Обеспечение безопасности плавания на переходе Волгоград-Триест

  • Вид работы:
    Дипломная (ВКР)
  • Предмет:
    Транспорт, грузоперевозки
  • Язык:
    Русский
    ,
    Формат файла:
    MS Word
    139,94 kb
  • Опубликовано:
    2012-03-02
Вы можете узнать стоимость помощи в написании студенческой работы.
Помощь в написании работы, которую точно примут!

Обеспечение безопасности плавания на переходе Волгоград-Триест

СОДЕРЖАНИЕ

Введение

1. Навигационная проработка рейса

1.1 Подбор карт, руководств и пособий для плавания

1.2 Корректура карт и пособий

1.3 Протяженность и продолжительность перехода

1.4 Навигационно-географическая характеристика района плавания

1.5 Гидрометеорологическая характеристика района плавания

1.6 Предварительная прокладка

1.7 Сведения об огнях и знаках

1.8 Сведения о портах, местах укрытия и якорных стоянках

1.9 Расчет светлого времени суток

1.10 Справка по порту прихода

1.11 Рекомендации по выполнению перехода

1.12 Штурманская справка по внутренним судоходным путям

2. Техническая готовность судна к рейсу

2.1 Нормативная документация

2.2 Судовая документация

2.3 Проверка технических средств судовождения перед рейсом

2.4 Контроль за работой и определение поправок гирокомпаса "Амур - 2"

3. Коммерческое обеспечение и финансово-экономический результат рейса

.1 Расчет продолжительности рейса

3.2 Расчет и проверка остойчивости

3.3 Описание груза и условия перевозки

3.4 Порядок подачи информации о подходе судна

3.5 Документация, оформляемая в процессе приема и сдачи груза

3.6 Расчет финансово - экономических показателей рейса

4. Расчет безопасной скорости движения в Волго-Донском судоходном канале имени В.И. Ленина

Заключение

Список использованной литературы

Приложения

ВВЕДЕНИЕ

Целью данной дипломной работы является обеспечение безопасности плавания на переходе Волгоград-Триест. Во время проработки маршрута перехода были изучены и использованы на практике руководящие документы, регламентирующие работу штурмана при подготовке судна к рейсу, закреплены практические навыки в работе с навигационными картами и пособиями, выполнением предварительной прокладки, а так же в работе с пособиями при плавании судна по внутренним судоходным путям .

В дипломной работе проработан переход судна по маршруту Волгоград-Триест - для теплохода типа СТК проекта 326 смешанного река-море плавания, имеющего следующие технические данные:

Длина судна, м 82.

Ширина судна, м 11,6.

Высота борта, м 2,5.

Валовая регистровая вместимость, р.т. 1522.

Чистая регистровая вместимость, р.т. 929.

Водоизмещение в полном грузу, т. 2684.

Водоизмещение судна порожнем, т. 864.

Дедвейт судна, т. 1755.

Грузоподъемность судна, т. 1500.

Осадка судна в грузу, м. 3.5.

Поправка на пресную воду, м 0.06.

Высота ходового мостика в грузу, м 6,3.

Мощность главных двигателей л.с. 1200.

Скорость хода в груз, уз. 10.

Расход топлива на ходу в сутки, т. 2.5.

Автономность плавания, сут. 12.

Класс регистра СП

На судне имеются следующие технические средства судовождения: гирокомпас "Амур-2М", авторулевой - АР, лаг ИЭЛ, эхолот НЭЛ-5, радиостанция "Рейд", радиостанция "Кама-Р", РЛС "Печера-2", приемник навигационной информации "Навтекс", спутниковая навигационная система "Наватар- 2000".

В дипломной работе даны конкретные рекомендации по вопросам безопасности плавания, приведены различные сведения и справочные данные о районе перехода, портах, средствах навигационного оборудования. Разработаны вопросы коммерческой эксплуатации судна, финансово- экономические показатели судна, расчеты и вопросы по погрузке и выгрузке, а также другие данные, необходимые для обеспечения безопасности плавания на данном маршруте.

1. НАВИГАЦИОННАЯ ПРОРАБОТКА РЕЙСА

1.1 Подбор карт, руководств и пособий для плавания

Для проработки маршрута перехода выбираем необходимые карты, руководства и пособия, которые позволяют нам более детально ознакомиться, как с самим переходом, так и с условиями, которые будут влиять на судно на этом маршруте. Из карт крупного масштаба мы подробно узнаем о навигационной обстановке на маршруте и его навигационных опасностях.

Таблица 1 Список карт, руководств и пособий на переход

Адмиралтейские номера

Заголовок карты или пособия

Год издания, масштаб

30102

Черное и Эгейское моря

1987 1: 2000000

30104

Средняя часть Средиземного моря

1987 1: 2000000

30301

Черное и Азовское моря

1981 1: 1250000

30302

Эгейское и Мраморное моря

1983 1: 1000000

30305

Ионическое море

1983 1:1000000

30306

Адриатическое море

1983 1:1000000

35145

От порта Таганрог до Донских гирл

1994 1:5000

33145

От порта Таганрог до р. Дон

1982 1: 100000

33147

Восточная часть Таганрогского залива

1982 1: 100000

32146

От порта Мариуполь до Беглицкой косы

1982 1: 100000

35121

Восточная часть Азовского моря

1987 1: 200000

35130

Керченский пролив

1989 1: 50000

32105

От Феодосии до Анапы

1986 1: 200000

32104

От м. Херсонес до Феодосии

1987 1: 200000

31009

Восточная часть Черного моря

1988 1: 750000

31008

Западная часть Черного моря

1988 1: 750000

32105

От Феодосии до Анапы

1978 1:200000

32172

От мыса Ильи до бухты Вулан

1989 1:300000

32104

От Севастополя до мыса Меганом

1977 1:200000

32171

От мыса Тарханкут до мыса Ильи

1989 1:300000

32125

От 42.38N до 43.53N, от31.44Е до 34.04Е

1995 1:200000

32118

От 42.10N до 43.25N, от29.36Е до 31.56Е

1995 1:200000

32114

От порта Зонгулдак до мыса Шиле

1980 1:200000

32115

От бухты Мичурин до мыса Шиле

1983 1:200000

36129

Пролив Босфор

1989 1:25000

35201

Подходы к проливу Босфор

1986 1:50000

33201

Восточная часть Мраморного моря

1986 1:100000

33202

Средняя часть Мраморного моря

1986 1:100000

33203

Западная часть Мраморного моря

1986 1:100000

33204

Пролив Дарданеллы

1984 1:100000

Адмиралтейские номера

Заголовок карты или пособия

Год издания, масштаб

33205

Подходы к проливу Дарданеллы

1984 1:100000

32202

От пр. Дарданеллы до острова Скирос

1987 1:200000

32206

От острова Скирос до острова Икария

1971 1:200000

32209

От острова Термия до острова Анафи

1970 1:200000

32210

От пролива Доро до залива Арголикос

1980 1:200000

32215

От мыса Саватаки до острова Крит

1987 1:200000

32214

От острова Андикитира до ос. Сапьендза

1987 1:200000

32213

От острова Сапьендза до острова Зякинф

1978 1:200000

32212

От острова Зякинф до острова Лефкос

1989 1:200000

32211

От острова Лефкос до мыса Кефали

1987 1:200000

32300

Пролив Отранто

1985 1:200000

32301

От порта Бриндизи до м. Волуйица

1988 1:200000

32302

От порта Бриндизи до м. Сан-Франческо

1989 1:200000

32304

От острова Ластово до острова Муло

1990 1:200000

32306

От порта Анкона до мыса Шибеник

1986 1:200000

32307

От острова Корнак до мыса Каменяк

1986 1:200000

32308

От п. Анкона до г. Порто-Гарибальди

1986 1:200000

32309

Венецианский залив

1986 1:200000

33317

Восточная часть Венецианского залива

1964 1:100000

38337

Порт Триест

1987 1:10000


КНИГИ



Атлас " Единой глубоководной системы



Европейской части России" том №8

1978 1: 10000

1243

Лоция Азовского моря

1985

1244

Лоция Черного моря

1987

1245

Лоция Мраморного моря и проливов



Босфор и Дарданеллы

1980

1247

Лоция Эгейского моря

1987

1249

Лоция Адриатического моря

1989

2219

Огни и знаки Средиземного моря

1976

2217

Огни и знаки Черного моря и



Азовского моря

1976

3004

Расписание передач



гидрометеорологических сведений и



навигационных предупреждений



мореплавателям р. станциями

1977

Адмиралтейские номера

Заголовок карты или пособия

Год издания, масштаб

7012

Рекомендации для плавания проливами



Босфор и Дарданеллы

1985

4249

Радиолокационное описание побережья



Черного моря

1978


Атлас поверхностных течений



Средиземного моря

1974


Атлас течений в проливах Босфор



и Дарданеллы

1954

4057

Режим плавания судов гражданских



ведомств в Черном и Азовском морях

1984

9002

Морской астрономический ежегодник



на 1999 г.


9011

Мореходные таблицы

1975


Высоты и азимуты светил

1958


.2 Корректура карт и пособий

Для контроля за своевременным изменением навигационной обстановки необходимо произвести наиболее полную корректуру, выбранных в п. 1.1, карт и пособий на переход. При корректуре карт и пособий используем последние выпуски извещений мореплавателям ГУНиО и ГС Флота.

Таблица 2 Перечень выполненной корректуры

Адмиралтейские номера карт и пособий

Год и номера ИМ ГУНиО ИМ ГС флота

Краткое содержание корректуры

Приближенные координаты

 



КАРТЫ


 

32121

1988г.



 


№ 6750

Упразднить светящий буй

46°44.57N  36°41.92Е

 


№ 6567 (В)

Нанести св. буй стб. жл. топовая фигура косой крест, огонь ЖлПр 5с

46°43.82N 36°40.86Е

 

 


№ 6361

Упразднить надпись: 1. "Чушкинские секущие" 2. Задний створный светящий знак

45°21.46N 36°37.24Е 45°21.46N 36°37.39Е

 


№ 6535 (В)

Нанести св. буй стб. жл. топовая фигура косой крест, огонь ЖлПр 5с

47°02.30N 37°33.54Е

 


№ 6412 (В)

Нанести св. буй стб. жл, топовая фигура косой крест, огонь ЖлПр 5с

46°44.57N 36°41.92Е

 


№ 6631 (В)

Добавить надпись "разр" у светящего

46°21.66N

 



знака

38°10.17Е

 

35130

1989г.



 


№6274

Исправить надпись на "Глубина 7.8 м"

44°36.43N 33°35.32E

 


№ 6289

Нанести рыболовные сети между:

45°26.02N 36°33.05Е

 




45°26.02N

 




36°34.10Е

 


№ 6276

Упразднить веху

45°06.00N 36°43.50Е

 


№6277 (В)

Добавить надпись "отсут." у светящего буя

45°49.01N 36°32.48E

 

1244

1989г.



 


№6757

стр. 193 Строки 5-7 вычеркнуть


 


№6762

стр. 226 Строки 35-36 вычеркнуть стр. 238, 558. Исправить "Жданов" на "Мариуполь"


 

1243

1989г.



 


№6376

стр. 60 После "район" поместить


 



"бывший"


 


№6775

стр. 60 Исправить "имеются" на "име


 



ется" и вычеркнуть "и звукосигналь


 



ное" до конца строки


 


1987г.



 


№6235

стр. 155 Вычеркнуть строку "фонарь


 



мыса, створ светящих знаков"


 



стр. 166 Вычеркнуть с "5-7. 2" до кон


 



ца строки и взамен поместить:


 



"4. 6-7м", "4. 9-7. 5", "4-8. 6"


 


№6136

стр. 118 строка 26. Исправить "2. 6


 



(1979)" на "3. 4 м (1986)"


 


№6596

стр. 88 строка 42. После строки поме


 



стить: "Подводный трубопровод


 



прокладывается от берега в 3-х ми


 


№6735

стр. 53 Строки 4-5. Исправить "6. 6м


 



(1984)" на "7м (1986)"


 


№6822

стр. 54 Таблица нижняя. Произвести


 



исправление прежних данных для


 



причала:


 



в графе 3- "6. 7-9. 1"


 



в графе 4- "8. 0-9. 1"


 

2217

1989г.



