Финансовая устойчивость предприятия
ФЕДЕРАЛЬНОЕ
АГЕНТСТВО ПО ОБРАЗОВАНИЮ
ГОУ ВПО «УДМУРТСКИЙ ГОСУДАРСТВЕННЫЙ
УНИВЕРСИТЕТ»
ИНСТИТУТ ЭКОНОМИКИ И УПРАВЛЕНИЯ
ДИПЛОМНАЯ РАБОТА
на тему: «Финансовая устойчивость предприятия,
ее анализ и пути укрепления»
Выполнил: студент гр. ЗС (УдГУ)
060400-52(К)
Руководитель: д.э.н., профессор
Допущен
к защите в ГАК
Зам. Директора ИЭиУ
Зав.
кафедрой ФиУ, к.э.н., доцент
Ижевск, 2006
СОДЕРЖАНИЕ
ВВЕДЕНИЕ 3
1. ОБЩАЯ ХАРАКТЕРИСТИКА ПРЕДПРИЯТИЯ 5
1.1. История создания, основные виды деятельности и
конкурентная среда предприятия 5
1.2 Структура управления и организация системы оплаты труда
на предприятии 11
1.3 Анализ основных технико-экономических показателей 18
2 ТЕОРЕТИЧЕСКИЕ ОСНОВЫ АНАЛИЗА ФИНАНСОВОЙ
УСТОЙЧИВОСТИ ПРЕДПРИЯТИЯ 27
2.1. Сущность финансовой устойчивости предприятия 27
2.2. Дискуссионные вопросы определения финансовой
устойчивости 32
3.. Анализ финансовой
устойчивости деятельности предприятия 39
3.1. Финансовая устойчивость предприятия как основа успешного
его функционирования 39
3.2. Комплексный анализ финансовой деятельности предприятия 51
3.3. Анализ финансовой устойчивости деятельности предприятия
и разработка мероприятий по ее улучшению 59
ЗАКЛЮЧЕНИЕ 78
СПИСОК ЛИТЕРАТУРЫ 83
Приложения 86
Развитие рыночных отношений приводит к тому, что
количество и степень сложности хозяйственных операций, которые приходится
ежедневно осуществлять самостоятельным экономическим агентам, многократно
увеличивается. В то же самое время, существенно возрастает степень конкуренции
на товарных рынках и инструменты конкурентной борьбы. Все это приводит к тому,
что добиться успеха и занять лидирующее положение на рынке только за счет
везения и предпринимательского чутья становится невозможным. Руководители все
больше нуждаются в умении грамотно и адекватно анализировать изменения внешней
конъюнктуры и внутренней среды предприятия, прогнозировать дальнейшие изменения
и принимать управленческие решения на базе достоверной аналитической
информации. Более того, поскольку внешняя среда становится все более динамичной
и оказывает существенное влияние на деятельность предприятия, особое значение
приобретает своевременный и достоверный мониторинг финансовой устойчивости
предприятия.
В свою очередь, осуществление данного анализа
требует от руководителя предприятия знакомства с теоретической базой комплексного
хозяйственного и финансового анализа и умением практического их использования.
Именно эту цель мы и поставили перед собой в дипломной работе.
В качестве объекта исследования нами было выбрано кафе «Мелена»,
специализирующееся на оказании услуг по организации общественного питания
населению. Специфика его деятельности заключается в том, что в ходе ее
осуществления, предприятию необходимо сотрудничать с большим числом
контрагентов (как покупателей, так и поставщиков), следовательно эффективное функционирование
выбранного объекта и его финансовая устойчивость зависят от того, на сколько
быстро и точно оно умеет реагировать на изменения конъюнктуры факторных и
товарного рынков и принимать соответствующие управленческие решения в сфере
финансовой деятельности.
Для достижения цели, поставленной нами в рамках
дипломной работы, нами были выдвинуты следующие задачи:
-
изучение
организации предприятия, оценка основных экономических показателей его
деятельности;
-
изучение
методологических основ комплексного анализа финансовой деятельности и финансов
устойчивости предприятия как его составляющего элемента;
-
непосредственное
проведение анализа финансово-хозяйственной деятельности предприятия и выявление
наиболее актуальных проблем его функционирования;
-
оценка
текущей финансовой устойчивости предприятия ее перспективного значения;
-
разработка
комплекса рекомендаций по повышению финансовой устойчивости выбранного объекта.
