Процесс звукозаписи на компьютере
Содержание
§1. Постановка задачи
§2. Описание процесса звукозаписи
§3. Построение метамодели «асинхронный процесс»
§4. Операции над процессами
.1 Репозиция асинхронного процесса «Звукозапись»
.2 Редукция асинхронного процесса «Звукозапись»
.3 Композиция процессов
.3.1 Асинхронный процесс «Подготовка к звукозаписи»
.3.2 Редукция асинхронного процесса «Подготовка к
звукозаписи»
.3.3 Композиция процессов «Звукозапись» и «Подготовка к
звукозаписи»
§5. Предметная интерпретация асинхронного процесса
§6 Заключение
§1. Постановка задачи
Целью расчетно-графического задания является получение опыта в
конструировании метамодели «асинхронный процесс» и модели «сеть Петри» и
исследовании их свойств.
На примере вычислительного процесса, протекающего в машине при звукозаписи
с микрофона (в общем случае может подключаться любое MIDI-устройство):
- построить метамодель «асинхронный процесс» и определить
свойства исходного процесса на основе анализа метамодели;
- выполнить операции над процессом: репозиция, редукция, композиция,
и оценить полученные результаты с практической точки зрения;
- построить предметную интерпретацию метамодели на основе сети
Петри и сделать вывод о динамических характеристиках исходного процесса.
§2. Описание процесса звукозаписи
Процесс звукозаписи с помощью компьютера представляет собой оцифровку
аналоговых сигналов. Опишу подробнее: при наличии микрофона, звуковой карты,
команды на звукозапись в одном из каналов (канале записи) звуковой карты, а
также жесткого диска (там будут сохранены данные оцифровки) можно осуществить
звукозапись. Делается это очень просто: после подготовки к звукозаписи
(проверке наличия вышеприведенного оборудования, занесения команд ”на запись”
по каналам звуковой карты) идет непосредственно оцифровка.
Оцифровка звука протекает через несколько фаз:
· Звук порождает давление воздуха в среде, что воздействует на
мембрану микрофона (точно так же, как у людей в ушках, потому-то мы и слышим
звуки);
· Колебания мембраны вызывают электрические сигналы. В
различной аппаратуре - это напряжения или токи, здесь это не существенно, так
как и те и другие являются аналоговыми;
· Сгенерированные электрические сигналы попадают на звуковую
карту в DSP (Digital Sound Converter), где оцифровываются. Оцифровка
производится так: на компаторе DSP
происходит сравнение амплитуд сгенерированного микрофоном сигнала и некоторого
эталонного сигнала, после чего разница получает представление в виде цифр
(байт);
· Очередная порция (квант дискретизации) оцифрованных данных из
DSP попадает на схему выборки-хранения,
где ожидает копирования в оперативную память (RAM);
· Оперативная память по мере заполнения выгружает данные на
жесткий диск.
В данной работе будут рассматриваться несколько упрощенные механизмы
взаимодействия устройств и данных, но зато построенная модель будет логически
функциональна не только для звукозаписи с микрофона, но и, например, с MIDI-устройств. Изменения будут чисто
номенклатурные (нужно будет просто переименовать устройства).
§3. Построение метамодели «асинхронный процесс»
Асинхронный процесс «Звукозапись».
=<S, F, I, R>.
Компоненты процесса:
1. DSP-оцифровывающий звуковой процессор (Digital Sound Processor), составляющий основу АЦП
(аналого-цифрового преобразователя).
“DSP+” - есть сигнал для обработки;
“DSP-” - нет сигнала для обработки;
2. V-схема выборки хранения в АЦП.
“V+”-схема содержит данные оцифровки;
“V+”-схема ожидает записи;
3. RAM-оперативная память.
“RAM+”-оперативная память работает;
“RAM-”-оперативная память ожидает;
4. HDD-жесткий диск.
“HDD+” -жесткий диск работает;
“HDD-” -жесткий диск ожидает данных для
записи;
5. T-код успешного завершения звукозаписи.
“T+”-звукозапись завершена успешно;
“T-”-звукозапись не завершена.
