Экспериментальное исследование и математическое моделирование вольт-секундных характеристик воды

  • Вид работы:
    Дипломная (ВКР)
  • Предмет:
    Физика
  • Язык:
    Русский
    ,
    Формат файла:
    MS Word
    1,44 Mb
  • Опубликовано:
    2011-11-26
Вы можете узнать стоимость помощи в написании студенческой работы.
Помощь в написании работы, которую точно примут!

Экспериментальное исследование и математическое моделирование вольт-секундных характеристик воды


Тема: Экспериментальное исследование и математическое моделирование вольт-секундных характеристик воды

Оглавление

Введение

1.       Литературный обзор

1.1     Введение

1.2     Электрический пробой газов

1.3     Электрический пробой жидких диэлектриков

1.4     Электрический пробой твердых диэлектриков

1.5     Вольт-секундные характеристики изоляции

2.       Постановка задачи

3.       Разработка экспериментальной установки

3.1     Разработка импульсного генератора высоких напряжений

3.2     Конструкция установки

3.3     Принципиальная схема установки

3.4     Импульсный делитель напряжения

3.5     Электромагнитная совместимость

4.       Экспериментальное исследование и математическое моделирование вольт-секундных характеристик воды

4.1     Проведение экспериментов

4.2     Результаты экспериментов

4.3     Построение математической модели

4.4     Результаты моделирования

4.5     Выводы по результатам эксперимента и компьютерного моделирования

5.       Экономическая часть

5.1     Оценка затрат на разработку лабораторной установки и проведение экспериментов

5.2     Целесообразность разработки установки

6.       Безопасность жизнедеятельности

6.1     Введение

6.2     Анализ вредных и опасных факторов

6.3     Меры защиты

Заключение

Список использованной литературы

Введение

моделирование генератор напряжение разряд жидкость

Высоковольтные импульсные технологии получили развитие в 60-х годах XX века в результате поиска способов снижения энергетических затрат и улучшения технологических процессов по сравнению с традиционными механическими методами. Наиболее перспективными областями применения электроимпульсных технологий являются:

¾  разрушение горных пород

¾      бурение скважин

¾      электроимпульсная дезинтеграция

¾      обеззараживание воды

¾      обработка металлов

Разрушение горных пород. Потребность в развитии новой техники, новых высокоэффективных технологических процессов и оборудования, средств механизации и автоматизации, без которых стал немыслим технический прогресс в горной промышленности, привела к исследованию и разработке электроимпульсного (ЭИ) метода разрушения материалов, сущность которого заключается в разрушающем действии электрических импульсных разрядов в твердых непроводящих и полупроводящих телах.

В основу способа положено явление превышения электрической прочности жидких диэлектриков над электрической прочностью твердых диэлектриков при малых временах воздействия импульсных напряжений порядка 10-6с и менее. При исследованиях электрической прочности жидких и твердых диэлектриков было установлено, что с уменьшением времени экспозиции импульсного напряжения прочность жидких диэлектриков растет быстрее, чем для твердых диэлектриков. При подаче на электроды, находящиеся в жидкости на поверхности тела (горной породы), импульсного напряжения с крутизной фронта, соответствующей критической и выше, будет иметь место внедрение разряда в поверхностный слой с разрушением его возникающим в канале разряда высоким давлением[1].

Бурение скважин. Применение электрического пробоя горной породы для ее разрушения дает возможность достижения более низкой энергоемкости разрушения в сравнении с традиционными способами. Физический механизм автоматического распределения разрядов по площади забоя без вращения породоразрушающего устройства позволяет придавать скважине любую произвольную форму сечения -круглую, прямоугольную, щелевую, кольцевую и т.д. Это достигается за счет соответствующей конструкции инструмента.Электроимпульсное бурение отличается исключительно малым износом бурового инструмента и допускает его изготовление из обычных конструкционных сталей.

Электроимпульсная дезинтеграция. Важнейшей особенностью электроимпульсной дезинтеграции руд является высокая селективность разрушения, обеспечивающая высокую степень раскрытия зерен полезных минералов с минимальным их разрушением.Наибольшая технологическая и экономическая эффективность применения способа достигается для труднообогатимых руд с относительно невысоким извлечением существующими способами[2].

Обеззараживание воды. Серьезной экологической проблемой в мире является загрязнение природных вод сточными водами и другими источниками техногенного характера. Электроимпульсное обеззараживание воды основано на воздействии на обрабатываемую жидкость ударных волн, генерируемых импульсным электрическим разрядом и вызывающих дезинтеграцию и гибель микроорганизмов. Также обеззараживание может достигаться без пробоя воды за счет воздействия на микроорганизмы сильного импульсного электрического поля, по порядку величины напряженности близкого к пробивной для воды.

Обработка металлов. Электроимпульсная обработка предполагает использование дугового разряда, в зоне которого происходит микроплавление материала детали. Электроимпульсная обработка позволяет осуществлять при жестких и средних режимах значительно большую скорость съема металла при малом износе инструмента. Электрический режим обработки устанавливается по средней силе тока, определяющей скорость съема металла, чистоту и структуру обработанной поверхности, износ инструмента и искажение профиля изделия.

Одной из основных проблем при разработке электротехнологических устройств является расчет процессов пробоя в средах, дающий информацию об энерговкладе в разряд и о динамике изменения параметров среды.

Значительный разброс в характеристиках сред и разнообразие условий, в которых применяются электроимпульсные технологии, приводит к тому, что существующих экспериментальных данных недостаточно для расчета и обоснования ожидаемых характеристик процессов. Поэтому имеет смысл исследовать отдельные конфигурации, сопровождая экспериментальные исследования попытками построения количественных моделей.

1.   Литературный обзор

1.1 Введение

Развитие техники высоких напряжений вызвало необходимость понимания механизмов и количественного описания процессов электрического пробоя газообразных, жидких и твердых сред. Потребовалось создание промышленных высоковольтных установок переменного, постоянного и импульсного напряжений, а также установок для проведения исследований и испытаний изоляции при воздействии различных видов высокого напряжения. Повышение уровня напряжений требовало изучения физических явлений, механизмов воздействия электромагнитных полей высокого напряжения на изоляцию в различных условиях эксплуатации.

Поскольку основной причиной выхода из строя высоковольтного оборудования являются отказы изоляции, то наибольшие усилия направляются на сохранение ее в целостности. Здесь особую роль играет знание закономерностей зарождения и развития разрядов в диэлектриках.

В диэлектриках всегда имеются заряженные частицы. Если к диэлектрику приложено слабое электрическое поле, то происходящие в нем процессы, связанные с перемещением зараженных частиц, не вызывают его разрушение. В сильных электрических полях в диэлектриках протекают качественно новые явления, которые в слабых электрических полях были бы невозможны. Для этих полей характерно наличие высокой кинетической энергии заряженных частиц, приобретаемой ими при движении в электрическом поле, которая становится сопоставимой с энергией возбуждения атомов и молекул и энергией их ионизации.

В большинстве случаев очень сильное электрическое поле вызывает резкое увеличение электропроводности, за счет чего диэлектрик теряет свои электроизоляционные свойства. Такое явление называется пробоем диэлектрика. Минимальное электрическое напряжение, приложенное к диэлектрику, приводящее к пробою, называется пробивным и обозначается . соответствующая минимальная напряженность однородного электрического поля, приводящая к пробою диэлектрика, называется электрической прочностью (пробивной напряженностью). В однородном электрическом поле она равна  (где  - толщина диэлектрика). В случае неоднородного электрического поля величина  называется средней пробивной напряженностью.

Механизм разрушения диэлектрика под действием электрического поля достаточно сложен и многообразен и может протекать по-разному в зависимости от вида воздействующего напряжения, времени его приложения, типа диэлектрика, его структуры, температуры и др. условий испытания. Это может быть развитие ударной ионизации, нарушение тепловой устойчивости и перегрев диэлектрика за счет высоких диэлектрических потерь или процессы электрохимического старения при длительном воздействии электрического поля. Можно также сказать, что пробой диэлектрика представляет собой сочетание многих физических процессов (электрических, тепловых, оптических, механических, и др.), преимущественное развитие которых определяет его механизм[3].

Наиболее существенное влияние на механизм пробоя и его развитие оказывает вид диэлектрика. Так, например, пробой газообразных и жидких диэлектриков отличается от пробоя твердых диэлектриков отсутствием второй стадии, т.е. стадии разрушения. Эта стадия характеризуется остаточными изменениями диэлектрика, обусловленными термическим или механическим разрушением, приводящим к появлению проводящего канала. После пробоя газообразных и жидких диэлектриков таких необратимых изменений практически не наблюдается, т.е. имеет место самовосстановление их электрической прочности, если не происходит химического изменения вещества.

Пробой диэлектрика обычно вызывает аварийное состояние электрического аппарата, и очень важно сконструировать электрический аппарат так, чтобы он имел минимальные размеры и при воздействии рабочего напряжения не пробивался в течение положенного времени эксплуатации. В то же время явления, сопровождающие пробой диэлектриков, находят практическое применение при разработке новых технологий. Такими примерами являются окраска, электрофильтры, очистка воды, электрогидравлические и электроимпульсные технологии - бурение, дробление, резание горных пород, газоразрядные приборы, газовые лазеры и др. Во всех случаях важно знать закономерности пробоя диэлектриков.

