Применение принципа ультрафиолетового сканирования для оценки качества масляной пленки на деталях двигателя

  • Вид работы:
    Дипломная (ВКР)
  • Предмет:
    Химия
  • Язык:
    Русский
    ,
    Формат файла:
    MS Word
    778,71 kb
  • Опубликовано:
    2011-10-20
Вы можете узнать стоимость помощи в написании студенческой работы.
Помощь в написании работы, которую точно примут!

Применение принципа ультрафиолетового сканирования для оценки качества масляной пленки на деталях двигателя

Введение

Актуальность выбранной темы заключается в следующем. В настоящее время в службе горючего ВС РФ имеется большое количество технических средств и АСЗТГ, находящихся на хранении большое количество времени (15 - 20 лет). Поступления же новых ТССГ и АСЗТГ строго ограничены вследствие недофинансирования службы.

Следовательно, одной из основных задач службы горючего на сегодняшний день является повышение сохранности техники, которая находится на длительном хранении намного дольше допустимого лимита времени. Это возможно только с использованием при консервации и переконсервации техники службы горючего смазочных композиций с усиленными защитными свойствами, с усилением контроля над проведением переконсервации ТС СГ и АСЗТГ в установленные сроки, а также с уточнением данных сроков.

В настоящее время не существует методов определения сроков переконсервации ТС СГ и двигателей АСЗТГ. Определенные же приказами сроки переконсервации не учитывают всех специфических условий хранения в той или иной климатической зоне. Разработке такого метода и посвящена данная выпускная квалификационная работа.

1 Существующие методы оценки долговечности масляной пленки

В настоящее время для оценки долговечности масляной пленки применяются разнообразные методы, способы и средства. Самыми простыми и распространенными (в том числе и в вооруженных силах) являются методы ускоренных испытаний защитных свойств масляных тонкопленочных покрытий способом ускоренного старения масла (ГОСТ 9.054 - 75). На основе проведенных испытаний делается вывод о стабильности масляной пленки [2].

1.1     Метод испытаний 1 - в условиях повышенной относительной влажности воздуха и температуры, без конденсации, с периодической или постоянной конденсацией влаги на образцах

Сущность метода заключается в выдерживании масляной пленки, нанесенной на металлические пластинки, в условиях повышенной относительной влажности воздуха и температуры, без конденсации, с периодической или постоянной конденсацией влаги на образцах.

1.1.1  Аппаратура, материалы, реактивы

Для проведения испытаний применяют следующую аппаратуру, материалы и реактивы:

камеры с автоматическим (или неавтоматическим) регулированием параметров относительной влажности и температуры воздуха;

пластинки металлические из стали марки 10 по ГОСТ 1050 - 60 и (или) меди марки М 0, М 1 или М 2 по ГОСТ 859 - 66 и (или) алюминия марки АК 6 по ГОСТ 4784 - 65;

стаканы стеклянные по ГОСТ 10394 - 63.

Конструкция камеры должна исключать возможность попадания конденсата на испытуемые образцы с элементов конструкций камер и вышерасположенных образцов и обеспечивать равномерное воздействие на них коррозионной среды.

В камере для испытаний должен быть обеспечен заданный режим в течение всего времени испытаний.

Для испытаний применяют пластинки площадью 50×50±1 мм, толщиной 3-5±0,5 мм. Допускается при проведении исследовательских испытаний применять пластинки других размеров и из других металлов и сплавов. Пластинка должна иметь отверстие для подвешивания, расположенное посередине одной из сторон, на расстоянии 5 мм от края. Пластинки должны иметь маркировку (порядковый номер) на поверхности или на бирках из неметаллических материалов, прикрепленных к пластинке капроновой нитью.

.1.2 Подготовка к испытаниям

Пластинки обезжиривают последовательно бензином и спиртом, затем высушивают. Не допускается касаться руками поверхности приготовленных пластинок. Одну пластинку помещают в эксикатор (для сравнения с испытуемыми при оценке результатов).

Для нанесения на испытуемые пластинки масел и тонкопленочных покрытий пластинки, подвешенные на крючки вертикально, погружают на 1 мин в масло при температуре 20 - 25°С, затем пластинку извлекают и выдерживают на воздухе в подвешенном состоянии в течение времени, установленного технической документацией на данное масло, но не менее 1 ч для масел и не менее 20 мин для пленочных покрытий.

Пластинки с нанесенным маслом подвешивают в камере в вертикальном положении. Расстояние между пластинками, а также между пластинками и стенками камеры должно быть не менее 50 мм. Расстояние от нижних граней пластинок до дна камеры должно быть не менее 200 мм. Количество пластинок (не менее трех) каждой марки металла устанавливают с учетом необходимости промежуточных съемов образцов.

.1.3 Проведение испытаний

Испытания проводят по трем режимам: без конденсации, с периодической и постоянной конденсацией влаги на образцах. Испытания без конденсации влаги на образцах проводят при температуре 40±2°С и относительной влажности 95±3%. Испытания с периодической конденсацией влаги на образцах проводят циклами. Каждый цикл испытаний состоит из двух частей.

В первой части цикла образцы подвергают воздействию воздушной среды с температурой 40±2°С и относительной влажностью 95±3% в течение 7 ч.

Во второй части цикла создают условия конденсации влаги на образцах путем их охлаждения до температуры ниже температуры камеры на 5-10°С или охлаждением образцов и камеры одновременно путем выключения нагрева камеры. Продолжительность второй части цикла 17 ч.

Испытания при постоянной конденсации влаги на образцах проводят при температуре 49±2°С и относительной влажности 100%. Начало испытаний считают с момента достижения всех параметров режима. Продолжительность испытаний устанавливают нормативно-технической документацией на масло или в соответствии с целью проведения испытаний.

В процессе испытаний производят осмотр пластинок через равные промежутки времени от начала испытаний, но не реже одного раза в сутки для установления времени появления первого коррозионного очага.

При проведении сравнительных испытаний первый осмотр образцов допускается проводить с учетом времени, установленного для испытаний образца

Вынужденные перерывы, превышающие 10% общего времени испытаний, должны быть зафиксированы и учтены при оценке защитных свойств материалов.

После испытаний пластинки промывают бензином и осматривают.

1.1.4 Обработка результатов

Коррозионным разрушением считают коррозионные очаги на поверхности металлических пластинок в виде отдельных точек, пятен, нитей, язв, а также изменение цвета на меди до зеленого, темно-коричневого, фиолетового, черного, на алюминии - до светло-серого.

Защитные свойства масел и тонкопленочных покрытий оценивают по площади коррозионного разрушения за определенное время испытаний и (или) по времени появления первого минимального коррозионного очага.

Продукты коррозии с поверхности пластинок снимают согласно требованиям ГОСТ 17332 - 71.

За минимальный коррозионный очаг принимают коррозионное разрушение в виде:

одной коррозионной точки диаметром 2 - 3 мм;

двух коррозионных точек диаметром менее 1 мм, видимых невооруженным глазом.

Коррозионные очаги на торцах пластинок и на расстоянии менее 3 мм от краев не учитывают.

Для оценки защитных свойств масел по площади коррозионного поражения определяют процент площади коррозионных очагов от площади испытуемой пластинки.

