Расчет и оптимизация электрической цепи
Курсовая работа
«Расчет и оптимизация электрической цепи»
Новокузнецк,
2010
Введение
Целью данной работы является
математическое моделирование электрической схемы, расчет этой схемы и
оптимизация. Оптимизация заключается в нахождении таких значений заданных
элементов оптимизации, чтобы функция изменения напряжения во времени стала
близка к идеальной.
Для простоты оптимизации вводится
целевая функция, которая по сути является суммой квадратов разностей идеальной
и оптимизируемой функций в моменты времени, определяемые частотой дискретизации
и временем окончания дискретизации.
Задачи
Для заданной схемы электрической
цепи (рис. 1) необходимо:
1) Рассчитать электрическую
цепь:
a) Найти значение токов во
всех ветвях.
b) Найти напряжение на нагрузке
Q
элементов, где Q - L2, C3.
2) Оптимизировать схему,
варьируя параметрами R3 и C2, чтобы напряжение на нагрузке u*H(t)=15*sin (w*t+2π/3). Время для произведения задачи оптимизации выбрать 1 мин с начала
функционирования электрической схемы, время дискретизации 0,1 с.
Метод многомерной оптимизации: метод
покоординатного спуска.
Метод одномерной оптимизации: метод
простого перебора.
Исходные данные:
1. Идеальный источник напряжения:
u(t)=100*sin(wt), f=50Гц;
2. Элементы с постоянными характеристиками:
а) Резисторы:
R1=500 Ом, R2=1000 Ом, R4=100 Ом;
б) Конденсаторы:
С1=100 мкФ, С 3=200
мкФ;
в) Катушки индуктивности:
L1=1 мГн, L2=5 мГн;
3. Элементы с переменными
характеристиками:
а) R3=[100 Омч1000 Ом], R3ном=500 Ом;
б) С2=[20 мкФч100 мкФ], С2ном=50
мкФ;
1. Расчет электрической
цепи
1.1
Ручной расчет
Найдем сопротивления элементов и
ветвей:
По первому и второму
закону Кирхгофа получаем систему:
Приведем подобные и
подставим известные значения:
Упростим систему,
используя метод контурных токов. Для этого выразим
Тогда она примет вид:
Найдем решение системы
по методу Халецкого.
Результат решения
методом Халецкого:
Подставив в замену
метода контурных токов, получим:
Проверим правильность
найденного решения с помощью уравнения баланса мощностей источника и приемников
электрической энергии.
Значит, найденное
решение правильно.
Далее, рассчитаем
значение напряжения на заданной нагрузке при номинальных параметрах. Для этого
рассчитаем сопротивление на участке L2,
C3.
.
Таким образом, изменение
напряжения на нагрузке описывается уравнением uH(t)=23,995*sin
(w*t+1.571). Очевидно, что оно не соответствует заданному u*H(t)=15*sin (w*t+2π/3).
1.2
Оптимизация схемы
Метод
покоординатного спуска.
Пусть нужно найти наименьшее
значение целевой функции u=f(M)=f (x1, x2,…, xn). Здесь через М
обозначена точка n-мерного пространства с координатами x1, x2,…, xn: M=(x1,
x2,…, xn). Выберем какую-нибудь начальную точку М0=(x10, x20,…, xn0) и
рассмотрим функцию f при фиксированных значениях всех переменных, кроме первой:
f (x1, x20, x30,…, xn0). Тогда она превратится в функцию одной переменной x1.
Изменяя эту переменную, будем двигаться от начальной точки x1=x10 в сторону убывания
функции, пока не дойдем до ее минимума при x1=x11, после которого она начинает
возрастать. Точку с координатами (x11, x20, x30,…, xn0) обозначим через М1, при
этом f(M0) >= f(M1).
Фиксируем теперь переменные: x1=x11,
x3= x30,…, xn=xn0 и рассмотрим функцию f как функцию одной переменной x2: f
(x11, x22, x30…, xn0). Изменяя x2, будем опять двигаться от начального значения
x2=x20 в сторону убывания функции, пока не дойдем до минимума при x2=x21. Точку
с координатами {x11, x21, x30… xn0} обозначим через М2, при этом f(M1)
>=f(M2).
