдопонятия», являющиеся «передернутыми» научными, что является аналогом социальных представлений С. Московичи [11, 130].

Таким образом, «житейские понятия» Л.С. Выготского и «социальные представления» С. Московичи, обнаруживают общие точки соприкосновения: и те, и другие являются упрощенными знаниями о социальных явлениях и феноменах [20].

Какова же структура социального представления? Изначально, согласно модели, предложенной С. Московичи, структуру социального представления составляли такие параметры, как: информация, поле представления, установка [19].

Именно эти три компонента пополняются как в ходе социализации, так и в повседневном жизненном опыте [1, 210 ].

Информация несет сумму знаний об объекте и является необходимой базой для формирования представления. Это сумма, количество знаний об объекте представления, осведомленность о нем. Информация «проникает в «щели» обыденного сознания через разные источники» [18, 210].

Поле представления формируется непосредственно в группе - в ней определяется общая смысловая рамка, в которую помещается новая информация, а также диапазон возможных толкований того или иного понятия (так, например, ребенок в семье усваивает первые возможные интерпретации понятий, которыми оперируют взрослые) [1, 210].

В установке проявляется общее (позитивное или негативное) отношение субъекта к объекту социального представления, а также готовность высказать то или иное суждение, готовность к оцениванию. Установка - это интериоризация почерпнутого из полученной информации и из поля представлений, сформированного в группе, а также из собственного опыта. Как отмечал С. Московичи, установка существует при недостаточной информированности об объекте социальных представлений и нечеткости определения поля представлений [4].

Конечно, в современных обществах процесс формирования социального представления весьма непрост: развитие образования, средств массовой информации видоизменяют процесс преобразования «высоких» понятий в суждения здравого смысла. Однако многочисленные эмпирические исследования, проведенные в рамках теории социальных представлений, показали, что и в современных сложных обществах механизм возникновения представлений действует примерно так же, как это изображено в теории [1, 210].

В дальнейшем возникла необходимость пересмотра структуры социального представления. Согласно концепции последователя С. Московичи Ж.К. Абрика, структура социального представления представлена следующими компонентами:

.        Центральное ядро, которое связано с коллективной памятью и историей группы.

Ядро определяет гомогенность группы через консенсус. Основной особенностью является ее стабильность и устойчивость. Ядро социального  представления не очень чувствительно к конкретному контексту; позволяет определять значение социального представления и его организацию.

.        Периферическая система, обеспечивающая интеграцию индивидуального опыта каждого члена группы и поддерживающая ее гетерогенность.

В отличие от ядра, эта система подвижна, чувствительна к определенному контексту, несет в себе противоречия, адаптируется к конкретной реальности. Периферическая система допускает дифференциацию содержания, предохраняет центральное ядро от внешних воздействий [4].

Выделение центрального ядра основывается на гипотезе С. Московичи о наличии в каждом представлении ригидных, архаичных элементов - «тем». Это базовые идеи, которые направляют и ограничивают когнитивный поиск подобно схемам. Это достаточно стабильное центральное ядро организует другие элементы, определяет смысл социального представления и возможности его изменения, т.е. выполняет организующую и генерирующую функции. Содержание ядра обусловлено историческими, социальными и идеологическими условиями существования группы. Оно состоит из знаний особого свойства - нормативных, основанных не на фактах, а на ценностях, и поэтому не может быть изменено без угрозы существованию социального представления.

Выделение центрального ядра репрезентации основывается на следующих количественных критериях:

) уровне согласия мнений членов группы о важности данной характеристики объекта представления;

) оценке необходимости характеристик для определения объекта. Впрочем, эти критерии недостаточны для определения центральных элементов из-за различной социальной динамики в группах. Элементы центрального ядра активируются в различной степени в зависимости от ситуации. Изменчивость в активации центральных элементов в процессе функционирования социальных репрезентаций во многом определяется типом механизма «зацепления», используемого группой.

Если центральное ядро является наиболее согласованной, основанной на консенсусе частью репрезентации, то периферическая система призвана объяснить индивидуальные различия в процессе репрезентации. Она более изменчива, чем центральное ядро, и потому дает возможность интегрировать различные информации и практики. Она состоит из когнитивных схем и является опосредующим звеном между репрезентацией и реальностью [21].

Благодаря проведенным эмпирическим исследованиям ядра и периферии социального представления удалось обнаружить, что структура представления зависит от изменения аттитюда, но меняется при этом только периферическая система, а ядро остается стабильным. Были доказаны некоторые закономерности функционирования ядра: так, его элементы могут активизироваться в разной степени в зависимости от контекста; на факт активации влияют критичность ситуации и уровень практического освоения объекта группой. Большое влияние оказывают также контекст высказывания и характеристики нормативной модели [4].

Третий параметр анализа социальных представлений - их функции. Социальное представление выполняет три основные функции:

) оно является инструментом познания социального мира - его роль здесь аналогична роли обычных категорий, посредством которых индивид описывает, классифицирует, объясняет события; [ 1, 210].

) функция - опосредования - подразумевает собой опосредование, ориентацию и регуляцию поведения, социальных отношений и коммуникаций в группе, а также способствует выделению ценностей, которые регулируют поведение индивида. Эта функция реализуется на внутригрупповом, межличностном уровне [15].

) оно является средством адаптации совершающихся событий к уже имеющимся, т.е. способствует сохранению сложившейся картины мира.

Некоторые исследователи выделяют также и четвертую функцию социальных представлений - сохранения стабильности и устойчивости индивидуальной и групповой структуры сознания. Так как новый объект (явление, феномен), нарушает равновесие индивидуальной когнитивной структуры, то это равновесие необходимо восстановить при помощи дифференциации и интеграции [ 17].