 


№6817

стр. 313. 1737 Лапсинский в графе 4


 



и исправить "9" на "10"



.3 Протяженность и продолжительность перехода

Расчет протяженности и продолжительности рейса имеет важное навигационное и экономическое значение, поэтому здесь необходимо учесть все особенности маршрута, в частности различия при движении по внутренним судоходным путям и по морскому участку маршрута.

Таблица 3 Расчет протяженности и продолжительности перехода

Протяженность маршрута

Расстояние

Расстояние по

Ходовое время при

перехода, порты отхода и

по таблице

Генеральной

при скорости 10 уз.

прихода

Расстояний

карте

Стояночное время

Внутренние судоходные пути




от п. Волгоград до п.Ростов

549 км

549 км

27.6

от п.Ростов до 0 км р. Дон

47 км

47 км

2.4

п. Ростов-на-Дону



6.0

Шлюзование:




Шлюзы №1-15



45.0

Николаевский ГУ



3. 0

Константиновский ГУ



3. 0

Кочетовский ГУ



3. 0

Швартовные операции



1. 0

Итого по внутренним




судоходным путям

596 км

596 км

91ч00м

Морской участок




от 0 км р. Дон до п. Керчь

187 миля

172 миль

18.7/17.2

от п. Керчь до п. Стамбул

445 миль

431 миль

44.5/43.2

от п. Стамбул до п. Коринф

345 мили

332 мили

34.5/33.2

от п. Коринф до п.Триест

618 миль

649 миль

61.8/64.9

проход узкостей



10.0

лоцманская проводка



4.0

швартовые операции



1.0

Итого по морскому участку

1595 миль

1584 мили

174.5/173. 5

Всего


3530 км

265Ч30M/ 264Ч30M


.4 Навигационно - географическая характеристика района плавания

Маршрут проходит через Адриатическое, Ионическое, Эгейское, Мраморное, Черное и Азовское моря.

Адриатическое море представляет собой наиболее обширный залив Средиземного моря, глубоко вдающийся в его северный берег между Апеннинским и Балканским полуостровами. Плавание по Адриатическому морю особой трудности не представляет, за исключением больших и малых островов, находящихся у Балканского полуострова так называемого Далматинского берега, где в узких проливах имеется много отмелей, скал и банок. При плавании вблизи берегов, ориентирами для определения местности могут служить горы, мысы, а также маяки и другие искусственные объекты.

Северо-восточный берег моря почти на всем протяжении горист, только между заливом Влёра и устьем реки Дрин расстилается приморская равнина шириной от 3 до 27 миль. Прибрежная полоса этой равнины заболочена, а в глубь суши местности постепенно повышается и становится холмистой. Горы северо-восточного берега Адриатического моря почти по всюду сложены из известняка и лишены растительности; только в долинах растут лес и кустарник. Горные хребты вдоль всего северо-восточного берега моря простираются параллельно береговой линии; в некоторых местах они подходят непосредственно к морю. Растительный покров на берегах Адриатического моря весьма разнообразен. На северо-восточном берегу распространены вечнозеленые кустарники, дуб и сосна, а также оливковые деревья, апельсиновые и лимонные рощи.

В северо-восточный берег моря вдается несколько заливов и бухт, из которых наиболее крупными являются залив Кварнер и Триестский залив, отделенные друг от друга высоким полуостровом Истрия.

Глубины в основном соответствуют характеру берега. Возле крутых берегов глубины большие, вдоль низких - малые, постепенно увеличивающиеся в сторону моря. Северо-восточный берег приглуб почти на всем протяжении, что не дает возможности по измерению глубин судить о приближении к берегу. Изобата 100 м проходит в 1 миле от берега. В северо-западной части Адриатического моря грунт- песок, местами ил и глина. В юго-восточной части моря на глубинах более 200 м преобладает глина, а на глубинах менее 200 м - песок, ил и глина.

Западный берег Греции в основном высокий, обрывистый, за исключением берегов рек и многочисленных речек, впадающих в Ионическое море. Наиболее обширная низменность, местами болотистая, расположена на северном и южном берегах залива Патрайкос и на северном берегу залива Амвракикос. Западный берег Греции можно опознать с расстояния 60-80 миль. Многие вершины, возвышающиеся над общей массой горных массивов, большую часть года покрыты снегом и являются хорошими приметными пунктами.

Вблизи западного берега Греции лежат гористые Ионические острова. Строение их почти не отличается от строения Балканского полуострова. Горные хребты здесь, также как и на полуострове, имеют преимущественное меридиональное направление. Высота гор на Ионических островах 800-1000 метров. Лишь отдельные вершины на острове Кефалиния, самом высоком и большом из Ионических островов, превышают 1500м.

Гористый рельеф описываемого района обуславливает изрезанность берегов. Особенно извилисты те участки побережья, где направление горных хребтов не совпадает с направлением береговой черты. В таких местах цепи гор, вплотную подступая к береговой черте, образуют обрывистые полуострова и мысы. Глубокие заливы вдаются в материк на несколько миль, а иногда и на десятки миль. Крупнейшими из таких заливов являются заливы Месиниакос, Патрайкос, Коринфский и Таранто.

Берега почти везде приглубы. В 1-5 милях от берега глубины 100м, а в 5-7 милях 2000-3000м. Отдельные впадины имеют глубины 3500м и более. Максимальная глубина в Ионическом море 4206м находится в 17-18 милях к северо-западу от острова Закинф.

Вода в этом море, особенно вдоль берегов Италии, отличается большой прозрачностью и голубоватым цветом.

Грунт вдоль берегов Ионического моря преимущественно песок или ил; местами глина и камень. В открытом море грунт состоит из серого, желтоватого и коричневого ила. В районах вулканической зоны встречается пемза.

Эгейское море расположено в северо-восточной части бассейна Средиземного моря. На востоке Эгейское море омывает берега полуострова Малая Азия. На северо-востоке проливом Дарданелла Эгейское море соединяется с Черным морем.

Восточный берег Эгейского моря горист; горные хребты перпендикулярно береговой черте, растительный покров здесь беден. К югу от входа в пролив Дарданеллы восточный берег моря тянется по прямой линии до залива Эдремит. Южнее залива Эдремит в восточный берег вдается укрытый с моря Измирский залив, береговая черта которого чрезвычайно извилиста .Берега в восточной части изрезаны, они приглубы, опасностей вблизи них мало. Реки впадающие в Эгейское море несудоходны и доступны только для шлюпок

Многочисленные острова, расположенные в Эгейском море, высокие. В районе плавания расположены крупные острова Хиос, Лесбос, Бозджаада и ряд мелких островов. Плавание среди островов несложно, так как они хорошо опознаются, глубины вблизи островов обычно большие.

Измирский залив находится к s от залива Чандарла Юго- западный берег залива высокий и крутой . Большая часть северо-восточного берега низкая , лагунная. В заливе имеется несколько островов и множество островков. На берегу вершины залива расположен порт Измир.

Дно Эгейского моря отличается большой неровностью рельеф не остается постоянным из-за тектонических колебаний. В районе плавания грунт - ил, песок, глина.

Босфор Длина пролива около 15 миль, ширина от 4 кабельтов до 4 миль, глубины в проливе 20-106 м. Пролив Босфор приемущественно чист от опасностей, берега дают хорошие радиолокационные изображения, имеется много удобных якорных мест. При плавании проливом Босфор ввиду сильных течений необходимо постоянно контролировать место судна. Сложность для плавания в проливе представляют многочисленные мелкие суда, катера, лодки и паромы. На берегу пролива находится крупный город и порт Стамбул.

Пролив Дарданеллы ведет из Мраморного моря в Эгейское. Длина пролива около 65 миль, ширина от 7 кабельтовых до 10 миль, глубина 29-106 м. Европейский берег пролива утесистый, а Азиатский низкий. Вид берегов однообразный. Ориентироваться при плавании проливом нетрудно. В проливе имеются два крупных порта Гелиболу и Чанакале.

Центральная и восточная часть Мраморного моря - глубоководны, глубины до 1200 м. Южная часть моря более мелководна, глубины обычно менее 100 м, Опасностей в море немного. Грунт в Мраморном море в основном ил, песок, ракушка, местами бывает скальный грунт.

Магнитное склонение в районе восточное от 2,3 до 2,8.

К особым физико-географическим явлениям следует отнести сейсмическую деятельность и миражи.

Берега Мраморного моря и пролив Босфор и Дарданеллы средствами навигационного оборудования обеспечены хорошо. На большинстве мысов установлены маяки и знаки. Следует помнить , что местоположение буев и вех, а также характеристики огней могут меняться.

В районе много портов таких как Измит, Бандырма, Делискилеси, также имеется много удобных якорных мест в бухте Эрегли, Тончу, в заливах Бандырма и Эрдек. Много якорных мест имеется в проливах Босфор и Дарданеллы.

Лоцманская проводка обязательна в проливах Босфор и Дарданнелы для нефтеналивных судов и для судов следующих в порт Мраморного моря.

На район Мраморного моря некоторыми радиостанциями передаются гидрометеорологические сведения и навигационные извещения мореплавателями.

Берега Черного моря отличаются большим разнообразием. Здесь имеются высокие горы, низменности и равнины. Берега моря почти на всем протяжении подвержены постоянному изменению. В море вдается большой Крымский полуостров. На восток от него отходит Керченский полуостров. Черное море соединяется с Азовским морем Керченским проливом и Мраморным морем проливом Босфор. В Черном море нет крупных островов.

Черное море представляет собой глубоководный бассейн. Изобата 100 м проходит параллельно берегу в 1,5-10 милях от него, исключая северо-западную часть и вход в Керченский пролив. Центральная часть моря имеет глубины около 2000-2200 м. В прибрежной полосе у скал грунт в основном галька, гравий, а у низких участков песок. На глубинах более 200 м грунт состоит из насыщенного сероводородом вязкого ила.

В Черном море магнитное склонение восточное от 1 до 6 имеются несколько районов магнитных аномалий.

Средства навигационного оборудования на берегах Черного моря, вполне обеспечивают безопасное плавание. На большинстве мысов маяки с дальностью видимости 10-25 миль. При основных маяках имеются радиомаяки. Опасности, оси фарватеров, бровки каналов ограждены буями и вехами.

В Черном море имеются районы запретные, временно запретные и временно опасные для плавания, запретные для постановки на якорь, имеются районы боевых стрельб и учений а также районы свалок взрывчатых веществ. Для уменьшения опасности столкновения к портам и к Керченскому проливу установлены системы разделения движения.

У берегов Черного моря много портов в которых можно укрыться от штормов. Почти все заливы и бухты открыты ветрам с моря.

Лоцманская проводка при следовании Керченским проливом обязательна для всех грузовых судов.

В описываемом районе имеются радиостанции передающие гидрометеорологические сведения навигационные и прибрежные предупреждения.

Азовское море соединяется Керческим проливом с Черным морем и каналом имени Ленина с рекой Волга. Плавание по Азовскому морю вдали от берегов не сложно, исключение составляет Таганрогский залив. Естественных ориентиров на берегах моря очень мало. Северный берег почти на всем протяжении крутой, но имеются низкие, длинные косы. Северовосточной частью является мелководный Таганрогский залив. Южный берег холмист и обрывист.

Единственным большим проливом является Керченский пролив. Пролив мелководен поэтому на всем почти протяжении прорыт канал, обеспеченный СНО. Крупных островов в море нет. Азовское море мелководно. Максимальные глубины 15м. Дно моря очень ровное, лиш от кос простираются отмели. Грунт в основном ил. Глубины на каналах и фарватерах имеют обеспеченность 50% из-за интенсивных наносов. Следует соблюдать осторожность при плавании,

Магнитное склонение восточное от 4.6 до 5.6.

В Темрюкском заливе наблюдается вулканическая деятельность из-за которой в Керченском проливе появлялись банки. В районе наблюдается явление рефракции.

Плавание в Азовском море хорошо обеспечено средствами навигационного оборудования. Почти на всех косах имеются маяки. Каналы оборудованы створами, буями, вехами. Опасности ограждены буями и вехами. Однако на надежность местонахождения буев и вех полагаться не следует. На отдельных участках установлены массивные радиолокационные отражатели.

В Азовском море и Керченском проливе имеются временно запретные и временно опасные районы для плавания и постановки на якорь, районы свалки грунта. Для уменьшения опасности столкновения на подходах к Керченскому проливу и Таганрогскому заливу установлены системы разделения движения. Наиболее значительные порты Керчь, Мариуполь, Таганрог и Ростов на Дону. В районе хорошо укрытых от волнения якорных мест немного. В Керченском проливе становиться на якорь можно только в районах якорных мест.