Ситуации процесса, структурированные по первому способу (векторы
ситуаций):
Таблица №1
|
№
|
DSP
|
V
|
RAM
|
HDD
|
T
|
№
|
|
1
|
1
|
0
|
0
|
0
|
0
|
1
|
|
2
|
1
|
1
|
0
|
0
|
0
|
2
|
|
3
|
1
|
1
|
1
|
0
|
0
|
3
|
|
4
|
1
|
0
|
1
|
1
|
0
|
4
|
|
5
|
1
|
0
|
0
|
1
|
0
|
5
|
|
6
|
0
|
1
|
0
|
0
|
0
|
6
|
|
7
|
0
|
1
|
1
|
0
|
0
|
7
|
|
8
|
0
|
0
|
1
|
1
|
0
|
8
|
|
9
|
0
|
0
|
0
|
1
|
1
|
9
|
|
№
|
DSP
|
V
|
RAM
|
HDD
|
T
|
№
|
: (DSP+)(V-)(RAM-)(HDD-)(T-)
В DSP есть сигнал для обработки, все
остальные компоненты неактивны.
S2: (DSP+)(V+)(RAM-)(HDD-)(T-)
В DSP есть сигнал для обработки, V содержит оцифрованные данные, все
остальные компоненты неактивны.
S3: (DSP+)(V+)(RAM+)(HDD-)(T-)
В DSP есть сигнал для обработки, V содержит оцифрованные данные, RAM считывает в себя данные из V, все остальные компоненты неактивны.
S4: (DSP+)(V-)(RAM+)(HDD+)(T-)
В DSP есть сигнал для обработки, V выгрузила в RAM оцифрованные данные (пуста), RAM обменивается данными с HDD, HDD
работает (записывает данные из RAM),
звукозапись еще не закончена (T-),
так как в DSP есть очередная порция сигнала для
обработки.
S5: (DSP+)(V-)(RAM-)(HDD+)(T-)
В DSP есть сигнал для обработки, V выгрузила в RAM оцифрованные данные (пуста), RAM выгрузила в HDD данные (пуста), HDD
работает (записывает данные из RAM),
звукозапись еще не закончена (T-),
так как в DSP есть очередная порция сигнала для
обработки.
S6: (DSP-)(V+)(RAM-)(HDD-)(T-)
В DSP нет сигнала для обработки, V содержит оцифрованные данные, все
остальные компоненты неактивны.
S7: (DSP+)(V+)(RAM+)(HDD-)(T-)
В DSP нет сигнала для обработки, V содержит оцифрованные данные, RAM считывает в себя данные из V, все остальные компоненты неактивны.
S8: (DSP-)(V-)(RAM+)(HDD+)(T-)
В DSP нет сигнала для обработки, V выгрузила в RAM оцифрованные данные (пуста), RAM обменивается данными с HDD, HDD
работает (записывает данные из RAM),
звукозапись еще не закончена (T-),
так как в RAM есть данные обработки.
S9: (DSP-)(V-)(RAM-)(HDD+)(T+)
В DSP нет сигнала для обработки, V выгрузила в RAM оцифрованные данные (пуста), RAM пуста, HDD
работает (записывает данные), звукозапись закончена (T+), так как в DSP
нет очередной порции сигнала для обработки и все элементы (кроме HDD) закончили свою работу.
Инициаторы процесса:
I={S1, S2, S6, S5, S7, S8 }.
· S1 первичная инициализация процесса оцифровки (в DSP есть сигнал);
· S2 инициализация оцифровки, когда есть очередь в DSP (в DSP есть сигнал);
· S6 инициализация оцифровки, когда нет очереди в DSP (в DSP нет сигнала);
· S5 переход в первичное состояние (инициализация процесса
оцифровки), когда есть очередь в DSP;
· S7 «переход в другую ветвь» состояний (рис. 1) из этапа обмена
между V и RAM, с появлением сигнала в очереди DSP;
· S8 «переход в другую ветвь» состояний (рис. 1) из этапа обмена
между RAM и HDD, с появлением сигнала в очереди DSP;
Результанты процесса:
R={ S9} - итоговый результат любой
траектории, возврат системных ресурсов, окончание звукозаписи.
