|
|
2
|
-1
|
M13 =
|
|
4
|
-3
|
|
= 4 * 1 - ( -3) * 2 = 4 - ( -6) =
10
|
|
|
2
|
1
|
|
|
A13
= ( -1 ) 1+3 * M 13 = ( -1 ) 1+3 * 10 = 10
|
M21 =
|
|
1
|
-1
|
|
= 1 * ( -1) - ( -1) * 1 = ( -1) -
( -1) = 0
|
|
|
1
|
-1
|
|
|
A21
= ( -1 ) 2+1 * M 21 = ( -1 ) 2+1 * 0 = 0
|
M22 =
|
|
1
|
-1
|
|
= 1 * ( -1) - ( -1) * 2 = ( -1) -
( -2) = 1
|
|
|
2
|
-1
|
|
|
A22
= ( -1 ) 2+2 * M 22 = ( -1 ) 2+2 * 1 = 1
|
M23 =
|
|
1
|
1
|
|
= 1 * 1 - 1 * 2 = 1 - 2 = -1
|
|
|
2
|
1
|
|
|
A23
= ( -1 ) 2+3 * M 23 = ( -1 ) 2+3 * ( -1) = 1
|
M31 =
|
|
1
|
-1
|
|
= 1 * 1 - ( -1) * ( -3) = 1 - 3 =
-2
|
|
|
-3
|
1
|
|
|
A31
= ( -1 ) 3+1 * M 31 = ( -1 ) 3+1 * ( -2) = -2
|
M32 =
|
|
1
|
-1
|
|
= 1 * 1 - ( -1) * 4 = 1 - ( -4) =
5
|
|
|
4
|
1
|
|
|
A32
= ( -1 ) 3+2 * M 32 = ( -1 ) 3+2 * 5 = -5
|
M33 =
|
|
1
|
1
|
|
= 1 * ( -3) - 1 * 4 = ( -3) - 4 =
-7
|
|
|
4
|
-3
|
|
|
A33
= ( -1 ) 3+3 * M 33 = ( -1 ) 3+3 * ( -7) = -7
|
Осталось, только записать
обратную матрицу.
|
A
* X = B X = A-1 * B
В)
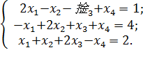
Решим систему уравнений по методу Жордана - Гаусса
|

|
+
|
|
x2
|
|
-
|
x3
|
=
|
-
|
2
|
|
|
4
|
x1
|
-
|
3
|
x2
|
+
|
|
x3
|
=
|
|
1
|
|
|
2
|
x1
|
+
|
|
x2
|
|
-
|
x3
|
=
|
|
1
|
|
Прямой ход.
Матрица строка, которая располагается между преобразованиями и есть строка,
которую мы отнимаем.
|
|
Из элементов строки 2 вычитаем
соответствующие элементы строки 1, умноженные на 4 . Из
элементов строки 3 вычитаем соответствующие элементы строки 2, умноженные
на 7.
|
|
В данном случае
ранг основной и расширенной матрицы равен 3 .
|
Задание
№2. Методом Жордана-Гаусса найти все системы с базисом, эквивалентные данной
системе уравнений. Определить соответствующие базисные решения. Проверить
полученные решения подстановкой в каждое уравнение исходной системы.
|
Операции проводятся только с
коэффициентами системы. Расширенная матрица - это просто форма записи нашей
системы уравнений, и ничего более. На каждом шаге решения справа
располагается система уравнений эквивалентная матрице.
|
|
Из элементов строки 2 вычитаем
соответствующие элементы строки 1, умноженные на -1 .
|
|
|
- 1
|
- 1
|
- 2
|
1
|
|
- 2
|
|
|
|
1 1
2 - 1 2 0
3 3 0 6 2 - 1 - 1 1 1
|
x1
+ x2 + 2 x3 - x4 = 2 3 x2
+ 3 x3 = 6 2 x1 - x2 - x3
+ x4 = 1
|
|
Из элементов строки 3 вычитаем
соответствующие элементы строки 1, умноженные на 2 .
|
|
|
2
|
2
|
4
|
- 2
|
|
4
|
|
|
|
1 1
2 - 1 2 0
3 3 0 6 0 - 3 - 5 3 - 3
|
x1
+ x2 + 2 x3 - x4 = 2 3 x2
+ 3 x3 = 6 - 3 x2 - 5 x3 +
3 x4 = - 3
|
|
Из элементов строки 3 вычитаем
соответствующие элементы строки 2, умноженные на -1 .
|
|
|
0
|
- 3
|
- 3
|
0
|
|
- 6
|
|
|
|
1 1
2 - 1 2 0
3 3 0 6 0 0 - 2 3 3
|
x1
+ x2 + 2 x3 - x4 = 2 3 x2
+ 3 x3 = 6 - 2 x3 + 3 x4
= 3
|
|
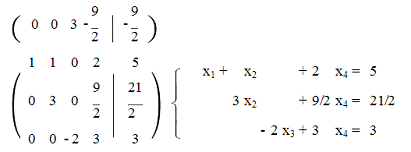
Из элементов строки 1 вычитаем
соответствующие элементы строки 3, умноженные на -1 .