Информационная база, необходимая для изучения
обозначенных вопросов включает несколько блоков: в первую очередь - это
научно-методические материалы по проблематике исследования (как финансового
анализа, так и непосредственно финансовой устойчивости хозяйствующего
субъекта). Во вторую очередь - это материалы, отражающие практическую
деятельность предприятия. В рамках данного блока нами была использована
бухгалтерская отчетность предприятия (прежде всего бухгалтерский баланс и отчет
о прибылях и убытках) за 2002-2004гг., положения внутренней нормативной базы
предприятия (его устав, штатное расписание, трудовой распорядок, должностные
инструкции и прочее.), аналитические данные управленческой отчетности
(различные справки и пояснительные записки). Также в рамках написания дипломной
работы мы опирались на положения отечественного законодательства в области регулирования
гражданских отношений.
Рекомендации по улучшению хозяйственной
деятельности объекта исследования и повышению его финансовой устойчивости,
разработанные нами в процессе осуществления дипломной работы переданы в кафе
«Мелена» и в настоящее время рассматриваются его руководящим составом.
В качестве объекта исследования нами было выбрано
кафе «Мелена», расположенное по адресу: Удмуртская Республика, с. Октябрьское.
Кафе не имеет статуса самостоятельного юридического лица, поскольку является
структурным подразделением Районного потребительского общества «Октябрьское» и
частью республиканской системы потребительской кооперации. Кафе «Мелена»
действует на основании положения Председателя Правления райпо «Октябрьское» «О
деятельности кафе «Мелена» от 01.10.1984г. Таким образом, деятельность объекта
нашего исследования регулируется положениями внутренней нормативной базы
Октябрьского райпо, документацией, регулирующей деятельности потребительских
обществ, входящих в систему Удмуртпотребсоюза, а также законодательством
Российской Федерации.
Причиной создания кафе «Мелена» послужила
программа развития райпо Республики, нацеленная на диверсификацию его
деятельности для боле комплексного и полного обслуживания пайщиков
потребкооперации и упрочнения финансового положения потребительских обществ.
С начала рыночных реформ произошла некоторая
трансформация принципов деятельности потребительской кооперации, а именно
утверждение принципа обеспечения самофинансирования всех предприятий, входящих
в данную систему. Это отразилось и на целях деятельности Октябрьского райпо,
поскольку условием удовлетворения потребностей его пайщиков стало получение прибыли:
В связи с этим, современные цели деятельности кафе «Мелена» можно
сформулировать следующим образом: удовлетворение потребностей пайщиков и всего
сельского населения за счет оказания качественных услуг по организации
общественного питания, способствование повышению уровня обслуживания в с.
Октябрьское и получение прибыли. Достижение поставленных целей осуществляется с
помощью выполнения следующих основных видов деятельности кафе:
-
организация
общественного питания;
-
производство
и реализация продуктов питания;
-
реализация
табачных и ликероводочных изделий;
-
оказание
платных услуг сторонним организациям и частным лицам в сфере организации и
проведения торжественных вечеров.
По причине юридической несамостоятельности, кафе
не имеет собственного баланса, углового штампа и печати. Тем не менее, для
осуществления учета результатов деятельности подразделения, работниками кафе
ведется текущий и бухгалтерский учет хозяйственных операций в полном
соответствии с законодательными нормами в данной области. Документы бухгалтерского
учета деятельности кафе «Мелена» в последствии передаются в головную
бухгалтерию Октябрьского райпо, где формируется итоговая отчетность по всем его
подразделениям.
Помимо процедуры ведения бухгалтерского учета,
тот факт, что кафе является структурным подразделением крупного юридического
лица, оказывает существенное влияние и на прочие аспекты его деятельности.
Безусловно, прежде всего, это отражается на осуществлении управления и
координирования хозяйственных операций, осуществляемых кафе. Так, текущее
руководство деятельностью кафе «Мелена» осуществляет заведующий кафе,
подчиняющийся непосредственно Председателю Правления Октябрьского райпо. Помимо
этого, к исключительной компетенции Председателя Правления относятся
утверждение должностных инструкций, определяющих объем прав, обязанностей и
ответственности работников подразделения, утверждение структуры и штатного
расписания кафе, выбор кандидатуры и назначение на должность заведующего кафе.
Таким образом, мы наблюдаем, что стратегическое управление деятельность
структурного подразделения сосредоточено на верхнем уровне потребительским
обществом, который является внешним для самого кафе «Мелена». Рассмотрим
вопросы управления более подробно посредством анализа организационной структуры
подразделения в следующей части нашей работы.
