Использование пьезорезонансного эффекта для измерения физических величин

  • Вид работы:
    Дипломная (ВКР)
  • Предмет:
    Физика
  • Язык:
    Русский
    ,
    Формат файла:
    MS Word
    999,88 kb
  • Опубликовано:
    2012-03-26
Вы можете узнать стоимость помощи в написании студенческой работы.
Помощь в написании работы, которую точно примут!

Использование пьезорезонансного эффекта для измерения физических величин













Курсовая работа

по дисциплине «Физические основы измерений»

Использование пьезорезонансного эффекта для измерения физических велИчин











Минск 2010

СОДЕРЖАНИЕ

ВВЕДЕНИЕ

ОПИСАНИЕ ПРЕДЛОЖЕННОГО ФИЗИЧЕСКОГО ЭФФЕКТА, ВКЛЮЧАЯ ОСНОВНЫЕ ФОРМУЛЫ И РИСУНКИ, ПОЯСНЯЮЩИЕ ЭТОТ ЭФФЕКТ

.1 Резонанс

1.2 Резонансный метод

.2.1 Пьезорезонансные датчики

.2.2 Пьезорезонансные сенсоры на основе пектина

ИЗМЕРЕНИЕ ФИЗИЧЕСКИХ ВЕЛИЧИН НА ОСНОВЕ ДАННОГО ФИЗИЧЕСКОГО ЭФФЕКТА

.1 Применение резонанса

.2 Способ регистрации ионизирующих излучений

.3 Определение аммиака в воздухе

ИСТОЧНИКИ ПОГРЕШНОСТЕЙ, ОГРАНИЧИВАЮЩИХ ТОЧНОСТЬ ИЗМЕРЕНИЙ НА ОСНОВЕ ДАННОГО ФИЗИЧЕСКОГО ЭФФЕКТА

.1 Влияние факторов окружающей среды на пьезоэлектрические резонаторы

.2 Невысокая стабильность пьезорезонансных газовых сенсоров

ЗАКЛЮЧЕНИЕ

СПИСОК ИСПОЛЬЗУЕМОЙ ЛИТЕРАТУРЫ

ВВЕДЕНИЕ

пьезорезонансный эффект датчик физический

Разговор в этой работе пойдет о пьезорезонансном эффекте и его применении для измерения физических величин, а так же что легло в основу этого эффекта.

В первой главе описан предложенный мне эффект на основе пьезорезонансных датчиков и пьезорезонансных сенсорных, а так же объяснена суть резонанса.

Во второй главе приведены примеры, где используются описанные эффекты и что измеряется с помощью них.

В третьей главе описаны погрешности которые влияют на процесс измерения.

Рассмотрим все это поподробнее.

1 ОПИСАНИЕ ПРЕДЛОЖЕННОГО ФИЗИЧЕСКОГО ЭФФЕКТА, ВКЛЮЧАЯ ОСНОВНЫЕ ФОРМУЛЫ И РИСУНКИ, ПОЯСНЯЮЩИЕ ЭТОТ ЭФФЕКТ

.1 Резонанс

Резонанс (франц. resonance, от лат. resono - звучу в ответ, откликаюсь), явление резкого возрастания амплитуды вынужденных колебаний в какой-либо колебательной системе, наступающее при приближении частоты периодического внешнего воздействия к некоторым значениям, определяемым свойствами самой системы.

Вынужденные колебания, колебания, возникающие в какой-либо системе под действием переменной внешней силы (например, колебания мембраны телефона под действием переменного магнитного поля, колебания механической конструкции под действием переменной нагрузки и т.д.). Характер вынужденных колебаний определяется как характером внешней силы, так и свойствами самой системы. В начале действия периодической внешней силы характер вынужденных колебаний изменяется со временем (в частности, вынужденные колебания не являются периодическими), и лишь по прошествии некоторого времени в системе устанавливаются периодические вынужденные колебания с периодом, равным периоду внешней силы (установившиеся В. к.). Установление вынужденных колебаний в колебательной системе происходит тем быстрее, чем больше затухание колебаний в этой системе.