Лоцманская проводка в портах и в Керченском проливе обязательна для всех грузовых судов.

В описываемом районе некоторые радиостанции регулярно передают гидрометеорологические сведения и прибрежные предупреждения. Кроме того в некоторых портах имеется служба портовой информации которую передают по запросу.

1.5 Гидрометеорологическая характеристика района плавания

Адриатическое море расположено в субтропической климатической зоне. Климат средиземноморский; для него характерны достаточно жаркое и сухое лето и мягкая дождливая зима. Температура воздуха колеблется: летом от 14 до 30 градусов, зимой - от -3 до -11.

В открытом море с сентября по февраль господствуют ветры от N, NW и местами от NE, с марта по май - от SE, а в июне - августе от NW. Сильные ветры обычно бывают от N, NE, NW.

Повторяемость туманов в открытом море составляет 1-5 % в течение года. Густые и продолжительные туманы наблюдаются с октября по март; в портах Анкона и Триест наблюдается в среднем за год 19-21 день с туманом.

Видимость в открытом море в течение всего года составляет более 10 миль. В районе крупных промышленных центров довольно часто отмечается видимость 2-5 мили, а в утренние часы часто уменьшается до 0,5 мили и менее.

Средняя месячная облачность в данном районе составляет около 4-5 баллов. На побережье больше всего осадков выпадает на крайнем севере описываемого района (порты Триест, Риека). Наиболее дождливым является период с сентября-октября по январь, лишь на юге северо-восточного побережья - по март. Осадки, как правило, наблюдаются в виде ливней. Грозы возможны в любое время года, но наиболее вероятны они с июня по сентябрь. Метели отмечаются крайне редко. Смерчи в описываемом районе вероятны в любое время года, но они не часты.

Для гидрологического режима Адриатического моря характерны высокая температура воды в течение всего года, большая соленость, незначительные колебания уровня, хорошо выраженные постоянные течения и слабые ветровые течения, а также преобладание волн высотой менее 1 м.

В Адриатическом море наблюдаются постоянные, приливные и ветровые течения. Постоянные течения представляют собой циркуляцию вод против часовой стрелки. Через восточную часть пролива Отранто проникают воды Ионического моря, которые следуют вдоль северо-восточного побережья моря, образуя северо-западное течение. Приливные течения хорошо выражены у побережья, особенно в проходах между островами, У большей части северо-восточного побережья приливные течения преобладают над постоянным прибрежным течением и суммарное течение здесь дважды в сутки меняет свое направление на противоположное. Ветровые течения возникают под действием сильных ветров, которые иногда нарушают правильную смену приливных течений у северо-восточного побережья и могут менять направление постоянного юго-восточного течения на противоположное у юго-западного побережья.

Ионическое море расположено в субтропической зоне. Климат района характеризуется теплой дождливой зимой и сухим жарким летом.

Температура воздуха в описываемом районе сравнительно высокая. Средняя годовая температура воздуха почти повсеместно составляет 17-19 градусов.

В открытом море повсеместно в период с декабря по август господствуют ветры от W и NW. На побережье и островах режим ветра очень разнообразен; в формировании его большую роль играют местные особенности (конфигурация береговой линии, рельеф побережья), поэтому здесь отмечаются отклонения от ветрового режима, характерного для открытого моря.

Штормы над бассейном Средиземного моря связаны главным образом с прохождением циклонов, которые наблюдаются , как правило, в период с ноября по март.

Туманы в описываемом районе отмечаются редко. В большей части района они не ежегодны. Дымка в описываемом районе наблюдается чаще , чем туманы.

В течение всего года в открытом море, как правило, преобладает видимость более 10 миль. В прибрежных районах и на островах видимость хуже, чем в открытом море. Здесь в большинстве пунктов преобладает видимость 5-10 миль. Значительно ухудшает видимость дым и пыль, приносимые ветром на побережье из близлежащих промышленных городов.

Средняя месячная облачность в описываемо районе колеблется в основном от 1 до 3-х баллов в период с июня по сентябрь и от 4-х до 6 баллов в период с октября по май. Осадки, как правило, имеют характер ливней. В отдельных случаях они бывают очень интенсивными и могут вызвать наводнения. Снегопады в описываемом районе наблюдаются очень редко Смерчи в описываемом районе могут быть в любое время года, но наиболее вероятны они в октябре-ноябре.

Эгейское море расположено в субтропической зоне. В районе плавания в июле месяце отмечается преобладание режима и характерна сухая, жаркая погода. В июле месяце наблюдается тип погоды с преобладанием северовосточных ветров. Этот тип погоды характеризуется хорошо выраженным суточным ходом скорости ветра и ясным небом; В июле повторяемость близка к 100 % Западные ветра в июле очень редки.

В районе Измирского залива число дней со штормом колеблется от 3 до 13 в год. В июле месяце повторяемость штормов не превышает 1%. Наблюдаются бризы.

Июль - самый теплый месяц года, температура достигает 36-46 . Суточные колебания на побережье Турции 12-15. В июле относительная влажность воздуха составляет 50-65 %.

В июле месяце видимость хорошая в открытой части моря повторяемость видимости 5 миль составляет 90-95 %. У побережья видимость несколько хуже. Туманы очень редки.

В июле преобладает небо, повторяемость которого в этом месяце 70-90%. Грозы в районе сравнительно редки среднемесячное число 2-3.

Гидрологический режим Эгейского моря определяется в основном водообменном с Черным и Средиземным морями. Климатические особенности района обусловливают высокую температуру воды. Нижние слои воды более соленые.

В Эгейском море колебания уровня незначительны и заметны лишь в вершинах бухт, заливах и проливах.

Приливы имеют полусуточный характер.

Режим течений Эгейского моря характеризуется циркуляцией вод против часовой стрелки, что обусловлено выходом вод из пролива Дарданеллы и господством ветров северных и северо-восточных направлений. Течение из пролива Дарданеллы со скоростью 1,5-2 уз. следует на юго-запад. В районе Измирского залива наблюдаются течения северных направлений. В прибрежных районах общая схема течений нарушается местными условиями. Приливо-отливные течения в отдельных местах могут достигать больших скоростей.

В Эгейском море наличие островов в значительной мере препятствует развитию сильного волнения. В июле повторяемость волнения 9 баллов при северных ветрах составляет около 2%.

В июле температура воды составляет в среднем 22, плотность воды составляет 1,022 - 1,026.

Климат Мраморного моря субтропический, для него характерно жаркое сухое лето. Для района Мраморного моря и проливов Босфор и Дарданеллы в июле месяце характерен тип погоды с преобладанием северо-восточных ветров с повторяемостью до 85%. Средняя скорость ветра от 2 до 5 м/с. Штили бывают довольно часто, повторяемость их местами до 35%, штормы бывают редко.

Туманы в районе бывают очень редко в основном в проливе Босфор у побережья. Повторяемость их 2%.Видимость в районе мраморного моря хорошая.

Облачность в описываемом районе незначительная, в июле повторяемость состояния ясного неба достигает 70-90%. Осадки выпадают в количестве 570-840мм.

Гидрологический режим Мраморного моря определяется в основном климатическими условиями а также водообменном с Черным морем через пролив Босфор и с Средиземным морем через пролив Дарданеллы. Водообмен создает хорошо выраженную систему поверхностных течений. Температура воды в июле месяце высокая.

В Мраморном море приливоотливные колебания невелики. Сгонно-нагонные колебания наблюдаются в основном в бухтах. В пр. Дарданеллы при сильных ветрах от sw отмечались случаи подъема воды на 0,бм.

Течения в районе обусловлены водообменом между Черным и Средиземным морями. В пр. Босфор течение идет из Черного моря в целом на S. Из пролива течение следует в Мраморное море и делится на два потом на w и на SW. Далее потоком объединяются и следуют в пролив Дарданеллы. В бухтах проливов и в заливах моря образуются круговые циркуляции вод. Средняя скорость постоянного течения на поверхности Мраморного моря 0,5-2,0 узла. В центральной части проливов Босфор и Дарданеллы средняя скорость течения от 1 узла и менее на севере до 3-4 узлов и более на юге. В прибрежной части проливов скорость до 1 узла почти повсеместно. При ветрах от NO скорость увеличивается, а при ветрах от SW > уменьшается.

Гидрометеорологические условия в Черном море в целом благоприятны для плавания. В июле на Черном море распространяется отраг субтропического циклона в связи с чем преобладает тихая ясная сухая погода. В июле средняя температура воздуха в море 22-24. Относительная влажность воздуха от 60 до 88%.

В июле на море наибольшую повторяемость имеют ветры от NE, NW, Е. Средняя скорость ветра от 2до 6 м/сек.

В открытой части моря повторяемость туманов 1-5%.

В Черном море в июле преобладает видимость 5-10 миль. Среднемесячная облачность в июле составляет 3-6 баллов. Среднемесячное число ясных дней колеблется от 9 до 21. Осадков в открытой части моря выпадает от 170 до 900мм.

К особым метеорологическим явлениям на море в июле следует отнести грозы, штормы и сильные бури.

Гидрологический режим Черного моря формируется под влиянием водообмена с Мраморным и Азовским морями и для него характерны система устойчивых, постоянных течении.

Уровень Черного моря изменяется в основном под влиянием сгонно-нагонных и стока ранних вод. Приливные колебания уровня Черного моря невелики, обычно 0,1м.

Общая схема течений Черного моря представляет собой единую систему замкнутых потоков. Устойчивость основного течения в общей системе в июле составляет 90%.Средняя скорость течения 0,6-1,2 уз. максимально достигает 3 уз.

В июле повсеместно преобладает слабое волнение. Повторяемость волен высотой менее 1м составляет 55-70%. В описываемом районе возможны цунами.

Температура воды в июле довольно высокая от 21 до 26 С. Плотность поверхностного слоя в июле 1,011.

Гидрометеорологические условия в Азовском море в июле благоприятны для плавания. В июле месяце для моря характерен антициклонический тип погоды. В июле средняя месячная температура 22-24 С . Относительная влажность воздуха составляет 55-75%.

В Азовском море преобладают ветры от NE и Е. Кроме этих ветров в июле наблюдаются ветры от SW и W их повторяемость достигает 40%.Средняя местная скорость ветра 3-7м/с. Штили редки, их повторяемость не превышает 14%.На побережье моря наблюдаются бризы.

Туманы в июле месяце редки среднее число дней 1-3. В районе моря в июле преобладает более 10 м. Повторяемость видимости менее 1 мили не превышает 4%, исключение составляет Таганрогский залив, где повторяемость видимости менее 1 мили 2-11%. Средняя месячная облачность в июле 3-5 баллов. В июле наблюдается 10-15 ясных дней за месяц. Наибольшее среднее количество осадков составляет до 60 мм.

К особым метеорологическим явлениям следует отнести возможность гроз и смерчей, а также рефракции.

Гидрологический режим Азовского моря обусловлен его .мелководностью, речным стоком водообменом с Черным морем и заливом Сиваш. Наибольшее влияние на режим оказывает ветер, вызывающий волнения, течения, сгоны и нагоны. Колебания уровня в Азовском море незначительны исключая Таганрогский залив, где сгонно-нагонные колебания достигают 2м и более, которые вызывают ветра от w и е .Приливные колебания в районе незначительны.

Течение в Азовском море в основном зависит от ветра.

В Керченском проливе течение обычно направлено из Азовского моря в Черное и реже-наоборот.

Режим волнения обусловлен небольшой площадью моря и малыми глубинами. В Азовском море преобладает волна высотой менее 1м, их повторяемость до 75%.Повторяемость волн высотой 1-2 м составляет 20-45 % а волн 2-3 м не более 13%. Волнение в Азовском море развивается быстро, через 4-6 часов.

Температура поверхностного слоя в июле в среднем составляет 22-25 С. Плотность поверхностного слоя воды в июле 1,001-1,007. В настоящее время из-за увеличения солености воды увеличивается ее плотность В Керческом проливе из-за водообмена температура воды несколько ниже.

