Корреляция между хозяйственно-полезными признаками у лошадей русской тяжеловозной породы
Оглавление
Введение
1.Обзор
литературы
2.
Характеристика лошадей русской тяжёловозной породы
3.
Хозяйственно-полезные признаки у лошадей
4. Основные
линии в породе
5. Методы
совершенствования и перспективы разведения
6. Результаты
собственных исследований
6.1. Расчет
основных статистических показателей
6.2 Вычисление
коэффициентов корреляции и регрессии
6.3 Определить
достоверность результатов
6.4 Сравнение
результатов полученных данных
Заключение
Список
используемой литературы
Введение
В сельскохозяйственной практике создание новых сортов растений и пород
сельскохозяйственных животных идет под воздействием искусственного отбора и
подбора. Ч. Дарвин различал два вида искусственного отбора - бессознательный и
сознательный, или методический. При бессознательном отборе человек мало
заботился об условиях для содержания своих животных и не стремился к выведению
определенного типа животных с заранее предусмотренными признаками. Понятно, что
при бессознательном отборе отсутствовало целесообразное составление пар для
получения потомства, в котором были бы усилены желательные признаки обоих
родителей. Тем не менее бессознательный отбор способствовал значительному
улучшению животных, растений и приспособлению их к потребностям человека.
Применение целесообразного спаривания - высший этап разведения
сельскохозяйственных животных и растений, характерный для методического
искусственного отбора.
Известно, что наиболее существенные различия у животных и растений
наблюдаются в тех признаках и свойствах, которые служат объектами отбора.
Например, лошади чистокровной верховой породы обладают качествами,
обусловливающими ее способность к исключительно резвому галопу (нежная, сухая
конституция, относительно слабое развитие пищеварительного тракта, высокая
интенсивность окислительных процессов и др.). Эти качества, полезные человеку,
делают чистокровную верховую лошадь не приспособленной к самостоятельному
существованию на пастбищах, без подкормки, не только в зимнее время, но и
летом.
Эти признаки бесполезны или даже вредны для животных, так как они мешают
им вести самостоятельную жизнь в естественной обстановке без заботы со стороны
человека. В ряде случаев, когда человек заинтересован в выведении
конституционально крепких животных, серьезных противоречий между требованиями
организма животного и желаниями человека не бывает. В этом случае можно
использовать условия естественной обстановки существования животных и для
усиления желательных признаков. Например, при выведении пород лошадей,
приспособленных к условиям степного табунного содержания, лошади подвергаются
закалке во время длительной пастьбы и пребывания зимой в холодных помещениях и
даже под открытым небом.
1. Обзор
литературы
Для этой курсовой работы приемлемы такие определения как:
Генетика относится к биологическим наукам. Её название происходит от
латинского слова geneo (рождаю),
или genus (род), указывающего, что она изучает
наследственность организмов. Генетика - наука о наследственности и
изменчивости. Наследственность обычно определяют как способность организмов воспроизводить
себе подобное, как свойство родительских особей передавать свои признаки и
свойства потомству. Этим термином определяют также сходство родительских особей
между собой.
Задачей генетики является изучение передачи наследственности от родителей
потомкам. Преемственность между поколениями осуществляется путем полового,
бесполого и вегетативного размножения. При половом размножении возникновение
нового поколения происходит в результате слияния материнской и отцовской
половых клеток, поэтому потомки несут признаки обоих родительских форм. Половые
клетки составляют ничтожно малую долю многоклеточного организма. Они содержат
наследственную информацию - совокупность генов - единиц наследственности.
Наследственная информация определяет четкий план онтогенеза а процессе которого
развиваются и формируются специфические для данной особи свойства и признаки.
Корреля́ция - статистическая взаимосвязь двух или нескольких
случайных величин (либо величин, которые можно с некоторой допустимой степенью
точности считать таковыми). При этом, изменения одной или нескольких из этих
величин приводят к систематическому изменению другой или других величин.
Математической мерой корреляции двух случайных величин служит коэффициент
корреляции.
Некоторые виды коэффициентов корреляции могут быть положительными или
отрицательными (возможна также ситуация отсутствия статистической взаимосвязи -
например, для независимых случайных величин). Если предполагается, что на
значениях переменных задано отношение строгого порядка, то отрицательная
корреляция - корреляция, при которой увеличение одной переменной связано с
уменьшением другой переменной, при этом коэффициент корреляции может быть
отрицательным; положительная корреляция в таких условиях - корреляция, при
которой увеличение одной переменной связано с увеличением другой переменной,
при этом коэффициент корреляции может быть положительным.
