Показатели качества разнородной продукции
Содержание
Введение
. Оценка уровня качества продукции с
помощью интегрального метода
. Определение коэффициентов
весомости показателей качества
.1 Метод стоимостных регрессионных
зависимостей (стоимостной метод)
.2 Метод предельных и номинальных
значений (вероятностный метод)
.3 Метод эквивалентных соотношений
.4 Экспертный метод
. Оценка уровня качества разнородной
продукции
Список литературы
Введение
Потребность в обеспечении качества выражается
через ряд требований потребителя к продукции. Конкретные требования к
характеристикам (свойствам) продукции, дающие возможность их реализации и
проверки, называются показателями качества. Измерением показателей качества
объектов (изделий, услуг) занимается квалиметрия.
Проблемы управления качеством породили задачи
количественной оценки качества, необходимой для принятия решений на всех
стадиях производства продукции, ее стандартизации и сертификации. Оценка
качества может рассматриваться как основа формирования механизма управления
качеством продукции на всех стадиях ее жизненного цикла.
Показатель качества продукции ¾
это количественная характеристика одного или нескольких свойств продукции,
составляющих ее качество, рассматриваемая применительно к определенным условиям
ее создания, эксплуатации или потребления.
В процессе оценки качества используются
следующие термины:
· градация качества - категория, или разряд,
присвоенные объектам одинакового функционального назначения, но с различными
требованиями к качеству;
· уровень качества - относительная
характеристика, являющаяся результатом сравнения совокупности значений,
показателей качества продукции с соответствующей совокупностью базовых значений
этих показателей (при количественной статистической оценке);
· мера качества - при выполнении
точных технических оценок;
· относительное качество - при
сравнении объектов;
· требования к качеству - выражение
определенных потребностей или их перевод в набор количественно или качественно
установленных требований к характеристикам объекта, чтобы дать возможность их
реализации и проверки;
Что такое «показатели качества», и какими они
бывают?
Показатели качества - это количественно или
качественно установленные конкретные требования к характеристикам (свойствам)
объекта, дающие возможность их реализации и проверки.
Специалисты выделяют шесть основных групп
показателей качества:
1. Показатели качества по отношению к свойствам
продукции
2. Показатели качества по количеству
отражаемых свойств
. Показатели качества по методу
определения
. Показатели качества по стадиям
определения
. Показатели качества по размерности
отражаемых величин
. Показатели качества по значимости при
оценке
В зависимости от признака классификации продукта
ему соответствуют различные типы показателей качества.
1. Оценка уровня качества продукции
с помощью интегрального метода
Разновидностью комплексного показателя качества,
позволяющего с экономической точки зрения определить оптимальную совокупность
свойств изделий, является интегральный показатель качества продукции, который
отражает отношение суммарного полезного эффекта от эксплуатации или потребления
продукции к суммарным затратам на ее создание и эксплуатацию или потребление:
J=Э/(Зс
+Зэ),
где Э - суммарный полезный эффект от
эксплуатации продукции (например, выработка станка за определенное время - год,
месяц и т.д., пробег грузового автомобиля в тонно-километрах за срок службы до
капитального ремонта);
Зс - суммарные затраты на создание продукции
(разработку, изготовление, монтаж и другие единовременные затраты);
Зэ - суммарные эксплуатационные затраты
(техническое обслуживание, ремонт и другие текущие затраты).
Интегральный показатель качества продукции
является эффективным показателем качества, содержащим важнейшую информацию о
качестве продукции и затратах на его достижение и эксплуатацию или потребление.
Благодаря этому в нем учитывается вся совокупность факторов, влияющих на
качество продукции в зависимости от полных затрат на эти факторы.
Интегральный показатель качества продукции
обладает важным свойством: он обращается в максимум при оптимальном полезном
эффекте и оптимальных затратах на его достижение. Следовательно, увеличение
затрат на повышение качества имеет смысл только до тех пор, пока увеличивается
интегральный показатель качества продукции. Применение его важно при анализе
динамики качества продукции, определении путей его улучшения, при решении задач
постановки продукции на производство и т.д.
Наряду с интегральным показателем качества
продукции может использоваться величина, обратная ему, называемая удельными
затратами на единицу эффекта.