1.2 Электрический пробой газов

Наиболее изученным является пробой газов, кроме того, многие представления о газовом разряде широко привлекаются для объяснения пробоя твердых и жидких диэлектриков.

В начале ХХ века английским физиком Таунсендом была разработана теория пробоя газов как следствия ударной ионизации электронами. В таунсендовском механизме разряда основная роль отводится вторичной эмиссии электронов с катода и последовательному процессу генерации электронных лавин. Если вторичные электроны возникают в результате бомбардировки катода положительными ионами, то для однородного поля ток электронов, приходящих на анод, определится из соотношения:


где  - длина искрового промежутка,  - ток электронов с катода, создаваемый каким-то внешним источником,  - число вторичных электронов с катода, приходящихся на один положительный ион. Коэффициент  является функцией  и определяется сортом газа, материалом катода и состоянием его поверхности. Согласно теории Таунсенда условием возникновения разряда является:


В таком случае каждая лавина зарядов будет одинаковой, разряд будет стационарным. Для пробоя необходимо нарушить стационарное состояние, что получится при условии размножения зарядов в разряде, наступающем при . Тогда каждая следующая лавина освободит из катода большее число электронов, чем предыдущая. Лавинообразный процесс размножения зарядов в газе закончится образованием проводящего пути между электродами и пробоем газа.

Время формирования разряда по Таунсенду складывается из времени движения электронной лавины от катода до анода и времени движения ионов к катоду, умноженному на число лавин, необходимых для завершения пробоя. Основная часть времени формирования связана с перемещением ионов. Подсчет времени формирования разряда в газовом промежутке длиной в 1 см дает величину 10-5÷10-4 с. Осциллографически было определено, что в газах при пониженном давлении время разряда получается таким, как это дают вычисления по теории Таунсенда. Для пробоя газа при атмосферном давлении время пробоя на два-три порядка меньше. Это расхождение объясняется влиянием ионного объемного заряда.

Основное отличие стримерного механизма разряда от таунсендовского состоит в том, что пространственный разряд лавины может сам трансформировать лавину в плазменный стример. Исследования лавинно-стримерных процессов дают основание считать, что основными факторами, определяющими зарождение и развитие стримеров, являются электрическое поле, создаваемое зарядами электронной лавины, и электроны, появляющиеся в результате фотоионизации, - фотоэлектроны. Анализ распределения электрического поля в межэлектродном промежутке при наличии электронной лавины показывает, что наибольшее усиление электрического поля имеется на фронте электронной лавины. При пороговом напряжении, необходимом для зарождения стримера, электронная лавина создает достаточно сильное электрическое поле, когда она достигает анода. При этом электроны уходят в анод, оставляя вблизи его поверхности положительные ионы. Электрическое поле, создаваемое этими ионами, и фотоэлектроны определяют развитие положительного стримера (рис. 1.1).

Рис. 1.1. Схема развития положительного стримера:

- электронная лавина; 2 - оставленный лавиной объемный заряд;

- фотоэлектроны; 4 - проводящая плазма

Момент времени  соответствует движению электронной лавины от катода к аноду и оставлению вблизи его поверхности положительных ионов. Объемный положительный заряд создает электрическое поле .

Если напряженность поля  по порядку величины сравнима с , то возникшие при развитии первичной электронной лавины фотоэлектроны будут ускоряться по направлению к объемному заряду, образуя по пути мощные лавины. Электроны лавин, попав в область объемного заряда, тормозятся, образуя вместе с положительными ионами проводящую плазму. На фронте этой плазмы находится положительный объемный заряд, оставленный электронами лавины, и на некотором расстоянии вновь возникшие фотоэлектроны (момент ).

Далее повторяется процесс движения электронных лавин к объемному заряду с образованием проводящей плазмы, и так положительный стример распространяется к катоду, образуя между электродами мостик проводящей плазмы (момент ). Поскольку напряженность поля выше на фронте лавины, то начинает развиваться отрицательный стример от головки лавины в сторону анода, вследствие чего образуется проводящий плазменный столб отрицательного стримера.

Условие возникновения и распространения как положительного, так и отрицательного стримеров записывается в виде


где коэффициент  колеблется в пределах. Смысл этого условия сводится к тому, что напряженность поля должна быть по величине сравнима с напряженностью основного поля.

Стримерная теория объяснила малое время формирования разряда и развитие искрового разряда в виде узкого канала.

1.3 Электрический пробой жидких диэлектриков

Электрический пробой жидких диэлектриков и механизм развития процесса пробоя изучен как в экспериментальном, так и в теоретическом отношении значительно слабее, чем пробой газообразных диэлектриков. Это связано с тем, что процесс пробоя изолирующей жидкости и величина пробивного напряжения в значительной степени зависят от ряда случайных факторов. В процессе пробоя жидких диэлектриков существенную роль играют различные загрязнения, не только твердые, но и жидкие, и газообразные.

Пробой тщательно очищенных жидких диэлектриков в равномерном поле и измерение предпробивных токов позволяют предполагать возможность ударной ионизации. Рассмотрим две теории этого направления.

В одной из них развитие разряда представляется следующим. Эмитированные из катода электроны ускоряются электрическим полем и производят ударную ионизацию. Образующиеся при этом положительные ионы движутся к катоду и усиливают электрическое поле до величины , что вызывает усиление электронной эмиссии с катода. Если плотность тока  при некотором значении среднего поля  неограниченно растет, то это значение  определяет .

Другая теория пробоя жидкостей исходит из того, что эмитированные из катода электроны, двигаясь к аноду, могут образовывать на пути своего движения отрицательный объемный заряд. Образование электронного объемного заряда вызывает искажение поля в межэлектродном пространстве. Напряженность поля у катода  падает, а напряженность поля у анода , наоборот, возрастает. Если ударная ионизация начнется у анода, т.е. , то образующиеся при этом электроны уходят в анод, а положительные ионы усиливают поле по направлению к катоду. Если при этом будет достигаться напряженность поля , то область ударной ионизации будет продвигаться к катоду, и произойдет пробой. На основании теоретических вычислений указанный процесс считается возможным, когда


Отсюда получается


Экспериментальные факторы, такие как повышение пробивного напряжения при увеличении внешнего давления и установление наличия в межэлектродном пространстве при формировании разряда оптических неоднородностей, ставят под сомнение механизм ударной ионизации при пробое жидких диэлектриков. Ряд исследователей обратились к факту образования газовых пузырей на электродах. В этом случае начало процесса связывается с эмиссией электронов с микроострий, расположенных на катоде. Эмитированные электроны вызывают разогрев прилегающего к микроострию небольшого объема жидкости. Если за время  объем жидкости перегреется настолько, что возникнет газовый пузырь, то в электрическом поле он ионизируется и начинает вытягиваться ко второму электроду. При достижении пузырем анода происходит пробой по газовому мостику.

Для жидкостей сложного состава, каковой, например, является трансформаторное масло, предложена теория вольтолизации жидкостей, смысл которой заключается в том, что под действием бомбардировки молекул жидкости ионами, возникающими при электрическом разряде, происходит разрыв связей, в результате чего соседние молекулы объединяются в одну, более крупную с выделением водорода. Реакция разложения под действием электрического разряда протекает наиболее интенсивно в насыщенных углеводородах. Образовавшийся углеводород сам вступает в реакцию с одним из присутствующих углеводородов, в результате чего образуется снова водород и еще более тяжелый углеводород. При этом происходит повышение вязкости масел, что может сопровождаться образованием твердого осадка, а выделяющийся газообразный водород может привести к пробою.

1.4
Электрический пробой твердых диэлектриков

В отличие от газов и жидкостей пробой твердых диэлектриков сопровождается образованием сквозного канала пробоя. О физических процессах в твердых диэлектриках в сильных полях, приводящих к электрическому пробою, высказаны следующие гипотезы.

Пробой развивается вследствие:

)     разрыва кристаллической решетки электрическим полем (Роговский);

2)      ударной ионизации ионами (А.Ф. Иоффе);

)        электростатической ионизации (А.А. Смуров);

)        ударной ионизации электронами (Хиппель, Фрелих);

)        термической ионизации (Я.И. Френкель).

Первую научную гипотезу о природе электрического пробоя твердых диэлектриков дал Роговский. Он предположил, что электрическое поле вызывает разрыв связей между ионами в диэлектрике, что приводит к его разрушению. Электрическое поле обуславливает силу , под действием которой будет происходить смещение ионов. Очевидно, что если сила  превзойдет силу взаимодействия между ионами, то ионная связь разорвется и произойдет пробой. Значение электрической прочности, вычисленные для кристалла NaCl, оказалось на два порядка выше экспериментальных значений, что показало несостоятельность теории Роговского.

В 1928 г. академик А.Ф. Иоффе выдвинул гипотезу, что электрический пробой твердых диэлектриков обусловлен ионизацией ионами. Основанием для предложения такой гипотезы послужили данные, полученные экспериментально. В них было показано, что электропроводность твердых диэлектриков носит ионный характер, а также что в отдельных местах диэлектрика может скапливаться объемный заряд, вызывающий неравномерное распределение потенциала по толщине диэлектрика. А.Ф. Иоффе указал, что в его опытах кальцит выдерживал несколько тысяч вольт, которые приходились на слой толщиной 1÷10 мк. При этом напряженность поля в этом слое составляла 10 МВ/см, тогда как электрическая прочность кальцита в более толстом слое имеет порядок 1 МВ/см.