Коэффициент корреляции или парный коэффициент корреляции в теории
вероятностей и статистике - это показатель характера взаимного стохастического
влияния изменения двух случайных величин. Коэффициент корреляции обозначается
латинской буквой R в математической статистике (r в статистике) и может
принимать значения от −1 до +1. Если значение по модулю находится ближе к
1, то это означает наличие сильной связи, а если ближе к 0 - связь отсутствует
или является существенно нелинейной. При коэффициенте корреляции равном по
модулю единице говорят о функциональной связи (а именно линейной зависимости),
то есть изменения двух величин можно описать линейной функцией.
Корреляции наблюдаются как между качественными, так и между
количественными признаками. Использование коэффициента корреляции не позволяет
установить причинно следственные особенности между сопряженными признаками, то
есть какие изменения признаков будут следствием и какие причиной. Тем не менее
установление корреляции как метода статистического анализа в сочетании с
биологическими методами дает возможность более глубоко вскрыть связь между
признаками, которые надо учитывать при селекции животных. Различные признаки
коррелируют между собой по-разному.
Разная степень отрицательной корреляции обнаружена между величиной удоя и
способностью к откорму коров, между густой и длинной шерсти овец, между тониной
ее и длиной. Величина положительной и отрицательной корреляции изменяется в
зависимости от направления отбора, условий кормления и содержания животных.
2.
Характеристика лошадей русской тяжёловозной породы
Лошадь - универсальное сельскохозяйственное животное, обладающее
разносторонними свойствами, полезными для человека. На протяжении веков ее роль
в социально-экономической сфере менялась в точном соответствии с изменениями
уклада самой жизни. В старину значение лошади было столь велико, что
преднамеренный убой ее в христианских религиях считался тягчайшим грехом. Лишь
в середине XIX в. (1866-1889 гг.) в Европе, в том числе и в России,
специальными декретами было разрешено забивать лошадей на мясо. Это произошло в
результате интенсивного развития железнодорожного и мореходного сообщений,
отчасти заменивших собой конные грузоперевозки. С начала нынешнего века в связи
с машинизацией отраслей роль лошади в экономической и военной областях жизни
государства стала уменьшаться. В меньшей степени развитие цивилизации сказалось
на ослаблении значения лошади как продуктивного животного в национальных
регионах России (Якутии, Башкирии, Татарии и т.д.), население которых издревле
потребляло конину в качестве основного мясного продукта питания. В целом же в
России коневодство в силу объективных и субъективных факторов сократилось.
Вместе с тем изменение экономических условий в стране в настоящее время,
внедрение свободных рыночных отношений позволяют рассчитывать на возрождение
этой отрасли животноводства до экономически значимой величины.
Социально-экономическую значимость лошади обеспечивают универсальность ее
использования, высокая интенсивность роста молодняка и нагула на пастбище,
низкие затраты труда и материальных средств на единицу продукции, высокая
биологическая ценность конины и кобыльего молока. Кроме того, как табунное
животное лошадь превосходит все другие виды животных. Она способна использовать
не только летние пастбища, но и тебеневать зимой, добывая из-под снега остатки
растительного корма в объемах, позволяющих сохранять жизнеспособность при легковосполнимых
потерях весовых кондиций и упитанности. Специализированные же породы табунных
лошадей, таких, например, как якутская, алтайская и другие, способны сохранять
в зимний период на достаточном уровне упитанность, рост и развитие молодняка,
используя исключительно подснежный корм. К тому же табунные лошади эффективнее
животных других видов (овец, крупного рогатого скота) используют
малообводненные степные и полупустынные территории, а также труднодоступные
горные, горно-таежные и таежные пастбища. Установлено, что в зонах табунного
коневодства себестоимость конины в 1,9-2,2 раза ниже себестоимости говядины и в
1,2-1,6 раза - баранины.
Продуктивное коневодство не требует больших трудовых и финансовых затрат.
При этом лошади содержатся круглогодично на пастбище, а расход кормов в зимний
период не превышает 5-8 % обычной стойловой нормы.
С точки зрения рационального сочетания отраслей в хозяйствах различных
производственных типов коневодство хорошо дополняет другие направления.
