Технология механизированных работ возделывания и уборки овса
МИНИСТЕРСТВО
СЕЛЬСКОГО ХОЗЯЙСТВА РОССИЙСКОЙ ФЕДЕРАЦИИ
ДЕПАРТАМЕНТ
НАУЧНО-ТЕХНОЛОГИЧЕСКОЙ ПОЛИТИКИ И ОБРАЗОВАНИЯ
ФГОУ
ВПО КОСТРОМСКАЯ ГСХА
КАФЕДРА
"СЕЛЬСКОХОЗЯЙСТВЕННЫЕ МАШИНЫ"
КУРСОВАЯ
РАБОТА
ПО
ДИСЦИПЛИНЕ "МЕХАНИЗАЦИЯ И ЭЛЕКТРИФИКАЦИЯ СЕЛЬСКОХОЗЯЙСТВЕННОГО
ПРОИЗВОДСТВА"
НА
ТЕМУ: "ТЕХНОЛОГИЯ МЕХАНИЗИРОВАННЫХ РАБОТ ВОЗДЕЛЫВАНИЯ И УБОРКИ ОВСА"
Выполнил:
студент 1 группы 2 курса
Заочного
факультета
Промыслова
Анастасия Сергеевна
Руководитель
Смирнов Сергей Викторович
КОСТРОМА,
2011г.
ОГЛАВЛЕНИЕ
Исходные
данные
Введение
.
Технология возделывания и уборки
.1
Описание технологии
1.2 Технологическая карта возделывания и уборки овса на площади
250 га
.3
Основные агротехнические требования
.4
Определение состава и показателей работы агрегата
.5
Подготовка агрегата и поля к работе
.6
Контроль и оценка качества работы агрегата
.7
Правила безопасной работы на агрегате
.
Технология послеуборочной обработки зерна
.1
Описание технологии
.2
Определение состава и показателей работы машин зерноочистительно-сушильного
пункта
.3
Контроль и оценка качества работы
.4
Правила безопасной работы на ЗОСП
Список
используемых источников
ИСХОДНЫЕ ДАННЫЕ
Культура - овес
Расчетная операция - лущение о
Длина поля - 1200 м
Уклон поля - 4 град
Расстояние до поля - 5 км
Площадь поля - 250 га
Урожайность зерна - 3,5 т/га
Начальная влажность - 22 %
Начальная чистота - 88 %
Конечная влажность -14 %
Конечная чистота - 98 %
ВВЕДЕНИЕ
Придавая большое значение развитию сельского
хозяйства, правительство Росси включило его в число приоритетных национальных
проектов. Успешное развитие сельскохозяйственного производства во многом
определяется его технической базой.
Важнейший показатель совершенства и технического
уровня машины - ее производительность, т.е. количество работы заданного качества,
выполняемое машиной за установленное время [1, с. 6]. Для повышения
производительности машин их постоянно совершенствуют или разрабатывают новые.
Научно-технический прогресс в области механизации сельскохозяйственного
производства направлен в первую очередь на повышение производительности труда
за счет разработки и внедрения широкозахватных машин, увеличения их рабочих
скоростей, грузоподъемности, пропускной способности, создания комбинированных
машин и агрегатов, повышения надежности машин, улучшения условий труда
механизаторов, внедрения автоматизированных систем и машин на основе
микроэлектроники.
Важнейшую роль в производстве зерна играет овес,
как одна из главных фуражных культур для животноводства. Только 5% зерна овса
используется на производственные цели, а остальные на фураж [2 , с. 9]. В зерне
овса содержится больше, чем в других злаковых, жиров и витаминов группы В.
Данная курсовая работа посвящена разработке
интенсивной технологии возделывания, уборки и послеуборочной обработки овса с
целью повышения его урожайности и расчет показателей работы агрегата для
выполнения заданной технологической операции - лущение овса.
1. ТЕХНОЛОГИЯ ВОЗДЕЛЫВАНИЯ И УБОРКИ
ОВСА
1.1 Описание технологии
Интенсивная технология предусматривает
безусловное выполнение ряда требований. Это - размещение культур по лучшим
предшественникам в севообороте; возделывание районированных сортов интенсивного
типа; использование почвозащитных систем обработки, обеспечивающих создание
благоприятного водного режима и улучшение физических свойств почвы; оптимальное
обеспечение растений теми элементами минерального питания, которых недостает в
почве конкретных полей; дробное внесение азотных удобрений по основным фазам и
этапам органогенеза с учетом результатов почвенной и растительной диагностики;
интегрированную защиту растений от сорняков, болезней и вредителей;
регулирование роста и развития растений; своевременное и качественное
выполнение всех операций; наличие технологического комплекса машин и орудий.
Технология возделывания и уборки овса требует
выполнения таких основных технологических процессов как подготовка почвы,
внесение удобрений, посев, уход за посевами, уборка урожая и послеуборочная
обработка зерна.
Овес по сравнению с другими зерновыми культурами
менее требователен к почвам, в севообороте его обычно высевают заключительной
культурой, после яровой пшеницы или ячменя. В центральных районах Нечерноземной
зоны высокие урожаи овса получают при посеве его по зернобобовым, озимым и
пропашным культурам, а также многолетним травам.
Своевременная и качественная обработка почвы -
одно из важнейших условий возделывания овса по интенсивной технологии.
Обработку почвы начинают сразу после уборки урожая предшественника. После
уборки зерновых и зернобобовых культур проводится лущение стерни. Эту операцию
можно выполнить дисковыми лущильниками различных марок ЛДГ-5А, ЛДГ-10А,
ЛДГ-15А, обрабатывающими почву на глубину 4-8 см. На больших полях эффективнее
применение лущильников с большей шириной захвата. Такая обработка способствует
сохранению влаги, что особенно важно при ее недостатке в почве, о также
создаются благоприятные условия для прорастания семян сорняков и лучшей заделке
растительных остатков при последующей вспашке. Поля, засоренные многолетними
сорняками, обрабатывают перед вспашкой лемешными лущильниками ППЛ-5-25 или
ППЛ-10-25 на глубину до 12 см. Поля после пропашных культур и многолетних трав
обрабатывают дисковыми боронами БДТ-3, БДТ-7 или теми же дисковыми лущильниками
с целью измельчения растительных остатков и сохранения влаги.