Отношение непосредственного следования процесса:
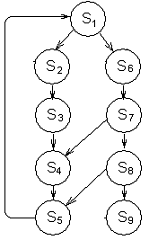
F:
представлено графом (рис. 1)
(рис. 1)
Возможные траектории:
1. S1
S6
S7
S8
S9;// оцифровка
звука при пустой очереди устройства DSP после принятия сигнала в S1 с
ожиданием сигнала в S7 и S8 ситуациях, окончание процесса звукозаписи
2. S6
S7
S8
S9;// содержится
в первой
3. S7
S8
S9;//содержится
в первой
4. S8
S9;// содержится
в первой
5. S1
S2
S3
S4
S5;// оцифровка
звука при непустой очереди устройства DSP после принятия сигнала в S1,
продолжение процесса звукозаписи
6. S2
S3
S4
S5;//содержится в пятой
. S5
S1;//подкачка сигнала из DSP, продолжение
звукозаписи
8. S1
S6
S7
S4;//появление сигнала в DSP во время
движения к завершению процесса записи на стадии обмена между V и RAM,
продолжение звукозаписи
9. S1
S6
S7
S8
S5;// появление сигнала в DSP во время
движения к завершению процесса записи на стадии обмена между RAM и
HDD, продолжение звукозаписи
Исследования и выводы:
Эффективность процесса. Проверим это свойство - процесс должен
удовлетворять трем условиям эффективности:
1. (
)=TRUE. Из любой ситуации (не результанта) в этом процессе
есть траектория к результанту (в данном случае - единственному);
. (
)=TRUE. Любая траектория, приводящая к результанту,
начинается в инициаторе;
. (не
ситуаций
)=FALSE.
Контрпример - ситуации S1 и S2: процесс, в виду идеальности модели, имеет
бесконечный цикл (объединение траекторий 5 и 7).
Таким образом, процесс не эффективный. Из этого вывода следует, что
процесс не может быть управляемым или простым (по определениям, требующим
эффективности процесса).
§4. Операции над процессами
.1 Репозиция асинхронного процесса «Звукозапись»
P’=<S’, F’, I’, R’>.
Ситуации процесса:
S’=IURUSD={S1, S2, S5, S6, S7, S8}U{S9} U{S10} - множество ситуаций процесса-репозиции, составленное по
определению. В данном случае, учитывая специфику процесса, а именно:
доминирующую роль инициатора S1,
который находится в отношении эквивалентности E со всеми остальными инициаторами и по семантике является
«точкой перед развилкой ветвей процесса», исключим из множества S’ инициаторы {S2, S5, S6, S7, S8}, оставив лишь эквивалентный им S1.
S’:=S’\{S2, S5, S6, S7, S8}={S1}U{S9} U{S10} - итоговое множество ситуаций процесса-репозиции.
· S1 - главный инициатор исходного процесса;
· S9 - единственный результант исходного процесса;
· S10 - единственная дополнительная ситуация для
процесса-репозиции.
Таблица №2
|
№DSPVRAMHDDT№
|
|
|
|
|
|
|
|
1
|
1
|
0
|
0
|
0
|
0
|
1
|
|
9
|
0
|
0
|
0
|
1
|
1
|
9
|
|
10
|
1
|
0
|
0
|
0
|
1
|
10
|
|
№
|
DSP
|
V
|
RAM
|
HDD
|
T
|
№
|
Инициаторы процесса:
По
определению процесса-репозиции I’
R: I'=R={S9} -
репозиция начинается, когда звукозапись завершена (возвращен сигнал об успешном
окончании звукозаписи).
Результанты
процесса:
По
определению процесса-репозиции R'
I: R'={S1} -
результат репозиции - возобновление состояния для начала звукозаписи.
Множество
дополнительных ситуаций процесса:
SD={S10=10001}//
Конфликтная ситуация «есть сигнал в DSP и процесс завершен» - это
аналог прерывания, обрабатывается, как сброс всех настроек процесса и возврат к
началу звукозаписи.
Отношение
непосредственного следования процесса:
F': представлено
графом (рис. 2)
(рис.