Проведем такую же минимизацию
целевой функции по переменным x3, x4,…, xn. Дойдя до переменной xn, снова
вернемся к x1 и продолжим процесс. Эта процедура вполне оправдывает название
метода. С ее помощью мы построим последовательность точек М0, М1, М2,…, которой
соответствует монотонная последовательность значений функции f(M0) >= f
(M1)>= f(M2) >=… Обрывая ее на некотором шаге k можно приближенно принять
значение функции f(Mk) за ее наименьшее значение в рассматриваемой области.
Отметим, что данный метод сводит
задачу поиска наименьшего значения функции нескольких переменных к
многократному решению одномерных задач оптимизации. Если целевая функция f (x1,
x2,…, xn) задана явной формулой и является дифференцируемой, то мы можем вычисллить
ее частные производные и использовать их для определения направления убывания
функции по каждой переменной и поиска соответствующих одномерных минимумов. В
противном случае, когда явной формулы для целевой функции нет, одномерные
задачи следует решать с помощью одномерных методов.
На рис. 1 изображены линии уровня
некоторой функции двух переменных u= f (х, у). Вдоль этих линий функция
сохраняет постоянные значения, равные 1, 3, 5, 7, 9. Показана траектория поиска
ее наименьшего значения, которое достигается в точке О, с помощью метода
покоординатного спуска. При этом нужно ясно понимать, что рисунок служит только
для иллюстрации метода. Когда мы приступаем к решению реальной задачи
оптимизации, такого рисунка, содержащего в себе готовый ответ, у нас, конечно,
нет.
Пусть требуется решить задачу (2):
(x) ->min, х ОRn. (2)
В двумерном пространтсве R2. Решение
задачи (2) методом покоординатного спуска, иначе называемого методом Гаусса -
Зейделя, производят по следующей общей схеме.
Выбирают произвольно начальную точку
х(0) из области определения функции f(х). Приближения х(k) определяются
соотношениями (3):
(k+1)=x(k)+t(k) S(k) (k=0,1,2,…),
где вектор направления спуска s(k) -
это единичный вектор, совпадающий с каким-либо координатным направлением
(например, если S(k) параллелен х1, то S(k)= {1,0,0,…, 0}, если он параллелен
x2, то S(k)={0, 1, 0,…, 0} и т.д.); величина t(k) является решением задачи
одномерной минимизации:
f (x(k)+ts(k)) ->
min, t ОR1, (k=0,1,2,…),
и может определяться, в частности,
методом сканирования.
Детальная реализация общей схемы в
двумерном случае R2 дает траекторий приближения к точке х* методом
покоординатного спуска, состоящую из звеньев ломаной, соединяющих точки х(k),
х~(k), x (k+1) (k=0, 1, 2,) (рис. 2). При k=0, исходя из начальной точки
х(0)=(x1 (0), x2 (0)), находят точку х~(0)= (x1~(0), x2 (0)), минимума функции
одной переменной f (x1, x2 (0)); при этом f (x~(0))<=f (x(0)).Затем находят
точку минимума x(1) функции f (x1~(0), x2) по второй координате. Далее делают
следующий шаг вычислений при k=1. Полагают, что исходной точкой расчета
является х(1). Фиксируя вторую координату точки х(1), находят точку минимума
х~(1)= (x1~(1), x2 (1)), функции f (x1, x2 (1)) одной переменной x(1); при этом
f (x~(1))<=f (x(1))<=f (x(0)). Точку х(2) получают, минимизируя целевую
функцию f (x1~(1), x2), вновь по коорданате х2, фиксируя координату x1~(1),
точки x(1), и т.д.
Условием прекращения вычислительной
процедуры при достижении заданной точности e может служить неравенство
||x (k+1) - x(k) ||<e (4)
Блок-схема поиска минимума функции
двух переменных методом покоординатного спуска.