.6 Предварительная прокладка

Таблица 4 Таблица курсов на переход

Тс

ПУ

S

t

Точки поворота

Примечания



мили


Ориентир

ИП или Д


00. 00

268.0

12.4

1ч 14 м

Волго-Донской канал


Карта №35145

01. 14

256. 5

88. 0

8ч 48м

Мк Белосарайский

9.6’

На карту №33147

10. 02

230. 0

22. 0

2ч 12м

Мк Бердянский

5.6’

На карту №32146

12. 14

184. 0

64. 6

6ч 28м

Мк Еникальский

4.5’

На карту №35121

18. 42

194. 3

6. 7

0ч 40м

Ст. Таманский

66.8°

На карту №35130

19. 22

246. 8

7. 9

0ч 47м

Ст. Павловецкий

355.5°

Карта № 35130

20. 09

217. 5

2. 0

0ч 12м

Ст. Павловский

356.6°

Карта №35130

20. 21

176. 6

7. 6

0ч 46м

Ст. Бурунский

329.0°

Карта №35130

21. 07

180. 0

18. 3

1ч 50м

Мк Кыз-Аул

16.0’

Карта № 35130

22. 57

236. 0

385. 5

38ч 33м

Мк Румели

90.0°

На карту №31009,31008

13. 30


17. 2

1ч 43м

Мк Ахыркапы

1.5’

На карту № 36129

15. 13

231. 0

6. 2

0ч 37м

Мк Ешилькей

1.0’

Карта №36129

15. 50

261. 5

73.0

7ч 18м

Мк Инджебурун

3.1’

На карту №35201

23. 08

247. 5

14. 6

1ч 28м

Мк Гелиболу

257.0°

На карту №33201

01. 42

220. 0

8. 0

0ч 48м

Мк Каракова

3.4’

Карта №33201

02. 30

232. 0

7. 6

0ч 46м

Мыс Кая

293°

На карту №33204

03. 16

240. 0

4. 4

0ч 26м

Мк Килья

107°

Карта №33204

03. 42

174. 0

3. 3

0ч 20м

Мк Намазун

90°

Карта №33204

04. 02

222. 0

6. 4

0ч 38м

Мк Каранфаль

1,9’

На карту №33205

04. 40

248. 5

5. 5

0ч 33м

Мк Мехмедчик

90°

Карта №33205

05. 13

261. 0

17. 6

1ч 45м

Мк Тавшан

113.0°

На карту №32202

06. 58

229. 5

32. 7

3ч 16м

Мк Комби

3.4’

Карта №32202

10. 14

197. 0

83. 8

8ч 23м

Мк Харте

4.6’

На карту №32206,32209

18. 37

31. 0

3ч 06м

Мк Ангаластрос

6.7’

На карту №32300

21. 43

270. 0

10. 0

1ч 00м

Мк Флевес

12.4’

Карта №32300

22. 43

306. 0

23. 0

2ч 18м

Мк Турлос

159.5°

Карта №32300

01. 01

277. 0

13. 0

1ч 18м

Коринфский


На карту №32301

02. 19

313. 0

8. 9

1ч 54м

Канал


Карта №32301

04. 13

296. 5

43. 0

4ч 17м




08. 31

281. 0

11. 0

1ч 06м

Мк Айия

75.0°

На карту № 32302

09. 37

236. 0

11. 4

1ч 08м

м Андирион

90.0°

Карта №32301

10. 45

270. 0

27. 7

2ч 46м

Мк Оксья

50.0°

На карту №32304

13. 31

330. 0

16. 5

1ч 39м

Мк Айос-Нколаос

58.5°

На карту №32306

15. 10

280. 0

20. 0

2ч 00м

Мк Дукато

250.0°

На карту №30305

12. 33

320. 0

434. 0

4ч 23м

Мыс Каменяк

90.0°

Карта №30305,30306

12. 33

59. 0

16. 6

1ч 40м

Подходной буй

112.0°

На карту №33317

14. 13

64. 5

13. 6

1ч 21м

Подходной буй

90.0°

На карту №38337

15. 34


1595.0

159ч 34м





1.7 Сведения об огнях и знаках

Навигационные огни и знаки имеют важное значение для контроля местоположения, в котором находится судно. Они позволяют определять положение судна в море, как днем, так и в темное время суток.

Таблица 5 Описание средств навигационного оборудования

Название и положение огня

Цвет, характер и дальность видимости огня

Высота огня, м



От основания

От уровня моря

Таганрогский 47°12’N 38°57’E

Бл Зтм (3с) 19М

20

48

Беглицкий 47°07’N 38°35’E

Бл Пр (6с) 14М

18

20

Темрюкский 45°20’N 37°14’E

Бл Пр (7.5с) 20М

14

68.9

Бердянский 46°46’N 36°46’E

Кр Зтм (3с) 19М

12,8

46,8

Еникальский 45°23’N 36°38’E

Бл 25М Гр Пр (3) (14с)

26,9

122,8

Меганомский 44°48’N 35°05’E

Бл Гр Пр (3) (15с) 25М

12,5

98,7

Амасра 41°45’N 32°23’E

Бл Пр (10с) 20М

3,5

77

Анадолу 41°13’N 29°09’E

Бл Дл Пр 20с 20М

18

75

Ахыркапы 41°00’N 28°59’E

Бл Пр (6с) 16М

29

36

Ешилькей 40°58’N 28°50’E

Бл Пр (2) 10с 15М

15

23

Хошкей 40°42’N 27°19’E

Бл Пр (2) 10с 19М

22

50

Мехметчик 40°03’N 26°11’E

Бл Пр 5с 19М Кр Пр 5с 12М

25

50

Айос-Еорьос 38°32’N 25°37’E

Бл Пр 10с 25М

9

78

Александруполис 40°51’N 25°53’E

Бл Пр (3) 15с 24М

18

27

Пситалия 37°57’N 23°36’E

Бл Пр (2) 15с 25М

14

47

Дукато 38°34’N 20°32’E

Бл Пр 10с 24М

15

70

Дрепанон 38°20’N 21°51’E

Бл Пр 10с 22М

7

9

Мелангави 38°02’N 22°51’E

Бл Пр 10с 17М

13

58

Волуица 42°05’N 19°04’E

Бл Пр 4с 20М

6

29

Струга 42°46’N 16°54’E

Бл Пр 10с 27М

23

104

Виттория 45°41’N 13°46’E

Бл Пр (2) 10с 22М

68

115


1.8 Сведения о портах, местах укрытия и якорных стоянках

Таблица 6 Сведения о портах и якорных стоянках

Наименование пункта

Номер карты

Наименование и страница руководства с описанием пункта

Данные о глубинах, грунте, защищенности от ветров, местные правила плавания и др.

Керченский

35130

Лоция Азовского моря,

Глубины на якорном месте около

Пролив


стр. 60. Якорное место

10м. Грунт ил. Место защищено



№ 453 находится к NE от

от ветров с W и NW. Подходить



мыса Хрони. Район свалки

близко к мысу Хрони и заходить



грунта в 1. 3 мили к ENE от

за глубины Юм опасно. Глубины



мыса Хрони.

в районе свалки грунта могут




быть менее показанных на карте.




0 постановке на якорь доложить




Керчь радио 4 по УКВ.



Лоция Азовского моря,

Глубины в районе №451 11-12. 8м



стр. 62. Районы якорных

Глубины в районе №450 около



мест в 2. 1 мили к SW от

10м. Грунт в районах ил, песок,



мыса Тузла и в 4. 2 мили к

ракушка. Защищены от всех вет



wot мыса Тузла. Районы

ров кроме южных. Суда могут



№ 451, №450.

становиться на якорь при штор




мах в Азовском море. Перед пос




тановкой на якорь получить




разрешение от Керчь радио 4 по




УКВ.

Синопский


Лоция Черного моря,

Глубины 10-18м. Грунт ил, пе

залив


стр. 414. Якорные места к S

сок. Место полностью защищено



от города Синоп в 2-4кбт от

от штормов с W, N и NE. Прибли



берега. Затонувшее судно с

жаться к берегу не заходя на глу



глубиной над ним 5. 5м ле

бины 5. 5м из-за нечистого грунта



жит в 2. 9мили к W от мы

а в 0. 5кбт от берега находится ос



са Бозтепе.

татки старых молов. При ветрах

Бухта Эрегли


Лоция Черного моря,

Глубина на входе 18-20м, к бере-



стр. 443, бухта находится

гу постепенно уменьшаются.



между мысом Баба и мысом

Грунт ил с песком. Защищена от



Ченгель. Берега приемуще-

ветров от NE. Перед подходом



ственно низкие.

получить разрешение по УКВ от




Эрегли - порт контрол.

Якорное мес


Лоция Эгейского моря,

Глубины на якорном месте около

то у острова


стр. 55. бухта Юкъери распо

13м, грунт-песок, ил; защищено

Бозджаада


ложена между мысом Кум

от ветров от N или NW. При не



и мысом Тузла. В северной

обходимости можно встать на



части берега пологие в юж

якорь ближе к берегу.



ной высокие.


Якорное мес


Лоция Эгейского моря,

Бухта защищена от сильных севе

то у острова


стр. 61. бухта Якорное

ро-восточных ветров; глубины

Лесбос


место находится напротив

здесь 13-18м. 0днако как только



пляжа.

ветер начнет стихать якорное




место следует покинуть.

Якорное место у


Лоция Адриатического мо

Бухта защищена от всех ветров

залива Влера


ря, стр.57. Бухта Панорма

кроме юго-западного; глубины



расположена между мыса

здесь 20-60 м.; грунт-ил. Здесь



ми Панорма и Кавадони

наблюдается сильный прибой.

Якорное место в


Лоция Адриатического мо

Бухта зщищена от всех ветров, но при

Триестском заливе


ря, стр.484. Бухта Сан-

западных ветрах стоянка здесь опасна



Бартоломео расположена к

Грунт-ил, якоря держит хорошо. Во



SSW от мыса Пунто-Сотиле

время юго-западного ветра малые




суда могут становится на якорь


1.9 Расчет светлого времени суток

Таблица 7 Расчет восхода и захода солнца


Начало навигационных сумерек

Восход Солнца

Заход Солнца

Конец навигационных суток

Координаты места судна, дата, время

46.38 N 37.20 Е 04.07. 00 03.40

46.26 N 37.12 E 04.07. 00 05.07

44.26 N 35.21 E 04. 07. 00 20.47

44.18 N 35.05 E 04.07. 00 22. 12

Координаты места судна, дата, время

43.46 N 34.02 Е 05.07. 00 04.03

43.38 N 33.45 E 05.07. 00 05.23

42.12 N 30.58 E . 05.07. 00 20. 41

42.05 N 30.43 E 05.07. 00 21.58

Координаты места судна, дата, время

41.28 N 29.34 Е 06.07. 00 04.15

41.21 N 29.20 E 06.07. 00 05.32

40.16 N 26.30 E . 06.07. 00 20.35

40.07 N 26.21 E 06.07. 00 21.48

Координаты места судна, дата, время

39.16 N 25.26 Е 07.07. 00 04.25

39.07 N 25.20 E 07.07. 00 05.40

37.45 N 23.45 E 07. 07. 00 20.26

37.48 N 23.36 E 07.07. 00 21.37

Координаты места судна, дата, время

38.16 N 22.10 Е 08.07. 00 04.34

38.21 N 21.56 E 08.07. 00 05.45

39.21 N 19.21 E 08. 07. 00 20.28

39.30 N 19.31 E 08. 07. 00 21.40

Координаты места судна, дата, время

40.23 N 18.36 Е 09.07. 00 04.24

40.31 N 18.28 E 09. 07. 00 05.38

42.27 N 16.22 E 09. 07. 00 20.39

42.36 N 16.13 E 09. 07. 00 21.58

Координаты места судна, дата, время

43.25 N 15.21 Е 10.07. 00 04.01

43.34 N 15.11 E 10. 07. 00 05.26

45.19 N 13.26 E 10. 07. 00 20. 48

45.28 N 13.26 E 10. 07. 00 22.12

Координаты места судна, дата, время

45.25 N 13.21 Е 10.07. 00 04.02

45.34 N 13.11 E 10. 07. 00 05.24




.10 Справка по порту прихода

Порт Триест (Trieste) оборудован в вершине Триестского залива и является одним из наиболее крупных портов Адриатического моря. К порту примыкает город Триест. В южной части акватории порта, занимающей обширную и глубоководную бухту Муджа, находятся небольшие гавани, причалы и верфи. Севернее бухты Муджа находятся большие гавани Порто-Доганале и Порто-Франко-Веккье.

При подходе к порту Триест первой открывается гора Ре, или Нанос, представляющая собой сложенный из известняка выступ.

Лучшим ориентиром, хорошо видимым даже во время тумана, является телевизионная башня высотой 110 м., находящаяся на вершине горы Конконелло.