|
|
|
0
|
0
|
2
|
- 3
|
|
- 3
|
|
|
|
1 1
0 2 5 0
3 3 0 6 0 0 - 2 3 3
|
x1
+ x2 + 2 x4 = 5 3 x2 + 3
x3 = 6 - 2 x3 + 3 x4 =
3
|
|
Из элементов строки 2 вычитаем
соответствующие элементы строки 3, умноженные на -3/2 .
|
|
Из элементов строки 1 вычитаем
соответствующие элементы строки 2, умноженные на 1/3 .
|
|
Элементы строки 2 разделим на 3
.
|
Если
x4= 0, то
x1
+ ½
*0 = 3/2, x1=3/2
x2
+3/2*0 = 7/2, x2=
7/2
x3
-3/2*0 = -3/2, x3=-3/2
x
= (3/2, 7/2, -3/2, 0)
Задание
№3. Даны
координаты векторов А1, А2, А3, А4 в некотором базисе. Показать, что все эти
векторы образуют базис, и найти координаты вектора В в данном базисе методом
замещения вектора в базисе.
А1=(1,2,3,4);
А2=(2,1,2,3); А3=(3,2,1,2); А4=(4,3,5,1);
В=(5,1,1,-5).
Задание
№4.Даны
четыре вектора А1, А2, А3, А4 в
единичном базисе. Замещением вектора в базисе определить ранг, все базисы
данной системы векторов и разложение свободных векторов по базису.
А1= ,А2= ,А3= А4=
Контрольная работа
№1.
В ящике 20 деталей, из которых 12 стандартные. Из ящика взяли 6 деталей. Найти
вероятность того, что из них 4 детали стандартные.
№2.Два
стрелка производят по одному выстрелу в мишень. Вероятность попадания в мишень
первым стрелком равна 0,9, а вторым 0,8. Найти вероятность того, что мишень
поразит: а) только один стрелок, б) хотя бы один из стрелков.
№3. Два
автомата производят детали, которые поступают на общий конвейер. Вероятность
получения стандартной детали на первом автомате равна 0,95, а на втором 0,8.
Производительность второго автомата вдвое больше, чем первого. Наудачу взятая с
конвейера деталь оказалась стандартной. Найти вероятность того, что эта деталь
изготовлена на первом автомате.
№4. Найти
вероятность того, что в п независимых испытаниях событие появится не
мениек раз, зная, что в каждом испытании вероятность появления события
равна р.
п=6; к=3; р=0,5.ъ
№5. В
задаче предполагается, что поток событий - простейший.
Среднее
число самолетов, прибывающих в аэропорт за 1 мин., равно двум. Найти
вероятность того, что за 4 мин. Прибудут: а) пять самолетов, б) менее пяти
самолетов, в) не менее пяти самолетов.
№6.
В задаче требуется найти: а) математическое ожидание, б) дисперсию, в) среднее
квадратическое отклонение дискретной случайной величины Х по закону ее распределения,
заданному рядом распределения (в первой строке таблицы указаны возможные
значения, во второй строке - вероятности возможных значений).
х 12,6 13,4 15,2 17,4 18,6
р 0,2 0,2 0,4 0,1 0,1
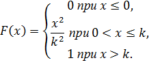
№7.
Непрерывная случайная величина Х задана функцией распределения
Требуется: а) найти плотность распределения f(x),
б) найти математическое ожидание, дисперсию и среднее квадратическое отклонение
х, в) найти вероятность того, что Х примет значение, заключенное
в интервале г) построить
график функции
№8.Заданы
математическое ожиданиеm
и среднее квадратическое отклонение нормально
распределенной случайной величины Х.
Требуется
найти: а) вероятность того, что Х примет значение, принадлежащее
интервалу (a,b),
б) вероятность того, что абсолютная величина отклонения X-mокажется
меньше .
№1.
Решить графически задачу линейного программирования f=2x1+3x2
x1,
x2≥0.
№2.Для
изготовления двух видов продукции Р1 и Р2
используется три вида сырья S1,
S2
и S3.
Запасы сырья Si
равны bi
кг. Количество единиц сырьяSi,
затрачиваемое на изготовление единицы продукции Рj,
равно aij
кг. Величина прибыли, получаемой от реализации единицы продукции Рj,
равна cj
(i=1,2,3;
j=1,2).
Составить план выпуска продукции, чтобы при ее
реализации получить максимальную прибыль, и определить величину максимальной
прибыли. Решить задачу симплекс-методом.
a11=19,
a21=16,
a31=19,
a12=26,
a22=17,
a32=8,
b1=855,
b2=640,
b3=874,
c1=5,
c2=4.
№3.Решить
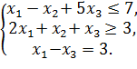
задачу линейного программирования методом искусственного базиса.
f=-x1-2x2+2x3
x1,
x2, ≥ 0.
№4.
В клетках таблицы поставлены значенияcij
- стоимости перевозки единицы груза из i-го
пункта отправления в j-й
пункт назначения; справа -запасы ai
груза в i-м
пункте отправления; внизу - потребности bj
в грузе в j-м
пункте назначения. Решить соответствующую транспортную задачу методом
потенциалов.
Похожие работы на - Линейные алгебраические уравнения
|