Исследование качества услуг, оказываемых ООО 'Галактика'

  • Вид работы:
    Дипломная (ВКР)
  • Предмет:
    Менеджмент
  • Язык:
    Русский
    ,
    Формат файла:
    MS Word
    220,08 kb
  • Опубликовано:
    2011-06-04
Вы можете узнать стоимость помощи в написании студенческой работы.
Помощь в написании работы, которую точно примут!

Исследование качества услуг, оказываемых ООО 'Галактика'

СОДЕРЖАНИЕ

ВВЕДЕНИЕ

.     СИСТЕМА МАРКЕТИНГА И МЕНЕДЖМЕНТА КАЧЕСТВА НА ПРЕДПРИЯТИИ

.1 Анализ системы маркетинга на предприятии

.2 Анализ системы менеджмента качества

. ОРГАНИЗАЦИОННО - ЭКОНОМИЧЕСКАЯ ХАРАКТЕРИСТИКА ООО«ГАЛАКТИКА»

2.1 Характеристика предприятия

.2 Характеристика продукта

.3 Организационная структура предприятия

.4 Анализ внутренней и внешней среды предприятия

. МЕТОДЫ ОПРЕДЕЛЕНИЯ ПОКАЗАТЕЛЕЙ КАЧЕСТВА

.1 Дерево качества услуг

.2 Анализ упорядоченности системы контроля качества

.3 Анализ упорядоченности и неупорядоченности системы управления качеством продукции

.4 Методы статистического контроля и управления качеством продукции

. ПРОЕКТНЫЕ МЕРОПРИЯТИЯ ПОВЫШЕНИЯ КАЧЕСТВА УСЛУГ

ЗАКЛЮЧЕНИЕ

БИБЛИОГРАФИЧЕСКИЙ СПИСОК

ПРИЛОЖЕНИЕ 1

ПРИЛОЖЕНИЕ 2

ПРИЛОЖЕНИЕ 3

ПРИЛОЖЕНИЕ 4

ВВЕДЕНИЕ

В настоящее время качество продукции является одним из важных факторов повышения уровня реализации, а, следовательно - оказывает большое влияние на финансовые показатели деятельности предприятия. Уровень качества выпускаемой продукции рассматривается как одно из важных показателей конкурентоспособности фирмы и является важнейшим показателем рынка совершенной конкуренции.

В условиях развития рыночных отношений повышение качества продукции свидетельствует, прежде всего, о том, что данные рыночные отношения носят полноценный характер, когда рынок товаров и услуг ориентирован на потребителя.

За счет повышения качества продукции фирма может стимулировать потребительский спрос и, тем самым, повышать величину продаж. Поэтому проблема повышения уровня продаж путем повышения качества продукции и обслуживания является, сегодня особо актуальной.

Цель данной работы - проанализировать качество продукции на данном конкретном предприятии.

Для реализации поставленной цели работы поставлены следующие задачи:

изучение технико-организационной структуры предприятия;

изучение специфики услуг, оказываемых предприятием, и показателей качества услуг;

изучение методов оценки показателей качества услуг;

исследование действующей системы менеджмента качества на предприятии;

оценка качества оказываемых услуг с применением статистических и расчетных методов контроля качества;

выявление проблем предприятия в области качества;

предложение методов повышения качества услуг;

составление плана и программы мероприятий по повышению качества услуг.

1.     
СИСТЕМА МАРКЕТИНГА И МЕНЕДЖМЕНТА КАЧЕСТВА НА ПРЕДПРИЯТИИ

услуга качество оценка

Управление качеством продукции и маркетинг всегда тесно связаны на тех предприятиях, которые выживают в условиях современной конкуренции за счет повышения качества продукции. Управление качеством продукции включает в себя процесс сбора и анализа информации о качестве продукции. Маркетинг также представляет собой процесс сбора и анализа информации, но только о внешней среде.

Взаимодействие маркетинга и системы управления качеством продукции позволяет применять системный подход, который заключается в том, что изучаемые явления рассматриваются в системе - то есть как отдельные элементы системы, взаимосвязанные между собой.

В данном случае, маркетинг изучает внешнюю среду (анализ SWOT, выявление СТЭПП - факторов и т. д. ), благодаря которому руководство предприятия формирует видение о качестве услуг (качество как соответствие рыночным требованиям). А менеджмент качества услуг изучает внутренний потенциал предприятия.

Первые стадии управления качеством продукции - проектирование и постановка на серийное производство новой продукции - реализуются только после того, как буду проведены тщательные маркетинговые исследования рынка потребителей этой продукции. Последняя стадия управления качеством продукции - сбыт и реализация, послепродажное обслуживание, изучение степени удовлетворенности потребителей, дополнительных их требований к качеству продукции и предоставленных услуг - также основная задача маркетинга. Другими словами, для управления качеством продукции маркетинг незаменим и является неотъемлемым и составным элементом комплексной системы управления качеством продукции.

Процесс взаимодействия между маркетингом и управлением качеством продукции можно представить в виде схемы, представленной на рисунке 1.


Как видно на рисунке 1. 1, на первых стадиях, когда предприятию необходимы данные о требованиях потребителя, система маркетинга анализирует потребительский рынок. Результатом такого анализа является представление информации о качестве продукции, которая поступает на предприятие. В системе управления качеством продукции на основе полученной информации анализируется фактическое качество по отношению к требуемому. Результатом данного процесса являются управленческие решения в системе управления качеством продукции, которые призваны воздействовать на внешнюю среду. Уровень воздействия управленческих решений в системе управления качеством продукции на внешнюю среду также анализируется системой маркетинга.