Через 10-15 дней, когда семена сорняков дадут
всходы, производят вспашку с предплужниками, но без боронования, на глубину
20-22 см навесными плугами марок ПЛН-3-35, ПЛН-4-35, ПЛН-5-35 и ПЛН-8-35 . На
больших полях эффективнее применение полунавесных плугов марок ПЛП-6-35,
ПЛ-5-35 и ПТК-9-35.
Перед вспашкой вносят фосфорные и калийные
минеральные удобрения, разбрасывая их по полю машинами
1РМГ-4,РУМ-5,РУМ-8,СТТ-10идр.
Вспаханное на зябь поле осенью, как правило, не
обрабатывают, оставляя пашню неровной для лучшего впитывания влаги. Если же
зябь сильно зарастает сорняками при теплой осени, то ее обрабатывают дисковыми
орудиями, уничтожая сорняки.
Весеннюю подготовку почвы начинают с раннего
боронования тяжелыми зубовыми боронами БЗТС-1 для закрытия влаги и ускорения
прогревания почвы. Из этих борон составляют широкозахватные агрегаты со
сцепками и гусеничными тракторами. Перед посевом поле обрабатывают паровыми
культиваторами КПС-4, КПШ-6, КПШ-9 вместе с зубовыми боронами БЗСС-1, а затем
выравнивают и уплотняют пахотный горизонт кольчато-шпоровыми катками ЗККШ-6.
Обработку ведут поперек направления вспашки или под углом к ней. Глубина
обработки культиваторами 8-12 см на тяжелых почвах и 6-8 см на легких почвах.
Одновременно с подготовкой почвы готовя к посеву
и семена. В интенсивной технологии используют современные интенсивные сорта
овса Фаленский 3, Урал, Друг и зарубежные Боррус, Астор [2 , с. 9]. Семена
протравливают пестицидами Витавакс, Бенлат, Гранозан, ТМТД и др. с помощью
протравливателей ПСШ-5, ПС-10, ПС-30. Одновременно с протравливанием семена
обрабатывают микроэлементами меди, молибдена, бора, цинка, кобальта[2 ,
с. 33].
Посев семян производят в спелую почву с
температурой не ниже 6 градусов на глубину 3-6 см рядовым или узкорядным
способом. Для этого применяют сеялки С3-3,6А или СЗУ-3,6А. Сеялки регулируют на
норму высева 3-5 млн. всхожих семян на гектар в зависимости от плодородия почвы
и общей культуры земледелия. Одновременно с семенами сеялки вносят в рядки
комплексные минеральные удобрения. Семена перевозят в поле и заправляют сеялки
специальными заправщиками сеялок. Гранулированные удобрения (суперфосфат) в
упаковке перевозят на поле в автомобилях при ручной погрузке и загрузке в
сеялки. При посеве оставляются незасеянные полосы -технологическая колея -
путем перекрытия заслонками двух высевающих аппаратов в каждом бункере сеялки.
При ширине технологической колеи 1800 мм перекрываются высевающие аппараты
сошников 6, 7 и 18, 19. Если колея формируется для обслуживания трех проходов
сеялки, то перекрываются аппараты сначала при втором проходе, а затем через
каждые два прохода, т.е. при 5-м, 8-м, 11-м, 14-м и т.д. [2 , с. 41].
Уход за посевами ячменя [2, с. 49] начинается с
боронования их до всходов легкими зубовыми и по окрепшим всходам сетчатыми
боронами. Эту операцию выполняют при образовании на почве корки после ливневых
дождей. В фазе кущения посевы обрабатывают гербицидами для борьбы с сорняками,
а затем проводят две-три подкормки с технологической колеи сначала азотными, а
затем калийными и фосфорными удобрениями, растворенными в воде, или жидкими
комплексными удобрениями (ЖКУ). Соотношение и количество этих элементов питания
должно полностью покрывать потребности растений в этот период роста. Для
опрыскивания и подкормки используют подкормщик-опрыскиватель ПОМ-630,
подкормщики жидкими удобрениями ПЖУ-2,5, ПЖУ-5 или опрыскиватели ОПШ-15,
ОП-2000, ОП-3200, ОМ-630, ОМ-320. Для ограничения роста растений посевы
обрабатывают ретардантами, используя те же опрыскиватели.
Уборку в нашей зоне осуществляют в основном
прямым комбайнированием [2, с. 49]. При этом способе хлеб скашивают и
одновременно обмолачивают в фазе полной спелости зерноуборочными комбайнами
СК-5М "Нива", "Енисей-1200", "Дон-1500". Если
позволяют погодные условия, то часть полей убирают раздельным способом,
скашивая хлеб сначала валковыми жатками ЖВН-6А, ЖВС-6, ЖВП-6 в валок в восковой
спелости, а затем подбирая и обмолачивая волок теми же комбайнами, когда он
подсохнет и зерно в колосках дозреет.
Зерновой ворох перевозят с поля автосамосвалами
на зернотока, где зерно обрабатывается на зерноочистительных и сортировальных
машинах, а при необходимости и сушится.
Солому убирают с поля различными способами [2,
с. 56]: укладывают копны в скирды на краю поля стогометателями или копновозами
КУН-10; измельчают и разбрасывают по полю приспособлением к комбайну ПУН-5 с
последующей запашкой, если ее не много; прессуют из валков в рулоны прессами
ПРП-1,6, ПР-750 с последующей вывозкой рулонов с поля тракторными прицепами и
поргузкой и укладкой в штабеля погрузчиками ПФ-0,75 с приспособлением ППР-0,5.
