Товароведение и экспертиза однородных групп товаров

  • Вид работы:
    Контрольная работа
  • Предмет:
    Маркетинг
  • Язык:
    Русский
    ,
    Формат файла:
    MS Word
    50,78 kb
  • Опубликовано:
    2011-09-17
Вы можете узнать стоимость помощи в написании студенческой работы.
Помощь в написании работы, которую точно примут!

Товароведение и экспертиза однородных групп товаров

Министерство образования и науки РФ

Федеральное агентство по образованию РФ

Московский Государственный Университет Технологий и Управления










Контрольная работа

По дисциплине: "Товароведение и экспертиза однородных групп товаров"


Выполнила: Николаева О.А.

Группа: 2

Специальность - 080401 "Товароведение и таможенная экспертиза товаров"

Проверил преподаватель: Барауля Е.В.


г. Ростов-на-Дону 2010г.

1. Товароведная классификация непродовольственных товаров

Непродовольственный товар: продукт производственного процесса, предназначенный для продажи его гражданам или субъектам хозяйственной деятельности, но не с целью употребления его в пищу человеком и (или) представителями животного мира.

Важнейшими классификационными признаками непродовольственных товаров являются:

назначение (обувные, одежные товары);

исходные материалы (резиновая и кожаная обувь);

особенности конструкции (костюмы и комплекты одежды);

способ производства (посуда выдувная и прессованная).

В товароведении классификация позволяет объединить в родственные группы большое количество товаров, находящихся в сфере обращения, что дает возможность упорядочить терминологию; облегчить учет спроса, изучение потребительских свойств и ассортимента товаров; совершенствовать учет товаров и отчетность в торговой деятельности и т.п.

Объектом классификации в товароведении является товар.

Высшей ступенью классификации товаров является класс.

Классы, подклассы и группы составляют общую товароведную классификацию потребительских товаров (таблица 1). Де­ление групп однородных товаров на подгруппы, виды, разновидности и наименования относится к частной товароведной классификации.

Класс товаров - это множество товаров, удовлетворяющих обобщенные группы потребностей.

Подкласс - множество товаров, удовлетворяющих группы потребностей, имеющих определенные различия.

Группа товаров - подмножество товаров, удовлетворяющих специфичные группы потребностей, что обусловлено особенностями сырья, материалов, конструкций.

Подгруппа - подмножество товаров, имеющих с группой основное назначение, но отличающихся от товаров других подгрупп только им присущими признаками.

Вид товара - совокупность товаров, отличающихся индивидуальным назначением и идентификационными признаками.

Разновидность товара - совокупность товаров одного вида, отличающихся рядом частных признаков.

Таблица 1.1. - Общая классификация непродовольственных товаров.

№ п/п

Класс: непродовольственные товары или промышленные товары


Подклассы

Группы однородных товаров


Товары


Текстильные и одежно-обувные


1


Текстиль

2


Одежда

3


Обувь


Галантерейные и ювелирные


1


Галантерейные

2


Ювелирные


Гигиенические


1


Парфюмерные

2


Косметические


Культурно-бытовые


1


Часы

2


Канцелярские

3


Транспортные средства

4


Спортивные

5


Музыкальные

6


Фото - и кинотовары

7


Аудио - и видеокассеты

8


Книги, журналы

9


Товары для отдыха


Хозяйственные


1

2


Посуда

3


Бытовая техника

4


Бытовые химические товары

5


Стройматериалы

6


Сельскохозяйственные товары


Нефтепродукты и смазочные материалы


1


Нефть

2


Нефтепродукты

3


Смазочные материалы


Биотовары


1


Цветы

2


Зоотовары

3


Предметы ухода за ними и корма


Классификация играет важную роль в любой области человеческой деятельности как способ упорядочения исследуемых явлений, свойств, материалов.

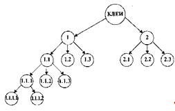
Для классификации товаров используют два метода: иерархический и фасетный.