Как мы уже отметили ранее, основными видами
деятельности кафе «Мелена» являются организация общественного питания,
производство и реализация продуктов питания, реализация табачных и
ликероводочных изделий и оказание платных услуг сторонним организациям и
частным лицам в сфере организации и проведения торжественных вечеров. Рассмотри
их более подробно.
Прежде всего, отметим, что условием осуществление
торговой деятельности подразделения является наличие торговых площадей. Именно
способ их использования определяет профиль торговой деятельности и даже целевую
аудиторию кафе.
Торговые площади, находящиеся во владении
структурного подразделения можно условно поделить на две составные: площадь
барного зала кафе «Мелена» и площадь магазина «Кулинария», так же являющегося
частью кафе.
При помощи использования первой части площадей
осуществляется организация общественного питания, реализация табачных и
ликероводочных изделий, оказание услуг по проведению торжественных вечеров.
Чтобы кратко охарактеризовать их отметим, что помещение, занимаемое кафе, было
изначально спроектировано и построено для предприятия общественного питания, с
учетом всех специфических требований функционирования данного объекта. Барный
зал кафе является уникальным по вместимости в селе и позволяет одновременно
обслуживать до 200 человек в зимнее время (без эксплуатации открытой террасы) и
300 в летнее (с размещением на открытой террасе). Уже этот факт определяет
некоторые конкурентные преимущества выбранного объекта исследования и в первую
очередь в сфере организации и проведения торжественных вечеров. В целом же
характеризую конкурентную среду предприятия мы можем отметить, что основными
конкурентами выбранного нами объекта исследования являются прочие организации
общественного питания в с. Октябрьское. Это небольшие частные предприятия,
ориентирующиеся на обслуживании населения в вечернее время, Отличительной их
чертой является небольшая площадь и малое количество посадочных мест. По этой
причине они существенно уступают кафе «Мелена» по объему товарооборота. Еще
одним положительным моментов в деятельности выбранного нами кафе является то,
что оно входит в систему потребкооперации республики, а следовательно
приобретает необходимое сырье у системных поставщиков, уровень цен которых
несколько ниже, чем у мелкооптовых продавцов продуктов питания. В следствии
этого, уровень цен в кафе, также ниже, нежели у его конкурентов.
Что же касается другого направления деятельности,
а именно - организация праздничных вечеров и торжественных мероприятий, то в
качестве основных конкурентов в данной сфере можно назвать столовые крупных
организаций села. Однако, в данном случае, мы также имеем определенное
преимущество - архитектурно-проектные особенности кафе. Как мы уже отметили ранее,
оно изначально было построено как предприятие в сфере общественного питания, а
потому его планировка, наличие открытой террасы, широких холлов и прочее,
делают его несомненно привлекательнее прочих конкурентов. Все это говорит о
том, что уровень конкурентоспособности выбранного нами предприятия выше
ближайших его конкурентов в рамках муниципального образования.
Теперь рассмотрим организацию хозяйственных
процессов на предприятии.
Торговые площади барного зала оборудованы
специальными шкафами, стеллажами, холодильным оборудованием и инвентарем. С
целью обеспечения населения алкогольной продукцией, бар оборудован
дополнительно кегами для торговли пивом в разлив. Деятельность бара
представляет собой оказание широкого комплекса услуг по приготовлению и реализации
ассортимента закусок и кондитерских изделий, реализации напитков и покупных
товаров у барной стойки. Причем в дневное время, особый акцент при организации
общественного питания уделяется именно кондитерским изделиям, на которых
специализируется собственное производство и магазин. По этой причине кафе
удается привлечь дополнительную категорию посетителей, а именно семьи с детьми
дошкольного и младшего школьного возраста, что положительно сказывается на
объеме его товарооборота. Важность упомянутой категории возрастает с учетом
того, что основное время посещения кафе с детьми находится в интервале от 12 до
16 часов, то есть наименее активный период посещаемости в барах,
ориентированных на более взрослую возрастную группу. В результате, торговый
процесс становится более активным и равномерным в течении всего рабочего дня.
При этом время посещения перечисленных групп практически не совпадает (не
перекрывается), что означает максимально возможное использование покупательного
потенциала обеих.
Обслуживание в барном зале в вечернее время
осуществляется барменами прошедшими профессиональную подготовку.
Осуществление такого вида деятельности как
производство и реализация продуктов питания становится возможны благодаря
деятельности магазина «Кулинария», являющегося частью изучаемого структурного
подразделения.