В частности, в линейных колебательных системах при включении внешней силы в системе одновременно возникают свободные (или собственные) колебания и вынужденные колебания, причём амплитуды этих колебаний в начальный момент равны, а фазы противоположны (рис. 1.1). После постепенного затухания свободных колебаний в системе остаются только установившиеся вынужденные колебания.

Рисунок 1.1 - Вынужденные колебания

В простейших случаях резонанс наступает при приближении частоты внешнего воздействия к одной из тех частот, с которыми происходят собственные колебания в системе, возникающие в результате начального толчка (рис. 1.2). Характер явления резонанса существенно зависит от свойств колебательной системы. Наиболее просто резонанс протекает в тех случаях, когда периодическому воздействию подвергается система с параметрами, не зависящими от состояния самой системы.

Рисунок 1.2 - Схема резонанса

1.2 Резонансный метод

Конструирование акселерометров развивалось в направлении использования эффекта резонанса. Основная концепция подобна представленной ранее для датчиков давления. Измеряется не отклонение инерционной массы, а изменение модуля упругости материала подвеса, связанное с изменением механических напряжений. Изменение упругости приводит к изменению собственной частоты миниатюрной гибкой структуры. Пьезоэлектрические возбуждающие и чувствительные элементы используются в цепи обратной связи для сохранения состояния резонанса. Резонансная частота является выходным сигналом, но которому определяют ускорение.

Резонансные методы исследования вещества можно отнести к числу наиболее информативных и точных. С их помощью можно изучать химический состав, симметрию, структуру, энергетический спектр вещества, электрические, спин-орбитальные, магнитные, сверхтонкие и суперсверхтонкие взаимодействия в нем. Эти методы могут удачно дополнять друг друга. Они нашли широкое применение в физике, химии, биологии и медицине.

.2.1 Пьезорезонансные датчики

На развитие практически всех отраслей приборостроения сегодня большое воздействие оказывает применение микропроцессоров и ЭВМ. Эта техника поднимает на новый уровень и пьезорезонансный метод измерений. Достижения в этой области также нашли отражение в работе. Можно уверенно говорить о том, что пьезорезонансные методы сформировались сегодня в самостоятельное, интенсивно развивающееся направление, играющее важную роль в технике измерений.

Чувствительным элементом в пьезорезонансных датчиках являются пьезоэлектрические резонаторы, в которых используются объемные или поверхностные акустические волны.

Рисунок 1.3 - Эквивалентная электрическая схема пьезоэлектрического резонатора

Такие пьезорезонаторы включаются в схему автогенератора и определяют его частоту. Воздействующим фактором на резонатор является температура, сила, давление, ускорение, влажность.

Рисунок 1.4 - Пьезоэлектрические резонаторы

Пьезорезистор на объемных волнах (ОВ) представляет собой конденсатор, диэлектриком которого является пьезоматериал.

Рисунок 1.5 - Пьезоэлемент:

- пластина из пьезоэлектрика; 2 - электроды из проводящего материала, наложенные на грани пластины

Пьезорезонатор в виде пластинки резонирует на трех основных частотах:

f1=, f2=, f3=, (1.1)

а также на гармониках (-частные постоянные).

Пьезорезистором на поверхностных акустических волнах (ПАВ) может служить встречно-штыревой преобразователь (рис. 1.3). Обычно выбирается а=h. В этом случае резонансная частота:

=, (1.2)

где - скорость распространения ПАВ.

Рисунок 1.6 - Пьезорезонатор на ПАВ

ПАВ-датчики строятся в основном по схеме с частотным выходом. Основа частотных датчиков - автогенератор, в качестве частотозадающего элемента используется линия задержки или резонатор на ПАВ. Как правило, используется дифференциальная схема с двумя автогенераторами и формирователем сигнала разностной частоты.

В ряде применений ПАВ-датчики выполняются по схеме с фазовым выходом.

Простейшая схема (рис. 1.4) содержит единственную линию задержки (ЛЗ) и генератор опорной частоты. Фазометр измеряет набег фазы  между входом и выходом. Недостаток схемы - зависимость времени задержки и разности фазы  не только от полезного воздействия на ЛЗ, но и от дестабилизирующих факторов, например температуры.