При иерархической системе классификации товары подразделяют на подчиненные подмножества, составляющие единую систему с взаимосвязанными подразделениями (группа, подгруппа, вид, подвид и т.п.) объектов, сходных хотя бы по одному признаку.

В качестве примера на рис.1.1. изображена иерархическая система классификации клеев.

Клеи классифицируют на:

- природные;

- синтетические;

Природные клеи (1) подразделяют на:

.1 - животные;

.2 - растительные;

.3 - минеральные.

Рис.1.1. Классификация клеев

В свою очередь природные клеи животного происхождения (1.1) подразделяют на коллагеновые (1.1.1), казеиновые (1.1.2) и альбуминовые (1.1.3).

К коллагеновым клеям (1.1.1) относятся мездровый (1.1.1.1) и костный (1.1.1.2) клеи и т.д.

Подобным образом классифицируются другие виды клеев, например, синтетические (2) подразделяют на клеи на основе термопластичных смол (2.1), клеи на основе термореактивных смол (2.2), клеи на основе синтетических каучуков (резиновые) (2.3) и т.д.

При фасетной системе классификации предусматривается разделение товаров на отдельные, независимые друг от друга параллельные группы (фасеты) на основе какого-либо признака в каждой из этих групп.

Фасетная классификация отличается большой гибкостью и позволяет в каждом отдельном случае ограничивать подразделение множества товаров лишь несколькими группами, которые представляют интерес в каждом конкретном случае.

Вышеуказанная группа "Клеи" может быть, например, с использованием фасетного метода классифицирована по назначению по схеме, изображенной на рис. 1.2.

Рис.1.2. Схема классификации клеев по назначению:

- клеи для древесины;

- клеи для кожи;

- клеи универсальные;

- клеи канцелярские;

п - прочие

В ряде случаев используют сочетание иерархического и фасетного методов классификации.

Непродовольственные товары согласно торговой системе классификации делят на следующие товарные группы: товары из пластических масс; бытовые химические товары; силикатные товары; строительные товары; металлические товары; электротовары и бытовые машины; текстильные товары; швейные товары; трикотажные товары; пушно-меховые и овчинно-шубные товары; галантерейные товары; парфюмерно-косметические товары; ювелирные товары и часы; товары культурно-бытового назначения. В особую группу выделяют книги и другую печатную продукцию.

Выше перечисленные группы товаров могут разукрупняться или укрупняться за счет объединения нескольких групп или выделения новых. Например, группа силикатных товаров часто разделяется на две группы: стеклянные товары и керамические товары.

Общую группу товаров культурно-бытового назначения нередко разукрупняют на ряд самостоятельных групп: музыкальные товары, игрушки и т.д.

В связи с тем, что в торговой практике достаточно широко используется организация торговли с учетом потребностей покупателей в торговой классификации предусматривается подразделение товаров по потребительским комплексам (например, "Товары для детей", "Одежда", "Товары для строительства", "Товары для дома" и т.п.).

Классификация товаров необходима для автоматизации учета и обработки информации о продукции в различных сферах деятельности, для изучения потребительских свойств и качества товаров, а также при планировании масштабов деятельности и составлении прейскурантов и каталогов.

2. Упаковка товаров. Классификация. Требования к упаковке

Согласно ГОСТу 17527-2003 "Упаковка. Термины и определения" под упаковкой понимается средство или комплекс средств, обеспечивающих защиту продукции от повреждений и потерь, окружающей среды, загрязнений, а также обеспечивающих процесс обращения.

Элементами упаковки являются тара, упаковочные или перевязочные материалы. Тары - элемент, разновидность упаковки. Упаковочный материал- бумага, фольга, мешковина, картонные коробки. Перевязочный материал - дополнительный элемент упаковки для повышения прочности.

Основная функция упаковки - защита от внешних условий (грызуны, внешняя среда). Вспомогательная функция-носитель маркировки.