2)
Исследование
и выводы:
. Репозиция
имеет место быть, так как F не пустое множество.
. Репозиция
не полная (по определению), так как нарушается условие (R'=I)&(
I'=R), но с точки зрения работы процесса (доминирующее
свойство инициатора S1), объединение исходного процесса и полученной
репозиции образует автономный процесс.
.2 Редукция асинхронного процесса «Звукозапись»
Инициаторы исходного процесса P=<S, F, I, R>:
={S1, S2, S5, S6, S7, S8}={10000, 11000, 10010, 01000, 01100,
00110}.
Результанты исходного процесса P=<S, F, I, R>:
={S9}={00011}.
Ситуации исходного процесса P=<S, F, I, R>:
={S1, S2, S3, S4, S5, S6, S7, S8, S9}={10000, 11000, 11100,
10110, 10010, 01000, 01100, 00110, 00011}.
Множество входных компонент:
Делаем p-блочное разбиение множества S, где число входных компонент p=4:
={10, 11, 01, 00}.
Множество входных компонент для редукции:
Выбираем число r <
p - количество входных компонент для
редукции (r = 4):
*={00,01}.
Ситуации, попадающие под редукцию по входной компоненте:
Входная компонента выделена курсивом.
*={ S6, S7, S8, S9}={01000, 01100, 00110, 00011}.
Возможные траектории:
1. S6
S7
S8
S9;// оцифровка
звука при пустой очереди устройства DSP с ожиданием сигнала в S7 и S8
ситуациях, окончание процесса звукозаписи
2. S7
S8
S9;//содержится
в первой
3. S8
S9;// содержится
в первой
Ситуации редукции:
(X*)=S **={ S6, S7, S8, S9}={01000, 01100, 00110, 00011}.
Инициаторы редукции:
(X*)={S6, S7, S8}.
Результанты редукции:
(X*)={S9}.
Отношение непосредственного следования редукции процесса:
F(X*): представлено графом (рис. 3)
(рис. 3)
Выводы:
Процесс редукции позволяет выделить интересующую нас часть процесса, в
данном случае выделена траектория 2 (см. §3) «оцифровка звука при пустой
очереди устройства DSP с ожиданием
сигнала в S7 и S8 ситуациях, окончание процесса звукозаписи». Полученный
процесс является эффективным.
.3 Композиция процессов
.3.1 Асинхронный процесс «Подготовка к звукозаписи»
1=<S1, F1, I1, R1>.
звукозапись сигнал оцифровка микрофон
Компоненты процесса:
1. C - команда на запись (задача): «+» - есть, «-» - нет;
2. D - свободное место на HDD:
«+» - есть, «-» - нет;
3. SB - звуковая карта: «+» - есть, «-» - нет;
4. M - микрофон: «+» - есть, «-» - нет;
5. DSP - канал записи звуковой карты: «+» - настроен на запись, «-» - ожидает.
6. V - ошибка подготовки (сигнал от схемы выборки-хранения): «+» - подготовка
прервалась, «-» - подготовка работает корректно.
Ситуации процесса:
Таблица №3
|
№
|
C
|
D
|
SB
|
M
|
DSP
|
V
|
№
|
|
1
|
1
|
0
|
0
|
0
|
0
|
0
|
1
|
|
2
|
1
|
0
|
0
|
0
|
0
|
1
|
2
|
|
3
|
1
|
1
|
0
|
0
|
0
|
0
|
3
|
|
4
|
1
|
1
|
0
|
0
|
0
|
1
|
4
|
|
5
|
1
|
1
|
1
|
0
|
0
|
0
|
5
|
|
6
|
1
|
1
|
1
|
0
|
0
|
1
|
6
|
|
7
|
1
|
1
|
1
|
1
|
0
|
0
|
7
|
|
8
|
1
|
1
|
1
|
1
|
1
|
0
|
8
|
|
№
|
C
|
D
|
SB
|
M
|
DSP
|
V
|
Инициаторы процесса:
={S11, S13, S15, S17 }.