1.2
Технологическая карта возделывания и уборки овса на площади
250 га
Предшественник: -
зернобобовые
Урожайность -
основной продукт - 3,5 т/га
побочный продукт -
6.0т/га
удобрения:
органические - нет
минеральные - 800
кг/га
|
Наименование Операций
|
Состав агрегата
|
|
Обслуживающий персонал
|
Выработка агрегата, га
|
Срок начала работы (дата)
|
Число рабочих дней
|
Выпол.
объем работ га,
|
Кол. агрегатов
|
Расх топлива кг\га
|
Затраты труда, чел.ч/га
|
|
трактор.авто мобиль, комбайн
|
Сельхозмашина
|
трактористов
|
при-цепщ.
|
за час
|
за смену
|
|
|
|
|
|
|
|
|
марка
|
Кол
|
|
|
|
|
|
|
|
|
|
|
|
1. Лущение стерни
|
ДТ-75М
|
ЛДГ-10А
|
1
|
1
|
-
|
4,4
|
30,8
|
15.08
|
5
|
154
|
1
|
2,9
|
0,23
|
|
2. Погрузка минеральных удобрений в измельчитель
|
ЮМЗ-6Л
|
ПЭ-0,8Б
|
1
|
1
|
-
|
-
|
|
01.09
|
10
|
-
|
-
|
-
|
-
|
|
3. Растаривание, измельчение и погрузка в разбрасыватель
|
Электродвигатель
|
АИР-20
|
-
|
1
|
-
|
20 т
|
140 т
|
01.09
|
10-
|
-
|
-
|
-
|
-
|
|
4. Транспортировка и разбрасывание по полю
|
МТЗ-80
|
1РМГ-4
|
1
|
1
|
-
|
8,3
|
58,2
|
01.09
|
10
|
582
|
1
|
1,46
|
0,12
|
|
5. Зяблевая вспашка
|
ДТ-75М
|
ШШ-435
|
1
|
1
|
-
|
1,7
|
11,9
|
02.09
|
10
|
119
|
1
|
7,8
|
0,59
|
|
б.Весенне боронование зяби
|
МТЗ-80
|
БЗСС-1 +С-11У
|
12 1
|
1
|
-
|
9,2
|
64,5
|
25.04
|
4
|
258
|
1
|
1,44
|
0,1
|
|
7. Предпосевная обработка почвы
|
МТЗ-82
|
КПС-4 +БЗСС-1
|
1 4
|
1
|
-
|
3,23
|
22,6
|
30.04
|
9
|
903,5
|
1
|
4,13
|
0,21
|
|
8.Прикатывание предпосевное
|
Т-40М
|
ЗККШ-6
|
1
|
1
|
-
|
3,08
|
21,6
|
30.04
|
9
|
194
|
1
|
4,3
|
0,32
|
|
9. Протравливание семян
|
Эл.двигатели
|
ПСШ-5
|
1
|
1
|
1
|
5,0 т
|
25 т
|
30.04
|
10
|
-
|
|
-
|
-
|
|
10 Погрузка семян в загрузчик сеялок
|
Эл.двигатели
|
ЗСП-50
|
1
|
-
|
1
|
-
|
-
|
31.04
|
10
|
-
|
-
|
-
|
-
|
|
11. Транспортировка семян и загрузка сеялки
|
ГАЗ-53А
|
УЗСА-40
|
-
|
1
|
-
|
-
|
-
|
31.04
|
10
|
-
|
-
|
-
|
-
|
|
12. Погрузка гранулированных минеральных удобрений в упаковке
|
вручную
|
|
|
-
|
2
|
-
|
-
|
31.04
|
10
|
-
|
-
|
-
|
-
|
|
13 Транспортировка удобрений
|
ГАЗ-53
|
-
|
-
|
1
|
-
|
-
|
-
|
31.04
|
10
|
-
|
-
|
-
|
-
|
|
14. Загрузка удобрений в сеялку
|
вручную
|
-
|
-
|
-
|
1
|
-
|
-
|
31.04
|
10
|
-
|
-
|
-
|
-
|
|
15. Посев с внесением удобрений
|
МТЗ-80
|
С3-3,6А
|
|
1
|
-
|
2,8
|
19,7
|
31.04
|
10
|
197
|
1
|
4,76
|
0,36
|
|
16. Довсходовое боронование
|
Т-40М
|
БСО-4
|
|
1
|
-
|
1,9
|
13,6
|
05.05
|
5
|
68
|
3
|
4,5
|
0,5
|
|
17. Подвозка воды и ядохимикатов
|
МТЗ-80
|
МЖТ-6
|
|
1
|
-
|
-
|
-
|
18.05
|
5
|
-
|
|
-
|
-
|
|
18. Приготовление раствора
|
МТЗ-80
|
АПЖ-12
|
|
1
|
-
|
-
|
-
|
18,05
|
5
|
-
|
-
|
-
|
-
|
|
19. Опрыскивание гебицидами
|
Т - 40М
|
ОПШ 15
|
|
1
|
-
|
7,06
|
35,3
|
18.05
|
5
|
176,5
|
1
|
1,08
|
0,14
|
|
20.
Подкормка ЖКУ
|
МТЗ-80
|
ПОМ-630
|
1
|
1
|
-
|
5,1
|
10,06
|
10
|
356
|
1
|
0,78
|
0,19
|
|
21.
Обработка ретардантами
|
Т-40М
|
ОПШ-15
|
1
|
|
-
|
7,06
|
35,3
|
20,06
|
5
|
176,4
|
1
|
1,08
|
0,14
|
|
22.
Уборка комбайнами
|
комбайн
|
Дон-1500
|
1
|
|
-
|
1,72
|
1,72
|
25.08
|
10
|
172
|
1
|
-
|
0,58
|
|
23.