Приняв, что для пробоя диэлектрика необходимо определенное количество ионов в диэлектрике, А.Ф. Иоффе получил, что электрическая прочность твердого диэлектрика должна изменяться обратно пропорционально его толщине.

А.Ф. Иоффе и его сотрудниками были предприняты широкие исследования по пробою твердых диэлектриков в тонком слое, но они не показали ожидаемого упрочнения в тонком слое, и поэтому механизм ударной ионизации ионами в твердых диэлектриках был поставлен под сомнение.

А.А. Смуров, отмечая невозможность развития ударной ионизации ионами согласно теории А.Ф. Иоффе, предположил, что пробой твердых диэлектриков связан с ионизацией вследствие вырывания электронов из атомов, молекул или ионов под действием электрического поля. Данные, полученные согласно теории А.А. Смурова, что для пробоя диэлектрика необходима напряженность поля более 1010 В/м, не согласуются с данными эксперимента.

Большое значение для дальнейшего понимания процесса пробоя твердых диэлектриков имело открытие А.Ф. Вальтером и Л.Д. Инге явления неполного пробоя твердых диэлектриков. Оказалось, что пути разрядов в кристаллах имеют определенную кристаллографическую направленность, зависящую от полярности электрода-острия, с которого начинается разряд.

Хиппель, изучая пути разряда при пробое твердых диэлектриков в однородном поле, нашел, что во всех исследованных диэлектриках (стекло, кварц, каменная соль, известковый шпат, барит) разряд начинается с анода. Исходя из этого, он сделал предположение, что ударная ионизация осуществляется не ионами, а электронами. В твердых диэлектриках за счет космического излучения и радиоактивного излучения Земли всегда имеются начальные электроны, которые начинают ударную ионизацию.

Если в газе ускоряемый электрон расходует до ионизации на возбуждение молекул и атомов газа, то в твердом диэлектрике вследствие большой плотности атомов электрон расходует свою энергию в основном в результате взаимодействия с колебаниями кристаллической решетки. Передача энергии от электрона к решетке наиболее вероятна и происходит в наибольшем количестве, когда энергия движущегося электрона близка к энергии собственных колебаний решетки. Электроны с меньшей энергией передают мало энергии решетке, так как они сами обладают малой энергией; электроны с большей энергией передают решетке мало энергии вследствие малого времени взаимодействия электрона с колебаниями решетки. Следовательно, зависимость энергии , передаваемой электроном решетке, от энергии электрона , по Хиппелю, должна иметь максимум. Условием того, что электрон сможет произвести ударную ионизацию, является равенство энергии электрона, приобретаемой им в электрическом поле, и энергии , соответствующей максимуму потерь.

Величина  соответствует малой энергии электрона порядка 0,1÷0,2 эВ. Электроны с такой энергией считаются «медленными». Поэтому теорию Хиппеля часто называют теорией пробоя медленными электронами.

Иной критерий пробоя был выдвинут Фрелихом. Опираясь на представления теории ударной ионизации Хиппеля, Фрелих считает, что в твердом диэлектрике вследствие тепловых флуктуаций возможно появление быстрых электронов, в том числе с энергией, равной энергии ионизации и большей. Исходя из этого, Фрелих считает, что нарушение электрической прочности обусловлено ускорением именно тех электронов, которые при отсутствии поля обладали энергией, близкой к энергии ионизации, т.е. обусловлено быстрыми электронами.

Теории Хиппеля и Фрелиха формулируют лишь условия возникновения ударной ионизации, но не рассматривают сам механизм ударной ионизации и формирование электронной лавины.

Я. И. Френкель указал на возможность термического освобождения электрона, облегчаемого электрическим полем. При этом он рассматривал твердый диэлектрик как сжатый газ. Это дает основания считать, что энергетические состояния электронов в атоме твердого диэлектрика остаются такими же, как и в изолированном атоме. По мнению Френкеля, при температурах выше абсолютного нуля основную роль в освобождении электронов играет не просачивание электронов, а их термическая ионизация, облегченная внешним полем вследствие понижения потенциального барьера.

Из рассмотренных гипотез можно сделать следующие выводы:

.     В большинстве твердых диэлектриков при полях, близких к пробивным, электропроводность носит преимущественно электронный характер.

2.       Большая скорость распространения разряда указывает на электронный характер процесса электрического пробоя твердых диэлектриков.

.        Различная кристаллографическая направленность разрядов с электродов различной полярности может быть объяснена лишь теорией ударной ионизации.

1.5 Вольт-секундные характеристики изоляции

При кратковременных импульсах значение разрядного напряжения воздушных промежутков зависит от продолжительности воздействия [4]. Если к промежутку приложено напряжение достаточное для пробоя, то для развития и завершения разряда необходимо определенное время называемое временем разряда (рис. 1.2).

Рис. 1.2. Временная структура развития разряда на импульсном напряжении

В общем случае время разряда формируется так:


Время начала ионизации  - время, в течение которого напряжение в диэлектрике достигает величины , равной минимальному пробивному. Следовательно, разряд в твёрдом диэлектрике до момента  принципиально произойти не может.

Статистическое время запаздывания пробоя  протекает от момента, когда величина напряжения достигает минимального значения, при котором может начаться пробой, до момента, когда процесс фактически начнется. Длительность этого интервала времени зависит от вероятности появления эффективного электрона, способного развить самостоятельный разряд. Электрон в газе появляется в основном в результате действия внешнего ионизатора. В твёрдых диэлектриках всегда находится достаточное количество свободных электронов, появление которых обусловлено поглощением излучений, тепловым возбуждением, несовершенством диэлектрика. Статистическое время запаздывания пробоя для твердых и жидких диэлектриков составляет порядка 10-9с [5].

Другой составляющей, имеющей также статистический характер, является время формирования разряда  - время от момента появления начального электрона до завершения пробоя промежутка. Время  называют временем запаздывания развития разряда.

Составляющие времени разряда  и  зависят от значения напряжения на промежутке. При увеличении напряжения повышается вероятность того, что появляющиеся электроны станут эффективными, и  уменьшается. Сокращается также и , поскольку при большем напряжении возрастает интенсивность разрядных процессов и скорость продвижения канала разряда в промежутке. Поэтому чем выше разрядное напряжение, тем меньше время разряда.

Зависимость максимального напряжения разряда от времени действия импульса называется вольт-секундной характеристикой изоляции. Эта характеристика представляет собой важнейшую зависимость, используемую при выборе уровня изоляции и оценке ее эксплуатационных возможностей.

Для экспериментального определения вольт-секундной характеристики к исследуемому промежутку прикладываются импульсы стандартной формы. При каждом значении максимального напряжения импульса производится серия опытов. В силу статистического разброса времени разряда вольт-секундная характеристика получается в виде области точек (рис. 1.3), для которой указываются средняя кривая и границы разброса времени разряда.

Рис. 1.3. Построение вольт-секундной характеристики изоляции по опытным данным: 1 - импульс напряжения, 2 - кривая средних значений пробивного напряжения, 3 - границы разброса пробивных напряжений

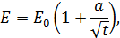
Получение возможности определения вольт-секундных характеристик расчетным или расчетно-экспериментальным путем позволяет значительно упростить исследовательскую и проектную работу, а кроме того, позволяет направить внимание на исследование влияния различных факторов на сравнительно небольшое число параметров, что облегчило бы дальнейшее углубление познаний в области поведения изоляции при импульсах. F. W. Peek, исходя из предположения, что для пробоя искрового промежутка требуется определенное количество энергии, и, предполагая, что потеря энергии следует квадратичному закону, как и потери на корону, получил уравнение вольт-секундной характеристики в виде [6]:



где t - время разряда, мкс, a и E0 - постоянные для данного искрового промежутка.

Проверка этого уравнения на ряде экспериментальных кривых показала, что в некоторых случаях получаемая точность является не вполне достаточной.

Учеными А.А. Горевым и Л.Е. Машкилейсоном было испробовано уравнение[7]:


где T и E0 - постоянные для данного искрового промежутка.

Уравнение было выведено исходя из предположений:

.     Для разряда при импульсах необходимо, чтобы полная энергия волны минус энергия, соответствующая напряжение E0 за время разряда t, была бы постоянной величиной;

2.       Ток за всё время разряда t является пропорциональным напряжению;

.        Волна импульса имеет прямоугольную форму.

Тщательная проверка, таким образом, точности предложенного уравнения почти на всех опубликованных в литературе вольт-секундных характеристиках дала весьма хорошие результаты.При этом вид уравнения сохраняется одинаковым для различных волн импульса.

При исследовании импульсных характеристик линейной изоляции и искровых промежутков были получены серии формул, в результате оказалось возможным с отклонениями ±5 % уложить всю серию наблюдения положительной полярности в одну общую формулу:

где E - разрядное напряжение в кВ, S - расстояние между электродами разрядника в см, t - предразрядное время в мкс.

Для импульсов отрицательной полярности:


Результаты были отнесены к плотности воздуха δ=1 и к нормальной влажности воздуха в 14,87 г/м3.

В технике высоких напряжений большое внимание уделяется вопросу защиты от воздействия грозовых и коммутационных перенапряжений. Для расчета грозоупорности используются ВСХ разрядных промежутков, которые определяются экспериментально путем приложения импульсов стандартной формы. С целью унификации испытаний и возможности сопоставления изоляционных конструкций установлен стандартный грозовой импульс с длительностью фронта  мкс и длительностью импульса  мкс.

