Расчет конструкций нормального и усложненного типов балочной клети рабочей площадки

  • Вид работы:
    Дипломная (ВКР)
  • Предмет:
    Строительство
  • Язык:
    Русский
    ,
    Формат файла:
    MS Word
    1,21 Mb
  • Опубликовано:
    2011-07-03
Вы можете узнать стоимость помощи в написании студенческой работы.
Помощь в написании работы, которую точно примут!

Расчет конструкций нормального и усложненного типов балочной клети рабочей площадки

Министерство образования Российской Федерации

Государственное образовательное учреждение

Высшего профессионального образования

«Липецкий государственный технический университет»





Курсовая работа

по дисциплине: «Металлические конструкции»

Расчет конструкций нормального и усложненного типов балочной клети рабочей площадки

Содержание

1. Сравнение вариантов балочной клети

.1 Расчет балочной клети

.1.1 Расчет балочной клети нормального типа (шаг - 1 м)

.1.2 Расчет балочной клети нормального типа (шаг - 1,15 м)

.1.3 Расчет балочной клети усложненного типа

.2 Выбор варианта балочной клети

. Расчет главной балки

.1 Сбор нагрузок

.2 Определение расчетных усилий в сечениях балки

.3 Назначение высоты сечения балки

.4 Назначение размеров сечения стенки

.5 Определение размеров сечения поясов

.6 Изменения сечения балки

.7 Расчет поясных швов

.8 Проверка общей устойчивости балки

.9 Проверка местной устойчивости элементов балки

.10 Расчет опорного ребра

. Расчет центрально-сжатых сквозных колонн

.1 Подбор типа сечения и сечения стержня сквозной колонны

.1.1 Расчет относительно материальной оси Х

.1.2 Расчет относительно свободной оси У

.2 Расчет планок

.3 Расчет базы колонны

.3.1 Расчет плиты

.3.2 Расчет траверсы

.3.3 Расчет ребер усиления плиты

.4 Расчет оголовка колонны

Библиографический список

1. Сравнение вариантов балочной клети

В курсовой работе рассмотрено два типа балочной клети: нормальный и усложненный.

1.1 Расчет балочной клети

Временная нагрузка на настил: ;

Коэффициент надежности по нагрузке:;

Коэффициент надежности по нагрузке для собственного веса конструкции:;

Коэффициент, учитывающий развитие пластических деформаций: ;

Коэффициент условия работы:;

Отношение пролета настила к предельному прогибу:

для настила: ;

для второстепенных балок: ;

собственный шаг настила и второстепенных балок:

А - 16 м;

В - 5,8 м;

;

Материал настила - сталь: С275;

Расчетное сопротивление стали по пределу текучести: .

1.1.1 Расчет балочной клети нормального типа (шаг - 1,0 м)

Рис. 1.1. Схема нормального типа балочной клети, первый вариант

 

Расчет настила

Находим отношение толщины настила к пролету:

т.к. , тогда

Назначаем

Масса настила составляет .

Расчет балки настила

Погонная нагрузка на балку

Расчетный изгибающий момент:

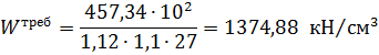
Требуемый момент сопротивления:

Принимаем I 27, ,.

Проверяем прогиб подобранной балки

 прогиб недопустим

Принимаем I 30, ,.

Проверяем прогиб подобранной балки

 прогиб допустим

Окончательно принимаем I 30

Масса балки настила на 1 м2 составляет:

.

1.1.2 Расчет балочной клети нормального типа (шаг - 1,15 м)

Рис. 1.2. Схема нормального типа балочной клети, второй вариант

 

Расчет настила

Находим отношение толщины настила к пролету:

т.к. , тогда

Назначаем

Масса настила составляет .

Расчет балки настила

Погонная нагрузка на балку

Расчетный изгибающий момент:

Требуемый момент сопротивления:

Принимаем I 30, ,.

Проверяем прогиб подобранной балки

 прогиб недопустим

Принимаем I 36, ,.

Проверяем прогиб подобранной балки

 прогиб допустим

Окончательно принимаем I 36

Масса балки настила на 1 м2 составляет:

.

балочный сечение траверс

1.1.3 Расчет балочной клети усложненного типа

Рис. 1.3. Схема усложненного типа балочной клети

 

Расчет настила

Находим отношение толщины настила к пролету:

т.к. , тогда

Назначаем

Масса настила составляет .

