|
Задачи
|
Классификация затрат
|
|
1
|
2
|
|
Расчет себестоимости произведенной продукции, оценка стоимости
запасов и полученной прибыли
|
Входящие и истекшие Прямые и косвенные Основные и накладные
Входящие в себестоимость (производственные) и затраты отчетного периода
(периодические) Одноэлементные и комплексные Текущие и единовременные
|
|
Принятие решения и планирование
|
Постоянные (условно-постоянные) и переменные Принимаемые и не
принимаемые в расчет при оценках Безвозвратные затраты Вмененные (упущенная
выгода) Предельные и приростные Планируемые и непланируемые
|
|
Контроль и регулирование
|
Регулируемые Нерегулируемые
|
Так, для расчета
себестоимости произведенной продукции и определения размера полученной прибыли
затраты классифицируют на: входящие и истекшие; прямые и косвенные; основные и
накладные; входящие в себестоимость продукции (производственные) и
внепроизводственные (периодические, или затраты периода); одноэлементные и
комплексные; текущие и единовременные.
Для принятия
решения и планирования А.Д. Шеремет предлагает различать: постоянные,
переменные, условно-постоянные (условно-переменные) затраты; затраты,
принимаемые и не принимаемые в расчет при оценках; безвозвратные затраты;
вмененные затраты; предельные и приростные затраты; планируемые и
непланируемые.
Наконец, для
осуществления функций контроля и регулирования в управленческом учете различают
регулируемые и нерегулируемые затраты. Особое внимание здесь уделяется
корректировке затрат с учетом фактически достигнутого объема производства, т.е.
составлению гибких смет.
Ряд ученых [9 7,
13, 10, 16, 33, 41] выделяют следующие особенности затрат, отличающиеся от
издержек производства:
затраты в отличие
от издержек производства имеют расчетную (калькуляционную) природу оценки. Они
находят отражение во внутреннем учете, зависят от применяемой системы учета
затрат (полных или частичных затрат) и не обязательно связаны с потоками
платежей на предприятии. Издержки же имеют платежную природу и отражаются во
внешнем (финансовом) учете предприятия;
определение затрат
всегда соотносится с конкретными целями, задачами, т.е. объем использованных
ресурсов в денежном выражении рассчитывают по основным функциям производства
продукции и ее реализации в целом по предприятию или по производственным
подразделениям предприятия;
напротив, у
издержек может отсутствовать прямая связь с изготовлением продукции. Издержки в
отчетном периоде, хотя и возникают в рамках производственного процесса, не
всегда связаны с изготовлением продукции. Например, ремонт объекта, не включаемого
в необходимое для производственной деятельности имущество предприятия,
пожертвования. Издержки, не относящиеся к данному периоду и поэтому не
являющиеся затратами этого периода (например, доплата имущественного и
земельного налогов).
Таким образом,
издержки - это денежное выражение производственных факторов, необходимых для
осуществления предприятием своей производственной и коммерческой деятельности.
Они могут быть представлены в показателях себестоимости продукции, которая
характеризует в денежном измерении все материальные затраты и затраты на оплату
труда, которые необходимы для производства и реализации продукции.
Себестоимость продукции - это выраженные в денежной форме текущие издержки
предприятия на производство и реализацию продукции.
Далее рассмотрим
основные подходы к определению издержек производства на предприятии.
1.2 Основные подходы к определению издержек
производства на предприятии
Для формирования эффективной системы
учета издержек, необходимо прежде всего правильно классифицировать затраты,
производимые в процессе осуществления хозяйственной деятельности. Рассмотрим
группировку затрат в разрезе подсистем бухгалтерского учета: финансового и
управленческого. На рисунке 1.2.1 затраты и расходы разложены по степени их
возникновения, по степени отнесения на результат производства.
Факты хозяйственной деятельности
субъекта отражаются в учете как капитализация, рекапитализация, декапитализация
расходов, где капитализируемые затраты - первично отраженные в активе баланса
организации затраты; рекапитализируемые - затраты, связанные с приобретением
материальных запасов, которые приводят к образованию новых статей актива
баланса; декапитализируемые - затраты списываемые с баланса в уменьшение
финансового результата в отчетном периоде.
Рис.1.2.1
Затраты и расходы в подсистемах финансового и управленческого учетах [34. С.64]
Основными стадиями
процесса управления издержками и себестоимостью продукции промышленного
предприятия является прогнозирование и планирование, нормирование затрат,
организация их учета и калькулирование себестоимости продаж; анализ, контроль и
регулирование деятельности по ходу ее осуществления. Управление издержками
необходимо прежде всего для:
получения
максимальной прибыли;
улучшения
финансового состояния предприятия;
повышения
конкурентоспособности предприятия и продукции;
снижения риска
стать банкротом и др. [34. С.64].
Трудно переоценить
то значение, которое имеет наличие информации об издержках для деятельности
предприятия и результатов этой деятельности. Пользователями такой информации
выступают собственники и управляющие предприятием, акционеры, кредиторы, органы
исполнительной власти.
Непосредственно в
процессе управления издержками и себестоимостью продукции решают, то, в каких
объемах должны расходоваться ресурсы предприятия, где, для чего и в каком
объеме нужны дополнительные финансовые ресурсы и как достичь максимально
высокого уровня отдачи от использования ресурсов. Поэтому целью управления
затратами производства и себестоимостью продукции является обеспечение
экономного использования ресурсов и максимизация отдачи от них.
Каждое предприятие
должно предусматривать использование разнообразной информации о деятельности
предприятия в системе управления затратами и себестоимостью продукции:
при
прогнозировании, оценке ожидаемой цены затрат и установлении показателей
себестоимости продукции с целью выявления путей развития и ожидаемой прибыли и
рентабельности на период более двух лет;
в процессе планирования, т.е.
обоснования величины затрат и себестоимости продукции на предстоящие 1-2 года с
учетом организационного уровня производства и влияния всех факторов, которые
поддаются комплексной оценке;
эффективности использования всех
видов ресурсов, новой техники, организационно-технических мероприятий,
внедрения новой технологии и т.д.;
при нормировании, определении
оптимального размера затрат материальных, трудовых и финансовых ресурсов при
производстве запланированной к выпуску продукции;
в процессе
улучшения учета фактических затрат, обоснования калькуляции себестоимости
продукции;
при анализе затрат
и себестоимости продукции путем сравнения фактических показателей с плановыми,
в динамике с предприятиями-конкурентами расчете факторов, влияющих на эти
изменения;
в процессе контроля
и регулирования показателей по ходу финансово-хозяйственной деятельности,
выявления резервов экономии издержек производства и возможностей по снижению
величины и уровня себестоимости продукции (за счет совершенствования управления
и организации производства, устранения имеющихся недостатков в деятельности
предприятия и т.д.).
В целях обеспечения
эффективного управления издержками производства и формированием себестоимости
выпускаемой продукции промышленное предприятие должно добиваться осуществления
следующих мероприятий (соблюдать следующие правила работы):
·
увеличивать производство конкурентоспособной продукции за счет
более низких издержек и, следовательно, цен;
·
обеспечивать качественной и реальной информацией о себестоимости
отдельных видов продукции и учитывать их позиции на рынке по сравнению с
продукциями предприятий-конкурентов;
·
использовать возможности гибкого ценообразования;
·
предоставлять объективные данные для составления финансового плана
и бюджета предприятия;
·
иметь возможность оценивать деятельность каждого структурного
полразделения с финансовой точки зрения;
·
принимать обоснованные и эффективные решения [19. С.177].
Предприятие должно
учитывать две составляющих в деле управления издержками - внутреннюю и внешнюю.
Первая составляющая в основном влияет на величину производимой себестоимости, а
внешняя - на себестоимость реализованной продукции.
Для решения
проблемы снижения издержек производства и реализации продукции на предприятии
должна быть разработана общая концепция (программа), которая должна ежегодно
корректироваться с учетом изменившихся на предприятии обстоятельств. Эта
программа должна носить комплексный характер, т.е. должна учитывать все
факторы, которые влияют на снижение издержек производства и реализации
продукции.
Содержание и
сущность комплексной программы по снижению издержек производства зависят от
специфики предприятия, текущего состояния и перспективы его развития. Но в
общем плане в ней должны быть отражены следующие моменты:
комплекс
мероприятий по более рациональному использованию материальных ресурсов
(внедрение новой техники и безотходной технологии, позволяющей более экономно
расходовать сырье, материалы, топливо и энергию: совершенствование нормативной
базы предприятия; внедрение и использование более прогрессивных материалов:
комплексное использование сырья и материалов; снижение процента брака и др.);
мероприятия,
связанные с определением и поддержанием оптимального размера предприятия,
позволяющие минимизировать затраты в зависимости от объема производства;
мероприятия,
связанные с улучшением использования основных фондов (освобождение предприятия
от лишних машин и оборудования; сдача имущества предприятия в аренду; улучшение
качества обслуживания и ремонта основных средств: обеспечение большей загрузки
машин и оборудования: внедрение более прогрессивных машин и оборудования и др.)
мероприятия,
связанные с улучшением использования рабочей силы (определение и поддержание
оптимальной численности персонала; повышение уровня квалификации; обеспечение
опережающего роста производительности труда по сравнению со средней заработной
платой; применение прогрессивных систем и форм оплаты труда: совершенствование
нормативной базы; улучшение условий труда; механизация и автоматизация всех
производственных процессов; обеспечение мотивации высокопроизводительного труда
и др.);
мероприятия,
связанные с совершенствованием организации производства и труда (углубление
концентрации, специализации, кооперирования, комбинирования и диверсификации
производства; внедрение бригадной формы организации производства и труда;
совершенствование организационной структуры управления предприятием и др.) [25.
С.186].
Кроме того,
комплексная программа по снижению издержек производства должна иметь четкий
механизм ее реализации. Следует также подчеркнуть, что планирование и
реализация только отдельных мероприятий по снижению издержек производства хотя
и дают определенный эффект, но не решают проблемы в целом.
Планирование
снижения себестоимости на промышленных предприятиях осуществляется в соответствии
с характером производимой продукции и применяемыми показателями себестоимости.
Для определения
снижения себестоимости все виды сравнимой продукции, запланированные к выпуску,
оцениваются по плановой себестоимости и фактической среднегодовой себестоимости
за отчетный год. Если ассортимент продукции слишком широк, то расчет ведется
через затраты на рубль товарной продукции, которые рассчитываются как
соотношение между объемом товарной продукции по себестоимости и ее объемом в
оптовых ценах.
Планирование снижения
себестоимости продукции по технико-экономическим факторам позволяет увязать
план по себестоимости с планом технического и организационного развития
предприятия. Этот метод, в отличие от других, учитывает количественное влияние
технических, экономических и организационных факторов на уровень затрат
производства планируемого года. Расчет ведется в следующей последовательности:
определяются
затраты базисного года на рубль товарной продукции как отношение себестоимости
товарной продукции базисного года на объем товарной продукции базисного года
путем умножения
затрат базисного года на объем товарной продукции планируемого года
рассчитывается ее себестоимость при сохранении условий производства и
реализации продукции в базисном году
определяется
экономия, которая будет получена в планируемом году под влиянием
технико-экономических факторов
из себестоимости
товарной продукции планируемого года, вычисленной по уровню затрат базисного
года, вычитается итоговая сумма экономии и определяется себестоимость товарной
продукции в ценах и условиях базисного года
из полученной
величины вычитается (прибавляется) сумма предполагаемого изменения оптовых цен
на потребляемые материальные ресурсы (услуги) и определяется себестоимость
товарной продукции в ценах и условиях планируемого года; влияние изменение
оптовых цен учитывается также и в плановом объеме товарной продукции
рассчитывается
уровень затрат на рубль товарной продукции в планируемом году и снижение этих
затрат по сравнению с уровнем базисного года.
Таким образом,
совокупность затрат на производство и реализацию продукции включается в бюджет
расходов и определяет структуру себестоимости продукции (работ, услуг). В
составе себестоимости различают группы затрат, которые детализируются по
отдельным видам затрат. Структура себестоимости и ее величина оказывают прямое
влияние на прибыль, размер и уровень цен, экономическую эффективность отдельных
организационно-экономических и технических мероприятий. В условиях кризиса
себестоимость продукции является важнейшим показателем
производственно-хозяйственной деятельности предприятия. Применение этого
показателя необходимо для оценки выполнения плана по данному показателю и его
динамики; определения рентабельности производства и отдельных видов продукции;
осуществления внутрипроизводственного хозрасчета; выявления резервов снижения
себестоимости продукции; определения цен на продукцию; расчета экономической
эффективности внедрения новой техники, технологии, организационно-технических
мероприятий; обоснования решения о производстве новых видов продукции и снятия
с производства устаревших.
Далее рассмотрим
методические подходы к управления издержками производства на предприятии.
1.3 Методические подходы к управлению издержками
производства на предприятии
В системе управления издержками
большое значение имеет анализ себестоимости продукции, работ и услуг. Он
позволяет выяснить тенденции изменения данного показателя, выполнение плана по
его уровню, определить влияние факторов на его прирост, установить резервы и
дать оценку работы предприятия по использованию возможностей снижения
себестоимости продукции [7. С.188].
Информационной
базой для анализа себестоимости продукции являются данные статистической
отчетности "Отчет о затратах на производство и реализацию продукции
(работ, услуг) предприятия (организации)", плановые и отчетные калькуляции
себестоимости продукции, данные синтетического и аналитического учета затрат по
основным и вспомогательным производствам и т.д.
Г.В. Савицкая
предлагает проводить анализ себестоимости проводится по следующим основным
направлениям:
·
анализ динамики обобщающих показателей себестоимости и факторов ее
изменения;
·
анализ себестоимости единицы продукции или себестоимости 1 руб.
товарной продукции;
·
анализ структуры затрат, ее динамики;
·
анализ себестоимости продукции по статьям;
·
факторный анализ себестоимости по статьям;
·
выявление резервов снижения себестоимости [35. С.281].