Площадь коррозионных очагов определяют визуально трафаретом, изготовленным из прозрачного материала (кальки, тонкого органического стекла, целлулоида и т.п.), с нанесенной на него сеткой из ста равных ячеек. Размеры трафарета должны соответствовать размерам пластинки 50×50 мм.

Трафарет накладывают на поверхность пластинки и производят суммирование процентов площади коррозионных очагов, полученных в каждом делении трафарета.

Защитные свойства масел могут быть определены по изменению цвета и блеска поверхности металлической пластинки.

Определение степени блеска поверхности металлической пластинки производят визуально путем сравнения поверхности испытуемой металлической пластинки с пластинкой, хранящейся в эксикаторе.

Изменение блеска и цвета поверхности пластинки допускается определять также путем измерения отражательной способности поверхности пластинки согласно требованиям ГОСТ 9.012 - 73.

Равномерное изменение цвета поверхности пластинки из черных металлов до светло-серого и незначительное изменение цвета пластинки из цветных металлов с сохранением металлического блеска не считают коррозионными разрушениями.

Допускается оценивать защитные свойства масел и тонкопленочных покрытий, нанесенных на пластинки из цветных металлов, по изменению массы за время испытаний. Оценку защитных свойств весовым методом производят по показателю коррозии (K) в г/м2, вычисляемому по формуле

,                 (1)

где: P - изменение массы пластинки, г;

F - площадь поверхности пластинки, м2.

Защитные свойства масел оценивают по среднему арифметическому результату значений, определенных на параллельно испытываемых пластинках.

Расхождение результатов испытаний на отдельных пластинках не должно превышать 20% [2].

1.2     Метод испытаний 2 - в атмосфере повышенных значений температуры и относительной влажности воздуха при воздействии сернистого ангидрида с периодической конденсацией влаги на образцах

Сущность метода заключается в выдерживании масел, нанесенных на металлические пластинки, в атмосфере повышенных значений температуры и относительной влажности воздуха при воздействии сернистого ангидрида с периодической конденсацией влаги на образцах.

.2.1 Аппаратура, материалы и реактивы - аналогично методу 1, кроме того:

камера для испытаний из органического стекла или другого коррозионностойкого материала, снабжения оборудованием, обеспечивающим постоянную концентрацию в течение времени испытаний;

ангидрид сернистый жидкий технический по ГОСТ 2918 - 72.

.2.2 Подготовка к испытаниям - аналогично методу 1.

.2.3 Проведение испытаний

Испытания проводят циклами. Каждый цикл испытаний состоит из двух частей.

В первой части цикла образцы подвергают воздействию сернистого ангидрида в концентрации 0,015% объемных долей при температуре 40±2°С и относительной влажности воздуха 95±3% в течение 7 ч.

Во второй части цикла создают условия конденсации влаги на образцах аналогично методу 1. Продолжительность второй части цикла 17 ч.

Подачу сернистого ангидрида в камеру и контроль его содержания осуществляют по ГОСТ 9.012 - 73. Допускается применять другие способы подачи сернистого ангидрида и другие способы контроля его содержания в камере, обеспечивающие поддержание заданного режима.

Дальнейший порядок проведения испытаний соответствует требованиям, изложенным в методе 1 [2].

1.2.4 Обработка результатов - производится аналогично методу 1

1.3     Метод 3 - в атмосфере соляного тумана

Сущность метода заключается в выдерживании консервационных материалов, нанесенных на металлические пластинки, в атмосфере соляного тумана.

.3.1 Аппаратура, материалы, реактивы - аналогично методу 1, кроме того:

натрий хлористый по ГОСТ 4233 - 66.

.3.2 Подготовка к испытаниям - аналогично методу 1.

.3.3 Проведение испытаний

В камере устанавливают температуру 35±2°С и создают атмосферу соляного тумана распылением 5%-ного раствора хлористого натрия. Дисперсность и водность соляного тумана контролируют по ГОСТ 15151 - 69.

Испытания допускается производить по следующему методу.

.3.4 Метод испытания при воздействии соляного тумана

.3.4.1 Отбор образцов для испытаний, их подготовку, режим испытаний, контроль на водность, дисперсность, обработку результатов производят в соответствии с требованиями метода 1.

1.3.4.2 Аппаратура

Для проведения испытаний применяют камеру из органического стекла или иного коррозионностойкого материала. Размер камеры 510×500×760 мм.

Камера должна иметь в боковой стенке герметически закрывающуюся дверцу размером 200×320 мм, а в верхней стенке - для отверстия диаметром 6 - 7 мм для выхода воздуха.

На расстоянии 20 мм от дна камеры размещают подогреватель (спираль из нихромовой проволоки, заключенная в трубку из кварца или термостойкого стекла). Камера должна быть снабжена терморегулятором для автоматического регулирования нагрева. В центре дна камеры устанавливают пульверизатор, к которому подводят сжатый воздух.

На расстоянии 80 - 100 мм от пульверизатора закрепляют экран-пластинку из органического стекла размером 200×250 мм для предотвращения попадания брызг раствора на пластинки с нанесенными маслами.

.3.4.3 Подготовка к испытаниям.

На дно камеры наливают соляной раствор до уровня 70 - 80 мм и поддерживают его путем периодического добавления; устанавливают заданную температуру и включают подачу сжатого воздуха. Расход воздуха устанавливают в пределах 12 - 15 л/мин [2].

.3.5 Обработка результатов - аналогично методу 1.

.4. Метод 4 - в растворе электролита

Сущность метода заключается в выдерживании масел, нанесенных на металлические пластинки, в растворе электролита.

1.4.1 Отбор образцов - аналогично методу 1.

.4.2 Аппаратура, материалы, реактивы

пластинки металлические (метод 1);

стаканы стеклянные по ГОСТ 10394 - 63;

магний хлористый по ГОСТ 4209 - 67;

кальций хлористый по ГОСТ 4161 - 67;

натрий сернокислый по ГОСТ 4171 - 66;

натрий хлористый по ГОСТ 4233 - 66;

натрий углекислый по ГОСТ 84 - 66.

1.4.3 Подготовка к испытаниям

Металлические пластинки подготавливают аналогично методу 1. Готовят электролит (раствор солей в дистиллированной воде), рецептура которого приведена в таблице 1.

Таблица 1 - Рецептура приготовления электролита

Наименование солей

Концентрация, г/л

Магний хлористый

11,0

Кальций хлористый

1,2

Натрий сернокислый

4,0

Натрий хлористый

25,0


Готовят 25%-ный раствор углекислого натрия в дистиллированной воде. Устанавливают pH электролита в пределах 8,0 - 8,2 путем добавления раствора углекислого натрия, приготовленного ранее.

.4.4 Проведение испытаний

Пластинки с нанесенными на них маслами погружают в раствор электролита, в котором выдерживают при комнатной температуре в течение времени, установленного нормативно-технической документацией на масло, но не менее 20ч.

Пластинки из разных металлов погружать в электролит одновременно не допускается. Уровень электролита в стакане должен быть на 10 - 15 мм выше верхнего края пластинок.

После испытаний пластинки протирают, промывают органическими растворителями и осматривают [2].

.4.5 Обработка результатов - аналогично методу 1.

