Автокорреляционная функция. Примеры расчётов
Курсовая
работа
Тема:
Автокорреляционная
функция. Примеры расчётов
Введение
Периодическая зависимость играть роль общего типа компонентов временного
ряда. Не сложно заметить, что каждое наблюдение очень похоже на пограничное; к
тому же имеется повторяющаяся периодическая составляющая, что означает, что
каждое наблюдение также похоже на наблюдение, имевшееся в том же самое время
период назад.
В общей сложности, периодическая зависимость может быть формально
определена как корреляционная зависимость порядка n между каждым i-м элементом
ряда и (i-n) - м элементом. Ее можно измерять с помощью автокорреляции (т.е.
корреляции между самими членами ряда); n обычно называют лагом (иногда
используют эквивалентные термины: сдвиг, запаздывание). Если оплошность
измерения не слишком большая, то периодичность можно определить визуально,
рассматривая поведение членов ряда через каждые n временных единиц.
Периодические составляющие временного ряда могут быть отысканы с помощью
коррелограммы. Коррелограмма (автокоррелограмма) представляет численно и
графически автокорреляционную функцию. Другими словами, коэффициенты
автокорреляции для последовательности шагов из определенного диапазона. На
коррелограмме просто отмечается диапазон в размере двух стандартных ошибок на
каждом лаге, однако обычно величина автокорреляции более интересна, чем ее
надежность, потому что интерес в основном представляют очень сильные
автокорреляции [6, 207].
При изучении коррелограмм следует знать следующее: автокорреляции
последовательных лагов формально зависимы между собой.
Рассмотрим пример. Если первый член ряда тесно связан со вторым, а второй
с третьим, то первый элемент должен также каким-то образом зависеть от третьего
и т.д. Это приводит к тому, что периодическая зависимость может существенно
измениться после удаления автокорреляций первого порядка, (т.е. после взятия
разности с лагом 1).
Цель работы:
1. Дать основные теоретические сведения
2. Дать примеры расчета АКФ
1.
Теоретические сведения
.1
Коэффициент автокорреляции и его оценка
Для совершенной характеристики случайного движения недостаточно его
математического ожидания и дисперсии. Вероятность того, что на определенном
месте возникнут те или иные конкретные значения зависит от того, какие роли
случайная величина получила раньше или будет получать позже.
Другими словами, существует поле рассеяния пар значений x(t), x (t+n)
временного ряда, где n - постоянный интервал или задержка, которая
характеризует зависимость последующих реализаций процесса от предыдущих.
Теснота этой взаимосвязи оценивается коэффициентами автоковариации -
g (n) = E[(x(t) - m) (x (t + n) - m)] -
и автокорреляции
r (n) = E[(x(t) - m) (x (t + n) - m)] / D,
где m и D - математическое ожидание и дисперсия случайного процесса. Для
расчета автоковариации и автокорреляции реальных процессов необходима
информация о совместном распределении вероятностей уровней ряда p (x(t1),
x(t2)).
(n) = g (n) /g (0),
откуда вытекает, что r (0) = 1. В тех же условиях стационарности
множитель корреляции r (n) между двумя значениями временного ряда зависит лишь
от величины временного интервала n и не зависит от самих моментов наблюдений t.
В статистике имеется несколько выборочных оценок теоретических значений
автокорреляции r (n) процесса по конечному временному ряду из n наблюдений.
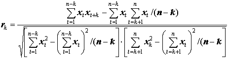
Наиболее популярной оценкой является нециклический коэффициент автокорреляции с
задержкой n
автокорреляционный функция excel расчет
Главным
из различных коэффициентов автокорреляции является первый - r1, измеряющий
тесноту связи между уровнями x(1), x(2),…, x (n -1) и x(2), x(3),…, x(n).