Транспортировка зерна
|
ЗИЛ-ММЗ-555
|
-
|
-
|
|
-
|
16,4т
|
16,4т
|
25.08
|
10
|
1540т
|
1
|
-
|
-
|
|
24.
Обработка зерна на КЗС
|
|
КЗ-10Ш
|
-
|
-
|
3
|
13,5т
|
16,т
<B9.ii>25.0810696т1--
|
|
|
|
|
|
|
|
25.
Прессование соломы
|
МТЗ-80
|
ПРП-1,6
|
1
|
|
|
4,6
|
32
|
30.08
|
10
|
320
|
4
|
2,8
|
0,22
|
|
26.
Погрузка рулонов
|
МТЗ-80
|
ПФ-0,75
|
1
|
|
-
|
15т
|
105
т
|
30.08
|
10
|
1050
|
|
-
|
-
|
|
27.
Перевозка рулонов
|
МТЗ-80
|
2ПТС-4
|
1
|
|
-
|
-
|
-
|
30.08
|
10
|
-
|
-
|
-
|
-
|
|
28.
Укладка рулонов в штабеля
|
МТЗ-80
|
ПФ-0,75
|
1
|
|
-
|
15
т
|
105
т
|
30.08
|
10
|
1050
|
|
-
|
-
|
Примечание: перед выполнением
операций 20 и 21 выполняются операции 17 и 1
1.3 Основные агротехнические
требования
К лущению стерни предъявляются следующие
требования: устойчивость глубины обработки - допускаемые отклонения средней
глубины от заданной не более 1,5 см для дисковых лущильников и 2 см для
лемешных; равномерность хода по глубине - отклонения отдельных замеров от
среднего значения глубины не более 2 см для дисковых лущильников и не более 3
см для лемешных; устойчивость ширины захвата - допускаемое отклонение от
конструктивной ширины для дисковых лущильников не более 30 см, для лемешных не
более 10%; полное подрезание стерни и уничтожение сорняков; хорошее
перемешивание почвы с пожнивными остатками, достаточно выровненная поверхность
поля, отсутствие разъёмных борозд и свальных гребней; отсутствие огрехов и
минимальная распылённость почвы.
К лущению стерни приступают сразу же после
уборки хлебов прямым комбайнированием, а при раздельной уборке эту операцию
проводят одновременно со скашиванием в валки - лущат между валками, а после
подбора валков - под валками. Допустимый разрыв между уборкой прямым
комбайнированием и лущением - не более одного дня.
Сроки лущения определяют эффект этой
технологической операции и особенно влияют на сохранение запасов влаги в почве.
В засушливых южных районах запаздывание с
началом лущения на один день снижает будущую урожайность на 0,15…0,20 тонн с
каждого гектара вследствие интенсивного иссушения почвы.
Глубину лущения устанавливают по зонам с учётом
состояния почвы, засоренности поля и видового состава преобладающих на данном
участке сорняков, а также высоты стерни. При однократном лущении глубина
обработки должна быть 7…8 см в засушливых районах и 5…6 см в увлажнённых
районах.
Глубина лущения в большой степени зависит от
высоты стерни: чем выше последняя, тем глубже обработка. Поэтому окончательную
глубину лущения нужно устанавливать с учётом конкретных условий.
.4. Определение состава и показателей
работы агрегата
Для выполнения заданной операции в соответствии
с технологической картой применяется агрегат, состоящий из трактора ДТ-75М
лущильник ЛДГ-10А.
Рабочая скорость лущильника
8-12 км/ч. По тяговой характеристике трактора ДТ-75М
близко к этому значению находится рабочая скорость
Jр= 8,7 км/ч на 6-й передаче и номинальное тяговое усилие на крюке
Ркр.н = 18,5 кН при работе на стерне.
Вычисляем тяговое
усилие трактора с учетом уклона поля
Ркр = Ркр.н - Gтр
sinaп ,
где Ркр - тяговое
усилие трактора, кН; Ркр.н - номинальное тяговое усилие, кН;
Gтр - вес
трактора, кН; aп - угол
наклона поверхности поля, град.
Gтр =61
кН, aп
=4° - исходные данные
Ркр =18,5
- 61• sin 4°= 14,24 кН
Вычисляем сопротивление для простого агрегата по
формуле:
Rм = k
Bм
+ Gм
sinaп ,
где Rм -
сопротивление простого агрегата, кН; k - удельное сопротивление машины,
кН/м, Вм -ширина захвата, м; Gм - вес
машины, кН
Rм = 1,2кН *10м
+ 24кН *sin4° = 13,67 кН
Вычисляем коэффициент загрузки
трактора по тяговому усилию по формуле:

= 0,9
Рекомендуемое значение коэффициента
загрузки для трактора ДТ-75М при выполнении среднеэнергоемких операций
0,89…0,95 (в зависимости от вида почвы), следовательно, трактор загружен
полностью.
Расчет показателей технологической
карты
Часовая техническая
производительность, га/ч
= 0,1 · Вр · Jр
·
t
,
где W - производительность
агрегата, га/ч; Вр - рабочая ширина захвата, м; Jр
-рабочая
скорость агрегата, км/ч; t - коэффициент
использования времени смены
Рабочую ширину захвата вычисляем по формуле:
р =
a
· Bк ,
где Вр - рабочая ширина
захвата, м; Вк - конструктивная ширина захвата, м; a
- коэффициент использования ширины захвата.