Анализ
себестоимости может проводиться как ретроспективный, так и оперативный,
предварительный, прогнозный. Ретроспективный анализ проводится с целью
накопления информации о динамике затрат, факторах их изменения. Результаты
ретроспективного анализа используются для определения плановой себестоимости
продукции, формирования ценовой политики, разработки управленческих решений,
направленных на повышение конкурентоспособности продукции. Оперативный анализ
себестоимости, который проводится ежедневно или по данным учета за 1, 5, 10
дней, направлен на своевременное выявление непроизводительных затрат и потерь.
Результаты оперативного анализа используются для гибкого маневрирования
ресурсами.
Предварительный
анализ себестоимости конкретного вида изделия проводится на первой стадии
жизненного цикла изделия - на этапе проведения научно-исследовательских и
опытно-конструкторских работ. Перспективный (прогнозный) анализ призван оценить
возможное увеличение или снижение себестоимости продукции в целом и отдельных
изделий в связи с прогнозируемыми изменениями на рынке ресурсов. Для
определения изменений в общих затратах на перспективу используется метод
анализа соотношения "издержки - объем - прибыль".
Основным,
обобщающим показателем, характеризующим себестоимость и уровень рентабельности
продукции, являются затраты на 1 руб. производимой продукции, так как именно
этот показатель обеспечивает увязку плана и отчета по себестоимости продукции с
прибылью, но самое главное - позволяет устанавливать динамику снижения
себестоимости продукции за несколько лет.
Ю.Г. Чернышева,
Э.А. Чернышев отмечают, что анализ затрат на 1 руб. выпускаемой продукции имеет
целью выявить и оценить резервы снижения производственных затрат и успешное
выполнение установленного задания по предельному уровню затрат и лимиту
материальных затрат.
Анализ
себестоимости продукции начинается с оценки выполнения плана по затратам на 1
руб. товарной продукции, а затем анализируется себестоимость выпущенной
продукции и себестоимость единицы важнейших изделий.
Непосредственное
влияние на изменение уровня затрат на 1 рубль товарной продукции оказывают
четыре фактора первого порядка, которые находятся с ним в прямой функциональной
связи: структура выпущенной продукции предприятия; уровень затрат на
производство отдельных изделий; цены и тарифы на потребленные материальные
ресурсы; цены на продукцию [38. С.147].
Объем выпущенной
продукции оказывает влияние на совокупную себестоимость всей товарной
продукции, поэтому при изучении уровня затрат этот показатель не учитывается.
Для оценки влияния структурных сдвигов на себестоимость единицы продукции
проводится перерасчет себестоимости единицы продукции по плану на фактический
выпуск по каждому наименованию продукции.
Анализ структуры
затрат проводится по направлениям:
·
анализ состава себестоимости на основе сопоставления суммы и
удельных весов каждой статьи и элементов расходов;
·
анализ затрат с группировкой по их функциональной роли в
производственном процессе. Затраты группируются по калькуляционным статьям
расходов в зависимости от связи с производством, организацией, обслуживанием,
управлением и сбытом, т.е. по местам их возникновения;
·
анализ прямых материальных и трудовых затрат;
·
анализ косвенных затрат с подразделением на переменные и
постоянные.
Анализ структуры
себестоимости проводится сопоставлением удельных весов отдельных элементов с
планом и в динамике.
При помощи
показателей структуры рассматривается влияние каждой статьи на сумму абсолютной
и относительной экономии или перерасхода затрат. Анализ структуры затрат
позволяет оценить материалоемкость, трудоемкость, энергоемкость продукции,
выяснить характер их изменений и влияние на себестоимость продукции. Для оценки
влияния каждой статьи затрат на себестоимость 1 руб. товарной продукции
рассчитывается уровень затрат по каждой статье, выявляется сумма экономии или
перерасхода по каждой статье и элементу расходов, изучаются причины отклонений.
Анализ динамики и
выполнения плана по структуре и уровню затрат позволяет своевременно
реагировать на отклонения от плановых, нормативных показателей себестоимости,
выявлять негативные тенденции изменения себестоимости, принимать конкретные управленческие
решения по их устранению или согласованию. Итак, систематическое определение и
анализ структуры затрат на предприятии имеют очень важное значение, в первую
очередь для управления издержками на предприятии с целью их минимизации.
Структура затрат
позволяет выявить основные резервы по их снижению и разработать конкретные
мероприятия по их реализации на предприятии. Структура затрат на каждом
предприятии также должна анализироваться как в поэлементном, так и в
постатейном разрезе. Это необходимо, как уже отмечалось, для управления
издержками на предприятии с целью их минимизации [36. С.181].
Затраты на один
рубль произведенной продукции - очень важный обобщающий показатель,
характеризующий уровень себестоимости продукции в целом по предприятию. Во-первых,
он универсален: может рассчитываться в любой отрасли производства и, во-вторых,
наглядно показывает прямую связь между себестоимостью и прибылью.
Исчисляется данный
показатель отношением общей суммы затрат на производство и реализацию продукции
к стоимости произведенной продукции в действующих ценах:
УЗ =
,
(1.3.1)
где Зобщ - общая сумма
затрат на производство и продажу продукции;
ВП - стоимость
произведенной продукции в действующих ценах.
При его уровне ниже
единицы производство продукции является рентабельным, при уровне выше единицы -
убыточным.
Фактическое изменение
уровня затрат на один рубль товарной продукции можно определить следующим
образом:
(1.3.2)
где ∑z0q0
- общая сумма затрат на производство и реализацию продукции предыдущего
(базисного) года;
∑z1q1
- общая сумма затрат на производство и реализацию продукции отчетного года;
∑p0q0
- стоимость произведенной продукции предыдущего (базисного) года;
∑p1q1
- стоимость произведенной продукции отчетного года.
На изменение уровня
затрат на рубль товарной продукции оказывают влияние следующие факторы:
себестоимость продукции, объем и ассортимент продукции, цены на производимую
продукцию.
Влияние факторов
определяется по следующим формулам:
а) за счет изменения
себестоимости продукции:
(1.3.3)
где ∑z0q1
- общая сумма затрат на производство и реализацию продукции отчетного года по
ценам предыдущего (базисного) года;
∑p0q1
- стоимость произведенной продукции отчетного года по ценам предыдущего
(базисного) года.
б) за счет объема и ассортимента
продукции:
(1.3.4)
в) за счет изменения цен
на производимую продукцию:

(1.3.5)
Проверка: или.
Большую роль в
обосновании управленческих решений в бизнесе играет маржинальный анализ,
который называют еще анализом безубыточности или содействия доходу. Его
методика базируется на изучении соотношения между тремя группами важнейших
экономических показателей - издержками, объемом производства (реализации)
продукции и прибылью - и прогнозировании величины каждого из этих показателей
при заданном значении других.
Эта методика
основана на делении производственных и сбытовых затрат в зависимости от
изменения объема деятельности предприятия на переменные (пропорциональные) и
постоянные (непропорциональные) и использовании категории маржинальной прибыли.
Маржинальный доход (маржинальный
прибыль) представляет собой разность между выручкой от реализации и переменными
затратами, или сумму постоянных расходов и прибыли от реализации:
МД = П + С пост; (1.3.6)
МД = N - Спер, (1.3.7)
где N - выручка от реализации;
Спер - переменные издержки;
Спост - постоянные издержки.
Кроме уровня маржинальной прибыли
важным показателем для принятия управленческих решений является точка
безубыточности. Точка безубыточности - это такой объем реализации продукции,
который позволит предприятию покрыть все расходы и выйти на нулевой уровень
прибыли.
Точку безубыточности можно найти
следующим образом:
Q
=
,
(1.3.8)
где р - цена реализации
продукции;
z
- удельные переменные затраты на единицу продукции.
Таким образом,
анализ динамики и выполнения плана по структуре и уровню издержек позволяет
своевременно реагировать на отклонения от плановых, нормативных показателей
себестоимости, выявлять негативные тенденции изменения себестоимости, принимать
конкретные управленческие решения по их устранению или согласованию.
Систематическое
определение и анализ структуры затрат на предприятии имеют очень важное
значение, в первую очередь для управления издержками на предприятии с целью их
минимизации. Структура затрат позволяет выявить основные резервы по их снижению
и разработать конкретные мероприятия по их реализации на предприятии. Структура
затрат на каждом предприятии также должна анализироваться как в поэлементном,
так и в постатейном разрезе. Это необходимо, как уже отмечалось, для управления
издержками на предприятии с целью их минимизации.
Теоретические и методические основы
управления издержками предприятия служат основой для проведения практического
анализа и оценки эффективности управления издержками ОАО
"Нефтекамскнефтехим".
2. Анализ управления издержками производства на
предприятии на примере ОАО "Нефтекамскнефтехим"
2.1 Общая характеристика предприятия
ОАО "Нефтекамскнефтехим" -
динамично развивающееся, высокотехнологичное нефтехимическое предприятие
Российской Федерации, входит в группу компаний "ТАИФ".
Производственный комплекс компании
включает в себя: 10 заводов основного производства, 6 центров (в т. ч.
научно-технологический и проектно-конструкторский), а также вспомогательные
цеха и управления, расположенные на двух производственных площадках и
обладающие централизованной транспортной, энергетической и телекоммуникационной
инфраструктурой.
В ассортименте выпускаемой продукции
- более ста наименований. Основу товарной номенклатуры составляют:
синтетические каучуки общего и
специального назначения;
пластики: полистирол, полипропилен и
полиэтилен;
мономеры, являющиеся исходным сырьем
для производства каучуков и пластиков;
другая нефтехимическая продукция
(окись этилена, окись пропилена, альфа-олефины, поверхностно-активные вещества
и т.п.).
Днем рождения ОАО
"Нефтекамскнефтехим" является 31 июля 1967 года. В этот день
потребителям была отправлена первая продукция первенца нефтехимкомбината -
центральной газофракционирующей установки.
За 43 года производственной
деятельности компания превратилась в крупнейший нефтехимический комплекс
Восточной Европы. Продукция акционерного общества экспортируется в 59 стран
Европы, Америки, Юго-Восточной Азии. Доля экспорта в общем объеме продукции
составляет около 50 %. К наиболее крупнотоннажным продуктам, реализуемым на
экспорт, относятся синтетические каучуки, пластики, стирол и неонол.
ОАО "Нефтекамскнефтехим"
из года в год улучшает технико-экономические показатели своей работы. В 2010
году объем продаж достиг уровня 94,4 млрд. руб., что в полтора раза выше
показателя предыдущего года. Прибыль от продаж превысила 12 млрд. руб., или в
четыре раза превзошла уровень 2009 года. Чистая прибыль впервые превысила 7
млрд. руб. Отгрузки на экспорт составили - 47 млрд. руб. или 50% от общего
объема реализации. Капитализация компании выросла в 1,7 раза и достигла 39,3
млрд. руб.
ОАО "Нефтекамскнефтехим"
осуществляет масштабную инвестиционную программу, обусловленную стратегией
предприятия, которая заключается в:
укреплении позиций компании как
производителя широкого спектра каучуков на внутреннем и внешнем рынках;
утверждении статуса крупного игрока
в области производства и продаж широкого спектра пластиков;
освоении новых и развитии
существующих внешних и внутренних рынков сбыта;
создании крупнотоннажных производств
базовых мономеров и широкой гаммы продукции глубоких переделов.
В рамках комплексной стратегической
программы развития до 2016 года компания планомерно реализует мероприятия по
наращиванию мощностей базовых мономеров, каучуков и пластиков; расширению
марочного ассортимента продукции.
На сегодняшний день акционерное общество
занимает ведущую позицию среди отечественных производителей синтетических
каучуков. Суммарный объем их выработки в 2010 году стал максимальным за всю
историю работы компании: более 500 тысяч тонн каучуков семи видов.
Предприятие успешно выполняет задачу
по увеличению степени передела углеводородного сырья в продукцию с более
высокой добавленной стоимостью, такой как пластики. В 2010 году произведено 544
тыс. тонн всех видов пластиков. В ближайшей перспективе мощности по их выпуску
увеличатся за счет организации производств АБС-пластиков.
В рамках модернизации этиленового
комплекса на заводе произведен пуск узлов гидрирования ацетилена и очистки
товарного этилена. Это позволило выработать в 2010 году рекордные 593 тыс. тонн
этилена и 13 млн. тонн - с момента пуска производства.
Стратегическая программа развития
компании разработана в интеграции с основными направлениями Президентской
программы развития нефтегазохимического комплекса Республики Татарстан и
полностью соответствует ее целям и задачам. Она также корреспондируется со
Стратегией развития химической и нефтехимической промышленности России на
период до 2015 года, реализацию которой осуществляет Министерство
промышленности и торговли РФ.
С целью взаимовыгодной промышленной
кооперации, в рамках содействия малому бизнесу и для создания зоны устойчивого
потребления полимерной продукции, на базе "Нефтекамскнефтехима" был
создан "Нефтекамский промышленный округ". Сегодня предприятия,
входящие в состав округа, успешно функционируют в Нефтекамском районе,
Менделеевске и Елабуге. Они выпускают широкий спектр полимерных и резиновых
профильных изделий, автокомпонентов, экструзионного полистирола, а также
различные полимерные пленки и нити.
В 2010 году Нефтекамские пластики
начали перерабатывать в индустриальном парке "Камские Поляны", где
запущены производства полипропиленовых мультифиламентных нитей и стрейч-пленки.
В 2010 году на предприятиях Нефтекамского промышленного округа произведено
продукции на сумму около 5 млрд. рублей и переработано 10% пластиков
производства "Нефтекамскнефтехим". Всего по округу ввод новых
мощностей по переработке позволил создать более 500 рабочих мест.
Для финансирования программы
капитальных вложений ОАО "Нефтекамскнефтехим" использует собственную
прибыль, а также заемные средства. Акционерным обществом привлекаются средства
мировых финансовых институтов, в том числе долгосрочные кредиты под гарантии
западных Экспортных Кредитных Агентств.