Перемещение продукта от производителя к потребителю является неминуемой предпосылкой реализации его потребительной стоимости. При этом важно обеспечить полную сохранность количества, качества и товарного вида продукции на всем пути ее следования. С целью защиты продукции от механических, климатических, биологических и других воздействий и обеспечения ее качественной сохранности при транспортировании и хранении применяют различные виды тары и упаковки. Имея оригинальную маркировку, упаковка выполняет рекламную функцию, доводит до потребителя первые сведения о продукции и правила обращения с ней. Рекламная маркировка на потребительской таре (упаковке) воздействует на покупательский спрос. При транспортировании и хранении огнеопасных, взрывчатых и ядовитых продуктов упаковка обеспечивает защиту человека и окружающей среды от вредного воздействия указанных материалов. Упаковка характеризуется многообразием видов, типов конструкций, разнообразием применяемых для ее изготовления материалов и широтой сфер применения. Это обуславливает ее классификацию. Все многообразие упаковки по своему функциональному назначению подразделяется на транспортную и потребительскую (упаковку). Особую группу составляет тара-оборудование, представляющее собой изделие для размещения, транспортирования, временного хранения и продажи из него товаров методом самообслуживания. По применяемым материалам упаковка бывает деревянная, картонная, бумажная, металлическая, полимерная, тканевая, стеклянная и из комбинированных материалов. По размерам различают крупногабаритную и малогабаритную тару. К крупногабаритной относится транспортная тара, размеры которой превышают 1200х1000х1200 мм. В зависимости от кратности использования различают разовую, возвратную и многооборотную упаковку. Разовая упаковка предназначена для однократного использования при поставках продукции. Возвратная упаковка - это упаковка, бывшая в употреблении и используемая повторно. Многооборотная упаковка предназначена для многократного ее использования при поставках продукции. Отличается прочностными показателями и организационно-юридическими условиями сдачи и возврата. По степени жесткости конструкции, то есть по способности к сопротивлению внешним воздействиям и сохранению своей первоначальной формы, различают жесткую, мягкую и полужесткую тару. Жесткая тара не меняет своих форм и размеров при заполнении продукцией и при транспортировании и хранении продукции способна выдерживать внешние воздействия. Форма мягкой тары существенно меняется при заполнении ее продукцией. Полужесткая тара менее устойчива к внешним воздействиям, но при незначительной деформации после заполнения товаром сохраняет в основе свою первоначальную форму. По конструктивному исполнению тару подразделяют на неразборную, разборную и разборно-складную. В зависимости от наличия крышки или другого укупорочного средства тара бывает закрытая и открытая. Различают тару плотную, детали которой соединены между собой без просветов, и решетчатую, детали которой соединены между собой с заданными просветами. По герметичности тара разделяется на герметичную и негерметичную. Разновидностями герметичной тары является пыле-, свето-, жиро -, газо- и паронепроницаемая тара. А также, по свойствам упаковочных материалов, исходя из специфики функционального назначения и особенностей конструктивных исполнений, различают изотермическую, и изобарическую, и аэрозольную тару. Изотермическая - это тара, внутри которой сохраняется заданная температура в течение определенного времени. Изобарическая - это герметичная тара, внутри которой сохраняется заданное давление. Аэрозольная тара - это изобарическая тара с распылительным клапаном, придающим продукции при ее потреблении аэрозольное состоянии. По принадлежности и условиям использования тару делят на производственную, инвентарную и складскую. Производственная тара предназначена для хранения, перемещения и складирования сырья, заготовок, деталей, сборочных единиц, готовой продукции, а также отходов в производстве. Инвентарная тара - это многооборотная тара, принадлежащая конкретному предприятию и подлежащая возврату данному предприятию. Складская тара представляет собой разновидность транспортной тары, используемой для приемки, хранения и комплектации продукции в складских условиях. Тару, обеспечивающую защиту упакованной продукции от воздействия радиоактивных и отравляющих веществ, а также бактериальных (биологических) средств, называют защитной. Существует также экспортная тара, предназначенная для поставки продукции