Рисунок 1.7 - Выполнение ПАВ-датчика по схеме с фазовым выходом

1.2.2 Пьезорезонансные сенсоры на основе пектина

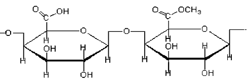
Пектины - высокомолекулярные соединения, имеющие молярную массу до 200 000 г/моль. Основу пектинов составляют цепи поли-в-галактуроновой кислоты, при этом часть карбоксильных групп этерифицирована (рис. 1.5). Содержание поли-в-галактуроновой кислоты в пектинах обычно превышает 75%, а доля неэтерифицированных карбоксильных групп колеблется от 30 до 70%.

Рисунок 1.5 - Фрагмент структуры пектина

Желеобразующие свойства пектиновых веществ используют в пищевой промышленности при производстве джема, мармелада, конфитюра и пастилы. Также пектины применяют в косметической промышленности в качестве стабилизаторов при изготовлении кремов и гелей. В медицинской практике используют способность пектина связывать и выводить из организма вредные вещества (ионы тяжелых металлов, радионуклидов, пестицидов), а также понижать уровень холестерина в крови. В фармацевтике добавление пектина к некоторым препаратам смягчает их побочное негативное влияние на организм, а также усиливает терапевтическое действие. В агрономии пектин используют в виде добавок в микробиологические среды, а также в качестве консервантов почвы. В настоящей работе пектины были использованы в качестве высокомолекулярных сорбентов, содержащих большое количество карбоксильных групп, способных к кислотно-основному взаимодействию с аммиаком. Пектины были выделены из плодов и ягод, из свекловичного жома по стандартной методике. Пектины были использованы для получения газочувствительных слоев пьезокварцевых сенсоров. Установлено, что сенсоры на основе пектинов обладают достаточно высокой чувствительностью по отношению к аммиаку (280-800 (Гц-м3)/г). Полученные сенсоры обладают высокой стабильностью и селективностью (перекрестная чувствительность к ацетону, этанолу, гексану, толуолу и хлороформу не превысила 1%).


2 ИЗМЕРЕНИЕ ФИЗИЧЕСКИХ ВЕЛИЧИН НА ОСНОВЕ ДАННОГО ФИЗИЧЕСКОГО ЭФФЕКТА

.1 Применение резонанса

Механика. Наиболее известная большинству людей механическая резонансная система - это обычные качели. Если вы будете подталкивать качели в соответствии с их резонансной частотой, размах движения будет увеличиваться, в противном случае движения будут затухать. Резонансную частоту такого маятника с достаточной точностью в диапазоне малых смещений от равновесного состояния, можно найти по формуле:

 (2.1)

где g- это ускорение свободного падения (9,8 м/с² для поверхности Земли);- длина от точки подвешивания маятника до центра его масс.

Важно, что резонансная частота не зависит от массы маятника. Также важно, что раскачивать маятник нельзя на кратных частотах (высших гармониках), зато это можно делать на частотах, равных долям от основной (низших гармониках).

Электроника. В электронных устройствах резонанс возникает на определённой частоте, когда индуктивная и ёмкостная составляющие реакции системы уравновешены, что позволяет энергии циркулировать между магнитным полем индуктивного элемента и электрическим полем конденсатора.

Механизм резонанса заключается в том, что магнитное поле индуктивности генерирует электрический ток, заряжающий конденсатор, а разрядка конденсатора создаёт магнитное поле в индуктивности - процесс, который повторяется многократно, по аналогии с механическим маятником.

СВЧ. В СВЧ электронике широко используются объёмные резонаторы, чаще всего цилиндрической или тороидальной геометрии с размерами порядка длины волны, в которых возможны добротные колебания электромагнитного поля на отдельных частотах, определяемых граничными условиями. Наивысшей добротностью обладают сверхпроводящие резонаторы, стенки которых изготовлены из сверхпроводника и диэлектрические резонаторы с модами шепчущей галереи.