Показатель качества продукции, по которому
принимают решение оценивать качество продукции, называется определяющим
показателем. Комплексный определяющий показатель качества продукции называют
обобщенным. Комплексный показатель, относящийся к определенной группе свойств
продукции, называется групповым.
Интегральный метод оценки уровня качества
продукции считается экономическим.
Обобщенный интегральный показатель качества
оцениваемого, а также базового образца рассчитывают как отношение суммарного
полезного эффекта, выраженного в натуральных или денежных единицах измерения,
от эксплуатации изделия W к затратам на его создание и эксплуатацию за
определенный (или весь) срок службы.
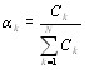
2. Определение коэффициентов
весомости показателей качества
В соответствии с одним из принципов квалиметрии
любое свойство, определяющее качество того или иного объекта, находящееся на
любом уровне рассмотрения иерархической структуры качества полностью
определяется двумя числовыми характеристиками:
а) относительным показателем качества Кij;
б) коэффициентом весомости Мij.
Все существующие на практике методы оценки
весомости свойств продукции можно разделить на две большие группы:
) аналитические методы;
) экспертные методы.
Из аналитических методов оценки наибольшее
распространение получили следующие три метода.
¾ Метод стоимостных регрессионных
зависимостей (стоимостной метод).
¾ Метод предельных и номинальных
значений (метод статистической обработки проектов или вероятностный метод).
¾ Метод эквивалентных соотношений.
.1 Метод стоимостных регрессионных
зависимостей (стоимостной метод)
Основу метода стоимостных регрессионных
зависимостей составляет посылка, что весомость Mi является монотонно
возрастающей функцией аргумента Si, выражающего денежные или трудовые затраты,
необходимые для обеспечения i-го свойства определенного уровня. Тогда, если
,
то при
должно
выполняться также условие:
. Зависимость
определяется
либо аналитическим способом, либо обработкой эмпирических данных. На основе
аналитического способа получается некоторая регрессионная зависимость. Таким
образом, то свойство изделия, которое требует для его получения больших затрат
(в денежном выражении), должно иметь большую весомость. Устанавливаемая
пропорциональность стоимостей определяет соотношение весомостей для всех
показателей свойств из расчета, что
,
где n - число рассматриваемых свойств изделия.
Данный метод применяют при выполнении следующих
основных условий:
¾ стоимостная зависимость определяется
для продукции, у которой цена соответствует необходимым затратам на ее создание
и эксплуатацию (это условие считается выполненным для продукции, которая
производится длительное время и пользуется устойчивым спросом, т.е. не является
ни остродефицитной, ни «неходовой»);
¾ число показателей качества, входящих
в стоимостную зависимость, существенно меньше числа вариантов продукции, по
которым построена стоимостная зависимость.
Вид стоимостной зависимости, как правило,
выбирают соответственно используемому комплексному показателю качества.
Например, если для комплексной оценки уровня качества используется средний
взвешенный геометрический показатель, то для построения регрессионной
зависимости между затратами и показателями качества целесообразно выбрать
следующее выражение:
где j-номер рассматриваемого варианта продукции
(j=1,2,…m);- номер рассматриваемого свойства или показателя качества
(i=1,2,…,n);
и
-
величины, полученные усреднением по всем вариантам продукции фактических затрат
и соответствующих показателей качества;
-параметры
аппроксимации, определяемые методом «наименьших квадратов».
В данном случае
,
т.е. коэффициенты весомости равны соответствующим параметрам аппроксимации или
коэффициентам регрессионной зависимости.
Достоинством этого метода является его простота.
Однако следует всегда иметь в виду, что стоимость (цена) - величина
непостоянная и зависит от многих факторов, поэтому со временем происходит ее
изменение. Следовательно, будет происходить и изменение соотношения весомостей
свойств. Этот фактор следует учитывать, ибо не учёт его может привести иногда к
абсурдным результатам.
.2 Метод предельных и номинальных
значений (вероятностный метод)
Этот метод используется в тех случаях, когда
имеется достаточно большое количество модификаций рассматриваемой продукции,
позволяющее использовать аппарат математической статистики, поэтому сам метод
иногда еще называют «методом статистической обработки проектов» или
вероятностным методом.