Возможность одновременного использования лошади в качестве рабочего и
транспортного средства и как продуктивного животного делает ее привлекательным
объектом для разведения в крестьянских хозяйствах и на личном подворье. Пара
лошадей заменяет в работе трактор тина Т-16, экономя при этом 3-5,5 т топлива в
год. Молодняк в период пребывания под матерью (до 6 мес) без специального
кормления обеспечивает до 2 кг прироста живой массы в сутки, к отъему масса его
составляет от 150 до 200 кг, в возрасте одного года - 200-300, к двум годам - 500
кг.
Высокая биологическая ценность конины обусловлена ее химическими
компонентами - наличием ненасыщенных жирных кислот (линолевой, линолеиовой),
которые в отличие от говяжьего и свиного жира не образуют в организме человека
нерастворимых стеринов. В качестве незаменимого компонента конина входит в
ценные и деликатесные сорта колбас. Высокие вкусовые и питательные свойства
имеют консервированные продукты из молодой конины. Кобылье молоко по
химическому составу и пищевой ценности исключительно близко женскому молоку.
Относительно высокое содержание сахара и небольшое количество жира в сравнении
с коровьим молоком позволяют производить из кобыльего молока деликатесный,
обладающий лечебными свойствами напиток - кумыс.
Универсальность использования, оригинальность ряда хозяйственно полезных
качеств и признаков, присущих лошади, позволяют надеяться на широкое ее
использование в изменяющихся условиях хозяйствования.1.2.Современное состояние
коневодства. Численность лошадей в России - один из главных показателей значения
коневодства в экономике страны - на протяжении текущего столетия менялась в
точном соответствии с происходящими общественными и социально-экономическими
процессами. В границах нынешней России в начале века насчитывалось 20,2 млн
лошадей (в целом в Российской Империи в 1913 г. их было 38 млн). Лошадь
использовали главным образом в натуральном крестьянском хозяйстве, а также в
качестве боевой единицы в армии. Во владении крестьян находилось 27,5 млн
лошадей. В Казанской, Уфимской, Оренбургской и Самарской губерниях лошадь
использовали как продуктивное животное в соответствии с национальными
традициями проживавшего там населения. Всего у кочевников было 4,5 млн лошадей.
В донских степях, на Северном Кавказе, на Кубани, в степном левобережье
Украины широко функционировало товарное верховое коневодство, поставлявшее
лошадей в армию. Саратовское и Самарское Заволжье, Оренбургская область и Южный
Урал поставляли в города Центральной России извозчичью лошадь. Воронежская и
Тамбовская губернии производили для Москвы, Петербурга и других промышленных
центров тяжелую упряжную лошадь «битюг». В восточной части Алтайского края и на
территории современных Кемеровской и Новосибирской областей выращивали
утяжеленную «кузнецкую» лошадь, использовавшуюся в обозах по Великому
Сибирскому пути.
Как видно, лошадей разного назначения выращивали в определенных
конепроизводящих регионах, поставляя их затем через конские ярмарки к месту
использования - в потребляющие регионы. В этот период ежегодно на ярмарках
предлагали 600-800 тыс. лошадей, продавали 350-400 тыс. Значительный доход
приносил экспорт лошадей, объемы которого достигали 92 тыс. голов в год.
Рисунок 1 - русская тяжеловозная порода
Это некрупная, выносливая и сильная лошадь, полученная путем скрещивания
бельгийских «арденнов» (из горной местности Арденны) с местными рабочими
лошадьми. Русский тяжеловоз способен пройти шагом дистанцию в 2000 м с силой
тяги в 150 кг, что соответствует массе воза в 1,5-2 тонны, за 17-18 минут.
Высота в холке - 150 см, вес жеребца - 600-650 кг. Характерные масти - рыжая и
бурая.
Русская тяжеловозная порода (рис. 1). Выведение русской тяжеловозной
породы началось с середины XIX в. В этом время в Россию стали завозить не
крупных, но энергичных, выносливых и нетребовательных к условиям содержания
мелких тяжеловозных лошадей - арденов. Это бельгийские лошади универсального
типа, которые стали быстро распространяться в России.
Небольшой рост, высокая работоспособность, легкие, гармоничные движения
арденов вызвали к ним симпатии.
В 1960-х годах начинается организация арденских заводов в России, и к
началу XX в. в России уже было достаточно ценного племенного материала для
самостоятельного разведения некрупных тяжеловозных лошадей.