.5. Метод 5 - определение способности масел вытеснять бромистоводородную кислоту с поверхности металлической пластинки

Сущность метода заключается в определении способности масел вытеснять бромистоводородную кислоту с поверхности металлической пластинки.

.5.1 Отбор образцов - аналогично методу 1.

.5.2 Аппаратура, материалы, реактивы

пластинки металлические из стали марки 10 по ГОСТ 1050 - 60;

кислота бромистоводородная по ГОСТ 2062 - 67;

стаканы стеклянные по ГОСТ 10394 - 63.

.5.3 Подготовка к испытаниям

Металлические пластинки подготавливают аналогично методу 1.

Готовят 0,1%-ный раствор бромистоводородной кислоты.

.5.4 Проведение испытаний

В стеклянный стакан наливают не менее 200 мл испытываемого масла, в другой стакан - раствор бромистоводородной кислоты. Пластинку погружают не более, чем на 1 с в раствор бромистоводородной кислоты, затем извлекают из раствора и 12 раз в течение 1 мин погружают в испытуемое масло при комнатной температуре.

Пластинки подвешивают и выдерживают на воздухе в течение 4 ч, затем промывают органическими растворителями и осматривают.

.5.5 Обработка результатов - аналогично методу 1.

.6 Выбор методов испытаний

Методы испытаний выбираются с учетом характера атмосферы и условий размещения техники. Порядок выбора методов испытаний представлен в таблице 2.

На основе проведенных испытаний делается заключение о долговечности масляной пленки [2].

Таблица 2 - Выбор методов испытаний

Условия размещения техники по ГОСТ 13168 - 69

Характер атмосферы по ГОСТ 14007 - 68

Методы испытаний

На открытой площадке, под навесом и в закрытом не отапливаемом помещении

Сельская

1-й с периодической и постоянной конденсацией влаги, 5-й


Промышленная

1-й с периодической и постоянной конденсацией влаги, 2, 5-й


Морская

1-й с периодической и постоянной конденсацией влаги, 2, 3, 4, 5-й

В помещении с регулируемыми параметрами

1-й без конденсации влаги


На основе проведенных испытаний делается заключение о долговечности масляной пленки [2].

1.7 Преимущества и недостатки стандартных методов

Данные методы являются очень эффективными. Они имеют следующие достоинства:

позволяют достаточно близко имитировать условия, в которых масла применяются;

образцы масел не требуют дополнительной подготовки к испытанию (разбавления, загущения и т.п.);

результаты испытаний, проводимых согласно рассмотренным методам, позволяют делать объективные заключения о защитных свойствах масляной пленки и ее долговечности.

Наравне с достоинствами данные методы имеют ряд недостатков:

в методах не создаются условия, имитирующие динамику процессов, происходящих в двигателе, то есть рассматриваемые методы позволяют достоверно судить о защитных свойствах и долговечности масляной пленки в условиях нечастого использования техники (техника боевой, учебно-боевой группы эксплуатации);

данные методы позволяют оценивать защитные свойства масляных пленок, нанесенных лишь на ровные плоские поверхности, соответственно методы не учитывают особенностей геометрических форм деталей двигателя автомобиля;

проведение испытаний и обработка результатов трудоемки и требуют больших затрат времени, наличия специальной аппаратуры и технического персонала, обученного методике проведения испытаний, что часто неприемлемо в условиях военной службы;

ряд методов связан с применением агрессивных веществ;

данные методы позволяют определить консервационные свойства масел, но не дают возможности определить срок работоспособности масляной пленки на ДВС, находящихся на площадке хранения.

Выводы

1.       Стандартные методы позволяют достаточно близко имитировать условия хранения техники, в которых применяются смазочные масла.

2.       Результаты испытаний, проводимых согласно рассмотренным методам, позволяют делать объективные заключения о защитных свойствах масляной пленки.

.        Стандартный метод не позволяет определить сроки переконсервации двигателей автомобильной техники и технических средств службы горючего.

2. Обоснование применения принципа ультрафиолетового сканирования для оценки защитных свойств моторных масел и долговечности масляной пленки

Сущность разрабатываемого экспресс-метода оценки долговечности масляной пленки, сроков переконсервации ДВС и технических средств службы горючего заключается в ультрафиолетовом сканировании деталей ДВС и по люминесценции масляной пленки визуального определения ее качества. На основе полученной картины свечения делается заключение о долговечности масляной пленки и сроках переконсервации ДВС и технических средств службы горючего.

.1 Условия применения принципа ультрафиолетового сканирования в разрабатываемом методе оценки защитных свойств моторных масел и сроков переконсервации ДВС и технических средств службы горючего

Применение данного метода требует соблюдения следующих условий:

тонкая масляная пленка должна обладать достаточно ярким свечением в ультрафиолете, что позволит визуально ее идентифицировать и объективно оценить ее качество;

источник ультрафиолетового излучения должен обладать достаточной мощностью для достижения требуемой точности проведения испытаний;

должны полностью соблюдаться правила эксплуатации техники (своевременное обслуживание деталей, механизмов двигателя и замена масла), в противном случае не исключено влияние побочных процессов, возникающих в двигателе (чрезмерное старение масла, засорение деталей и т.п.), на точность проводимых испытаний.

Для дальнейшего рассмотрения разрабатываемого метода требуется разъяснения теории фотолюминесценции, на которой он основывается.

2.2 Теория фотолюминесценции

.2.1 Общие положения теории

Если некоторый источник излучает в рассматриваемой спектральной области ∆λ большой лучистый поток на единицу излучающей поверхности, чем абсолютно черное тело при той же температуре, и если при этом свечение источника продолжается некоторое, хотя бы весьма малое, время после прекращения причины, вызывающей свечение, то мы имеем дело с явлением люминесценции.

Фотолюминесценция - это возникновение в некоторых веществах свечения под действием падающей на них лучистой энергии. Квант энергии, поглощаемый веществом, играет в этом случае роль электрона, возбуждающего молекулу в газовом разряде.

По длительности процессов свечения различают флуоресценцию - свечение, прекращающееся практически вместе с возбуждением, и фосфоресценцию - свечение, длящееся по окончании возбуждения в течение более или менее продолжительного времени. Деление это, правда, недостаточно строго. Согласно основному определению, всякое люминесцентное свечение обладает остаточным свечением; механизм явлений и различие между флуоресценцией и фосфоресценцией       в действительности гораздо более сложны, но приведенные выше определения крепко укоренились на практике и для практических целей могут быть оставлены [3].

Вещества, способные давать люминесценцию при воздействии на них ультрафиолета, называются люминофорами.

Из сказанного выше следует, что реакция фотолюминесцирующих веществ (люминофоров) на действие падающей на них лучистой энергии, состоит в том, что излучаемая энергия обладает в среднем большей длиной волны, чем длина волны поглощенной радиации. Иначе говоря, спектр люминесценции смещен в сторону больших длин волн по сравнению со спектром возбуждения.

Наиболее употребительные на практике люминофоры разделяются на органические соединения, свечение которых обусловлено свойствами молекул светящегося вещества (в том числе рассматриваемые в работе органические люминофоры), и кристаллофосфоры, представляющие собой сложные искусственные соединения.