Реализацию этих функций обеспечивает особый механизм возникновения социального представления. Он включает в себя три этапа: «зацепление»; объектификация и натурализация.

Суть первого этапа - «зацепления» состоит в том, что сначала всякий новый объект (как правило, незнакомый) нужно как-то «зацепить», сконцентрировать на нем внимание, зафиксировать в нем что-то такое, что позволит его вписать в ранее существующую рамку понятий. Тогда на втором этапе можно попытаться превратить обозначение нового неизвестного предмета в более конкретный образ. Этот процесс и называется объектификацией. Хорошо поясняет эти механизмы пример, приводимый Д. Жоделе. Он, почерпнут из исследования С. Московичи о том, как во французском обществе формировалось социальное представление о психоанализе. Прежде всего, какой-либо индивид, услышав о психоанализе, «зацепляется» за это незнакомое ему понятие. Что-то заставляет его сосредоточить свое внимание на явлении, обозначенном этим понятием. Затем начинается дальнейшая работа с понятием «психоанализ» - объектификация.

Именно в ходе этого процесса незнакомое и абстрактное трансформируется в нечто конкретное, знакомое здравому смыслу. «Объектифицировать, - говорит Московичи, - означает раскрыть знакомое качество в туманной идее или сущности, перевести понятие в образ». Объектификация чаще всего осуществляется в форме персонализации, т.е. попытки привязать понятие к какой-нибудь личности, более или менее «знакомой». В данном случае логика поведения обыденного человека будет заключаться в следующем: «Психоанализ... Что-то слыхал... Ах, да, конечно, это же Фрейд... Что-то там о комплексах... Да, конечно, это и есть психоанализ». Таким образом, получено некоторое «знание», оно инкорпорировано, включено в когнитивную структуру индивида, естественно, в сильно упрощенном, препарированном виде. Важно подчеркнуть, что новое, неизвестное сводится здесь к более известному конкретному имени, конкретной личности (персоне).

Объектификация может осуществляться и в другой форме: фигурации. При этом содержание понятия, обозначающего для обыденного человека нечто новое, незнакомое, привязывается не просто к имени кого-либо, а к некоторой формуле, связанной с этим именем. Пример: работа с понятием «теория относительности». Мало кто в случайно собравшейся компании знает что-либо существенное об этой теории, но когда-то в школе что-то слышали об этой теории, так, же как что-то слышали и об Эйнштейне. Осуществляется персонализация: «Ах, да, теория относительности - это же Эйнштейн». Но движение вперед продолжается: опять-таки по каким-то старым школьным воспоминаниям в памяти всплывает формула Е = тс2. Её смысл давно забыт, она всплывает почти визуально, но ситуация спасена: «Как же, как же - теория относительности, Эйнштейн, формула Е = тс2».

Наступает следующий этап - натурализация: принятие полученного «знания» как некоторой объективной реальности. Неважно, что подобного «знания» едва хватит для разговора в случайной компании, не больше. Важно другое - удовлетворена потребность в приведении новой, встретившейся информации в соответствие с существующей картиной мира, не разрушающей ее; можно сказать, что новое знание «приручено».

Приведенный пример хорошо иллюстрирует основную идею концепции социальных представлений: каждый индивид интегрирует и модифицирует в каждый данный момент социальные формы, созданные культурой и отдельными группами. На этом пути ему встречаются различные «посредники»: институты власти, законы, средства массовой информации и пр. Все они, конечно, влияют на меру и степень модификации понятия при переводе его в представление здравого смысла. Самым же главным фоном, на котором это происходит, является группа, ее опыт, ее система сложившихся уже ранее представлений.

Московичи критикует когнитивизм за его «асоциальность», но и призывает к союзу, за интеграцию двух подходов. Свой вклад он усматривает в том, что источник социального познания видит в социальных отношениях. Он рассматривает свою теорию как попытку поместить проблемы социального познания на перекресток между психологией и социальными науками. Самым главным дополнением к когнитивистскому подходу он считает так называемую «идентификационную матрицу», объясняющую, как вписывается новая информация в когнитивную структуру каждого индивида в зависимости от того, с какой социальной группой он идентифицирует себя: «Каждый класс определяет репертуар поведения и правил, обозначая то, что позволено или запрещено всем, кто в него включен». Именно поэтому социальное знание и закрепляется в таких матрицах - своеобразных рамках принятия социальной информации. Можно при желании увидеть в предложенных матрицах просто новую версию традиционных когнитивных карт, схем, репертуарных решеток и прочих образований, предложенных в когнитивистской традиции. Но при всем том пафос основной идеи остается несомненным: в противовес «чисто» когнитивистскому подходу, оперирующему достаточно абстрактными категориями, здесь постоянно делается акцент на то, что вся совокупность знаний («представлений») человека о мире дана в системе, и это приводит к тому, по словам Д. Жоделе, что «социальные представления являются тем объектом, исследования которого возвращают социальную психологию в исторический, социальный и культурный масштаб» [1, 211-212].

1.3     Социальные представления и поведение

Социальные представления выполняют двоякую функцию: делать привычным то, что кажется странным, и делать невидимое воспринимаемым. Неизвестное и непривычное представляет угрозу, потому что у нас нет в распоряжении категории, к которой мы могли бы это отнести.

Психоаналитик - странный человек. Это, учитывая католическое прошлое Франции, неизбежно, чтобы этот человек представлялся нам своего рода священником, кюре. Странное, если его уподобить чему-то знакомому, привычному, становится менее угрожающим. По данным исследования Жодле, жители деревни, чтобы отнести своих подопечных к какой-то категории, называли их словом, которое на местном диалекте означает «сумасшедший».