Оптика. В оптическом диапазоне самыми распространенными резонаторами являются резонаторы типа Фабри-Перо, образованные парой зеркал, между которыми в резонансе устанавливается стоячая волна. Применяются также кольцевые резонаторы с бегущей волной и оптические микрорезонаторы с модами типа шепчущей галереи.

Акустика. Резонанс - один из важнейших физических процессов, используемых при проектировании звуковых устройств, большинство из которых содержат резонаторы, например, струны и корпус скрипки, трубка у флейты, корпус у барабанов.

.2 Способ регистрации ионизирующих излучений

Способ заключается в том, что поток частиц направляют на колеблющийся пьезорезонансный датчик и регистрируют изменение периода или фазы колебания датчика, вызванное актом взаимодействия излучения с материалом пьезорезонансного датчика и пропорциональное величине ионизации. Технический результат: регистрация сравнительно малых потоков ионизирующих излучений (103 частиц/с и меньше) с энергией до единиц МэВ.

Известно большое число методов регистрации ионизирующих излучений, основанных на различных физических принципах Большинство из них основано на регистрации ионизирующей способности излучения, то есть на образовании за счет энергии излучения в веществе детектора пар носителей заряда (свободных электронов и положительно заряженных ионов или дырок). Образующиеся в результате взаимодействия излучения с веществом пары зарядов далее могут быть зарегистрированы по оптическому эффекту (сцинтилляционный детектор) или непосредственно электронными методами (ионизационная камера, счетчик Гейгера, полупроводниковый детектор). Указанные способы пригодны для регистрации малых потоков ионизирующего излучения и отдельных частиц, но наряду с достоинствами каждому из методов свойственны свои недостатки и ограничения. Практически все известные методы детектирования ионизирующих излучений требуют наличия источника высокого напряжения для питания детектора (газоразрядные и полупроводниковые детекторы) или фотоэлектронного умножителя (сцинтилляционные детекторы). Наиболее близким по физической сущности к заявляемому является способ регистрации ионизирующего излучения с помощью пьезоэлектрических преобразователей. Этот способ используется для регистрации интенсивных пучков заряженных частиц и отдельных частиц высоких энергий. Поток частиц или одиночная частица высокой энергии проходит сквозь материал датчика, вызывая ионизацию вещества, и, как следствие, акустическую волну. Технически способ реализуется в виде устройства, идентичного датчику вибраций (пьезоэлектрический микрофон, гидрофон). В рассматриваемом способе в качестве чувствительного элемента детектора используют пьезоэлемент, сигнал с которого усиливается малошумящим усилителем и далее подается на регистрирующее устройство. Детектируемой величиной является напряжение сигнала, возникающее на пьезоэлементе в результате вибрации, вызванной акустической волной в веществе, возникающей при прохождении частицы высокой энергии. Для детектирования элементарных частиц сравнительно малых энергий (единицы МэВ) такой метод регистрации может быть применен только в случае больших потоков частиц. Акустический сигнал, возбуждаемый отдельной частицей, в этом случае оказывается примерно на пять порядков ниже порога регистрации. Таким образом, этот способ не обладает достаточной чувствительностью и не может быть использован для регистрации малых потоков ионизирующих излучений, например, в целях дозиметрии.

Задачей изобретения является разработка способа регистрации сравнительно малых потоков ионизирующих излучений (103 частиц/с и меньше) с энергией до единиц МэВ, пригодного для целей дозиметрии и для регистрации отдельных ионизирующих частиц в указанном диапазоне энергии.

Решение поставленной задачи достигается тем, что в известном способе регистрации ионизирующего излучения, заключающемся в том, что детектор помещают в поле ионизирующего излучения, новым является то, что в качестве детектора используют пьезорезонансный датчик и регистрируют изменение периода или фазы колебаний датчика, вызванное актом взаимодействия излучения с материалом пьезорезонансного датчика и пропорциональное величине ионизации.

В заявленном способе в отличие от прототипа вместо пьезоэлемента применены пьезорезонансный датчик и соответствующая методика детектирования сигнала с, позволяющая многократно повысить чувствительность детектора. Пьезорезонансные датчики широко применяются для измерений температуры, ускорения, давления, механических напряжений и т.п.

