Изготовление экструзионным способом трубы из композиционного материала на основе полиэтилена
Изготовление
экструзионным способом трубы из композиционного материала на основе полиэтилена
ОГЛАВЛЕНИЕ
1.
Анализ задания
2.
Исходные данные
3.
Назначение, принципиальные схемы и процесс экструдирования
3.1 Назначение и совершенствование процесса экструдирования
3.2 Конструктивные схемы шнеков экструзионных машин
3.3 Конструктивные схемы оформляющих головок экструдера
3.4 Физическая сущность процесса экструдирования
4.
Технологические схемы линий экструдирования
4.1 Конструкция экструдера
4.2 Схема технологической линии экструзии труб
5.
Определение параметров экструдера
5.1 Расчетная схема сил вращающегося червяка
5.2 Технические особенности геометрической формы канала оформляющей
головки
5.3 Коэффициенты геометрической формы канала головки
5.4 Производительность экструдера
5.5 Мощность червячного экструдера
5.6 Расчет коэффициентов вязкости
5.7 Давление в дозирующей зоне червяка
6.
Техника безопасности
ЛИТЕРАТУРА
1. Анализ
задания
В данном курсовом проекте требуется изготовить
экструзионным способом трубу из композиционного материала на основе
полиэтилена.
Форма и размеры трубы указаны в исходных данных.
Нужно:
· разработать оформляющую головку;
· определить производительность экструдера;
· мощность экструдера;
· проверить геометрическую устойчивость червяка.
2. Исходные
данные
Диаметр червяка (D) - 0,08 м;/D=25, длина
транспортирования (L) - 2 м;
Радиальный зазор между гребнем червяка и
цилиндром (δ) - 0,001 м;
Ширина гребня (e) - 0,007 м;
Шаг винтового канала (t) - 0.075 м;
Глубина винтового канала (h) - 0,007 м;
Частота вращения канала (n) - 0,5 с-1;
Рисунок 1 - Схема рабочих зон червяка
Изделие труба П14 диаметром D=32 мм и d=24,8мм
по ГОСТ 18599-2001;
Масса (m) - 0,329 кг/п.м.;
Материал полиэтилен
ρ=950 кг/м3.
Рисунок 2 - Труба П 14
3. Назначение,
принципиальные схемы и процесс экструдирования
.1 Назначение
и совершенствование процесса экструдирования
Экструзия - процесс получения из исходного
полимерного материала (в виде гранул, порошка или расплава) изделия заданной
формы путём непрерывного продавливания расплава полимера через формующую
головку с последующим охлаждением изделия. Экструзией получают листы, трубы,
плёнки, прокладки, поручни для лестниц и другие профили. Метод экструзии
применяется так же для нанесения полимерной изоляции на провода и кабели, для
покрытия полимерными материалами бумаги, картона, фольги и т.п. Получение
гранулированных пластмасс, моноволокон, сеток также основано на экструзии
расплавов полимеров.
Основными параметрами экструзии являются:
температура расплава в цилиндре и формующей головке; давление расплава в
головке; частота вращения червяка. Режим экструзии зависит от многих факторов:
вид термопласта, его молекулярной массы, состава композиционного материала; от
вида, размеров и конфигурации изделия; от типа используемого оборудования. шнек экструдер головка червяк
При выборе температурного режима экструзии
рекомендуется температуру цилиндра повышать от загрузочной зоны к головке по
возможности плавно. Температуру вблизи загрузочного бункера задают на 10…150С
выше температуры плавления материала. Температура формующей головки может быть
равна или ниже на 5…100С температуры цилиндра последней зоны, что способствует
улучшению гомогенизации расплава.
Давление расплава в головке обусловливается
сопротивлением головки и фильтрующих сеток и способствует высокому качеству
перемешивания расплава. Недостаточное давление расплава приводит к различным
дефектам экструдата: «оспины» на поверхности листов, шероховатость на трубах,
раковины, тусклая поверхность, снижение механических свойств изделия.