Метод
простого перебора
Будем предполагать, что искомый
минимум является строгим, то есть
при всех
,
и других точек локального минимума на отрезке нет. Предположим
также, что точка минимума
-
внутренняя точка отрезка. Зададимся точностью
, с которой будем приближённо отыскивать
. Приближённое значение точки минимума обозначим
, то есть
- это
такое число, что
Простейший способ обнаружить точку
с точностью
- это
перебирать точки
отрезка
с шагом
,
начиная с
, до
тех пор, пока не будет выполнено условие
, то есть пока функция не начнёт возрастать после точки минимума.
При этом точка
может
оказаться либо на отрезке, либо на отрезке (cм. следующий чертёж):
Рис. 9.15. Два случая расположения
точки минимума при

Если теперь положить
, то в любом из двух случаев будет выполнено неравенство
, то есть точка минимума будет найдена с нужной нам точностью. За
приближённое значение
нужно
теперь взять
.
Дополнительного вычисления функции при этом не потребуется, поскольку значение
уже было найдено ранее.
Если не предполагать, что локальный
минимум на отрезке
только
один и что точка минимума - внутренняя точка отрезка, то придётся изменить
метод так: вычислять значения
до тех
пор, пока точка
не
достигнет правого конца отрезка - точки
; на каждом шаге сравнивать текущее значение
с минимальным из предыдущих значений
, заменяя это минимальное значение
на
при
. Наконец, вычислить
(если точка
не
совпадает с последней из точек
) и
также сравнить с минимальным из предыдущих значений. После этой процедуры
будет приближённо равно
, а та точка, в которой получено значение функции, равное
- приближённым значением
точки
минимума.
Заметим, что метод простого перебора
при поиске точки экстремума аналогичен методу простого перебора при поиске
корня уравнения
.
Расчет оптимизации схемы
Многомерная оптимизация производится
методом покоординатного спуска, который заключается в пошаговом переходе от
начальных значений аргументов функции к значениям, при которых значения функции
удовлетворяют заданным условиям. В процессе каждого шага метода покоординатного
спуска в задаче выполняется метод одномерной оптимизации - метод простого
перебора, заключающийся в переборе всех заданных значений аргумента, при
котором значение оптимизируемой функции минимально.
Оптимизируемая функция имеет вид
, где t-время проведения задачи оптимизации, равное 1 мин.
Для нахождения значения тока на
заданной нагрузке преобразуем систему уравнений с учетом фазового сдвига между
током и напряжением:
Критерием завершения
итерационного процесса является выполнение одного из следующих условий:
,
где ε
- заданная точность поиска, k
- номер итерации.
Например, для времени
проведения задачи оптимизации 60 с, шага дискретизации 0,1 с и ε=1
получим значение целевой функции равное 2190326 при первой
итерации. Такое значение не удовлетворяет заданным условиям, поэтому мы
продолжаем поиск оптимального значения целевой функции в рамках значений наших
аргументов.
2.
Программная реализация
2.1
Информационное обеспечение
В процессе написания программы были
созданы следующие классы:
1) TVetv - класс ветвей схемы. Обладает полями:
а) FSopr:double - хранит общее
сопротивление ветви
б) XC, XL:double - хранит
емкостное и индуктивное сопротивления ветви.
в) FUgol: double - хранит
фазовый сдвиг между током и напряжением.
г) FSToka: double - хранит
значение силы тока ветви.
Содержит процедуру constructor create (Rv, Lv, Cv:double) - процедура создания
ветви при начальных значениях сопротивления, индуктивности, емкости.
2) TUchastok - класс участков оптимизации. Потомок класса TBrunch, обладает теми же
полями и полем FTension: Double, которое служит для хранения значения
напряжения на участке оптимизации. Содержит процедуры:
а) constructor create (Ru, Cu, t:double) создает участок оптимизации при задании начальных индуктивности,
емкости и момента времени оптимизации.