После 1917 г. сохранилась лишь часть лошадей ар-денской породы, с
которыми и началась планомерная племенная работа по созданию некрупной
сельскохозяйственной лошади, сочетающей хорошую работоспособность и
гармоничность сложения с неприхотливостью к условиям кормления и содержания.
В результате длительной направленной заводской работы был создан очень
характерный тип лошади, резко отличающийся от зарубежных арденов, и в 1952 г.
этому типу лошадей было присвоено наименование - русская тяжеловозная порода.
Лошади этой породы распространены в Европейской части России и в
некоторых районах Сибири. Они обладают высокой грузоподъемностью, выносливы,
подвижны, имеют крепкую конституцию, энергичный темперамент и при этом
добронравны и неприхотливы. Рост жеребцов 150 см, живая масса 589 кг, кобыл соответственно
- 148 см и 559 кг.
Масть чаще рыжая, гнедая, бурая, гнедо-рыже-ча-лая.
Темперамент энергичный, уравновешенный. Конституция крепкая. Отличаются
крепким здоровьем. Хорошо держат тело.
Голова у русских тяжеловозов сухая, легкая, широколобая, с живым глазом;
шея мускулистая, красиво изогнутая и достаточно длинная; холка широкая; спина
широкая, длинная, иногда мягковатая; поясница ровная, широкая и мускулистая,
пах короткий; круп широкий, раздвоенный, нормального наклона; грудная клетка
бочкообразного строения; ноги недлинные, сухие, крепкие, задние нередко немного
саблисты; оброслость ног небольшая, а грива и хвост густые, длинные. Масть
преобладает рыжая и рыже-чалая, реже гнедая и гнедо-чалая, бурая, иногда
встречаются вороные лошади.
Темперамент русских тяжеловозов энергичный, уравновешенный, характер
добронравный, конституция крепкая, сухая. Особенно ценное качество их -
неприхотливость к корму, условиям содержания и способность хорошо "держать
тело".
Русские тяжеловозы обладают большой долговечностью и высокой
плодовитостью. Выход жеребят на 100 кобыл составляет в конных заводах 80-85 %,
а в наиболее благоприятные годы поднимается до 90-95 %. Срок племенной службы
многих жеребцов и кобыл продолжается до 20-25-летнего возраста.
Кобылы и жеребцы конных заводов широко используются на хозяйственных
работах, что способствует выработке лучших рабочих качеств и отбору наиболее
работоспособных лошадей. В русском тяжеловозе ценится доброезжесть,
подвижность, выносливость. Русские тяжеловозы достаточно скороспелы. Они уже к
1,5 годам по высоте в холке достигают 96-97 %, по живой массе - 75 % взрослой
лошади и к 3 годам по всем промерам и живой массе почти полностью заканчивают
свой рост.
При небольшой высоте в холке русские тяжеловозы обладают отлично выраженными
упряжными формами и значительной живой массой. Обладая перечисленными выше
качествами, русские тяжеловозы служат не только хорошей сельскохозяйственной
лошадью, но и ценными улучшателями поголовья мелких местных лошадей северного
лесного типа.
Русская тяжеловозная порода также перспективна и для развивающегося
продуктивного коневодства. Хорошие результаты дал опыт использования русских
тяжеловозов в степях Бурятии и Казахстана в скрещиваниях с местными степными
лошадьми для получения более крупной мясной лошади. Помеси 1-го поколения
нормально развиваются в обычных табунных условиях и по своей живой массе
превосходят местных лошадей на 60-70 кг. Кобылы русской тяжеловозной породы
отличаются высокой молочностью. Так, на кумысной ферме ВНИИ коневодства их
молочная продуктивность составляла за полную лактацию (236 дней)2782 л молока.
Максимальная продуктивность получена от кобылы Лукошки - 4870 л за 305 дней
лактации.
Лошади достаточно скороспелы. К трем годам заканчивают свой рост.
Эта порода относится к группе мелких тяжеловозов и предназначена для
выполнения различных сельскохозяйственных работ.
Порода перспективна и для продуктивного коневодства. Хорошие результаты
получены в Бурятии при скрещивании с местными лошадьми. Кобылы русской
тяжеловозной породы отличаются высокой молочностью. Максимальный удой получен
от кобылы Кагорта - 3087 л (помимо молока, которое получил жеребенок).
Наиболее ценное племенное поголовье лошадей этой породы сосредоточено в
конных заводах: Куедин-ском, Пермском (Пермская область), Хреновском
{Воронежская область), Красногвардейском (Екатеринбургская область).