В данной работе, посвященной разработке установки для исследования вольт-секундных характеристик сред применительно к высоковольтным импульсным технологиям, рассмотрен нестандартный импульс, который определяется не грозой и не гирляндой изоляторов, а конкретным технологическим оборудованием.Для прогнозирования поведения изоляции под воздействием импульсов нестандартных форм доступны различные аналитические методы.

Наиболее эффективный подход к проблеме - разработка процедуры аналитического прогнозирования, позволяющей на основе данных по перекрытию стандартным импульсом описать характеристики изоляции как функцию от одного или нескольких параметров нестандартного импульса.

Основные предположения одинаковы для всех рассматриваемых методов. Это предположение, что есть минимальное напряжение (e0), которое должно быть превышено до того как любой процесс пробоя может начаться (или продолжаться), и во-вторых, что время перекрытия зависит и от величины, и от длительности превышения приложенным напряжением величины e0.

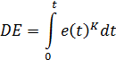
В общем виде интегрального метода, у напряжения и времени может быть разная значимость. Пробивная сила воздействующей волны определяется из следующей формулы [8]:


где e(t) - зависимость напряжения от времени; t0 - время, при котором e(t) впервые превышает e0; К - эмпирическая константа;

Предполагается, что существует уникальный набор констант, связанных с пробоем для каждой конфигурации изоляции, которые могут быть определены по стандартным опытным данным. Характеристики перекрытия нестандартной волной могут быть определены путем нахождения значений амплитудного напряжения (Es) и t равного предразрядному времени (Ts), которые при подстановке в правую часть уравнения дают критическую пробивную силу (DE). При применении этого уравнения для различных исследований возникли трудности при выборе констант. Удобнее работать с упрощением: e0 t0) принимаются равными нулю, тогда:


Также возможно применение другой формы уравнения, а именно: K принимается равным единице (критерий равных площадей):


При изучении данного аналитического метода были проведены серии экспериментов для типичных воздушных промежутков при воздействии стандартных волн и для нескольких нестандартных, включая длиннофронтовые, частично-срезанные и колебательные волны. Выбор подходящих констант с использованием стандартных характеристик разряда был исследован для обеих форм интегрального уравнения, а именно, e0 равное нулю и K равное 1. В первом, лучшие результаты были получены при исходных точках во времена пробоя 1,5÷7 мкс на стандартных вольт-секундных характеристиках. В последнем (метод эквивалентных площадей) константу e0 целесообразно выбрать как величину, при которой K=1 в уравнении. Анализ различных комбинаций e0, К и DE принес важный результат, что величина e0, соответствующая K=1 дает наилучшее соответствие между расчётными и экспериментальными результатами по стандартной волне, для всех исследованных промежутков, кроме промежутка стержень-плоскость.

Для подробно рассмотренных нестандартных волн (длиннофронтовые, частично-срезанные волны), метод эквивалентных площадей при K=1 в целом дал лучшее соответствие между рассчитанными и экспериментальными 50 %-ми разрядными напряжениями и вольт-секундными характеристиками.

Была предложена модификация интегрального метода, в которой предполагается, что необходимо учитывать динамическое изменение критического напряжения, необходимого для поддержания начавшегося разряда (e0) по мере того как лидер движется по промежутку.

В данной работе, посвященной исследованиям вольт-секундных характеристик сред применительно к высоковольтным импульсным технологиям, для аналитического описания вольт-секундных характеристик используется метод, предложенный Ромпе и Вайцелем [9].

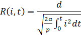
Исходя из условия баланса энергии для искрового канала, зависимость сопротивления искры от тока и времени имеет следующий вид:


При этом предполагалось, что в течение времени существования искрового канала падение потенциалов на электродах пренебрежимо мало по сравнению с общим напряжением в области разряда, удаленной от электродов. Ток разряда и напряженность в этом случае будут связаны соотношением:


где  - концентрация и подвижность электронов,  - радиус канала.

Внутренняя энергия искрового канала включает в себя энергию поступательного движения атомов, ионов и электронов, энергию, затраченную на ионизацию (в случае молекулярных газов также и энергию возбуждения колебательных и вращательных состояний), и энергию диссоциации. Предполагается, что электронный газ, получающий энергию от поля, так медленно передает ее тяжелым частицам плазмы, что за рассматриваемые промежутки времени ни кинетическая энергия ионов, атомов или молекул, ни степень возбуждения колебательных или вращательных состояний заметно не изменяется. Следовательно, внутренняя энергия в канале разряда полностью затрачивается на процессы ионизации, возбуждение молекул и на нагрев электронного газа. При этих условиях можно принять, что внутренняя энергия единицы длины канала


Предполагается также, что потери энергии на теплопроводность, излучение, а также на расширение канала отсутствуют. В этом случае уравнение баланса энергии в канале примет вид


Перечисленные выше предположения справедливы только для разрядов малой длительности в высоких электрических полях. Из приведенных выше формул следует, что проводимость единицы длины канала разряда


где ,  - коэффициент, определяемый экспериментально для разных газов. Основным допущением в теории Ромпе и Вайцеля является то, что  не зависит от времени.

Модель Ромпе и Вайцеля хорошо применима для импульсов нестандартных форм на малых временах, которые соответствуют примерно области применения технологических установок. К недостаткам модели можно отнести то, что она не учитывает физики процесса, поэтому плохо описывает развитую стадию разряда. Для того чтобы модель Ромпе и Вайцеля стала учитывать статическую электрическую прочность, т.е. приблизилась к реальным характеристикам, ее можно скорректировать, если в формулу проводимости ввести затухающий экспоненциальный множитель.

2.   Постановка задачи

Из анализа литературных данных следует, что моделирование пробоя жидких и твердых диэлектриков на данный момент является актуальной проблемой. Использование математических моделей при сопоставлении с экспериментом затруднено сложностью учета конкретной схемы высоковольтной установки и переходных процессов в ней.

Целью данной работы является создание модели водяного разрядного промежутка, удобного для практического использования.

В связи с этим была поставлена задача построения модели пробоя воды с использованием экспериментальных данных. Реализация модели проведена в стандарте системы Pspice, что позволяет применить модель с учетом конкретной электрической схемы установки, которая может быть достаточно сложной. Также применение системы Pspiceпозволяет включать в расчет дополнительные нелинейные элементы для коррекции модели. Существующие результаты по исследованию пробоя воды носят разрозненный характер, и обобщения на их основе затруднены. Поэтому было решено получать новые экспериментальные данные в условиях лаборатории, по мере необходимости корректируя методику эксперимента в соответствии с потребностями моделирования.

Для решения поставленной задачи необходимо:

)     создать экспериментальную установку;

2)      получить максимально возможное количество опытных данных;

)        используя подход Ромпе-Вайцеля и возможные его модификации, на основе экспериментальных данных подобрать параметры модели.

3.  
Разработка экспериментальной установки

3.1 Разработка импульсного генератора высоких напряжений

К импульсному генератору высоких напряжений по условиям работы в учебной лаборатории предъявляются следующие требования: установка должна быть компактной, безопасной и простой в изготовлении. Было принято решение использовать максимальное количество серийных элементов (конденсаторы, разрядники).

Известны следующие разновидности малогабаритных генераторов высокого напряжения:

)     генераторы, построенные по принципу прямого разряда конденсатора;

2)      генераторы импульсных напряжений по схеме Аркадьева-Маркса;

)        устройства с применением импульсных трансформаторов.

Генераторам мощных импульсов, в которых используется схема с разрядом емкости, соответствует схема замещения разрядного контура, изображенная на рис. 3.1.

Рис. 3.1. Схема замещения разрядного контура импульсного генератора:  - индуктивность разрядного контура,  - нелинейное сопротивление искры,  - зарядное напряжение,  - накопительная емкость

Для расчета формы импульсов, получаемых в приведенной схеме, необходимо знать зависимость сопротивления искры  от тока и времени. При сравнительно небольших величинах тока можно использовать сопротивление , полученное из модели искры, предложенной Ромпе и Вайцелем [9].

Импульсный генератор с разрядом емкости через искру широко используется в импульсной технике. Подбором величин емкости или давления газа в разряднике можно корректировать фронт импульса и получать пиковые импульсы малой длительности или прямоугольные импульсы с плоской вершиной [10]. При применении таких импульсных генераторов необходимо использовать конденсаторы, разрядники и зарядные устройства на напряжение масштаба 70-100 кВ, что представляет значительную техническую проблему, поэтому такие схемы в малогабаритных установках не используются.

Традиционная конструкция ГИН обладает хорошими характеристиками (малая длительность фронта, высокий КПД, возможность использования низковольтных зарядных устройств). Устройство простейшего генератора, построенного по схеме Аркадьева-Маркса, представлено на рис. 3.2.

Рис. 3.2. Принципиальная схема генератора Аркадьева-Маркса

Принцип работы состоит в том, что несколько конденсаторов (в общем случае )с емкостью  каждый соединяются параллельно и заряжаются от источника выпрямленного напряжения через сопротивление , зарядные резисторы  до напряжения . После срабатывания разрядников конденсаторы выстраиваются последовательно и на нагрузке образуется импульс напряжения с амплитудой, близкой к .Сопротивления  служат развязкой по импульсному напряжению и выбираются исходя из условия . В свою очередь, длительность импульса  определяется величиной емкости в «ударе» и сопротивлением . Сопротивления необходимы для демпфирования колебаний на вершине импульса, а сопротивление  обычно включается для коррекции фронта импульса.