Частота вращения червяка определяет
производительность экструзионного процесса и влияет на качество изделия. С
увеличением частоты вращения червяка в расплаве за счёт внутреннего трения
возникают большие тепловыделения, что может быть причиной деструкции материала,
снижающей физико-механические характеристики изделия, или привести к
пульсирующему режиму течения материала. Отмеченное обусловливает огрубление,
бугристость поверхности экструдата, снижающие качество изделия.
.2 Конструктивные
схемы шнеков экструзионных машин
Червяк предназначен для транспортирования
материала от загрузочного бункера, перемешивания и создания определённого
давления у выхода цилиндра, достаточного для продавливания расплава через
профилирующую головку.
Геометрические параметры червяка: шаг, угол
наклона нарезки и глубина винтового канала оказывают основное влияние на
количество тепла, выделяющегося за счёт сил внутреннего трения в процессе деформации
полимера, а следовательно, и на технологическую мощность.
Сжатие материала по мере его продвижения к
головке достигается за счёт уменьшения объёма винтового канала, которое может
быть плавным, ступенчатым или комбинированным. Характер изменения объёма
винтового канала по длине червяка зависит от перерабатываемого материала.
При проектировании червяка важное значение
уделяется конструктивному выполнению окончания червяка. От формы окончания
червяка зависят достижение наибольшей однородности расплава, создание
определённого градиента давления в головке и беспульсирующее течение потока.
3.3 Конструктивные
схемы оформляющих головок экструдера
Назначение головки экструдера - формирование
расплавленного полимера в изделие. Внутри головки проходит канал, сечение
которого меняется от круглого до сечения, соответствующего профилю изделия на
выходе.
.4 Физическая
сущность процесса экструдирования
По мере прохождения термопласта в червячном
экструдере меняется его состояние - от твёрдого в области загрузочной воронки
до расплавленного, в дозирующей зоне и головке.
Обычно расчёт производительности и давления в
экструдере ведётся по дозирующей зоне, т.к. течение расплава описывается
изученными гидродинамическими законами вязкой жидкости.
Общий поток расплава в дозирующей зоне
складывается из трёх отдельных потоков: вынужденного, обратного и утечек.
Вынужденный поток возникает вследствие адгезии
расплава к неподвижной стенке цилиндра. Максимального значения вынужденный
поток достигает при отсутствии давления на выходе, т.е. когда экструдер
работает без головки, как транспортирующая машина.
Обратный поток возникает при установке на
выходном конце экструдера головки фильтрующего элемента, решётки или клапана,
которые оказывают сопротивление потоку расплава. По мере продвижения материала
к головке, давление возрастает и материал из зоны большего давления начинает
перетекать в зону меньшего. Т.к. прямой поток значительно больше обратного,
имеет место только уменьшение его на величину обратного потока.
Поток утечек возникает также при наличие
градиента давления вдоль винтового канала и возникает между гребнями витков
червяка и внутренней поверхностью цилиндра. Радиальный зазор между гребнями
витков и цилиндром весьма незначителен, поэтому величина потока утечек намного меньше
вынужденного и обратного потоков.
4. Технологические
схемы линий экструдирования
.1 Конструкция
экструдера
Червячные прессы классифицируют по
производительности, конструкции и в зависимости от назначения, которые между
собой увязаны.
Например, производительность машин с диаметром
червяка 9…500 мм составляет 1,5…3000 кг/час. При этом у машин может быть
различное соотношение диаметров и длин червяков: с коротким червяком - L <
10D и длинным червяком L > 100D. Кроме того, различают машины с тихоходными
червяками <2,5 Гц и быстроходными > 2,5 Гц.
Одношнековый экструдер состоит из станины 1,
приводного устройства, корпуса со шнеком, оформляющей головки и аппаратуры.