В товарообороте магазина имеется свыше двухсот
наименований товаров, из которых практически 40% являются продукцией
собственного производства. Весь ассортиментный перечень магазина можно
сгруппировать следующим образом:
-
кондитерские
изделия;
-
хлеб
и хлебобулочные изделия;
-
мороженное;
-
фрукты
и овощи;
-
горячие
и прохладительные напитки;
-
продовольственные
товары повседневного спроса (сахар-песок, крупы, макаронные изделия, масло
растительное, мясные изделия и т.д.).
Большинство продовольственных товаров передаются
покупателю в упакованном виде. Если товары были упакованы изготовителем, а их
масса указана на упаковке, дополнительное взвешивание этих товаров не
производится. Продовольственные товары, продаваемые в магазине вразвес,
обязательно упаковываются. Причем цена этих товаров определяется по массе
нетто, а плата за упаковку дополнительно не взимается.
Поскольку у магазина «Кулинария» достаточно
сложный ассортимент, при этом нет складов, а лишь небольшое подсобное
помещение, предприятие закупает товар ежедневно на оптовых и мелкооптовых
складах, рынках и у индивидуальных частных предпринимателей, при наличии у них
сертификата или другой документации, подтверждающей качество и безопасность
продукции для здоровья и жизни потребителей. Причем, доставка товара
осуществляется транспортным подразделеньем Октябрьского райпо. В результате,
отсутствие больших объемов товарных запасов в магазине приводит к тому, что для
поддержания широты ассортиментного ряда на его современном уровне не требуется
большого размера оборотных средств. Это повышает экономическую эффективность
деятельности магазина «Кулинария» по сравнению с его конкурентами.
Таким образом, совокупный товарооборот кафе
«Мелена» подразделяется на товарооборот розничной торговли (в том числе
продукции, реализованной при проведении торжественных мероприятий) и
общественного питания.
Анализируя рынки сбыта кафе по направлениям
деятельности заметим, что наибольшая доля в обороте предприятия принадлежит
барному залу - 70 %. Соответственно, доля магазина в общем товарообороте
составляет 30 %.
Надо отметить, что распределение выручки между
направлениями деятельности различается в зависимости от времени суток и сезона.
Так доля интенсивности торговых операций барного зала ниже в утреннее время и в
зимний период. Несколько сгладить последние колебания помогает организация
торжественны вечеров, зависимость интенсивности которой от сезонных факторов
несколько ниже.
Тем не менее, удачный выбор целевой аудитории,
гибкий подход при выборе целевой группы и высокая активность использования
оборотных средств обеспечивают высокий уровень эффективности деятельности
структурного подразделения в целом.
Однако, даже при наличии основных средств
(торговых площадей) и оборотных средств, деятельность структурного
подразделения невозможна без использования трудовых ресурсов. При этом, именно
от персонала предприятия в наибольшей степени зависит го, на сколько успешной
будет его деятельность. По этому следующую часть нашей работы мы посвятим рассмотрению
персонала кафе «Мелена».
Прежде чем приступить к рассмотрению
интересующего нас вопроса, необходимо отметить, что под структурой управления
понимается форма разделения и кооперации управленческой деятельности, в рамках
которой осуществляется процесс управления по соответствующим функциям,
направленным на решение поставленных задач и достижение намеченных целей.
Проектирование организационной структуры кафе
осуществлялось с учетом основных принципов и подходов к управлению Октябрьским
райпо. Данное потребительское общество представляет собой централизованную
организацию, структурные подразделения которой специализируются на
осуществлении различных видов деятельности. То есть потребобщество является
сложной иерархической структурой, управляющей из центра звеньями посредством
цепи команд, и оставляющей за собой большую часть полномочий. Все это
предопределило глубокую интеграцию организационной структуры подразделения и головной
организации и, в результате, выбор функционального типа данной структуры (а не
штабного, как наиболее распространено в крупных диверсифицированных
предприятиях -акционерных обществах).
Итоговую структуру, реализованную на практике
можно представить в виде схемы, приведенной на рис. 1. Так же, для глубины
анализа структуры и дальнейшего исследования персонала подразделения, в данной
схеме приведена численность работников каждого подразделения в настоящее время.
Данные о численности, указаны в скобках для каждой соответствующей должности
штатного расписания.

Рис 1. Организационная структура
управления
Приведенный рисунок 1, иллюстрирует структуру
управления кафе «Мелена», организованную по линейно-функциональному типу. Мы считаем,
что выбор данного организационной структуры рационален, поскольку именно он
позволяет добиться максимально эффективного управления при четком определении
обязанностей и размеров ответственности в рамках всего предприятия.