Расчет балки настила

Погонная нагрузка на балку

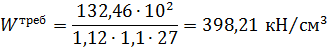
Расчетный изгибающий момент:

Требуемый момент сопротивления:

Принимаем I 18, ,.

Проверяем прогиб подобранной балки

 прогиб недопустим

Принимаем I 20, ,.

Проверяем прогиб подобранной балки

 прогиб недопустим

Принимаем I 22, ,.

Проверяем прогиб подобранной балки

 прогиб допустим

Окончательно принимаем I 22

Масса балки настила на 1 м2 составляет:

.

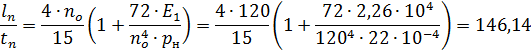
Расчет второстепенной балки

Погонная нагрузка на балку

Расчетный изгибающий момент:

Требуемый момент сопротивления:

Принимаем I 50, ,.

Проверяем прогиб подобранной балки

 прогиб допустим

Окончательно принимаем I 50

Масса балки настила на 1 м2 составляет:

.

1.2 Выбор варианта балочной клети

В курсовой работе условно за наиболее экономичный можно принять тот вариант балочной клети, в котором суммарная масса второстепенных балок и настила будет наименьшая.

Таблица 1. Расход стали по вариантам (на 1 м2 площадки).

Вариант

Настил

Балки настила

Второстепенные балки

Суммарный расход стали на вариант,


Толщина, мм

Масса,

№ двутавра

Масса,

№ двутавра

Масса,


1

7

0,55

30

0,365

 

 

0,915

2

12

0,94

36

0,423

 

 

1,363

3

6

0,47

22

0,282

50

0,196

0,949


Самым экономичным оказался вариант №1. Дальнейшие расчеты будем вести по этому варианту.

2. Расчет главной балки

Отметка верха настила: 12 м;

Отметка габарита под площадкой: 10,1 м;

Временная нагрузка на настил: ;

Материал настила - сталь: С275;

Коэффициент, учитывающий собственную массу балки: ;

Шаг балок настила: 1,0 м;

Шаг главных балок: 5,8 м.

Предельный прогиб балки:

2.1 Сбор нагрузок

Распределенная нагрузка на балку:


2.2 Определение расчетных усилий в сечениях балки

Расчетный изгибающий момент:

Максимальная поперечная сила:


2.3 Назначение высоты сечения балки

Требуемый момент сопротивления:

Нормальные напряжения:

Минимальная высота балки:

Ориентировочная толщина стенки:

Принимаем

Оптимальная высота балки:

Поскольку  на 38 см, то переходим на применение стали с менее прочностными характеристиками. Принимаем сталь С245, расчетным сопротивлением по текучести .

 

 

 на 13 см.

Высота балки из условия габарита  где 12 000 мм - отметка верха настила; 10 100 мм - отметка верха габарита; 7 мм - толщина настила и 300 мм - высота сечения вспомогательных балок.

Назначаем высоту стенки

 

Рис. 2.1. Поэтажное сопряжение балок

2.4 Назначение размеров сечения стенки

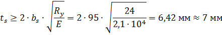
Толщина стенки из условия среза:

Для обеспечения местной устойчивости стенки без дополнительного укрепления ее продольным ребром толщина стенки должна быть:

Назначаем сечение стенки 1550Ч12 мм.

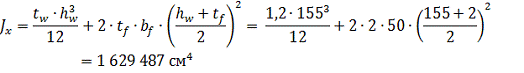
2.5 Определение размеров сечения поясов

Задавшись толщиной пояса , требуемый момент сечения балки будет равен:

Момент инерции стенки:

Требуемый момент инерции поясов:

Требуемая площадь сечения поясов:

Учитывая, что ,

Назначаем сечение пояса 500Ч20 мм с .

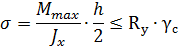
Проверим прочность назначенного сечения.

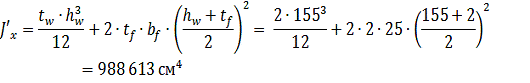
Момент инерции сечения:

Нормальное напряжение:

Недонапряжение составляет:

 

Рис. 2.2. поперечное сечение главной балки

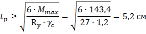
2.6 Изменения сечения балки

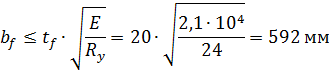
Сечение балки назначается по максимальному изгибающему моменту, действующему в середине пролета. Ближе к опорам этот момент значительно уменьшается, поэтому для балок пролетом более 10 м с целью экономии стали целесообразно изменять сечение. Наиболее удобно изменять сечение поясов, уменьшая только его ширину.