Сущность и новизна предлагаемого способа основаны на экспериментально обнаруженном факте, что пьезорезонансный датчик является элементом, чувствительным к ионизирующему излучению. Способ заключается в том, что в поле ионизирующего излучения помещают колеблющийся пьезорезонансный датчик, включенный в схему, позволяющую регистрировать малые изменения частоты (фазы) колебаний датчика, вызванные актом взаимодействия излучения с материалом резонатора и пропорциональные величине ионизации.

В качестве источника бета-частиц был использован радиоактивный элемент Sr90 .Примененный образец обеспечивал величину потока частиц, направляемых на датчик, около 103 частиц/с. В качестве чувствительных элементов в детекторе были использованы вакуумные резонаторы с паспортной частотой 100 кГц, подобранные по частоте с точностью до единиц герц. Эти резонаторы служат частотозадающими элементами генераторов .Поток бета-частиц подается на один из резонаторов .Заслонка позволяет перекрыть поток бета-частиц или направить его на резонатор. Поток частиц, взаимодействуя с материалом резонатора, вызывает изменение частоты (фазы) колебаний резонатора. Взаимно синхронизированные генераторы образуют схему синхронного детектирования, позволяющую на экране осциллографа наблюдать эффект воздействия ионизирующего излучения на резонатор. Для взаимной синхронизации генераторов колебаний служит конденсатор связи с емкостью порядка нескольких пикофарад. Емкость конденсатора подбирается таким образом, чтобы время взаимной синхронизации составляло величину порядка секунды. На осциллографе наблюдается изменение положения точки пересечения нуля сигнала, снимаемого с одного из генераторов в зависимости от положения заслонки. Компаратор 597СА1 в описываемом детекторе был применен для преобразования колебаний одного из генераторов в прямоугольные импульсы для того, чтобы ожидаемый эффект было удобнее наблюдать на экране осциллографа.

В результате опытов с детектором было найдено, что облучение резонатора потоком бета-частиц Sr90 интенсивностью порядка 103 частиц/с приводит к увеличению периода колебаний соответствующего резонатора на 3±1 нс. Увеличение или уменьшение потока ионизирующего излучения приводят к соответствующему пропорциональному потоку изменения периода колебаний резонатора.

Обнаруженный эффект позволяет конструировать детекторы ионизирующего излучения на основе пьезорезонансных датчиков, причем эти приборы будут отличаться компактностью, относительной простотой, высокой надежностью и радиационной стойкостью. Особенно перспективны для использования в качестве детекторов изучений резонаторы на основе пьезоматериалов, имеющих больший, чем у кремния, атомный номер и удельный вес, таких как титанат бария, танталат лития и др.

Формула изобретения: Способ регистрации ионизирующих излучений, заключающийся в том, что в поле ионизирующего излучения помещают детектор, отличающийся тем, что в качестве детектора используют пьезорезонансный датчик и регистрируют изменение периода или фазы колебаний датчика, вызванное актом взаимодействия излучения с материалом пьезорезонансного датчика и пропорциональное величине ионизации.

.3 Определение аммиака в воздухе

Определение аммиака в воздухе является важной практической задачей в связи с его широким использованием в производстве азотных удобрений, взрывчатых веществ, полимеров, азотной кислоты и соды. Запах аммиака ощущается при концентрации 37 мг/м3, в то время как предельно допустимая концентрация в воздухе рабочей зоны производственного помещения составляет всего 20 мг/м3. Оптимальным способом мониторинга содержания аммиака в атмосфере является применение химических сенсоров. Известные монографии Каттралла и Эггинса рекомендуют использовать гравиметрические пьезорезонансные сенсоры с газочувствительными слоями на основе пиридоксина гидрохлорида (витамин В6) или аскорбиновой кислоты (витамин С).