Обычно для инициирования разряда в первом разряднике применяется дополнительный электрод или подсветка промежутка ионизирующим излучением. Все остальные разрядники пробиваются последовательно в результате перенапряжения в разрядном промежутке. Существенно заметить, что пробой и поддержание горения разряда в разрядниках возможно при наличии паразитных емкостей. Паразитные емкости должны обеспечивать поддержание развития разряда до пробоя последнего разрядника на нагрузку [10].

Основным недостатком конструкций генераторов импульсных напряжений, построенных по схеме Аркадьева-Маркса, является необходимость применения большого количества искровых разрядников. Серийно выпускаемые разрядники с необходимыми параметрами имеют высокую стоимость.

Импульсные трансформаторы (ИТ) нашли широкое применение в импульсных устройствах радиолокационных установок, установок экспериментальной физики, квантовой электроники, преобразовательной техники, импульсных источниках рентгеновского излучения, используемых в дефектоскопии, медицине, регистрации быстропротекающих процессов и т.д.

Импульсные трансформаторы позволяют изменить уровень формируемого напряжения или тока, полярность импульса, согласовать сопротивление генератора импульсов с сопротивлением нагрузки, отделить потенциалы источника и приемника импульсов, получить на нескольких раздельных нагрузках импульсы от одного генератора импульсов, создать обратную связь в контурах схемы импульсного устройства. Повышение напряжения с помощью ИТ до уровня, необходимого по условиям работы нагрузки, оказывается необходимым, если напряжение источника, формирующего импульсы, ограничено допустимым напряжением коммутирующих приборов или электрической прочностью элементов генератора, находящихся длительное время под напряжением в процессе накопления энергии [11].

Работа генераторов, основанная на использовании повышающих импульсных трансформаторов с коэффициентом связи с реализацией режима резонансной зарядки, позволяет получать напряжения на вторичной обмотке, ограниченные только изоляционными свойствами устройства.

Учитывая требования, предъявляемые к лабораторной установке, в данной работе был использован генератор высокого напряжения с применением импульсного трансформатора.

3.2 Конструкция установки

Для исследования вольт-секундных характеристик сред была разработана лабораторная установка, имеющая вид, представленный на рис. 3.3.

Рис.3.3. Эскиз лабораторной установки: 1 - зарядный конденсатор, 2 - обмотки трансформатора, 3 - слой изоляции, 4 - управляемый разрядник, 5 - управляющий трансформатор, от которого через разъем выходит кабель на схему управления, 6 - электрод, 7 - медная пластинка, на которую устанавливается опытный образец, 8 - делитель напряжения

Установка должна обеспечивать уровень напряжения порядка 100кВ, исходя из того, что электрическая прочность диэлектриков доходит до 100кВ/мм, а также этот уровень напряжения характерен для импульсных технологических установок. Для того чтобы использовать серийный низковольтный разрядник РУ-62, который применим в лабораторных условиях, для установки была выбрана трансформаторная схема, где с помощью высоковольтного импульсного трансформатора можно достичь необходимого уровня напряжения. Для изменения крутизны нарастания напряжения и увеличения диапазона управляемой работы делителя на выход генератора может быть подключена дополнительная емкость. Электрическая схема установки представлена на рис. 3.4.

Рис. 3.4. Электрическая схема установки

На схеме отображены основные элементы установки:

 - зарядная емкость;

 - дополнительная емкость, которая позволяет варьировать скорость нарастания напряжения;

 - индуктивности обмоток трансформатора.

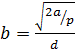
Две индуктивно связанные катушки L1 и L2 расположены соосно и разделены слоем изоляции, поэтому их собственные и взаимная индуктивности и коэффициент связи могут быть рассчитаны по формулам для коаксиальных круговых катушек[12]:



где  - число витков внутренней и внешней катушки соответственно; - диаметры катушек, м; - величина, значение которой зависит от соотношения  ( - длина обеих катушек), из [12] имеем , .

Взаимная индуктивность концентрических катушек одинаковой длины может быть найдена по формуле:


где  - число витков внутренней и внешней катушки соответственно; - диаметры катушек, м; - длина катушек, м;; .

Отсюда коэффициент связи


3.3 Принципиальная схема установки

Для зарядки установки использован однотактный обратноходовой преобразователь, представленный на рис.3.5. Данное устройство содержит транзисторный ключVT1, подсоединенный к входным выводам через первичную обмотку трансформатора, вторичная обмотка которого включает в себя вентиль VD1, конденсатор  и резистор .Конденсатор  представляет собой комбинированный малоиндуктивный конденсатор К75-48, предназначенный для работы в импульсныхрежимах с повышенными значениямиимпульсных токов.

Рис. 3.5. Однотактный обратноходовой преобразователь

В первом такте преобразования транзисторный ключ замкнут, происходит накопление энергии в сердечнике трансформатора, при этом вентиль VD1 заперт. Во втором такте после размыкания ключа накопленная энергия передается в конденсатор. Напряжение на выходе преобразователя определяется отношением витков первичной и вторичной обмоток трансформатора. Зарядный ток на стороне высокого напряжения 0,2 мА, что позволяет зарядить установку за 15 секунд.

Вентиль VD1 состоит из двух кремниевых выпрямительных столбов КЦ105Д и рассчитан на обратное напряжение 17 кВ. Для кремниевых вентилей опасны токовые перегрузки. Слишком большой импульс прямого тока может возникнуть при пробое испытуемого объекта и даже после отключения установки от сети за счет знакопеременных колебаний напряжения на конденсаторе при его разряде. Ограничение этого тока достигается включением защитного резистора , величина сопротивления которого может быть определена из соотношения:

,

где  - напряжение на конденсаторе, кВ,  - средний прямой ток для выпрямительных столбов КЦ105Д, мА[13].

Тогда постоянная времени зарядной цепи:


Откуда следует, что резистор  не влияет на скорость зарядки конденсатора, и она определяется схемой управления.

Для запуска разрядника РУ-62 требуется приложение импульса напряжения амплитудой 10 кВ и длительностью порядка 100 нс между управляющим электродом и электродом 2. Для формирования такого уровня напряжения используется схема, изображенная на рис.3.6.

Рис.3.6. Схема управления разрядника РУ-62

Конденсатор  емкостью  работает на напряжение , получаемое из сети через обмотку трансформатора Т1 и двухполупериодный выпрямитель. Оптотиристор VD1 открывается при воздействии светодиода VD2, включаемого нажатием на кнопку. Оптотиристор VD1 разряжается на импульсный трансформатор ИТ1, напряжение с которого подается на управляющий электрод разрядника. При этом коэффициент трансформации , т.к. ИТ1 на первичной и вторичной обмотке имеет число витков 3 и 120 соответственно. Выбор кольцевого ферритового сердечника для трансформатора ИТ1 производился с учетом выполнения условия отсутствия насыщения.

Для выбранного сердечника К32х20х9 сечением  и длиной  был проведен проверочный расчет.

Индукция в сердечнике находится из следующего соотношения:

,

где  - величина тока, определяющаяся скоростью срабатывания оптотиристора, А (время срабатывания  при ). Индуктивность сердечника описывается уравнением:

,

где  - магнитная проницаемость, Гн/м,  - количество витков,  - сечение сердечника, м2 ,  - длина сердечника, м.

Условие отсутствия насыщения  выполняется, следовательно, кольцевой сердечник выбран правильно.

3.4 Импульсный делитель напряжения

Работа по исследованию вольт-секундных характеристик сред проводилась в лабораторных условиях на малогабаритной установке. При этом длины разрядных промежутков, а, следовательно, и временной диапазон малы. Для корректного проведения экспериментов и снятия ВСХ в установку был включен емкостной делитель напряжения, эскиз и электрическая схема которого представлены на рис. 3.7, рис.3.8.

Рис.3.7.Эскиз делителя напряжения: 1 - электрод, находящийся под напряжением, 2 - изоляция (полиэтилен), 3 - заземленный электрод, 4 - корпус установки

 

Рис. 3.8. Электрическая схема емкостного делителя напряжения

Необходимый параметр - коэффициент деления - был определен путем подачи импульса напряжения от электронного генератора импульсов на высоковольтный электрод при регистрации осциллограмм входного и выходного импульсов. Полученные осциллограммы представлены на рис.3.9, рис.3.10. По данным этих измерений принимаем kдел=1000.

Рис.3.9. Осциллограмма входного импульса

Рис. 3.10. Осциллограмма выходного импульса

Для регистрации импульсов напряжения использован компьютерный осциллограф (PCSCOPEPCS-500) с временным разрешением 20 нс и максимальным измеряемым напряжением 100В. В отличие от измерений, осуществляемых амплитудным вольтметром, измерения осциллографом позволяют помимо измерения максимального значения наблюдать изменение испытательного напряжения во времени, что позволяет в некоторых случаях определить, поврежден или не поврежден объект при испытаниях. При этом форма импульса не должна искажаться в измерительной цепи.