Основу метода предельных и номинальных значений
составляет посылка, что важность свойства характеризуется степенью приближения
номинального (среднего) значения показателя качества к его предельному
значению. Среди всех свойств изделия всегда стремятся приблизить к предельному
значению наиболее важные, определяющие свойства. Поэтому на основе
статистической обработки показателей качества существующих изделий, одного
назначения можно получить значения весомостей Mi отдельных показателей. Как
один из способов величины Mi можно получить следующим образом.
Если
есть
некоторая функция, показывающая степень приближения показателя Pi к показателю
Piб, его относительную оценку, то

где L - общее количество модификаций
рассматриваемой продукции или общее количество проектов;- относительный
показатель качества i-го свойства в l-м изделии или проекте.
Достоинство этого метода заключается в
возможности учитывать мнения очень большого числа проектировщиков, не прибегая
к непосредственному контакту с ними, вплоть до того, что может приниматься во
внимание и мнение тех проектировщиков, которых уже нет в живых. Недостатком
метода является сравнительно большая трудоемкость расчетов.
Метод предельных и номинальных значений
показателей качества продукции при нахождении параметров их весомости может
использоваться при наличии предельных значений показателей Piпр и известных
данных о средних статистических (номинальных) значениях показателей Piн. При
проведении комплексной оценки уровня качества продукции с помощью среднего
взвешенного арифметического и геометрического показателей параметры весомости
отдельных свойств рекомендуется рассчитывать по следующим формулам,
соответственно:
а)
;
б)
.
2.3 Метод эквивалентных соотношений
Метод эквивалентных соотношений при определении
параметров весомости показателей качества продукции можно применять в том
случае, когда известно, что:
¾ при исходной величине рассматриваемого
i-го показателя качества продукции определенные потребности при использовании
данной продукции по назначению будут удовлетворяться ее объемом V;
¾ при улучшении исходного показателя
качества на
удовлетворение тех
же потребностей будет производиться на
меньшим
объемом этой продукции.
Все это говорит о том, что метод эквивалентных
соотношений следует применять в случаях, когда удается обосновать, какому
относительному изменению количества продукции
эквивалентно,
с точки зрения общего эффекта от использования продукции по назначению,
относительное изменение соответствующего показателя качества
или
на сколько процентов можно, например, уменьшить число единиц продукции, чтобы
удовлетворить те же потребности при изменении значения данного показателя
качества на один процент. При наличии указанных условий коэффициенты весомости
могут быть рассчитаны, например, с использованием следующей формулы:
Недостатком этого метода является то, что его
нельзя использовать для определения параметров весомости показателей качества
продукции, не связанных непосредственно с эффективностью ее использования
(например, эстетических, эргономических и некоторых др.)
.4 Экспертный метод
В соответствии с одним из основных принципов
квалиметрии каждое свойство продукции, находящееся на любом уровне
иерархической структуры её качества (дерева свойств), количественно,
определяется в полной мере двумя числовыми характеристиками: относительным
показателем Kij и коэффициентом весомости Mij. Где j - номер оцениваемого
свойства (j=1,2,3,...,n), располагающегося на i-ом уровне иерархической
структуры качества объекта (i=1,2,3,…,m). При использовании дифференциального
метода оценки уровня качества продукции, весомости отдельных свойств,
определяющих её качество, не учитываются, и это является одним из недостатков
данного метода. В случае же оценки уровня качества продукции комплексным
методом целесообразно учитывать весомости отдельных свойств, определяющих её
качество. Таким образом, возникает задача количественной оценки весомости
учитываемых свойств продукции и определения их коэффициентов весомости Mij.
Все используемые на практике методы решения этой
задачи можно разделить на две группы:
- аналитические;
- экспертные.
Причём, при разработке методик оценки уровня
качества, различных объектов предпочтение, как правило, отдают экспертным
методам в силу их универсальности, простоты реализации, ''гибкости'' и
достаточно высокой достоверности получаемых на их основе результатов, оценки
весомости свойств различных объектов.