Приводное устройство имеет электродвигатель, от
которого шкив 2 клиноременной передачи, приводной вал 3, пару шестерен 4,
цилиндрическую зубчатую передачу 5 и вал 6 приводится во вращение червяк 7.
Осевые усилия, возникающие при работе шнека, воспринимаются упорным
шарикоподшипником 8. Число оборотов шнека определяется тахогенератором 9.
Рисунок 3 -
Экструдер одношнековый
Шнек, установленный в цилиндрическом корпусе 10,
обогреваемый с помощью индукционных нагревателей 11. Воздух для охлаждения
цилиндра подается вентилятором 12 через клапаны 13 с независимым регулированием
для каждой зоны.
Процесс непрерывного выдавливания во многом
зависит от температуры в различных зонах цилиндра и шнека. В связи с этим
предусмотрен тепловой автоматический контроль и регулирование температуры по
зонам. Температура регулируется терморегуляторами, получающими импульсы от
термопары 14.
Рабочий процесс переработки термопластичного
материала заключается в следующем.
Из бункера 15 через вибрирующий подающий желоб
16 материал поступает в загрузочную воронку 17, а оттуда в приемную часть
корпуса 10, где захватывается шнеком 7, который транспортирует массу вперед.
При прохождении вдоль корпуса материал нагревается, расплавляется и при
определенном давлении проталкивается через оформляющую головку 18, из которой
выходит изделие требуемого профиля.
Вращающийся шнек проталкивает массу вперед,
одновременно стремится повернуть ее, вызывая опасность пробуксовки массы
относительно внутренних стенок цилиндра. Возникающий при этом крутящий момент
тем меньше, чем меньше величина коэффициента трения материала о поверхность
шнека. Для уменьшения величины коэффициента трения шнек охлаждают водой,
подаваемой через патрубок 19 по трубе 20 во внутреннюю полость шнека. Отводится
вода через патрубок 21. Подающий желоб 16 установлен на плоских пружинах 22.
Под желобом расположен электрический вибратор 23 переменного тока заставляющий
вибрировать желоб в плоскости, перпендикулярной к пружинам. При регулировке
напряжения изменяются амплитуда колебаний и объем загружаемого материала.
Несмотря на разнообразие червячных прессов,
основные сборочные узлы и детали у них общие, и с основной частью машины, от
которой зависят размеры, производительность и качество изделий, является
червяк. Вид изделий и номенклатура определяется оформляющей головкой. Одним из
следственных параметров червяка является величина степени сжатия материала,
которая находится в пределах от: V1:V3=1,5:1 до V1:V3=5:1 на участке одного
шага (V1, V3 - объёмы винтового канала в зонах питания и нагнетания).
4.2 Схема
технологической линии экструзии труб
Расплав из экструдера 1, оснащённого формующей
головкой 2, непрерывно выдавливается в виде заготовки кольцевого сечения.
Заготовка поступает в калибрующее устройство 3, где происходит её
предварительное охлаждение и калибрование по геометрическим размерам, а в
охлаждающей ванне 4 труба окончательно охлаждается. Вытяжка и транспортирование
раскладки производится тянущим устройством 5, состоящим из двух гусеничных
транспортёров с зажимающими башмаками гусениц. Привод транспортёра через
вариатор от электродвигателя. Трубы разрезаются на обрезки заданных размеров
специальным устройством 6, например дискового или фрезерного типа и
укладываются на тележку 7.
Рисунок 4 - Схема технологической линии
экструзии труб
5. Определение
параметров экструдера
.1 Расчетная
схема сил вращающегося червяка
На червяк действует аксиальная сила Р, крутящий
момент Мкр и равномерно распределённая нагрузка g от собственной массы червяка.
Силы Р и g вызывают прогиб червяка. Задачей прочностного расчёта является
проверка предварительно определённых размеров червяка и определения
допускаемого прогиба.