Распределение
коэффициентов автокорреляции неизвестно, поэтому для оценки их правдивости
иногда используют непараметрическую теорию Андерсона (1976), предложившего
статистику [4, 112]
=
r1 (n -1)0.5,
которая
при достаточно большой выборке распределена нормально, имеет нулевую среднюю и
дисперсию, равную единице (Тинтнер, 1965).
1.2
Автокорреляционные функции
Последовательность коэффициентов корреляции rn, где n = 1, 2,…, n, как
функция интервала n между наблюдениями называется автокорреляционной функцией.
Вид выборочной автокорреляционной функции тесно связан со структурой
ряда.
· Автокорреляционная функция rn для «белого шума», при n >0,
также образует стационарный временной ряд со средним значением 0.
· Для стационарного ряда АКФ быстро убывает с ростом n. При
наличии отчетливого тренда автокорреляционная функция приобретает характерный
вид очень медленно спадающей кривой [3, 268].
· В случае выраженной сезонности в графике АКФ также
присутствуют выбросы для запаздываний, кратных периоду сезонности, но эти
выбросы могут быть завуалированы присутствием тренда или большой дисперсией
случайной компоненты.
Рассмотрим примеры автокорреляционной функции:
· на рис. 1 представлен график АКФ, характеризующегося
умеренным трендом и неясно выраженной сезонностью;
· рис. 2 демонстрирует АКФ ряда, характеризующегося
феноменальной сезонной детерминантой;
· практически незатухающий график АКФ ряда (рис. 3)
свидетельствует о наличии отчетливого тренда.
Рис. 1.
Рис. 2.
Рис. 3.
В общем случае можно предполагать, что в рядах, состоящих из отклонений
от тренда, автокорреляции нет. Например, на рис. 4 представлен график АКФ для
остатков, полученных от сглаживания ряда, очень напоминающий процесс «белого
шума». Однако нередки случаи, когда остатки (случайная компонента h) могут
оказаться автокоррелированными, например, по следующим причинам [1, 172]:
· в детерминированных или стохастических моделях динамики не
учтен существенный фактор
· в модели не учтено несколько несущественных факторов,
взаимное влияние которых оказывается существенным вследствие совпадения фаз и
направлений их изменения;
· выбран неправильный тип модели (нарушен принцип
контринтуитивности);
· случайная компонента имеет специфическую структуру.
Рис. 4.
1.3
Критерий Дарбина-Уотсона
Критерий Дарбина-Уотсона (Durbin, 1969) представляет собой
распространенную статистику, предназначенную для тестирования наличия
автокорреляции остатков первого порядка после сглаживания ряда или в
регрессионных моделях.
Численное значение коэффициента равно
= [(e(2) - e(1))2 +… + (e(n) - e (n -1))2]/[e(1)2 +… + e(n)2],
где e(t) - остатки.
Возможные значения критерия
находятся в интервале от 0 до 4, причем табулированы его табличные пороговые
значения для разных уровней значимости (Лизер, 1971).
Значение d близко к величине
2*(1 - r1), где r - выборочный коэффициент автокорреляции для остатков.
Соответственно, идеальное значение статистики - 2 (автокорреляция отсутствует).
Меньшие значения соответствуют положительной автокорреляции остатков, большие -
отрицательной [2, 193].
Например, после сглаживания
ряда ряд остатков имеет критерий d = 1.912. Аналогичная статистика после
сглаживания ряда - d = 1.638 - свидетельствует о некоторой
автокоррелированности остатков.
2. Примеры
практических расчетов с помощью макроса Excel «Автокорреляционная функция»
Все
данные взяты с сайта <#"510175.files/image006.gif">
На диаграммах показаны: исходный ряд (сверху) и автокорреляционная
функция до лага 9 (снизу). На нижней диаграмме штриховой линией обозначен
уровень «белого шума» - граница статистической значимости коэффициентов
корреляции. Видно, что имеется сильная корреляция 1 и 2 порядка, соседних
членов ряда, но и удаленных на 1 единицу времени друг от друга. Корреляционные
коэффициенты значительно превышают уровень «белого шума». По графику автокорреляции
видим наличие четкого тренда.