В разной степени социальное представление приобретает характеристики иконы, символизируя абстрактную сущность. Еще не так давно школьникам вбивали в голову врач, но он не прописывает лекарств. Поскольку этому человеку мы доверяемся, то, по-видимому, доказательства того, что Земля круглая. Сегодня у нас есть множество прекрасных, сделанных из космоса фотографий, материализующих этот принцип.

Распространение знаний о психоанализе позволило «человеку с улицы» признать «комплексы» и выявить «ляпсусы», - эти психические феномены теперь интегрированы в осязаемую действительность.

Херцлих указывает, что смутное недомогание в условиях городской жизни выражалось терминами «усталость» и «нервное напряжение». Эти состояния, промежуточные между здоровьем и болезнью, теперь получили широкое признание, а тот, кто о них говорит, может частично пользоваться уважением и симпатией, обычно выпадающими на долю больных.

С. Московичи (Moscovici, 1983) комментирует попытку Американской психологической ассоциации - столкнувшейся с аналогичным явлением -  изъять из употребления общий термин «невроз» и уточнить, о каком нервном нарушении идет речь. Действительно, став привычным в повседневной речи, это слово получило социальную функцию, независимую от его значения как медицинского термина и включающую сочувствие к человеку, которого так называет. Такая категория, пример автономии, приобретаемой социальными представлениями, не может быть устранена немедленно, поскольку это социальное представление уже распространилось в обществе. «То, что слово "невроз" ушло, а слово "нарушение" пришло ему на смену, - это факт, значение которого выходит далеко за пределы простого смысла этих слов во фразе или в психиатрии. Этим затрагиваются и изменяются отношения и коллективное мышление» (Moscovici, 1983).

Точно так же как представление о болезни ориентирует на принятие решения пойти к врачу, представление о теле определяет личную гигиену и режим, который мы должны соблюдать, чтобы сохранить хорошую физическую форму. Социальное представление о детях в сознании урбаниста оказывает влияние на проектирование игровых площадок.

Эта тесная связь между представлениями и действиями (поступками) была в основном объектом лабораторных экспериментов. В то время как работы, о которых шла речь выше, были выполнены в естественных условиях, в особых социальных рамках, эксперименты, которые мы опишем теперь, проводились в лаборатории. В частности, в городе Экс-ан-Прованс этим занимались французские исследователи Абрик, Кодоль, Фламан и др.

Эти эксперименты, как всякое исследование социальных представлений, основываются на культурной реальности, общей для испытуемых и для экспериментатора. Самое очевидное проявление этого - общий язык. Особый интерес эксперимента заключается в возможности создать в условиях лаборатории более точные и более отграниченные или более интенсивные ситуации, чем в социальной реальности. Это позволяет выявить специфические процессы в динамике представлений. Изменяя отдельные аспекты экспериментальной ситуации, можно ввести изменения в представление испытуемого о ней.

Так, удалось выявить важные различия в поведении в зависимости от того, представлен ли испытуемому его противник в экспериментальной игре как машина или как человек - такой же студент, как он (Abric, 1976); или же - в другой ситуации - играют ли против «случая» или против «природы» (Fauchenx, Moscovici, 1968), а также в зависимости от того, представлено ли экспериментальное задание как «творческое» или как «прагматическое» (Abric, 1971); или же - при работе группой - в зависимости от того, требуется ли от участников сотрудничество или соревнование (Codol, 1974). Сегодня насчитывается более сотни таких экспериментов, в которых изучается, как испытуемый представляет себе различные аспекты экспериментальной ситуации. При этом учитывается, какие представления он приносит с собой в лабораторию. Все вместе эти экспериментальные исследования внесли большой вклад в освещение процессов, связывающих индивидуальное и коллективное, действия и представления [16].

Выводы по первой главе

Теоретический анализ проблемы представлений в психологии позволил нам сделать следующие выводы:

. Рабочим определением в данной работе является - представление.

Социальное представление - это разновидность практического мышления, направленная на общение, на понимание и освоение социального окружения, материального и идеального. Как таковые они обнаруживают специфические свойства в плане организации содержания, а также мыслительных операций и логики [1].

. В современной отечественной социальной психологии социальные представления изучаются как одно из функционально образующих социальное мышление процедур такими учеными, как К.А. Абульханова-Славская, Г.М. Андреева, Г.Э. Белицкая, О.П. Николаева, В.В. Знаков и др. [20].

Стоит отметить, что подобная проблематика в свое время в отечественной психологии поднималась виднейшими психологами, такими как Л.С. Выготский и С.Л. Рубинштейн.

Социальные представления рассматривались в отечественной литературе: Шихирев, 1985; Донцов, Емельянова, 1987; Калькова, 1992; Якимова, 1996; Андреева, 1997. Появлялись на русском языке и работы основателя школы социальных представлений С. Московичи [Московичи, 1992, 1995]. Таким образом, надо полагать, что в основном эта область исследований либо известна российским специалистам, либо при желании доступна, несмотря на мизерные тиражи некоторых фундаментальных работ [23].

Проблематика социальных представлений, изучение которой было начато С. Московичи и его последователями, получила поддержку и у исследователей других стран, Например, австралийских авторов M. Augoustinos & J.M. Innes, немецких ученых Б. Шефер и Б. Шледер, финских A. Vornanen, H. Raty & L. Snellman и японских исследователей H. Azuma & K. Kashivagi и др. [20].

. Социальных представлений концепция - одна из теорий «среднего ранга», нацеленная на выявление тенденций функционирования структур обыденного сознания в современном обществе [3], автором, которой выступил французский социальный психолог С. Московичи, и которая принята большинством исследователей французской школы.