· S11 - есть команда на звукозапись;
· S13 - есть команда на звукозапись и есть пространство на
диске;
· S15 - есть команда на звукозапись, есть пространство на диске
и работает звуковая карта;
· S17 - есть команда на звукозапись, есть пространство на диске,
работает звуковая карта и работает (найден) микрофон;
Результанты процесса:
1={ S12, S14, S16, S18}.
· S12 - нет места на диске, завершение процесса (запись
невозможна);
· S14 - нет звуковой карты, завершение процесса (запись
невозможна);
· S16 - нет микрофона, завершение процесса (запись невозможна);
· S18 - есть команда на звукозапись, есть пространство на диске,
работает звуковая карта и работает (найден) микрофон, в канале записи звуковой
карты команда на запись, завершение процесса (подготовка к записи успешно
завершена).
Отношение непосредственного следования процесса:
F1:
представлено графом (рис. 4)
(рис. 4)
.3.2 Редукция асинхронного процесса «Подготовка к звукозаписи»
Ситуации исходного процесса P1=<S1, F, I1, R1>:
= {S11, S12, S13, S14, S15, S16, S17, S18} ={100000, 100001,
110000, 110001, 111000, 111001, 111100, 111110}.
Множество выходных компонент:
={00, 01, 10}.
Множество выходных компонент для редукции:
*=Y={00,10}.
Ситуации, попадающие под редукцию по выходной компоненте:
*={ S11, S13, S15, S17, S18}.
Возможные траектории:
1. S11
S13
S15
S17
S18;//успешная
подготовка к звукозаписи (от получения команды-задания до сообщения диспетчеру
«подготовка к записи успешно завершена»)
2. S13
S15
S17
S18;//содержится в первой
3. S15
S17
S18;//
содержится в первой
4. S17
S18;// содержится в первой
Ситуации редукции:
(Y*)=S1*={ S11, S13, S15, S17, S18}.
Инициаторы редукции:
(Y*)={ S11, S13, S15, S17}.
Результанты редукции:
1(Y*)={ S18}.
Отношение непосредственного следования редукции процесса:
F1(Y*): представлено графом (рис. 5)
(рис. 5)
4.3.3 Композиция процессов «Звукозапись» и «Подготовка к звукозаписи»
Имеются два процесса и их редукции, построим их последовательную
композицию. Семантика композиции: процесс подготовки к звукозаписи, точнее его
успешное выполнение (редукция 4.3.3), запускает непосредственно сам процесс
оцифровки, точнее, его «одиночный проход» (редукция 4.2), эти два процесса
сцепляются последовательно.
Процесс Р1 - подготовка к звукозаписи и его редукция по выходной
компоненте (рис. 6).
Ситуации редукции Р1*:
*1= {S11, S13, S15, S17,S18}={100000, 110000, 111000, 111100, 111110}.
Множество выходных компонент для редукции:
*1={00,10}.
(рис. 6)
Процесс Р - звукозапись и его редукция по входной компоненте (рис. 7).
Ситуации редукции Р*:
*={ S1, S6, S7, S8, S9}={10000, 01000, 01100, 00110, 00011}.
Множество входных компонент для редукции:
*={10,01,00}.
(рис. 7)
В нашем случае некоторые значения выходной компоненты y1 (ситуаций редукции Р1*) совпадают
со значениями входной компоненты x
(ситуаций редукции Р*).
Построим процесс Р3 - композицию двух процессов-редукций Р1*=P1(Y*) и Р*= P(X*)
Р3=<S3, F3, I3, R3 >. Два процесса сцепляются через
ситуации S18 (процесса P1(Y*)) и S1 (процесса P(X*)), эти ситуации
имеют одинаковые входную и выходную компоненты соответственно. Процесс
композиции, таким образом, находится в пространстве одной ситуации S3={S18, S1},
где выполняются необходимые условия определения последовательной композиции:
1. [S1i
S1(Y*)]&[ Sj
S(X*)];
. S18
=(111110), S1=(10000) выходная и входная компонента сцепляемых
ситуаций процессов совпадают;
. Не
нарушается логика работы сцепляемых процессов: S18 =R1(Y*), S1 =I(X*);
. если
, то выполняется одно из трех допущений, то есть
предикат
будет
принимать значение «истина».