Органические люминофоры, растворы которых обладают остаточным свечением, измеряемым миллиардными долями секунды, относятся к флуоресцирующим веществам. Яркость свечения растворов зависит от концентрации в них вещества. Этот вопрос, представляющий большой теоретический интерес, детально изучен школой академика С.И. Вавилова. Практически весьма существенно знать, что при слабых растворах яркость свечения пропорциональна концентрации раствора; затем, с возрастанием концентрации, рост яркости концентрации замедляется, а при дальнейшем возрастании концентрации яркость начинает убывать. Возникает так называемое “концентрационное тушение” флуоресценции. Таким образом, для каждого органического вещества существует оптимальная концентрация, при которой оно обладает наибольшей яркостью флуоресценцию. Гасящее действие на многие органические вещества оказывает также добавление в раствор посторонних веществ, в частности некоторых растворителей. С этими свойствами флуоресцирующих веществ приходится постоянно встречаться в практической работе [4].

Свечение органических веществ, в силу его чрезвычайно быстрого затухания, практически можно наблюдать только в момент возбуждения лучистой энергией. Источниками возбуждения служат различные виды ультрафиолетовых ламп, причем желательно, чтобы они одновременно не излучали значительных порций видимого света, отражение которого от люминесцирующего образца может затруднить наблюдение люминесценции. Поэтому лампы снабжаются светофильтрами, поглощающими видимый свет, но пропускающими ультрафиолетовую радиацию нужных длин волн.

Кристаллофосфоры представляют собой наиболее важные в техническом отношении светящиеся материалы. Это - искусственно приготовляемые нерастворимые в воде порошки кристаллического строения. В процессе их изготовления основное вещество прокаливается в присутствии легкоплавких солей с мельчайшими примесями тяжелых металлов, так называемых “активаторов”. Атомы активатора входят внутрь кристаллической решетки вещества, что служит непременным условием образования кристаллофосфора [5].

В зависимости от состава основного вещества и активаторов, от степени очистки исходных материалов и от других технологических факторов, кристаллофосфоры приобретают различные свойства, соответственно чему делятся на группы. Если свечение органических веществ, как было упомянуто, затухает через миллиардные доли секунды, то некоторые группы кристаллофосфоров обладают продолжительным послесвечением, измеряемым несколькими часами. Это свойство фосфоресценции кристаллофосфоров широко используется на практике. Между органическими светящимися веществами и кристаллофосфорами имеется еще следующее различие, которое может встретиться в практической работе. В то время, как каждое данное органическое вещество излучает энергию присущего ему спектрального состава, независимо от длины волны возбуждающего излучения, спектр свечения некоторых кристаллофосфоров, сложных или содержащих более одного активатора, может зависать не только от длины волны возбуждающей энергии, но в некоторой мере и от интенсивности возбуждения.

Кристаллофосфоры можно возбудить к свечению также и радиоактивными излучениями, в частности, α-лучами радия. Соответствующее явление свечения носит название радиолюминесценции. Кристаллофосфоры, смешанные с ничтожными примесями радиоактивных веществ, образуют светящиеся составы постоянного действия. Излучаемые в результате распада радиоактивных примесей, α-лучи радия возбуждают кристаллофосфор изнутри и вызывают непрерывное свечение вещества. Светящиеся составы постоянного действия не требуют добавочного возбуждения светом и способны светиться с мало меняющейся яркостью в течение нескольких лет. Ими покрывают, в частности, стрелки и циферблаты часов и приборов [6].

.2.2 Анализ существующих люминофоров

Рассмотрим более подробно, какие вещества обладают способностью светиться под воздействием ближней ультрафиолетовой радиации.

Это, прежде всего, многочисленные вещества органического происхождения. Светится нефть и ее производные: органические масла, вазелин, керосин. Светятся бумага, ткани, человеческая кожа, зубы.

Некоторые органические вещества и, в частности, красители светятся особенно ярко и поэтому применяются для изготовления светящихся красок. Их водными растворами окрашиваются белые ткани и белая бумага. Оптимальные концентрации и некоторые характеристики наиболее употребительных органических красителей приведены в таблице 3.

Светящиеся органические краски приобретают высокую яркость, также будучи растворены в некоторых прозрачных лаках.Яркость лаковых растворов органических красителей в сильной степени зависит от сорта лака.

Другую группу люминофоров составляют светящиеся составы временного действия или кристаллофосфоры. Это - искусственно приготовляемые вещества со сложным кристаллическим строением.

Наиболее широко употребительны кристаллофосфоры, изготовленные на основе сернистого цинка и сернистого кадмия. В зависимости от активатора, рецептуры и условий изготовления они светятся разными цветами.

ультрафиолет сканирование масляная пленка

Таблица 3 - Рецепты светящихся растворов, приготовленных для окраски белых тканей и бумаги

Наименование красителя

Рекомендуемая среда

Оптимальная концентрация (весовая) %

Цвет свечения

Относительная яркость белой окрашенной ткани Δ

Флуоресцеин

Щелочная

0,08

Желто-зеленый

0,3

Родамин С

Нейтральная

0,06

Красно-оранжевый

0,05

Эозин

То же

0,15

Желто-оранжевый

0,1

Риванол

Слабокислая

0,05

0,2

Нафтионовая кислота

Нейтральная

0,4

Фиолетовый

0,05

Гидрастинин

То же

0,2

Голубой

0,2


Составы этой группы обладают более или менее продолжительным послесвечением, высокой яркостью во время возбуждения их ультрафиолетовым светом и устойчивостью к влаге.

Стремясь к получению кристаллофосфоров с более длительными остаточным свечением, наша промышленность выпустила высокоинерционные составы, относящиеся к той же группе, но получающие новые свойства благодаря чистоте исходных материалов и технологического процесса. Техника изготовления высокоинерционных светящихся составов быстро совершенствуется. В табл.4 приведены характеристики некоторых светящихся составов временного действия [7].

Из сопоставления двух последних таблиц видно, что относительная яркость кристаллофосфоров значительно выше, чем яркость материалов, окращенных органическими красителями. Богаче также ассортимент их цветов и ценны свойства остаточного свечения. Все это делает кристаллофосфоры широко применяемыми на практике, несмотря на значительно большую стоимость их по сравнению с органическими красителями.

Таблица 4 - Цинковые и цинково-кадмиевые кристаллофосфоры

Марка светосостава

Цвет свечения

Состав

Активатор

Относительная яркость свечения, δ

Практическая продолжительность остаточного свечения

ФКП-01 ФКП-02 ФК-101 ФК-102  ФК-103 ФК-104  ФК-105 ФК-106 ФК-108 ФК-109 ФК-110 ФК-111 ФК-112

Желтый Зеленый Красный Красно-оранжевый Оранжевый  Желто-оранжевый Желтый Зеленый Зеленый Бледноголубой Голубой Синий Белый

ZnCdS ZnS ZnCdS  ZnCdS ZnCdS  ZnCdS  ZnCdS  ZnCdS ZnCdS ZnS ZnS ZnS ZnS

Cu Cu Cu  Cu Cu  Cu Cu Cu Cu AgCu - Ag Ag

1,4 1,5 0,1  0,6 0,9  1,2 1,3 1,4 1,5 0,8 0,5 0,3 0,6

1 ч 30 мин 1 ч 30 мин 1 сек  30 сек 5 мин  10 мин 10 мин 20 мин  15 мин 5 мин 1 мин 1 мин 10 мин


2.2.3 Способы применения светящихся материалов

Кристаллофосфоры, возбуждаемые коротковолновой ультрафиолетовой радиацией, находят особое применение. Они наносятся на стенки люминесцентных трубок, ими покрываются специальные экраны. Техника этого нанесения представляет интерес только для узкого круга технологов, занимающихся производством соответствующих изделий.

