Математическое моделирование полимерных синтетических дисперсий медицинского назначения
Глава 1. Полистирол
Полистирол -
материал, получаемый полимеризацией стирола или сополимеризацией этого мономера
другими мономерами (акрилонирилом, метилметакрилатом, а также каучуками).
Имеет химическую формулу вида:
[-СН2-С(С6Н5)Н-]n-
Структурная формула:
Рисунок 1 Структурная формула
полистирола
Полистирол (-C6H5-CH-CH-)n является продуктом
полимеризации стирола, который представляет собой сочетание непредельного
углеводорода этилена с ароматическим радикалом фенилом - С6Н5 (фенилэтилен):
СН2=СН-С6Н5
При полимеризации радикалы винила образуют
полимерную цепь с боковыми фенильными группами (бензольными кольцами).
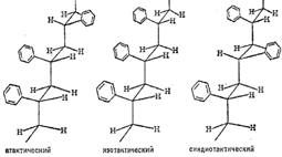
По характеру пространственного расположения
фенильной группы относительно молекулярной цепи различают:
. атактический полистирол - характеризуется
тем, что в нем бензольные кольца расположены по обе стороны цепи совершенно
неупорядоченно;
2. изотактический полистирол - в его
макромолекуле все бензольные кольца расположены с одной стороны цепи;
Свойства атактического и изотактического
полимеров различаются весьма существенно. Атактический полимер можно формовать
при значительно более низких температурах, и он растворим в большинстве
растворителей намного лучше изотактического. Этот термин означает, что если
ориентировать углеродные атомы полимерной цепи, придав ей, правильную
зигзагообразную форму, то фенильные боковые группы окажутся распределенными
случайным образом по одну и по другую сторону вдоль цепи (как это показано на
рисунке
. синдиотактический полистирол - в его
полимерной цепи бензольные кольца расположены строго альтернативно - поочередно
слева и справа от центральной цепи, упорядоченность расположения боковых групп
придает синдиотактическому полистиролу высокую твердость и термостойкость.
Наибольшее промышленное значение имеет
атактический полистирол.
Рисунок 2 Конфигурации
атактического, изотактического и синдиотактического полистирола
Химические свойства полистирола
Химические свойства стирола
обусловлены высокой реакционной способностью боковой винильной группы. Фенильное
ядро затрагивается в процессе термической полимеризации на стадии
инициирования. При окислении стирола на воздухе происходит образование
полимера, формальдегида и бензальдегида.
Полистирол характеризуется высокими
диэлектрическими показателями, химической стойкостью и хорошими оптическими
свойствами.
Полистирол обладает высокой кислото- и
щелочестойкостью, стоек к неорганическим неокисляющим кислотам (соляной,
серной, плавиковой), а также к спиртам и солям. Полистирол растворяется в
тетрахлориде углерода (четыреххлористом углероде), бензоле, не стоек к действию
простых и сложных эфиров, ароматических и хлорированных углеводородов.
Полистирол довольно легко окисляется, сульфируется, галогенизируется,
нитруется. По сравнению с другими термопластами полистирол обладает высокой
поверхностной твердостью. Модуль упругости полистирола при растяжении довольно
высок (12,9 103), а относительное удлинение при растяжении невысоко (1,5%). При
нагревании до 300-400°С полистирол деполимеризуется с образованием мономера.
Глава 2. Математическое
моделирование полидисперстных систем
Данная дипломная работа посвящена
математическому моделированию полидисперсных систем.
Полимерные синтетические дисперсии сравнительно
недавно нашли применение в области биохимических исследований, но уже широко
используются в практике.
Широкий спектр областей применения полимерных
микросфер, а также возможность синтеза с заданными свойствами (распределения
частиц по размерам) определяет их преимущество перед другими дисперсными
носителями. Преимущество полимерных микросфер перед частицами биологического
происхождения состоят в возможности получений полимерных суспензий:
ü С определенным диаметром частиц,
ü Узким распределением по размерам.
К полимерным суспензиям с узким распределением
частиц по размерам относится суспензии, содержащие индивидуальные частицы
полимера сферической формы, коэффициент вариации диаметров частиц составляет
1-3% для частиц с диаметром 0,1-10,0мкм и 10-30% для частиц с диаметром менее
0,6 мкм и более 10,0мкм.