Благодаря высоким хозяйственно-полезным и племенным качествам русские
тяжеловозы стали в настоящее время самой популярной тяжеловозной породой.
3.
Хозяйственно-полезные признаки у лошадей
В современных экономических условиях в России выделяются четыре
направления коневодства: рабоче-пользовательное, продуктивное, спортивное и
племенное.
Рабоче-пользовательное коневодство, насчитывающее около 2 млн голов,
обеспечивает выполнение многообразных видов сельскохозяйственных и транспортных
работ в государственных, коллективных, акционерных, частных
сельскохозяйственных предприятиях и в личных подсобных хозяйствах населения.
Рабоче-пользовательных лошадей применяют для указанных выше целей с
учетом особенностей, связанных с природными характеристиками, укладом и
национальными традициями. Как правило, здесь лошадей используют более
универсально, в том числе и как продуктивных животных. Генетические параметры,
характеризующие работоспособность лошадей, изучены недостаточно. Во всесоюзном
научно исследовательском институте коневодства длительное время проводятся
исследования, позволяющие применить к оценке пород популяционный анализ и
использовать статистические параметры для дальнейшего совершенствования
селекционной работы. Работоспособность определяется резвостью лошади,
выносливостью и экстерьером. Между работоспособностью и этими показателями у
чистокровной природной породы выявлена высокая положительная корреляция:
свободный коэффициент корреляции равен 0,633. Частные коэффициенты корреляции
между работоспособностью и каждым фактором в отдельности неодинаковы:
коррелируют работоспособность и тип нервной деятельности (r=0,13); связь работоспособности с
конституцией и резвостью лошадей выразилась величиной r=0,22 и 0,54 соответственно.
По молочной продуктивности лошади отдельных пород (тяжеловозных)
приближаются к продуктивности товарных молочных стад в животноводстве.
Биологические возможности организма кобыл позволяют получать от рекордисток по
5-7 тыс. кг молока за 210 дней лактации. К сожалению, как и мясное, молочное
коневодство пока не получило широкого распространения в России. Даже известная
потребность в кумысе для нужд медицинских учреждений (около 20 тыс. т в год)
удовлетворяется лишь на 10 %. Здесь на первый план выдвигаются экономические и
технологические проблемы, обусловленные спецификой содержания дойных кобыл,
получения, переработки и реализации готового продукта и его относительно
высокой себестоимостью.
Спортивное коневодство в России носит ограниченный характер и
представляет собой использование лошадей для целей спорта, туризма и отдыха. В
этом качестве лошадь - один из самых дорогих видов спортивного, туристического
и прогулочного инвентаря. В прошлом имела место достаточная государственная
поддержка классических видов конного спорта, а его сравнительно большая
массовость (1000 спортивных школ, клубов и секций) достигалась за счет средств,
выделяемых на эти цели заинтересованными предприятиями и организациями. Перспективы
этого направления в коневодстве прямо связаны с уровнем экономического
благополучия России в будущем. Коммерциализация спортивного коневодства нашей
страны в настоящее время испытывает успех лишь в той мере, в которой удается
обеспечить демпинговую продажу лошадей среднего качества за рубеж. Единичные
случаи продажи лошадей по высоким ценам (десятки тысяч долларов) в страны с
развитым конным спортом не определяют экономическое благополучие отрасли в
целом.
Скаковой класс, отражающий работоспособность, характеризуется низким
уровнем коэффициента наследуемости, в среднем h2 = 0,085 с колебаниями от 0,036 до 0,143. Резвость лошади
проявляет более высокую величину наследуемости, h2=0,355, с колебаниями от 0.08 - 0,871. В среднем
генетическая обусловленность резвости лошадей тягловой породы выражается h2=0,30 - 0,35, а остальная доля
изменчивости резвостных показателей определена факторами среды.
Продуктивное (мясное табунное) коневодство также опирается в своем
развитии на давние национальные традиции и объективную реальность. Ведь именно
в тех регионах, где издавна существовала самостоятельная специализированная
отрасль табунного коневодства, хорошо используются возможности для ее
расширения. Здесь исторические традиции способствуют лучшему сельскохозяйственному
использованию подходящих природно-климатических условий с помощью разведения
табунных лошадей. Имеются идеальные объективные условия для ведения фермерского
хозяйства по данной специализации и меньших издержек, которые возникают в ходе
реформирования отношений собственности в бывших колхозах и совхозах. Весьма
показательна статистика, отражающая изменение численности лошадей по
экономическим районам России
4. Основные
линии в породе
Русская тяжеловозная лошадь выведена в хозяйствах Российской Федерации и
Украины. В селекционной работе использован метод сложного воспроизводительного
скрещивания местных кобыл с производителями упряжных пород, преимущественно с
бельгийскими горными арденами. В начальный период лошадей, полученных от таких
скрещиваний, называли арденами. С 1937 г. их стали называть русскими арденами.