Гораздо шире применяются другие светящиеся вещества: цинковые, цинково-кадмиевые люминофоры, с которыми приходится иметь дело разнообразному кругу лиц.

Цинковые и цинково-кадмиевые кристаллофосфоры можно непосредственно наносить на поверхности в лаках или других связующих с помощью кисти и пульверизатора. Также можно приготовить клеевые краски как с органическими красителями, так и с кристаллофосфорами. В первом случае получается однородная масса, во втором - взвешенная смесь (суспензия). В обоих случаях следует наносить краску в жидком состоянии, предварительно нагревая ее в теплой воде, но ни в коем случае не доводя до кипения.

Клеевые светящиеся краски, уступая лаковым в прочности, имеют преимущества доступности и дешевизны. С кристаллофосфорами они обладают, кроме того, большей кроющей способностью, соответственно чему, расход краски на покрытие единицы поверхности сокращается в 3-5 раз по сравнению с расходом краски, замешанной на лаке. Значительно упрощается обращение с красками. Клеевые краски с органическими растворителями дают более высокую яркость окрашенных поверхностей по сравнению с яркостью, достижимой с помощью лаковых или водных красок.

В некоторых случаях дает хороший результат смешивание органических красителей с кристаллофосфорами. Так, например, растворение 5г родамина С в литре желатиновой массы, смешанной с 500г оранжевого цинково-кадмиевого состава, образует яркокрасную краску, по цвету не достижимую раздельно ни с помощью кристаллофосфоров, ни с помощью органических красителей. Прибавлением к растворам флуоресцирующих органических красителей некоторых обычных анилиновых красителей можно менять цвет свечения краски.

Н. В. Горбачевым и М. О. Агранян в лаборатории Всесоюзного электротехнического института разработана технология светящихся красок в виде сухих плиток и паст. Работать с этими красками можно также как с обычными водяными красками типа акварели и гуаши; краски сохраняются в готовом виде сколь угодно долгое время. Художник Е. М. Мандельберг прибегает в своих работах к смешению кристаллофосфоров в разных пропорциях с гуашью соответствующего цвета. В результате получаются краски разных тонов и разной яркости, имеющие при обычном освещении цвет, близкий к цвету их свечения в черном свете [9].

Красками с кристаллофосфорами могут окрашиваться любые поверхности, но некоторые металлы (железо, свинец) требуется предварительно грунтовать белой эмалью. Возможно печатание светящимися красками типографскими методами.

Растворяя органические светящиеся красители в воде, и вязких веществах (в том числе органических), можно получить жидкости, ярко светящиеся при черном свете. Прекрасной средой для этого служит глицерин. Из флуоресцеина или гидрастинина с гумми и нашатырным спиртом можно изготавливать светящиеся чернила [10].

.3 Применение органических люминофоров в качестве флуоресцирующих добавок к моторным маслам. Разработка методики проведения испытаний защитных свойств масла и определения сроков переконсервации техники с помощью ультрафиолетового сканирования

.3.1 Обоснование выбора состава присадки

Целью данной работы является получение моторных масел, дающих достаточно яркое свечение в ультрафиолете.

Проанализировав полученный теоретический материал, решили практически проверить способность моторных масел давать свечение в ультрафиолетовом спектре.

Были проведены испытания моторных масел (для дизельных и карбюраторных двигателей) следующих марок М - 6з/10 - В, М - 4з/8 - В, М 8 - В, М - 10 - Г2К, М - 8 - Г2К. Образцы масел нанесли на пластинки из стали марки Ст3 тонким слоем (примерно 0,5 мм) и подвергли воздействию ультрафиолетовой радиации такой мощности, которая может быть достигнута с помощью недорогих источников черного света, которые планировалось использовать в разрабатываемом методе.

Испытуемые образцы масел при ультрафиолетовом облучении дали недостаточную яркость свечения масляной пленки. Данное обстоятельство впоследствии может затруднить проведение испытаний по разрабатываемому методу. На основании проведенных испытаний пришли к выводу, что для усиления яркости свечения масляной пленки необходимо введение в испытуемые масла присадок, способных усилить яркость свечения данной пленки.

Требуемые флуоресцирующие присадки должны обладать следующими свойствами:

хорошей растворимостью в органических растворителях (необходимо, чтобы малое количество присадки было способно дать требуемую яркость свечения тонкого слоя масла);

не разлагаться при воздействии влаги и температурных перепадов;

не взаимодействовать с компонентами масел, вследствие чего могут быть нарушены их основные эксплуатационные свойства;

иметь простую технологию производства, не требовать больших затрат при изготовлении.

Руководствуясь приведенными выше требованиями начали поиск необходимых присадок. Основываясь на изученной теории, пришли к выводу, что в качестве флуоресцирующих добавок могут быть использованы органические красители (о них рассказано выше). Однако в ходе испытаний была выявлена невысокая растворимость данных соединений в органических растворителях После этого провели патентный поиск, в ходе которого были обнаружены два вида органических люминофоров, обладающих заданными свойствами.

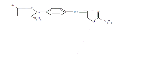
Первый вид соединений был получен коллективом авторов: Красовицким Б. М. , Афанасиади Л. Ш. , Лысовой И. В. , Кутуля Л. А. , Шевченко А. Е. (авторское свидетельство СССР №792881).


Второй вид соединений был получен тем же коллективом ученых (авторское свидетельство СССР №117329).

В описании изобретений подробно изложены способы получения данных соединений. Они являются производными органических люминофоров, физико-химические свойства которых (интенсивность люминесценции в твердом состоянии и растворах, растворимость в органических растворителях и др.) были улучшены в результате химических превращений [12].

Требуемые соединения были получены в лаборатории УВВТУ по рецептам, указанным в описании изобретений. На практике была доказана хорошая растворимость веществ в органических растворителях, в частности моторных маслах.

Массовая концентрация люминофора в масле выбиралась с учетом получения наиболее интенсивной люминесценции тонкого слоя масла добавлением минимального количества флуоресцирующей присадки. Это в дальнейшем позволит рационально использовать требуемые присадки для проведения испытаний по разрабатываемому методу.