Практическое применение полимерных суспензий
намного опередило научные исследования в области синтеза. К сожалению,
кажущийся на первый взгляд простота перехода биологических носителей на
синтетические в действительности не подтвердилась по причине трудно воспроизводимости
процесса и из-за высокой чувствительности устойчивости реакционной системы к
малейшему отклонению от режима проведения процесса полимеризации.
Таким образом, поставка новых исследований в
области синтеза полимерных суспензий является актуальной задачей.
В данной работе определялся вид функций
распределения глобул по размерам, используя экспериментальные данные при
синтезе полистирола. Были обработаны более 100 объектов, различные виды функций
распределения, характерных для полимеров, а также исследовались гистограммы
распределения частиц по размерам, представленных из электронномикрофотографий.
Подбирались соответственные математические функции с применением пакета
TableCurve 2D.2D - первая и единственная программа, автоматизирующая процесс подгонки
экспериментальных кривых.
Используя математический пакет TableCurve 2D,
который включает в себя встроенную библиотеку с широким спектром линейных и
нелинейных уравнений (от простых линейных уравнений до высокого порядка),
возможно автоматически подобрать первоначальные значения параметров, выбранной
функции (критерии качества).
Программа автоматически покажет и выведет
основные критерии качества функции:
ü Коэффициент детерминации;
ü Скорректированный коэффициент
детерминации;
Стандартная ошибка
ü Критерий Фишера
ü Максимальная абсолютная ошибка.
Дисперсность (от лат. dispersus -
рассеянный, рассыпанный), характеристика размеров частиц в дисперсных системах
<#"512006.files/image003.gif">
Кривые распределения объёма (массы)
частиц по размерам: 1 - монодисперсная система; 2 - полидисперсная система. min,
max, 0 - соответственно минимальный, максимальный и
вероятнейший размер частиц; f() - функция распределения, доля объёма
(или массы) дисперсной фазы <#"512006.files/image004.gif">
Рис. 1. Полученное в просвечивающем
электронном микроскопе изображение сетки дислокаций на границах зёрен в тонкой
молибденовой фольге, деформированной при высокотемпературном нагреве.
Рис. 2. Изображение предварительно
отполированной, а затем подвергнутой ионной бомбардировке поверхности
монокристалла меди. Снято в растровом электронном микроскопе. Увеличение 3000.
Пример электронных микрофотографий полистирола
приведен ниже
Гистогра́мма (от
др.-греч.
<#"512006.files/image008.gif">
Глава 4. Математический
пакет
TableCurve
Полученные гистограммы полистирола с электронных
микрофотографий обработаем с помощью математического пакета.
TableCurve- первая и
единственная программа, автоматизирующая процесс подгонки экспериментальных
кривых. Для выбора наиболее подходящей аппроксимации используется 3665 функций
из различных научных областей.
Быстро найти лучшее уравнений, которые описывают
данные TableCurve 2D. Программа дает инженерам и исследователям возможность
найти модель идеально подходит даже для самых сложных данных, поместив тысячи
уравнений на их пальцем советы. TableCurve 2D встроенной библиотеки включает в
себя широкий спектр линейных и нелинейных моделей для любых приложений, включая
уравнения, что, возможно, никогда не были рассмотрены.
Еще одна особенность программы TableCurve
заключается в автоматическом выборе для приспособления кривой и данных, моделирующих
для критического исследования.
Данная программа TableCurve включает
способности, не найденные в других пакетах программ, которая относительно
отличает ее от других. Эта особенность заключается в наличии эмулятора-
математики точности с 38 цифрами, что позволяет данной программе:
. способность приспособления к нелинейному
виду уравнений, которое эффективно справляется с выбросами и широким
динамическим диапазоном данных Y;
2. выбор эксперта искусственного
интеллекта, который автоматически выбирает соответствующий пик, переход или
модели kinetics для пользователя.
Программа TableCurve является автоматизированной
программой, которая выделяет погрешности и ошибки из кривой, соответствующее
пригодному TableCurve 2D's 3 665 встроенных уравнений, или только те которые
необходимы пользователю.