Bр =0,96·10м
= 9,6 м
t = 0,85
И тогда W = 0,1 · 9,6 · 8,7
· 0,85 = 7,1 га/ч ,
Сменная выработка агрегата, га
см
= W ·
tсм,
где tсм
-
продолжительность смены, ч ( 7 ч по Трудовому кодексу),см = 7,1 · 7
= 49,7 га
Объём работы, который может выполнить агрегат за
агротехнический срок, вычисляем по формуле:
Wо =Wсм
A ,
где Wо - объем работ,
выполненный агрегатом за агротехнический срок, га; А - агротехнический срок,
дни. А = 5 днейо =49,7
5 = 257,5 га
Необходимое количество агрегатов
a = 
= 
где S - заданная площадь поля, га=
250 га - исходные данные.
Значит, достаточно 1 агрегата.
Погектарный расход топлива,
вычисляем по упрощенной формуле:
Gга =
,
где Gга -
погектарный расход топлива, кг/га; Gт - часовой расход
топлива при номинальной мощности двигателя, кг/ч, Кт -
поправочный коэффициент, учитывающий неполную загрузку двигателя при работе.
Gт = 16,4
кг/ч; Кт = 0,93
Gга = 
2,1 кг/га
Затраты труда на гектар,
ЗТ =
,
где 3Т - затраты
труда, чел-ч/га; тР - число рабочих, (включая
тракториста-машиниста) занятых непосредственно на агрегате.
ЗТ = 
= 0,14 чел-ч/га
Уточненный расчет расхода топлива на
гектар, кг
га =
,
где Gт, Gх,
Gо - часовой расходы топлива соответственно при работе
агрегата под нагрузкой, на холостых поворотах и заездах и при остановке
агрегата с работающим двигателем, кг/ч,; tP , tx , to
- время работы агрегата соответственно с полной нагрузкой, на
холостых поворотах и заездах при остановке агрегата с работающим двигателем, ч.
Время работы с полной нагрузкой:
р = tсм ·
t ,
где tсм -
продолжительность смены, ч ( 7 ч по Трудовому кодексу),
t
- коэффициент использования времени смены.
tр =0,85
7 = 5,95 ч
Время работы двигателя при
остановках агрегата:
tо = (tтех + tотд)·
tр + 0,5 · tето,
где tтех , tотд
- доли времени простоев на один час чистой работы агрегата, соответственно
при технологическом обслуживании машины, и при отдыхе механизаторов, ч tотд
= 0,1...0,25 ч; tето - время простоев при техническом
обслуживании машин в течение смены.
tтех = 0,01 ч; tотд = 0,1ч
tето = tт
+ tм ,
где tт и tм
- время простоев при техническом обслуживании соответственно трактора и машины,
ч.
tето = 0,5+ 0,10
= 0,6 ч
Тогда tо =
(0,01+0,1)
5,95 + 0,5
0,6 = 0,95 ч
Время движения агрегата на холостых
поворотах и заездах:
х = tсм - tр -
tо =
7- 5,95 - 0,95 = 0,1 ч
т = 16,4 кг/ч; Gх
= 10,5 кг/ч; Gо = 1,9 кг/ч
Тогда уточненный расход топлива
будет
Gга = 
= 2,04 кг/га
Отвозка зерна от комбайна ДОН 1500 с поля
на зерноток осуществляется самосвалом ЗИЛ-ММЗ-555
Часовая производительность транспортной машины
(т/ч) определяется по формуле

,
где: G -
грузоподъемность транспортной машины, т; 
- статический коэффициент
грузоподъемности; tp - время рейса, ч.
G= 4.5т.; 
=0,7 - для груза II. класса;
tр=tз+tдв+tраз+tож
где: tз - время
загрузки, ч; tдв -время в
пути, ч; tраз - время
разгрузки, ч; tож - время
ожидания подзагрузку ( при упрощенных расчетах не учитывают).
Для самосвальных транспортных машин tраз =2мин=
0,033 ч;
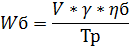
Время загрузки (ч) определяется по
формуле
где: W6 -
производительность выгрузного устройства бункера, т/ч. Она определяется по
формуле
где V - объем
бункера м3 ; 
- насыпная плотность зерна, т/м3
; 
- коэффициент заполнения бункера; ТР
- время выгрузки, ч, ТР = 0,03ч.
V=60 м3 ;

=0,65 т/м3 ; hБ= 0,9;
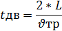
Время в пути определяется по
формуле, ч
где: L -
расстояние перевозки, км; 
, -скорость транспортной машины,
км/ч.
L =5 км. -
исходные данные; 
=30 км/ч [11,
с.14]
Необходимое количество транспортных
машин определяется по формуле
где: nм -
количество одновременно работающих уборочных машин; Wуб -
производительность уборочной машины по продукции, т/ч.
Wyб=W*U
где- W =1.72 га/ч
- с техкарты; U = 3,5 т/га
- исходные данные
Wyб=1.72*3.5=6,02
т/ч
nм = 1 из
технологической карты
Достаточно иметь один автомобиль
1.5 Подготовка агрегата и поля к
работе
До начала работы лущильных
агрегатов поле необходимо очистить от остатков соломы, на участках больших
размеров допускается лущение стерни при наличии копен, расположенных прямыми
рядами, с последующей обработкой нелущеных полос.
Основные способы движения
агрегатов с дисковыми лущильниками и дисковыми боронами - челночный,
диагональный и диагонально-перекрёстный (во время работы на полях при длине
гона менее 50 захватов агрегата допускается движение вкруговую);
При обработке почвы дисковыми
лущильниками применяют, как правило, способ движения "челноком".
Чтобы не допускать огрехов при обработке дисковыми лущильниками, смежные
проходы делают с перекрытиями в 10-15 см. При первом проходе агрегата, когда он
пройдёт первые 20-30 м, осматривают взрыхленную поверхность. Если обнаруживают
гребнистость - неравнорядное заглубление дисков, соответственно изменяют высоту
крепления поводковых рамок батарей и перераспределяют балласт.