2.3.2 Методика проведения испытания по установлению концентрации люминофора в испытуемом масле

.3.2.1 Образцы испытуемых моторных масел марок М-6з/10-В, М-4з/8 В, М-8-В, М-4з/8-Г(рк) берут в объеме 100 см3 в стеклянной посуде

.3.2.2 Берут навеску требуемой присадки, масса которой была определена на аналитических весах, и растворяли во взятых образцах масел (масса первой навески - 0,1 г)

.3.2.3 Воздействуют на масло ультрафиолетом и визуально определяют интенсивность фотолюминесценции присадки в растворе

.3.2.4 Те же действия повторяют, увеличивая массовую долю присадки в масле, добавляя каждый раз навеску одинаковой массы - 0,1 г

.3.2.5 Испытания производятся до достижения максимальной концентрации люминофора - 1г

.3.3 Методика оценки эксплуатационных свойств полученной смазочной композиции

После введения оптимальной концентрации люминофора, необходимо проверить соответствие смазочной композиции требованиям ГОСТ (ТУ) на исходное масло. Данные испытания проводятся в объеме полного анализа в соответствии с приложением №20 к приказу МО РФ №105 от 1994 г. « О введении в действие инструкции по обеспечению качества горючего в вооруженных силах Российской Федерации »:

определение плотности по ГОСТ 3900 - 85;

определение содержания воды (количественно) по ГОСТ 2477 - 65;

определение содержания механических примесей (количественно) по ГОСТ 6370 - 83;

определение температуры вспышки в открытом тигле по ГОСТ 4333 - 48;

определение кинематической вязкости при 100 ºС по ГОСТ 33 - 82;

определение щелочного числа по ГОСТ 11632 - 96;

определение кислотного числа по ГОСТ 5985 - 79;

определение зольности по ГОСТ 2904 - 85;

определение коксуемости по ГОСТ 3518 - 86.

.3.4 Методика оценки долговечности масляной пленки, сроков переконсервации автомобильной техники и технических средств службы горючего с помощью ультрафиолетового сканирования

.3.4.1 Метод 1 - оценки долговечности масляной пленки с помощью ультрафиолетового сканирования в условиях стандартных методов испытаний по ГОСТ 9.054 - 75

Сущность метода заключается в выдерживании смазочных масел с добавлением флуоресцирующей присадки по методике, изложенной в пункте 2.3.2, нанесенных на металлические пластинки, в условиях стандартных методов испытаний по ГОСТ 9.054 - 75 (см. пункт 1.1) и проверке качества масляной пленки ультрафиолетовым сканированием.

.3.4.1.1 Подготовка масел к испытаниям - производится по методике, изложенной в пунктах 2.3.2, 2.3.3.

.3.4.1.2 Аппаратура, материалы, реактивы - согласно методам, изложенным в пункте 1.1, кроме того:

переносная ультрафиолетовая лампа для анализа флуоресцентных почтовых марок и денежных купюр марки МС2;

Подготовка и проведение испытаний - согласно методам, изложенным в пункте 1.1

.3.4.1.3 Обработка результатов

Коррозионным разрушением считают коррозионные очаги на поверхности металлических пластинок в виде отдельных точек, пятен, нитей, язв, которые можно различить после просвечивания металлических пластин с нанесенным на них маслом измененного состава ультрафиолетом. Данные нарушения однородности масляной пленки проявляются как темные пятна на картине свечения металлической пластины в ультрафиолете.

Данный метод позволяет оценить целостность масляной пленки в короткие сроки путем сравнения картин свечения испытуемых образцов в ультрафиолете до и после воздействия коррозионной среды. Однако этот метод не позволяет сделать объективного заключения о сроках переконсервации техники, так как проводится в лабораторных условиях.

Предлагаемый метод парктически повторяет стандартный. Упрощается лишь обработка полученных результатов испытаний с помощью применения ультрафиолетового сканирования.

Данный метод на практике позволяет подтвердить объективность разработанной методики. Для этого после проведения испытаний обработка результатов производится параллельно по стандартной и разрабатываемой методике, затем полученные результаты сравниваются [13].

.3.4.2 Метод 2 - оценки долговечности масляной пленки, сроков переконсервации автомобильной техники и технических средств службы горючего с помощью ультрафиолетового сканирования в реальных условиях

Сущность метода заключается в проведении планового ультрафиолетового сканирования деталей двигателя или технических средств службы горючего в запланированный срок и определении сроков переконсервации в зависимости от качества масляной пленки

.3.4.2.1 Подготовка масел к испытаниям - производится по методике, изложенной в пунктах 2.3.2, 2.3.3.

.3.4.2.2 Подготовка к испытаниям

Консервация автомобильной техники и технических средств службы горючего при постановке на длительное хранение производится в соответствии с приказом . Для консервации двигателя автомобиля и технических средств службы горючего вместо базового масла применяется масло измененного состава (см. пункт 2.3.4.2.1).

После постановки автомобильной техники и технических средств службы горючего на длительное хранение устанавливаются сроки проведения ультрафиолетового сканирования деталей двигателей и насосов в зависимости от характера атмосферы (ГОСТ 14007 - 68) и условий размещения техники при хранении (ГОСТ 13168 - 69). Установить сроки проведения ультрафиолетового сканирования деталей двигателей и насосов можно с помощью таблицы 5.

Таблица 5 - Выбор сроков проведения ультрафиолетового сканирования деталей двигателей

Условия размещения техники по ГОСТ 13168 - 69

Характер атмосферы по ГОСТ 14007 - 68

Сроки проведения ультрафиолетового сканирования деталей двигателей

На открытой площадке, под навесом и в закрытом неотапливаемом помещении

Сельская

8 месяцев


Промышленная

6 месяцев


Морская

6 месяцев

В помещении с регулируемыми параметрами

Сельская, промышленная, морская

12 месяцев


Для проведения ультрафиолетового сканирования деталей двигателя необходимо снять крышки блоков цилиндров и головки цилиндров. Для проведения ультрафиолетового сканирования деталей насоса необходимо снять крышку корпуса насоса.

.3.4.2.3 Проведение испытаний

В установленные сроки проводится ультрафиолетовое сканирование деталей двигателей и технических средств службы горючего. По полученной картине свечения масляной пленки в ультрафиолете делается вывод о ее долговечности и необходимости переконсервации двигателя или насоса.

.3.5 Стандартный метод оценки защитных свойств смазочных масел по ГОСТ 9.054 - 75

Данный метод подробно описан в пункте 1.

.4 Проект устройства ультрафиолетового сканирования двигателя внутреннего сгорания

Проведение испытаний по предлагаемой методике сопровождается неполной разборкой двигателя - снятием головок блоков цилиндров. Данная операция требует определенных временных затрат. В перспективе возможно использование установки, которая позволит проводить ультрафиолетовое сканирование, не осуществляя неполной разборки двигателя. Принципиальная схема данной установки представлена на рисунке 1.

Рисунок 1 - Принципиальная схема устройства ультрафиолетового сканирования двигателя внутреннего сгорания

Описание устройства.

. Питание устройства может осуществляться автономно (от встроенного аккумулятора в блоке питания), от электросети и от аккумулятора автомобиля.

. В качестве блока снятия информации может быть использована любая ПЭВМ (стационарный ПК, ноутбук, мобильный КПК), оснащенная драйверами телекамеры рассматриваемого устройства.

. Блок регулировки ультрафиолетового излучателя снабжен реостатом для регулировки яркости свечения ультрафиолетовой лампы.

. Телекамера устройства соединяется с блоком снятия информации оптико-волоконным кабелем.

. Ультрафиолетовый излучатель соединен с блоком регулировки проводом электропитания. Мощность ультрафиолетовой лампы - 25 Вт.

. Кабель телекамеры и провод излучателя объединены в один экранированный провод.

. Испытания проводятся без разборки двигателя (достаточно выкрутить свечу) [14].