С TableCurve 2-ой, единственный щелчок мыши -
все, что требуется, чтобы начать автоматизированный процесс приспособления
кривой есть не настроенный требуемый. TableCurve спасает драгоценное время
пользователя, потому что это вынимает бесконечное испытание и ошибку из
приспособления кривой.
Эти специализированные модели могут содержать
большинство математических конструкций, включая специальные функции,
конвергенцию ряда и условные утверждения, дифференцирования, интеграцию, и
ограничения параметра.
И, в отличие от большинства программ
приспособления кривой, TableCurve определенные пользователем функции собраны,
так таможенное приспособление кривой может быть выполнено быстро - на почти
скорости как со встроенными уравнениями. Эти уравнения и ограничения могут
иметь неограниченную сложность.
Краткий обзор программного
обеспечения
Для обработки графических изображений в
TableCurve сравнивают модели, которые включают в себя числовые информационные
данные, статистические, таким образом, пользователь может далее
проанализировать пригодные результатов. Эти выводы могут быть одновременно
показаны и автоматически обновлены, когда различное уравнение отобрано для
обзора. Выбор оценки с автоматизированным поколением стола, включает функцию,
производные, корни и совокупную область.
Несколько слов как работает данная программа
Для начала установим ее на данном компьютере.
Эта программа предназначена для построения графиков в двухмерной системе
координат.
На рис. 5 показано меню программы Table Curve.
Это меню появляется сразу после открытия программы. Теперь необходимо
«щелкнуть» на строчке «TableCurve Editor»
(редактор). Окно редактора программы показано на рис. 6.
Рисунок 5. Основное меню программы TableCurve 2D
Рисунок 6. Окно редактора программы Table
Curve 2D
В этом редакторе данные вводятся вручную в два
столбца «X» и «Y».
В третьем столбце вводятся веса. Если какая-либо точка зафиксирована дважды, в
третьем столбце надо ввести цифру 2. По умолчанию веса выбираются равными
единице.
На рис. 7 показан пример ввода данных.
Рисунок 7. Окно редактора программы после
заполнения данными параметрами
После этого в меню, выбрав функцию на дисплее,
появится искомое изображение функции, заданной в начале введения работы.
Графическое изображение, построенное с помощью математического пакета,
представлено на рис. 8.
Надо отметить, что программа работает с изображением,
сохраненными в формате «ВМР».
Программа TableCurve предназначена для
построения пространственных изображений, как было сказано выше. В своей работе
я буду исподьзовать TableCurve 2D.2D в полной мере использовать Windows
графический пользовательский интерфейс для упрощения всех аспектов деятельности
- от импорта данных для вывода результатов (рис. 9). Прежде чем импортировать,
просматривать данные из многих популярных форматов файлов, включая SigmaPlot,
Excel, Lotus, SPSS и ASCII. После того, как ваши данные находятся в TableCurve
редактор запустить автоматический процесс установки с помощью одного щелчка
мыши. Выберите для всех уравнений, выберите группу из уравнения или создать
собственный набор уравнений.
Рисунок 9 Основные функции математического
пакета TableCurve 2D
И в заключении данная программа максимально
экономит время с новой автоматической пакетной обработки способность
автоматически обработать большое количество данных - без необходимости
программирования! При этом комплексная автоматизация потенциал, вы можете
анализировать большое количество данных, в то время как вы вдали от
компьютера!2D автоматически генерирует вывод для каждого набора данных. Вывод
может быть написана на MS Word (RTF или родовым) файл для всех графиков и
числовых резюме и MS Excel для числовых данных.
Глава 5. Обработка микрофотографий с
применением информационного пакета TableCurve 2D
При создании тест- систем для идентификации
различных биологических объектов последние годы используют в качестве носителей
биолигандов полимерные микросферы.
К числу биолигандов относятся главным образом
органические соединения. Однако и неорганические лиганды, хотя их существенно
меньше, играют в процессах метаболизма важную и незаменимую роль. Это неорганические
анионы, такие, как галогенид-ионы (F-, С1-, I-), сульфат - и нитрат-ионы, а
также гидроксил-, фосфат- и карбонат-ионы, образование и гидролиз которых
вносят немалый вклад в энергетическую «копилку» живого организма. Это, наконец,
нейтральные молекулы Н2О, О2, СО2, NH3.
Без этих лигандов метаболизм, питание и сама жизнь организма невозможны.