В 1952 г. признано целесообразным данную группу лошадей называть русскими
тяжеловозами.
Основной метод племенной работы с русской тяжеловозной породой -
чистопородное разведение по линиям.
Первоначальная генеалогическая структура породы сложилась под
преобладающим влиянием двух родоначальников линий - Караула, рыж.,1909 г. и
Ларчика, рыж. в седине, 1918 г., причем лидирующую роль на протяжении многих
лет играли Караул и его потомки.
Генеалогический комплекс Караул х Ларчик являлся "золотым
кроссом" и лег в основу формирования новых наиболее прогрессивных и
многочисленных линий - Лазутчика, выведенной из линии Караула, Градуса,
выведенной из линии Лазутчика, и Коварного, выведенной из линии Ларчика.
С появлением повышенного спроса на укрупненного русского тяжеловоза, в
породе выведена в настоящее время новая линия Свиста (из линии Капитэна). Ее
представители выделяются крупным ростом, массивным телосложением и высокой
грузоподъемностью. В русской тяжеловозной породе культивируются также линии
Поденщика, Рубина, Рубикона.
Кроме мужских линий, в русской тяжеловозной породе выведен целый ряд
маточных семейств.
Наиболее ценное поголовье лошадей русской тяжеловозной породы находится в
конных заводах - Куединском, Пермской области, Вологодском, Вологодской
области, Мстиславском, Могилевской области Белоруссии.
5. Методы
совершенствования и перспективы разведения
Основным методом совершенствования породы является чистопородное
разведение по линиям. Главные признаки отбора: крупность, типичность,
правильный экстерьер с учетом результатов использования лошадей на
хозяйственных работах и в специальных испытаниях, а также здоровье,
долговечность, плодовитость и молочность. В породе культивируются линии
Караула, Ларчика, Рубикона, Капитена, Свиста и прогрессивные маточные
семейства. Ведется Государственная книга племенных лошадей русской тяжеловозной
породы.
Порода широко распространена почти во всех зонах страны. Лучшая часть
племенного поголовья лошадей русской тяжеловозной породы сосредоточена в таких
крупных специализированных конных заводах России, как Куединский (Пермская
область), Хреновской (Воронежская область), Вологодский, а также в Мстиславском
в Белоруссии и в Ново-Александровском в Луганской области на Украине. В
Башкирии русских тяжеловозов разводят на племрепродукторе ПО «Пищекомбинат»
Стерлитамакского района.
С появлением повышенного спроса на укрупненного русского тяжеловоза, в
породе выведена в настоящее время новая линия Свиста (из линии Капитэна). Ее
представители выделяются крупным ростом, массивным телосложением и высокой
грузоподъемностью. В русской тяжеловозной породе культивируются также линии
Поденщика, Рубина, Рубикона.
Кроме мужских линий, в русской тяжеловозной породе выведен целый ряд
маточных семейств.
Распространены русские тяжеловозы довольно широко: Урал, Север и
Северо-Запад европейской части России, а также некоторые районы Сибири и
Кавказа, Белоруссия и Украина.
Наиболее ценное поголовье лошадей русской тяжеловозной породы находится в
конных заводах - Куединском, Пермской области, Вологодском, Вологодской области,
Мстиславском, Могилевской области Белоруссии.
Современные теории наследования масти сформулированы в работах В.Е.
Кастла (1961). По этой теории, масть обусловлена взаимодействием генов C, B, A, E, D, R, P, W, G. Доминантный ген
С контролирует синтез в коже и волосах черно-коричневого и красно-желтого
пигментов. Его рецессивный ген СС в гомозиготе приводят к полному альбинизму.
Ген В влияет на образование черного, а при рецессивном генотипе bb - коричневого пигмента; А -
ограничивает образование черного пигмента на отдельных участках и по длине
волоса (появляется зональность). Локус имеет четыре аллея: А+ > А >аt >а. Аллель А+ обуславливает масть
дикой лошади Пржевальского, А - гнедую масть (АВ) домашней лошади, аллель а+ -
караковую масть (а+В), генотип аа - вороную масть. Ген Е влияет на
распространение черно-коричневого пигмента и имеет три аллеля: Еd>E>e. Ген
D не полностью доминантен; ген R вызывает чалость, а Р - пегость.