На полях, сильно засоренных
сорняками, применяют двух - и трёхкратное лущение через 20-25 дней сначала
дисковыми, а потом лемешными лущильниками. Первое лущение (на глубину 4-6 см)
делают сразу после уборки зерновых, второе - через 20-25 дней после прорастания
сорняков на глубину 9 см тоже дисковым лущильником, и третье - ещё через 20-25
дней лемешным лущильником на глубину 12-14 см.
1.6
Контроль и оценка качества работы
При проверке
качества работы измеряют главные показатели и устанавливают степень их
соответствия заданным агронормативам и допускам на них. Часть показателей
качества, не имеющих числовых значений, оценивают субъективно - визуальным
осмотром поля.
Для дисковых
лущильников определяют следующие показатели:
Качество лущения
жнивья контролируют по равномерности глубины обработки, степени подрезания
сорняков, степени рыхления почвы и её перемешивания с подрезанной стернёй и
сорной растительностью. Глубину обработки проверяют при первом контрольном
проходе агрегата, после того как он пройдёт 20…30 м. Замер глубины лущения
дисковыми лущильниками производят деревянной или металлической линейкой,
погружая её до упора в дно борозды на слегка выровненном и уплотнённом участке.
Таких замеров делают не менее 25…30 по длине.
Средняя фактическая
глубина лущения не должна отличаться от заданной глубины более чем на 2 см.
Поперечную неравномерность хода дисковых батарей определяют замерами глубины
поперёк взлущённой одной батареей полосы. Значения отдельных замеров не должны
отличаться друг от друга более чем на 1 см. Неравномерность глубины лущения
дисками смежных батарей определяют визуально по наличию высоких гребней. В
дальнейшем глубину проверяют 2…3 раза за смену.
Выровненность
поверхности взлущённого поля определяется высотой валиков, образуемых между
смежными проходами лущильника. Эта высота не должна быть больше 8…10 см.
Не менее чем в 5
местах по диагонали обработанного поля накладывают на почву квадратную рамку с
длиной стороны 1 м и убеждаются в отсутствии неподрезанных сорняков. Верхний
слой почвы после прохода лущильника должен быть мелкокомковатым, а поверхность
слитной и ровной. Развальная борозда в стыке средних батарей не должна
превышать глубину обработки почвы.
.7
Правила безопасной работы на агрегате
Охрана труда и
техника безопасности при лущении сводятся к соблюдению установленных правил и
требований безопасности работы на лущильных агрегатах. Одно из главных
требований - проведение регулировочных работ, а также работ по устранению технических
и технологических отказов при выключенном двигателе.
Необходимо помнить,
что сцепка машины производится только гидрокрюком трактора; работа без
приспособления для равномерной погрузки кузова может привести к аварии;
попадание глыб, камней и других посторонних предметов в кузов машины приводит к
преждевременному выходу её из строя; поворот трактора относительно машины более
60 градусов может привести к излому карданного вала; смену колёс, регулировку
подшипников и тормозов следует производить при установленных под балансиры
предохранительных подставок и клиньях под колёсами; нельзя очищать кузов,
рабочие органы машины без очков и рукавиц.
2. ТЕХНОЛОГИЯ ПОСЛЕУБОРОЧНОЙ
ОБРАБОТКИ ЗЕРНА ОВСА
.1 Описание технологии
Для послеуборочной обработки зерна применяются
зерноочистительные агрегаты ЗАВ в климатических зонах, где нет необходимости
сушить зерно, и зерноочистительно-сушильные комплексы КЗС - в зонах с влажными
условиями уборки. Необходимость применения таких комплексов обусловлена тем,
что зерновой ворох содержит самые разнообразные примеси: кусочки соломы,
листья, семена сорняков и культурных растений, личинки насекомых, песок,
камешки и т.д. Поэтому первой задачей послеуборочной обработки зерна является
отделение этих примесей. Зерно в ворохе имеет как правило повышенную влажность,
а поэтому не может длительно храниться. Его необходимо высушить. Семенное зерно
дополнительно обрабатывают на семяочистительной приставке СП-10А,
пристраиваемой к агрегатам и комплексам. При небольшом годовом производстве зерна
применяют комплексы КЗС-10Ш и КЗС-10Б производительностью 10 т/ч.
Комплексы КЗС-10Ш работают следующим образом
[4.12 с. 211]. Автосамосвалы привозят с поля зерновой ворох и разгружаются в
завальную яму. Разгрузка сортовых машин осуществляется с помощью
гидравлического автомобиле-подъемника ГУАР-15. Из завальной ямы зерно самотеком
поступает в загрузочную норию, которая поднимает его ковшами и по зернопроводу
направляет в машину предварительной очистки ЗД-10.000. Эта машина отделяет
часть примесей и направляет их в транспортер отходов, а он подает их в бункер
отходов. Основной поток зерна самотеком поступает в загрузочную норию сушилки
СЗШ-8, ковши которой поднимают зерно вверх и ссыпают в загрузочный бункер
сушили. Если сушилка не справляется с сушкой всего поступающего в нее зерна, то
предварительно очищенное зерно направляется в бункер резерва. Проходя
последовательно через сушилку , разгрузочную норию ее и охладительную колонку,
зерно высыхает и охлаждается. Сухое и охлажденное зерно через промежуточную
норию и 2-й поток первой нории подается в машину первичной очистки ЗАВ -
10.30000. Эта машины отделяют оставшиеся примеси с помощью решет и воздушного
потока, а так же часть неполноценного зерна фуражного назначения. Примеси от
этих машин направляются в бункер отходов, а фуражное зерно в бункер фуража.
Основной поток зерна промежуточным транспортером подается в триерный блок
ЗАВ-10.90000, где отделяются короткие примеси, дробленое зерно и длинные
примеси, направляемые в бункер фуража. Очищенное зерно ссыпается в бункер
чистого зерна. Для очистки овса и ячменя в блок триеров ставят все цилиндры с
одинаковыми ячейками, а поэтому отделяется только короткие примеси и дробленое
зерно.