К делителю напряжения предъявляются жесткие требования, чтобы исключить его влияние на источник напряжения. Он должен обладать хорошими передаточными характеристиками. Однако при этом нет гарантии, что наблюдаемая на экране осциллографа картина в известном масштабе отображает измеряемое высокое напряжение. Наряду с делителем напряжения могут вызывать дополнительные погрешности подводящие провода и кабели, идущие от делителя к осциллографу [14]. В данной работе при измерениях сигнал с емкостного делителя подавался на измерительный щуп осциллографа, имеющий входное сопротивление1МОм, коэффициент деления 1:10, частотный диапазон 0÷50 МГц.

3.5 Электромагнитная совместимость

Используемый в измерениях электронный осциллограф чувствителен к входным перенапряжениям. Производитель гарантирует его нормальную работу при уровне входного напряжения до 100 В, превышение которого приводит к необратимому выходу из строя входных блоков осциллографа и является абсолютно недопустимым. Вследствие чего был принят ряд мер по защите входных цепей осциллографа. Во-первых, использование измерительного щупа, понижающего напряжение в 10 раз. Во-вторых, в связи с тем, что измерение коротких импульсов не позволяет использовать полупроводниковые защитные элементы (трансилы, варисторы и др.), то в экспериментах проводилось тестирование измерительного тракта с помощью аналогового осциллографа. Таким образом, снижался риск порчи дорогостоящего оборудования. В-третьих, в процессе проведения серии испытаний проводилась профилактическая замена изолятора делителя. В рассматриваемой конструкции толщина изоляции равна 3 см, средняя электрическая прочность , однако из-за наличия воздушных зазоров изоляция подвергается воздействию частичных разрядов.

Для снижения уровня электромагнитных помех питание производится от автономного источника бесперебойного питания. Кроме того, осциллограф PCS-500 имеет систему оптоэлектронной развязки по каналу связи с компьютером. Возможно также использование осциллографа TectronixTDS 3012 B, позволяющего проводить запись сигнала на внешний носитель информации, что делает необязательным наличие связи с компьютером.

Конструкция установки, заключенная в металлический корпус, позволяет снизить уровень электромагнитных помех в окружающем пространстве. Связь установки с питающей сетью осуществляется через режекторный фильтр.

4.  
Экспериментальное исследование и математическое моделирование вольт-секундных характеристик воды

4.1 Проведение экспериментов

Эксперименты проводились на образце, эскиз которого представлен на рис. 4.1.

Рис. 4.1. Эскиз экспериментального образца: 1 - электроды, 2 -вода, 3 - листовой полиэтилен, которым был дополнен образец во избежание пробоя по поверхности

В экспериментах использовалась техническая вода при комнатной температуре, не подвергавшаяся процедуре обезгаживания. Для приближения к условиям, которые могут иметь место в технологическом процессе, опыты производились без смены воды с интервалом между импульсами 30 с. В экспериментах не было обнаружено существенного изменения формы импульса при переходе от первого к последующим импульсам. Возможно, упомянутый подход привел к повышенному разбросу экспериментальных результатов. Однако он оправдан близостью к условиям работы технологической установки.

4.2 Результаты экспериментов

Расстояние между электродами изменялось от 3 мм до 7,2 мм. При каждом промежутке были сняты 3÷4 осциллограммы. На рис. 4.2, 4.3представлены осциллограммы для, , соответственно.

Рис. 4.2. Экспериментальные зависимости формы импульса от времени при

Рис. 4.3. Экспериментальные зависимости формы импульса от времени при

Результаты измерений - максимальное напряжение разряда Umax и время от начала разряда до достижения максимально гозначения напряжения были занесены в таблицу 4.1.

Табл.4.1. Результаты измерений

3

0,46

203,13

5,8

0,4

50

3

0,44

203,13

5,8

0,46

62,5

3

0,34

195,31

5,8

0,48

54,69

3

0,38

195,31

5,8

0,5

51,56

4

0,36

65,63

6

0,4

56,25

4

0,36

42,19

6

0,62

93,75

4

0,4

60,94

6,2

0,38

73,44

4

0,4

54,69

6,2

0,38

110,94

4

0,42

57,81

6,2

0,42

59,38

4

0,5

53,13

6,2

0,42

104,69

5

0,62

76,56

6,2

0,42

120,31

5

0,74

53,13

6,8

0,4

48,44

5

0,9

56,25

6,8

0,5

5,5

0,34

62,5

6,8

0,56

50

5,5

0,36

95,31

6,8

0,6

62,5

5,5

0,4

68,75

7,2

0,38

60,94

5,5

0,42

56,25

7,2

0,38

56,25

5,5

0,44

60,94

7,2

0,44

54,69


Параметры точек, выделенных цветом (для промежутка d=3мм, 6,8мм, 7,2мм), сильно отличаются от средних значений и были исключены из рассмотрения.

4.3 Построение математической модели

Для полученных результатов предполагалось на основе простой математической модели описать пробой воды, производя подбор одного или нескольких параметров модели с целью получения максимально возможного совпадения результатов расчета с экспериментом. Одним из распространенных методов описания характеристик разряда является модель, предложенная Ромпе и Вайцелем [9]. Эта модель хорошо зарекомендовала себя при описании газового разряда, и в ряде случаев были предприняты попытки ее использования для описания пробоя жидких или твердых сред [15]. В данной работе также была проведена серия пробных расчетов, которая показала невозможность получения удовлетворительной точности описания экспериментальных данных. Была предпринята попытка модификации модели добавлением нелинейной емкости, о которой будет написано ниже.

Электрическая схема для получения расчетных осциллограмм и расчетная схема Pspiceпредставлены на рис. 4.4и рис. 4.5 соответственно.

Рис.4.4. Электрическая схема

Рис.4.5. Расчетная схема Pspice

Здесь ROMPE - макромодель, созданная с помощью программы PSpiceModelEditor на основе зависимости сопротивления искры от тока и времени для газового разряда:

 ,

где  - длина разрядного промежутка,  - давление в газе,  - ток разряда,  - коэффициент Ромпе-Вайцеля.

Ниже приведена структура макромодели ROMPE в стандарте Pspice:

.subckt rompe 1 2

*const r_v- last coefficient of gout1 4 poly(2) (1,2) (6,0) 1e-6 0 0 0 b1 4 1G4 2 03 0 poly(1) v0 0 0 13 8 100K5 8 1n5 0 poly(1) (8,0) 0 -1e65 0 1G9 0 poly(1) (5,0) 0 -16 0 poly(2) (9,0)(7,0) 0 1e6 -1e66 0 1G7 0 poly(2) (6,0) (6,0) 0 0 0 0 17 0 1G

.ends

Описание макромодели начинается директивой .subckt и заканчивается директивой .ends. Между ними помещаются описания компонентов, входящих в состав макромодели [16].

Так, например,- зависимый нелинейный источник тока, управляемый напряжением, задается предложением:

где POLY - полиномиальная функция вида:

где  -  управляющих переменных

Для начала работы модели Ромпе-Вайцеля необходимо минимальное отклонение значения тока от нуля. Это значение начального тока  задано в описании источника тока .

Также в макромодели ROMPEопределены другие зависимые источники сигналов:  - источник напряжения, управляемый током; , , ,  - источники напряжения, управляемые напряжением; а также следующие параметры:

¾  сопротивления резисторов , , , , ;

¾      емкость конденсатора ;

Подбирая параметр в описании источника тока, который связан с коэффициентом Ромпе-Вайцеля соотношением , стремились получить расчетные кривые, близкие по своим параметрам экспериментальным. Как оказалось, учет только параметра b не приводит к удовлетворительным результатам.

Экспериментальные кривые отличаются от расчетных по модели Ромпе-Вайцеля тем, что вершины импульсов имеют сглаженный вид, это дает основание считать, что при больших напряжениях играет роль возрастающая в процессе разряда емкость разрядного промежутка, которая может быть учтена введением дополнительного нелинейного элемента.

На рис.4.6 представлены зависимости формы импульса от времени для классической модели Ромпе-Вайцеля, где учитывается только постоянная b, модифицированная модель, где в учет берется еще одна постоянная - емкость разрядного промежутка, а также зависимость, полученная в ходе экспериментов.

Рис. 4.6. Зависимости формы импульса от времени

В качестве элемента, учитывающего емкость разрядного промежутка, используется модель емкости, зависящей от напряжения, характеристики которой будут введены как дополнительный варьируемый параметр при получении расчетных кривых (рис.4.7).

Рис. 4.7. Схема модели изменяющейся емкости: Uупр - напряжение управления, Cvar-функциональный блок, С0 - постоянная емкость

Была выбрана простейшая форма зависимости емкости от напряжения, которая позволила получить удовлетворительное совпадение расчета с экспериментом.

4.4 Результаты моделирования

Для каждого эксперимента проводился подбор коэффициента и нелинейной емкости путем последовательных расчетов, критерием являлось совпадение амплитуд и длительности импульса. Результаты подбора занесены в таблицу 4.2.