б) procedure Raschet вычисляет разницу dU между Uopt и Uisk за время проведения задачи оптимизации.
Переменные созданных классов:
1) Vetv: array [1..5] of TBrunch - массив ветвей электрической схемы.
2) Uchastok:TUchastok - участок оптимизации.
Массивы:
1) R, L, C: array [1..5] of Double - исходные данные ветви (сопротивление, индуктивность, емкость).
2) FOpt: array [1…50] of Double - массив значений целевой функции, хранящий значение каждой
итерации.
Действительные переменные:
1) Rv, Lv, Cv: Double - эти переменные используются при создании новой ветви.
2) Lu, Cu: double - эти переменные используются при создании участка оптимизации.
3) Ik1, Ik2, Ik3: Double - контурные токи схемы.
4) U, Uopt, Uisk: Double - напряжения (источника, заданное, на участке оптимизации,
разница между Uopt и Uisk) схемы.
5) t:double - время проведения задачи оптимизации.
6) minR, minC, minRv, minCv, min: double - используются в процессе оптимизации; minR - запоминает
оптимальное значение R3 во время итерационного
процесса, minC - запоминает оптимальное значение С2 во время
итерационного процесса.
7) z
- золотое сечение, определяется по формуле
8) S:array [1..6] of double; - массив для расчёта сопротивлений ветвей; используется для
решения системы уравнений методом Гаусса.
Целые переменные:
1) Time. Value: integer - максимальное время проведения задачи оптимизации; не более 60
с.
2) StepAngle. Value: integer - шаг дискретизации; не более 0,01 с.
3) Pogr. Value:
integer - погрешность ε.
Логические переменные:
1) Nominal: Boolean - логическая переменная; при истинном значение производится
расчет при номинальных значениях C2 и R3, при ложном - с учетом фазового сдвига между током и
напряжением.
2.2 Математический аппарат
моделирование электрический
сопротивление халецкий
Одним из прямых (точных) методов
решения систем линейных уравнений является метод основанный на схеме Халецкого.
Пусть система линейных уравнений
дана в матричном виде.
=b (1)
где А - квадратная матрица порядка
n, а x, b - векторы столбцы.
Представим матрицу А в виде
произведения нижней треугольной матрицы С и верхней треугольной матрицы В с
единичной диагональю, т.е.
А=СВ,
где
Причем элементы сij и bij определяются по формулам:
(2)
Уравнение (1) можно записать в
следующем виде:
CBx=b. (3)
Произведение Bx матрицы B на
вектор-столбец x является вектором-столбцом, который обозначим через y:
=y. (4)
Тогда уравнение (2) перепишем в
виде:
=b. (5)
Здесь элементы cij известны, так как
матрица А системы (1) считается уже разложенной на произведение двух
треугольных матриц С и В.
(6)
неизвестные yi удобно вычислять вместе
с элементами bij.
После того как все yi определены по формулам (6),
подставляем их в уравнение (4).
Так как коэффициенты bij определены (2),
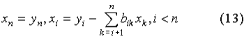
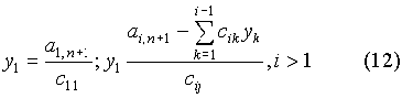
то значения неизвестных, начиная с последнего, вычисляем по следующим формулам:
2.3 Алгоритмическое
обеспечение
Алгоритм оптимизации:
2.4 Программное
обеспечение
Написанная программа представляет
собой несколько файлов. Среди них самыми важными являются Project1.dpr, Unit1.dfm и Unit1.pas.
Файл Project1.dpr, проект программ,
связывает между собой все файлы, входящие в состав программы.
Файл Unit1.dfm - внешний вид,
интерфейс программы. Подробнее о нем рассказано в п. 3.2.
Файл Unit1.pas содержит весь
программный код и представляет собой используемые функции, процедуры,
переменные и компоненты. Подробнее его можно рассмотреть в приложении.
Файл Shema.jpg необходим для
отображения электрической схемы, для которой производились расчёты и
оптимизация
3.