Коллектив ОАО
"Нефтекамскнефтехим" успешно работает в области энергосбережения. За
прошедшие четыре года в рамках Программы энергосбережения предприятием было
внедрено 457 мероприятий с экономическим эффектом - 2,7 млрд. руб. Сегодня на
предприятии принята новая Программа энергосбережения, рассчитанная на
перспективу до 2020 года. В ее рамках запланировано 231 мероприятие, что
позволит сэкономить 360 млн. кВт/ч электрической энергии, 1,9 млн. Гкал
тепловой энергии, 47 тыс. тонн условного топлива.
Концентрируя основные усилия на
производственной деятельности, компания вместе с тем уделяет повышенное
внимание охране окружающей среды. С 2004 года система управления окружающей
средой функционирует в полном соответствии с международным стандартом ИСО 14001
и в соответствии с перспективной Экологической программой до 2015 года, в
рамках которой внедрено 115 мероприятий (из них 17 - в 2010 году). Суммарные
затраты по данной программе составляют 1,6 млрд. руб.
Выработанная в компании стратегия
развития предприятия, занимающего ведущее положение в нефтегазохимическом
комплексе Республики Татарстан, наличие высококвалифицированных кадров и мощной
производственной базы являются гарантией дальнейшей успешной работы ОАО
"Нефтекамскнефтехим".
Выбранный путь позволит закрепить
позиции акционерного общества на освоенных сегментах российского и зарубежного
товарных рынков, повысить конкурентоспособность выпускаемой продукции и,
соответственно, уровень доходов работников и акционеров предприятия, увеличить
величину налоговых отчислений в бюджеты всех уровней, что повлечет за собой
возрастание вклада компании в развитие города Нефтекамска, экономики Республики
Татарстан и Российской Федерации.
Основные технико-экономические
показатели деятельности ОАО "Нефтекамскнефтехим" представлены в
таблице 2.1.1.
Таблица 2.1.1
Технико-экономические
показатели деятельности ОАО "Нефтекамскнефтехим" за 2008-2010 гг.
|
Наименование
|
Ед. изм.
|
2008 г.
|
2009 г.
|
2010 г.
|
Отклонение (+, - )
|
|
|
|
|
|
2009 г. к 2008 г.
|
2010 г. к 2009 г.
|
|
1
|
2
|
3
|
4
|
5
|
6
|
7
|
|
Выпуск товарной продукции
|
млн. р.
|
70092,8
|
57291,6
|
90487,3
|
-12801,2
|
+33195,7
|
|
Выручка от продажи товаров, продукции, работ, услуг
|
млн. р.
|
70978,0
|
60262,1
|
92486,7
|
-10715,9
|
+32224,6
|
|
в том числе экспорт
|
млн. р.
|
37102,4
|
30976,6
|
46903,9
|
-6125,8
|
+15927,3
|
|
Прибыль от продаж
|
млн. р.
|
7495,6
|
2893,1
|
12300,9
|
-4602,5
|
+9407,8
|
|
Прибыль до налогообложения
|
млн. р.
|
2756,7
|
699,0
|
9361,5
|
-2057,7
|
+8662,5
|
|
Численность производственно-промышленного персонала
|
чел.
|
18892
|
17343
|
17086
|
-1549
|
-257
|
|
Среднемесячная зарплата производственно-промышленного персонала
|
руб.
|
22518
|
21971
|
27087
|
-547
|
+5116
|
В 2010 году в ОАО "Нефтекамскнефтехим"
выпущено товарной продукции на сумму 90487,3 млн. руб., что выше уровня
прошлого года на 33195,7 млн. руб. Реализовано продукции и услуг в 2010 году на
сумму 92486,7 млн. руб., что выше уровня 2009 года на 32224,6 млн. руб.
В 2010 году, в связи с постепенным
выходом из экономического кризиса, потребление нефтехимической продукции в мире
начало расти. Помимо реанимации и налаживания мировых производств по всем
цепочкам продукции, это стало еще и результатом так называемого "отложенного
спроса" на различные товары, такие как автомобили, бытовая техника и
электроника, товары народного потребления. Спрос на некоторые виды продукции со
стороны зарубежных клиентов превышал технологические возможности компании.
Динамика перечисленных показателей
деятельности ОАО "Нефтекамскнефтехим" представлена на рисунке 2.1.1.
Рис.2.1.1 Динамика
показателей деятельности ОАО "Нефтекамскнефтехим" в 2007-2009 гг.
Согласно рисунку
2.1.1, наиболее успешная деятельность по выпуску и реализации продукции
наблюдается в 2010 году, при этом максимальный уровень прибыли до
налогообложения наблюдается также в 2010 году. Также следует отметить снижение
численности производственно-промышленного персонала, которое произошло в
результате вывода непрофильных подразделений из структуры предприятия
(энергетический цех и др.). Положительным фактором, характеризующим
деятельности ОАО "Нефтекамскнефтехим" является ежегодный рост
заработной платы работников предприятия. В 2010 году ее прирост составил 5116
рублей.
Таким образом,
деятельность ОАО "Нефтекамскнефтехим" можно считать успешной.
2.2 Анализ динамики и структуры издержек ОАО
"Нефтекамскнефтехим"
Информационной базой для анализа и
оценки затрат предприятия на осуществление финансово-хозяйственной деятельности
служит "Отчет о прибылях и убытках" (форма №2) и "Приложение к
бухгалтерскому балансу" (форма №5). Вертикальный анализ "Отчета о
прибылях и убытках" - это анализ структуры формирования финансовых
результатов и уровня затрат ОАО "Нефтекамскнефтехим" в сравнении с
предыдущим периодом. Горизонтальный анализ направлен на изучение темпов роста
(прироста) показателей, который объясняет причины изменений в их структуре.
Анализ динамики суммарных затрат ОАО "Нефтекамскнефтехим" представлен
в таблице 2.2.1.
Таблица 2.2.1
Динамика
суммарных затрат ОАО "Нефтекамскнефтехим" в 2008-2010 гг., тыс. руб.
|
Наименование показателя
|
|
|
|
Отклонение (+, - )
|
|
2008 г.
|
2009 г.
|
2010 г.
|
2009 г. к 2008 г.
|
2010 г. к 2009 г.
|
|
|
1
|
2
|
3
|
4
|
5
|
6
|
|
|
Себестоимость проданных товаров, продукции, работ, услуг
|
57834058
|
51920119
|
75770342
|
-5913939
|
+23850223
|
|
|
Коммерческие расходы
|
1880220
|
2063197
|
2615602
|
+182977
|
+552405
|
|
|
Управленческие расходы
|
4144579
|
3385674
|
3720258
|
-758905
|
+334584
|
|
|
Проценты к уплате
|
780906
|
1127913
|
1049053
|
+347007
|
-78860
|
|
|
Прочие расходы
|
39144700
|
30342064
|
47207989
|
-8802636
|
+16865925
|
|
|
Отложенные налоговые обязательства
|
141888
|
304677
|
77179
|
+162789
|
-227498
|
|
|
Текущий налог на прибыль
|
828667
|
17051
|
2154778
|
-811616
|
+2137727
|
|
|
Налог на прибыль и иные аналогичные платежи
|
-
|
46543
|
349
|
+46543
|
-46194
|
|
|
Итого затрат
|
104755018
|
89207238
|
132595550
|
-15547780
|
+43388312
|
|
По результатам расчетов,
представленных в таблице 2.2.1, можно сделать вывод о том, что суммарные
затраты ОАО "Нефтекамскнефтехим" в 2009 году по сравнению с 2008
годом снизились на 15547780 тыс. руб. или на 14,84% и составили 89207238 тыс.
руб. В 2010 году суммарные затраты повысились на 43388312 тыс. руб. или на
48,64% и составили 132595550 тыс. руб.
Себестоимость проданных товаров,
продукции, работ, услуг в 2009 году по сравнению с 2008 годом снизилась на
5913939 тыс. руб. или на 10,23%, а в 2010 году по сравнению с 2009 годом
увеличилась на 23850223 тыс. руб. или на 45,94%. Такая тенденция связана со
значительным ростом производства в 2010 году вследствие повышения спроса на
продукцию производства ОАО "Нефтекамскнефтехим".
Устойчивый рост
наблюдается по такой статье затрат, как "коммерческие расходы" (на
182977 тыс. руб. в 2009 году и на 552405 тыс. руб. в 2010 году). Управленческие
и прочие расходы в 2009 году снизилась, соответственно, на 758905 и 8802636
тыс. руб. В 2010 году данные затраты повысились на 334584 и на 16865925 тыс.
руб.
Текущий налог на
прибыль снизился на 811616 тыс. руб. в 2009 году и увеличился на 2137727 тыс.
руб. в 2010 году. Данная тенденция связана с изменением уровня прибыли до
налогообложения предприятия.
В таблице 2.2.2
представлен анализ структуры суммарных затрат ОАО
"Нефтекамскнефтехим" за 2008-2010 гг.
Таблица
2.2.2
Структура
суммарных затрат ОАО "Нефтекамскнефтехим", %
|
Наименование показателя
|
|
|
|
Отклонение (+, - )
|
|
2008 г.
|
2009 г.
|
2010 г.
|
2009 г. к 2008 г.
|
2010 г. к 2009 г.
|
|
|
1
|
2
|
3
|
4
|
5
|
6
|
|
|
Себестоимость проданных товаров, продукции, работ, услуг
|
55,21
|
58, 20
|
57,14
|
+2,99
|
-1,06
|
|
|
Коммерческие расходы
|
1,79
|
2,31
|
1,97
|
+0,52
|
-0,34
|
|
|
Управленческие расходы
|
3,96
|
3,80
|
2,81
|
-0,16
|
-0,99
|
|
|
Проценты к уплате
|
0,75
|
1,26
|
0,79
|
+0,52
|
-0,47
|
|
|
Прочие расходы
|
37,37
|
34,01
|
35,60
|
-3,35
|
+1,59
|
|
|
Отложенные налоговые обязательства
|
0,14
|
0,34
|
0,06
|
+0,21
|
-0,28
|
|
|
Текущий налог на прибыль
|
0,79
|
0,02
|
1,63
|
-0,77
|
+1,61
|
|
|
Налог на прибыль и иные аналогичные платежи
|
0,00
|
0,05
|
0,00
|
+0,05
|
-0,05
|
|
|
Итого затрат
|
100,00
|
100,00
|
100,00
|
-
|
-
|
|
|
|
|
|
|
|
|
|
|
По результатам расчетов,
представленных в таблице 2.2.2, можно сделать вывод о том, что большая часть
суммарных затрат предприятия составляет себестоимость проданных товаров, работ,
услуг. Так, удельный вес данного показателя в общей сумме затрат в 2008 году
составил 55,21%, в 2009 году удельный вес повысился на 2,99% и составил 58,
20%, в 2010 году удельный вес себестоимости снизился на 1,06% и составил
57,14%.
Структура суммарных затрат
представлена на рисунке 2.2.1.
%
Рис.2.2.1 Структура
суммарных затрат ОАО "Нефтекамскнефтехим" за 2008-2010 гг.
Также значительный
удельный вес занимают прочие расходы. В 2009 году наблюдается снижение
удельного веса прочих расходов и текущего налога на прибыль, а в 2010 году их
повышение. Так, удельный вес прочих расходов снизился в 2009 году по сравнению
с 2008 годом на 3,35% и повысился в 2010 году по сравнению с 2009 годом на
1,59%. Удельный вес текущего налога на прибыль снизился в 2009 году по сравнению
с 2008 годом на 0,77% и повысился в 2010 году по сравнению с 2009 годом на
1,61%.
Проанализируем динамику
и структуру затрат на осуществление производственно-хозяйственной деятельности
в таблицах 2.2.3 и 2.2.4.
Таблица
2.2.3
Динамика затрат на осуществление производственно-хозяйственной
деятельности ОАО "Нефтекамскнефтехим" в 2008-2010 гг., тыс. руб.
|
Элементы затрат
|
2008 г.
|
|
|
Отклонение (+, - )
|
|
|
2009 г.
|
2010 г.
|
2009 г. к 2008 г.
|
2010 г. к 2009 г.
|
|
1
|
2
|
3
|
4
|
5
|
6
|
|
Материальные затраты
|
49537982
|
40287534
|
63907271
|
-9250448
|
+23619737
|
|
Затраты на оплату труда
|
4873386
|
4356357
|
5390691
|
-517029
|
+1034334
|
|
Отчисления на социальные нужды
|
1115826
|
995809
|
1257565
|
-120017
|
+261756
|
|
Амортизация
|
2211581
|
2944836
|
3197776
|
+733255
|
+252940
|
|
Прочие затраты
|
6765902
|
6981984
|
8007216
|
+216082
|
+1025232
|
|
Итого по элементам затрат
|
62809006
|
56931231
|
81760519
|
-5877775
|
+24829288
|
|
|
|
|
|
|
|
Приведенные данные таблицы 2.2.3
свидетельствуют о снижении затрат на осуществление
производственно-хозяйственной деятельности в 2009 году по сравнению с 2008 году
на 5877775 тыс. руб. или на 9,34%, причиной чего является спад производства
вследствие глобального экономического кризиса. В 2010 году уровень затрат
повысился на 24829288 тыс. руб. или на 43,61% и составил 81760519 тыс. руб., что
связано с повышением спроса на продукцию ОАО "Нефтекамскнефтехим".
В 2009 году
материальные затраты снизились на 9250448 тыс. руб. и составили 40287534 тыс.
руб., а в 2010 году - увеличились на 23619737 тыс. руб.
На протяжении всего
анализируемого периода увеличивались такие статьи затрат, как
"амортизация" и "прочие затраты". Данные затраты относятся
к постоянным и не зависят от объемов производства. В 2009 году данные затраты
повысились соответственно на 733255 и 216082 тыс. руб. В 2010 году - на 252940
и 1025232 тыс. руб.