Данная взаимосвязь системы маркетинга и системы управления качество продукции отражена в Цикле Деминга (рис. 2). Управление качеством продукции развиваясь циклически, проходит через определенные этапы. Такой цикл называется циклом Деминга, а его реализация - оборотом цикла Деминга.

Согласно данному циклу, управление качеством продукции можно рассматривать как последовательность прохождения следующих этапов:

план;

реализация;

проверка;

исправление.


Цикл Деминга может иметь от двух оборота и более. Реализация данного цикла обеспечивает повышение качества продукции. При умелой реализации цикла Деминга можно ожидать наибольшей эффективности работы предприятия при наименьших затратах.

1.1 АНАЛИЗ СИСТЕМЫ МАРКЕТИНГА НА ПРЕДПРИЯТИИ

Рассмотрим действующую систему маркетинга на предприятии ООО «Галактика». Для проведения сбора и анализа информации о внешней среде в ООО «Галактика» существует отдел маркетинга.

Отдел маркетинга является службой, наиболее тесно связанной с потребителем, и он непосредственно несет ответственность за комплекс мер по организации управления производственной и сбытовой деятельностью предприятия, а также за подготовку плана разработки новой продукции, отвечающей требованиям потребителей.

Функциями отдела маркетинга являются:

комплексное изучение рынка с точки зрения спроса, качества продукции, ее цены, объемов и сроков поставки;

планирование товарного ассортимента;

политика цен;

реклама и стимулирование сбыта;

управление сбытом и послепродажным обслуживанием;

обеспечение обратной связи - передача информации от потребителя к изготовителю о качестве продукции и требованиях по его увеличению.

Отдел маркетинга ООО «Галактика» анализирует информационные потоки непосредственно от потребителей, работников отдела по работе с пользователями, а также работников по сбыту программного продукта.

Работа с потребителями: в 2007 году отдел маркетинга ООО «Галактика» проводил социальные опросы среди обслуживаемых клиентов, с помощью чего регистрировалась информация о потребительских предпочтениях.

Контакт с отделом по сбыту программного продукта: отдел сбыта передает отделу маркетинга отчет об объемах продаж, в целом и по видам программного продукта. При наличии информации об объеме и масштабе рынка, отдел маркетинга формирует оценку доли рынка, занимаемой ООО «Галактика».

Контакт с отделом по работе с пользователями: отдел маркетинга получает от отдела по работе с пользователями регистрирующуюся информацию о запросах, вызовах и т. д.

1.2 АНАЛИЗ СИСТЕМЫ МЕНЕДЖМЕНТА КАЧЕСТВА

Система менеджмента качества представляет собой совокупность взаимосвязанных и взаимодействующих процессов контроля качества продукции. Система менеджмента качества организации направлена на повышение удовлетворенности потребителей путем постоянного выполнения их потребностей.

Условия действия системы менеджмента качества:

1. Наличие необходимого технологического оборудования, контрольно-измерительных средств, оснастки, энергетических, сырьевых и материальных ресурсов, инфраструктуры и квалифицированных кадров для выполнения производственных процессов.

2. Документальное оформление процедур на всех стадиях жизненного цикла продукции.

. Совместимость действий персонала в сферах производства, контрольных операций и испытаний готовой продукции в соответствии с действующей нормативной документацией.

. Планирование и контроль мероприятий, направленных на постоянное повышение качества продукции и улучшения результативности системы менеджмента качества с целью их постоянного соответствия требованиям потребителей и стандартам ИСО серии 9000.

Принципы действия системы менеджмента качества

1. Ориентация на потребителя. Создание и продвижение на рынок продукции, превосходящей ожидания потребителей; установление долговременных отношений с потребителем, осознавая и создавая их потребности

2. Лидерство руководителя. Разработка политики и целей организации в области качества; установление приоритета качества над другими видами деятельности; создание обстановки, в которой каждый сотрудник полностью отдает себя достижению целей организации; лидерство во всех сферах деятельности организации в команде единомышленников и профессионалов.

. Вовлечение персонала. Каждый сотрудник организации - участник процесса; постоянное повышение квалификации и профессионализма каждого сотрудника; воспитание гордости за принадлежность к организации.

. Процессный подход. Детальное определение процессов, их последовательности и взаимодействия процессов; установление необходимых критериев и методов эффективного ведения и управления этими процессами; обеспечение необходимыми ресурсами и информацией для ведения и проверки этих процессов; проверка, контроль и анализ всех процессов; разработка и реализация необходимых мероприятий для достижения запланированных результатов и постоянного усовершенствования процессов.

. Системный подход. Только системный подход способствует результативности и эффективности организации; частные цели отдельных процессов являются неотъемлемой составляющей руководящих целей организации.

. Постоянное улучшение. Постоянное и оперативное проведение изменений, обеспечивающих наилучшие потребительские свойства продукции, процессов и результативность системы менеджмента качества; непрерывное внедрение передовых достижений в области менеджмента, маркетинга, производства продукции; постоянное генерирование идей, направленных на улучшение существующих процессов; мотивация и постоянное повышение заинтересованности персонала.

. Деловой подход к поиску решения. Эффективность решений, базирующаяся на логическом анализе данных и информации с учетом опыта и ситуации организации.

. Взаимовыгодные отношения с поставщиками. Обеспечение, благодаря взаимовыгодным связям с поставщиками, качества, надежности и пунктуальности поставок закупаемой продукции; расширение преимущества в конкуренции, благодаря развитию стратегического партнерства; повышение способности предприятия и его поставщиков к созданию ценностей, благодаря взаимовыгодным связям.