Ниже даны значения автокорреляционной функции и уровня белого шума
|
АКФ(…)
|
Ошибка АКФ
|
|
1
|
0,856
|
0,203
|
-0,203
|
|
2
|
0,762
|
0,616
|
-0,616
|
|
3
|
0,658
|
0,747
|
-0,747
|
|
4
|
0,550
|
0,831
|
-0,831
|
|
5
|
0,418
|
0,885
|
-0,885
|
|
6
|
0,315
|
0,915
|
-0,915
|
|
7
|
0,224
|
0,932
|
-0,932
|
|
8
|
0,131
|
0,940
|
-0,940
|
Если нас интересует внутренняя динамика ряда необходимо найти первую
разность его членов, т.е. для каждого квартала найти изменение значения по
сравнению с предыдущим кварталом. Для первой разности построим
автокорреляционную функцию.

|
Статистика Дарбина-Ватсона
(DW) =1,813
|
|
DW Up= 1,450
|
|
DW Low=1,290
|
Статистика Дарбина-Уотсона показывает, что автокорреляции 1-го порядка
нет. По графику можно видеть, что первые разности возрастают, т. к. тренд
восходящий. Видна автокорреляция 2 и 4-го порядков, что говорит о полугодовой и
годовой сезонности. Значения функции и границы для «белого шума» представлены
ниже
|
АКФ(…)
|
Ошибка АКФ
|
|
1
|
-0,203
|
0,392
|
-0,392
|
|
2
|
-0,530
|
0,416
|
-0,416
|
|
3
|
-0,003
|
0,513
|
-0,513
|
|
4
|
0,637
|
0,513
|
-0,513
|
|
5
|
-0,087
|
0,627
|
-0,627
|
|
6
|
-0,423
|
0,629
|
-0,629
|
|
7
|
-0,028
|
0,673
|
-0,673
|
Пример 2.
Импорт
Дано
|
год
|
квартал
|
номер
|
значение
|
разность
|
|
1999
|
I
|
1
|
3,10
|
|
|
II
|
2
|
3,40
|
0,30
|
|
III
|
3
|
3,33
|
-0,07
|
|
IV
|
4
|
3,80
|
0,47
|
|
2000
|
I
|
5
|
3,20
|
-0,60
|
|
II
|
6
|
3,60
|
0,40
|
|
III
|
7
|
3,70
|
0,10
|
|
IV
|
8
|
4,33
|
0,63
|
|
2001
|
I
|
9
|
3,60
|
-0,73
|
|
II
|
10
|
4,43
|
0,83
|
|
III
|
11
|
4,30
|
-0,13
|
|
IV
|
12
|
5,17
|
0,87
|
|
2002
|
I
|
13
|
4,13
|
-1,03
|
|
II
|
14
|
4,77
|
0,63
|
|
III
|
15
|
5,20
|
0,43
|
|
IV
|
16
|
5,97
|
0,77
|
|
2003
|
I
|
17
|
5,10
|
-0,87
|
|
II
|
18
|
5,90
|
0,80
|
|
III
|
19
|
6,33
|
0,43
|
|
IV
|
20
|
7,23
|
0,90
|
|
2004
|
I
|
21
|
6,43
|
-0,80
|
|
II
|
22
|
7,70
|
1,27
|
|
III
|
23
|
8,17
|
0,47
|
|
IV
|
24
|
9,08
|
0,92
|
|
2005
|
I
|
25
|
8,17
|
-0,92
|
|
II
|
26
|
9,80
|
1,63
|
|
III
|
27
|
10,50
|
0,70
|
|
IV
|
28
|
12,47
|
1,97
|
|
2006
|
I
|
29
|
10,40
|
-2,07
|
|
II
|
30
|
12,67
|
2,27
|
|
III
|
31
|
14,20
|
1,53
|
|
IV
|
32
|
17,10
|
2,90
|
Построим автокорреляционную функцию
|
АКФ(…)
|
Ошибка АКФ
|
|
1
|
0,802
|
0,211
|
-0,211
|
|
2
|
0,693
|
0,535
|
-0,535
|
|
3
|
0,585
|
0,637
|
-0,637
|
|
4
|
0,566
|
0,701
|
-0,701
|
|
5
|
0,423
|
0,756
|
-0,756
|
|
6
|
0,343
|
0,785
|
-0,785
|
|
7
|
0,255
|
0,803
|
-0,803
|
|
8
|
0,231
|
0,813
|
-0,813
|
|
9
|
0,131
|
0,822
|
-0,822
|
|
10
|
0,072
|
0,824
|
-0,824
|

Видим,
что есть автокорреляция 1-го и 2-го порядков. График показывает наличие тренда.