Действие гена W приводит к образованию белой масти
(глаза пигментированы), а ген G
определяет постепенное поседение (серая масть).
В настоящее время в схему наследования мастей внесены дополнения и
уточнения. Считают, что черно-коричневая пигментация обусловлена геном В, b, а красно-желтая - аллелям гена Y,y. Аллель СА приводит к образованию зональной «дикой» масти
(мышастая, гнедо-саврасая, рыже-саврасая); С устраняет зональность (агути) и
способствует осветлению окраски, что сопровождается появлением
пепельно-вороной, буланой и соловой мастей. Аллель С в гомозиготном рецессивном
состоянии (сс) утрачивает способность снижать интенсивность синтеза пигмента
вороной, гнедой и рыжей мастей. Локусы СА>СD>c; B, Y, и Е наследуются независимо друг от друга.
Используя цифровые данные признаков необходимо:
. Построить вариационный ряд и рассчитать основные статистические
показатели (М,δ,Cv) по исследуемым признакам, определить их статистические ошибки;
. Построить корреляционную решетку и определить взаимосвязь между
признаками;
. Определить достоверность полученных результатов с использованием
таблицы Стьюдента.
Высота в холке (х) и косая длина туловища (у) жеребцов русской
тяжеловозной породы, см.
|
х
|
у
|
х
|
у
|
х
|
у
|
х
|
у
|
|
150
|
163
|
147
|
148
|
154
|
164
|
153
|
155
|
|
150
|
154
|
156
|
169
|
145
|
152
|
155
|
163
|
|
149
|
160
|
145
|
150
|
147
|
152
|
142
|
148
|
|
147
|
153
|
147
|
152
|
152
|
152
|
150
|
165
|
|
156
|
163
|
159
|
170
|
159
|
159
|
156
|
165
|
|
153
|
168
|
159
|
170
|
152
|
158
|
157
|
160
|
150
|
163
|
171
|
148
|
157
|
152
|
161
|
|
148
|
157
|
157
|
168
|
155
|
168
|
148
|
155
|
|
150
|
162
|
151
|
158
|
149
|
154
|
149
|
154
|
|
152
|
161
|
150
|
156
|
153
|
155
|
151
|
158
|
|
|
|
|
|
|
|
|
|
|
6. Результаты
собственных исследований
.1 Расчет основных
статистических показателей
Найдём максимальное и минимальное значение признака - х - высоты в холке;
Хмах = 163 Хмin = 142
Установит величину классового промежутка - i, число классов k = 5;
Схема вариационного ряда;
|
№
|
Wн -
Wk
|
f
|
a
|
f *a
|
f * a2
|
|
1
|
142-146,2
|
̤̈
|
-1
|
-4
|
16
|
|
2
|
146,2-150,4
|
□:::.
|
0
|
0
|
0
|
|
3
|
150,4-154,6
|
□:
|
1
|
10
|
100
|
|
4
|
154,6-158,8
|
:::.
|
2
|
14
|
196
|
|
5
|
158,8-163
|
::
|
12
|
144
|
Вычисляем среднее значение нулевого класса:

.
Вычисляем
среднюю арифметическую величину:

155,86.
Вычисляем
стандартное отклонение:
Вычисляем
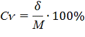
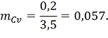
коэффициент вариации:

=0,6
Найти
максимальное и минимальное значение признака - у - косая длина туловища:
Умах=171
Уmin=148.
Установить
величину классового промежутка - i, k=5:

=4,6.
Cхема вариационного
ряда:
|
№
|
Wн-Wk
|
f
|
a
|
f f
|
|
|
1
|
148-152,6
|
□
|
-1
|
-8
|
64
|
|
2
|
152,6-157,2
|
□:
|
0
|
0
|
0
|
|
3
|
157,2-161,8
|
□
|
1
|
8
|
64
|
|
4
|
161,8-166,4
|
:::.
|
2
|
14
|
196
|
|
5
|
166,4-171
|
:::.
|
3
|
21
|
441
|
Среднее значение нулевого класса
Вычисляем среднюю арифметическую величину
Вычисляем стандартное отклонение
Найти коэффициент вариации
6.2
Вычисление коэффициентов корреляции и регрессии
Для определения коэффициента корреляции в большой выборке используют
корреляционную решетку. Корреляционная решетка представляет собой два
вариационных ряда, расположенных перпендикулярно друг другу.