Поскольку пролет главной балки равен 16 м, то ширина пояса в измененном сечении должна быть не менее:

Изменение сечения по длине балки производиться на расстоянии от опор , принимаем 3000 мм.

Изгибающий момент в этом сечении:

Опорная реакция в этом сечении:

Требуемый момент сопротивления в этом сечении:

 

Рис. 2.3. Нагрузка на главную балку

Производим назначение ширины пояса, аналогично подбору при неизменном сечении:

Момент инерции стенки:

Требуемый момент инерции поясов:

Требуемая площадь сечения поясов:

Учитывая, что ,

Назначаем сечение пояса 250Ч20 мм с .

Проверим прочность назначенного сечения.

Момент инерции сечения:

Нормальное напряжение:

Недонапряжение составляет:

В месте изменения сечения на уровне поясных швов проверяем прочность стенки по нормальном и касательном напряжениях.

Проверка по максимальным касательным напряжениям:


2.7 Расчет поясных швов

Поясные швы воспринимают сдвигающие усилия между полкой и стенкой. В соответствии с указаниями СНиП II-23-81* сварные соединения с угловыми швами рассчитываются на срез по двум сечениям: по металлу шва и по металлу границы оплавления. В курсовой работе допускается производить расчет только по металлу шва.

Требуемый катет поясных швов

где    - статический момент полки (в изменяемом сечении)

 - коэффициент, зависящий от способа свари; при автоматической и полуавтоматической ;

 - расчетное сопротивление металла шва; для стали С245 принимаем ;

 - коэффициент условий работы шва, равен 1.

По конструктивным требованиям принимаем катет равным 6 мм.

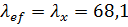
2.8 Проверка общей устойчивости балки

Отношение расчетной длины к ширине сжатого пояса:

, т.е. местная устойчивость балки обеспечена.

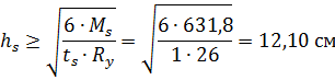
2.9 Проверка местной устойчивости элементов балки

Стенки балок для обеспечения устойчивости укрепляются ребрами жесткости. В сварных балочных клеток применяются двухсторонние поперечные ребра жесткости.

Ребра жесткости ставятся, если угловая гибкость стенки

 требуется установка ребер жесткости.

Размеры ребер принимаются:

Расстояние между ребрами жесткости не должно превышать . Принимаем расстояние от опоры до первого ребра жесткости равным 1500 мм, а шаг ребер жесткости - 2000 мм. При этом соблюдается условие, что ребро жесткости не совпадает с серединой балки, шаг ребер составляет 1000 мм, где предусматривается монтажный стык, а также в месте изменения сечения балки.

Рис. 2.4. Расположение ребер жесткости

При наличии местного напряжения  и  требуется проверка местной устойчивости стенки. Проверим устойчивость в отсеке В, с наиболее опасным сечение А-А.

Изгибающий момент, поперечная сила и момент инерции в сечении А-А: ,  и

Напряжения в стенке:

Проверяем по формуле:

,

 зависит от  принимаем

Поскольку  и , то:

 зависит от  принимаем

Т.е. местная устойчивость стенки обеспечена.

Рис. 2.5. Укрепление стенки поперечного ребра жесткости

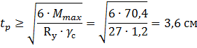
2.10 Расчет опорного ребра

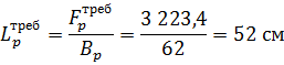
Площадь сечения опорного ребра определяется из условия проверки его на смятие от опорной реакции балки.

Принимаем .

Кроме того, необходимо провести расчет опорного ребра на продольный изгиб плоскости стенки. При этом в расчетное сечение ребра следует включать часть стенки длиной

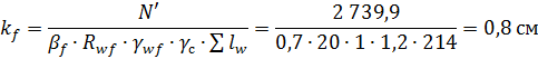
Необходимо так же определить катет угловых швов, прикрепляющих ребро к стенке:

По конструктивным требованиям принимаем катет равным 6 мм.

3. Расчет центрально-сжатых сквозных колонн

Материал колоны - сталь С275;

Материал фундемента - бетон В15

Рис. 3.1. Расчетная схема.