Во французской школе особенно активно работают С. Московичи, Ж.-П. Кодол, Д. Жоделе и др. Сущность теории «социальных представлений» выражена, прежде всего, в её общей направленности. Подобно тому, как это имело место в теории социальной идентичности А. Тэшфела, основное «остриё» теории направлено против американского подхода к социальному поведению, которое, по мнению С. Московичи, «десоциализировано». Поэтому первая задача теории «социальных представлений» - установить более тесную связь между когнитивными процессами человека и социальными макропроцессами.

. Основная идея социального представления концепция заключена в следующем утверждении: ментальные (духовные), структуры общества призваны упрочивать психологическую стабильность социального субъекта (группы или индивида) и ориентировать его поведение в меняющихся ситуациях. Предметом социально-психологического изучения считается социальная реальность, понимаемая как совокупность социальных представлений, посредством которых общественные отношения представлены в индивидуальном сознании субъекта.

. Структура социального представления содержит три измерения: информацию - сумму знаний о представляемом объекте; поле представления, характеризующее организацию его содержания с качественной стороны; установку по отношению к объекту представления. Именно эти три компонента пополняются как в ходе социализации, так и в повседневном жизненном опыте [1, 210 ].

6. Динамика социальных представлений обыденного сознания получает в С. п. к. наименование «объективации» и включает ряд фаз: «персонификацию» (ассоциирование объекта представления с конкретными личностями), образование «фигуративной схемы» представления (визуально-репрезентируемой ментальной конструкции) и «натурализацию» (оперирование в обыденном сознании элементами «фигуративной схемы», как автономными объективными сущностями).

. В С. п. к. изучены системы представлений о психоанализе (С.Московичи), о городе (Ст.Милгрем), о женщине и детстве (М.-Ж.Шомбар де Лов), о человеческом теле (Д.Жоделе), о здоровье и болезни (К.Херзлиш) и др.

8. Классическое определение социального представления дано самим Московичи и рядом его сотрудников. [1, 207].

Определить социальные представления пытались и в отечественной социальной психологии. Например, Е.Б. Маценова предложила такое определение: «Социальное представление - это способ осмысления, интерпретации человеком феноменов социальной жизни» [ 9].

. С категорией «социальные представления» смыкается категория «житейские понятия», разработанная в отечественной психологической науке Л.С. Выготским (1982). Житейские понятия противопоставлялись им научным понятиям. Первые формируются раньше вторых и образуются на основе собственного опыта, вторые - на основе связей с другими понятиями [5].

Подобного мнения придерживается и О.К. Тихомиров. Житейские понятия (наряду с научными понятиями) он связывал непосредственно с обобщениями.

. В дальнейшем возникла необходимость пересмотра структуры социального представления. Согласно концепции последователя С. Московичи Ж.К. Абрика, структура социального представления представлена следующими компонентами:

. Центральное ядро, которое связано с коллективной памятью и историей группы.

. Периферическая система, обеспечивающая интеграцию индивидуального опыта каждого члена группы и поддерживающая ее гетерогенность.

. Социальное представление выполняет три основные функции:

) оно является инструментом познания социального мира

) функция - опосредования - подразумевает собой опосредование, ориентацию и регуляцию поведения, социальных отношений и коммуникаций в группе, а также способствует выделению ценностей, которые регулируют поведение индивида.

) оно является средством адаптации совершающихся событий к уже имеющимся, т.е. способствует сохранению сложившейся картины мира.

. Сегодня насчитывается более сотни экспериментов, в которых изучается, как испытуемый представляет себе различные аспекты экспериментальной ситуации. Все вместе эти экспериментальные исследования внесли большой вклад в освещение процессов, связывающих индивидуальное и коллективное, действия и представления [16].

ГЛАВА II. ЭМПИРИЧЕСКОЕ ИССЛЕДОВАНИЕ СОЦИАЛЬНЫХ ПРЕДСТАВЛЕНИЙ ПОДРОСТКОВ О МОТИВАХ СОЦИАЛЬНОЙ АКТИВНОСТИ

.1 Методики исследования и условия проведения эмпирической части исследования

В эмпирической части были поставлены следующие задачи:

. Подобрать методы и методики для исследования социальных представлений у старшеклассников.

Для исследования социальных представлений у подростков мы применяли:

) «Методику на отношение» для исследования у подростков особенностей представлений о личности преступника.

Для определения эмоциональной составляющей социальной установки к закону испытуемым предлагалось представить закон, как комплекс норм поведения личности выраженной в Уголовном кодексе Российской Федерации. Попытаться определить к какому понятию, чувству, характеристике он ближе и насколько. Для этого, необходимо было определить, к какому понятию он ближе, а затем определить выраженность этого отношения по шкале от 0 до 3. При этом 0 - отсутствие явно выраженного отношения, 2 - слабая его выраженность, а 3 - сильная выраженность.

Приводился следующий пример, «К кошке я отношусь с любовью» (необходимо было выбрать правую шкалу от 0 до 3), но не очень сильно (Выбираю - 2). Далее предлагалась таблица с полярными выражениями отношения к закону и выраженности этого отношения в виде цифр.

Таблица 1. Для подсчетов необходимо использовать следующую таблицу

Ненависть

 -3

-2

- 1

0

1

2

3

Любовь

Печаль

- 3

- 2

- 1

0

1

2

3

Восхищение

Досада

 -3

 -2

- 1

0

1

2

3

Счастье

Напряжение

- 3

- 2

 -1

0

1

2

3

Спокойствие

Скука

- 3

 -2

- 1

0

1

2

3

Возбуждение

Злость

- 3

 -2

- 1

0

1

2

3

Непринужденность

Отвращение

- 3

 -2

 -1

0

1

2

3

Одобрение

Огорчение

- 3

- 2

- 1

0

1

2

3

Радость

Протест

-3

-2

-1

0

1

2

3

Принятие

Непонимание

-3

-2

-1

0

 1

 2

 3

Понимание

Нейтралитет

 -3

 -2

 -1

 0

 1

 2

 3

Сопереживание


Среднее значение эмоциональной составляющей установки (эмоционального отношения) к чему-либо определяется как среднее арифметическое полученных баллов по всем шкалам (с учетом знака).