Лоцманская проводка в порт Триест обязательна для всех судов валовой вместимостью более 500 рег. т. и осуществляется в любую погоду. Лоцман поднимается на борт судна в 1.5 кбт. к NNE от северной оконечности северного из волноломов Луиджи-Риццо.

В порту можно произвести любой ремонт. Здесь имеются три верфи и пять сухих доков.

В порту можно пополнить запасы топлива, смазочных масел и воды. В порту в достаточном количестве имеются продовольствие и предметы судового снабжения.

В порту можно произвести дератизацию, дезинфекцию и дезинсекцию.

Порт Триест открыт юго-восточным ветрам. Максимальная амплитуда прилива составляет 0.85 метра. Наибольшая скорость приливных течений 1 уз.

Средства навигационного оборудования обеспечивают плавание на подходах к порту Триест и в нем самом в любое время суток. На оси и по обеим сторонам фарватера, ведущего в бухту Муджа, выставляются светящие буи.

В порту Триест действуют специальные правила для судов валовой вместимостью более 1.600 рег. т., перевозящих нефтепродукты, газ и химические вещества. Эти правила можно получить в управлении морской портовой полиции и в управлении порта.

Становиться на якорь в порту Триест можно как в бухте Муджа, так и западнее гавани Порто-Франко-Веккье. При постановке на якорь в бухте Муджа следует иметь в виду, что в 9 кбт. к N от гавани Муджа лежат обломки затонувшего судна. Грунт в бухте Муджа - ил, якоря держит хорошо. Можно становиться на якорь также западнее гавони Порто-Франко-Веккье, где глубины 19-21 м, но эти мета недостаточно хорошо защищены от штормовых ветров.

1.11 Рекомендации по выполнению перехода

После выхода из устья реки Дон, следуя курсом ПУ=264.4 заходим в Азов-Донской морской канал. Выйдя из канала движемся рекомендованным путем №31 определяя свое местоположение по маякам Белосарайский и Бердянский. После прохода маяка Еникальский ложимся на курс ПУ=194.3 и входим в Керчь-Еникальский канал, предварительно за час до подхода согласовав свои действия по УКВ с Керчь-радио. Проходя Керчь-Еникальский канал докладываем свое местоположение в определенных точках. Выйдя из канала определяемся по маяку Кыз-Аул и ложась на курс ПУ=236 следуем по Черному морю к проливу Босфор. Перед входом в пролив необходимо подать заявку, с указанием предположительного времени прибытия за 24 часа до подхода. Подойдя к проливу Босфор определяемся по маяку Ахыркапы, и выходим на связь с Истанбул трафик контрол, согласно "Регламента о проходе проливов Босфор и Дарданеллы". Пройдя пролив Босфор выходим в систему разделения движения и движемся по ней курсом 231. Подходя к проливу Дарданеллы определяемся по маяку Каракова и выходим на связь с Чанакале трафик контроль. После выхода из пролива Дарданеллы даем заявку на проход Коринфского канала и заказываем там лоцмана и буксир. Определяемся по маяку Тавшан и ложимся на курс 229.5 . На участке движения до Коринфского канала контролируем свое местоположение по маякам Комби, Харте, Мангаластрос, Флевес и Пситалия. За милю до подхода к Коринфскому каналу встречаем лоцмана и буксир. После прохода Коринфского канала движемся между островами и контролируем свое местоположение по мысу Андирион и маякам Оксья, Айос-Николаос и Дукато. Далее следуя курсом 317 выходим в Адриатическое море и движемся по нему 427 миль до Венецианского залива. Определившись по маяку Пеголота ложимся на ПУ=345 подходим к порту Триест. Выходим на связь с Триест порт контроль и заказываем ломана. Далее следуем курсом 59 в 1.8 мили от подоходного буя, берем лоцмана и входим в порт.

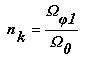
На переходе по морскому участку, согласно заданию, производим дискретности обсерваций. Дискретность - это критерий частоты определений места судна с заданной точностью, при данных условиях плавания.

Определяем дискретность обсервации на участке перехода, находясь в системе разделения движения, после выхода из пролива Босфор. После определения места по Мк Ахыркапы, ИП=165.0°, Д=1.05мили, ложимся на курс ПУ=231.0° и следуем 6.2мили до точки Мк Ешилькей, ИП=311.5°, Д=1.0мили.

Оценка точности текущего момента, мили:


где mлп1 - средняя квадратичная погрешность (СКП) линии положения пеленга

mлп2 - СКП линии положения расстояния

mлп1 = 0,017*D*mп = 0,017*1,05*0,7=0,012мили

где, D = 1,05 - расстояние до ориентира, мили;

mп = 0,7 - СКП пеленга, град

mлп2 =0,01 - 1% от D , мили

q =90° - угол между пересечением линий положения


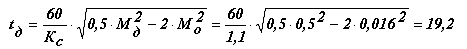
Определим радиальную среднюю квадратичную погрешность счисления Мс, мили:

Мс = 0,7*Кс*t

где Кс =1,1 - коэффициент точности счисления;

t = 0,62 ч - интервал счисления.

Мс = 0,7*1,1*0,62 = 0,48мили

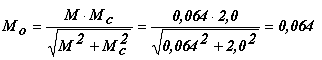
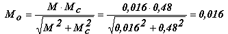
Определяем осредненную радиальную среднюю квадратичную погрешность Мо, мили:


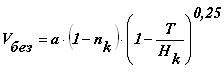
Определяем дискретность обсервации tд, мин. для предельно допустимой радиальной погрешности Мд = 0,5мили:


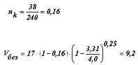
Из полученных расчетов видно, что допустимая частота обсервации для следования по полосе системы разделения движения от Мк Ахыркапы до Мк Ешилькей должна составлять 19,2 мин, для удобства округляем до 20 мин.

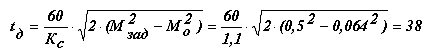
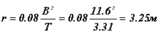
1.                                                                                                             Определяем дискретность обсервации на участке перехода, между Мк Тавшан, ИП=113.0°, Д=4.2мили, и Мк Комби, ИП=331.3°, Д=3.4мили. Движемся курсом ПУ=229.5° 3ч.16мин.

Оценка точности текущего момента, мили:


где mлп1 - средняя квадратичная погрешность (СКП) линии положения пеленга, mлп2 - СКП линии положения расстояния

лп1 = 0,017*D*mп = 0,017*4,2*0,7=0,05мили

где D = 4,2 - расстояние до ориентира, мили; mп = 0,7 - СКП пеленга, град, mлп2 =0,04 - 1% от D , мили, q =90° - угол между пересечением линий положения


Определим радиальную среднюю квадратичную погрешность счисления Мс, мили:


где Кс =1,1 - коэффициент точности счисления;

t = 3,27 ч - интервал счисления.


Определяем осредненную радиальную среднюю квадратичную погрешность Мо, мили:


Определяем дискретность обсервации tд, мин. для предельно допустимой радиальной погрешности Мзад = 0,5мили:


Допустимая частота обсервации для данного участка маршрута от Мк Тавшан до Мк Комби должна составлять 38 мин, для удобства округляем до 30 мин.

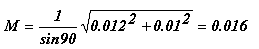
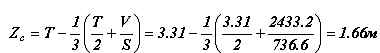
2.                                                                                                             При постановке судна на якорь на рейде порта Триест определяем местоположение судна по визуальному пеленгу и радиолокационной дистанции до подходного буя, ИП=115,0°, Д= 1,88мили. Для определения наиболее точного радиуса окружности, которую будет описывать корма судна стоящего на якоре, необходимо рассчитать радиальную среднюю квадратичную погрешность обсервации по двум независимым линиям положения, Мо , мили:

Оценка точности текущего момента, мили:

где mлп1 - средняя квадратичная погрешность (СКП) линии положения пеленга, mлп2 - СКП линии положения расстояния

лп1 = 0,017*D*mп = 0,017*1,88*0,7=0,022мили

где D = 1,88 - расстояние до ориентира, мили;

mп = 0,7 - СКП пеленга, град

mлп2 =0,019 - 1% от D , мили

q =90° - угол между пересечением линий положения

Мо = 0,029мили = 53,7м = 0,3кбт

При определении радиуса окружности, которую будет описывать корма судна стоящего на якоре, к значениям выбираемым из таблицы необходимо прибавить расстояние равное 53,7м., или 0,3 кабельтова.

1.12 Штурманская справка по внутренним судоходным путям

Плавание судна по внутренним судоходным путям наиболее сложное в навигационном отношении участок перехода.

На переходе Волгоград-Триест плавание по внутренним судоходным путям начинается после выхода судна из порта Волгоград и заканчивается в устье реки Дон на 0 км. Этот путь можно условно разделить на 3 части. При выходе из порта Волгоград мы заходим в Волго-Донской судоходный канал имени В.И. Ленина. Он состоит из 13 шлюзов. Второй участок проходит по Цимлянскому водохранилищу и заканчивается Цимлянским гидроузлом, включающим в себя шлюза №14 и №15. Третий участок от устья реки Дон до Цимлянского гидроузла называется Нижним Доном и включает в себя Николаевский, Константиновский и Кочетовский гидроузлы.

Волго-Донской судоходный канал имени В.И. Ленина можно условно разделить на два характерных участка: Волжский склон и водораздельный бьеф. Волжский склон канала имеет длину 21 км и подъем судов от реки Волги до водораздельного бьефа осуществляется в девяти шлюзах. Канал начинается в южной части города Волгоград. Для входа в канал суда должны огибать большой правобережный побочень Сарептского переката. В связи с большой крутизной Волжского склона шлюзы расположены один от другого на расстоянии 1-2 км. Подобное расстояние между смежными шлюзами является минимально допустимым для расхождения встречных судов. Лишь промежуточный бьеф между шлюзами №3 и 4 имеет длину 8 км.

Плавание по Волго-Донскому каналу сопряжено с трудностями. Канал имеет относительно небольшие размеры поперечного сечения, повороты. При опорожнении или наполнении камеры шлюза в промежуточных бьефах возникают динамические колебания уровня воды с амплитудой до 1 м. В канале появляются течения воды к шлюзу или от шлюза до 4 км в час.

В зоне Волго-Донского судоходного канала господствующими являются ветры северо-восточного направления. Несмотря на небольшие размеры трех водохранилищ канала, ветры создают в них трудности для судоходства. На Варварском и Береславском водохранилищах направление преобладающих ветров перпендикулярно направлению судоходства. При сильных ветрах ( до 25 м/с ) на водохранилищах возможны волны 1.5-2.5 м. Судоходный канал имеет практически постоянную ширину, но высокие берега канала на участках поворотов усложняют визуальную оценку путевых условий.

От шлюза №13 к основному судовому ходу Цимлянского водохранилища суда следуют подходным каналом. Для выхода в водохранилище надо иметь путевую и гидрометеорологическую информацию. Суда оборудованные УКВ обязаны докладывать о фактическом состоянии погоды и судов: при прохождении траверза убежища Ильмень-Суворовское - диспетчеру Калачевского порта, при прохождении траверза убежища Кривская - диспетчер Волго-Донского порта.

К нижнему Дону относится участок единой глубоководной системы от нижнего подходного канала Цимлянского гидроузла до устья реки Дон. Путевые условия нижнего Дона аналогичны речным. Сложности при управлении судном обусловлены ограниченными габаритными размерами судового хода, наличием множества перекатов и крутых поворотов ориентиром при движении по нему служат береговые путевые знаки.

От Кочетовского гидроузла до населенного пункта Аксай судоходная обстановка остается напряженной. Наиболее сложными являются перекаты Среднепоречный, Раздорские Камни, Третий Мелеховский и Аксайский.

Перед подходом к порту Ростов-на-Дону необходимо связаться по УКВ "Кама -Р" с диспетчером порта и договориться о постановке на рейд и заказать комиссию для оформления прихода судна. После оформления формальностей таможенных, пограничных и карантинных судно следует далее по реке Дон к выходу в Азовское море. Перед выходом из п. Ростов-на-Дону заблаговременно нужно выйти на УКВ связь с капитаном рейда на канале 5 по р/ст "Кама-Р" для подачи заявки на пароход Ростовского разводного железнодорожного моста. Ожидать разводки моста следует на Нахичеванском рейде. Следовать в разводку под разводной мост следует только по распоряжению капитана рейда и согласно очередности. Первыми в развод идут суда, следующие по реке Дон вниз. После прихода судна, которое идет последним с верху, начинается движение судов в разводку снизу. После прохождения разводного моста судно по согласованию с диспетчером Ростовского порта следует на якорь для оформления отхода судна в инспекции портнадзора и для получения разрешения для дальнейшего плавания. После оформления формальностей таможенных, пограничных и карантинных судно следует далее по реке Дон к выходу в Азовское море.