Скриншот
Рис. 5 - Скриншот «Ввод
данных»
Рис. 6 - Скриншот
«Расчёт схемы»
Рис. 7- Скриншот
«Оптимизация схемы»
Заключение
В процессе разработки программы было
выяснено, что решение системы уравнений методом Халецкого легко
программируется. Выяснено, что матричным методом можно решать системы из любого
количества уравнений.
Также был рассмотрен метод
многомерной оптимизации - метод покоординатного спуска. Этот метод легок в
программировании, так как не требует знания функции в явном виде. Но у этого
метода есть недостаток: в случае, если функция быстрее всего убывает в сторону
какого-то одного предела, то достигнув этого предела, оптимизация завершается,
хотя, возможно, что это только точка локального минимума.
Приложения
Unit1;, Messages,
SysUtils, Variants, Classes, Graphics, Controls, Forms,, StdCtrls, Grids,
ComCtrls, Spin, ExtCtrls, jpeg;= class: double;, XL:double;: double;:
double;create (Rv, Lv, Cv:double);;= class(TVetv): Double;create (Lu, Cu, t:
Double);Raschet;;= class(TForm): TPageControl;: TTabSheet;: TTabSheet;: TMemo;:
TStringGrid;: TButton;: TLabel;: TLabel;: TSpinEdit;: TSpinEdit;: TSpinEdit;:
TLabel;: TLabel;: TLabel;: TLabel;: TLabel;: TLabel;: TButton;: TTabSheet;:
TLabel;: TStringGrid;: TButton;: TImage;: TRadioGroup;Vvod (Sender:
TObject);Button1Click (Sender: TObject);Haletsky (t:double);Button2Click
(Sender: TObject);Face (Sender: TObject);Button3Click (Sender: TObject);RadioGroup1Click
(Sender: TObject);
{Private declarations}
{Public declarations};:
TForm1;:array [1..6] of TVetv;:TUchastok;, c, l, s:array [1..6] of double;, Lv,
Cv: Double;: Boolean;:array [1..20000] of double;, Cu: double;, U, Uopt, Uisk,
dU, C2, Q, Q1, Q2:double;:array [1..50] of double;:integer;
{$R *.dfm}TVetv.create
(Rv, Lv, Cv:double);create;Cv=0 then else XC:=1/(100*Pi*Cv);Lv=0 then else
XL:=100*Pi*Lv;:=sqrt (sqr(Rv)+sqr (XL-XC));(Rv=0) and ((XL-XC)<0) then
FUgol:=-Pi/2 else(Rv=0) and((XL-XC)>0) then FUgol:=Pi/2
else:=arctan((XL-XC)/Rv);;TUchastok.create (Lu, Cu, t: Double);create
(1,1,1);:=sqrt (sqr(XL-XC));((XL-XC)<0) then FUgol:=-Pi/2 else((XL-XC)>0)
then FUgol:=Pi/2;:=Vetv[5].FSToka;Nominal then
FNapr:=FSopr*FSTokaFNapr:=FSopr*FSToka*sin (100*Pi*t+FUgol);;TUchastok.
Raschet;:=0; Uisk:=0; Uopt:=0; Q:=0;t<=Form1. Time. Value do.
Haletsky(t);:=L[3] - 0.001; Cu:=C[3];:=TUchastok.create (Lu, Cu,
t);:=15*sin((100*Pi*t)*Pi/180+2*Pi/3);:=Uchastok.FNapr*sin((100*Pi*t)*Pi/180+Uchastok.FUgol);:=Q+sqr
(Uopt-Uisk);:=t+Form1. StepAngle. Value/10;;;TForm1. Vvod (Sender:
TObject);i:integer;[1]:=500; R[2]:=1000; R[3]:=0; R[4]:=0; R[6]:=100;[1]:=0;
L[2]:=0; L[3]:=0.001+0.005; L[4]:=0; L[5]:=0; L[6]:=0;[1]:=0; C[2]:=0.0001;
C[3]:=0.0002; C[5]:=0; C[6]:=0;nominal then begin[5]:=500;[4]:=0.00005;;i:=1 to
6 do:=R[i]; Lv:=L[i]; Cv:=C[i];[i]:=TVetv.create (Rv, Lv, Cv);;;TForm1.