Данные теста заносились в специальные таблицы.

Знак соответствует типу отношения: «-» - негативное, отрицательное, а «+» - позитивное, положительное.

Цифра - соответствует выраженности отношения.

Для того чтобы определить уровень выраженности отношения, используем параметры, отражённые в таблице 3.

Таблица 2. Параметры оценивания уровня выраженности отношения

Количество Баллов

Степень выраженности отношения

0 - 0,2

Отношение не выражено

0,3 - 0,8

Отношение очень слабо выражено

0,9 - 1,4

Отношение слабо выражено

1,5 - 1,9

Отношение сильно выражено

2,0 - 2,6

Отношение очень сильно выражено

2,7 - 3

Патологически сильно выражено, наличие мании или стрессового состояния в момент тестирования

Приведём пример выявления эмоциональной составляющей социальной установки к закону. После того как была подсчитана общая сумма баллов, выбранных одним из испытуемых, она делится на общее количество предложенных пар понятий (в данном случае на 11). Это делается для подсчёта среднего арифметического. В нашем случае испытуемый набрал -15/11= -1,4, что говорит нам о слабо выраженном отрицательном отношении к законам (Таблица 2). Все результаты обрабатываются аналогичным способом.

) «Метод незаконченных предложений».

1.        Я вижу в преступнике…

2. Я слышал(а), что преступники…

. Большинство людей думают, что преступники…

4. Преступникам свойственно…

5. Преступники, на мой взгляд, характеризуются…

2. Сформировать выборку.

В исследовании принимали участие подростки 15-16 лет, 42 ученика 11 «МТ» (21 человек -11 девочек и 10мальчиков) и 11 «М1» (21 человек - 15 девочек и 6 мальчиков) классов.

3. Выявить особенности представлений о личности преступника у старшеклассников.

Поставленные задачи были решены следующим образом:

Для исследования особенностей социальных представлений у старшеклассников мы применяли «Методику на отношение» и «Метод незаконченных предложений».

Исследование особенностей социальных представлений у старшеклассников проводилось на базе лицея №35 г. Калининграда 29 сентября 2009 года. В исследовании принимали участие подростки 15-16 лет, 42 учеников 11 «МТ» (21 человек - 10 мальчиков и 11 девочек) и 11 «М1» (21 человек - 6 мальчиков и 15 девочек) классов. Проводилось групповое исследование с каждым классом в отдельности студенткой 4 курса Горяйновой Валерией в классе в присутствии учителя русского языка и литературы Людмилы Фёдоровны Богдановой.

) Ученикам предлагалась «Методика на отношение» для исследования у подростков особенностей представлений о личности преступника (тест в виде таблицы). Он состоял из 22 противоположных понятий и шкал «+» и «-» до 0 до 3. Ученики должны были определить, к какому понятию, чувству, характеристике они ближе и насколько. Для этого, необходимо было определить, к какому понятию они ближе, а затем определить выраженность этого отношения по шкале от 0 до 3. При этом 0 - отсутствие явно выраженного отношения, 2 - слабая его выраженность, а 3 - сильная выраженность.

И.Ф. класс_______________________________________________

Попытайтесь определить к какому понятию, чувству, характеристике вы ближе и насколько. Для этого, необходимо определить, к какому понятию вы ближе, а затем определить выраженность этого отношения по шкале от 0 до 3. При этом 0 - отсутствие явно выраженного отношения, 2 - слабая его выраженность, а 3 - сильная выраженность.

Пример, «К кошке я отношусь с любовью» необходимо выбрать правую шкалу от 0 до 3. Если не очень сильно люблю, то выбираю - 2.

Ненависть

 -3

-2

- 1

0

1

2

3

Любовь

Печаль

- 3

- 2

- 1

0

1

2

3

Восхищение

Досада

 -3

 -2

- 1

0

1

2

3

Счастье

Напряжение

- 3

- 2

 -1

0

1

2

3

Спокойствие

Скука

- 3

 -2

- 1

0

1

2

3

Возбуждение

Злость

- 3

- 1

0

1

2

3

Непринужденность

Отвращение

- 3

 -2

 -1

0

1

2

3

Одобрение

Огорчение

- 3

- 2

- 1

0

1

2

3

Радость

Протест

-3

-2

-1

0

1

2

3

Принятие

Непонимание

-3

-2

-1

0

 1

 2

 3

 Понимание

Нейтралитет

 -3

 -2

 -1

 0

 1

 2

 3

 Сопереживание


2) Ученикам предлагался «Метод незаконченных предложений». Пять предложений, которые нужно было дополнить одним или несколькими словами.

1.        Я вижу в преступнике…

2. Я слышал(а), что преступники…

. Большинство людей думают, что преступники…

4. Преступникам свойственно…

5. Преступники, на мой взгляд, характеризуются…

.2 Результаты исследования и их интерпретация

В результате применения методики для измерения эмоциональной составляющей социальной установки Крит, Фабригар и Петти (Crites, Fabrigar & Petty, 1994) получены данные, представленные в таблице 1.

Таблица 1. Результаты исследования степени выраженности отношения подростков к личности преступника по методике для измерения эмоциональной составляющей социальной установки.