Обычно одновременно применяется несколько
методов для определения одного и того же показателя. Рассмотрим для примера
экспертный метод оценки показателя. Допустим, число экспертов - N, оценка
каждого эксперта - pi. Оценки должны быть независимы. Желательно для повышения
точности оценки проводить несколько туров опросов m. Тогда в одном туре средняя
оценка показателя равна:
Окончательная оценка по всем турам равна:
Самым простым из всех экспертных методов оценки
весомости свойств объектов является метод предпочтения. При использовании этого
метода от каждого эксперта требуется пронумеровать весомости в порядке их
предпочтения. При этом весомости наименее предпочитаемого свойства (наименее
важного свойства) эксперт должен присвоить номер 1, следующему по важности
свойству - номер 2 и т.д.. На основе полученных таким образом экспертных оценок
рассчитываются коэффициенты весомости всех выделенных для оценки свойств с
использованием следующего аналитического выражения:
r n
r
Мi = Σ
Wik
/ Σ Σ
Wik,
k=1 i=1 k=1
где Wik - место, на которое поставлено i-ое
свойство с учётом его весомости k-ым экспертом;- количество экспертов,
участвовавших в экспертизе;- количество оцениваемых свойств.
Весьма близок к рассмотренному методу, как по
процедуре опроса экспертов, так и по обработке результатов экспертизы так
называемый метод ранга. При реализации этого метода эксперты должны осуществить
прямое оценивание важности каждого выделенного свойства по шкале относительной
значимости в диапазоне значений оценок от 1 до 10. Причём, экспертам разрешено
по этой шкале выставлять оцениваемым свойствам не только целые, но и дробные
значения оценок, кроме того, одинаковые значения оценок одинаково значимым на
их взгляд свойствам. Для определения искомых значений коэффициентов весомости
оцениваемых свойств предлагается использовать при этом следующие формулы:
r r
n
Мi = Σ
Мik
/ Σ Σ
Мik,
k=1
k=1
i=1 n
где Мik
= Pik / Σ
Pik, i=1
причём Pik - абсолютное значение оценки
весомости i-ого свойства, определенное по 10-балльной шкале k-тым экспертом.
Наиболее широкое распространение на практике
получили методы попарного сопоставления (первый, второй метод попарного
сопоставления, а также метод полного попарного сопоставления), которые по
сравнению с другими экспертными методами оценки весомости свойств объектов
характеризуются наиболее высоким уровнем достоверности получаемых результатов
оценки.
Используя второй метод попарного сопоставления,
эксперты сравнивают пары свойств и определяют преимущество одного из них над
другими не с помощью специальной матрицы, а просто анализируя свойства и
подчёркивая предпочтительное свойство в каждой из представленных им комбинаций
или пар свойств вида:
свойство 1 - свойство 2
свойство 7 - свойство 15
свойство 4 - свойство 1 и т.д.
При этом расчётные формулы для определения
коэффициентов весомости оцениваемых свойств объектов используются те же, что и
в предыдущем случае.
Метод полного попарного сопоставления
принципиально отличается от первого и второго методов попарного сопоставления
методикой проведения опроса экспертов, и его суть заключается в следующем:
Чтобы избежать возможных ошибок, связанных с
тем, что какому-то i-ому свойству экспертами может отдаваться предпочтение с
точки зрения его важности по сравнению со свойством i’ не потому, что оно
действительно является более значимым, а потому, что при сравнении этих свойств
по второму методу попарного сопоставления его случайно поставили первым в паре,
сравнение предлагается производить не только в порядке ''свойство i - свойство
i’ '', но и в обратном порядке ''свойство i’ - свойство i''.
Расчётные формулы при этом остаются прежними, за
исключением формулы для определения параметра С, который в данном случае
рассчитывается следующим образом:
=n(n-1).
Метод последовательных сопоставлений можно
рассматривать как некоторую компиляцию метода предпочтения и метода ранга. При
его реализации от экспертов требуется расположить весомости оцениваемых свойств
в порядке их предпочтения. Наиболее важному свойству при этом присваивается
коэффициент весомости М1=1.0, а всем остальным - в порядке убывания их
значимости коэффициенты весомости в диапазоне от 1.0 до 0. Обработка
результатов опроса экспертов в этом методе производится по формулам метода
ранга.