Основными документами регламентирующими плавание по Нижне-Донскому участку водного пути являются:

.Правила плавания по внутренним судоходным путям РСФСР.

.Правила пропуска судов, составов плотов через судоходные шлюзы единой глубоководной системы Европейской части РСФСР.

.Правила пожарной безопасности на речном транспорте Министерства речного флота РСФСР.

.Местные правила плавания по судоходным путям Донского бассейна. При плавании по Нижне-Донскому участку от устья до порта Волгодонск необходимо использовать откорректированный Атлас единой глубоководной системы Европейской части РСФСР том №8, а также Путевые листы и извещения судоводителям а также другую информацию, которая может быть получена от диспетчеров портов, пристаней и других судов.

2. Техническая готовность судна к рейсу

2.1 Нормативная документация

На судне должны быть в полном объеме следующие организационно-распорядительные и другие документы и материалы по безопасности плавания:

. Кодекс торгового мореплавания Российской Федерации;

. Устав внутреннего водного транспорта Российской Федерации;

. Устав службы на судах Департамента речного транспорта Российской Федерации;

. Устав о дисциплине работников речного транспорта Российской Федерации;

. Правила технической эксплуатации речного транспорта;

.Сборник организационно-распорядительных документов по безопасности мореплавания судов Департамента речного транспорта Российской Федерации;

. "Охрана окружающей среды на речном транспорте" сборник нормативных документов.

. Международная конвенция морпол-73/78

. Правила регистра Российской Федерации, относящееся к судам данного типа;

. Правила Речного Регистра Российской Федерации, относящиеся к судам данного типа

. Руководство по технической эксплуатации сухогрузных теплоходов смешанного (река-море) плавания при круглогодичной навигации;

. Международные правила предупреждения столкновения судов в море;

. Международный свод сигналов;

. Правила плавания по внутренним водным путям;

. Наставления по штурманской службе на судах Департамента речного транспорта Российской Федерации;

. Наставление по борьбе за живучесть судов смешанного плавания ДРТ;

. Рекомендации по использованию судовой РЛС для предупреждения столкновения судов;

. Общие правила торговых и рыбных портов Российской Федерации;

. Обязательное постановление по посещаемым портам;

. Правила корректуры карт и руководств для плавания;

. Выпуск извещений мореплавателям ГУН и ОМО № 1 и приложение к нему.

. Выпуск извещений мореплавателям ГСКЧФ № 1;

. Документы по навигационной части, согласно НШС;

. Документы по использованию радиосвязи;

. Приказы, циркуляры, письма судовладельца и других ведомственных организаций по вопросам безопасности плавания;

. Другие документы и материалы по усмотрению капитана или судовладельца;

. Информация об остойчивости капитану;

. Правила перевозки грузов морем;

. Правила перевозки опасных грузов.

.2 Судовая документация

В соответствии с кодексом торгового мореплавания Российской Федерации, Правилами Регистра Российской Федерации, решениями других государственных органов и международными конвенциями на судах смешанного плавания должны быть следующие судовые документы:

. Свидетельство о праве плавания под Государственным флагом Российской Федерации (судовой патент) Свидетельство бессрочное;

. Свидетельство о праве собственности на судно. Свидетельство бессрочное.

. Судовое свидетельство. Свидетельство бессрочно;

. Свидетельство о годности судна к плаванию, срок действия - 3 года с ежегодным подтверждением;

. Мерительное свидетельство, срок действия до переоборудования судна;

.Классификационное свидетельство, срок действия 5 лет с ежегодным подтверждением;

. Свидетельство о грузовой марке, срок действия 5 лет с ежегодным подтверждением;

. Международное свидетельство о грузовой марке, срок действия 5 лет с ежегодным подтверждением;

. Свидетельство на оборудование и снабжение, срок действия 4 года с ежегодным подтверждением;

.Регистровая книга систем пожаротушения, противопожарного оборудования и снабжения. Выдается Регистром Российской Федерации при первоначальном освидетельствовании судна;

. Регистровая книга судовых грузоподъемных устройств;

. Акт ежегодного освидетельствования корпуса, устройств, оборудования и снабжения, срок действия 1 год;

. Акт ежегодного освидетельствования механической установки, срок действия 1 год;

. Акт ежегодного освидетельствования электрооборудования судна, срок действия 1 год;

. Акт освидетельствования радиооборудования;

. Акт очередного освидетельствования корпуса, устройств оборудования и снабжения;

. Акт очередного освидетельствования механической установки;

Акт очередного освидетельствования электрооборудования;

. Акт освидетельствования судна, выдается при внеочередных освидетельствованиях;

. Акт освидетельствования валопровода, дейдвудного устройства движителей и донно-бортовой арматуры;

. Сертификат на якорь;

. Сертификат на якорную цепь;

. Свидетельство о безопасности грузового судна по радиооборудованию, выдается на весь срок службы;

. Судовое санаторное свидетельство, выдается на 1 год;

. Свидетельство о дератизации, выдается на 6 месяцев;

. Единая книга осмотра судна 2 части одна для машины для палубы;

. Журнал нефтяных операций для судов не являющихся танкерами, срок действия 8 лет;

. Свидетельство пожарной охраны для выхода судов в море;

. Свидетельство о минимальном составе экипажа, обеспечивающим безопасность эксплуатации;

. Свидетельство о безопасности грузового судна по конструкции, выдается на срок 4 года;

. Свидетельство о безопасности грузового судна по оборудованию и снабжению, выдается на срок не более 2 лет;

. Свидетельство об изъятии, выдается Регистром при наличии основания для освобождения от отдельных требований предусмотренных конвенцией СОЛАС;

. Международное общество о предотвращении загрязнения моря нефтью, срок действия до 4 лет;

. Дополнения к международному свидетельству о предотвращении загрязнения моря нефтью;

.Международное свидетельство о предотвращении загрязнения моря сточными водами, срок действия до 4 лет;

. Международное свидетельство о предотвращении загрязнения моря мусором, срок действия до 4 лет;

. Судовой вахтенный журнал;

. Машинный журнал.

.3 Проверка технических средств судовождения перед рейсом

Перед выходом судна в рейс все технические средства судовождения должны быть готовы к использованию. Гирокомпас должен быть включен заблаговременно не позднее чем за 4 часа до отхода судна, для того, что бы он вошел в меридиан. Все технические средства судовождения проверяются членами экипажа, согласно расписанию по заведованию. Проверка производится согласно:

. Устава службы на судах Департамента речного транспорта Российской Федерации

. Рекомендаций штурманской службы

. Правилами технической эксплуатации и другими приказами и инструкциями.

Мероприятия по подготовке и проверке технических средств судовождения включают:

. Проверку электронавигационных приборов

. Проверку радионавигационных приборов

. Проверку исправности навигационных огней

. Проверку исправности средств сигнализации

. Проверку исправности средств радиосвязи

При подготовке приборов необходимо произвести следующие основные мероприятия:

. Произвести внешний осмотр прибора

.Проверить технические параметры в соответствии с инструкцией по эксплуатации.

. Определить поправки

.Согласовать репитеры с гирокомпасом и проверить согласование навигационных приборов с гирокомпасом

. Произвести контрольное включение приборов

Обо всех обнаруженных неисправностях или отклонениях, а также о готовности к выходу в рейс, докладывается непосредственно начальником служб - старшему помощнику капитана и старшему механику.

После получения доклада начальнику служб докладывают о готовности судна к выходу в рейс капитану.

Решение о готовности судна к выходу в рейс принимает только капитан.

Таблица 8 Проверки выполняемые судовым экипажем при определении технической готовности судна к рейсу

Название

Корпус

Якорное

Швартовное

Рулевое

Судовые

Судовое

Кто проводит

Нормативных документов


устройство

устройство

устройство

Механизмы

Электрооборудование











Номера параграфов, статей



Устав

104

104

104





службы на судах ДРТ

п.01 108 п.02

п.01 156 п.02

п.01 108п.02




ст.штурман4 механик

РФ


157

156







п.08

п.02








157








п.08




4 механик



160

160

160


160




п.12

п.12

п.12


п.12

эл.механик






137


ст. механик





149 п.01

149 п.01


2 механик





149п.11

149п.11


2механик






152








153 п. 07



Правила технической





4.5

4.10

эл.механикст. механик

эксплуатаци




4.3.1



капитан


4.2

4.3.2

4.3.3




капитанэл.механик

Правила пожарной безопас

2.1.2




2.42.4


ст.штурман ст.механик

ности








на судах МРФ






2.5

эл.механик


2.4 Контроль за работой и определение поправок гирокомпаса "Амур-2"

Одно из основных условий правильной эксплуатации гирокомпаса "Амур-2" является хорошее знание всех приборов и инструкций по эксплуатации. Неисправность может быть предотвращена и надежная работа гирокомпаса обеспечена в случае повседневного контроля и наблюдения приборами и отдельными узлами.

При эксплуатации гирокомпаса следует обратить особое внимание на надежность контактных соединений токоведущих частей. Каждый пуск и продолжительность работы следует фиксировать в техническом формуляре. При эксплуатации гирокомпаса необходимо периодически проверить:

. Показания амперметров и значения рабочих токов

. Показания термометра, температура поддерживающей жидкости должна быть в пределах от 30°С до + 42°С.

. Положение чувствительного элемента по высоте

. Уровень поддерживающей жидкости

. Прозрачность поддерживающей жидкости

. Согласование всех репитеров с гирокомпасом. Рекомендуется через каждые 1000 час работы производить следующие проверки гирокомпаса.

Чувствительность следящей системы должна быть не менее 0.2°, время отработки системы угла 90° меньше 15с, число полных колебаний следящей системы относительно положения равновесия с угла рассогласования 60° должно быть не более двух, проверять срабатывание контактов сигнального термостата. Через каждые 3000 час. Работы системы необходимо производить замену поддерживающей жидкости.

После пуска гирокомпаса, который производится за 4 часа до отхода судна, гиросфера приходит в меридиан в течении 3 часов. Через 3 часа после включения производится контрольная проверка всех приборов. В течении 30 мин. Берется несколько пеленгов и если показания не меняются следовательно гиросфера приняла в меридиан. Согласно НШС, контроль за работой курсоуказателей осуществляется путем сличения гироскопического и магнитного компасов при каждом изменении курса и ежечасно при плавании постоянным курсом.

Поправка гирокомпаса определяется при подготовке к рейсу, периодически во время рейса, при регламентных проверках. При использовании гирокомпаса необходимо знать постоянную поправку, характеризующую среднее положения равновесия 4Э. Постоянная поправка гирокомпаса DГК определяется у причала или в море при установившемся режиме работы по формуле:

DГК = ИП - ГКП - dv

где ИП и ГКП - истинный и гирокомпасный пеленги;

dv - скоростная девиация гирокомпаса.

Лучшим ориентиром для определения пеленгов служат створы.

Скоростная девиация определяется при каждом изменении курса, скорости судна, широты места судна. Ее можно определить по таблице, по линейке и аналитическим способом. Определенная постоянная DГК и dv составляют общую поправку гирокомпаса DГК общ:

DГК общ = D ГК + dv

Ее следует принимать для исправления гирокомпасных пеленгов, расчета гирокомпасного курса.

Согласно НШС допустимое значение постоянной DГК не должно превышать 1°. Она должна определится после стоянки судна, замены поддерживающей жидкости или ЧЭ ремонта отдельных приборов. Если постоянная DГК отличается от учитываемой более чем на 0,5° при первой возможности следует выявить причину и устранить ее доведя постоянную DГК до величины не превышающей 1°.

При проверке и мелком ремонте гирокомпаса, а так же при замене поддерживающей жидкости или ЧЭ следует руководствоваться инструкцией по эксплуатации, техническим формуляром и другой эксплуатационной документацией.

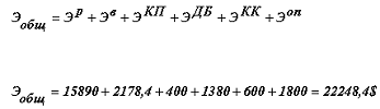
3. Коммерческое обеспечение и финансово-экономический результат рейса

.1 Расчет продолжительности рейса

Протяженность маршрута перехода Волгоград-Триест, составляет 1906миль - 3530 км. Его можно разделить, по условиям плавания, на два участка: речной и морской. Речной участок (от порта Волгоград до 0 км. реки Дон ) имеет протяженность 596 км. Морской участок ( от 0 км. реки Дон до порта Триест ) имеет протяженность 1584 мили - 2934 км.