В 2009 г. снизились
затраты на оплату труда (на 517029 тыс. руб.) и отчисления на социальные нужды
(на 120017 тыс. руб.), что связано с сокращением дополнительных выплат
работникам, вследствие ухудшения финансового положения предприятия. Напротив, в
2010 году данные статьи затрат повысились.
Структура затрат на
осуществление производственно-хозяйственной деятельности ОАО
"Нефтекамскнефтехим" в 2008-2010 гг. представлена в таблице 2.2.4.
Таблица
2.2.4
Структура затрат на осуществление производственно-хозяйственной
деятельности ОАО "Нефтекамскнефтехим" в 2008-2010 гг., %
|
Элементы затрат
|
2008 г.
|
2009 г.
|
2010 г.
|
Отклонение (+, - )
|
|
|
|
|
2009 г. к 2008 г.
|
2010 г. к 2009 г.
|
|
1
|
2
|
3
|
4
|
5
|
6
|
|
Материальные затраты
|
78,87
|
70,77
|
78,16
|
-8,11
|
+7,40
|
|
Затраты на оплату труда
|
7,76
|
7,65
|
6,59
|
-0,11
|
-1,06
|
|
Отчисления на социальные нужды
|
1,78
|
1,75
|
1,54
|
-0,03
|
-0,21
|
|
Амортизация
|
3,52
|
5,17
|
3,91
|
+1,65
|
-1,26
|
|
Прочие затраты
|
10,77
|
12,26
|
9,79
|
+1,49
|
-2,47
|
|
Итого по элементам затрат
|
100,00
|
100,00
|
100,00
|
-
|
-
|
Наибольший удельный вес в структуре
затрат на осуществление производственно-хозяйственной деятельности занимают
материальные затраты. Приведенные данные свидетельствуют о том, что удельный
вес материальных затрат в общей сумме затрат на осуществление производственно-хозяйственной
деятельности в 2009 году по сравнению с 2008 годом снизился на 8,11% и составил
70,77%, а в 2010 году по сравнению с 2009 годом - повысился на 7,4%. Такие
изменения связаны с динамикой уровня материальных затрат в абсолютном выражении.
Удельный вес расходов на оплату
труда и отчислений на социальные нужды также снизились в 2009 году
соответственно на 0,11% и на 0,03%, а в 2010 году повысились на 1,06 и 0,21%.
Напротив, удельный вес амортизации и
прочих затрат в 2009 году увеличились, а в 2010 году снизились. Данная
тенденция связаны с изменениями переменных затрат.
Структура затрат на
осуществление производственно-хозяйственной деятельности ОАО
"Нефтекамскнефтехим" в 2008-2010 гг. представлена на рисунке 2.2.2.
%
Рис.2.2.2 Структура
затрат на осуществление производственно-хозяйственной деятельности ОАО
"Нефтекамскнефтехим" в 2008-2010 гг.
Таким образом, суммарные затраты ОАО
"Нефтекамскнефтехим" в 2009 году по сравнению с 2008 годом снизились
на 15547780 тыс. руб. или на 14,84% и составили 89207238 тыс. руб. В 2010 году
суммарные затраты повысились на 43388312 тыс. руб. или на 48,64% и составили
132595550 тыс. руб. Большую часть суммарных затрат предприятия составляет
себестоимость проданных товаров, работ, услуг. Проведенный анализ
свидетельствует о снижении затрат на осуществление
производственно-хозяйственной деятельности в 2009 году по сравнению с 2008 году
на 5877775 тыс. руб. или на 9,34%, причиной чего является спад производства
вследствие глобального экономического кризиса. В 2010 году уровень затрат
повысился на 24829288 тыс. руб. или на 43,61% и составил 81760519 тыс. руб.,
что связано с повышением спроса на продукцию ОАО
"Нефтекамскнефтехим". Наибольший удельный вес в структуре затрат на
осуществление производственно-хозяйственной деятельности занимают материальные
затраты.
2.3 Факторный анализ издержек предприятия
Оценку
эффективности использования затрат можно провести с помощью анализа
ресурсоемкости. Целью анализ ресурсоемкости продукции является установление
удельных расходов на ресурсы на 1 руль выручки и отслеживание их динамика,
которая характеризуется тенденции изменения эффективности использования
ресурсов.
Рассчитаем
показатель уровня затрат на 1 рубль продукции (показатель общей ресурсоемкости)
по ОАО "Нефтекамскнефтехим" за 2008-2010 гг.:
г.: УЗ =
63858857/70978021 = 0,8997 руб. или 89,97 коп.
г.: УЗ = 57368990 /
60262138 = 0,9520 руб. или 95,20 коп.
г.: УЗ =
82106202/94407096 = 0,8697 руб. или 86,97 коп.
Динамика
рассчитанных показателей затрат на рубль продукции представлена в таблице
2.3.1.
Таблица
2.3.1
Динамика затрат на рубль продукции ОАО
"Нефтекамскнефтехим" за 2008-2010 гг.
|
показатель
|
2008 г.
|
2009 г.
|
2010 г.
|
темп роста 2009 г. к 2008 г., %
|
темп роста 2010 г. к 2009 г., %
|
темп роста 2010 г. к 2008 г., %
|
|
1
|
2
|
3
|
4
|
5
|
6
|
7
|
|
Затраты на рубль продукции, коп.
|
89,97
|
95, 20
|
86,97
|
105,81
|
91,36
|
96,67
|
На основании
приведенных данных можно сделать вывод о том, что затраты на рубль продукции в
2010 году в ОАО "Нефтекамскнефтехим" значительно снизились, что
является положительной тенденцией уменьшаются.
Динамика уровня
затрат на 1 рубль товарной продукции представлена на рисунке 2.3.1.
Рис.2.3.1
Динамика уровня затрат на рубль продукции ОАО "Нефтекамскнефтехим" за
2008-2010 гг.
Определим фактическое
изменение уровня затрат на один рубль товарной продукции:
-
в 2009 г. по сравнению с 2008 г.: или 105,81%, т.е. уровень затрат на рубль товарной
продукции увеличился в 2009 году на 5,81% или на 5,23 коп. (95,20 - 89,97).
-
в 2010 г. по сравнению с 2009 г.: или 91,36%, т.е. уровень затрат на рубль
товарной продукции снизился в 2010 году на 8,63% или на 8,23 коп. (86,97 - 95,
20). Определим влияние факторов на изменение уровня затрат на рубль товарной
продукции ОАО "Нефтекамскнефтехим" в 2008-2010 гг. Исходные данные
для анализа представлены в таблицах 2.3.2 и 2.3.3.
Таблица 2.3.2
Исходные
данные для факторного анализа уровня затрат на рубль товарной продукции ОАО
"Нефтекамскнефтехим" за 2008-2009 годы, тыс. руб.
|
Показатели
|
2008 г.
|
Объем 2009 г. по ценам 2008 г.
|
2009 г.
|
|
Стоимость проданной продукции, выполненных работ и оказанных
услуг
|
70978021
|
63298199
|
60262138
|
|
Полная себестоимость проданной продукции, выполненных работ и
оказанных услуг
|
63858857
|
61297871
|
57368990
|
При этом индекс
физического объема продукции составил: в 2009 году по сравнению с 2008 годом:
Iq = 63298199/70978021 = 0,8918;
в 2010 году по
сравнению с 2009 годом:
Iq = 78244360 / 60262138 = 1,2984.
В 2009 году по
сравнению с 2008 годом:
а) за счет
изменения себестоимости проданной продукции, выполненных работ и оказанных
услуг:
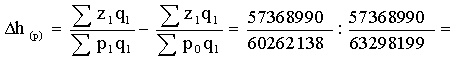
0,9063: 0,9684 = 0,9359
или 93,59%
90,63 - 96,84 = - 6,21
коп.
т.е. уровень затрат
на рубль стоимости проданной продукции, выполненных работ и оказанных услуг
снизился в 2009 году на 6,41% или на 6,21 коп. вследствие снижения
себестоимости продукции, работ, услуг;
б) за счет объема и ассортимента
проданной продукции, выполненных работ и оказанных услуг:
= 0,9684: 0,8997 =
1,0764 или 107,64%
таким образом,
вследствие изменения объема и ассортимента проданной продукции, выполненных работ
и оказанных услуг уровень затрат на рубль товарной продукции за весь
анализируемый период возрос на 6,87 коп. или на 7,64%;
в) за счет изменения цен
на проданную продукцию, выполненные работы и оказанные услуги:
= 0,9520: 0,9063 =
1,0504 или 105,04%
т.е. уровень затрат
на рубль товарной продукции увеличился в 2009 году на 5,04% или на 4,57 коп.
вследствие снижения цен на проданную продукцию, выполненные работы и оказанные
услуги.
Проверка:
=
0,9359 ×
1,0764 ×
1,0504 = 1,0581
= (-6,21) + 6,87 + 4,57
= +5,23 коп.
В 2010 году по
сравнению с 2009 годом:
а) за счет
изменения себестоимости проданной продукции, выполненных работ и оказанных
услуг:
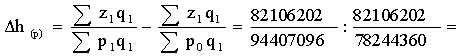
1,0494: 0,9136 = 1,1486
или 114,86%
104,94 - 91,36 = +13,58
коп.
т.е. уровень затрат
на рубль товарной продукции увеличился в 2010 году на 14,86% или на 13,58 коп.
вследствие увеличения себестоимости проданной продукции, выполненных работ и
оказанных услуг.
Таблица 2.3.3
Исходные
данные для факторного анализа уровня затрат на рубль товарной продукции ОАО
"Нефтекамскнефтехим" за 2009-2010 годы, тыс. руб.
|
Показатели
|
2009 г.
|
Объем 2010 г. по ценам 2009 г.
|
2010 г.
|
60262138
|
78244360
|
94407096
|
|
Полная себестоимость проданной продукции, выполненных работ и
оказанных услуг
|
57368990
|
71484047
|
82106202
|
б) за счет объема и ассортимента
проданной продукции, выполненных работ и оказанных услуг:
= 0,9136: 0,9520 =
0,9597 или 95,97%
таким образом,
вследствие изменения объема и ассортимента проданной продукции, выполненных
работ и оказанных услуг уровень затрат на рубль товарной продукции снизился на
3,84 коп. или на 4,03%;
в) за счет изменения цен
на проданную продукцию, выполненные работы и оказанные услуги:
= 0,8697: 1,0494 =
0,8288 или 82,88%
т.е. уровень затрат
на рубль товарной продукции снизился в 2010 году на 17,12% или на 17,97 коп.
вследствие повышения цен на проданную продукцию.
Проверка:
=
1,1486 ×
0,9597 ×
0,8288 = 0,9136
= 13,58 + (-3,84) +
17,97 = - 8,23 коп.
Таким образом, в
2008-2010 гг. затраты на рубль продукции в ОАО "Нефтекамскнефтехим"
снижаются, что является положительной тенденцией. Повышение себестоимости
проданной продукции оказало негативное влияние на уровень затрат на рубль
продукции.
Они увеличились в 2009
году на 6,21 коп., а в 2010 году на 13,58 коп. Вследствие изменения объема и
ассортимента продукции уровень затрат на рубль товарной продукции увеличился в
2009 году на 6,87 коп., а в 2010 году снизились на 3,84 коп.
Вследствие снижения цен
на продукцию в 2009 году уровень затрат на рубль товарной продукции увеличились
на 4,57%. Напротив, в 2010 году повышение цен положительно сказалось на уровне
затрат на рубль продукции - они снизились на 17,97 коп.
2.4 Маржинальный анализ издержек производства ОАО
"Нефтекамскнефтехим"
Особое значение в финансовом менеджменте
имеет деление затрат на постоянные и переменные. На нем базируется большинство
расчетов по оптимизации соотношения "затраты - результаты", по
обоснованию максимальной по прибыли программы производства и сбыта, наиболее
приемлемых цен и ценовой политики, систем директ-костинга, изменения приростных
и предельных затрат, маржинальной себестоимости и дохода. В основе деления
затрат на постоянные и переменные лежит поведение затрат, т.е. характер
изменения затрат в зависимости от изменения уровня деловой активности.
Постоянные затраты в сумме не
изменяются при изменении уровня деловой активности, они являются относительно
постоянными, но, рассчитаны на единицу продукции и изменяются при изменении
уровня производства. То есть понятие постоянных затрат означает, что они не
изменяются автоматически с изменением объемов производства или, что в данном
случае означает одно и то же, с изменением уровня загрузки производственных
мощностей. Поэтому понятие постоянных затрат в большей степени применимо для
периодов внутри года, когда состав и уровень использования производственных
возможностей предприятия и его подразделений существенно не изменяются. Вместе
с тем решение об увеличении этих мощностей всегда связано с необходимостью
дополнительных капитальных вложений, а следовательно, - постоянных затрат.
Менеджер должен знать экономически оправданные пределы их роста для того, чтобы
инвестиции были эффективными. Кроме того, решения о капитальных вложениях имеют
долгосрочные последствия, выходящие за пределы года и влияющие на расходы и
результаты деятельности будущих периодов. Постоянные затраты на единицу
продукции, работ, услуг - это средняя величина, получаемая в результате деления
общей суммы постоянных расходов данного периода времени на число единиц
измерения объема производства или продаж в этом же периоде.
Увеличение постоянных затрат, как
правило, связано с ростом производственных мощностей и происходит за счет
капитальных вложений и дополнительного привлечения оборотных средств.
Уменьшения абсолютной величины постоянных расходов достигают путем
рационализации производства, сокращения расходов по управлению, реализации
излишних основных средств.
Переменные затраты в сумме
изменяются прямо пропорционально изменению уровня деловой активности, но
рассчитанные на единицу продукции являются постоянными. Прямые затраты, как
материальные, так и трудовые, всегда являются переменными затратами. Сдельная
заработная плата производственных рабочих непосредственно зависит от объема
выполненных работ или объема выпущенной продукции. Затраты сырья и основных
материалов также находятся в прямой зависимости от объема произведенной
продукции.