Рассмотрим действующую систему менеджмента качества услуг ООО «Галактика». На исследуемом предприятии система менеджмента качества имеет определенные границы в связи с ограниченными возможностями.

Отдел по работе с пользователями в процессе работы регистрирует информацию о поступающих вызовах, запросах. В состав регистрируемой информации сходят:

наименование предприятия;

сущность вопроса;

сколько раз уже обращений по данному вопросу.

Отдел по техническому обслуживанию регистрирует сущность проблем, по которым осуществляются вызовы. В ходе такой регистрации выявляется:

количество вызовов на одно и тоже предприятие;

внеплановые повторные вызовы;

причины повторного вызова;

Отдел маркетинга сам непосредственно проводит в конце 2007 года социальные опросы на темы:

степень удовлетворенности поставкой программного продукта;

степень удовлетворенности быстротой реагирования группы программистов и правильности идентификации проблемы клиентов, связанных с программированием;

степень удовлетворенности работой отдела по работе с пользователями (обучением, консультациями, работой с базами данных).

2.  
ОРГАНИЗАЦИОННО - ЭКОНОМИЧЕСКАЯ ХАРАКТЕРИСТИКА ООО «ГАЛАКТИКА»

.1 ХАРАКТЕРИСТИКА ПРЕДПРИЯТИЯ

Предприятие ООО «Галактика» занимается следующими видами деятельности:

поставка программного продукта системы «1С Предприятие»;

оказание программных, информационно-консультационных и других услуг пользователей системы «1С Предприятие».

Специфика данной области деятельности заключается в однократных поставках программного продукта его пользователям и обеспечение платного обслуживания поставленного программного продукта.

В связи с этим, предприятие ООО «Галактика», не специализируясь на больших объемах сбыта программного продукта, специализируется на его последующем обслуживании.

Специфической чертой, обуславливающей многие факторы, влияющие на качество услуг, является франчайзинговая система поставок программного продукта. То есть для наличия возможности поставлять какой-либо программный продукт на рынок предприятию необходимо иметь сертифицированных специалистов по данному программному продукту.

ООО «Галактика» имеет трех сертифицированных специалистов по программным продуктам:

1С «Торговля»;

1С «Бухгалтерия»;

1С «Зарплата и кадры».

Следовательно, ООО «Галактика» осуществляет поставки данных программных продуктов на рынок.

Тем не менее, ООО «Галактика» специализируется все-таки на оказании услуг по программированию, настройке и работе с данными программными продуктами. Внедрение программного продукта является лишь условием того, что его покупатель становится потенциальным пользователем системы 1С «Предприятие» и, соответственно, пользователем услуг в области его обслуживания.

.2      ХАРАКТЕРИСТИКА ПРОДУКТА

Реализуемые программные продукты:

.        Собственный программный продукт 1С «Торговля» созданный на базе 1С «Предприятие» используется для специализированных предприятий торговли.

Преимуществами данного программного продукта являются:

возможности ведения широкого многономенклатурного производства и торговли;

возможность ведения нескольких организаций внутри одной конфигурации;

расширенный учет складских запасов;

контроль складских запасов при оформлении отгрузки;

широкие возможности группировки товаров по различным признакам

расширенный поиск номенклатуры по наименованиям и штрих-кодам;

возможность кодирования продукции;

контроль кассы, работа с автоматизированными системами ККМ;

широкие возможности распечатки ценников, реестров и т. д;

удобная работа с электронными журналами, возможность сортировки внутри электронного журнала по товарам, контрагентам;

контроль задолженности по контрагентам нутрии журналов;

возможность ведения кассовой книги;

автоматическое формирование книги доходов и расходов, книг покупок и продаж.

Недостатками данного программного продукта являются:

отсутствие системы бухгалтерского учета в рамках данной конфигурации, что требует специальной конвертации данных в базы данных 1С «Бухгалтерия»;

для ведения бухгалтерского учета требуется отдельная специализированная база данных 1С «Бухгалтерия»;

настройка конвертации данных требует выезда специалиста по программированию.

. Несобственный программный продукт 1С «Торговля», поставляемый по дилерским поставкам, также используется для специализированных предприятий торговли.

Преимуществами данного программного продукта являются:

возможности ведения широкого многономенклатурного производства и торговли;

возможность ведения нескольких организаций внутри одной конфигурации;

расширенный учет складских запасов;

контроль складских запасов при оформлении отгрузки;

расширенный поиск номенклатуры по наименованиям и штрих-кодам;

возможность кодирования продукции;

удобная работа с электронными журналами, возможность сортировки внутри электронного журнала по товарам, контрагентам;

наличие предусмотренных средств конвертации данных в базы данных 1С «Бухгалтерия».

Недостатками данного программного продукта являются:

отсутствие системы бухгалтерского учета в рамках данной конфигурации, что требует специальной конвертации данных в базы данных 1С «Бухгалтерия»;

для ведения бухгалтерского учета требуется отдельная специализированная база данных 1С «Бухгалтерия».

. Несобственный программный продукт 1С «Бухгалтерия» используется для предприятий, неспециализированных в многономенклатурной торговле.

Преимуществами данного программного продукта являются:

использование системы бухгалтерского учета внутри конфигурации;

автоматическое формирование бухгалтерских отчетов в виде бухгалтерских регистров, оборотно-сальдовых ведомостей и т. д. - форм, предусмотренных в системе бухгалтерского учета;

ведение кассовой книги;

автоматическое заполнение открытых форм бухгалтерской отчетности.