Особенностями данной системы является ее высокая степень мобильности в условиях
быстро изменяющейся внешней среды предприятия за счет концентрации всех
ресурсов и направления их для решения узкого круга приоритетных задач.
Также, из приведенного графического отражения
управленческой структуры видно, что в настоящее время численность работников
кафе «Мелена» равна 26 человекам. Из них 3 человека относятся к категории
руководителей, 19 - к категории основных рабочих и 4 - к категории
вспомогательных рабочих. Однако, чтобы сделать выводы относительно состава и
структуры персонала нам необходимо проанализировать не только текущие данные,
но и провести сравнительный анализ их изменения за период деятельности
предприятия. Поэтому, первым этапом изучения персонала предприятия будет анализ
численности работников с 2002 по 2004г.
Для этого обратимся к данным, представленным в
таблице 1.
Таблица 1
Динамика численности и структуры персонала кафе за
2002-2004гг.
|
Показатель
|
2002г.
|
2003г.
|
Изменения
в %
|
2004г.
|
Изменения
в %
|
|
1
|
2
|
3
|
4
|
5
|
6
|
|
Численность
персонала всего, в том числе:
|
И
|
18
|
63,6
|
26
|
44,4
|
|
Руководителей
|
2
|
3
|
50,0
|
3
|
0,0
|
|
Основных рабочих
|
7
|
12
|
71,4
|
19
|
58,3
|
|
Вспомогательных рабочих
|
2
|
2
|
0
|
4
|
100
|
Продолжение табл. 1
|
1
|
2
|
3
|
4
|
5
|
6
|
|
Доля руководителей в общей численности
|
18,2
|
16,7
|
-1,5
|
11,5
|
-5,2
|
|
Доля основных рабочих в общей численности
|
63,6
|
66,7
|
3
|
73,1
|
6,4
|
|
Доля вспомогательных рабочих
|
18,2
|
11,1
|
-7,1
|
15,4
|
4,3
|
Представленные данные свидетельствуют о том, что
на протяжении всего периода изучения наблюдается рост численности персонала и
прежде всего за счет таких его категорий как основные рабочие (+71,4% в 2003г.
и +58,4 % в 2004.) и вспомогательных рабочих (+100% в 2004г.).
Анализируя стабильную положительную динамику
численности персонала, которую мы можем наблюдать на основе представленных
данных, отметим, что она чаще всего характерна для компаний, обладающих
устойчивым экономическим ростом. Верность данной предпосылки мы проверим на
следующих этапах написания дипломной работы, а в настоящее время продолжим
изучения численности персонала кафе «Мелена». Помимо изменения абсолютных
показателей численности, наблюдается и изменение структуры персонала, которое
характеризуется увеличением доли основных рабочих на 3,0 % в 2003г. и на 6,4 %
в 2004г. Причем если в 2003г. данное увеличение произошло в основном за счет
сокращения доли вспомогательных рабочих (-7,01 %), то в 2003г. более
существенным оказалось сокращение доли руководящего состава (-5,1 %). При этом
доля руководителей в общей численности работников сокращалась на протяжении
всего периода деятельности кафе. Средний темп данного сокращения был равен 3,3
%. При росте абсолютных показателей численности, данный факт свидетельствует об
увеличении эффективности процесс управления, осуществляемого руководителями
кафе.
Помимо численности, интерес с точки зрения
анализа деятельности предприятия представляет рассмотрение системы оплаты труда
кафе «Мелена».
Организация заработной платы на предприятии
строится на основе следующих принципов:
-
самостоятельности
предприятия в организации заработной платы, в установлении форм, систем и
размера оплаты труда работника;
-
государственного
регулирования оплаты труда (предприятие не может платить заработную плату ниже
уровня минимального размера оплаты труда, устанавливаемого законодательным
путем);
-
справедливого
вознаграждения работников за трудовую деятельность.
В качестве основы материального стимулирования,
на предприятии применяется повременно-премиальная система оплаты труда.
Повременная компонента, то есть базовый размер заработной платы каждой
категории работников (оклад) устанавливается штатным расписанием, утверждаемым
Председателем Правления Октябрьского райпо. Он же утверждает и перечень
поправочных коэффициентов, исходя из которых происходит ежемесячное начисление
премии работникам в процентном отношении к базовому размеру оклада.