Рисунок 5 - Схема к расчету червяка
Для определения расчетной схемы червяк
предварительно проверяется на гибкость по формуле:
где k - коэффициент зависящий от метода
крепления конечной части вала k=2;- длина червяка, м;- радиус инерции сечения,
м.
где J - момент инерции поперечного сечения вала
червяка, м4;- площадь поперечного сечения червяка, м2;
где
-
отношение диаметров червяка (по середине высоты гребня).
условие выполняется.
5.2 Технические
особенности геометрической формы канала оформляющей головки
Композиционные материалы на основе полиэтилена подвержены
деструкции, следовательно, переход от цилиндрической части экструдера к профилю
изделия выходного окончания оформляющей головки должен быть плавным.
Головка разбивается на три условные, характерные
по геометрической форме части: две части круглого конического сечения плавно
переходящие одна в другую и круглый кольцевой канал постоянного сечения по
длине.
Коэффициенты геометрической формы канала головки
Коэффициент геометрической формы для канала
круглого конического сечения к1:
где
L - длина зоны канала, м;- наибольший диаметр зоны головки, м;- наименьший
диаметр зоны головки, м.
Коэффициент
геометрической формы для канала круглого конического сечения к2:
Коэффициент
геометрической формы для канала круглого кольцевого сечения к3:
где
Rн - наружный радиус части канала круглого кольцевого сечения, м;в - внутренний
радиус части канала круглого кольцевого сечения, м;- длина зоны канала, м.
Общий
коэффициент сопротивления оформляющей головки:
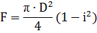
5.4 Производительность
экструдера
Производительность определяется с учетом
протяженности зоны формования:
где k - общий коэффициент сопротивления
оформляющей головки
φ - константа прямого
потока, м3
β - константа обратного
потока, м3
γ - константа потока
утечек, м3- частота вращения червяка, с-1
Расчет константы прямого потока по формуле:
где α - угол
наклона винтовой линии- число заходов червяка , принимается m=1.
Расчет угла наклона винтовой линии по формуле:
Расчет константы обратного потока по формуле:
где L - протяженность зоны формования
экструзионной головки L = 0,215 м.
Расчет константы потока утечек по формуле:
где L - протяженность зоны формования
экструзионной головки L = 0,215 м.

При плотности материала ρ
= 950
кг/м3
.5 Мощность
червячного экструдера
Согласно зависимости при n=0,5с-1
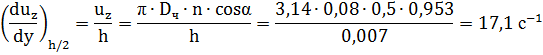
5.6 Расчет
коэффициентов вязкости
Коэффициенты вязкости m1
и m2
определяются по значению градиента скорости собственно в канале червяка и в зазоре
между гребнем червяка и цилиндром экструдера:
Воспользовавшись реологической кривой
полиэтилена и найденными значениями градиентов скоростей определяем на графике
при
соответствующей температуре значения
и
:
.7 Давление в
дозирующей зоне червяка
Процесс экструзии возможен, если давление p в
дозирующей зоне червяка будет больше сопротивления Δp
головки
экструдера или равно ему, т.е.
Как это следует из зависимости от
производительности:
где
и
-
динамическая вязкость и коэффициент сопротивления соответствующего канала.
Таким образом, следует:
Падение давления для первого канала «круглый
конический»:
Падение давления для второго канала «круглый
конический»:
Падение давления для третьего канала «круглый
кольцевой»:
Общие потери давления в оформляющей головке:
Таким образом, давление в оформляющей головке
или
и технологическая мощность экструдера
Вт.
Если к.п.д. передаточного механизма принять
равным 0,8, то мощность электродвигателя должна быть
6. Техника
безопасности
Современные экструзионные агрегаты - крайне
сложные устройства. Микропроцессорные системы предназначены для непрерывного
контроля и корректировки значений технологических параметров и, тем не менее,
учитывая так называемый «человеческий фактор», при работе необходимо неукоснительно
соблюдать определенные правила техники безопасности. К основным из них
относятся:
Эксплуатация экструдера и всей линии допускается
только после получения протоколов завершения монтажа, актов сдачи-приемки,
актов сдаточных испытаний и работ.