По мере освобождения поточной линии в ночное
время зерно берут на переработку из бункеров резерва. Если зерно поступает с
поля сухое, то сушилку не используют, направив поток зерна переключением
делителя в зернопроводе сразу на машину первичной очистки и триерный блок. При
очистке зерна на продовольственные цели триерный блок выключают из работы,
переключив заслонки в приемнике триера.
2.2 Расчет основных показателей
работы зерноочистительно-сушильного пункта
Плановый валовой сбор зерна определяется по
формуле
Qпл = U*S
Где: U
- плановая урожайность, т/га; S
- посевная площадь культуры, га.
U = 3.5.т/га; S
= 250 га (исходные данные)
Qпл=3,5*250=875 т
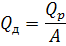
Расчетное количество зерна, поступающего на
зерноток определяется по формуле,
Qр =
Qплi
где 
; - соответственно
базисная(конечная) и начальная влажность зерна,%; - соответственно
базисная(конечная) и начальная чистота %; kэ
-коэффициент эквивалентности; kк - коэффициент, характеризующий
состояние зерна, 
= 14 % (по ГОСТ); 
= 22% (исходные данные); 
= 88% (исходные данные); 
= 98% (по ГОСТ)
В упрощенных расчетах
принимают равным единице.
Среднедневное
поступления зернового вороха определяется по формуле
где А - число дней
уборки (агросрок). А = 10 дней [.8., с.201.]
Максимальное
поступление зернового вороха в течение дня определяется по формуле
Qmax
=
Где 
- нормированное
отклонение среднего от стандартного

= 2,2.. .3,2 - для
увлажненных районов [11.с. 19]. Принимаю 
=.
2.6
Qmax
= 106,84*2.6=277,78 т
Расчётная часовая
производительность определяется по формуле, т/ч
где tc - продолжительность работы линии за сутки, ч; 
- коэффициент
использование времени смены
tc
= 15...18ч; 
= 0,8...0,85 [11.с.
19]. Принимаю tc = 18 ч
w=
277,78т/(18*0,8)=19,3
Ближайшая по
производительности машина предварительной очистки ОВС 20 марка комплекса
КЗС - 10Ш
Производительность зерносушилки по
сухому зерну определяется по формуле,
Wсух = W ·
· (1-kc)
,
Wсух =
19.3
· ((100-14)/(100-22))· (1-0.155) = 17.94
где kc-средневзвешенный
коэффициент

- содержание соломистых
примесей от общей массы (
= 3...4 %);
- содержание
семян сорняков (
= 2...5 %); Сз - влага,
удаляемая в процессе предварительной очистки ( Сз = 1,0...1,5 %); 
- влага, удаляемая при
работе аэрожелоба приёмного отделения, %:
где 
= 0,4...0,6 % влагосъем
за 1 час вентилирования при относительной влажности воздуха

отн= 50...60 %; tB - время вентилирования (8...10ч).
Принято: 
; 
; 
; 
; tв=10 ч
Вместимость приёмного
отделения с аэрожелобами определяется по формуле
где tк -дневное время работы комбайнов,час; 
- насыпная плотность
зерна заданной культуры, т/м3.
tк
= 10 ч ( на период уборки); 
=0,45т/м3 [6
с. 165]
Количество бункеров
активного вентилирования для отлежки зерна после сушилки определяется по
формуле
где: 
-
время отлёжки зерна в бункере, 
- насыпная плотность
пшеницы, т/м3; ёмкость бункера, т; kз-
коэффициент заполнения бункера, зависящий от влажности.
Принято 
= 6 ч; V6 = 40 т -бункер БВ-40; 
= 0,78 т/м3
[6 с. 165]; kз =10 [11,
с. 21];
Нужны три бункера
Часовая
производительность машин первичной очистки, т/ч
где X1- коэффициент, учитывающий отходы на предыдущих этапах обработки;

-средневзвешенный
коэффициент использования рабочего времени смены.
где K1, K2 - отходы примесей, %. K1 = 5...8 %; К2= 2...3 %.[11с. 22] 
= 0,95 . [ 11 с.
21];
Часовая
производительность машин вторичной очистки ( триеров), т/ч
Где: 
Где К3=3..5%

=17,06 т/ч
Часовая
производительность пневмосортировальных столов, т/ч
Где: 
Где К3=2..4%
Необходимое число машин
первичной очистки определяется по формуле
где 
- фактическая
производительность машины, т/ч.
где Wп-паспортная производительность, т/ч.
kэ
= 0,6 [ 11 с. 35] - для овса
Wп1
= 10 т/ч Машина ЗАВ-10.3000 [12 .с 19]

=3
Нужны 2 машины
ЗАВ-10.30000
Необходимое число машин
вторичной очистки (триеров) определяется по формуле

= 15 .т/ч -машина
ЗАВ-10. 90000 [12 с. 55] при очистке только коротких примесей .
При использовании всего
урожая на семенные цели потребуется 3 сортировальных столов, если же лишь 3.0
.%, то потребуется 1 машина
Расход топлива на сушку
определяется по формуле:

ψ
где qT - удельный расход топлива, кг/т
(для шахтных сушилок 8... 12 кг/т, для барабанных 13... 14 (кг/т); ψ -переводной коэффициент .
Принято qT = 10. .кг/т; ψ = 1,63 [ 11, с. 36].
- при влажности 26%

1,63=14262.5
кг
2.3 Контроль и оценка
качества работы
уборка овес урожайность
трактор зерноочистительный
Контроль качества
обработки зерна и семян является необходимым условием оценки эффективности
использования оборудования поточной линии и применения дополнительной оплаты
труда за качественное выполнение работ [13. 17].
На зернотоках
применяются два вида контроля: текущий и приемочный. Первый позволяет правильно
настроить машины, выявить соответствие применяемых технологических режимов
изменяющимся условиям обработки зерна.