Корреляционная решетка:
|
x
|
146,2-150,4
|
150,4-154,6
|
154,6-158,8
|
158,8-163
|
fy
|
ay
|
|
|
|
y
|
|
|
|
|
|
|
|
|
|
|
148-152,6
|
::
|
:.
|
.
|
|
|
8
|
-1
|
-8
|
8
|
|
152,6-157,2
|
|
□
|
:
|
|
|
10
|
0
|
0
|
0
|
|
157,2-161,8
|
|
.
|
::.
|
.
|
.
|
8
|
1
|
8
|
8
|
|
161,8-166,4
|
|
:.
|
.
|
:.
|
|
7
|
2
|
14
|
28
|
|
166,4-171
|
|
|
.
|
:.
|
:.
|
7
|
3
|
21
|
63
|
|
fx
|
4
|
15
|
10
|
7
|
4
|
|
|
|
|
|
ax
|
-1
|
0
|
1
|
2
|
3
|
|
|
|
|
|
|
-4
|
0
|
10
|
14
|
12
|
|
|
|
|
|
|
4
|
0
|
28
|
36
|
|
|
|
|
|
|
32
|
150
|
80
|
49
|
28
|
|
|
|
|
|
|
-32
|
0
|
80
|
98
|
84
|
|
|
|
|
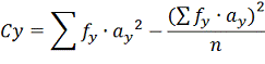
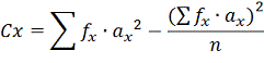
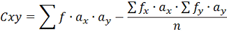
Вычислить коэффициент корреляции:
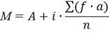
Вычислить коэффициент регрессии:
Вычислить коэффициент наследуемости:
6.3
Определить достоверность результатов
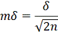
Вычислить ошибку средней арифметической

Вычислить
ошибку среднего квадратичного отклонения:
Вычислить
ошибку коэффициента вариации:
Вывод:



.
6.4 Сравнение
результатов полученных данных
|
Показатели
|
Х-высота в холке
|
Y-косая длина туловища
|
|
А
|
152,5
|
159,5
|
|
М
|
155,86
|
155,4
|
|
δ
|
0,92
|
0,32
|
|
Сѵ
|
0,6
|
0,2
|
|
С
|
52,4
|
76,3
|
|
R
|
0,466
|
0,815
|
При расчетах мы получили следующие данные вписанные в таблицу, кроме того
коэффициент корреляции для обоих показателей равен 0,61, коэффициент
наследуемости равен 1,22. Обобщая полученные данные, мы получили следующие
выводы; так как показатели высоты в холке (Х) не значительно отличаются от
показателей косой длины туловища (Y) и соответственно судя по коэффициенту корреляции сама корреляция
является средней и так как коэффициент корреляции положительный то и корреляция
положительная и это говорит о том, что при увеличении одного признака (Х) то и
значение второго признака (Y)
также увеличивается.
Заключение
В заключении своей курсовой работы хочу подвести итог всех полученных
данных которые говорят о том, что корреляция между хозяйственно-полезными
признаками у лошадей русской тяжеловозной породы имеет прямую зависимость от
изменения хотя бы одного признака изменяется и другие хотя и на малую величину.
Об этом говорят полученные мною результаты в частности коэффициент корреляции
равный 0,61 и коэффициент регрессии для значения Х равный 0,466 и для значения Y равно 0,815.
Эти данные получены путем расчета показателей изменчивости признаков
Х-высота в холке Y-косая длина
туловища эти признаки являются одними из важнейших признаков у лошадей русской
тяжеловозной породы. Эти признаки характеризуют породу и выявляют ее
изменчивость от других пород лошадей так же являющихся тягловыми.
Список
используемой литературы
лошадь тяжеловозная
порода
1.Иванова О.А. «Генетика». Изд. 2-е, переработанное и
дополненное./О.А. Иванова. - М.: Колос, 1974. - 431с.
. Меркурьева Е.К. «Генетика»/ Е.К. Меркурьева, З.В. Абрамова,
А.В. Бакай. - М.; Агропромиздат, 1991. - 446с.
4. www.bashplem.ru
<http://www.bashplem.ru>
. www.levada.spb.ru