Ситуации
процессов:
Пограничная
ситуация выделена курсивом.
Таблица
№4
|
C
|
D
|
SB
|
M
|
DSP
|
V
|
DSP
|
V
|
RAM
|
HDD
|
T
|
|
1
|
0
|
0
|
0
|
0
|
0
|
0
|
0
|
0
|
0
|
0
|
|
1
|
0
|
0
|
0
|
0
|
1
|
0
|
0
|
0
|
0
|
0
|
|
1
|
1
|
0
|
0
|
0
|
0
|
0
|
0
|
0
|
0
|
0
|
|
1
|
1
|
0
|
0
|
0
|
1
|
0
|
0
|
0
|
0
|
0
|
|
1
|
1
|
1
|
0
|
0
|
0
|
0
|
0
|
0
|
0
|
0
|
|
1
|
1
|
1
|
0
|
0
|
1
|
0
|
0
|
0
|
0
|
0
|
|
1
|
1
|
1
|
1
|
0
|
0
|
0
|
0
|
0
|
0
|
0
|
|
1
|
1
|
1
|
1
|
1
|
0
|
1
|
0
|
0
|
0
|
0
|
|
1
|
1
|
1
|
1
|
1
|
0
|
1
|
1
|
0
|
0
|
0
|
|
1
|
1
|
1
|
1
|
1
|
0
|
1
|
1
|
1
|
0
|
0
|
|
1
|
1
|
1
|
1
|
1
|
0
|
1
|
0
|
1
|
1
|
0
|
|
1
|
1
|
1
|
1
|
1
|
0
|
1
|
0
|
0
|
1
|
0
|
|
1
|
1
|
1
|
1
|
1
|
0
|
0
|
1
|
0
|
0
|
0
|
|
1
|
1
|
1
|
1
|
1
|
0
|
0
|
1
|
1
|
0
|
0
|
|
1
|
1
|
1
|
1
|
1
|
0
|
0
|
0
|
1
|
1
|
0
|
|
1
|
1
|
1
|
1
|
1
|
0
|
0
|
0
|
0
|
1
|
1
|
|
C
|
D
|
SB
|
M
|
RC
|
E
|
DSP
|
V
|
RAM
|
HDD
|
T
|
Ситуации процесса Р3:
Таблица №4.1
|
C
|
D
|
SB
|
M
|
DSP
|
V
|
RAM
|
HDD
|
T
|
|
1
|
0
|
0
|
0
|
0
|
0
|
0
|
0
|
0
|
|
1
|
0
|
0
|
0
|
0
|
1
|
0
|
0
|
0
|
|
1
|
1
|
0
|
0
|
0
|
0
|
0
|
0
|
0
|
|
1
|
1
|
0
|
0
|
0
|
1
|
0
|
0
|
0
|
|
1
|
1
|
1
|
0
|
0
|
0
|
0
|
0
|
0
|
|
1
|
1
|
1
|
0
|
0
|
1
|
0
|
0
|
0
|
|
1
|
1
|
1
|
1
|
0
|
0
|
0
|
0
|
0
|
|
1
|
1
|
1
|
1
|
1
|
0
|
0
|
0
|
0
|
|
1
|
1
|
1
|
1
|
0
|
0
|
0
|
0
|
|
1
|
1
|
1
|
1
|
1
|
0
|
1
|
0
|
0
|
|
1
|
1
|
1
|
1
|
1
|
0
|
1
|
1
|
0
|
|
1
|
1
|
1
|
1
|
1
|
0
|
0
|
1
|
0
|
|
1
|
1
|
1
|
1
|
1
|
0
|
0
|
0
|
0
|
|
1
|
1
|
1
|
1
|
1
|
0
|
1
|
0
|
0
|
|
1
|
1
|
1
|
1
|
1
|
0
|
1
|
1
|
0
|
|
1
|
1
|
1
|
1
|
1
|
0
|
0
|
1
|
1
|
|
C
|
D
|
SB
|
M
|
RC
|
E
|
RAM
|
HDD
|
T
|
Отношение непосредственного следования F3 представлено на (рис. 8):

(рис. 8)
Исследование процесса и выводы:
Эффективность процесса. Проверим это свойство - процесс должен
удовлетворять трем условиям эффективности:
4. (
)=TRUE. Из любой ситуации (не результанта) в этом процессе
есть траектория к результанту (в данном случае - единственному);
. (
)=TRUE. Любая траектория, приводящая к результанту,
начинается в инициаторе;
. (не
ситуаций
)=TRUE.