Затраты электроэнергии, топлива,
вспомогательных материалов, которые относятся к общепроизводственным расходам,
также могут являться переменными затратами. Затраты на упаковку, складирование
продукции, относящиеся к коммерческим расходам, также изменяются при изменении
объема выпущенной и проданной продукции. Следовательно, часть
общепроизводственных и коммерческих расходов также может быть классифицирована
как переменные затраты.
Переменные затраты возрастают или
уменьшаются в абсолютной сумме в зависимости от изменения объема производства и
делятся на пропорциональные и непропорциональные.
К пропорциональным расходам относят
затраты на сырье, основные материалы, полуфабрикаты, заработную плату основных
производственных рабочих при сдельной оплате труда, преобладающую часть затрат
топлива и энергии на технологические цели, расходы на тару и упаковку изделий.
Они изменяются прямо пропорционально увеличению или уменьшению количества
изготовленной (реализованной) продукции.
Непропорциональные затраты в свою
очередь могут быть прогрессирующими, т.е. возрастающими быстрее, чем объем
производства, и дегрессирующими, если величина прироста их суммы меньше, чем
изменение количества продукции.
Часть совокупных затрат предприятия
для определенного производственного периода остается неизменной независимо от
величины уровня загрузки оборудования и других элементов производственной
мощности. Для оптимизации соотношения "затраты - выпуск" необходимо
знать, для какого периода времени производится подобное сопоставление. В
краткосрочном периоде (в пределах года, т.е. до изменения производственной
мощности) возможно выделение постоянных затрат. Для периода в несколько лет все
затраты предприятия являются переменными, и степень их зависимости от объема
выпуска и продаж и уровня использования оборудования нельзя выразить строго
функционально.
Влияет на поведение затрат и
изменение спроса на продукцию, товары и услуги. Устойчивое снижение продаж, как
правило, вызывает необходимость сокращения всех видов расходов, но в первую
очередь стремятся к снижению издержек на содержание аппарата управления,
аренду, избавляются от ставшего ненужным оборудования, продают даже часть
производственных зданий и сооружений, т.е. обеспечивают снижение постоянных
затрат. С другой стороны, существенное увеличение спроса ведет к расширению
масштабов деятельности, и в конечном итоге, приводит к росту всех категорий
затрат. Но в этом случае увеличиваются главным образом переменные расходы.
Растут и постоянные затраты за счет амортизации вновь приобретенных станков и
машин, увеличения части затрат на управление и сбыт, но этот рост отстает от
темпа роста переменных издержек. В итоге себестоимость единицы продукции
снижается, а прибыли растут.
Рассчитаем показатели маржинального
анализа для ОАО "Нефтекамскнефтехим" за 2008-2010 гг. (табл.2.4.1) по
методике, приведенной в первой главе.
Таблица 2.4.1
Анализ
точки безубыточности ОАО "Нефтекамскнефтехим" в 2008-2010 гг.
|
Показатель
|
|
|
|
Отклонение (+, - )
|
|
2008 г.
|
2009 г.
|
2010 г.
|
2009 г. к 2008 г.
|
2010 г. к 2009 г.
|
|
1
|
2
|
3
|
4
|
5
|
6
|
|
1. Выручка (нетто) от продажи, тыс. руб.
|
70978021
|
60262138
|
94407096
|
-10715883
|
+34144958
|
|
2. Суммарные затраты, тыс. руб.
|
63858857
|
57368991
|
82106202
|
-6489866
|
+24737211
|
|
3. Переменные затраты (материальные затраты и 50% затрат на
оплату труда и отчислений на социальные нужды), тыс. руб.
|
50339588
|
42963617
|
67231399
|
-7375971
|
+24267782
|
|
4. Постоянные затраты, тыс. руб. (стр.2 - стр.3)
|
13519269
|
14405374
|
14874803
|
+886105
|
+469429
|
|
5. Прибыль от продаж, тыс. руб.
|
7119164
|
2893147
|
12300894
|
-4226017
|
+9407747
|
|
6. Безубыточный объем продаж, тыс. руб. (стр.4/ (1 -
стр.3/стр.1))
|
46494371
|
50183402
|
51674368
|
+3689031
|
+1490966
|
|
7. Запас критической надежности, % (стр.1 - стр.6) / стр.1 *100%
|
34,49
|
16,72
|
45,26
|
-17,77
|
+28,54
|
|
8. Уровень операционного рычага (стр.1 - стр.3) / стр.5
|
2,90
|
5,98
|
2,21
|
+3,08
|
-3,77
|
|
9. Маржинальный доход. тыс. руб. (стр.1 - стр.3)
|
20638433
|
17298521
|
27175697
|
-3339912
|
+9877176
|
Проведенные расчеты свидетельствуют
о неоднозначной тенденции маржинального дохода за период 2008-2010 гг.
Уровень маржинального дохода
составил в 2008 г. 20638433 тыс. руб., в 2009 году данный показатель снизился
на 3339912 тыс. руб. и составил 17298521 тыс. руб. Такое снижение маржинального
дохода - следствие глобального финансового кризиса. В 2010 году спрос на
продукцию ОАО "Нефтекамскнефтехим" повысился, что явилось одной из
причин увеличения маржинального дохода на 9877176 тыс. руб. Данный показатель
составил в 2010 году 27175697 тыс. руб.
Рассмотрим динамику
маржинального дохода на рисунке 2.4.1.
тыс. руб.
Рис.2.4.1 Динамика
маржинального дохода ОАО "Нефтекамскнефтехим" в 2008-2010 гг.
Анализ критического объема продажи
(точки безубыточности) позволяет оценить степень надежности организации, то
есть ее устойчивость к снижению спроса и соответственно объема продаж.
Проведенные расчеты показали, что безубыточный объем продажи увеличился в 2009
году по сравнению с 2008 годом на 3689031 тыс. руб., а в 2010 году - еще на
1490966 тыс. руб. и составил 51674368 тыс. руб.
Запас критической надежности
составил в 2008 году 34,49%, в 2009 - 16,72%, а в 2010 году - 45,26%. Такая
динамика свидетельствует о повышении эффективности деятельности предприятия в
2010 году.
Очень важное значение имеет расчет
показателя операционного рычага - это показатель потенциальной возможности
изменения прибыли за счет изменения структуры затрат и объема реализации.
Уровень операционного рычага повысился в 2009 году на 3,08 относительных
единицы и снизился на 3,77 относительных единицы в 2010 году, что
свидетельствует о снижении рискованности деятельности организации.
Таким образом, ОАО
"Нефтекамскнефтехим" - динамично развивающееся, высокотехнологичное
нефтехимическое предприятие Российской Федерации, входит в группу компаний
"ТАИФ". В 2010 году в ОАО "Нефтекамскнефтехим" выпущено
товарной продукции на сумму 90487,3 млн. руб., что выше уровня прошлого года на
33195,7 млн. руб. В 2010 году, в связи с постепенным выходом из экономического
кризиса, потребление нефтехимической продукции в мире начало расти. Помимо
реанимации и налаживания мировых производств по всем цепочкам продукции, это
стало еще и результатом так называемого "отложенного спроса" на
различные товары, такие как автомобили, бытовая техника и электроника, товары народного
потребления. Спрос на некоторые виды продукции со стороны зарубежных клиентов
превышал технологические возможности компании.
Суммарные затраты ОАО
"Нефтекамскнефтехим" в 2009 году по сравнению с 2008 годом снизились
на 15547780 тыс. руб. или на 14,84% и составили 89207238 тыс. руб. В 2010 году
суммарные затраты повысились на 43388312 тыс. руб. или на 48,64% и составили
132595550 тыс. руб. Большую часть суммарных затрат предприятия составляет
себестоимость проданных товаров, работ, услуг. Проведенный анализ
свидетельствует о снижении затрат на осуществление
производственно-хозяйственной деятельности в 2009 году по сравнению с 2008 году
на 5877775 тыс. руб. или на 9,34%, причиной чего является спад производства
вследствие глобального экономического кризиса. В 2010 году уровень затрат
повысился на 24829288 тыс. руб. или на 43,61% и составил 81760519 тыс. руб.,
что связано с повышением спроса на продукцию ОАО
"Нефтекамскнефтехим". Наибольший удельный вес в структуре затрат на
осуществление производственно-хозяйственной деятельности занимают материальные
затраты.
В 2008-2010 гг. затраты на рубль
продукции в ОАО "Нефтекамскнефтехим" снижаются, что является
положительной тенденцией. Повышение себестоимости проданной продукции оказало
негативное влияние на уровень затрат на рубль продукции. Они увеличились в 2009
году на 6,21 коп., а в 2010 году на 13,58 коп. Вследствие изменения объема и
ассортимента продукции уровень затрат на рубль товарной продукции увеличился в
2009 году на 6,87 коп., а в 2010 году снизились на 3,84 коп. Вследствие
снижения цен на продукцию в 2009 году уровень затрат на рубль товарной
продукции увеличились на 4,57%. Напротив, в 2010 году повышение цен
положительно сказалось на уровне затрат на рубль продукции - они снизились на
17,97 коп.
Проведенные расчеты свидетельствуют
о неоднозначной тенденции маржинального дохода за период 2008-2010 гг. Уровень
маржинального дохода в 2009 году данный показатель снизился на 3339912 тыс.
руб., что явилось следствием глобального финансового кризиса. В 2010 году спрос
на продукцию ОАО "Нефтекамскнефтехим" повысился, что явилось одной из
причин увеличения маржинального дохода. Запас критической надежности составил в
2008 году 34,49%, в 2009 - 16,72%, а в 2010 году - 45,26%. Такая динамика свидетельствует
о повышении эффективности деятельности предприятия в 2010 году. Уменьшение
уровня операционного рычага в 2010 гг. свидетельствует о снижении рискованности
деятельности организации.
Результаты проведенного анализа
являются основой для определения направлений повышения эффективности управления
издержками в ОАО "Нефтекамскнефтехим".
3. Основные направления повышения эффективности
управления издержками производства ОАО "Нефтекамскнефтехим"
3.1 Пути уменьшения постоянных издержек ОАО
"Нефтекамскнефтехим" и их экономическое обоснование
Оптимизируя затраты, большинство
компаний сосредотачиваются на сокращении численности персонала,
продолжительности рабочей недели и количества рабочих смен, административно
хозяйственных расходах, а также выбивании льготных условий у своих поставщиков
и подрядчиков.
Однако необходимо внимательнее
изучить постоянные расходы бизнеса. Но нельзя полагаться на классический
вертикальный и горизонтальный анализ затратных статей. Эти подходы отвечают на
вопрос, насколько выросли расходы организации за последнее время. Но это не
позволяет судить о том, до какого уровня можно снизить постоянные издержки. Для
точной оценки необходимо провести глубокий анализ фактической эффективности
использования ресурсов. Это потребует некоторого времени, но результат будет
того стоить.
В ответ на сокращение выручки,
компании предприняли ряд экстренных шагов по сокращению затрат. В основном
снижались:
переменные затраты, которые
сократились пропорционально уменьшению объемов производства;
постоянные издержки, непосредственно
не связанные с основной деятельностью предприятия и не оказывающие заметного
влияния на его деятельность (например, затраты на различные корпоративные
мероприятия, обучение персонала, консультационные услуги и др.);
инвестиционные затраты.
При этом из постоянных затрат под
сокращение в большинстве случаев попали только расходы на оплату труда
персонала - на предприятиях проводятся сокращения персонала, сотрудников
отправляют в принудительный отпуск или сокращают продолжительность рабочей недели.
Другие виды постоянных издержек практически не претерпели каких-либо
существенных изменений. Такая ситуация вызвана, прежде всего, сложностью
быстрого устранения некоторых видов постоянных затрат, например, амортизации.
Другая важная проблема - сложно определить минимально необходимый размер
постоянных затрат. Другими словами, до какого уровня их можно снижать, чтобы
проводимая оптимизация не вылилась для предприятия в еще большее снижение
выручки.
До начала кризиса, пока экономика
стабильно росла, предприятия стремительно наращивали объемы производства
продукции и услуг. При этом увеличивались не только переменные издержки, но и
постоянные. То есть расходы, которые условно считаются постоянными, в условиях
быстро развивающейся экономики ведут себя, почти как "переменные".
Условно, если обозначить возможность постоянных затрат обеспечивать
деятельность предприятия (фактически, производство определенного объема
продукции или услуг) как "мощность" данных затрат, то увеличение
мощности происходило ступенчато, вместе с ростом продаж.
Здесь речь идет не только о машинах
и оборудовании, но и о вспомогательных видах деятельности, таких как,
проектирование продуктов, продвижение, закупочная деятельность, управление
производством. Часто рост мощности несколько опережал фактические потребности,
создавали резервы на перспективу дальнейшего развития бизнеса. В итоге кризис
многие компании встретили с неплохим запасом мощностей, которые для финансового
директора не что иное, как постоянные расходы.
Для точной оценки возможностей
снижения постоянных затрат потребуется глубокий анализ направлений и
фактической эффективности использования ресурсов. Необходимую информацию может
дать система попроцессного калькулирования затрат Activity Based Costing (ABC).
В случае, если эта система на предприятии еще не используется, можно провести
анализ затрат с использованием основных принципов методики АВС.
При использовании метода ABC
определяются основные процессы, осуществляемые в компании, и затраты,
необходимые для их функционирования. Необходимая мощность процессов
определяется на основе планируемого объема выпуска продукции. С этим все просто
и ясно.
Для распределения затрат на процессы
выявляются факторы (драйверы), пропорционально которым затраты переносятся на
процессы. Например, в случае затрат на оплату труда определенного сотрудника,
драйвером будет временя, затраченное сотрудником для выполнения определенного
процесса.
Основным инструментом для сокращения
затрат, который метод АВС предоставляет руководству предприятия, является
выявление избыточных мощностей бизнес-процессов. Для этого определяется
фактически используемая доля от максимальной производственной мощности каждого
процесса (максимальное количество видов выпускаемой продукции, максимальное
количество партий продукции, максимальное количество обслуживаемых клиентов) и
стоимость (постоянные затраты) неиспользуемых ресурсов.