Недостатками данного программного продукта являются:

требует наличия высокоспециализированных специалистов по ведению бухгалтерского учета;

ручной контроль бухгалтерских итогов;

ручное формирование и контроль книги покупок и продаж;

ручное формирование книги доходов и расходов;

ограниченные возможности ведения зарплаты труда и кадров.

. Несобственный программный продукт 1С «Зарплата и кадры» используется для крупных предприятий в отделах кадров для специализированного учета труда и его оплаты.

Преимуществами данного программного продукта являются:

широкие возможности ведения учета труда и его оплаты (начисление по окладам, по тарифам, по сдельной работе; начисление налогов с заработной платы, отпуска, больничные, компенсации за неиспользованных отпуск и т. д. );

полная база унифицированных форм по учету труда и его оплате;

наличие предусмотренных средств конвертации данных в базы данных 1С «Бухгалтерия.

Недостатками данного программного продукта являются:

требует наличия лазы данных 1С «Бухгалтерия», т. е. данный программный продукт не является самостоятельным.

Оказываемые услуги:

. Консультирование по эксплуатации программных продуктов - представляет собой консультационные услуги по вопросам использования программных средств. Консультирование по эксплуатации программных продуктов требует высокого уровня компетенции в способах и приемах использования программы. В меньшей степени требуется знания в области прикладной задачи бухгалтерского и налогового учета на предприятиях.

. Обучение пользовательской работе с программными продуктами- представляет собой более целенаправленную работу с пользователями, методически разработанную для обучающих курсов;

. Пользовательская работа с базами данных по заказам пользователей- представляет собой работу специалистов на месте, связанную с заполнением баз данных по заказам клиентов, например, с целью восстановления данных бухгалтерского учета на основании первичных документов. Такая работа требует не только умения обращаться с программой, но и хорошего уровня знаний в области бухгалтерского учета, его приемов и методов. Исполнитель заполняет базу данных в соответствии с принятыми методами бухгалтерского учета на предприятиях;

. Программирование - представляет собой высококвалифицированную работу в области программирования и конфигурирования. Программирование требует наличия сертификата программиста. Помимо всего прочего, программирование подразумевает определенные знания прикладной задачи бухгалтерского и налогового учета на предприятиях.

. Техническое обслуживание компьютерной техники. В ведение технической группы входят:

настройка программного обеспечения компьютерной техники;

профилактическое обслуживание технических устройств компьютеров;

антивирусное тестирование и тестирование на другие виды проблем, связанных с техническими устройствами компьютерной техники;

устранение непредвиденных технических неполадок;

монтажные работы (настройка и наладка сетей терминалов);

замена отдельных частей компьютерной техники.

Выезд работника технической группы требует четкого видения проблемы заранее и в соответствии с этим оснащение необходимыми инструментами, начиная от инструментов для монтажных работ, и заканчивая необходимым программным обеспечением.

.3 ОРГАНИЗАЦИОННАЯ СТРУКТУРА ПРЕДПРИЯТИЯ

Организационная структура предприятия ООО «Галактика» представлена на рисунке 2. 1.

На рисунке 2. 1. слева показаны функциональные отделы работы. Справа показаны отделы контроля и анализа.

Отдел программирования и сертификации состоит из начальника группы программирования и трех сертифицированных программистов. Задачами данного отдела являются:

программирование конфигураций на базе системы 1С «Предприятие» как собственного программного продукта, так и поставляемого несобственного программного продукта;

программное обслуживание пользователей системы 1С «Предприятие».

Работники группы программирования должны проявлять стремление к самообучению, повышению квалификации, поддержанию сертификации. Специфика работы данного отдела заключается в проектной работе и постоянному обучению прикладных задач бухгалтерского учета.


Отдел по работе с пользователями состоит из начальника группы по работе с пользователями и четырех не сертифицированных специалистов. Задачами данного отдела являются:

информационное консультирование пользователей системы 1С «Предприятие»;

обучение пользователей системы 1С «Предприятие»;

работа с базами данных по заказам пользователей системы 1С «Предприятие».

Отдел по работе с пользователями имеет непосредственных контакт с клиентами ООО «Галактика». Контактируя с клиентами, работники отдела обмениваются информацией с отделом программирования и сертификации по вопросам заказов и требований пользователей. Также отдел по работе с пользователями обменивается информацией с отделом маркетинга по вопросам исследований рынка.

Отдел по сбыту программного продукта состоит из двух работников, занимающихся вопросами продажи собственного и несобственного программного продукта. В обязанности данного отдела входят:

ознакомление потенциальных покупателей с возможностями того или иного программного продукта;

гибкий подход к каждому из пользователей и их потребностям в программном продукте, рекомендации по программному обеспечению;

организация поставок программного продукта покупателю.

Отдел по техническому обслуживанию состоит из начальника отдела и двух подчиненных специалистов по обслуживанию компьютерной техники. Задачами данного отдела являются:

организация технического сопровождения клиентов;

наладка, починка, профилактическое обслуживание компьютерной техники.

Каждый из выше перечисленных функциональных отделов ООО «Галактика» обязан следить за качеством поставляемых услуг.

В непосредственном подчинении руководителя ООО «Галактика» находятся два отдела: планово-финансовый отдел и отдел маркетинга.

Отдел маркетинга взаимодействует с функциональными отделами по вопросам исследований рынка, а также с планово-финансовым отделом по вопросам финансовых возможностей предприятия. Отдел маркетинга отчитывается непосредственно руководителю предприятия.