Определяем геометрическую высоту колонны:


3.1 Подбор типа сечения и сечения стержня сквозной колонны

Коэффициент продольного изгиба

Определяем требуемую площадь сечения:

Принимаем 2 швеллера 40, , .

3.1.1 Расчет относительно материальной оси Х

Вычисляем гибкость:

Где    μ - коэффициент зависящий от способа закрепления колонны, при шарнирном опирание главных балок на колоны принимаем за 1.

Окончательно принимаем сечение из 2 швеллера 40.

Недонапряжение составляет:


3.1.2 Расчет относительно свободной оси У

Задаемся  и зная что , тогда

Радиус инерции сечения:

Приближенное расстояние между швеллерами

Принимаем . Расстояние между наружными гранями стенок швеллеров будет

Вычислим характеристики назначенного сечения:

 

Рис. 3.2. Конструктивная схема сквозного сечения на планках.

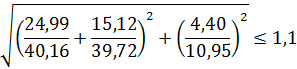
Проверим условие устойчивости:

Устойчивость обеспечена.

Недонапряжение составляет:

Окончательно назначаем расстояние между швеллерами . Расстояние между наружными гранями стенок швеллеров будет .

3.2 Расчет планок

Предварительно назначаем размеры планок:

Ширина .

Толщина

Расстояние между планками в свету:

Условная поперечная сила:

Перерезывающая сила в планке:

Изгибающий момент в планке:

Момент сопротивления сечения планки:

Прочность сварных швов, прикрепляющих планку к ветвям.

Задаемся катетом сварных швов , сварка автоматическая , для стали С275 принимаем , коэффициент условий работы шва . Характеристики шва:

Прочность сварных швов обеспечена.

3.3 Расчет базы колонны

Рис. 3.3. Конструкция базы колоны.

Собственная масса колоны будет

Полная продольная сила:


3.3.1 Расчет плиты

Требуемая площадь опирания на фундамент:

Задаем свес , толщина траверс , тогда размер плиты

Принимаем , тогда .

Напряжение в бетоне фундамента будет:

Определим изгибающие моменты на участках плиты:

Участок 1. Плита работает как консольная балка.

Участок 2. Плита работает как пластинка, опирающаяся на 3 стороны.

Участок 3. Плита работает как плита, опирающаяся на четыре стороны.

По максимальному моменту определяем толщину плиты .

Т.к.  требуется уменьшить изгибающий момент на втором участке путем постановки дополнительных ребер жесткости. Назначаем толщину ребра жесткости , тогда

По максимальному моменту определяем толщину плиты .

Принимаем

.3.2 Расчет траверсы

Принимаем катет сварных швов .

Принимаем

Назначаем

Погонная нагрузка на траверсу:

 

Рис. 3.4 . Расчетная схема траверсы

Момент сопротивления сечения траверсы:

Т.е. прочность обеспечена.

.3.3 Расчет ребер усиления плиты

Погонная нагрузка

Изгибающий момент

Поперечная сила

Требуемая высота рбера:

Принимаем

Условие прочности при срезе:

Т.е. прочность обеспечена.

3.4 Расчет оголовка колонны

Толщину плиты оголовка назначаем .

Высота диафрагмы определяется длиной сварных швов, прикрепляющих диафрагму к ветвям :

Принимаем

Толщина диафрагмы будет:

Принимаем

Проверяем прочность диафрагмы на срез:

Т.е. прочность обеспечена.

Библиографический список

1.  Металлические конструкции. В 3 т. Т1. Элементы стальных конструкций [Текст]/под ред. В.В. Горева. - М.: Высш. шк., 2001. - 551 с.

2.       СНиП II-23-81*. Стальные конструкции [Текст]. - Введ. 1982-01-01. - М.: ФГУП ЦПП, 2005. - 90 с.

.        СНиП 2.01.07-85*. Нагрузки и воздействия [Текст]. - Введ. 1987-01-01. - М.: ФГУП ЦПП, 2003.

.        СП 53-102-2004. Общие правила проектирования стальных конструкций [Текст]. - Введ. 2005-01-01. - М.: ФГУП ЦПП, 2005.

Похожие работы на - Расчет конструкций нормального и усложненного типов балочной клети рабочей площадки

 

Не нашли материал для своей работы?
Поможем написать уникальную работу
Без плагиата!
Без нейросетей!