Табл. 4.2.Результаты расчета

 

0,36

65,63

4

0,348

65,6

1,51

0,4

0,4

60,94

4

0,392

60,9

1,56

0,6

0,4

54,69

4

0,4

54,7

1,73

0,8

0,42

57,81

4

0,422

57,83

1,59

0,8

0,5

53,13

4

0,508

53,2

1,59

1,4

0,34

62,5

5,5

0,331

62,5

1,63

0,4

0,4

68,75

5,5

0,407

68,63

1,34

0,5

0,42

56,25

5,5

0,410

56,2

1,66

0,8

0,44

60,94

5,5

0,449

60,9

1,46

0,8

0,4

50

5,8

0,397

50

1,9

1

0,46

62,5

5,8

0,463

62,5

1,4

0,8

0,48

54,69

5,8

0,48

54,3

1,6

1,2

0,5

51,56

5,8

0,489

51,6

1,67

1,4

0,38

73,44

6,2

0,402

73,1

1,27

0,4

0,42

59,38

6,2

0,407

59,39

1,57

0,7

0,42

104,69

6,2

0,419

107,4

0,8

0,15

0,42

120,31

6,2

0,415

120,1

0,7

0,1


Полученные усредненные данные были аппроксимированы уравнениями  и в интервале от 2 до 7 мм. Полосы погрешности соответствуют доверительному интервалу по совокупности рассчитанных значений постоянной при уровне значимости . Зависимости представлены на рис.4.8.

 

Рис.4.8. Расчетные данные

Полученные значения постоянных в модели Pspiceопределены для конкретной длины промежутка, т.е. мы не предполагаем линейной зависимости сопротивления промежутка от его длины, как это делается в классической модели Ромпе-Вайцеля. Значение динамической емкости обнаруживает слабую зависимость от длины.

Далее на рис.4.9 приведены результаты серии пробных расчетов формы импульса с использованием зависимости  для величин зазора от 2 до 7 мм, продемонстрировавшие неплохое согласие с экспериментом.

Рис.4.9. Расчетная зависимость формы импульса от времени

В данной работе выбор параметров модели производился одновременно с получением экспериментальных данных, что позволило корректировать постановку эксперимента в зависимости от степени успешности моделирования.

Такой подход имеет свои преимущества и недостатки. Недостатком является ограничение возможности конкретной экспериментальной установки. В то же время полученные результаты носят обнадеживающий характер и могут служить обоснованием для продолжения данной работы.

4.5 Выводы по результатам эксперимента и компьютерного моделирования

1.   В силу объективных причин (непостоянство свойств воды, наличие газовых включений и др.) экспериментальные данные обладают значительным разбросом. Для повышения достоверности результатов необходимо проведение большого количества дополнительных экспериментов. К сожалению, временные рамки работы не позволили выполнить достаточное количество экспериментов. Поэтому полученные результаты и параметры модели имеют ценность в основном с точки зрения отработки методики моделирования.

2.       Предложенная модификация модели Ромпе-Вайцеля качественно правильно отражает особенности пробоя воды по сравнению с пробоем газа. Использованная линейная зависимость дополнительной емкости от напряжения может считаться лишь пробной. Она имеет преимущества перед более сложными зависимостями только с точки зрения простоты. Возможно, данная зависимость будет уточнена в дальнейшем с привлечением физических моделей.

.        Разработанная установка имеет ряд недостатков, связанных с ее малыми габаритами и мощностью. В дальнейшем целесообразно проведение экспериментов на установке большего масштаба.

5.  
Экономическая часть

5.1 Оценка затрат на разработку лабораторной установки и проведение экспериментов

Задача: создание экспериментальной установки, получение максимального возможного количества опытных данных и создание модели водяного разрядного промежутка, удобного для практического использования.

Заказчик: Санкт-Петербургский Государственный Политехнический Университет.

Подрядчик: Кафедра ИЭ и ТВН в лице сотрудника к.т.н., доцента Адамьяна Ю.Э. и дипломантки Ершовой Т.Н.

Затраты на разработку экспериментальной установки включают в себя следующее:

1)   заработная плата сотрудников ();

2)      стоимость элементов установки ();

)        стоимость расходных материалов ();

)        проведение исследований ();

)        создание математической модели ().

1.   В разработке участвовало два сотрудника: Ершова Т.Н. и Адамьян Ю.Э. Работы проводились в течение пяти месяцев, в том числе один месяц (по два рабочих дня в неделю) - на разработку установки, два месяца (по одному рабочему дню в неделю) - на проведение экспериментов по пробою воды, два месяца (по одному рабочему дню в неделю) - на обработку полученных данных и создание математической модели. Таким образом, время, затраченное разработчиками, равно дням  дня. Заработная плата Адамьяна Ю.Э. составляет З1=870руб/день (с учетом вычета подоходного налога). Ершова Т.Н., как дипломница, получает стипендию З2=37руб/день. Таким образом, заработная плата сотрудников составляет:

2.   Стоимость оборудования, используемого в установке, приведена в таблице 5.1.

Табл. 5.1. Стоимость оборудования, используемого в установке

Наименование устройства

Марка

Количество, шт.

Стоимость, руб.

Разрядник управляемый

РУ-62

1

5000

Импульсный конденсатор

К75-48М

1

3000

Зарядное устройство


1

3000

Корпус


1

800

Итого



11800


3.   К затратам на расходные материалы относятся затраты на электроэнергию . Цена 1кВт*ч электроэнергии равна . Затраты на потребляемую электроэнергию равны произведению себестоимости на время работы (). При суммарной мощности используемого оборудования -  затраты на электроэнергию составят:

 

4.   Затраты на исследования включают в себя затраты на приобретение литературы и временных затрат, т.е. время которое было потрачено на изучение приобретенной литературы:

5.  
Одной из основных задач данной работы являлось схемотехническое моделирование разрядного промежутка, которое проводилось в среде OrCAD. Поскольку расчеты проводились на учебной версии OrCAD, затраты на создание математической модели включают в себя только стоимость программного обеспечения OSWindows:

Таким образом, полные затраты на разработку, создание и отладку лабораторной установки равны:


5.2 Целесообразность разработки установки

Целью данной работы являлось создание математической модели водяного разрядного промежутка, удобного для практического применения. В дальнейшем полученные результаты могут быть применены при проектировании отдельных элементов электротехнологических установок, таких как установок для электроимпульсного бурения.

Электроимпульсное бурение основано на разрушении горной породы мощным электрическим разрядом (пробоем) высокого напряжения (до 200кВ), происходящим в приповерхностной зоне забоя скважины, заполненной жидким диэлектриком (техническая вода, масло, дизельное топливо). Этот метод разработан в конце 60-х гг. 20 в. в СССР (А. А. Воробьев и др.). Бур выполнен в виде кольцевого зубчатого и центрального электродов. При бурении электроды прижимаются к забою, а центральный электрод вращается, обеспечивая создание последовательных электрических импульсов-пробоев с определенной частотой по всей площади скважины. Горная порода разрушается за счёт напряжений, возникающих в ней при электрическом пробое. Удаление продуктов разрушения производится циркуляцией жидкого диэлектрика. Скорость бурения до 6-10 м/ч. Область применения - нисходящие скважины в плотных горных породах, обладающих высоким электрическим сопротивлением и не поглощающих циркулирующий в скважине жидкий диэлектрик. Эффективность бурения не зависит от крепости пород и глубины скважины и определяется параметрами электрического пробоя и условиями удаления продуктов разрушения.

В данной работе была построена математическая модель с выбором параметров для пробоя технической воды на основе проведенных экспериментов. Использование уже готовой модели позволит сократить расходы предприятия, занимающегося электроимпульсным бурением, а именно:

¾  затраты на заработанную плату персонала;

¾      затраты на разработку установки, получение опытных данных и проведение исследований.

Срок службы данной установки сложно оценить, так как она является опытным образцом и пока не существует опыта ее длительной эксплуатации. В любом случае созданная установка проста по конструкции и, следовательно, проста в обслуживании и ремонте, что ведет к снижению стоимости ее эксплуатации. Однако на данном этапе работы оценить экономический эффект не представляется возможным.

Таким образом, можно сделать вывод о том, что создание данной лабораторной установки является экономически целесообразным для использования ее в учебных и исследовательских целях.

6.   Безопасность жизнедеятельности

6.1 Введение

Конструкция установки заключена в металлический корпус, напряжение питания 220 В переменного тока 50 Гц. Связь установки с питающей сетью осуществляется через режекторный фильтр.

Эксплуатация установки происходит в помещении для лабораторных работ по технике высоких напряжений на кафедре ИЭ и ТВН Санкт-Петербургского Государственного Политехнического Университета. В соответствии с ПУЭ данное помещение относится к помещениям с повышенной опасностью поражения током в связи. В помещении имеется вывод заземляющего контура.

Помещения с повышенной опасностью характеризуются наличием в них одного из следующих условий, создающих повышенную опасность:

¾  сырость или токопроводящая пыль;

¾      токопроводящие полы (металлические, земляные, железобетонные, кирпичные т.п.);

¾      высокая температура;

¾      возможность одновременного прикосновения человека к металлоконструкциям здания, имеющим соединение с землей, технологическим аппаратам, механизмам и т.п., с одной стороны, и к металлическим корпусам оборудования (открытым проводящим частям) с другой.

Помещение для лабораторных работ характеризуется по последнему условию.

6.2 Анализ вредных и опасных факторов

Основными опасными производственными факторами являются:

.     Опасность поражения электрическим током промышленной частоты с действующим значением 220В. Установка имеет шнур питания со стандартным разъемом для подключения к общей потребительской сети.

2.       Потенциальная опасность поражения потоком электронов и тормозным рентгеновским излучением от электронно-лучевой трубки осциллографа, который используется для измерений.