Выводы

1.       Добавление люминофоров в моторное масло позволяет получить яркое свечение масляной пленки в ультрафиолете.

2.       Применение принципа ультрафиолетового сканирования позволяет разработать методику качественного анализа защитных свойств масляных тонкопленочных покрытий и определения сроков переконсервации автомобильных двигателей и технических средств службы горючего.

.        Разработанное устройство ультрафиолетового сканирования двигателя внутреннего сгорания позволяет проводить испытания по разработанному методу не прибегая к разборке двигателя.

3 Результаты экспериментальных исследований

.1 Результаты экспериментальных исследований по установлению концентрации люминофора в испытуемом масле

В качестве объектов исследования выбраны масла марок М-6з/10-В, М 4з/8-Г(рк). В качестве исследуемых люминесцирующих компонентов выбраны 4-/п- (3-арил -5 -фенил -2-пиразолинил-1) бензилиден-2 фенилоксазол-5-оны, 3- либо 4-(5-фенилоксазолил-2)-толан. Полученные картины свечения масляной пленки, отличающиеся различной интенсивностью люминесценции, представлены на рисунке 2.

а) картина свечения смазочной композиции - масло М-6з/10-В, люминофор - 4-/п- (3-арил-5-фенил-2-пиразолинил-1) бензилиден-2 фенилоксазол-5-он (проба №1);

б) картина свечения смазочной композиции - масло М-4з/8-Г(рк), люминофор - 4-/п-(3-арил-5-фенил-2-пиразолинил-1)бензилиден/-2-фенилоксазол-5-он (проба №2);

в) картина свечения смазочной композиции - масло М-6з/10-В, люминофор -3- либо 4-(5-фенилоксазолил-2)-толан (проба №3);

г) картина свечения смазочной композиции - масло М-4з/8-Г(рк), люминофор -3- либо 4-(5-фенилоксазолил-2)-толан (проба №4)

Рисунок 2 - Картины свечения масляной пленки испытуемых смазочных композиций

Наиболее яркой по интенсивности люминесцентного свечения была пленка пробы №2 смазочной композиции - масло М-4з/8-Г(рк), люминофор -

-/п-(3-арил-5-фенил-2-пиразолинил-1)бензилиден/-2-фенилоксазол-5-он.

По результатам данного исследования оптимальная концентрация 4-/п-(3-арил-5-фенил-2-пиразолинил-1)бензилиден/-2-фенилоксазол-5-она в масле марки М-4з/8-Г(рк) составила 0,3% масс.


После введения оптимальной концентрации люминофора проверили соответствие смазочной композиции требованиям ГОСТ 10541 - 78 на исходное масло марки М-4з/8-Г(рк).

Результаты испытаний: масло марки М-4з/8-Г(рк) с добавлением 0,3% масс. 4-/п-(3-арил-5-фенил-2-пиразолинил-1)бензилиден/-2-фенилоксазол-5-она (проба №2) по исследованным показателям качества соответствует требованиям ГОСТ 10541 - 78.

.3 Результаты экспериментальных исследований по оценке долговечности масляной пленки, сроков переконсервации автомобильной техники и технических средств службы горючего с помощью ультрафиолетового сканирования по разрабатываемому методу

.3.1 Результаты экспериментальных исследований по методу 1 (подробно изложен в пункте 2.3.4.1)

Испытания проводились согласно стандартным методикам, изложенным в пункте 1.1. Испытания показали следующие результаты:

1)      в условиях повышенной относительной влажности воздуха и температуры, без конденсации, с периодической или постоянной конденсацией влаги на образцах:

- по стандартному методу - коррозия пластины составила 7% от общей площади;

по предлагаемому методу - сопоставив картины свечения эталона (рисунок 3) и испытуемого образца (рисунок 4), примерно определили, что коррозия пластины составила 7,5% от общей площади.

 

Рисунок 3 - Картина свечения эталона

Рисунок 4 - Картина свечения испытуемого образца

) в атмосфере повышенных значений температуры и относительной влажности воздуха при воздействии сернистого ангидрида с периодической конденсацией влаги на образцах:

по стандартному методу - коррозия пластины составила 10% от общей площади;

по предлагаемому методу - сопоставив картины свечения эталона (рисунок 5) и испытуемого образца (рисунок 6), примерно определили, что коррозия пластины составила 9,5% от общей площади.

Рисунок 5 - Картина свечения эталона

Рисунок 6 - Картина свечения испытуемого образца

) в атмосфере соляного тумана:

по стандартному методу - коррозия пластины составила 30% от общей площади;

по предлагаемому методу - сопоставив картины свечения эталона (рисунок 7) и испытуемого образца (рисунок 8), примерно определили, что коррозия пластины составила 27% от общей площади.

Рисунок 7 - Картина свечения эталона

Рисунок 8 - Картина свечения испытуемого образца

) в растворе электролита

по стандартному методу - коррозия пластины составила 30% от общей площади;

по предлагаемому методу - сопоставив картины свечения эталона (рисунок 9) и испытуемого образца (рисунок 10), примерно определили, что коррозия пластины составила 25% от общей площади.

Рисунок 9 - Картина свечения эталона

Рисунок 10 - Картина свечения испытуемого образца

Вывод: разработанный метод дает объективные результаты, что на практике подтверждается стандартным методом.

.3.2 Результаты экспериментальных исследований по методу 2 (подробно изложен в пункте 2.3.4.2)

По предлагаемой методике были проведены испытания на автомобиле марки КрАЗ 255-Б, поставленном на длительное хранение в парке УВВТУ. При переконсервации двигателя автомобиля с разрешения вышестоящего командования была использована смазочная композиция - масло марки М-4з/8-Г(рк) с добавлением 0,3% масс. 4-/п-(3-арил-5-фенил-2-пиразолинил-1)бензилиден/-2-фенилоксазол-5-она. По таблице 5 был выбран срок проведения ультрафиолетового сканирования - 6 месяцев (условия длительного хранения - промышленная атмосфера, закрытое неотапливаемое помещение).

С двигателя испытуемого автомобиля были сняты головки блоков цилиндров. Наблюдали сплошное свечение всех внутренних деталей. Картина свечения деталей двигателя изображена на рисунке 11.

Рисунок 11 - Картина свечения деталей двигателя

Выводы

. Ввод 0,3% масс 4-/п-(3-арил-5-фенил-2-пиразолинил-1)бензилиден/-2-фенилоксазол-5-она на эксплуатационные свойства масла влияния не оказывает.

. Предлагаемые методы оценки долговечности масляной пленки, сроков переконсервации автомобильной техники и технических средств службы горючего с помощью ультрафиолетового сканирования объективны и позволяют быстро оценить долговечность масляной пленки и точно определить сроки переконсервации.

4. Технико-экономический эффект предлагаемого метода

Рассмотрим 2 варианта проведения планового ультрафиолетового сканирования на примере осмотра двигателя автомобиля марки КрАЗ 255-Б

.1 Проведение планового ультрафиолетового сканирования совпадает со сроком переконсервации двигателя автомобиля марки КрАЗ-255Б

Проведение планового ультрафиолетового сканирования показало отличное качество масляной пленки на деталях двигателя. Следовательно в переконсервации двигателя нет необходимости. Срок проведения данного мероприятия может быть определен после очередного планового ультрафиолетового сканирования. Если в результате проведения следующего планового ультрафиолетового сканирования будет получен такой же результат, переконсервацию двигателя можно вновь отложить.