Текущий контроль
осуществляет лаборант аналитической лаборатории под руководством
агронома-семеновода или главного агронома при участии механика зернотока,
которые отбирают образцы проб зерна. Текущий контроль проводят для каждой
партии зерна до и после обработки, но не реже 2-х раз в смену.
Приемочный контроль
используют для оценки количества и качества работы, выполняемой
зерноочистительно-сушильным комплексом. Общую оценку работе дают на основании
данных текущего контроля по 10-ти бальной системе [13 20].
При работе комплексов и
пунктов контролируют и оценивают следующие качественные показатели:
-продовольственное зерно
- влажность, засоренность, потери полноценного зерна в отходы;
-семена - влажность,
всхожесть, чистоту, содержание семян культурных и сорных растений, потери
полноценного зерна в отходы.
Исходные образцы для
анализа отбирают из поступающего с поля материала, из очищенного
продовольственного зерна после триерования и из очищенных семян после их
обработки на пневмостоле [$Jf,
с. 35]. Для определения потерь исходные образцы берут из бункеров отходов.
Всхожесть и влажность
семян определяют по ГОСТ 12038-66 и ГОСТ 12041-66. Количество выделенных
примесей определяют как разность между содержанием примесей в исходном
материале и очищенном. По результатам анализов оценивают качество в
соответствии с таблицей 3 [13с. 36].
Таблица 3
Оценка качества
обработки семян
|
Показатели
|
Значение или оценка показателя
|
Балл
|
|
Влажность, %
|
14 + 1
14±2 14 ±3 и более
|
3 2 1
|
|
Чистота семян по классам
|
3 2
|
|
Количество выделенных примесей, %
|
Материал не соответствует 1 -му и 2-му классам, но примесей
выделено более 99% от содержания в исходном материале
|
2
|
|
Потери полноценных семян в отходы, %
|
не более 16 %. От16до20%
|
2 1
|
По сумме баллов определяется общая оценка: 9...
10 баллов - отлично; 7...8 баллов - хорошо; 5...6 баллов - удовлетворительно;
менее 5 баллов - неудовлетворительно
.4 Правила безопасной работы на
машинах ЗОСП
К работе на комплексах, зерноочистительных
машинах и зерносушилках допускаются лица достигшие 18- летнего возраста,
изучившие устройство и правила эксплуатации машин и механизмов, прошедшие
инструктаж по технике безопасности.
Ответственность за состояние техники
безопасности, противопожарной безопасности и выполнение санитарных норм
возлагается на главного инженера хозяйства [13 21].
В специально отведенном месте должен содержаться
комплект противопожарного инвентаря -огнетушители, бочка с водой, ящик с
песком, багры, лопаты, топоры, ведра, приставные лестницы.
На комплексе должны быть: инструкции по технике
безопасности; журнал прохождения инструктажа; журнал приема и сдачи рабочих
смен; аптечка первой помощи; набор технологического инструмента; указатели
напряжения; таблицы и плакаты по технике безопасности; устройство для подачи
сигнала тревоги.
Курить разрешается в специально отведенном
месте, которое должно быть обозначено надписью и иметь ящик с песком или бачок
с водой для окурков.
Не менее одного раза в смену необходимо очищать
машины, оборудование, площадки, рабочее помещение от пыли и соломистых
остатков.
Запрещается работать без заземления и зануления
оборудования и электродвигателей, работа машин без ограждений вращающихся
частей, хранение на комплексе взрывоопасных и горючих материалов, устранять
неполадки при работе машин, работать в развевающейся одежде и без головного
убора.
Список используемых источников
1. Карпенко А. Н., Халанский
В. М. Сельскохозяйственные машины. -6-е изд., перераб. и доп. М,
:Агропромиздат, 1989.
. Интенсивные технологии
возделывания полевых культур в Нечерноземной зоне/Л.А.Синякова, В.Т.Васько,
В.Я.Зайцев, Ф.Ф.Ганусевич.- Д.: Агропромиздат, 1987.
3. Правила производства
механизированных работ £Р под пропашные культуры (пособие для бригадиров)/ Сост.
К.С.Орманджи.- М.: Россельхозиздат, 1986.-303 с. Пильщиков В.М.
Практикум по эксплуатации МТП.- М.:Колос,1976.
. Пособие по эксплуатации
машинно-тракторного парка/ Н.Э. ФерЛе, В.З. Бубнов, А.В. Еленев, Л.М.
Пильщиков.-М.: Колос, 1978
5. Справочно-нормативные
материалы по экономике и организации сельскохозяйственного производства.-
Ярославль:Верхне-Волж. изд-во, 1983.
6. .Справочник
механизатора./Подред. А.Н.Карпенко.- 3-е изд.перер.и доп.-М.: Агропромиз-дат,
1983.
7. Иофинов С.А., Хабатов Р.Ш.
Курсовое и дипломное проектирование по эксплуатации МТП,- 2-е изд.перер.и доп.
,М.:Агропроиздат,1989.
8. Пособие по эксплуатации
машинно-тракторного парка/ Н.Э. ФерЛе, В.З. Бубнов, А.В. Еленев, Л.М.
Пильщиков.-М.: Колос, 1978.
. Справочник по настройке и
регулировке сельскохозяйственных машин /Ф.Ё.Аниферов, Е.И.Давидсон,
П.И.Домарацкий и др.-Сост. А. Б. Лурье. -Л.: Колор, 1980.
10. Механизация послеуборочной
обработки и хранения зерна и семян /М.С.Кулагин, В.М.Соловьев, В.С.Желтов. -М.:
Колос, 1979.
11. Чижиков А.Д., Бабченко В.Д.,
Машков Е.А. Операционная технология послеуборочной обработки и хранения зерна (
в Нечерноземной зоне). - М.: Россельхоз издат, 1981