.        Недостаточная освещенность на рабочем месте.

.        Пожаровзрывобезопасность.

.        Ненормативные условия микроклимата.

.        Ненормативные условия шума и вибрации.

6.3 Меры защиты

¾  от поражения электрическим током

При эксплуатации лабораторной установки необходимо соблюдать правила техники безопасности при работе такого типа. Необходимо следить затем, чтобы питающий шнур и вилка находились в исправном состоянии, корпус прибора должен быть заземлен.

¾  от опасности поражения потоком электронов и тормозным рентгеновским излучением

Стекло электронно-лучевой трубки и корпус осциллографа обеспечивают защиту от потока электронов и тормозного рентгеновского излучения, что гарантируется заводом-изготовителем.

¾  требования к уровням шума и вибрации

Допустимые уровни звукового давления, уровня звука и эквивалентные уровни звука на рабочих местах должны соответствовать требованиям «Санитарных норм допустимых уровней шума на рабочих местах» №2.2.4/2.1.8.56662-96. Общая вибрация на рабочих местах не должна превышать предельно допустимых величин, установленных «Санитарными нормами вибрации рабочих мест» №2.2.4/2.1.8.566-96.

Для снижения шума вибрации в помещениях оборудование, аппараты, приборы необходимо устанавливать на специальные фундаменты и амортизирующие прокладки, предусмотренные нормативными документами. Стены и потолки облицовываются звукопоглощающими материалами. При работе оборудования со значительным уровнем шума предусматривается использование специальных звукопоглотителей, может быть осуществлено экранирование рабочих мест.

Уровни звука в помещениях, где работают математики-программисты и операторы ВДТ, не должны превышать величин, установленных санитарными нормами.

Уровни шума и вибрации при проведении лабораторных работ соответствовали требованиям «Санитарных норм допустимых уровней шума на рабочих местах».

¾  требования к воздуху рабочей зоны

Параметры микроклимата должны удовлетворять требованиям СанПиН 2.2.4.1340-03 «Гигиенические требования к микроклимату производственных помещений» и в соответствии с ГОСТ 12.1.005-88 «Общие санитарно-гигиенические требования к воздуху рабочей зоны».

Табл. 6.1. Оптимальные нормы микроклимата для помещений с ВДТ и ПЭВМ.

Период года

Категория работ

Температура воздуха, °С

Относительная влажность, %

Скорость движения воздуха, м/с

холодный

Легкая - 1а

22-24

40-60

0,1


Легкая - 1б

21-23

40-60

0,1

теплый

Легкая - 1а

23-25

40-60

0,1


Легкая - 1б

22-24

40-60

0,2


Учитывая представленные данные можно заключить, что условия микроклимата в помещении для лабораторных работ обеспечиваются.

¾  пожаровзрывобезопасность

Основные требования к огнестойкости зданий и сооружений, противопожарным преградам и эвакуации людей из зданий и помещений содержатся в СНиП II-2-80 «Противопожарные нормы проектирования зданий и сооружений».

Существует опасность того, что трансформатор, используемый для питания, может возгореться, но эта опасность является чисто теоретической, так как трансформатор является сухим и смонтирован в железном корпусе, поэтому при перегорании его изоляции возгорание не происходит.

Помещение, в котором находится лабораторная установка, оснащено четырьмя огнетушителями углекислотными бромэтиловыми ручными ОУБ-3. Также на лестнице находится ящик с песком, эвакуация осуществляется по главной лестнице.

¾  расчет освещенности на рабочем месте

Освещение в помещениях должно быть смешанным (естественным и искусственным). Величина коэффициента естественной освещенности должна соответствовать нормативным уровням по СНиП 23-05-95 «Естественное и искусственное освещение. Нормы проектирования».

Искусственное освещение в помещениях осуществляется в виде комбинированной системы освещения с использованием люминесцентных источников света в светильниках общего освещения. При этом в качестве светильников используют установки с преимущественно отраженным или рассеянным светораспределением.

Величина освещенности при искусственном освещении люминесцентными лампами должна быть в горизонтальной плоскости не ниже 300 лк для системы общего освещения и не ниже 750 лк для системы комбинированного освещения. Аварийное освещение должно быть предусмотрено в помещениях, где недопустимо прекращение работ в случае отключения рабочего освещения.

Для расчета общего равномерного освещения при горизонтальной рабочей поверхности основным является метод светового потока (коэффициента использования), учитывающий световой поток, отраженный от потолка и стен. Световой поток лампы  (лм) при лампах накаливания или группы ламп светильника при люминесцентных лампах рассчитывают по формуле:

,

где  - нормированная минимальная освещенность, лк;  - площадь освещаемого помещения, м2;  - коэффициент минимальной освещенности, равный отношению  (значение для ламп накаливания и ДРЛ -1,15, для люминесцентных - 1,1),  - коэффициент запаса,  - число светильников в помещении;  - коэффициент использования светового потока ламп, зависит от КПД и кривой распределения силы света светильника, коэффициент потолка ( и ), высоты подвеса светильников и показателя помещения:

,

где  и  - два характерных размера помещения;  - высота светильников над рабочей поверхностью. Возьмем для освещения помещения три лампы накаливания в светильниках с отражателем.

Данные для расчета: Тогда , а, следовательно, .

По приведенной выше формуле световой поток лампы:

Подбираем ближайшую стандартную лампу Г215-255-300 и определяем электрическую мощность всей осветительной системы - 278Вт.

Заключение

Для моделирования пробоя технической воды была применена модифицированная модель Ромпе-Вайцеля, реализованная в системе PSpice. Использование модели в системе Pspice, являющейся мировым стандартом схемотехнического моделирования, позволяет проводить расчет электрического разряда в жидкости применительно к электротехнологическим установкам.

Суть модификации классической модели Ромпе-Вайцеля состоит во введении дополнительной нелинейной емкости, зависящей от напряжения, что позволяет адекватно описывать процесс электрического разряда в жидкости и энерговклад в жидкость во время разряда.

Данная модель в сочетании с моделированием пробоя твердых сред (горных пород или цемента) может быть использована в проектировании рабочих органов установок для электроимпульсного бурения.

Возможность определения энерговклада позволяет также применять данную модель при расчетах электрогидроимпульсного эффекта при пробое воды для получения импульсов высокого давления.

Список использованной литературы


1.     Брылин В.И. Бурение скважин специального назначения: Учебное пособие. - Томск: Изд-во ТПУ, 2006. - 255с.

2.       Курец В.И., Усов А.Ф., Цукерман В.А. Электроимпульсная дезинтеграция материалов. - Апатиты:Изд-во Кольского научного центра РАН, 2002. -324 с.

.        Воробьев А.А., Нарушение электрической прочности диэлектриков и их пробой. - Томск: Изд-во ТПУ, 1962. - 108с.

.        Важов В.Ф., Лавринович В.А., Лопаткин С.А. Техника высоких напряжений. - Томск: Изд-во ТПУ, 2006. - 119с.

.        Воробьев Г.А., Похолков Ю.П., Королев Ю.Д., Мекулов В.И. Физика диэлектриков (область сильных полей): Учебное пособие. - Томск: Изд-во ТПУ, 2003. - 244 с.

6.       Peek F.W. The Effect of Transient Voltages on Dielectric IV // AIEE. - N49.

7.       Горев А.А., Машкилейсон Л.Е. Эмпирические уравнения кривых времени разряда // Электричество. - 1935. - N13.

8.       Caldwell R.O., Darveniza M. Experimental and Analytical Studies of the Effect of Non-Standard Waveshapes on the Impulse Strength of External Insulation, Power Apparatus and Systems // IEEE Transactions on. - 1973. - N92.

.        Rompe R., Weizel W. Uber das Toeplersche Funkengesets. - Zs.Physik, 1944, B.122, H.9-12.

10.     Месяц Г.А. Генерирование мощных наносекундных импульсов. - М.: Сов. Радио, 1974. - 256с.

.        Матханов П.Н., Гоголицын Л.З. Расчет импульсных трансформаторов. - Л.: Энергия. Ленингр. отд-ние, 1980. - 112с.

.        Калантаров П.Л., Цейтлин Л.А. расчет индуктивностей: Справочная книга. - 3-е изд., перераб. и доп. - Л.: Энергоатомиздат, 1986. - 488с.

.        Электроэнергетика. Источники питания электротехнологических установок: Учеб. пособие / Ю.Э. Адамьян, Е.П. Бельков, Ю.Н. Бочаров и др. СПб.: Изд-во СПбГПУ, 2006. - 170с.

.        Шваб А. Измерения на высоком напряжении: Измерительные приборы и способы измерения. - 2-е изд., перераб. и доп. Пер. с нем. - М.: Энергоатомиздат, 1983. - 264с.

15.     Removal of surface layer of concrete by a pulse-periodical discharge.-Digest of Technical Papers 11-th IEEE Int. Pulsed Power Confer. Editors: G.Cooperstein I.Vitkovitsky. USA, Baltimore, 1997, p.1078-1084. V.Goldfarb, R.Bundy, A.Dunton, Yu.Adamian, S.Krivosheev, G.A.Shneerson.

Похожие работы на - Экспериментальное исследование и математическое моделирование вольт-секундных характеристик воды

 

Не нашли материал для своей работы?
Поможем написать уникальную работу
Без плагиата!
Без нейросетей!