за границу, и импортная тара. В зависимости от сферы применения различают универсальную и специализированную тару. Первую используют для упаковывания, транспортирования и хранения различных видов продукции. Вторую - для одной какой-либо определенной продукции или для определенных условий эксплуатации. Как правило, в контрактах различают внешнюю (наружную или транспортную) тару (ящики, деревянные или металлические барабаны, бочки, клети, бидоны, фляги, картонные коробки, бумажные жесткие пакеты, мешки, контейнеры и т. д.) и внутреннюю (первичную или потребительскую) упаковку. Последнюю применяют для каждого изделия или какой-то определенной части, массы или объема продукции. Она является неотделимой частью товара (пленочные и бумажные пакеты, коробки, тюбики, флаконы, банки из стекла и железа, бутылки.). Потребительская упаковка попадает с продукцией непосредственно к потребителю, является неотъемлемой частью товара и входит в его стоимость. Такая упаковка не предназначена, как правило, для самостоятельного транспортирования и не создает самостоятельную транспортную единицу, имеет ограниченную массу, вместимость и размеры. Транспортная упаковка составляет отдельную самостоятельную транспортную единицу и используется для перевозки товаров в потребительской упаковке или неупакованной продукции. Производственная упаковка используется как часть технологии при организации производственного процесса на одном или нескольких предприятиях и не предназначена для реализации продукции в розничной торговой сети. Консервирующая упаковка необходима для долгосрочного сохранения сырья, материалов, изделий, снаряжения, техники, а также опасных отходов (химических, радиоактивных и т.д.). Деление упаковки по назначению на классы потребительская, транспортная, производственная и консервирующая носит более общий характер, чем классификация по отраслевому принципу (пищевая, машиностроительная, химическая, и т.п.), либо по степени защитных свойств (групповая, от механических повреждений, влагостойкая, паронепроницаемая, изобарическая упаковка и д.р.). На следующем уровне упаковку делят по составу на тару и вспомогательные упаковочные средства. Тара является наиболее важным, а иногда и единственным элементом упаковки, который представляет собой изделие для размещения продукции, выполненное в виде замкнутого или открытого корпуса. Тара (Т) осуществляет функции упаковки (У) самостоятельно или в сочетании со вспомогательными упаковочными средствами (ВУС), которые являются другими элементами упаковки. Таким образом, вообще упаковка это совокупность, которая изображается формулой У= Т+ ВУС, а в отдельных случаях У=Т, или У= ВУС Третий уровень классификации тары и вспомогательных упаковочных средств проводится по признаку конструкции (типу), который определяет форму, размеры, соотношения и способы соединения элементов По этому признаку потребительская тара делится на тубы, банки, бутылки, пакеты и т.д. Транспортная тара на мешки, ящики, бочки, канистры, барабаны и т.п. К основным конструкциям вспомогательных упаковочных средств, которые используются в потребительской и транспортной упаковке, относятся укупорочные средства, этикетки, покрытия, обертки, герметизирующие, скрепляющие и амортизирующие элементы, вещества, которые создают защитную атмосферу внутри упаковки и т.п. Четвертым уровнем классификации являются материалы, из которых изготовляется тара (тароматериал) и вспомогательные упаковочные средства. По этому признаку тара делится на следующие основные виды, металлическая, бумажная, картонная, стеклянная, деревянная, полимерная, комбинированная. Иногда выделяют в отдельную подгруппу тканую, нетканую и сетчатую тару Однако, такое выделение носит искусственный характер, поскольку материалы для этого подтипа тары являются, по сути, натуральными или синтетическими полимерами. Для изготовления вспомогательных упаковочных средств используют все виды тароматериалов, а также корку, смазки, инертные газы, ингибиторы коррозии и т.п. На пятом уровне классификация выполняется по признаку технологии изготовления: клееная, сварная, сшитая, термоформованная, отлитая под давлением, выдувная тара ВУС, кроме того, могут быть по технологии изготовления поливными, промазанными, напыленными, компаундными, печатными и т.п. Вспомогательными признаками (подклассами) для классификации упаковки могут быть стабильность размеров (жесткая, полужесткая, мягкая), компактность (разборная, неразборная, складная), цвет, прозрачность, фактура и текстура поверхности, художественное оформление.