Однако важной проблемой пьезорезонансных газовых сенсоров является невысокая стабильность. Сдвиговые колебания пьезокварцевого резонатора с частотой 8-10 МГц являются причиной десорбции газочувствительного слоя с поверхности электрода, что приводит к уменьшению аналитического сигнала, а также к смещению фонового значения частоты резонатора. Особенно это относится к газочувствительным слоям на основе сорбентов с низкой молярной массой, какими являются пири-доксина гидрохлорид (205,6 г/моль) и аскорбиновая кислота (176 г/моль).

Специально разработанный прибор позволял регистрировать частоту десяти сенсоров одновременно, выводить эти показания в режиме on-line в компьютер, фиксировать и обрабатывать. Сенсоры были установлены в проточной ячейке, через которую продувался воздух, являющийся эталонной средой, или газовые смеси, сформированные газосмесительной установкой. Аналитическим сигналом являлось изменение частоты колебаний сенсора в результате замены воздуха на газовую смесь (рис. 2.1).

Рисунок 2.1 - Аналитический сигнал

Уравнением Зауэрбрея связывает изменение частоты колебаний кварцевого резонатора () с изменением массы электродов (), соответствующим сорбции аналита:

=-* (2.2)

где f -исходная частота колебаний резонатора;

 - скорость звука в кварце;

 - плотность кварца.

Чувствительность пьезогравиметрических химических сенсоров для газового анализа рассчитывалась как изменение отклика сенсора в диапазоне изменения концентрации аналита от 0,01 до 1,5 г/м3. Уравнение градуировочной зависимости, коэффициент корреляции и стандартное отклонение результатов от градуировочной зависимости () рассчитывали с использованием компьютерной программы Origin5.0. Предел обнаружения  рассчитывали по формуле:

= (2.3)

3 ИСТОЧНИКИ ПОГРЕШНОСТЕЙ, ОГРАНИЧИВАЮЩИХ ТОЧНОСТЬ ИЗМЕРЕНИЙ НА ОСНОВЕ ДАННОГО ФИЗИЧЕСКОГО ЭФФЕКТА

.1 Влияние факторов окружающей среды на пьезоэлектрические резонаторы

Здесь кратко рассмотрим влияние на параметры пьезорезонаторов электрических и магнитных полей и радиоактивного излучения. Воздействия этого типа хотя и не используются в качестве управляющих при построении ПРД, могут оказывать заметное влияние на функционирование датчиков.

Влияние электрических полей. Частота и потери кварцевых резонаторов зависят от прикладываемого к пьезоэлементу электрического поля e весьма слабо. Коэффициент, характеризующий влияние поля на частоту:

 = дf/fдe (3.1)

не превышает 10-10 мм/в, т.е. при напряженности e=103 в/мм относительные изменения частоты составляют не более . Зависимость  близка к линейной. Основной вклад в изменение частоты дает вариация упругих констант (электроупругий эффект).

Для пьезокерамических материалов влияние электрического поля проявляется намного сильней. При напряженностях поля, близких к пробойным (e  1020 кв/мм), изменения частоты могут достигать 10-15 %. Столь большие эффекты связаны с перестройкой структуры материала под действием поляризующего поля. Зависимость частоты от поля носит ярко выраженный гистерезисный характер.

Влияние магнитных полей. Изменение физических констант пьезо-материалов в магнитном поле невелико. Статическое магнитное поле с индукцией 0,2 тл изменяет частоту кварцевых пр на 10_6 /р. Тем не менее пьезорезонаторы могут обнаруживать сильную реакцию на магнитные поля, если электроды возбуждения или элементы конструкции прд выполняются из магнитных или магнитострикционных материалов.

Влияние радиационных воздействий. Кварц и пьезокерамика могут быть отнесены к числу радиационно стойких материалов электронной техники. При использовании специальных сортов сырья и методов его обработки [1] кварцевые пьезорезонаторы могут иметь относительные уходы частоты не более 2 10-7 при облучении потоком нейтронов 1014 нейтр/см2 или при дозе -облучения 107 р. Пьезорезонаторы перестают возбуждаться при потоках свыше 1017 нейтр/см2. Пьезокерамические материалы сохраняют свою работоспособность при нейтронных потоках с дозой 1018 нейтр./см2.