Планово-финансовый отдел также отчитывается непосредственно руководителю предприятия.

.4 АНАЛИЗ ВНЕШНЕЙ И ВНУТРЕННЕЙ СРЕДЫ ПРЕДПРИЯТИЯ

Для осуществления анализа качества услуг ООО «Галактика» необходима определенная информационная база. Источниками информации являются данные, полученные отделом маркетинга в ходе исследований внешней среды предприятия.

Маркетинговые исследования рынков сбыта программного продукта, оказываемых услуг в области программирования и технического обслуживания позволили выявить следующие их особенности.

Рынок сбыта программного продукта. Покупателем программного продукта являются исключительно хозяйствующие предприятия города, нуждающиеся в программном обеспечении, обеспечивающем автоматизацию ведения бухгалтерского учета на ЭВМ. Вследствие этого как само программное обеспечение, так и его обслуживание, можно считать предметом острой необходимости для указанного покупателя.

Рынок сбыта программного продукта характерен:

большим уровнем эластичности спроса - потенциальные покупатели программы 1С «Предприятие», не понимая специфики тех или иных конфигураций, ориентируются по цене.

нестабильностью рынка, которая заключается в отсутствии достаточной информации. Система 1С «Предприятие» предусматривает поставки программных продуктов до 150 наименований различных конфигураций, отличающихся своей спецификой.

Рынок программных и информационно-консультационных услуг

Рынок программных и информационных услуг возникает на фоне присутствия рынка сбыта программного продукта. Потребность покупателей самого программного продукта в его обслуживании является еще более острой, чем потребность в его приобретении. Вследствие чего рынок характерен большим уровнем неэластичности спроса в виду острой потребности состоявшихся покупателей программ в их обслуживании.

Рынок технического обслуживания компьютерной техники

Наличие определенного спроса в техническом обслуживании, которое предусматривает не только профилактические работы, но и в случае порчи комплектующих замену на другие части, определено наличие других выше перечисленных видов рынка. Услуги в области технического обслуживания выступают как сопутствующие услуги. Острая потребность в данном виде услуг определена тем, что программный продукт работает полноценно лишь в условиях технической исправности компьютерной техники.

Анализ сильных и слабых сторон

Как показал анализ рынка, в целом, рыночная среда, в которой работает предприятие ООО «Галактика», является довольно благоприятной. Однако такова рыночная среда не только для ООО «Галактика», но и для ее конкурентов.

Предприятие вполне может использовать возможности стимулировать спрос, просвещать потенциальных потребителей о наличии товара с тем, чтобы увеличить объемы продаж и захватить наибольшую долю рынка.

Перечень слабых и сильных сторон фирмы представлен в таблице 2. 1.

Таблица 2.1

Анализ сильных и слабых сторон

Сильные стороны

Благоприятные возможности

1. Программный продукт является предметом острой необходимости для покупателя. 2. Предприятие производит собственный программный продукт, поддающийся программированию. 3. Предприятие имеет сертифицированных программистов.

1. Уровень неудовлетворенности услугами в области сопровождения низок и имеет повсеместный характер среди конкурентов. 2. Конкуренты не достаточно эффективно ведут маркетинговую политику.

Слабые стороны

Угрозы

1. Предприятие не проводит достаточной политики в области ознакомления пользователей с программным обеспечением. 2. Предприятие не достаточно эффективно ведут маркетинговую политику.

1. Конкуренты могут начать прогрессивную политику повышения качества услуг. 2. Конкуренты могут начать вести более активную маркетинговую политику.


Как видно на таблице 2. 1. , на данный момент ООО «Галактика» имеет большой потенциал к дальнейшему развитию и захвату доли рынка путем повышения качества услуг и эффективной маркетинговой политики.

3. МЕТОДЫ ОПРЕДЕЛЕНИЯ ПОКАЗАТЕЛЕЙ КАЧЕСТВА

.1 ДРЕВО КАЧЕСТВА УСЛУГ

Достижение высокого качества услуг ООО «Галактика» и его конкурентов, представляет собой довольно труднодостижимую цель. Однако, при наличии целенаправленных подходов такая цель достижима.

Рассмотрим дерево показателей качества услуг (рисунок 3. 1. )


Общий уровень качества оказываемых услуг зависит от трех индивидуальных показателей качества, представленных на рисунке 3. 1.

Качество программного продукта представляет собой субъективную оценку специфики поставляемой конфигурации программы как набора программных инструментов. Ранее было сказано о том, что каждому пользователю подходит особый вид конфигурации системы 1С «Предприятие». Его субъективная оценка об удовлетворенности программными способностями представляет собой уровень качество поставленного такому покупателю программного продукта.

Уровень качества программного продукта зависит во многом не от самой специфики конфигурации, поскольку одна и та же конфигурация не может предусматривать полную универсальность, а от правильного подбора той или иной конфигурации, необходимой потребителю. Уровень такого качества зависит от компетентности сотрудников отдела сбыта, их умении работать с пользователями, понимать их потребности, объективно оценивать специфику коммерческой деятельности предприятия-покупателя программы.

Фактор комплексности программного продукта также оказывает свою роль, но в меньшей степени, нежели фактор вида программного продукта. ООО «Галактика» имеет возможность конфигурировать имеющиеся программные продукты, в том числе добавлять конкретные программные функции. Данный фактор является второй составляющей качества программного продукта.

Качество работы с пользователями проявляется в уровне компетентности специалистов, которые отвечают за процесс обучения и консультирования пользователей системы 1С «Предприятие». Качество работы с пользователями необходимо для повышения общего уровня качества услуг. Программный продукт, поставляемый потенциальному покупателю, может быть универсальным, но не доставлять чувство удовлетворенности его владельцу, если владелец не умеет пользоваться программным продуктом.