Таким образом, данный процесс является эффективным, так как удовлетворяет
этим условиям. Процесс является управляемым (это очевидно, ведь он линейный),
но не является простым, так как инициатор S1 переходит к ситуации S6, которая тоже является инициатором.
В результате операции композиции был получен процесс, который, является
эффективным, управляемым и непростым.
Процесс подготовки к звукозаписи, точнее его успешное выполнение
(редукция 4.3.3), запускает непосредственно сам процесс оцифровки, точнее, его
«одиночный проход» (редукция 4.2), эти два процесса сцепляются последовательно.
§5. Предметная интерпретация асинхронного процесса
.1 Построение модели «Сеть Петри»
Построим сеть Петри, описывающую работу репозиции (пункт 4.1) исходного
процесса.
N=<P, T, H, F, M0>;={DSP, V, RAM, HDD, T};={t1, t2,
t3}.
Таблица
№5
|
F(DSP, t2) = 1
|
H(t1, DSP)=1
|
|
F(HDD, t1) = 1
|
H(t1, T)=1
|
|
F(T, t1) = 1
|
H(t2, DSP)=1
|
|
F(T, t2) = 1
|
H(t3,RAM)=1
|
|
F(HDD, t3)=1
|
H(t3,V)=1
|
0=(0, 0, 0, 1, 1);
M1=(1,
0, 0, 0, 1);
M2=(1,
0, 0, 0, 0).
Сеть Петри (рис. 9):
Построим граф разметок этой сети (рис. 10):
(рис. 10)
Покрывающее дерево будет выглядеть идентично.
Анализ сети. Выводы
1. Данная
сеть Петри обладает свойством ограниченности: легко показать (на графе
разметок, совпадающем с покрывающим деревом сети), что любое условие сети
ограничено (
выполняется M(p)
n);
. Данная
сеть Петри обладает свойством безопасности: легко показать (на графе разметок,
совпадающем с покрывающим деревом сети), что любое условие сети безопасно (
выполняется M(p)
1);
. Данная
сеть Петри не живая, так как не все ее переходы живы. Докажем это: переход t3 не
срабатывает при любой разметке. Сделано это для того, чтобы в сети не было
изолированных позиций (для RAM иV). RAM иV в этом процессе находятся в пассивном состоянии;
. Данная
сеть Петри обладает свойством устойчивости: все переходы срабатывают, переход t1
может сработать при разметке М0 (t2 при М0 не может сработать), срабатывание перехода t1 не
лишает переход t2 возможности сработать (t2 срабатывает
при М1, достижимой из М0).
Используя понятия модели «сеть Петри», мы описали работу и составляющие
модели «асинхронный процесс». Анализ построенной сети показал, что сеть
является ограниченной, безопасной, не живой и устойчивой.
§6. Заключение
Целью этой работы является получение опыта по построению метамодели
«асинхронный процесс» и ее модельной интерпретации в виде «сети Петри», а также
по исследованию их свойств.
На основе реального физического процесса - оцифровки звука на компьютере
(звукозаписи) - была построена метамодель асинхронный процесс «Звукозапись» P,
над ней были проведены операции репозиции, редукции и композиции процессов P и
вспомогательного процесса P3
«Подготовка к звукозаписи». Действия по составлению метамодели сопровождены
семантическими пояснениями. Проведен анализ свойств данного асинхронного
процесса.
Важной частью работы является построение сети Петри по данному
асинхронному процессу на основе структуры и логики поведения процесса. С
помощью этого инструмента изучены динамика и принципы функционирования
компонентов сети, а следовательно и компонентов процесса.