Положительная автокорреляция объясняется неправильно выбранной спецификацией,
т. к. линейный тренд тут непригоден, он скорее экспоненциальный. Поэтому
сделаем ряд стационарным, взяв первую разность.
|
АКФ(…)
|
Ошибка АКФ
|
|
1
|
-0,297
|
0,343
|
-0,343
|
|
2
|
0,309
|
0,390
|
-0,390
|
|
3
|
-0,420
|
0,420
|
-0,420
|
|
4
|
0,636
|
0,471
|
-0,471
|
|
5
|
-0,226
|
0,571
|
-0,571
|
|
6
|
0,214
|
0,583
|
-0,583
|
|
7
|
-0,311
|
0,593
|
-0,593
|
|
8
|
0,444
|
0,613
|
-0,613
|
|
9
|
-0,229
|
-0,653
|

Видим
наличие автокорреляции 4-го порядка, что соответствует корреляции данных,
отдаленных на год. Автокорреляцию первого порядка не имеем.
|
Статистика Дарбина-Ватсона
(DW) =2,023
|
|
DW Up=1,500
|
|
DW Low=1,360
|
Пример 3.
Экспорт
Приведем данные
|
год
|
квартал
|
номер
|
значение
|
разность
|
|
2000
|
I
|
1
|
22,30
|
|
|
II
|
2
|
22,80
|
0,50
|
|
III
|
3
|
24,80
|
2,00
|
|
IV
|
4
|
24,80
|
0,00
|
|
2001
|
I
|
5
|
25,50
|
0,70
|
|
II
|
6
|
25,50
|
0,00
|
|
III
|
7
|
25,90
|
0,40
|
|
IV
|
8
|
26,20
|
0,30
|
|
2002
|
I
|
9
|
26,30
|
0,10
|
|
II
|
10
|
28,60
|
2,30
|
|
III
|
11
|
28,70
|
0,10
|
|
IV
|
12
|
30,30
|
1,60
|
|
2003
|
I
|
13
|
30,50
|
0,20
|
|
II
|
14
|
31,00
|
0,50
|
|
III
|
15
|
33,80
|
2,80
|
|
IV
|
16
|
36,40
|
2,60
|
|
2004
|
I
|
17
|
38,00
|
1,60
|
|
II
|
18
|
41,40
|
3,40
|
|
III
|
19
|
47,20
|
5,80
|
|
IV
|
20
|
52,36
|
5,16
|
|
2005
|
I
|
21
|
52,50
|
0,14
|
|
II
|
22
|
60,40
|
7,90
|
|
III
|
23
|
65,70
|
5,30
|
|
IV
|
24
|
67,40
|
1,70
|
|
2006
|
I
|
25
|
69,00
|
1,60
|
|
II
|
26
|
76,60
|
7,60
|
|
III
|
27
|
79,80
|
3,20
|
|
IV
|
28
|
71,00
|
-8,80
|
|
2007
|
I
|
29
|
80,50
|
9,50
|
|
|
|
|
|
|
|
|
|
Для исходного ряда имеем:

|
АКФ(…)
|
Ошибка АКФ
|
|
1
|
0,896
|
0,165
|
-0,165
|
|
2
|
0,822
|
0,600
|
-0,600
|
|
3
|
0,712
|
0,739
|
-0,739
|
|
4
|
0,592
|
0,828
|
-0,828
|
|
5
|
0,483
|
0,884
|
-0,884
|
|
6
|
0,372
|
0,920
|
-0,920
|
|
7
|
0,261
|
0,941
|
-0,941
|
|
8
|
0,150
|
0,950
|
-0,950
|
|
9
|
0,062
|
0,954
|
-0,954
|
Очевидно наличие четкого тренда, значимыми являются коэффициенты
автокорреляции 1-го и 2-го порядков. Для первой разности
|
АКФ(…)
|
Ошибка АКФ
|
|
1
|
-0,173
|
0,372
|
-0,372
|
|
2
|
-0,090
|
0,389
|
-0,389
|
|
3
|
0,353
|
0,392
|
-0,392
|
|
4
|
0,240
|
0,435
|
-0,435
|
|
5
|
-0,106
|
0,454
|
-0,454
|
|
6
|
-0,088
|
0,457
|