 Испытуемые 11 «М 1» класс

Кол-во Баллов

Степень выраженности отношения к личности преступника

1. К.К.

- 2,0

Очень сильно выражено отрицательное отношение

2. Г.Ю.

- 1,0

Слабо выражено отрицательное отношение

3. В.М.

- 1,0

Слабо выражено отрицательное отношение

4. М.Э.

- 0,4

Очень слабо выражено отрицательное отношение

5. П.А.

- 1,3

Слабо выражено отрицательное отношение

6. К.Д.

- 0,2

Отношение не выражено

7. А.К.

- 0,8

Очень слабо выражено отрицательное отношение

8. А.Д.

- 1,2

Слабо выражено отрицательное отношение

9. К.М.

- 2,0

Очень сильно выражено отрицательное отношение

10. Ш.А.

- 1,5

Cильно выражено отрицательное отношение

11. Д.Д.

- 1,7

Сильно выражено отрицательное отношение

12. К.Т.

- 1,7

Сильно выражено отрицательное отношение

13. К.Л.

- 1,5

Сильно выражено отрицательное отношение

14. C.П.

- 1,3

Сильно выражено отрицательное отношение

15. Д.А.

- 0,4

Очень слабо выражено отрицательное отношение

16. А.Д

- 0,1

Отношение не выражено

17. Р.В.

-1,3

Cлабо выражено отрицательное отношение

18. П.А.

- 0,7

Очень слабо выражено отрицательное отношение

19. Г.А.

- 1,0

Cлабо выражено отрицательное отношение

20. Л.А.

- 1,6

Cлабо выражено отрицательное отношение

21. В.Н.

- 1,6

Cлабо выражено отрицательное отношение


Таблица 2. Результаты исследования степени выраженности отношения подростков к личности преступника по методике для измерения эмоциональной составляющей социальной установки.

Испытуемые 11 «МТ» класс

Кол-во Баллов

Степень выраженности отношения к личности преступника

1. П.С.

-2,0

Очень сильно выражено отрицательное отношение

2. Т.А.

0,3

Очень слабо выражено положительное отношение

3. Б.Г.

-1,0

Слабо выражено отрицательное отношение

4. Д.Е.

- 0,6

Очень слабо выражено отрицательное отношение

5. В.К.

- 0,1

Отношение не выражено

6. Л.В.

 0,3

Очень слабо выражено положительное отношение

7. А.Т.

- 3

Патологически сильно выражено, наличие мании или стрессового состояния в момент тестирования

8. М.Е.

- 0,9

Слабо выражено отрицательное отношение

9. М.В.

- 1,4

Слабо выражено отрицательное отношение

10. К.А.

- 1,2

Слабо выражено отрицательное отношение

11. А.А.

- 0,8

Очень слабо выражено положительное отношение

12. Р.Д.

- 0,3

Очень слабо выражено отрицательное отношение

13. Щ.Ю.

- 0,2

Отношение не выражено

14. К.И.

- 1,1

Слабо выражено отрицательное отношение

15. О.С.

- 0,1

Отношение не выражено

16. С.Р.

- 0,2

Отношение не выражено

17. А.В.

- 2,4

Патологически сильно выражено, наличие мании или стрессового состояния в момент тестирования

18. С.Э.

- 2,7

Патологически сильно выражено, наличие мании или стрессового состояния в момент тестирования

19. Ч.М.

- 2,1

Очень сильно выражено отрицательное отношение

20.З.И.

- 2,3

Очень сильно выражено отрицательное отношение

21. Г.Ж.

- 2,3

Очень сильно выражено отрицательное отношение

22. П.Е.

- 2,5

Очень сильно выражено отрицательное отношение


Таким образом, мы видим, что у большинства учащихся отношение к личности преступника слабо выражено.

Эти выводы представлены в таблице 3:

Таблица 3. Результаты исследования степени выраженности отношения подростков к личности преступника по методике для измерения эмоциональной составляющей социальной установки.

Кол-во Человек

Степень выраженности отношения к личности преступника

 6

Отношение не выражено

 8

Отношение очень слабо выражено

 11

Отношение слабо выражено

 6

Отношение сильно выражено

 8

Отношение очень сильно выражено

 3

Патологически сильно выражено, наличие мании или стрессового состояния в момент тестирования


Среднее арифметическое по группе 11 «М 1» класс:

(- 2,0)+(- 1,0)+(- 1,0)+(- 0,4)+(- 1,3)+(- 0,2)+(- 0,8)+(- 1,2)+(- 2,0)+(- 1,5)+(- 1,7)+(- 1,7)+(- 1,5)+(- 1,3)+ (- 0,4)+(- 0,1)+(-1,3)+(- 0,7)+(- 1,0)+(- 1,6)+(-1,6) /21 = -1,2

Среднее по группе -1,2, это говорит о том, что отношение к личности преступника слабо выражено и отрицательно.

Среднее арифметическое по группе 11 «МТ» класс:

(-2,0)+(0,3)+(-1,0)+(- 0,6)+(- 0,1)+( 0,3)+(- 3)+(- 0,9)+(- 1,4)+(- 1,2)+(- 0,8)+(- 0,3)+(- 0,2)+(- 1,1)+(- 0,1)+(- 0,2)+(- 2,4)+(- 2,7)+(- 2,1)+(- 2,3)+(- 2,3)+(- 2,5) /21= -1,3

Среднее по группе -1,3, это говорит о том, что отношение к личности преступника слабо выражено и отрицательно.

