|
iян, А
|
ωн, рад/с
|
Мсн, н∙м
|
Ј, кг∙м2
|
Lя, мГн
|
Rя, Ом
|
Кl, в∙с/рад
|
Км, н∙м/А
|
tпп, с
|
σ,
%
|
δmax
|
Хmax
|
ωх, рад/с
|
М
|
Δφ,
°
|
Метод синтеза
|
|
5.1
|
157
|
3
|
0,062
|
1.1
|
0,021
|
11,9
|
0,9
|
5
|
0,03
|
1
|
2,5
|
1,31
|
69
|
Cанк.-Сиг.
|
где, iян - номинальный ток якоря, А
ωн - номинальная частота вращения вала якоря двигателя,
рад/с
Mcн
- номинальная момент сопротивления на валу якоря двигателя, Н∙м
J -
момент инерции вала якоря, кг∙м2
Lя - индуктивность обмотки якоря ДПТ,
мГн
Rя - сопротивление обмотки якоря ДПТ,
Ом
Kl - электрическая постоянная двигателя
Kм - магнитная постоянная двигателя, Н∙м/А
tпп - время переходного процесса, с
σ - требуемое перерегулирование, %
δmax - максимальная установившаяся ошибка
регулирования для синтезированной системы
Хmax - амплитуда задающего воздействия электродвигателя
ωx - частота задающего гармонического
воздействия электропривода, рад/с, M - требуемый показатель колебательности для синтезированного привода, Δφ - требуемый запас устойчивости по
фазе для синтезированного привода, град
I.
МОДЕЛИРОВАНИЕ ИССЛЕДУЕМОЙ САУ
1.1 Получение математической модели с ω на выходе
Электродвигатель постоянного тока с параллельным возбуждением описывается
следующим ДУ:
где
- постоянная времени цепи якоря (электрическая
постоянная);
- электромеханическая
постоянная времени;
-
коэффициент пропорциональности;
-
коэффициент влияния нагрузки;
Отсюда:
1.2
Получение математической модели с φ на выходе
Отсюда:
1.3 Построение
структурных схем
Рис. 1. Структурная схема двигателя постоянного тока с параллельным
возбуждением.
Имеем
схемы, показанные на рис. 2.
Рис. 2. Исходные схемы системы.
Приведем структурные схемы к одноконтурному виду:
Рис. 3. Схемы системы, приведенные к одноконтурному виду
1.4 Составление модели в форме пространства состояний
Запишем ДУ электродвигателя постоянного тока с параллельным возбуждением:
=>
Примем
обозначения:
Таким
образом, получаем:
Векторно-матричная
форма уравнений будет иметь вид:
II. АНАЛИЗ
ИССЛЕДУЕМОЙ САУ
автоматический управление электродвигатель
ток
2.1
Определение устойчивости объекта управления
(λE - A) = 0
Таким
образом, система находится на границе устойчивости.
.2
Получение передаточных функций
Определим
передаточные функции системы с помощью матриц А,В,С,D (в программе Mathcad),
т.е.
(р)
= С(рЕ - А)^-1*В+D.
1)
вход - напряжение U, выход - частота Ω.
2)
вход - момент сопротивления МН, выход - частота Ω.
3)
вход - напряжение U, выход - угол φ.
4)
вход - момент сопротивления МН, выход - угол φ.
.3
Определение характеристик объекта управления
Для
каждой ПФ построим переходную характеристику(с помощью функции step),
АФЧХ(с помощью nyquist) и ЛАФЧХ(с помощью bode).
Рис. 4. step H1(p).
Рис. 5. nyquist H1(p).
Рис. 6. bode H1(p).
Рис. 7. step H2(p).
Рис. 8. nyquist H2(p).
Рис. 9. bode H2(p).
Рис. 10. step H3(p).
Рис. 11. nyquist H3(p).
Рис. 12. bode H3(p).
Рис. 13. step H4(p).
Рис. 14. nyquist H4(p).
Рис.
15. bode H4(p).
2.4
Построение переходных характеристик в Simulink
Рис.
16. ПХ с входом U и выходом Ω.
Рис.
17. ПХ с входом МН и выходом Ω.
Рис.
18. ПХ с входом U и выходом φ.
Рис.
19. ПХ с входом МН и выходом φ.
Все
ПХ полностью совпадают с полученными ранее.
III. СИНТЕЗ
ИССЛЕДУЕМОЙ САУ
3.1
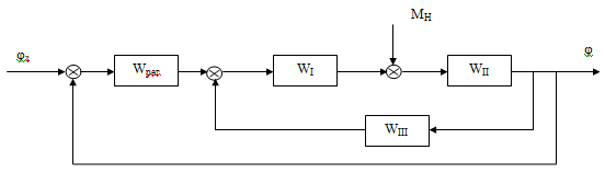
Построение схемы позиционного привода
Рис. 20. Схема позиционного привода.
рег - передаточная функция
регулятора
Приведем
данную схему к одноконтурному виду, используя правила структурных
преобразований:
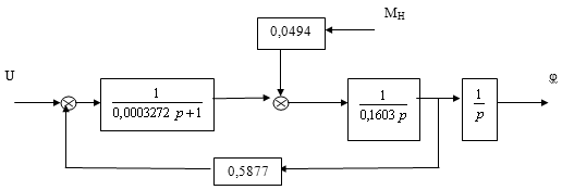
Рис. 21. Одноконтурная схема позиционного привода.