В таком случае, начисление заработной платы
происходит следующим образом: В течении всего рабочего месяца осуществляется
заполнение табеля учета трудовой деятельности, в котором отмечается количество
отработанных работником дней, а также делаются пометки о тех или иных трудовых
поступках, которые предусмотрены в перечнем поправочных коэффициентов. По
окончанию месяца данные агрегируются и доносятся до сведения каждого работника,
а также передаются в главную бухгалтерию головной компании.
Начисленная заработная плата является суммой
собственно заработной платы (окала) и премии. Причем, как мы уже отмечали,
премия определяется в процентном соотношении к окладу и может иметь
отрицательное значение, то есть быть удержанием.
Таким образом, расчет начисленной заработной
платы за месяц работнику осуществляется по следующей формуле:
где: ЗПн - заработная плата начисленная;
БО - базовый размер оклада;
ПвК повышающий коэффициент
ПнК - понижающий коэффициент
ПР - премия работника в данном месяце
Данные относительно заработной платы работников
кафе, а также общего фонда по оплате труда представлены в таблице 2.
Таблица 2
Динамика заработной платы и фонда оплаты труда кафе «Мелена»
|
Показатель
|
2003г.
|
2004г.
|
Изменения в (%)
|
|
Работники
в т.ч.:
|
18
|
26
|
44,4
|
|
Руководящий
состав
|
3
|
3
|
0,0
|
|
Основные
рабочие
|
12
|
19
|
58,3
|
|
Вспомогательные
рабочие
|
2
|
4
|
100,0
|
|
Средняя
заработная плата работников, в т.ч.:
|
2624,2
|
3092,4
|
17,8
|
|
Средняя
зарплата руководящего состава
|
3840
|
4800
|
25,0
|
|
Средняя
зарплата основных работников
|
2214
|
2460
|
11,1
|
|
Средняя
зарплата вспомогательных работников
|
4574,2
|
4815
|
5,3
|
|
Фонд
оплаты труда
|
566827,2
|
964828,8
|
70,2
|
|
Фонд
оплаты труда руководящего состава
|
138240
|
172800
|
25,0
|
|
Фонд оплаты
труда основных работников
|
318816
|
560880
|
75,9
|
|
Фонд
оплаты труда вспомогательных работников
|
109780,8
|
231120
|
110,5
|
Как видно из представленных данных, размер
средней заработной платы работников кафе «Мелена» в 2004г. увеличился по
сравнению с предыдущим годом на 468,2 руб. (3092,4 - 2624,2) или на 13,7%. Это
свидетельствует об улучшении материального благосостояния работников кафе
«Мелена» и положительно характеризует изменения в системе стимулирования труда
на протяжении периода изучения. В то же самое время, совокупные затраты на
оплату труда работников увеличились на 32 163,4 руб. в месяц или на 70,2%. В
первую очередь, это было связано с увеличением численности работников (которое
составило 44,4 %). Рост численности был превалирующей причиной увеличение фонда
и по отдельным категориям работников. Так из 75,9 % увеличения фонда оплаты
труда основных работников 58,3 % вызвано ростом численности. У вспомогательных
работников данное соотношение равно 110,5% и 100,0% соответственно.
То, на сколько рациональным с экономической точки
и зрения было подобное увеличение численности и, соответственно, размеров
месячного фонда заработной платы пока говорить преждевременно, поскольку для
этого мы должны проанализировать изменение показателей эффективности использования
трудовых ресурсов на предприятии и рентабельности затрат на оплату труда. Такой
анализ будет осуществлен нами несколько позже.
Что качается непосредственно изменения среднего
размера заработной платы, то в большей степени оно произошло за счет роста
окладов руководителей предприятия, равного 25 %. В то же самое время средняя
заработная плата основных и вспомогательных работников увеличилась на 11,1% и
5,3 % соответственно. Подобные структурные изменения в фонде заработной платы
носят негативный характер, поскольку провоцируют усиление дифференциации
заработной платы, что отрицательно сказывается как на социально-психологическом
климате в коллективе, так и на эффективности системы стимулирования в целом. По
этому мы рекомендуем пересмотреть некоторые моменты политики предприятия
области управления персоналом и расходами на оплаты труда. Так мы считаем, что
рост заработной платы должен быть равномерным по всем категориям работников,
что должно найти свое отражение в выше обозначенных документах.
Продолжим наш анализ деятельности предприятия с
помощью основных экономических показателей.
Поскольку выбранный нами объект исследования
представляет собой предприятие, специализирующееся на организации общественного
питания и розничной торговле, то основным экономическим показателем,
характеризующим его деятельность является объем товарооборота.