Среднее арифметическое по группе 11 «МТ» и 11 «М1»:

(- 2,0)+(- 1,0)+(- 1,0)+(- 0,4)+(- 1,3)+(- 0,2)+(- 0,8)+(- 1,2)+(- 2,0)+(- 1,5)+(- 1,7)+(- 1,7)+(- 1,5)+(- 1,3)+ (- 0,4)+(- 0,1)+(-1,3)+(- 0,7)+(- 1,0)+(- 1,6)+(-1,6)+ (-2,0)+(0,3)+(-1,0)+(- 0,6)+(- 0,1)+( 0,3)+(- 3)+(- 0,9)+(- 1,4)+(- 1,2)+(- 0,8)+(- 0,3)+(- 0,2)+(- 1,1)+(- 0,1)+(- 0,2)+(- 2,4)+(- 2,7)+(- 2,1)+(- 2,3)+(- 2,3)+(- 2,5) / 42 = -1,3

Среднее по группе -1,3, это говорит о том, что отношение к личности преступника слабо выражено и отрицательно.

«Метод незаконченных предложений».

1.        Я вижу в преступнике…

5 человек, ответили - отчаявшегося.

человек, ответили - деградирующего.

человек, ответили, что видят зло или злого человека.

5 человек, ответили - больной человек.

человек, ответили, что видят зло или злого человека. Не основано на исследованиях и литературе.

. Я слышал(а), что преступники…

человек, ответили - больные.

человек, ответили - неуравновешенные.

человек ответили - жестокие.

человек, ответили - неуравновешенные. Не основано на исследованиях и литературе.

3. Большинство людей думают, что преступники…

3 человека ответило - опасные для общества

человек ответили - злые.

человека ответили - убийцы.

человек ответили - злые. Не основано на исследованиях и литературе.

. Преступникам свойственно…

человека, ответили - агрессия.

человек, ответили - злость.

человек, ответили - грабить.

человека, ответили - насиловать.

человек, ответили - убивать. Не основано на исследованиях и литературе.

. Преступники, на мой взгляд, характеризуются…

человека, ответили - безнравственностью.

человека, ответили - злостью.

человека, ответили - жестокостью.

Не основано на исследованиях и литературе.

Таким образом, мы видим, что старшеклассники видят в личности преступника - злого, неуравновешенного, жестокого, безнравственного и отчаявшегося человека, который способен на такие поступки, как убийство, воровство и изнасилование. У подростков нет чёткого понимания, кто такие преступники. Их ответы не основаны на исследованиях и литературе.

Гипотеза:

Нo - у 11 «МТ» класса отрицательное отношение к личности преступника выражено не сильнее, чем у 11 «М1» класса.

Н? − сильнее чем у 11 «М1» класса.

Ранжируем полученные данные по тестам, которые представлены в таблице 4.

Таблица 4

11 «МТ» класс

R «МТ» класс

11 «М1» класс

R 11 «М1» класс

 3

42

 ─

 ─

 ─

 ─

2,8

41

2,7

40

 ─

 ─

2,5

39

 ─

 ─

2,4

38

 ─

 ─

2,3

37

 ─

 ─

2,1

36

 ─

 ─

2,0

34,5

 ─

 ─



2,0

 34,5

1,8

33

 ─

 ─



1,7

31,5

 ─

 ─

1,7

31,5

 ─

 ─

1,6

29,5

 ─

 ─

1,6

29,5

 ─

 ─

1,5

27,5



1,5

27,5

1,4

26

 

 

 ─

 ─

1,3

24

 ─

 ─

1,3

24

 ─

 ─

1,3

24

 ─

 ─

1,2

21,5

 1,2

21,5

 ─

 ─

 1,1

20

 ─

 ─

 ─

 ─

1,0

18

 ─

1,0

18

 ─

 ─

1,0

18

0,9

16

 ─

 ─

0,8

14,5

 ─

 ─

 ─

 ─

0,8

14,5

 ─

 ─

0,7

13

0,6

12

 ─

 ─

 ─

 ─

0,4

10,5

 ─

 ─

0,4

10,5


Ранжирование по U-критерию Манна-Уитни

 ─

 ─

0,3

8

 ─

 ─

0,3

8

 ─

 ─

0,3

8

 ─

 ─

0,2

5

 ─

 ─

0,2

5

0,2

5

 ─

 ─

0,1

2

 ─

 ─

 ─

 ─

0,1

2

 ─

 ─

0,1

2

Суммы рангов

 455,5


447,5


1.       Подсчитывается общая сумма рангов из таблицы:

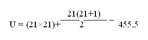
,5+447,5= 903

. Проверка совпадения реальной и расчётной сумм рассчитывается по формуле:

N ∙ (N+1) N=n1+n2

¯¯¯2¯¯¯

(21+21)∙(21+1) 42∙43 1806

¯¯¯¯¯¯2¯¯¯¯ = ¯¯2¯¯ =¯¯2¯¯ = 903

. Наибольшая сумма рангов - 455,5

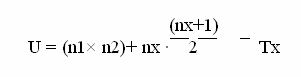
. Uэ. Вычисляется по следующей формуле:


Где:

n1 - количество испытуемых в выборке 1.

n2 - количество испытуемых в выборке 2.

Тх - большая из 2-х сумма рангов.

nх - количество испытуемых в группе с большей суммой рангов.

U = 441+231-455,5= 216,5

U крит. = 154 при p ≤ 0,05

при p ≤ 0,01

 


Значение Uэ. попало в зону незначимости. Н1 - отклоняется. Таким образом Нo - подтверждается. Т.Е. У 11 «МТ» класса отрицательное отношение к личности преступника выражено не сильнее, чем у 11 «М1» класса.

ЗАКЛЮЧЕНИЕ

Подростковая преступность начинает приобретать глобальный для российского общества характер. Самое опасное заключается в том, что криминальная деятельность, участие в уголовных группировках становится в глазах подростков и детей социально престижным занятием.