Переходная характеристика неизменяемой части системы представлена на рис.
22.
Рис. 22. Переходная характеристика неизменяемой части системы.
Отсюда, время переходного процесса tпп = 1,23 с.
Перерегулирование:
.2
Выполнение синтеза регулятора
Передаточная
функция разомкнутой системы имеет вид:
Характеристический
полином знаменателя имеет следующие корни:
Получаем:
Здесь,
для неизменяемой части имеем:
K = 1,7; T1 = 0,272; T2 = 3,27·10-4
Определим
сопрягающие частоты и L(ω):
Построим
ЛАЧХ неизменяемой части системы.

Будем
проводить синтез по методу E.А.Санковского-Г.Г.Сигалова. Передаточная функция
желаемой ЛАЧХ разомкнутой системы будет иметь вид:
Требуемый
запас устойчивости по фазе: γ = Δφ = 69˚
Определим
частоту среза
Согласно
данным для типовой ЛАЧХ, ω1 = ωс. Тогда, ω1 = 7,77 с-1.
Вычислим
постоянную a:
Подберем
сопрягающую частоту ω3 из
формулы:
Выберем k из таблицы для типовых ЛАЧХ: k
= ωc = 7,77
Тогда, передаточная функция желаемой системы имеет вид:
Здесь,
и
Асимптотическая
ЛАЧХ, ей соответствующая, имеет вид Lж, как показано на рис. 24.
Отсюда,
можно найти передаточную функцию регулятора:
Рис.
24. Асимптотические ЛАЧХ.
Чтобы показатели качества соответствовали требуемым, уменьшим
передаточный коэффициент в желаемой ПФ системы до k = 2,22. Тогда:
.3
Определение ПФ синтезированной замкнутой системы
ПФ
синтезированной замкнутой системы по задающему воздействию:
ПФ
синтезированной замкнутой системы по возмущающему воздействию, согласно рис.
21:
3.4
Построение ПХ синтезированной системы.
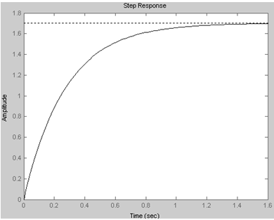
Переходная
характеристика для синтезированной замкнутой системы по задающему воздействию:
Рис.
25. ПХ системы по задающему воздействию.
Переходная
характеристика для синтезированной замкнутой системы по возмущающему
воздействию:
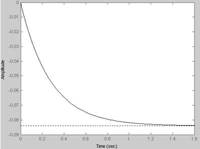
Рис.
26. ПХ системы по возмущающему воздействию.
Определим
показатели качества синтезированной замкнутой системы по задающему воздействию.
Из
рис. 25 следует, что:
Время
переходного процесса: tпп = 0,85
с.
Перерегулирование:
.
Определим
запас устойчивости по фазе (см. рис. 27).
Рис.
27. Определение запасов устойчивости по ЛАФЧХ.
Из
рис. 27 следует, что Δφ
= 65,976˚.
Полученные показатели удовлетворяют требуемым значениям: tпп = 0,9 с., σ
= 5%, Δφ = 69˚. Следовательно, синтез системы осуществлен корректно.
ЗАКЛЮЧЕНИЕ
В этой курсовой работе мы разработали модель двигателя постоянного тока с
параллельным возбуждением в стандартной форме пространства состояний. В
качестве входов были выбраны входное напряжение U и момент нагрузки МН, а в качестве выходов - выбраны
частота ω
и угол поворота вала φ.
Пользуясь собственными числами матрицы A, мы определили, что двигатель, выбранный в качестве объекта
управления, лежит на границе апериодической устойчивости. После этого мы
построили переходные характеристики, ЛАФЧХ и АФЧХ двигателя для различных форм
входных и выходных воздействий.
Мы создали схему позиционного привода, приведя ее к одноконтурному виду,
и выполнили синтезирование привода по асимптотическим логарифмическим частотным
характеристикам, пользуясь методом Санковского-Сигалова.
После синтеза привода мы определили правильность синтеза. Построили
переходные характеристики замкнутой системы по задающему и возмущающему
воздействиям и определили показатели качества. Время переходного процесса tпп
= 0,85 с., перерегулирование σ = 3%, а запас устойчивости по фазе Δφ
= 65,976˚. Это
удовлетворяет требуемым значениям показателей.
СПИСОК ЛИТЕРАТУРЫ
1.″MATLAB
5 для студентов″ Потемкин В.Г, Рудаков П.И. Издательство ″Диалог-Мифи″
Москва, 1999.
.″CONTROL SYSTEM TOOLBOX″ Медведев В.С, Потемкин В.Г.
Издательство ″Диалог-Мифи″, Москва,1999.
.″Оптимальные и адаптивные системы″ Александров
А.Г. Издательство ″Высшая школа″, Москва,1989.
.″Теория автоматического управления″ Ахмадеев
И.А. Практикум. Часть 1,2. Издательство ″Камский политехнический институт″,
Набережные Челны,2003.