Термин «микросферы» используется для описания
сферических частиц с размером в диапазоне 50 нм-2 мм. Частицы с размером менее
1 мкм могут быть отнесены к «наносферам», что указывает на их малый размер.
Также используются термины «микрочастицы» и «наночастицы», но без
акцентирования на сферическую форму частиц.
Микросферы, получаемые из натуральных источников
т.к. альбумин, желатин, декстран, хитозан - являются биосовместимыми и
биодеградируемымии. Микросферы, получаемые из синтетических мономеров - т.к.
стирол, 4-винилпиридин, 2-гидроксиэтил метакрилат, метиленбис - акриламид и
так далее - не являются биодеградируемыми.
Существуют методы получения микросфер, способных
растворяться или деградировать после завершения их функций, а также ре
активироваться для повторного использования.
Свойства микросфер и наличие технологических
устройств позволяет использовать их в области биосепарации, клеточной и
молекулярной биологии, иммунологии, энзимологии и диагностике. Микросферы также
используются для направленной доставке лекарств и экстракорпоральной терапии.
Полимерные микросферы должны удовлетворять
следующим требованиям:
. сохранять стабильность при хранении (не менее
6 месяцев);
2. иметь узкое распределение частиц по
размерам;
. иметь средний диаметр частиц в
интервале 0,3-5,0 мкм и воспроизводимые свойства от партии к партии.
Промышленностью выпускается большое число
полимерных суспензий различного назначения, но все они не удовлетворяют
перечисленным выше требованиям. Их получают эмульсионной или суспензионной
полимеризацией.
Полимеризацию мономеров проводят в присутствии
ПАВ, концентрацию которого выбирают, исходя из требуемых свойств конечного
продукта. Концентрация ПАВ всегда выше критической концентрации
мицеллобразования.
Как правило, ПАВ - это поверхностно-активные
вещества, а именно химические соединения, способные адсорбироваться на границе
раздела фаз, одна из которых обычно вода, и снижать поверхностное натяжение.
Молекулы ПАВ состоят из углеводородного радикала
(от 4 до 20 СН2-групп) и полярной группы (ОН, СООН, NH2,
SO3H и др.).
Таким образом, ПАВ, выпавшие в воду, являются
причиной широкого распределения частиц по размерам. Но этот факт, рассмотрен
ниже.В качестве носителей биолигандов обычно используется полистирольные
микросферы. Их выбор определяется тем, что полистирольные микросферы не
подвергаются разрушению под действием кислот, щелочей, водных растворов солей,
характеризуются термостабильностью. Термическая и термоокислительная деструкции
полистирола протекают при температуре выше 2000С и 2600С.
Полистирол безвреден, используется в пищевой и
медицинской промышленности и легко окрашивается в любые цвета.
Полистирольные суспензии с узким распределнием
частиц по размерам получают гетерофазной полимеризацией в отсутствие
эмульгатора, эмульсионной и осадительной полимеризациями.
Эмульсионной полимеризацией получают полимерные
микросферы с диаметрами не более 0,2 мкм, поэтому для решения поставленной в работе
цели этот способ не подходит.
Метод гетгрофазной полимеризации в отсутствии
ПАВ позволяет получить полимерные микросферы в заданном интервале диаметров с
узким распределением по размерам. Однако эти полимерные суспензии неустойчивы в
физиологическом растворе и при хранении.
Метод осадительной полимеризации трудоемок и
плохо воспроизводим. В связи с этим проблема получения полимерных микросфер,
удовлетворящих выше перечисленными требованиями, оставалась не решенной.
Выбор для синтеза полистирольных суспензий с
узким распределением частиц по размерам нерастворимых в воде ПАВ был сделан из
предположений о том, что инициировании полимеризации в их присутствии
образование частиц будет происходит по одному механизму - из микрокапель
мономера. Для этого необходимо было выбрать ПАВ, образующие прямые эмульсии
мономера типа «масло в воде». Образование прямых эмульсий мономера в
присутствии нерастворимых в воде ПАВ возможно, если они в своем составе
содержали объемные заменители, способные образовывать на поверхности капель
прочный межфазный слой за счет формирования структурно-механического фактора
устойчивости.