Качество технического обслуживания проявляется в уровне компетентности специалистов по обслуживанию компьютерной техники, которая является так называемой «платформой» для установки программного обеспечения. Исправность компьютерной техники выступает гарантом работоспособности программы 1С «Предприятие».

3.2 АНАЛИЗ УПОРЯДОЧЕННОСТИ СИСТЕМЫ КОНТРОЛЯ КАЧЕСТВА

Одним из расчетных методов определения качества продукции является расчет упорядоченности и неупорядоченности системы управления качеством продукции.

Упорядоченностью системы управления качеством продукции называется уровень соответствия показателей качества установленным требованиям (внутренним нормам или нормативно-технической документации). В свою очередь, неупорядоченность системы - это уровень несоответствия показателей качества. Анализ уровня неупорядоченности системы позволяет выявлять недостатки управления и резервы повышения качества продукции.

Критерием упорядоченности системы управления качеством является вероятное состояние положительного исхода завершающего события, т. е. вероятность попадания показателей качества в заданные границы (пределы).

Упорядоченность системы обозначается Pijk - вероятность попадания единичных показателей качества Qijk в заданные границы.

Упорядоченность системы (Pijk) определяется формулой 3. 1.


где Q - среднеарифметическое значение показателя Q (см. формулу 3. 1. );

Qв, Qн -предельные максимальное и минимальное значения показателя Q соответственно;

σ - среднеквадратическое отклонение единичных показателей качества Q от средней величины;

Ф - функция Лапласа.

Среднеарифметическое значение единичного показателя качества Q рассчитывается по формуле 3. 2.


где Qijk - наблюдаемой значение признака качества;

N - объем выборки.

Среднеквадратическое отклонение σ единичных показателей качества продукции рассчитывается по формуле 3.3


где Qijk - порядковая статистика;

N - объем выборки.

Неупорядоченность системы qijk определяется по формуле 3.4.


3.3 АНАЛИЗ УПОРЯДОЧЕННОСТИ И НЕУПОРЯДОЧЕННОСТИ СИСТЕМЫ УПРАВЛЕНИЯ КАЧЕСТВОМ ПРОДУКЦИИ

На основе выше представленного материала проводится анализ упорядоченности и неупорядоченности системы управления качеством продукции.

Качество программного продукта Q1. Как мы уже выявили, качество программного продукта проявляется в субъективной оценке пользователей о его специфике.

Для определения упорядоченности качества программного продукта был проведен социальный опрос среди собственных клиентов ООО «Галактика», результаты которого представлены в Приложении 1. В данном Приложении представлены результаты социального опроса клиентов на предмет удовлетворенности спецификой программного продукта - набором его конструктивных особенностей, уровень оправданности ожиданий от программного продукта. Предельной оценкой данного значения является 100%, минимально допустимое - 45%.

.        Удовлетворенности спецификой программного продукта ().

Среднеарифметическое значение единичного показателя качества Q рассчитывается по формуле:

.

Среднеквадратическое отклонение σ единичных показателей качества продукции рассчитывается по формуле:

 

Упорядоченность системы (Pijk) определяется формулой:

Неупорядоченность системы qijk определяется по формуле:

 

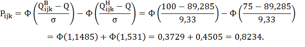
Второе составляющее качества продукта - это умение специалистов фирмы добавлять в него конструктивные программные модули. Уровень качества оценен при помощи социального опроса среди клиентов фирмы на предмет удовлетворенности быстротой и умением выполнять программирование по заданиям, представленного в Приложении 2. внутренними стандартами установлено, что нормативы удовлетворенности по таким услугам программирования от 75% до 100%.

2.       Умение специалистов фирмы добавлять в него конструктивные программные модули).

Среднеарифметическое значение единичного показателя качества Q:

.

Среднеквадратическое отклонение σ единичных показателей качества продукции:

 

Упорядоченность системы (Pijk):

 

Неупорядоченность системы qijk:

Упорядоченность системы (Pijk)программного продукта Q1:

0,8591+0,9858) - (0,8591×0,9858)= 0,8234.

Неупорядоченность системы qijkпрограммного продукта Q1:

Качество работы с пользователями Q2

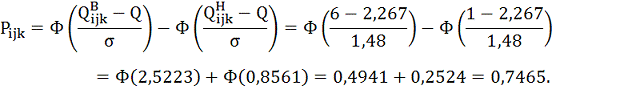
Данное качество проявляется в умении работать с клиентами, понимать их требования, консультировать и обучать. Уровень качества оценивается благодаря социальному опросу, представленному в Приложении 3. Максимальный показатель удовлетворенности - 100%, минимально допустимый - 75%.

Среднеарифметическое значение единичного показателя качества Q:

.

Среднеквадратическое отклонение σ единичных показателей качества продукции:

 


Упорядоченность системы (Pijk):

 

Неупорядоченность системы qijk:

 


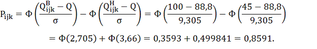
Качество технического обслуживания Q3. На предприятии ООО «Галактика» проводится регистрация выездов по вопросам технического обслуживания, где фиксируются следующие данные: количество выездов в месяц, причина выезда. Таким образом, в Приложении 4 представлена выборка, в которой показано среднее количество выездов к каждому клиенту по одному и тому же вопросу (то есть технический вопрос не решен за один раз). Максимально допустимое количество выездов по одному и тому же вопросу составляет 2 выезда.