Мощность процесса ограничивается
возможностями используемых ресурсов: общим фондом рабочего времени сотрудников
предприятия, максимальным временем безостановочной работы оборудования или
площадью арендованных помещений. Определить максимальную мощность можно на
основании нормативных, среднеотраслевых, исторических значений или мнений
экспертов.
Для ОАО
"Нефтекамскнефтехим" также необходимо внедрение данной системы.
Постоянные издержки предприятия - это затраты на оплату труда производственного
и управленческого персонала, арендная плата за производственные, офисные и
складские помещения; амортизация оборудования. Все они необходимы для
функционирования следующих процессов:
планирования (планирование объемов
выпуска, объемов закупки материалов);
закупки материалов (поиск
поставщиков, заключение договоров, выставление заказов, оформление платежных
документов);
наладки оборудования (очистка и
настройка оборудования перед выпуском новой партии);
хранения и внутренних перемещений
материалов и готовой продукции;
производства продукции;
продаж (заключение договоров,
обработка заказов, оформление платежных документов).
К постоянным издержкам относятся
также арендные платежи. Возможности снижения арендных платежей также зависят от
того, как составлен договор аренды: с какой периодичность мы можем
пересматривать объемы арендуемых площадей, можем ли мы сдавать их в субаренду и
т.д.
Размер целевого использования мощности
зависит от планов предприятия и возможности оперативно менять мощность ресурса.
Если, например, руководство планирует, что в ближайшее время возможен
незначительный рост объемов производства, необходимо заложить некий резерв. В
то же время, рынок труда сейчас для компании благоприятен и в случае
необходимости компания может легко найти необходимый персонал. В этом случае
было принято решение резерв мощности для рабочего персонала не оставлять,
обеспечив стопроцентную загрузку.
Таким образом, менеджмент компании
смог обоснованно, без ущерба для производства сократить существенную сумму
накладных расходов в ответ на снижение спроса на продукцию.
Проведенный хронометраж процесса
"Выполнение строительно-монтажных работ" и анализ исторических данных
показал, что существующий штат сотрудников позволяет осуществлять
строительно-монтажные работы по 120 договорам в месяц. В связи с сокращением
объемов и оттоком контрагентов (остались в основном только постоянные крупные
клиенты), количество договоров сократилось до 60 штук в месяц. В результате
руководство может отказаться от услуг пятидесяти процентов персонала, занятого
в данном процессе, а значит уменьшить его стоимость для компании. При
сокращении персонала также высвобождается часть арендованной площади и оборудования,
однако сокращение затрат на эти виды ресурсов не всегда возможно.
Сокращение персонала незначительно
повлияет на стоимость процесса и на себестоимость одной упаковки, поскольку
основная часть постоянных затрат в процессе "Выполнение строительно-монтажных
работ" приходится на амортизацию оборудования, которое сложно реализовать
в условиях экономического спада.
В таком случае руководству
предприятия имеет смысл рассмотреть возможность увеличения объемов производства
и снижения цены за единицу продукции. При этом себестоимость производства
каждой новой единицы продукции будет ниже: предприятие будет дополнительно
нести только переменные расходы, а постоянные расходы останутся неизменными.
При этом нужно следить за тем, что бы незадействованные мощности других
процессов были достаточны для увеличения выпуска.
Технология ABC дает менеджменту
предприятия наглядную информацию о направлениях и эффективности использования
ресурсов компании, а именно: процесс, на выполнение которого пошли затраты;
размер постоянных затрат, приходящихся на тот или иной процесс; факторы затрат,
определяющие эффективность использования затрат; постатейную сумму постоянных
затрат на незадействованные мощности, и натуральные объемы фактически не
используемых ресурсов (незадействованные мощности).
При всех достоинствах, полноценное
внедрение методики ABC - достаточно трудоемко. Если данная система еще не
внедрена на предприятии, анализ затрат с ее использованием потребует масштабной
аналитической работы. Для этого нужно время, которого зачастую у компаний
сегодня просто нет. Причем, применять технологию АВС оправдано лишь тем
предприятиям, где высока доля постоянных издержек, в противном случае результат
не оправдает потраченных сил и средств.
При существенном снижении объемов
продаж можно выяснить, какие постоянные затраты компания несла ранее при
сопоставимом размере выручки, и урезать постоянные затраты до соответствующих
исторических значений. Можно также рекомендовать провести классификацию всех
затрат по трем основным группам:
затраты, не подлежащие пересмотру
(т.е. те затраты, которые предприятие в принципе не может сократить);
затраты, которые могут быть
пересмотрены, однако их снижение может вызвать какие-либо последствия для
предприятия (пересмотр договорных отношений);
затраты, которые могут быть
сокращены без последствий для деятельности компании.
Это позволит сразу задать
направление для активных действий со стороны руководства компании.
Таким образом, для снижения
постоянных затрат в ОАО "Нефтекамскнефтехим" необходимо внедрение
системы попроцессного калькулирования затрат Activity Based Costing (ABC).
Основным инструментом для сокращения затрат, который метод АВС предоставляет
руководству предприятия, является выявление избыточных мощностей
бизнес-процессов. Для этого определяется фактически используемая доля от
максимальной производственной мощности каждого процесса (максимальное
количество видов выпускаемой продукции, максимальное количество партий
продукции, максимальное количество обслуживаемых клиентов) и стоимость (постоянные
затраты) неиспользуемых ресурсов. Технология ABC дает менеджменту предприятия
наглядную информацию о направлениях и эффективности использования ресурсов
компании, а именно: процесс, на выполнение которого пошли затраты; размер
постоянных затрат, приходящихся на тот или иной процесс; факторы затрат,
определяющие эффективность использования затрат; постатейную сумму постоянных
затрат на незадействованные мощности, и натуральные объемы фактически не
используемых ресурсов (незадействованные мощности).
3.2 Пути уменьшения переменных издержек ОАО
"Нефтекамскнефтехим" и их экономическое обоснование
Большую роль на ОАО
"Нефтекамскнефтехим" играет планирование и прогнозирование затрат.
Планирование затрат является исходным пунктом в системе "затраты - выручка
- прибыль", обеспечивает защиту конкурентных позиций предприятия в отрасли
и на рынке, укрепляет финансовую устойчивость, стабилизирует ценообразование,
является составным элементом планирования рентабельности, формирует
эффективность деятельности предприятия и т.п. Вначале планируется себестоимость
отдельных видов продукции, затем - затраты по видам статей, далее - общая сумма
затрат. При планировании затрат должны быть определены факторы, влияющие на
них, и степень (параметры, коэффициенты) этой зависимости. При этом на каждую
группу затрат будут действовать различные факторы. Например, на переменные
затраты оказывают влияние объем производства и реализации продукции. На такие
элементы постоянных затрат, как амортизация, влияет величина используемого
оборудования, на управленческие расходы - количество
административно-управленческих работников, на величину арендной платы - площадь
помещения, его местоположение и пр.
В процессе
разработки планов необходимо определить, какие виды затрат являются приростными;
при каких изменениях объемов производства также могут изменяться
условно-постоянные затраты и насколько существенными могут быть такие
изменения; какие из постоянных затрат являются предотвратимыми. Рассчитывают
также изменение сумм издержек при различных объемах производства. При
запланированных объемах производства определяется величина постоянных и
переменных затрат. Затем появляется возможность исчислить величины постоянных
затрат в себестоимости единицы продукции.
При планировании
затрат возможное их повышение должно быть тщательно продумано. Упор следует
делать на снижение Уровня издержек, в крайнем случае - на сохранение их
прежнего уровня. При этом необходимо учитывать факторы и резервы снижения
затрат, зависящие от предприятия. Обычно при повышении объемов производства
издержки на единицу продукции снижаются. Однако при дальнейшем росте
производства они могут вновь начать расти, так как появляются дополнительные
затраты, обусловленные перегрузкой оборудования, дополнительным ремонтом и др.
Чтобы этого не случилось, менеджеры должны предусмотреть возможность расширения
производственных мощностей (учитывая перспективы дальнейшего сбыта продукции).
Со временем издержки вновь начинают расти, поэтому требуются новые
капиталовложения. Одновременно могут начать расти управленческие расходы.
Существуют прямые и
косвенные способы снижения издержек. К прямому способу снижения издержек
относятся мероприятия, непосредственно направленные на снижение затрат. Это
экономия материально-вещественных факторов производства, укрепление трудовой
дисциплины, усиление материальной ответственности персонала,
технико-технологического уровня производства, ужесточение норм расхода сырья и
материалов на единицу продукции, изменение ассортимента продукции и др.
Сведение к минимуму предполагаемых потерь получило название критерия Севиджа.
Снижение издержек также может осуществляться посредством минимизации
предотвратимых затрат, уменьшения абсолютного объема материальных затрат,
уменьшения доли последних в себестоимости продукции. Эта доля может меняться и
независимо от усилий предприятия (например, вследствие изменения цен на
товарно-материальные ресурсы).
Косвенные способы
снижения затрат имеют место, когда следствием (побочным эффектом) мероприятий,
имеющих другие приоритеты, является снижение затрат. Например, предприятие,
выпускающее продукцию неэластичного спроса, решило повысить цены реализации.
Как это ни парадоксально, отдаленным следствием этого процесса явится снижение
затрат на производство. Причина заключается в том, что при росте цен сократятся
сбыт продукции и объем ее производства. Последнее приведет к уменьшению затрат
на производство. При увеличении объемов производства и сбыта снижаются
постоянные затраты на единицу продукции. Снижение издержек предполагает снижение
не только производственных затрат, но и издержек обращения (коммерческих),
внереализационных издержек, управленческих затрат.
К числу мер
предупреждения перерасхода средств относятся: постоянный анализ и контроль над
затратами; непрерывное ужесточение норм расхода сырья; внедрение режима строгой
экономии; расширение круга нормируемых оборотных средств; установление
потенциальных зон с наиболее высоким риском перерасхода средств; достижение
запланированных показателей объема производства (при снижении последних растут
постоянные затраты на единицу продукции); определение взаимосвязи динамики и
относительных показателей затрат с объемами и динамикой
производственно-коммерческой деятельности предприятия и качества продукции и
др.
В целях
профилактики перерасхода средств в ОАО "Нефтекамскнефтехим"
необходимо определить возможные причины их перерасхода. Это может быть:
приобретение продукции с потребительскими свойствами ниже ожидаемых; удорожание
инвестиционных проектов; вынужденное использование кредитов и займов с
невыгодными условиями; увеличение первоначальной стоимости закупаемых
материалов или их первоначальная недооценка; недостатки нормирования оборотных
средств или его отсутствие; использование устаревшего оборудования или сырья;
неэффективное использование оборудования; финансовые упущения и злоупотребления
менеджеров; нарушения законодательства, нормативных актов и вызванные этим
штрафные санкции; нежелательные изменения в законодательстве и нормативных
актах; инфляционные процессы; негативные изменения валютных курсов и др.
Профилактика перерасхода затрат должна охватывать все аспекты деятельности
предприятия, в том числе, казалось бы, не имеющие отношения к политике экономии
ресурсов.
В условиях свободной конкуренции
цена продукции, произведенной предприятиями (организациями, фирмами)
выравнивается автоматически. На нее воздействуют законы рыночного
ценообразования. В то же время каждое предприятие стремится к получению
максимально возможной прибыли и здесь, помимо факторов увеличения объема выпускаемой
продукции, продвижения ее на незаполненные рынки, неумолимо выдвигается
проблема снижения затрат на производство и реализацию этой продукции, снижения
издержек производства.
При управлении переменными затратами
основным ориентиром должно быть обеспечение постоянной их экономии, так как
между суммой этих затрат и объемом производства и продаж существует прямая
зависимость. Обеспечение этой экономии до преодоления предприятием точки
безубыточности ведет к росту маржинального дохода, что позволяет быстрей
преодолеть эту точку. После преодоления точки безубыточности сумма экономии
переменных затрат будет обеспечивать прямой прирост прибыли предприятия. К
числу основных резервов экономии переменных затрат можно отнести: снижение
численности работников основного и вспомогательных производств за счет
обеспечения роста производительности их труда; сокращение размеров запасов
сырья, материалов и готовой продукции в периоды неблагоприятной конъюнктуры
товарного рынка; обеспечение выгодных для предприятия условий поставки сырья и
материалов и другие.
В традиционном представлении
важнейшими путями снижения себестоимости продукции (затрат) является:
экономия всех видов ресурсов,
потребляемых в производстве: трудовых и материальных;
увеличение объема производства за счет
более полного использования производственной мощности предприятия.
Разработка плана организационно -
технических мероприятий по использованию внутрипроизводственных резервов
снижения затрат основывается на результатах анализа их источников и факторов. Из
всего многообразия технико-экономических факторов к укрупненным группам можно
отнести: повышение технического уровня производства; улучшение организации
производства и труда; изменение объема и структуры номенклатуры выпускаемой
продукции.
Снижение трудоемкости продукции,
роста производительности труда, повышение технического уровня можно достичь
различными способами. Наиболее эффективные из них:
совершенствования средств труда
(внедрение прогрессивной техники, повышение доли современного оборудования), предметов
труда (внедрение прогрессивных видов сырья, материалов, энергоносителей).
улучшение использования сырья и
материалов;
внедрение прогрессивной технологии,
механизации и автоматизации производственных процессов.
Внедрение более производительного оборудования
обеспечивает экономию заработной платы (живой труд) при увеличении
амортизационных отчислений (прошлый труд). Повышение производительности труда
(ее результативности и эффективности) заключается именно в том, что доля живого
труда уменьшается, а доля прошлого труда увеличивается, но увеличивается так,
что общая сумма труда, заключенного в товаре, уменьшается, что, следовательно,
количество живого труда уменьшается медленнее, чем растет количество прошлого
труда.
Совершенствование организации производства
и труда влияет на снижение себестоимости продукции в результате специализации
производства, улучшения организации труда, совершенствования организации
управления производством, улучшения материально - технического снабжения и
сбыта, лучшего использования времени станочников, сокращения излишних затрат.