Этот способ основан на усреднении оценок
весомостей, даваемых группой экспертов. Он отличается гибкостью, наглядностью и
привычностью. Действительно, каждому человеку на протяжении всей его жизни не
раз приходилось участвовать в решении той или иной проблемы путем голосования,
что можно рассматривать как одну из простейших разновидностей экспертного
способа. Благодаря отмеченным преимуществам экспертного способа, весомость Мj
определяется на его основе в подавляющем большинстве методик оценки качества.
3. Оценка уровня качества
разнородной продукции
Для комплексной оценки уровня качества
совокупности видов продукции (разнородной продукции) применяют индексы качества
продукции. Под индексом качества продукции понимают комплексный показатель
качества разнородной продукции, выпущенной за рассматриваемый интервал, равный
средне взвешенному относительных значений показателей качества различных видов
этапов продукции.
Индексы качества продукции целесообразно
применять:
¾ при оценке уровня качества
разнородной продукции, выпускаемой одним предприятием;
¾ при оценке уровня качества
продукции, выпускаемой несколькими предприятиями, объединениями и отраслями;
¾ при оценке качества уровня
продукции, выпускаемой районом, областью, республикой;
¾ при анализе динамики качества
разнородной продукции за несколько лет;
¾ при сравнении работы предприятий,
объединений и отраслей по выполнению планов повышения уровня качества
продукции;
¾ при подведении итогов соревнования и
выборе мер стимулирования с учетом качества выпускаемой продукции;
¾ при обработке информации о качестве
продукции в автоматизированных управлениях.
При оценке уровня качества разнородной продукции
должны соблюдаться следующие общие правила:
Уровень качества разнородной продукции
целесообразно оценивать с помощью средних взвешенных геометрических индексов
качества, для которых используются комплексные показатели качества продукции
одного вида. Коэффициенты их весомости соответствуют удельным весам (доле)
производства отдельных видов продукции в общей ее массе.
Комплексный показатель (индекс) качества
продукции для вышестоящего звена управления должен определяться на основе
аналогичных комплексных показателей (индексов) качества продукции для звеньев
управления, непосредственно подчиненных данному звену.
Коэффициенты весомости, соответствующие удельным
весам производства отдельных видов продукции, характеризуют плановое
распределение общих затрат и является оптимальными с точки зрения потребностей
народного хозяйства. При этом коэффициенты весомости должны оставаться
стабильными в течение рассматриваемого промежутка времени.
Индексом качества продукции называется
комплексный показатель качества разнородной продукции, равный среднему
взвешенному значению относительных показателей качества различных видов
продукции за рассматриваемый период. Индексы качества используют при
составлении планов повышения качества и проверке их выполнения, при сопоставлении
качества продукции различных предприятий, при оценке стабильности производства
и в других случаях.
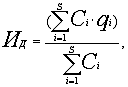
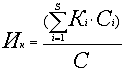
Наиболее часто индекс качества вычисляют на
основе главного показателя. Обычно это производительность или долговечность
изделий. Главный показатель качества может быть комплексным.
Для нескольких s видов продукции индекс качества
вычисляется по формуле:
где Ki-относительный показатель качества i-го
вида продукции;количество изделий i-го вида или объём i-й продукции в текущем
периоде;
Цi - оптовая цена продукции i-го вида, руб.
Если сумма, на которую выпущена продукция i-го
вида,
а общая сумма, на которую выпущена продукция
всех видов,

Когда оцениваемая продукция имеет сортность, в
роли индекса качества можно применить коэффициент сортности, равный отношению
фактической стоимости выпущенной продукции в оптовых ценах к её условной
стоимости при допущении, что вся она выпущена высшим сортом:
где s - количество видов продукции;количество
сортов продукции;
Цiк- цена продукции i-го вида k-го сорта;к -
объем выпуска продукции i-го вида k-го сорта;
Цi1 - цена продукции i-го вида наивысшего сорта.
Видами индексов качества являются коэффициент и
индекс дефектности продукции. Они характеризуют качество продукции, находящейся
в процессе изготовления, и используются при оценке качества труда в отдельных
производственных подразделениях (цех, участок).
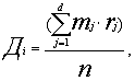
Коэффициент дефектности - среднее взвешенное
количество дефектов, приходящееся на единицу продукции i-го вида:
где d - число видов дефектов в данной
продукции;- коэффициент весомости дефектов j-го вида;- число дефектов j-го
вида;- >объём выборки продукции.