Проблема в том, что участие в деятельности, принадлежность к тем или иным преступным кланам и группировкам нередко становится для некоторых подростков пределом желаний и социальных ожиданий.

Целью нашей работы было выявить особенности представлений о личности преступника у старшеклассников.

Задачей нашей работы было провести теоретический анализ проблемы социальных представлений в психологии и выявить особенности представлений о личности преступника у старшеклассников.

Была выдвинута гипотеза: представления о личности преступника у подростков связаны с понятиями убийство, изнасилование, грабёж.

Для выявления особенностей представлений о личности преступника у старшеклассников мы применяли методику для измерения эмоциональной составляющей социальной установки Крит, Фабригар и Петти (Crites, Fabrigar & Petty, 1994). «Методика на отношение», и «Метод незаконченных предложений».

Исследование по выявлению уровня проявления этнических стереотипов у подростков проводилось на базе лицея №35 г. Калининграда 29 сентября 2009 года. В исследовании принимали участие подростки 15-16 лет, 42 учеников 11 «МТ» (21 человек - 10 мальчиков и 11 девочек) и 11 «М1» (21 человек - 6 мальчиков и 15 девочек) классов.

Без выявления глубинных корней криминальной активности подростков, невозможно создание эффективной системы профилактики и предупреждения правонарушений несовершеннолетних.

Анализ результатов исследований показал, что ассоциации у подростков в основном с убийством, изнасилованием, грабёжом, а надо разделять личность человека и преступные деяния. Наказывается преступление, а не личность.

Таким образом, выдвинутая нами гипотеза получила подтверждение.

ЛИТЕРАТУРА

1.       Андреева Г.М. Психология социального познания, М., 2000.

2.       Андреева Г.М., Богомолова Н.Н. Современная социальная психология на Западе. Теоретические ориентации, М., 1978.

3.       Берне Р. Развитие «Я-концепции» и воспитание, М., 1986.

4.       Бодалев А.А., Столин В. В. Общая психодиагностика, СПб., Речь, 2006.

5.       Глуханюк Н.С, Белова Д.Е. Психодиагностика, М., Академический проект; Екатеринбург, 2005.

6.       Донцов А.И., Емельянова Т.П. Концепция «социальных представлений» в современной психологии, М., 1987.

.        Дубов И.Г. Феномен менталитета: «психологический анализ» и вопросы психологии, М., 1993.

.        Емельянова Т.П. Социальное представление - понятие и концепция: итоги последнего десятилетия. Психологический журнал т.22 №6, 2001.

.        Зейгарник Б.В. «Теории личности в зарубежной психологии», М., 1982.

.        Кондратьева С.В. Практическая психология: учебно-методическое пособие, Минск, Университетское, 1997.

11.     Куницына В.Н. Восприятие подростками других людей и себя, Л., 1972.

12.     Краусс Р. Познание и общение. Социально-психологический подход. Психологический журнал т.7 №5, 1986.

13.     Леонтьев А.Н. Деятельность. Сознание. Личность, М., 1975.

.        Липатов С.А. Организационная культура: социальное познание в организационном контексте. Мир психологии, 1999 №3.

.        Маслоу А. «Мотивация и личность», СПб, 1999.

.        Социальная психология 7 издание, под редакцией Московичи, М., СПб., 2007.

17.     Мудрик А.В. Роль социального окружения в формировании личности подростка., М., Знание, 1979.

.         Немов Р.С. «Психология», т.1, М., 1999

19.     Рубинштейн С.Л. «Основы общей психологии», СПб., 1999.

20.     Столяренко Л.Д. Основы психологии, Ростов на Дону, Феникс, 1997.

.         Хекхаузен Х. «Психология мотивации достижения», СПб, 2001.

22.     Шеффер Б. Социальная идентичность и групповое сознание как медиаторы межгруппового поведения. Психологический журнал т.1 №1, 1993.

.        Шихирев П.Н. Современная социальна психология, М., 1999.

Приложение 1

И.Ф. _____________________________________класс_____________

) Попытайтесь определить к какому понятию, чувству, характеристике вы ближе и насколько. Для этого, необходимо определить, к какому понятию вы ближе, а затем определить выраженность этого отношения по шкале от 0 до 3. При этом 0 - отсутствие явно выраженного отношения, 2 - слабая его выраженность, а 3 - сильная выраженность.

Ненависть

 -3

-2

- 1

0

1

2

3

Любовь

Печаль

- 3

- 2

- 1

0

1

2

3

Восхищение

Досада

 -3

 -2

- 1

0

1

2

3

Счастье

Напряжение

- 3

- 2

 -1

0

1

2

3

Спокойствие

Скука

- 3

 -2

- 1

0

1

2

3

Возбуждение

Злость

- 3

 -2

- 1

0

1

2

3

Непринужденность

Отвращение

- 3

 -2

 -1

0

1

2

3

Одобрение

Огорчение

- 3

- 2

- 1

0

1

2

3

Радость

Протест

-3

-2

 -1

0

1

2

3

Принятие

Непонимание

-3

-2

 -1

0

 1

 2

3

Понимание

Нейтралитет

-3

-2

 -1

 0

 1

 2

3

Сопереживание


) Ученикам предлагался «Метод незаконченных предложений». Пять предложений, которые нужно было дополнить одним или несколькими словами.

1.        Я вижу в преступнике…

2. Я слышал (а), что преступники…

. Большинство людей думают, что преступники…

4. Преступникам свойственно…

5. Преступники, на мой взгляд, характеризуются…


Не нашли материал для своей работы?
Поможем написать уникальную работу
Без плагиата!
Без нейросетей!