Проанализирует размер товарооборота кафе «Мелена»
на протяжении 2002-2004гг. с помощью данных, представленных в таблице 3.
Таблица 3
Динамика объемов реализации кафе «Мелена»
|
Годы
|
Общий объем реализации, в сопоставимых ценах, (тыс. руб.) В
том числе:
|
Объем реализации магазина «Кулинария», (тыс. руб.)
|
Прирост объемов реализации в %.
|
|
2002
|
1085,8
|
343,9
|
-
|
|
2003
|
4123,7
|
1243,2
|
279,8
|
|
2004
|
5352,9
|
1941,1
|
29,8
|
Как свидетельствуют значения представленных
данных, на протяжении всего периода деятельности кафе наблюдается прирост
сопоставимых абсолютных показателей его деятельности. Тем не менее, несмотря на
положительный характер описанной тенденции, необходимо отметить резкое
замедление роста товарооборота с 279,8 % прироста в 2003г. до 29,8 % - в 2004г.
При этом, анализируя структуру реализации, отметим, что если в 2003г. темпы
прироста реализации барного зала превышали прирост товарооборота магазина
(прирост реализации первого был равен 288,6 %, прирост второго - 261,5 %, то
есть меньше на 26,8 %), то в 2004г. ситуация изменилась (прирост реализации
барного зала составил 18,4 %, в то время как аналогичны показатель по магазину
был равен 56,1 %, то больше на 37,7 %.
Конечно, в настоящее время динамика
товарооборота, имеющая положительный характер, не вызывает опасений
управляющего персонала, однако сам факт наличия негативной тенденции замедления
роста объема продаж должно повлечь за собой приятие действенных мер по
активизации торговой деятельности.
В целом же структура товарооборота на протяжении
всего периода изучения остается достаточно стабильной о чем свидетельствует
размер доли магазина в общем доходе кафе, равный 31,7 %, 30,1 % и 36,3 % в
2002, 2003 и 2004 гг. соответственно.
Однако, поскольку успех деятельности любого
предприятия определяется не чистой величиной его доходов, а превышения их над
расходами, то в качестве следующей группы экономических показателей
деятельности кафе мы рассмотрим структуру и динамику его издержек обращениями.
Прежде чем приступить к их анализу отметим, что
информационной базой для анализа издержек служит смета затрат предприятия,
которая подразделяет издержки обращения на пять основных частей: материальные
затраты, расходы на оплату труда, отчисления на социальные нужды, амортизация
основных фондов и прочие расходы.
Данные, характеризующие уровень затрат
предприятия, представлены в аналитической таблице 4.
Таблица 4
Структура и динамика и динамика издержек обращения кафе
«Мелена»
|
№
п/п
|
Показатели
|
2003г.
|
2004г.
|
Изменения
|
|
В тыс. руб.
|
Удельный вес в %
|
В тыс. руб.
|
Удельный вес в %
|
(+,-) в тыс. руб.
|
в%
|
|
1
|
Розничный товарооборот
|
4123,7
|
|
5352,9
|
|
1229,2
|
29,8
|
|
2
|
Оплата труда по окладам с отчислениями
|
751,7
|
84,6
|
1302,5
|
94,4
|
550,8
|
73,3
|
|
3
|
Транспортные расходы
|
90,7
|
10,2
|
44,9
|
3,3
|
-45,8
|
-50,5
|
|
4
|
Электроэнергия
|
16,6
|
1,9
|
21,5
|
1,6
|
4,9
|
29,5
|
|
5
|
Прочие расходы
|
29,2
|
3,3
|
10,6
|
0,8
|
-18,6
|
-63,7
|
|
6
|
Итого издержек
|
888,2
|
100,0
|
1379,5
|
100,0
|
491,3
|
55,3
|
|
7
|
В % к товарообороту
|
21,5
|
|
24,3
|
|
|
2,8
|
На основании данных таблицы 4 можно сделать
следующие выводы.
Величина издержек обращения в 2004 году по
сравнению с 2003 годом возросла на 491,3 тыс. руб. или на 55,3 %, однако их
удельный вес в товарообороте увеличился только на 2,8 %, что говорит о
несущественном понижении эффективности деятельности предприятия и управления
его затратами. Так же произошли изменения и в структуре издержек. В большей
степени они были вызваны изменением следующих расходных статей: ростом расходов
на оплату труда на 73,3 % и снижением доли транспортных расходов на 50,5 %. При
этом сокращение транспортных расходов объясняется реализацией единой
логистической цепочки в масштабе «Октябрьского» райпо в целом. Подобная
организация транспортных каналов приводит к росту эффективности использования
транспорта, и как следствие, сокращение издержек на транспортные расходы у всех
структурных подразделений предприятия, в том числе и кафе «Мелена».