Среднеарифметическое значение единичного показателя качества Q:

.

Среднеквадратическое отклонение σ единичных показателей качества продукции:

 


Упорядоченность системы (Pijk):

 

Неупорядоченность системы qijk:

 

Сведем результаты, проведенные в ходе расчета упорядоченности и неупорядоченности систем в таблицу 3. 1.

Таблица 3.1

Расчет упорядоченности

и неупорядоченности системы управления качеством услуг

Параметры

Индекс

Рi

qi





Качество программного продукта

1

0,8234

0,1766

Качество работы с пользователями

2

0,9754

0,0246

Качество технического обслуживания

3

0,7465

0,2535


3.4 МЕТОДЫ СТАТИСТИЧЕСКОГО КОНТРОЛЯ И УПРАВЛЕНИЯ КАЧЕСТВОМ ПРОДУКЦИИ

Любое предприятие сталкивается с большим количеством всевозможных проблем, связанных с производством, сбытом, доставкой сырья и т. д. на каждом этапе необходим анализ сложившейся ситуации для принятия управляющих решений. Во всех без исключения отраслях промышленности требуется проведение анализа точности и стабильности технологических процессов, осуществление наблюдения за качеством продукции и отслеживание различных показателей производства.

Анализ качества при помощи диаграммы Исикавы

Диаграмма «причины-результаты» (схема Исикавы)позволяет выявить и сгруппировать условия факторы, влияющие на изучаемую проблему. С помощью схемы можно решать широкий спектр конструкторских, технологических, экономических, организационных, социальных и других проблем.

Анализ причинно-следственных связей позволяет определить факторы, влияющие на уровень качества обобщающего признака качества. Согласно диаграмме Парето (рис. 3. 2. ) позволяет сделать выводы об уровне неупорядоченности системы управления качеством.

Наиболее глубокий факторный анализ неупорядоченности позволяет сделать диаграмма Исикавы. С помощью схемы Исикавы можно разрешить широкий спектр конструкторских, технологических, технических, экономических, организационных, социальных и других проблем. При анализе должны выявляться и фиксироваться все факторы, даже те, которые кажутся незначительными, так как цель схемы - отыскать наиболее правильный и эффективный способ решения поставленной проблемы, а на практике достаточно часто встречаются случаи, когда можно добиться хороших результатов путем устранения нескольких, на первый взгляд несущественных причин.

Используя диаграмму «причины-результаты» мы можем проанализировать нашу проблему, выявить и сгруппировать условия и факторы, влияющие на неупорядоченность системы управления качеством.

Диаграмма Исикавы представлена на рисунке 3. 3.


Диаграмма Исикавы позволяет выявить более детальные характеристики выше представленных единичных показателей качества. Рассмотрим факторы, влияющие на показатели качества.

. Качество технического обслуживания:

.1. Уровень компетенции сотрудников в области компьютерной техники;

.2. Ответственность сотрудников, связанную с предусмотрительностью (выявлялись случаи, когда группа технического обслуживания выезжала без определенного набора технических инструментов).

. Качества программного продукта:

.1. Умение отдела сбыта понимать, что нужно покупателю;

.2. Компетенция работников в области специфики организации учета на предприятиях - также оказывает влияние на правильность подбора конфигураций;

. Качество работы с пользователями:

.1. Умение сотрудников отдела по пользовательской работе общаться и понимать клиентов;

.2. Уровень компетентности, вежливости и проницательности сотрудников к возникающим проблемам;

.3. Уровень квалификации сотрудников отдела работы с пользователями.

Как выявлено из диаграммы Парето, первопричиной работы программного обеспечения является уровень технического состояния компьютерной техники, а, следовательно - технического обслуживания предприятий-клиентов. На втором месте находится качество программного продукта - то есть специфика его комплектации. На третьем месте находится качество консультационного обслуживания пользователей программного продукта.

4. ПРОЕКТНЫЕ МЕРОПРИЯТИЯ ПОВЫШЕНИЯ КАЧЕСТВА УСЛУГ

Анализ существующих проблем

На основе проведенного анализа упорядоченности системы качества услуг ООО «Галактика» с использованием различных средств оценки упорядоченности системы, статистических методов контроля качества. При помощи этих методов выявлены следующие проблемы:

. Качество технического обслуживания

а) Частые случаи выезда сотрудников для решения вопросов без достаточного набора инструментов.

б) Средний уровень идентификации проблем, возникающих у пользователей программ системы 1С «Предприятие».

в) Низкая компетентность сотрудников технической группы в области применения и работы программного продукта 1С «Предприятие».

. Качества программного продукта

а) Низкий уровень компетентности программистов в области организации бухгалтерского и налогового учета на предприятиях как прикладной области их деятельности.

б) Функциональная «близорукость» работников отдела программирования.

в) Низкий уровень подготовки сотрудников отдела программирования по набору программных средств, используемых при выезде на место вызова.

. Качество работы с пользователями

а) Недостаточных уровень контактов с пользователями системы 1С «Предприятие».

б) Отсутствие системы регистрации звонков и ведения статистики вопросов и возникающих проблем.

в) Недостаточных уровень компетентности сотрудников по работе с пользователями в области возможностей программирования, что обуславливает наличие случаев, когда сотрудники данного отдела ссылаются на возможности программирования при их отсутствии.

Таким образом, наибольшей общей проблемой является функциональная близорукость работников почти всех отделов предприятия ООО «Галактика». То есть каждый из сотрудников квалифицируется только в своей области, без учета необходимости развития дальнозоркости и профессиональной эрудиции.