Старение кварцевых резонаторов. Старением пр называют процесс систематических необратимых уходов частоты во времени, вызываемых изменениями физических свойств кристалла, элементов конструкции и физико-химических условий среды, в которой резонатор функционирует. Старение связано с целым комплексом явлений, происходящих в самом кристалле, на границе кристалла и пленочных покрытий, на границе кристалла и держателей, в пленочных покрытиях, в держателях и, наконец, в баллоне, в котором заключен кристалл.

К наиболее серьезным источникам старения относятся:

разрушение поверхностного слоя кристалла;

развитие и заживление микротрещин, возникающих в кристалле в процессе его механической обработки;

процессы релаксации кристалла из энергетически неустойчивого, возникшего в процессе обработки состояния в основное устойчивое;

диффузия примесей в кристалле;

Изменение физических свойств пленок, держателей, сорбционные процессы на поверхности кристалла и электродов. Для снижения старения используются обработка поверхностей асимптотическими методами (шлифование, полирование, травление), их химическая очистка, химическая и термообработка металлических и диэлектрических элементов конструкции пр и их обезгаживание, герметизация и вакуумизация пьезовибратора, термообработка готового пр. Процесс старения кварцевых резонаторов поддается прогнозированию. Резонаторы одной партии имеют обычно близкие характеристики старения.

Скорость старения максимальна в первые дни после изготовления пр; с течением времени процесс старения замедляется. Как правило, чем более устойчивы условия работы пр (температура, уровень возбуждения, вибрации и т.д.), тем меньше необратимые уходы частоты. Старение в существенной мере зависит от конструкции пр. Для негерметизированных резонаторов основным механизмом старения являются процессы сорбции частиц на поверхности пьезоэлемента и окисление электрода - пленки. За первый год эксплуатации старение негерметизированных резонаторов ат- и bt-среза на частоты 6-16 мгц в среднем составляет 50-10-6. Значительно меньшим старением обладают герметизированные и особенно вакуумные резонаторы.

На старение частоты резонаторов в датчиках должны существенно влиять особенности конструктивного выполнения этих датчиков. В общем случае необратимые сдвиги выходной частоты пр в датчиках оказываются не меньшими, чем у резонаторов аналогичного типа в стандартном исполнении. Это связано с большей конструктивной сложностью прд, несовершенством технологии, малой изученностью средств борьбы со старением прд. Некоторое снижение погрешностей старения может быть достигнуто построением датчиков по дифференциальной схеме.

Погрешности нуля от старения для многих датчиков оказываются нередко более значительными, чем температурные погрешности. В первую очередь это относится к датчикам на основе высокочастотных сдвиговых резонаторов.

3.2 Невысокая стабильность пьезорезонансных газовых сенсоров

Значительной проблемой, ограничивающей применение пьезорезонансных сенсоров, является их недостаточная стабильность. Низкомолекулярные сорбенты не позволяют выдерживать более 10-50 циклов сорбции аммиака с последующей десорбцией. На (рис. 3.1) представлены зависимости чувствительности сенсоров от времени их работы при определении аммиака.

Рисунок 3.1 - Зависимости чувствительности сенсоров от времени их работы при определении аммиака

Свежий газочувствительный слой на основе пиридоксина гидрохлорида показывал весьма высокую чувствительность, однако в результате работы сенсора она быстро уменьшалась (кривая 1 рис. 3). Одновременно уменьшалась толщина газочувствительного слоя (относительная потеря его массы на протяжении 170 часов работы составила 0,33). Стабильность работы сенсора тем выше, чем меньше относительное стандартное отклонение  его откликов (или чувствительности). Для сенсора с газочувствительным слоем на основе пиридоксина гидрохлорида чувствительность определения аммиака была 1550 ± 560 (Гц-м3)/г, а относительное стандартное отклонение чувствительности  составило достаточно большую величину 0,36, что свидетельствует о невысокой стабильности.