К упаковке предъявляют следующие основополагающие требования:

) Безопасность упаковки означает, что содержащиеся в ней вредные для организма вещества не могут перейти в товар, непосредственно соприкасающейся с упаковкой. Безопасность упаковки обеспечивается путем нанесения на нее защитных покрытий или ограничением сроков хранения изделий (полиэтиленовая или хлорвиниловая упаковка). Наиболее безопасна стеклянная и тканевая тара, наименее - металлическая и полимерная.

) Экологические свойства упаковки - способность упаковки при использовании или утилизации не наносить существенного вреда окружающей среде.

) Надежность упаковки - способность сохранять механические свойства или герметичность в течение длительного времени.

) Совместимость упаковки - способность не изменять потребительские свойства упакованных товаров. Для этого упаковка должна быть чистой, сухой, без признаков плесени и посторонних запахов.

) Взаимозаменяемость - способность упаковок одного вида заменить упаковки другого вида при использовании по одному функциональному назначению (например, ящики могут быть заменены контейнерами или картонными коробками.

) Экономическая эффективность - определяется её стоимостью, а так же ценой утилизации.

) Эстетические свойства - красивая упаковка. Важнейшая функция упаковки - сохранение товаров при неблагоприятных внешних воздействиях за счет собственной сохраняемости, безопасности для упакованных товаров, а так же совместимости упаковки и товаров. В этом заключается функциональное назначение упаковки.

3. Подготовка товаров к реализации

.Общие, к ним относятся

а) распаковка,

б) сортировка товаров,

в) проверка правильности обозначения цен,

г) придание изделиям товарного вида (чистка, утюжка),

д) укладка на тележки, в контейнеры, ящики, корзины для подачи в торговый зал,

е) размещение товаров в торговом зале,

ж) выкладка в зоне обслуживания покупателей или на рабочем месте продавца.

. Специальные, включают в себя:

а) комплектация ,сборка и монтаж изделий ,поступающих в разобранном виде,

б) устранение мелких дефектов ,накатку тканей ,нарезку электропровода,

в) фасовка отдельных товаров хозяйственного назначения.

Составные элементы процесса продажи товаров.

В случае отсутствия на индивидуальной упаковке товара маркировки предприятия-производителя, определенного законодательными актами и нормативными документами, товар к продаже не допускается.

В случае повреждения (потертость) маркировочного ярлыка предприятия-производителя субъект хозяйственной деятельности переносит все маркировочные данные на дубликат товарного ярлыка, который удостоверяет подписью лицо, ответственное за принятие товара. Дубликат товарного ярлыка прикрепляется к товару.

Продажа товаров является заключительным этапом технологического процесса на торговом предприятии.

товар непродовольственный упаковка

Список использованной литературы

1. Ходыкин А. П., Ляшко А. А., Волошко Н. И., Товароведение непродовольственных товаров: Учебник для средних специальных учебных заведений. - Москва.: Издательско-торговая корпорация "Дашков и К°", 2006г. - 540 с.

. А.Н.Неверов, Т.И.Чалых Товароведение и организация торговли непродовольственными товарами: Учебник для начального профессионального образования. - Москва: ПрофОбрИздат, 2001г. - 464 с.

. Козюлина Н.С. Товароведение непродовольственных товаров. Учебное пособие - Москва: Изд-во Дашкова, 2002г. - 368 с.

. Моисеенко Н.С. Товароведение непродовольственных товаров: Ч. 1. - Москва: Феникс - 2003г. - 320 с.

. Балаева С.И. Товароведение и экспертиза непродовольственных товаров - Москва: Дашков и К, 2008г. - 552 с.

. Николаева М.А. Теоретические основы товароведения - Москва: Норма, 2006г. - 448 с.


Не нашли материал для своей работы?
Поможем написать уникальную работу
Без плагиата!
Без нейросетей!