В связи с тем, что эти два участка различаются условиями плавания, то есть влиянием на скорость движения судна ветро-волнового режима и течения на каждом участке, то и скорости движения по этим участкам будут различными.

Гарантированная глубина на речном участке от порта Волгоград до устья реки Дон составляет 4,0м, следовательно при максимально-допустимой осадке судна - 3.40м. запас воды под днищем будет составлять - 0.6м. Поэтому можно сделать вывод, что запас воды под днищем является достаточным, однако следует иметь в виду, что в летний период времени глубины на речном участке могут быть менее гарантированных, что может сделать следование судна при осадке 3,40м затруднительным лишь на отдельных участках маршрута от порта Волгоград до устья реки Дон.

Время движения и стоянок по речному участку берем согласно транспортным нормативам из источника. [8]

На участке от порта Волгоград до устья реки Дон:

время хода - 72 часа;

время стоянок - 19 часа;

Общее время - 91 час. = 3,8 сут.

При движении по морскому участку маршрута на судно не оказывают значительного влияния воздействие ветро-волнового режима и течений, поэтому можно принять скорость движения судна по данному участку равной номинальной, то есть Uм = 10 уз. - 444.5 км/сут.

Используя методическое пособие В.Г. Заварзина, Ю.Т. Уртминцева "Организация, планирование и управление работой флота и портами" определим продолжительность рейса.

tp = Stобр + Stх + Stст

где Stобр - суммарное время стоянки судна в портах под грузовой обработкой, сут; Stх - суммарное ходовое время, сут; Stст - суммарная длительность путевых стоянок, сут.

При перевозке генеральных грузов суммарное время стоянки судна в порту грузовой обработки обычно оговаривается в контракте. В него входит время грузовой обработки, время на технические операции с судном, время на грузовые, таможенные и другие формальности, исключая простой судна по гидрометеорологическим причинам.

Нормативом для погрузки и выгрузки алюминия в пакетах является:

погрузка - 1500 т/сут;

выгрузка - 1500 т/сут.

Для расчетов принимаем

tобр = 1сутки для каждого порта погрузки и выгрузки.

Время на технические операции в порту погрузки:

ожидание грузовых работ - 12 час.

бункеровка и снабжение - 10 час

оформление прихода и отхода - 2 час.

Всего tто= 24 час - 1сут.

Следовательно, время стоянки судна при грузовой обработке составляет, сут.:


Рассчитываем суммарное ходовое время, сут.:


Суммарная длительность путевых стоянок Stст состоит из:

стоянки на речном участке - 19час;

проход узкостей - 12час;

пограничные и таможенные формальности - 6час.

Stст = 19 + 12 + 6 = 37час = 1.5 сут

Продолжительность рейса Волгоград - Триест равна:

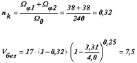
tp = Stобр + Stх + Stст = 3 + 10.4 + 1.5 = 14.9 сут

.2 Расчет и проверка остойчивости

При погрузке в порту Волгоград необходимо погрузить и расположить груз по трюмам соблюдая следующие требования:

. дедвейт судна не должен превышать 1755 тонн

. количество груза по трюмам не должно превышать грузоподъемность трюма более чем на 20 тонн.

. дифферента у судна после окончания погрузки не должно быть, для того, что бы судно при плавании по речному участку находилось на ровном киле. В связи с тем, что т/х "СТК-326" в сутки расходует 2.5т топлива и 2-3т воды на нужды экипажа , то прирост осадки на нос будет составлять 3см в сутки. Поэтому при движении по речному участку необходимо принимать балласт на корму для выравнивания дифферента судна.

Рассчитываем загрузку, осадки и дифферент используя " Информацию об остойчивости для капитана", "Правила перевозки грузов морем" и таблицу дифферентов и осадок.

Таблица 9 Расчет остойчивости судна

Статьи нагрузок

Масса Р

Моменты по высоте

Моменты по длине


т

Zg, м

M zg, тм

Xg, м

M xg, тм

Судно порожнем

929

2.8

2601.2

- 9. 85

- 9150.7

Бункер

40

1. 50

60

- 27. 0

- 1080

Пресная вода

15

2. 10

31.5

+ 7.2

+ 226.8

Балластный танк, корма

10

2. 10

21.0

- 32.0

- 320

Балластный танк, бак

70

2. 10

147.0

+ 38.7

+ 2709

Трюм № 1

640

2. 50

1600

+ 28.8

+ 18432

Трюм №. 2

790

2. 50

- 15. 45

- 12205.5

Водоизмещение, D

2494

2. 58

6435.7

-0. 56

- 1388.4


При данной загрузке судна в пресной воде r = 1, 000 т/м, Тн = 3. 33 м, То = 3. 33 м, Тк = 3. 34 м, d = Тн - Тк = -1 см. При выходе из реки Дон r = 1. 025 т/м поправка на морскую воду - 6см, уменьшение осадки из-за расхода топлива и пресной воды (около 30 тонн) составит -2 см. Тн = 3. 31м. То = 3. 31 м, Тк = 3, 32 м, d = -1см. Расчет и проверку остойчивости производим используя "Информацию об остойчивости капитану"

1. Поперечный метацентрический радиус


где В = 11.6 м - ширина судна;

Т = 3.31 - средняя осадка судна.

2. Площадь действующей ватерлинии

рейс карта плавание гидрокомпас


где t = 7.55 т/см - количество тонн на 1 см осадки;

r = 1.025 т/м3 - плотность морской воды.

3. Объемное водоизмещение


где D = 2494 т - весовое водоизмещение в грузу.

4. Отстояние центра величины от киля


5. Поперечная метацентрическая высота


Амплитуда качки выбирается в зависимости от коэффициента m из источника. [10]

Для нашего судна она равна qr = 26°.

По рассчитанной метацентрической высоте и весовому водоизмещению с помощью универсальной диаграммы остойчивости строим диаграмму статической остойчивости для судна проекта "СТК-326" на рейс Волгоград-Триест.

Таблица 10 Критерии остойчивости

Критерий

h’

lmax

qmax

qзал

Требуемый

> 1.0

> 0.2

> 30°

> 60°

Фактический

2.33

1.05

31°

65°


На основе выполненных расчетов и построенной диаграммы видно, что остойчивость судна отвечает требованиям Регистра, а значит данная загрузка судна обеспечивает безопасность плавания на маршруте Волгоград-Триест с грузом алюминия.

3.3 Описание груза и условия перевозки

В рейсе Волгоград-Триест перевозится генеральный груз - алюминий в пакетах. Груз представляет собой чушки первичного алюминия с пониженным содержанием кремния (марки А7э ТУ 48-5-278-87), увязанные металлической проволокой, для транспортировки, в пакеты по 50 штук в каждом.

Перевозка данного груза осуществляется в соответствии с Международной конвенцией по охране человеческой жизни на море. Правилами перевозок грузов морем и другими нормативными документами. При перевозке металлов особое внимание следует обращать на разделы правил, касающиеся плана загрузки, размещения и обеспечения несмещаемости металлов при качке. При поступлении на судно предварительного грузового плана на перевозку металлов судовая администрация обязана произвести контрольные расчеты прочности и остойчивости судна.

При подготовке судна к приему груза трюма должны быть чистые, сухие, не иметь водотечности. Люковые закрытия, лазы в трюмы и скоб траппы должны быть в исправном состоянии. Перед погрузкой необходимо убедиться, что груз соответствует, маркировку или ярлычки, не имеет видимых повреждений или дефектов, увязка груза не повреждена.

В процессе погрузки необходимо контролировать, чтобы груз был отделен от днища и бортов трюмов сепарацией, чтобы груз в процессе укладки не повреждался. Необходимо вести счет груза, если количество груза не заявлено отправителем. После погрузки количество груза должно быть проверено расчетами по изменению осадки судна, так как пакеты имеют разный вес. После окончания погрузки верхний слой груза должен быть закреплен. В процессе перевозки груза, если судно следовало в штормовых условиях необходимо проверить крепления груза и есть ли смещение груза.

При выгрузке основной контроль ведется за количеством выгруженного груза. При необходимости ведется тальманский счет груза силами экипажа или нанимаются для счета груза Тальмана Трансфлота.

При осуществлении экспортных перевозок металла (алюминий в пакетах) из порта Волгоград (Россия) в порт Триест (Италия) наиболее выгодным условием для перевозки будет являться условие FOB (Free on Board) - свободно на борту (франко борт). Условие FOB означает, что продавец полностью выполнил свои обязательства по доставке, когда товар перешел через поручни судна в указанном порту отгрузки. Это означает, что покупатель несет все расходы и риски гибели и/или повреждения товара с момента перехода его через поручни судна. Условие FOB требует от продавца экспортной очистки товара.

Продавец обязан:

. Обеспечить наличие товара и коммерческого счет-фактуры или EDI в соответствии с условиями контракта (договора) купли-продажи, а также других данных, подтверждающих соответствие товара условиям контракта.

. Получить на свой риск и за свой счет экспортную лицензию или другое официальное свидетельство и выполнить все таможенные формальности, необходимые для экспорта товара.

. Доставить товар на борт названного покупателем судна в указанном порту отгрузки в соответствии с обычаями порта, в установленную дату или оговоренный срок.

. Нести риски потерь и/или повреждений, которым может подвергнуться товар, до момента, когда пересечет поручни судна в указанном порту погрузки.

. Оплатить расходы, связанные с товаром до того момента, когда он пересечет поручни судна в указанном порту погрузки, расходы на таможенные формальности, а также все пошлины, налоги и другие официальные счета, подлежащие уплате при экспорте товара.

. Известить покупателя о том, что товар доставлен на борт указанного судна.

. Предоставить покупателю за свой счет обычный документ, подтверждающий доставку товара.

. Обеспечить по требованию покупателя за его счет и на его риск помощь в получении транзитного документа (оборотного коносамента, необоротного морского путевого счета, речного путевого документа или мультимодального транспортного документа).

. Оплатить расходы, вызываемые проверкой товара (проверка качества, измерение, взвешивание, подсчет), необходимой для представления товара на борт судна, а также расходы, связанные с упаковкой товара и его маркированием.

. По просьбе покупателя оказать последнему на его риск и за его счет содействие в получении любых документов или EDI, используемых или выдаваемых в стране погрузки и/или в стране происхождения товара, которые могут потребоваться покупателю для ввоза (и в соответствующем случае - также для транзитной провозки через третьи страны).

. Обеспечить покупателя по его требованию необходимой информацией для осуществления страхования.

Покупатель обязан:

. Оплатить цену, как оговорено в контракте (договоре) купли-продажи.

. Получить на свой риск и за свой счет лицензию на ввоз или другое официальное свидетельство и выполнить таможенные формальности для ввоза товара и, где необходимо, для его транзита через третью страну.

. Заключить договор перевозки товара из оговоренного порта погрузки.

. Принять поставку товара согласно контракту (договору) купли-продажи.

. Нести риски потерь и/или повреждения товара с момента, когда товар пересек поручни судна в указанном порту погрузки. Если он не дает извещение или если судно, указанное им, не прибудет своевременно или будет не в состоянии принять товар или прекратит принятие груза до наступления установленной даты, то нести все риски потерь и/или повреждения товара с согласованной даты или с даты окончания какого-либо периода, зафиксированного для принятия поставки.

. Оплатить все расходы, связанные с товаром, с того момента, когда он пересек поручни судна в указанном порту погрузки. Нести все дополнительные расходы, вызванные тем обстоятельством, что судно, указанное им, не прибыло своевременно или не будет в состоянии принять товар или прекратит принятие груза до наступления установленной даты, или если покупатель не дал соответствующего уведомления.

. Оплатить пошлины, налоги и другие официальные сборы, а также расходы на выполнение таможенных формальностей, подлежащих уплате при ввозе товара и, где необходимо, при его транзите через третью страну.

. Дать продавцу соответствующие указания о названии судна, месте погрузки и предлагаемом сроке поставки.

. Принять подтверждение доставки товара.

. Оплатить, если не оговорено иное, все расходы и сборы на предкорабельную инспекцию, исключая расходы, относящиеся к получению свидетельства (экспортной лицензии) от властей страны экспорта.