В качестве таких ПАВ были использованы:
. моноэфиры ароматических дикарбоновых кислот
(МАФ),
2. ди-п- толил-о-карбалкокстфенилкарбинол
(ДТК),
Ди-п- толил-о-карбалкокстфенилкарбинол показан
на рис. 11.
Общая формула: C36H48O3
Структурная формула:
Рисунок 11. Структурная формула C36H48O3
Представляет собой продукт жидкофазного
окисления кислородом вохдуха3,3- ди-(п-толил)-фталида и тетрадекана. ДТК
практически нерастворим и хорошо растворим в стироле.
Согласно с данными исследования ДТК представляет
собой смесь изомеров Mw=288.
. кремний органичесике поверхностно-активные
вещества различного строения, которые используются в качестве диспергаторов и
модификаторов.
Моноалкилфталаты имеют следующие строения и
различаются друг от друга содержанием гидрофобных групп в молекуле:
Рисунок 12. Структурная формула МАФ-1, МАФ-2
где n=10-МАФ-1;n=20-
МАФ-2
МАФ-3-3,3- моноэфирдифенилметандикарбоновая
кислота:
Рисунок 13. Структурная формула МАФ-3
Были исследованы более 100 объектов, такие как
гистограммы, электромикрофотографии, а также были подобранны функции уравнения,
используя экспериментальные данные при синтезе полистирола и применяя
математический пакет TableCurve 2D.
Представлена ниже электронномикрофотогрвфия с
узким гауссовским распределением глобул по размерам с гистограммой и
подобранной функцией, использую математический пакет TableCurve 2D.
Таким образом, сопоставив электомикрофотографии
с гистограммой, с помощью математического пакета, были подобранны
соответствующие функции. (рис)
Распределение частиц полистирольной суспензии по
размера при концентрации К2S2O8=
3,35*10-2 моль/л стирола
Гистограмма. Дисперстный состав эмульсий стирола
при степени конверсии мономераДТК: р = 5%
Используя аналогичный подход, применяем его для
электронномикрофотографию с широким гауссовским распределением.
Построение гистограмм занимает не мало времени,
но зато, используя математический пакет TableCurve 2D подборка функций
происходит автоматически в зависимости от условий выбора.
Дисперсный состав
эмульсии стирола при времени перемешивания: при 30 минут

Продолжаем работу по сортировки глобул по
размерам полистирола.
При различных условиях синтеза получается
глобулы с различным диаметром частиц, в том числе рассматриваются и
несимметричное распределение глобул по размерам (пуассоновского типа) показано
на ниже.
Сортируя по размерам диаметра глобул полистирола
необходимо отметить особенности данного распределения.
Под влиянием различных факторов (время,
температура, концентрация) возможно преобладание крупных либо мелких размеров
частиц. Подтверждение этому представлены электомикрофотографии.
Рис. Дисперсный состав исходной
эмульсии стирола
Рис. Дисперсный состав эмульсии стирола,
полученный в присутствии МАФ-3 степени конверсии: р=3%
Рис. Дисперсный состав эмульсий стирола,
полученный в присутствии МАФ-3 степени конверсии: р = 12%
Рис. Гистограмма
распределения частиц по размерам, полученных при полимеризации стирола
В работе было обработано большой массив
экспериментальных данных в виде электроно-микрофотографий, гистограмм, изучены
и подобранны виды функций, что позволило проанализировать дисперсность эмульсий
в процессе полимеризации.
Изложенный подход был применен для подбора
функций распределения глобул по размерам полидифенилдиацетилена с системой
полисопряженных связей. Для низкомолекулярной фракции найдена хорошее
совпадение с распределением глобул по размерам близкое к нормальному
(гауссовому) распределению, что свидетельствует о слабом влиянии
межмолекулярного взаимодействия на процесс формирования глобулярной структуры
аморфата.
Заключение
В работе было обработано большой массив
экспериментальных данных в виде электроно-микрофотографий, гистограмм, изучены
и подобраны виды функций, что позволило проанализировать дисперсность эмульсий
в процессе полимеризации, используя математический пакет TableCurve 2D.
На основе программы TableCurve 2D
сконструированы графики данных функций.
Построены гистограммы распределения глобул
полистирола по размерам из данных, представленных на электромикрофотографиях.