В результате достигается экономия денежных средств, которая может быть рассчитана по формуле:

 , руб                                                      (2)

где: Эм - экономия денежных средств путем экономии масла, руб;

 - количество запланированных переконсерваций, отмененных в результате проведения планового ультрафиолетового сканирования, шт;

 - стоимость 1 литра смазочного масла, применяемого для консервации двигателя автомобиля, руб;

 - потребность в смазочном масле для проведения переконсервации двигателя автомобиля, л;

 - расход денежных средств на проведение планового ультрафиолетового сканирования деталей двигателя автомобиля (добавление люминесцирующей присадки в масло).

Проведем расчет экономии денежных средств на примере автомобиля марки КрАЗ-255Б.

В результате проведения планового ультрафиолетового сканирования деталей двигателя автомобиля была отменена одна переконсервация. При консервации двигателя автомобиля марки КрАЗ-255Б применяется масло марки М-6з/10-В. Средняя стоимость 1 литра масла марки М-6з/10-В - 52 рубля. Потребность в смазочном масле на проведение переконсервации двигателя автомобиля марки КрАЗ-255Б составляет 6,1 литра. Стоимость люминесцирующей добавки к маслу составляет 33 рубля.

По полученным данным рассчитаем экономию денежных средств в результате применения предлагаемого метода:

ЭДТ = 1 * (52 * 6,1 - 33) = 284,2 руб

Экономия денежных средств в результате продления сроков переконсервации на 1 год для одного автомобиля марки КрАЗ-255Б составит 284,2 рубля.

.2 Проведение планового ультрафиолетового сканирования опережает срок переконсервации двигателя автомобиля марки КрАЗ-255Б

Проведение планового ультрафиолетового сканирования за 6 месяцев до срока плановой переконсервации двигателя автомобиля марки КрАЗ-255Б показало, что масляная пленка на деталях двигателя начала разрушаться, появились очаги коррозии. Если переконсервацию двигателя произвести по плану, то площадь коррозии увеличится, следовательно, перед переконсервацией потребуется обработка деталей двигателя с целью очистки их от образовавшихся продуктов коррозии. В вооруженных силах для этого применяется дизельное топливо.

Если переконсервацию двигателя произвести своевременно по итогам планового ультрафиолетового сканирования, можно достигнуть экономии денежных средств за счет экономии дизельного топлива, необходимого для очистки деталей двигателя от образовавшихся продуктов коррозии. Экономия денежных средств в данном случае выражается формулой:

                                                                        (3)

где:  - экономия денежных средств путем экономии дизельного топлива, руб;

 - средняя стоимость 1 литра дизельного топлива, руб;

 - потребность в дизельном топливе на очистку деталей двигателя от продуктов коррозии, л;

 - расход денежных средств на проведение планового ультрафиолетового сканирования деталей двигателя автомобиля (добавление люминесцирующей присадки в масло).

Проведем расчет экономии денежных средств на примере автомобиля марки КрАЗ-255Б. Средняя стоимость 1 литра дизельного топлива составляет 18 рублей. Потребность в дизельном топливе на очистку деталей двигателя от продуктов коррозии в среднем составляет 5,5 литра. Стоимость люминесцирующей добавки к маслу составляет 33 рубля.

По полученным данным рассчитаем экономию денежных средств в результате применения предлагаемого метода:

ЭДТ = 18 * 5,5 - 33 = 66 руб

Экономия денежных средств в результате требуемого проведения переконсервации раньше установленного срока для одного автомобиля марки КрАЗ-255Б составит 66 рублей.


1.   Метод ультрафиолетового сканирования позволяет производить испытания в реальных условиях, так как испытания проводятся непосредственно на технике.

2.       Время, в течение которого масляная пленка эффективно выполняет защитные функции, может быть определено реально.

.        Метод уточняет сроки переконсервации автомобильных двигателей и технических средств службы горючего, находящейся на хранении.

.        Метод не требует больших материальных затрат и специального помещения для проведения испытаний.

.        Разработанное устройство ультрафиолетового сканирования двигателя внутреннего сгорания позволяет проводить испытания по разработанной методике, не осуществляя разборки двигателя.

Список используемых источников

1. Литвиненко А. Н. Химмотология топлив и смазочных материалов. Учебник. - Ульяновск: УВВТУ, 2005. - 415 с.

2.     ГОСТ 9.054 - 75. Материалы консервационные. Масла, смазки и нефтяные ингибированные тонкопленочные покрытия. Методы ускоренных испытаний защитных свойств - М.: Издательство стандартов, 1975. - 14 с.

3.       Карасенко Т. М., Ковалев В.И. Применение ультрафиолета в технике и народном хозяйстве. - М.: Техиздат., 1986. - 216 с.

.        Люминесцентные материалы и химические вещества. - Черкассы, отд. НИИТЭХим., 1985. - 186 с.

.        Драпкина Д. А. и др. Новые люминофоры красного свечения. Промышленность химических реактивов и особо чистых веществ. Выпуск 8(14) - М., 1967. - 97 с.

.        Лышко Г. П. Топливо и смазочные материалы. - М.: Агропромиздат, 1985. - 336 с.

.        Васильева Л. С. Автомобильные эксплутационные материалы. Учебник для вузов. - М.: Транспорт,1986. - 279 с.

.        Папок К.К. Химмотология топлив и смазочных масел. - М.: Воениздат, 1981. - 192с.

.        Эрах В. Н., Расина М. Г., Рудин М. Г. Химия и технология нефти и газа. Л, Химия, 1977.

.        Синтезы органических препаратов, выпуск 6. - М.: Иностранная литература, 1986. - 45 с.

.        Патент № 1137729 (Россия). Люминофоры красного и красно-оранжевого свечения/ Красовицкий Б. М. , Афанасиади Л. Ш. , Лысова И. В. , Кутуля Л. А. , Шевченко А. Е. - Опубл. 10.11.2005.

.        Патент № 792881 (Россия). Люминофоры фиолетового свечения/ Красовицкий Б. М. , Афанасиади Л. Ш. , Лысова И. В. , Кутуля Л. А. , Шевченко А. Е. - Опубл. 10.11.2006.

.        Инструкция о порядке применения методов планирования эксперимента при проведении научно-исследовательских работ в области химмотологии. - М.: МО РФ, Тыл ВС РФ, ЦУРТГ МО РФ. 1996. - 48 с.

.        Адлер Ю.П. Планирование эксперимента при поиске оптимальных условий / Ю.П. Адлер, Е.В. Маркова, Ю.В. Грановский. - М.: Наука, 1976. - 279с.

.        Чулков П.В.,Чулков И.П. Краткий Словарь - справочник по нефтепродуктам. - М.: Политехника,1997. - 544 с.

.        Руководство по эксплуатации технических средств службы горючего - М.: Воениздат, 1990. - 166с.

Похожие работы на - Применение принципа ультрафиолетового сканирования для оценки качества масляной пленки на деталях двигателя

 

Не нашли материал для своей работы?
Поможем написать уникальную работу
Без плагиата!
Без нейросетей!