При эксплуатации экструдера должен
неукоснительно соблюдаться график профилактических и ремонтных действий.
Перед запуском экструдера для всех полимеров,
кроме полиолефинов, необходимо проводить чистку цилиндра и шнека,
фильтра-решетки и формующей головки.
Экструдер запускают только после нагрева до
заданной температуры с предварительной выдержкой при ее значении в течении
25-30 мин.
При переработке галогеносодержащих полимеров
оператор экструзионной машины в обязательном порядке должен использовать
индивидуальные средства защиты (респиратор, противогаз, перчатки)
В экструзионном помещении в обязательном порядке
обеспечивается приточно-вытяжная вентиляция, соответствующая установленным
нормам.
Для очистки червяка, головки, цилиндра при
проведении регламентных работ, для чистки поверхностей деталей разрешается
использовать только латунные или медные скребки.
Чистку оборудования производят незамедлительно
после его остановки и в условиях пока оно не охладилось более чем на 10-20
градусов ниже температуры плавления (но не температуры переработки!).
Запуск экструдера проводят только после прогрева
до требуемых значений температур, начиная с минимальной частоты вращения
червяка и плавно увеличивая его до номинального значения. Технологические
отходы производства следует незамедлительно направлять на повторную подготовку
сырья (дробление, нагрев) и переработку.
Вращение червяка в незаполненном магистральном
цилиндре допускается только в течении времени, предусмотренного регламентом.
При эксплуатации экструдеров и экструзионных
агрегатов следует соблюдать чистоту на рабочих местах, не допускать
захламленности рабочей площадки, соблюдать нормы свободных расстояний между
соседним оборудованием.
Ремонт экструдеров и агрегатов технологических
линий производят в ремонтно-механических подразделениях предприятий или их
смежников.
Эксплуатация экструзионного оборудования
разрешается только при получении письменных свидетельств служб, контролирующих
технику безопасности, состояние противопожарного обеспечения, соблюдения
санитарных норм.
Все работники, допущенные к эксплуатации
экструзионных линий, должны провести соответствующий инструктаж по технике
безопасности с записью в журнале и росписью там инструктируемого.[5]
ЛИТЕРАТУРА
1. Гиберов
З.Г. Механическое оборудование заводов пластических масс - М., Машиностроение,
1967. - 240 с., ил.
. Гиберов
З.Г., Вернер Е.В. Механическое оборудование предприятий для производства
полимерных и теплоизоляционных материалов - М., Машиностроение, 1973. - 409 с.,
ил.
. Гиберов
З.Г., Журавлев М.И. Оборудование заводов пластических масс. Атлас конструкций.
- М., Машиностроение, 1973. - 112 с., ил.
. Абраменков
Э.А. Механическое оборудование. Червячные формующие машины, экструдеры.
/Методические указания. Новосибирск, НИСИ 1992.
. Производство
изделий из полимерных материалов: Учеб. пособие/В.К. Крыжановский, М.Л. Кербер,
В.В. Бурлов, А.Д. Паниматченко. - СПб.: Профессия, 2004. - 464 с., ил.
Спецификация
|
Поз.
|
Наименование
|
Кол.
|
Масса
|
|
1
|
Одночервячный экструдер
|
1
|
|
|
|
2
|
Устройство для нагрева и подсушки
гранул
|
1
|
|
|
|
3
|
Охлаждающая ванна
|
1
|
|
|
|
4
|
Устройство тянуще - отрезное
|
1
|
|
|
|
5
|
Устройство приемное
|
1
|
|
|
|
6
|
Устройство намоточное
|
1
|
|
|
|
7
|
Пневмозагрузчик
|
1
|
|
|
|
8
|
Головка
|
1
|
|
|