Button1Click (Sender: TObject);i:integer;:=True;
// Ввод данных. Cells
[0,0]:='№ ветви';. Cells [1,0]:='Сопротивление, Ом';. Cells [2,0]:='Угол
сдвига, рад';. Cells [3,0]:='Сила тока, А';(sender);i:=1 to 6 do.cells [0,
i]:=inttostr(i);.cells [1, i]:=floattostr (Vetv[i].FSopr);.cells [2,
i]:=floattostr (Vetv[i].FUgol);;(t);i:=1 to 6 do StringGrid1.cells [3,
i]:=floattostr (Vetv[i].FSToka);:=L[3] - 0.001; Cu:=C[3];:=TUchastok.create
(Lu, Cu, t);. Caption:=floattostr (abs(Vetv[1].FSToka*U))+' = '+floattostr
(sqr(Vetv[1].FSToka)*S[1]+sqr (Vetv[2].FSToka)*S[2]+sqr
(Vetv[3].FSToka)*S[3]+sqr (Vetv[4].FSToka)*S[4]+sqr (Vetv[5].FSToka)*S[5]+sqr
(Vetv[6].FSToka)*S[6]);. Caption:=floattostr (Uchastok.FNapr)+'*sin
(wt+('+floattostr (Uchastok.FUgol)+'))';;TForm1. Haletsky (t:double);a, d,
c:array [1.. 3,1..3] of double;, x, y:array [1..3] of double;, i, n: Integer;,
Ik2, Ik3: Double;:=3;Nominal theni:=1 to 6 do[i]:=Vetv[i].FSopr;:=100;i:=1 to 6
do[i]:=abs (Vetv[i].FSopr*sin((100*Pi*t)*Pi/180+Vetv[i].FUgol));:=abs
(100*sin((100*Pi*t)*Pi/180));;[1,1]:=S[1]+S[4]+S[5]; a [1,2]:=-S[5]; a
[1,3]:=-S[4];[2,1]:=-S[5]; a [2,2]:=S[2]+S[5]+S[6]; a
[2,3]:=-S[6];[3,1]:=-S[4]; a [3,2]:=-S[6]; a [3,3]:=S[3]+S[6]+S[4];[1]:=U;
b[2]:=0; b[3]:=0;i:=1 to 3 do:=1;[i, j]:=a [i, j];;j:=1 to 3 do[1, j]:=a [1,
j]/d [1,1];[2,2]:=a [2,2] - d [2,1]*c [1,2];[2,3]:=1/d [2,2]*(a [2,3] - d
[2,1]*c [1,3]);[3,2]:=a [3,2] - d [3,1]*c [1,2];[3,3]:=a [3,3] - d [3,1]*c
[1,3] - d [3,2]*c [2,3];[1]:=b[1]/d [1,1];[2]:=1/d [2,2]*(b[2] - d
[2,1]*y[1]);[3]:=1/d [3,3]*(b[3] - d [3,1]*y[1] - d
[3,2]*y[2]);[3]:=y[3];[2]:=y[2] - c [2,3]*x[3];[1]:=y[1] - c [1,2]*x[2] - c
[1,3]*x[3];:=x[1];:=x[2];:=x[3];[1].FSToka:=Ik1;[2].FSToka:=Ik2;[3].FSToka:=Ik3;[4].FSToka:=Ik1-Ik3;[5].FSToka:=Ik1-Ik2;[6].FSToka:=Ik3-ik2;;TForm1.