. Оплатить расходы и издержки продавца, понесенные им при оказании помощи по совместному соглашению, при получении документов или EDI.

.4 Порядок подачи информации о подходе судна

После выхода из порта предварительную и уточняющую информацию капитан обязан направлять в адрес судовладельца, в соответствии с требованиями "Инструкции о представлении оперативной информации по эксплуатации судов в заграничном плавании".

Оперативная информация судовладельцу передается через судовую радиостанцию ежедневно. Она составляется по форме "Порт" и "Путь". Информация содержит данные о местоположении судна, наличия на борту груза, топлива, пресной воды, состояние погоды в районе следования и ожидаемое время прибытия в порт назначения.

Информацию о времени подхода к Керченскому проливу капитан должен дать не позднее чем за 48 часов в адрес порта Феодосия.

Капитан судна не позднее, чем за 24 часа должен дать информацию о времени подхода к проливам Дарданеллы и Босфор турецкой агентирующей фирме "Темпдон" и о подходе к Коринфскому каналу.

На подходе к порту назначения время прибытия уточняется по УКВ радиосвязи с диспетчером порта, который дает информацию о готовности причала к приему судна под обработку.

При прибытии судно на рейд порта и в случае ожидания причала информацию о времени прихода судна необходимо занести в судовой журнал.

3.5 Документация, оформляемая в процессе приема и сдачи груза

Перед погрузкой судна в иностранном порту должны быть составлены документы: нотис о готовности судна к грузовым операциям, предварительный грузовой план, акт осмотра и готовности грузовых трюмов. Перед погрузкой агент должен доставить на судно погрузочный ордер для ознакомления с грузом и составления грузового плана.

В процессе погрузки ведется счет груза и составляются тальманские листы и ведется учет стояночного времени и составляется таймшит.

Коносамент - является доказательством договора о морской перевозки и товарораспорядительным документов, оригинал коносамента составляется в трех экземплярах.

Коносамент - важнейший транспортный документ. Он выполняет функцию расписки перевозчика в приеме груза, доказывает наличие и содержит условия договора морской перевозки груза, используется как товарораспорядительный документ.

В соответствии со статьей 123 КТМ перевозчик выдает отправителю по его требованию коносамент, который служит доказательством того, что перевозчик принял обозначенный в нем груз. Но коносамент имеет не только значение расписки в получении груза. Он является еще и доказательством "наличия и содержания" договора перевозки. Содержание коносамента определяет правоотношения между перевозчиком груза и его получателем. Условия чартера, не изложенные в коносаменте, обязательны для получателя только в том случае, если на них сделана ссылка в коносаменте.

Коносамент также определяет кому должен быть выдан груз в порту назначения, т.е. является товарораспорядительным документом.

КТМ предусматривает, что коносамент может быть составлен:

·   на имя определенного получателя (именной коносамент);

·   приказу отправителя или получателя (ордерный коносамент);

·   на предъявителя.

По именному коносаменту груз выдается в порту назначения тому получателю, который указан в коносаменте. Выдать груз другому лицу можно лишь на основании передаточной надписи, осуществленной в том же порядке, какой установлен для передачи долгового требования (цессии).

По ордерному коносаменту груз выдается отправителю или получателю или по их передаточной надписи в зависимости от того, чьему приказу он составлен. Если в ордерном коносаменте это не указано, то считается, что он составлен приказу отправителя.

Грузовой манифест - представляет собой опись грузов на судне, представляется при оформлении таможенных формальностей.

Стейтмент - представляет собой документ учета стояночного времени и количества груза на судне.

Банковская гарантия - составляется грузовладельцем на перевозку в виде письма с гарантией банка в случае незначительных претензий перевозчика к качеству груза.

Штурманская расписка - составляется грузовым помощником, обычно на погрузочном ордере, содержит информацию о количестве и качестве погруженного груза.

После выгрузки в речном порту составляются следующие документы:

акт погрузки, акт о результате сдачи груза, таймшит, расписка в коносаменте о полной сдаче груза.

В случае недостачи составляется акт извещение.

.6 Расчет финансово-экономических показателей рейса

Определяем затраты на содержание судна по формуле:

где Sx - стоим содерж судна в ходу, Sx = 1195 $/сут; Scm - стоимость содержания судна на стоянке, Scm = 610 $/сут;tx - время нахождения судна в ходу, tx = 11.0 сут; tcm - время стоянки судна, tcm = 4,5 сут.


Валютные выплаты экипажу производятся за пределами Российской Федерации, поэтому время, за которое экипаж получит суточные будет равно времени хода по морскому участку, времени стоянки в пути и в иностранном порту, tм = 9.5 сут.


где Sc = 170 $/сут, суточные экипажу;

Sкп = 52 $/сут, колпит экипажу;

Sкф = 5.2 $/сут, культфонд;

Sпр = 20 $, представительские капитану.


Определим затраты, связанные с прохождением проливов: Керченского, Босфор и Дарданеллы, Коринфского канала и обслуживанием в портах погрузки и выгрузки.

ЭКП .= 400 $, плата за проход Керченского пролива;

ЭДБ = 1380 $, плата за проход проливов Дарданелла и Босфор;

ЭКК = 600 $, плата за проход Коринфского канала;

Эоп = 1800 $, плата за обслуживание в портах погрузки и выгрузки.

Определяем общие расходы за рейс:


Определяем сумму фрахта, с учетом общих расходов по рейсу, при необходимой рентабельности рейса 35%.


Определяем фрахтовую ставку, при количестве груза G = 1430 тн


Из полученных данных видно, что для получения необходимой прибыли в рейсе, при перевозке 1430 тн алюминия в пакетах по маршруту Волгоград-Триест на т/х типа "СТК-326", фрахтовая ставка должна составлять 21,0$/тн

4. Расчет безопасной скорости движения в Волго-Донском судоходном канале имени В.И. Ленина

Волго-Донской судоходный канал им. В.И. Ленина был введен в эксплуатацию в 1952 году. Его длина - 101 км и он состоит из 13 шлюзов, для преодоления судами водораздела между Волгой и Доном.

Условно Волго-Донской судоходный канал им. В.И. Ленина можно разделить на 4 участка:

1. От шлюза № 1 до шлюза № 4

. От шлюза № 4 до шлюза № 9

.От шлюза № 9 до шлюза №11, включая Варварское и Береславское водохранилища

. От шлюза №11 до шлюза № 13, включая Карповское водохранилище

Необходимые характеристики для расчета скорости движения на этих участках сведены в табл.11

Таблица 11 Сведения о габаритах судового хода

Участок

Гарантированные габариты судового хода



Ширина, Вк м

Глубина, Нк м

От шлюза № 1 до шлюза № 4

60

4,0

От шлюза № 4 до шлюза № 9

100

4,7

От шлюза № 4 до шлюза № 9

150

5,0

От шлюза №11 до шлюза № 13

80

4,5


По данным этой таблицы произведем необходимые расчеты для определения безопасной скорости движения по этим участкам, как для одиночного судна, так и для расхождения с другим судном, аналогичным данному.

. Определение безопасной скорости на участке №1 для одиночного судна, км/ч:


где а = 17 - для судов в грузу;

Т = 3.31м - осадка судна;

Нк = 4.0м - глубина в канале;

Вк = 60 м - ширина канала;

nк - коэффициент стеснения живого сечения канала корпусом судна


Wj1 = b*Т*В - площадь погруженной части мидель-шпангоута судна, м2, b = 0,990 - коэффициент мидель-шпангоута; В1 = 11,6м - ширина судна;

Wj1 = 0,990*3,31*11,6 = 38 м2

Wо = Вк * Нк = 60 * 4,0 = 240 м2 - площадь живого сечения в канале


По полученным значениям видно, что безопасная скорость движения для одиночного судна на данном участке равна Vбез = 9,2 км/ч. Определение безопасной скорости и безопасного траверсного расстояния при расхождении судов. В этом случае при определении безопасной скорости коэффициент стеснения следует рассчитывать по формуле, при этом Wj1 = Wj2 = 38 м2 :


Величина безопасного траверсного расстояния при этом определяется по выражению:


где В2 = В1 = 11,6 м - ширина встречного судна


При расхождении на данном участке с аналогичным судном безопасная скорость должна быть Vбез = 7,5 км/ч , а безопасное траверсное расстояние равно Db = 13 м. Расчеты параметров по остальным участкам сводим в табл. 12.

Таблица 12 Расчет безопасной скорости

Номер участка

Параметры участка

Для одиночного судна

Для расхождения судов


Вк, м

Нк, м

Vбез, км/ч

Vбез, км/ч

Db, м

1

60

4,0

9,2

7,5

13,0

2

100

4,7

11,5

10,5

32,4

3

150

5,0

12,3

11,7

37,1

4

80

4,5

11,0

9,6

16,7


Из полученных расчетов мы видим, что движение полным ходом возможно только при ширине судового хода более 150-200 метров и глубиной более 5 метров. Наиболее трудными в навигационном отношении являются участки №1 и 4, так как их габариты сохраняются практически на всей их протяженности. Однако на участке №3 при выборе скорости для одиночного судна следует руководствоваться также местными правилами движения по Волго-Донскому судоходному каналу.

ЗАКЛЮЧЕНИЕ

В результате выполненной работы произведена предварительная проработка маршрута Волгоград-Триест согласно нормативным документам обеспечивающих безопасность плавания. Произведены необходимые штурманские расчеты, составлен грузовой план, выполнен расчет и проверка остойчивости, рассчитаны финансово-экономические показатели рейса.

Рейс Волгоград-Триест является обычным маршрутом при перевозках на судах смешанного плавания, однако несмотря на это, перед каждым рейсом необходимо выполнять большинство мероприятий описанных в данной дипломной работе, так как они вытекают из требований хорошей морской практики и являются залогом безопасности мореплавания.

По результатам данной работы можно сделать вывод, что на данном маршруте в летний период года обеспечивается безопасность плавания для судов типа "СТК" проекта 326.

С коммерческой точки зрения при выполнении данного рейса можно сделать следующие выводы: прибыль в данном рейсе 7536 USD, так как при перевозке генеральных грузов ставка значительная и как правило больше, чем при перевозке навалочных грузов, исключая опасные грузы. Себестоимость содержания судна невысокая, расход топлива на ходу 2,5 тонны, если учитывать грузоподъемность судна. Выгодным обстоятельством является то, что суда смешанного плавания доставляют груз от порта до порта, исключая расходов на перевалку груза на другие виды транспорта. Исходя из выше указанного, можно сказать, что перевозка генеральных грузов судами типа "СТК" выгодна и перспективна.

СПИСОК ИСПОЛЬЗОВАННОЙ ЛИТЕРАТУРЫ

. С о л а р е в Н.Ф., Б е л о г л а з о в В.И., Т р о н и н В.А. Управление судами и составами. - М.: Транспорт, 1983.

. А к с ю т и н Л.Р., Б е л о в В.М., Б о н д а р ь В. И. Справочник капитана дальнего плавания - М.: Транспорт, 1988.

. Б л и н о в И.А., Д е н и с о в С.В., П е р ф и л ь е в В.К., Эксплуатация электронавигационных приборов на судах.- М.: Транспорт, 1982.

. Е р м о л а е в Г.Г. Морская лоция.- М.: Транспорт, 1982.

. К о с т ю к о в Б.Н., К о п ы л о в В. В. Навигация и лоция. Методические указания к выполнению курсового проекта по дисциплине "Навигация и лоция". ГИИВТ, Горький, 1987.

. Ф а т ь я н о в Р.Н. Методические указания к выполнению дипломных работ. Горький, ГИИВТ, 1981.

. А с е е в С.В. Технология перевозок грузов. Горький, ГИИВТ, 1988.

. Нормативы времени следования транзитного флота пароходств центральных бассейнов. - Москва, 1996.

. Р о н о в Е.П. " Нормирование остойчивости судов" Методические указания по проверке остойчивости судов при выполнении разделов курсовых и дипломных проектов студентами всех специальностей. - ГИИВТ, Н.Новгород, 1991.

. К л е м е н т ь е в А.Н., Т о к а р е в П.Н., Т р и ф о н о в В.И. " Управление судами и составами" Методические указания к выполнению лабораторных работ по дисциплине "Судовождение на внутренних водных путях" ВГАВТ, Н.Новгород, 1995г.

Похожие работы на - Обеспечение безопасности плавания на переходе Волгоград-Триест

 

Не нашли материал для своей работы?
Поможем написать уникальную работу
Без плагиата!
Без нейросетей!