Сенсоры с газочувствительными слоями на основе аскорбиновой кислоты имели меньшую чувствительность - 368 ± 240 (Гц-м3)/г. Ее снижение в ходе работы сенсора (кривая 3 на рис. 3) было еще более значительным, чем в случае пиридокси-на гидрохлорида. Это нетрудно объяснить меньшей величиной молекулярной массы аскорбиновой кислоты по сравнению с пиридоксина гидрохлоридом (более легкие молекулы легче десорбируются). Относительная потеря массы газочувствительного слоя на протяжении всего эксперимента составила 0,47. Большая величина относительного стандартного отклонения результатов измерения чувствительности ( = 0,65) свидетельствует о весьма невысокой стабильности.

Чувствительность сенсоров на основе рябинового пектина достаточно высока 797 ± 52 (Гц • м3)/г, она мало изменяется в ходе эксперимента (кривая 2 на рис. 3). Относительная потеря массы составила 0,07, а относительное стандартное отклонение  - всего 0,065, что свидетельствует о весьма высокой стабильности.

Таким образом, пьезорезонансные сенсоры на основе пектина имеют преимущества при определении аммиака по сравнению с ранее предложенными сенсорами. Предел обнаружения аммиака сенсоров на основе рябинового пектина составил 12,5 мг/м3, что ниже ПДК воздуха рабочей зоны. Такие сенсоры могут быть применены для создания газоаналитических приборов, позволяющих проводить контроль газовой среды при выбросах аммиака, а также на производственных участках, где его локальная концентрация высока.

ЗАКЛЮЧЕНИЕ

В современной технике стабилизации частоты ведущее место занимают пьезоэлектрические приборы. Постоянно расширяются и области применений пьезоприборов резонансного типа.

Если раньше основной сферой применений пьезорезонаторов были радиотехнические системы и устройства связи, то сегодня рынок этих устройств решающим образом определяется потребностями часовой промышленности, микропроцессорной техники, производством товаров культурно-бытового назначения.

Бурный прогресс пьезоэлектроники за последние десятилетия создал хороший фундамент для развития перспективного направления в технике измерений - пьезорезонансных датчиков, работа которых основана на управлении параметрами пьезорезонаторов и других типов пьезоприборов резонансного типа внешними воздействиями.

Сегодня группа пьезорезонансных датчиков, по многообразию решаемых задач одна из наиболее обширных, включает большое число средств измерения механических параметров (усилий, давлений, ускорений, массы, угловых скоростей, моментов, деформаций и т.п.), тепловых приборов (термодатчиков, датчиков расхода, вакуума, измерителей электрических параметров, датчиков тепловых потоков), устройств для контроля составов, концентраций газов, влажности, микромасс. Пьезорезонансные методы широко используются в экспериментальных исследованиях. По разрешающей способности и точности эти устройства во многих случаях превосходят преобразователи, выполненные на других физических принципах. В первую очередь это относится к измерениям механических величин, температуры, микровзвешиванию. Расширяется й область применений этих датчиков. Они используются в производстве и научных исследованиях, встраиваются в технологическое оборудование, применяются для контроля микроклимата и параметров окружающей среды, в робототехнике, медицине, авиационной и космической технике и во многих других областях.

4 СПИСОК ИСПОЛЬЗУЕМОЙ ЛИТЕРАТУРЫ

1 Агеев, О.А., Мамиконова, В.М., Петров, В.В., Котов, В.Н., Негоденко, О.Н. Микроэлектронные преобразователи неэлектрических величин/ О.А. Агеев, В.М. Мамиконова, В.В. Петров, В.Н. Котов, О.Н. Негоденко//Таганрог. - 2000. - С. 127-128.

Селеменов, В.Ф., Калач, А.В. Теоретические основы определения органических соединений с применением пьезорезонансных сенсоров/ В.Ф. Селеменов, А.В. Калач// 2005. - С. 1-5.

Калач, А.В. Определение токсикантов, физиологически активных в-в пьезосенсорами в газовых и жидких средах/ А.В. Калач// Воронеж. - 2008. - 40 с.

Малов, В.В. Пьезорезонансные датчики/В.В. Малов//Москва, 1989. - 137 с.

Похожие работы на - Использование пьезорезонансного эффекта для измерения физических величин

 

Не нашли материал для своей работы?
Поможем написать уникальную работу
Без плагиата!
Без нейросетей!