Button2Click (Sender: TObject);minR, minC, MaxR, MaxC, C1, C2, R1, R2, z,
min:double;1;g:=1 to 100 do. Cells [0, g]:='';. Cells [1, g]:='';. Cells [2,
g]:='';. Cells [3, g]:='';;:=False;. Cells [0,0]:='№ итер.';. Cells
[1,0]:='Емкость, Ф';. Cells [2,0]:='Сопротивление, Ом';. Cells [3,0]:='Целевая
функция';:=1;[4]:=0.00005; R[5]:=500;(Sender);. Raschet;:=Q;. Cells [0,
g]:=inttostr(g);. Cells [1, g]:=floattostr (C[4]);. Cells [2, g]:=floattostr
(R[5]);. Cells [3, g]:=floattostr(min);min<pogr. Value then goto
1;:=(sqrt(5) - 1)/2; C1:=0; C2:=0; R1:=0; R2:=0;:=False;:=0.00002;
MinR:=100;:=0.0001; MaxR:=1000;not Nominal do:=g+1;[4]:=minC;
R[5]:=minR+100;(Sender);. Raschet;:=Q;[4]:=maxC; R[5]:=maxR+100;(Sender);.
Raschet;:=Q;Q1=Q2
then:=minC+z*(MaxC-MinC);:=maxC-z*(MaxC-MinC);[g]:=Q1;;Q1<Q2
then:=minC;:=maxC-z*(MaxC-MinC);[g]:=Q1;;Q1>Q2
then:=minC+z*(MaxC-MinC);:=maxC;[g]:=Q2;;:=C1;:=C2;((abs (QOpt[g])<1) or ((g>1)
and (abs (Qopt[g] - Qopt [g-1])<1))) then Nominal:=True;. Cells [0,
g]:=inttostr(g);. Cells [1, g]:=floattostr(minc);. Cells [2,
g]:=floattostr(minr);. Cells [3, g]:=floattostr
(Qopt[g]);;C2-C1<0.001;:=g+1;[4]:=minC; R[5]:=minR+100;(Sender);.
Raschet;:=Q;[4]:=maxC; R[5]:=maxR+100;(Sender);. Raschet;:=Q;Q1=Q2
then:=minR+z*(MaxR-MinR);:=maxR-z*(MaxR-MinR);[g]:=Q1;;Q1<Q2
then:=minR;:=maxR-z*(MaxR-MinR);[g]:=Q1;;Q1>Q2
then:=minR+z*(MaxR-MinR);:=maxR;[g]:=Q2;;:=R1;:=R2;((abs (QOpt[g])<1) or
((g>1) and (abs (Qopt[g] - Qopt [g-1])<1))) then Nominal:=True;. Cells
[0, g]:=inttostr(g);. Cells [1, g]:=floattostr(minc);. Cells [2,
g]:=floattostr(minr);. Cells [3, g]:=floattostr (Qopt[g]);;R2-R1<0.001;
// Вывод данных;
:end;TForm1. Face
(Sender: TObject);
Form1.
Caption:='Расчёт и оптимизация электрической цепи';
label2.
Caption:='Время проведения задачи'+#13#10+'оптимизации, с';
label5.
Caption:='Время' +#13#10+'дискретизации, с/100';
label8.
Caption:='Погрешность';
label9.
Caption:='Характеристики ветвей';
Label6.
Caption:='Баланс мощностей';
Label4.
Caption:='Напряжение на оптимизируемом участке';
Label7.
Caption:='Значения изменяемых величин и целевой функции';
Shema. Picture.
LoadFromFile ('Shema.jpg');. Proportional:=True;. Visible:=true;.
Visible:=false;. Visible:=false;. Visible:=false;. Visible:=false;.
Visible:=false;. Visible:=false;;TForm1. Button3Click (Sender:
TObject);;;TForm1. RadioGroup1Click (Sender: TObject);RadioGroup1. ItemIndex=0
then. Visible:=false;. Visible:=false;. Visible:=false;. Visible:=false;. Visible:=false;.
Visible:=false;. Value:=1;. Value:=1;. Value:=1;;RadioGroup1. ItemIndex=1 then.
Visible:=true;. Visible:=true;. Visible:=true;. Visible:=true;. Visible:=true;.
Visible:=true; end; end; end.