Повышение эффективности
промышленного производства в значительной степени зависит от того, на сколько
высок уровень использования материальных, трудовых и финансовых ресурсов.
Анализ структуры материальных затрат показывает, что снижение материалоемкости
продукции (количество материалов на производство продукции) может оказать более
существенное влияние на снижение себестоимости по сравнению со снижением
фондоемкости продукции. Снижение стоимости материальных ресурсов на единицу
продукции подчинено действию и требованиям закона стоимости. Этот закон
предусматривает обеспечение соответственного уровня эффективности средств
производства, которые перерабатывают материальные ресурсы. В сфере организации производства
согласно закону стоимости необходимо учитывать затраты на материалы.
Материалоемкость продукции относится
к одному из важнейших показателей уровня использования сырья и материалов.
Материалоемкость - это экономическая категория, отражающая затраты прошлого
труда и эффективность использования материальных ресурсов в процессе
производства. Причем, материальные затраты могут быть представлены как в
натуральном так и в стоимостном выражении. Последнее относится к стоимости
продукции, в которой материальные затраты выражаются в обобщенном виде.
Экономия сырья и материалов - один из факторов роста эффективности производства
в ОАО "Нефтекамскнефтехим". Себестоимость потребляемого материала
снижается в результате снижения удельных расходов материалов на единицу
продукции, что непосредственно связано с уменьшением норматива оборотных
средств. Величина материалоемкости продукции оказывает непосредственное влияние
на размеры производственных запасов и стоимость нормируемых оборотных средств.
Это имеет большое значение для финансового состояния предприятия.
В частности наиболее важной статьей
расходов является расходы на энергию.
Энергосбережение - приоритетное
направление деятельности ОАО "Нефтекамскнефтехим", которая в условиях
реформирования электроэнергетики, роста цен на энергоресурсы является
существенным внутренним резервом, позволяющим значительно наращивать не только
собственное производство, но и валовой региональный продукт.
Компания является самым крупным
потребителем энергоресурсов среди промышленных предприятий РТ, потребляя 9,2%
электрической и 29,2% тепловой энергии, вырабатываемой всей энергосистемой
Республики Татарстан. В 2010 году акционерное общество потребило 2,1 млрд.
кВт/ч электрической энергии на сумму 3,7 млрд. руб., 9,5 млн. Гкал тепловой
энергии на сумму 9,1 млрд. руб. и 665 млн. природного газа на сумму 1,8 млрд.
руб. Суммарные затраты на приобретение этих энергоресурсов составили 14,6 млрд.
руб.
В ОАО "Нефтекамскнефтехим"
успешно выполнены Первая и Вторая программы энергосбережения. Внедренные в их
рамках мероприятия позволили уменьшить затраты на приобретение энергоресурсов
со стороны, ежегодно снижать удельные нормы расхода энергоресурсов на единицу
выпускаемой продукции. За период действия Первой программы энергосбережения (с
2000 по 2005 гг.) внедрено 418 энергосберегающих мероприятий. Экономия
составила 632,3 млн. руб. Сэкономлено: 1,6 млн. Гкал тепловой энергии, 112 млн.
кВт/ч электрической энергии и 77 тыс. т условного топлива.
За время действия второй Программы
энергосбережения (с 2006 по 2010 гг.) внедрено 457 энергосберегающих
мероприятий. Сэкономлено: 3,5 млн. Гкал тепловой энергии, 127 млн. кВт/ч
электрической энергии и 79 тыс. т условного топлива. Экономия от внедрения
составила 2,7 млрд. руб.
В целях снижения затрат на энергетику
и повышения конкурентоспособности продукции в ОАО
"Нефтекамскнефтехим" с августа 2007 года пущен в работу блок ГТУ-75,
который является новой технологией с более высокими технико-экономическими
показателями и обеспечивает повышение надежности и маневренности
энергооборудования Нефтекамской ТЭЦ. За период с 2007 по 2010 гг. установкой
ГТУ-75 выработано 1,4 млрд. /кВт. ч электрической и 2,3 млн. Гкал. тепловой
энергии.
С введением Правил функционирования
розничного рынка электроэнергии согласно Постановлению Правительства РФ № 530 в
ОАО "Нефтекамскнефтехим" ведутся работы в новых условиях переходного
периода реформирования электроэнергетики. Заключены, применительно к новым
условиям работы на розничном рынке электроэнергии, договора энергоснабжения,
ежедневно подаются заявки на плановое почасовое потребление электроэнергии на
двое суток вперед. Ведутся работы по выходу ОАО "Нефтекамскнефтехим"
на оптовый рынок электрической энергии и мощности.
Для повышения надежности
энергоснабжения в Акционерном обществе проводится работа по замене старых щитов
станций управления электрооборудованием (ЩСУ-0,4 кВ) на щиты управления фирмы
"Сименс". Данная программа выполняется с 2005 года и рассчитана до
2012 года. Планируется заменить 250 ЩСУ и 27 распределительных пунктов (РП) и
трансформаторных подстанций (ТП).
За 2005-2010 гг. заменено 139
ЩСУ-0,4 кВ на заводах БК, СК, СКИ, Этилена, Окиси этилена, ДБ и УВС,
Олигомеров, в управлениях ВК и ОСВ, УЭС. А также смонтированы РП-12А и ТП-74 на
заводе БК, ЗРУ 6кв - на п/ст "Очистные сооружения". В рамках этой же
программы проведена работа по замене преобразователей и пультов управления
фирмы "Сименс" на машинах выделения ЛК. На 10 машинах заменены
преобразователи, пульты управления прессами, станции управления машинами
выделения.
В 2010 году в рамках совместной
программы по повышению надежности энергоснабжения и снижения рисков отключения
электроэнергии Нефтекамского промышленного узла на семи главных понизительных
подстанциях проведена замена устаревшей системы "отделитель - короткозамыкатель"
на современную систему с применением элегазовых выключателей.
В 2011 году планируются следующие
перспективные направления работы:
реконструкция РП 6кВ, ТП 6/04, ЩСУ
0,4 кВ серии "SIVACON" фирмы "Siemens";
замена систем управления электроприводами
на частотно-регулируемые;
реконструкция выработавшего свой
ресурс энергооборудования;
капитальный ремонт
электродвигателей, с заменой обмоток, выработавших эксплуатационный ресурс;
капитальный ремонт сетей освещения
на заводах ИМ и СК с применением светильников фирмы "Philips";
замена проходных маслонаполненных
вводов на ввода с твердой изоляцией на переходных пунктах ПП-1.
замена кабеля 6 кВ ГПП4, РП26 для
электроснабжения АКС и ОЭ (импортное производство);
замена регуляторов давления на
ГРП-1;
реконструкция паропровода по ряду
"А" с ПТК-1 НК ТЭЦ.
Осуществление данных мероприятий
позволит существенно снизить энергозатраты (на 15%).
Определим экономический эффект от
осуществление данных мероприятий в ОАО "Нефтекамскнефтехим", при этом
структура затрат будет представлена следующим образом (таблица 3.2.1).
Таблица
3.2.1
Изменение уровня и структуры затрат ОАО
"Нефтекамскнефтехим" в результате применения программы
энергосбережения
|
Элементы затрат
|
2010 г.
|
2011 г. (усл.)
|
Отклонение (+, - )
|
|
|
|
в тыс. руб.
|
изменение удельного веса, %
|
|
тыс. руб.
|
удельный вес, %
|
тыс. руб.
|
удельный вес, %
|
|
|
|
1
|
2
|
3
|
4
|
5
|
6
|
7
|
|
Материальные затраты
|
63907271
|
78,16
|
62569260
|
77,80
|
-1338011
|
-0,36
|
|
в том числе затраты на топливо и электроэнергию
|
8920073
|
10,91
|
7582062
|
9,43
|
-1338011
|
-1,48
|
|
Затраты на оплату труда
|
5390691
|
6,59
|
5390691
|
6,70
|
-
|
+0,11
|
|
Отчисления на социальные нужды
|
1257565
|
1,54
|
1257565
|
1,56
|
-
|
+0,02
|
|
Амортизация
|
3197776
|
3,91
|
3197776
|
3,98
|
-
|
+0,07
|
|
Прочие затраты
|
8007216
|
9,79
|
8007216
|
9,96
|
-
|
+0,17
|
|
Итого по элементам затрат
|
81760519
|
100,00
|
80422508
|
100,00
|
-1338011
|
-
|
Как следует из таблицы 3.2.1,
осуществление "Программы энергосбережения" позволит снизить
существующий уровень затрат на 1338011 тыс. руб. или на 1,64%. Удельный вес
энергозатрат сократится при этом на 1,48%.
Рассчитаем изменение уровня затрат
на 1 рубль продукции (показатель общей ресурсоемкости) по ОАО
"Нефтекамскнефтехим":
УЗ2011 (усл) =
80422508/94407096 = 85,19 (коп.)
ΔУЗ = УЗ2011 (усл) - УЗ2009 = 85,19 - 86,97 =
- 1,78 (коп.)
Итак, уровень затрат
на 1 рубль продукции (показатель общей ресурсоемкости) снизится на 1,78 коп.
или на 2,09%.
Таким образом, для снижения
постоянных затрат в ОАО "Нефтекамскнефтехим" необходимо внедрение
системы попроцессного калькулирования затрат Activity Based Costing (ABC).
Основным инструментом для сокращения затрат, который метод АВС предоставляет
руководству предприятия, является выявление избыточных мощностей
бизнес-процессов. Для этого определяется фактически используемая доля от
максимальной производственной мощности каждого процесса (максимальное
количество видов выпускаемой продукции, максимальное количество партий
продукции, максимальное количество обслуживаемых клиентов) и стоимость
(постоянные затраты) неиспользуемых ресурсов. Технология ABC дает менеджменту
предприятия наглядную информацию о направлениях и эффективности использования
ресурсов компании, а именно: процесс, на выполнение которого пошли затраты;
размер постоянных затрат, приходящихся на тот или иной процесс; факторы затрат,
определяющие эффективность использования затрат; постатейную сумму постоянных
затрат на незадействованные мощности, и натуральные объемы фактически не
используемых ресурсов (незадействованные мощности).
Основными направлениями по снижению
переменных затрат ОАО "Нефтекамскнефтехим" являются:
·
экономия всех видов ресурсов, потребляемых в производстве:
трудовых, материальных и денежных;
·
внедрение прогрессивной технологии, которая позволит снизить
величину переменных затрат;
·
повышение эффективности использования сырья и материалов;
·
совершенствование предметов труда (внедрение прогрессивных видов
сырья, материалов, энергоносителей).
В частности, в рамках
"Программы энергосбережения" в 2011 году планируются следующие
перспективные направления работы:
реконструкция РП 6кВ, ТП 6/04, ЩСУ
0,4 кВ серии "SIVACON" фирмы "Siemens";
замена систем управления
электроприводами на частотно-регулируемые;
реконструкция выработавшего свой
ресурс энергооборудования;
капитальный ремонт
электродвигателей, с заменой обмоток, выработавших эксплуатационный ресурс;
капитальный ремонт сетей освещения
на заводах ИМ и СК с применением светильников фирмы "Philips";
замена проходных маслонаполненных
вводов на ввода с твердой изоляцией на переходных пунктах ПП-1.
замена кабеля 6 кВ ГПП4, РП26 для
электроснабжения АКС и ОЭ (импортное производство);
замена регуляторов давления на
ГРП-1;
реконструкция паропровода по ряду
"А" с ПТК-1 НК ТЭЦ.
Осуществление "Программы
энергосбережения" позволит снизить существующий уровень затрат на 1338011
тыс. руб. или на 1,64%. Удельный вес энергозатрат сократится при этом на 1,48%.
Уровень затрат на 1 рубль продукции (показатель общей ресурсоемкости) снизится
на 1,78 коп. или на 2,09%.
Выводы и предложения
На основании вышеприведенного
исследования можно сделать следующие выводы и предложения.
1. Издержки - это
денежное выражение производственных факторов, необходимых для осуществления
предприятием своей производственной и коммерческой деятельности. Они могут быть
представлены в показателях себестоимости продукции, которая характеризует в
денежном измерении все материальные затраты и затраты на оплату труда, которые
необходимы для производства и реализации продукции. Себестоимость продукции -
это выраженные в денежной форме текущие издержки предприятия на производство и
реализацию продукции.
2. Совокупность
затрат на производство и реализацию продукции включается в бюджет расходов и
определяет структуру себестоимости продукции (работ, услуг).
В составе
себестоимости различают группы затрат, которые детализируются по отдельным
видам затрат. Структура себестоимости и ее величина оказывают прямое влияние на
прибыль, размер и уровень цен, экономическую эффективность отдельных
организационно-экономических и технических мероприятий.
В условиях кризиса
себестоимость продукции является важнейшим показателем
производственно-хозяйственной деятельности предприятия. Применение этого
показателя необходимо для оценки выполнения плана по данному показателю и его
динамики; определения рентабельности производства и отдельных видов продукции;
осуществления внутрипроизводственного хозрасчета; выявления резервов снижения
себестоимости продукции; определения цен на продукцию; расчета экономической
эффективности внедрения новой техники, технологии, организационно-технических
мероприятий; обоснования решения о производстве новых видов продукции и снятия
с производства устаревших.
3. Анализ динамики
и выполнения плана по структуре и уровню издержек позволяет своевременно
реагировать на отклонения от плановых, нормативных показателей себестоимости,
выявлять негативные тенденции изменения себестоимости, принимать конкретные
управленческие решения по их устранению или согласованию. Систематическое
определение и анализ структуры затрат на предприятии имеют очень важное
значение, в первую очередь для управления издержками на предприятии с целью их
минимизации.
Структура затрат
позволяет выявить основные резервы по их снижению и разработать конкретные
мероприятия по их реализации на предприятии. Структура затрат на каждом
предприятии также должна анализироваться как в поэлементном, так и в
постатейном разрезе. Это необходимо, как уже отмечалось, для управления
издержками на предприятии с целью их минимизации.