-0,457
|
|
7
|
0,315
|
0,460
|
-0,460
|
|
8
|
-0,136
|
0,490
|
-0,490
|

Автокорреляции
уже не видим, остатки распределены как «белый шум».
Заключение
Еще одна полезная технология исследования периодичности состоит в
обследовании частной автокорреляционной функции (ЧАКФ), которая представляет
собой углубление взгляда обычной автокорреляционной функции.
В частной автокорреляционной функции ликвидируется зависимость между
промежуточными наблюдениями. Иными словами, частная автокорреляция на данном
лаге похожа на обычную автокорреляцию, исключая то, что при вычислении из нее
убирается влияние автокорреляций с меньшими лагами. На лаге 1 (когда нет
промежуточных элементов внутри лага), частная автокорреляция равна обычной
автокорреляции. Частная автокорреляция дает более «чистую» картину
периодических зависимостей.
Как было отмечено ранее, периодическая составляющая для данного лага n
может быть удалена взятием разности соответствующего порядка. Это обозначает,
что из каждого i-го элемента ряда вычитается (i-n) - й элемент. В пользу таких
преобразований имеются доводы. Во-первых, таким образом можно определить
скрытые периодические составляющие ряда. Напомним, что автокорреляции на
последовательных лагах зависимы. Поэтому удаление некоторых автокорреляций
изменит другие автокорреляции, которые, возможно, подавляли их, и сделает
некоторые другие сезонные составляющие более заметными. Во-вторых, удаление
периодических составляющих делает ряд стационарным, что необходимо для
применения некоторых методов анализа.
Литература
1. В.Е. Гмурман «Теория вероятностей и математическая
статистика». Москва: Высшая школа, 1979 г.
2. В.Е Гмурман. «Руководство к решению задач по теории
вероятностей и математической статистике». Москва: Высшая школа, 1997 г.
. В.Н. Калинина, В.Ф. Панкин. «Математическая
статистика». Москва: Высшая школа, 1994 г.
. И.П. Мацкевич, Г.П. Свирид, Г.М. Булдык. «Сборник
задач и упражнений по высшей математике (Теория вероятностей и математическая
статистика)». Высшая школа, 1998 г.
. Л.К. Тимофеева, Е.И. Суханова, Г.Г. Сафиуллин.
«Сборник задач по теории вероятностей и математической статистике».
. Тимофеева Л.К., Суханова Е.И. «Математика для
экономистов». Сборник задач по теории вероятностей и математической статистике.
- М.: У «Учебная литература», 1999 г.