Мероприятия по повышению качества услуг

Для формулирования программы мероприятий, определим направления деятельности ООО «Галактика» в сфере внутреннего развития и контроля. Для повышения качества услуг ООО «Галактика» можно выделить следующие направления:

. Повышение профессиональной дальнозоркости, эрудиции и компетентности в прикладных областях науки сотрудников всех отделов без исключения;

. Повышение специальной квалификации сотрудников функциональных отделов;

. Организация более эффективной системы контроля качества продукции и постоянного тактического и оперативного измерения качества;

. Организация моральной и материальной заинтересованности работников предприятия в более качественном обслуживании клиентов, система поощрения;

В рамках данных направлений сформируем конкретные мероприятия по повышению качества услуг ООО «Галактика». График мероприятий представлен в таблице 4. 1.

Таблица 4.1

График мероприятий по повышению качества услуг

Мероприятие

Даты и сроки

Ответственные исполнители

Цель

1. Внутрифирменные семинары по повышению профессиональности сотрудников

1 раз в месяц

Ведущие специалисты и начальники отделов

Повышение компетентности сотрудников в областях прикладных наук, выходящих за рамки их профессиональной деятельности.

2. «Летучки»

Еженедельно

Руководитель

Обзор поступающей новой информации, ознакомление с результатами контроля качества за неделю.

3. Аттестация сотрудников отдела программирования

Раз в год

Руководитель

Подтверждение уровня квалификации

4. Создание отдела статистики и средств контроля работы

01. 07. 2009г.

Руководитель

Усиление внутреннего контроля и анализа качества

5. Создание системы поощрения и материального стимулирования сотрудников.

01. 07. 2009г.

Начальник планово-финансового отдела

Создание условий материальной заинтересованности сотрудников в повышении квалификации

6. Введение системы сбора, регистрации звонков клиентов, выездов и решения вопросов

Постоянно

Начальник отдела по работе с пользователями

Создание условий для анализа качества, выявления причин ухудшения качества услуг.



ЗАКЛЮЧЕНИЕ

В данной работе мы изучили методы управления качеством услуг ООО «Галактика», работающего в области сбыта программного продукта и его последующего обслуживания.

Управление качеством услуг предприятия, работающего в столь нестабильных условиях конкуренции, как рынок программного обеспечения, представляет собой особой важности проблему. Управление качеством таких услуг обуславливает общее благополучие фирмы и ее процветание.

На примере ООО «Галактика» мы проанализировали уровень качества работы предприятия. Для проведения анализа уровня качества использовались некоторые из методов оценки упорядоченности системы управления качеством услуг, а также методы статистического исследования и контроля.

В ходе проведенного анализа был выявлен ряд проблем, связанных с недостаточностью эффективности и действенности системы управления качеством услуг ООО «Галактика», выраженной в неприменении достаточного количества методов контроля.

При помощи диаграммы Парето и диаграммы Исикавы выявлены первопричины недостаточного уровня качества услуг. В выявленных рыночных условиях ООО «Галактика» становится необходимым пробиваться среди конкурентов за счет повышения качества и имиджа фирмы.

В заключительной части работы предложены направления деятельности по повышению качества услуг ООО «Галактика» и конкретные мероприятия, осуществляемые в рамках данных направлений. Что и является главной целью работы. Поставленная цель данной работы реализована.

БИБЛИОГРАФИЧЕСКИЙ СПИСОК

1.       Методические указания по оформлению и подготовке к защите курсовой работы/ сост. М. А. Казакова; Нижнетагильскийтехнол. ин-т (фил. ) УГТУ-УПИ, Н. Тагил, 2007г.

2.       Т. Макино, «Контроль качества с помощью персональных компьютеров». Под ред. Ю. П. Адлера. -Москва, изд. «Машиностроение», 2003г.

.        Паршин В. А. , Зудов Е. Г. , Прошенков В. Н. , «Технология производства и управление качеством продукции», Москва, изд. «Металлургия», 1999г.

.        Управление качеством, методическое пособие под ред. Ильенкова С.Д., Москва, изд. «Юнити», 2007г.

ПРИЛОЖЕНИЕ 1

Социальный опрос: Уровень удовлетворенности

пользователей спецификой программного продукта, к. 2007г. , %.

80

45

55

45

81

76

100

50

85

75

99

60

50

95

95

89

49

95

70

80

90

89

45

90

95

80

50

100

100

85

50

100

90

50

100

55

78

80

95

69



ПРИЛОЖЕНИЕ 2

Социальный опрос: Уровень удовлетворенности пользователей программированием программных продуктов, к. 2007г., %.

90

90

100

90

95

100

90

80

100

99

95

85

100

100

100

95

95

95

100

100

80

80

100

95

95

75

95

100

100

90

95

85

100

100

90

80

100

90

100

90



ПРИЛОЖЕНИЕ 3

Социальный опрос: Уровень удовлетворенности

работы отдела по работе с пользователями, к. 2007г. , %.

90

90

100

90

95

100

90

80

85

99

95

85

99

75

78

90

95

95

100

95

80

80

75

95

95

75

95

100

75

90

95

85

60

100

90

80

95

90

100

90



ПРИЛОЖЕНИЕ 4

Выборка: Количество выездов технической группы по решению одного и того же вопроса за декабрь 2007г.

1

1

2

2

6

3

1

1

1

5

1

2

4

5

1

1

3

5

1

2

4

5

2

1

2

1

1

1

1

2



Не нашли материал для своей работы?
Поможем написать уникальную работу
Без плагиата!
Без нейросетей!