Коэффициенты весомости mj можно определять
экспертным методом или принимать пропорциональными стоимости устранения
дефектов.
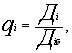
Относительный показатель дефектности продукции
i-го вида
где Дiб - базовое значение коэффициента
дефектности, принятое по результатам работы предприятия в прошлом периоде
(году, месяце и т.д.).
Если вычислены значения qi для всех s видов
продукции, то индекс дефектности разнородной продукции:
где Ci - сумма, на которую выпущено продукции
i-го вида за рассматриваемый период.
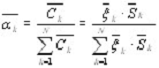
Определение индексов качества продукции.
Основным показателем, применяемым при
комплексной оценке качества разнородной продукции, является средний взвешенный
геометрический индекс качества, вычисляемый по формуле:
=
где
-
относительный показатель качества (уровень качества) k-го вида продукции,
определяемый следующим образом:
; k= 1,…, N
где
-
единичный или комплексный показатель качества k-го вида продукции;
- базовый
показатель k-го вида продукции;- число различных видов продукции;
- относительный
объем k-го вида продукции (коэффициент весомости), определяемый на основании
следующего соотношения:
причем,
- объем выпуска
продукции k-го вида в денежном выражении (в отпускных ценах).
Для штучной продукции можно записать следующие
соотношения:
где
-
выпускаемое количество изделий k-го вида продукции;
- отпускная цена
k-го вида продукции.
Для коэффициентов весомости, соответствующих
плановым заданиям и характеризующих плановое распределение общих затрат можно
записать следующие выражения:
,
Величины
,…,
являются оптимальными с точки зрения потребностей народного хозяйства. Если в
ходе выполнения плана целесообразно скорректировать количество выпускаемой
предприятием продукции каждого вида и отвечающее им распределение затрат, что
величины
должны
соответствовать исправленным плановым заданиям.
Для упрощения расчетов вместо среднего
взвешенного геометрического индекса можно применить средний взвешенный
арифметический индекс, когда усредняемые исходные относительные показатели Kок
сравнительно мало отличаются друг от друга.
Средний взвешенный арифметический индекс
качества вычисляется по формуле:
Возможность замены среднего взвешенного
геометрического индекса качества на арифметический оценивается по величине
относительной погрешности. Emax,
определяемой по формуле:
,
В тех случаях, когда на предприятии выпускается
продукция нескольких сортов, то за относительный показатель качества продукции
(
)
принимается коэффициент сортности (
),
определяемые как отношение фактической стоимости продукции в оптовых ценах к
условной стоимости (т.е. стоимость при условии, что вся продукция будет
выпущена высшим сортом):
где N
- количество видов продукции;
M - количество
сортов продукции;
- стоимость
продукции k-го вида j-го
сорта в руб.;
- объем выпуска
продукции k-го вида j-го
сорта;
- стоимость
продукции k-го вида наивысшего
сорта.
Индексы качества разнородной продукции,
определенные для разных звеньев управления, позволяют построить согласованную систему
комплексных показателей качества, отвечающую потребностям народного хозяйства
структурная схема построения индексов качества продукции разных звеньев
управления (I, II,
III) может быть
представлена следующим образом: где
-
виды промышленной продукции.
Средний взвешенный геометрический индекс
качества для группы предприятий (промышленного объединения, района)
строиться
аналогично среднему взвешенному геометрическому индексу предприятия
и
определяется по формуле:
,
где N
- число предприятий в группе (объединений, районе);
- относительный
объем продукции (коэффициент весомости) k-го предприятия;
- индекс качества
продукции k-го предприятия.
При относительно небольшом различии усредняемых
индексов качества вместо среднего взвешенного геометрического индекса качества
можно применять средний взвешенный арифметический индекс:
Список литературы
качество продукция индекс
разнородный
1. Аскаров
Е.С. Основы квалиметрии. − Алматы 2010. − С. 93-130.
2. Ребрин
Ю.И. Управление качеством. / Электронное учебное пособие. − Таганрог:
Изд-во ТРТУ, 2004.
. Интернет
ресурс, http://www.support17.com/.
. Интернет
ресурс, http://de.ifmo.ru/bk_netra/page.php?dir=1&tutindex=18&
index=8&layer=1.