4. ОАО
"Нефтекамскнефтехим" - динамично развивающееся, высокотехнологичное
нефтехимическое предприятие Российской Федерации, входит в группу компаний
"ТАИФ". В ассортименте выпускаемой продукции - более ста
наименований. В 2010 году в ОАО "Нефтекамскнефтехим" выпущено
товарной продукции на сумму 90487,3 млн. руб., что выше уровня прошлого года на
33195,7 млн. руб. Реализовано продукции и услуг в 2010 году на сумму 92486,7
млн. руб., что выше уровня 2009 года на 32224,6 млн. руб.
В 2010 году, в связи с постепенным
выходом из экономического кризиса, потребление нефтехимической продукции в мире
начало расти. Помимо реанимации и налаживания мировых производств по всем
цепочкам продукции, это стало еще и результатом так называемого
"отложенного спроса" на различные товары, такие как автомобили,
бытовая техника и электроника, товары народного потребления. Спрос на некоторые
виды продукции со стороны зарубежных клиентов превышал технологические
возможности компании.
5. Суммарные затраты ОАО
"Нефтекамскнефтехим" в 2009 году по сравнению с 2008 годом снизились
на 15547780 тыс. руб. или на 14,84% и составили 89207238 тыс. руб. В 2010 году
суммарные затраты повысились на 43388312 тыс. руб. или на 48,64% и составили
132595550 тыс. руб. Большую часть суммарных затрат предприятия составляет
себестоимость проданных товаров, работ, услуг.
Проведенный анализ свидетельствует о
снижении затрат на осуществление производственно-хозяйственной деятельности в
2009 году по сравнению с 2008 году на 5877775 тыс. руб. или на 9,34%, причиной
чего является спад производства вследствие глобального экономического кризиса.
В 2010 году уровень затрат повысился на 24829288 тыс. руб. или на 43,61% и
составил 81760519 тыс. руб., что связано с повышением спроса на продукцию ОАО
"Нефтекамскнефтехим". Наибольший удельный вес в структуре затрат на
осуществление производственно-хозяйственной деятельности занимают материальные
затраты.
6. В 2008-2010 гг. затраты на рубль
продукции в ОАО "Нефтекамскнефтехим" снижаются, что является
положительной тенденцией. Повышение себестоимости проданной продукции оказало
негативное влияние на уровень затрат на рубль продукции. Они увеличились в 2009
году на 6,21 коп., а в 2010 году на 13,58 коп.
Вследствие изменения объема и
ассортимента продукции уровень затрат на рубль товарной продукции увеличился в
2009 году на 6,87 коп., а в 2010 году снизились на 3,84 коп. Вследствие
снижения цен на продукцию в 2009 году уровень затрат на рубль товарной
продукции увеличились на 4,57%. Напротив, в 2010 году повышение цен
положительно сказалось на уровне затрат на рубль продукции - они снизились на
17,97 коп.
7. Проведенные расчеты
свидетельствуют о неоднозначной тенденции маржинального дохода за период
2008-2010 гг. Уровень маржинального дохода в 2009 году данный показатель
снизился на 3339912 тыс. руб., что явилось следствием глобального финансового
кризиса. В 2010 году спрос на продукцию ОАО "Нефтекамскнефтехим"
повысился, что явилось одной из причин увеличения маржинального дохода. Запас
критической надежности составил в 2008 году 34,49%, в 2009 - 16,72%, а в 2010 году
- 45,26%. Такая динамика свидетельствует о повышении эффективности деятельности
предприятия в 2010 году. Уменьшение уровня операционного рычага в 2010 гг.
свидетельствует о снижении рискованности деятельности организации.
8. Для снижения постоянных затрат в
ОАО "Нефтекамскнефтехим" необходимо внедрение системы попроцессного
калькулирования затрат Activity Based Costing (ABC). Основным инструментом для
сокращения затрат, который метод АВС предоставляет руководству предприятия,
является выявление избыточных мощностей бизнес-процессов. Для этого
определяется фактически используемая доля от максимальной производственной
мощности каждого процесса (максимальное количество видов выпускаемой продукции,
максимальное количество партий продукции, максимальное количество обслуживаемых
клиентов) и стоимость (постоянные затраты) неиспользуемых ресурсов. Технология
ABC дает менеджменту предприятия наглядную информацию о направлениях и
эффективности использования ресурсов компании, а именно: процесс, на выполнение
которого пошли затраты; размер постоянных затрат, приходящихся на тот или иной
процесс; факторы затрат, определяющие эффективность использования затрат;
постатейную сумму постоянных затрат на незадействованные мощности, и
натуральные объемы фактически не используемых ресурсов (незадействованные
мощности).
9. Основными направлениями по
снижению переменных затрат ОАО "Нефтекамскнефтехим" являются:
·
экономия всех видов ресурсов, потребляемых в производстве:
трудовых, материальных и денежных;
·
внедрение прогрессивной технологии, которая позволит снизить
величину переменных затрат;
·
повышение эффективности использования сырья и материалов;
·
совершенствование предметов труда (внедрение прогрессивных видов
сырья, материалов, энергоносителей).
В частности, в рамках "Программы
энергосбережения" в 2011 году планируются следующие перспективные
направления работы:
реконструкция РП 6кВ, ТП 6/04, ЩСУ
0,4 кВ серии "SIVACON" фирмы "Siemens";
замена систем управления
электроприводами на частотно-регулируемые;
реконструкция выработавшего свой
ресурс энергооборудования;
капитальный ремонт
электродвигателей, с заменой обмоток, выработавших эксплуатационный ресурс;
капитальный ремонт сетей освещения
на заводах ИМ и СК с применением светильников фирмы "Philips";
замена проходных маслонаполненных
вводов на ввода с твердой изоляцией на переходных пунктах ПП-1.
замена кабеля 6 кВ ГПП4, РП26 для
электроснабжения АКС и ОЭ (импортное производство);
замена регуляторов давления на
ГРП-1;
реконструкция паропровода по ряду
"А" с ПТК-1 НК ТЭЦ.
Осуществление "Программы
энергосбережения" позволит снизить существующий уровень затрат на 1338011
тыс. руб. или на 1,64%. Удельный вес энергозатрат сократится при этом на 1,48%.
Уровень затрат на 1 рубль продукции (показатель общей ресурсоемкости) снизится
на 1,78 коп. или на 2,09%.
Список использованной литературы
1. Нормативно-правовые материалы:
. Гражданский кодекс РФ. Часть первая / Федеральный закон
РФ от 30 ноября 1994 г. №51-ФЗ (с последними изменениями и дополнениями) //
Собрание законодательства Российской Федерации. - 1994. - №31. - Ст.3301.
2. Налоговый кодекс Российской Федерации. Часть вторая /
Федеральный закон РФ от 5 августа 2000 года №117-ФЗ (с последними изменениями и
дополнениями) // Собрание законодательства Российской Федерации. - 2000. - №32.
- Ст.3340.
3. Приказ Министерства
финансов Российской Федерации "О формах бухгалтерской отчетности
организаций" от 22 июля 2003 г. №67-н (с последними изменениями и
дополнениями) // Финансовая газета. - 2003. - 19 августа.
2. Специальная литература:
4. Абрамова, Н.В. Бухгалтерский и налоговый учет расходов на
изготовление продукции / Н.В. Абрамова // Библиотечка "Российской
газеты". - 2010. - №3. - С.73-78.
5. Абрютина, М.С. Анализ финансово-экономической
деятельности предприятия / М.С. Абрютина, А.В. Грачев. - М.: Дело и сервис,
2009. - 350 с.
. Бердникова, Т.Б. Анализ и диагностика
финансово-хозяйственной деятельности предприятия / Т.Б. Бердникова. - М.:
Финансы и статистика, 2009. - 320 с.
. Бороненкова, С.А. Управленческий анализ / С.А.
Бороненкова. - М.: Финансы и статистика, 2010. - 450 с.
. Бригхэм, Ю. Финансовый менеджмент / Ю. Бригхэм, Л.
Гапенски. - СПб.: Питер, 2006. - 750 с.
. Вахрушина, М.А. Бухгалтерский управленческий учет / М.А.
Вахрушина. - М.: ИКФ Омега-Л; Высшая школа, 2010. - 528 с.
. Джагербеков, С.М. Расходы организации в целях оптимизации
прибыли и снижения себестоимости / С.М. Джагербеков // Библиотечка
"Российской газеты". - 2010. - №3. - С.64-71.
. Друри, К. Управленческий и производственный учет / К.
Друри. - М.: ЮНИТИ, 2010. - 412 с.
. Ермолович, Л.Л. Анализ финансово-хозяйственной
деятельности предприятия / Л.Л. Ермолович. - Мн.: БГЭУ, 2008. - 450 с.
. Ефимова, О.В. Финансовый анализ / О.В. Ефимова. - М.:
Бухгалтерский учет, 2008. - 378 с.
. Ивашкевич, В.Б. Бухгалтерский управленческий учет / В.Б.
Ивашкевич. - М.: Экономистъ, 2010. - 618 с.
. Каверина, О.Д. Организация бюджетирования на предприятии
/ О.Д. Каверина // Бухгалтерский учет. - 2010. - №11. - С.57-60.
. Камышанов, П.И. Бухгалтерский финансовый учет / П.И.
Камышанов. - М.: Омега-Л, 2008. - 656 с.
. Каратуев, А.Г. Финансовый менеджмент / А.Г. Каратуев. -
М.: ИД ФБК-ПРЕСС, 2008. - 496 с.
. Каримов, В.Э. Анализ соотношения "затраты - объем -
прибыль" на предприятии / В.Э. Каримов // Современный капитал. - 2010. -
№7. - С.120-132.
. Ковалев, В.В. Анализ хозяйственной деятельности
предприятия / В.В. Ковалев, О.Н. Волкова. - М.: Проспект, 2008. - 502 с.
. Ковалев, В.В. Введение в финансовый менеджмент / В.В.
Ковалев. - М.: Финансы и статистика, 2009. - 790 с.
. Коласс, Б. Управление финансовой деятельностью / Б.
Коласс. - М.: Финансы, ЮНИТИ, 2009. - 462 с.
. Кот, А.А. Организация процесса бюджетирования в крупных
компаниях / А.А. Кот // Менеджмент в России и за рубежом. - 2009. - №4. -
С.82-89.
. Кочнев, А. Бюджетирование: кому это выгодно? (Бюджетное
управление компанией) / А. Кочнев // Управление компанией. - 2011. - №2. -
С.41-43.
. Любушин, Н.П. Анализ финансово-экономической деятельности
предприятия / Н.П. Любушин, В.Б. Лещева, В.Г. Дьякова. - М.: ЮНИТИ-ДАНА, 2008.
- 471 с.
. Майданчик, Б.И. Анализ и обоснование управленческих
решений / Б.И. Майданчик, М.Б. Карпунин, Л.Г. Любенецкий. - М.: Финансы и
статистика, 2009. - 460 с.
. Макарьева, В.И. Анализ себестоимости продукции / В.И.
Макарьева // Библиотечка "Российской газеты". - 2010. - №3. -
С.79-85.
. Медведко, К.А. Система управленческого учета и анализа:
западная и российская практика / К.А. Медведко // Менеджмент в России и за
рубежом. - 2008. - №6. - С.106-112.
. Мишин, Ю.А. Система управленческого учета на современном
предприятии / Ю.А. Мишин // Финансовые и бухгалтерский консультации. - 2011. -
№3. - С.75-84.
. Мюлендорф, Р. Производственный учет. Списание и контроль
издержек. Обеспечение их рациональной структуры / Р. Мюлендорф, М. Карребауэр.
- М.: ЗАО "ФБК - Пресс", 2011. - 345 с.
. Парасоцкая, Н.Н. Управление издержками предприятия / Н.Н.
Парасоцкая // Бизнес и капитал. - 2011. - №1. - С.47-49.
. Пикалюк, О.Н. Об основных элементах системы управления
себестоимостью продукции / О.Н. Пикалюк // Библиотечка "Российской
газеты". - 2010. - №3. - С.58-64.
. Прыкина, Л.В. Экономический анализ предприятия / Л.В.
Прыкина. - М.: ЮНИТИ, 2008. - 387 с.
. Пястолов, С.М. Анализ финансово-хозяйственной
деятельности предприятия / С.М. Пястолов. - М.: Издательский центр
"Академия", 2009. - 336 с.
. Савицкая, Г.В. Анализ хозяйственной деятельности
предприятия / Г.В. Савицкая. - М.: ИП "Новое знание", 2010. - 530 с.
. Сафронов, Н.А. Экономика предприятия / Н.А. Сафронов. -
М.: Юристъ, 2009. - 608 с.
37. Финансовый менеджмент / под
общ. ред.Г.Б. Поляка. - М.: ЮНИТИ, 2009. - 450 с.
38. Чернышева, Ю.Г. Анализ финансово-хозяйственной деятельности
предприятия / Ю.Г. Чернышева, Э.А. Чернышев. - М.: ИКЦ "МарТ", 2010.
- 304 с.
39. Чумаченко, Н.Г. О внедрении управленческого учета затрат /
Н.Г. Чумаченко // Управленческий учет. - 2010. - №1. - С.63-65.
. Чумаченко, Н.Г. Себестоимость продукции в управленческом
учете / Н.Г. Чумаченко // Бухгалтерский учет и налоги. - 2011. - №3. - С.63-65.
. Шеремет, А.Д. Управленческий анализ / А.Д. Шеремет. - М.:
ИД ФБК-ПРЕСС, 2009. - 512 с.
42. Шохин, Е.И. Финансовый
менеджмент / Е.И. Шохин. - М.: ИД ФБК-ПРЕСС, 2009. - 408 с.
43. Щиборщ, К.В. Бюджетирование деятельности промышленных
предприятий России / К.В. Щиборщ. - М.: Издательство "Дело и Сервис",
2009. - 540 с.