Что касается роста затрат на оплату труда, то
данный аспект деятельности кафе будет подробно рассмотрен нами позже. Однако,
поскольку данные статьи (транспортные расходы, оплата труда и отчисления на
социальные нужды) имеют наибольший удельный вес в структуре затрат, то именно
им следует уделять наибольшее внимание в процессе управления издержками кафе
«Мелена».
Следующим направлением анализа деятельности
выбранного нами объекта является изучение эффективности его использования
основных и оборотных средств.
Основные средства предприятия - это важнейший
элемент производственного потенциала предприятия, включающий в себя все
средства труда, которые участвуют в процессе производства продукции, оказания
услуг, выполнения работ в течение длительного времени (более 1 года),
стоимостью свыше 100 минимальных размеров оплаты труда. К ним относятся:
здания, сооружения рабочие машины, вычислительная техника, оборудование,
транспортные средства, производственный и хозяйственный инвентарь,
За время своей службы они постепенно
изнашиваются, то есть переносят свою стоимость в износ, который в денежном
выражении является амортизацией основных средств. В бухгалтерской отчетности
основные средства учитываются в первом разделе актива баланса.
Несомненно, что анализ использования основных
средств имеет большую ценность с точки зрения определения эффективности
деятельности любого предприятия. Однако в силу того, что изучаемый нам объект
исследования не является самостоятельным юридическим лицом, весь основой
капитал, используемый им в ходе осуществления его деятельности, числится на балансе
«Октябрьского» райпо и не обособляется по структурным подразделениям. По этой
причине анализ эффективности использования основных средств кафе «Мелена» не
представляется возможным.
Иначе обстоит ситуация с оборотными средствами,
поскольку их учет осуществляется работниками кафе в системе аналитической и
бухгалтерской отчетности и доступен для анализа.
Оборотные средства объединяют ту часть
промышленного капитала, которая однократно участвует в производственном
процессе и переносит свою стоимость на готовый продукт за 1 производственный
цикл.
Оборотные средства обеспечивают непрерывность
производственного процесса и представляют собой денежные средства предприятия,
авансированные в оборотные производственные фонды и фонды обращения.
Такое деление оборотных средств необходимо для
раздельного анализа времени пребывания оборотных средств в процессе
производства и обращения. Величина оборотных средств, занятых в производстве,
определяется в основном длительностью производственных циклов изготовления изделий,
уровнем развития техники, совершенством технологии и организации труда. Сумма
средств обращения зависит главным образом от условий реализации продукции и
уровня организации системы снабжения и сбыта продукции.
Для эффективности использования оборотного капитала
используются такие показатели как:
- коэффициент оборачиваемости (Коб);
Выручка от оказания
услуг за год
Коб =
------------------------------------------------------------- *100% (2)
Среднегодовая
стоимость остатков оборотных средств
- длительность одного оборота (Дл);
Дл = Среднегодовая стоимость остатков оборотных
средств *
(число дней в отчетном периоде/Выручка от
оказания услуг за год)
*100%
(3)
- коэффициент закрепления оборотных средств (Ка).
Коб = (Среднегодовая стоимость остатков оборотных
средств/
Выручка от оказания услуг за год) *100%
(4)
Коэффициент оборачиваемости отражает
интенсивность использования оборотных средств на предприятии в целом,
длительность одного оборота интерпретирует предыдущей показатель во временном
измерении. Показателем обратным оборачиваемости, является коэффициент
закрепления оборотных средств. Таким образом все группа показателей позволяет
оценить качественное изменение эффективности использования оборотных средств.
Величины отмеченных показателей, характерные для
деятельности выбранного нами объекта исследования представлены в таблице 5.
Таблица 5
Анализ эффективности использования оборотных средств
предприятия
|
Показатели
|
2003г.
|
2004г.
|
Изменение за год (+,-)
|
|
Выручка от реализации продукции (работ, услуг), тыс. руб.
|
4123,7
|
5352,9
|
1229,2
|
|
Средняя стоимость остатков оборотных средств, тыс. руб.
|
3617,3
|
4649,3
|
1032
|
360
|
360
|
-
|
|
Коэффициент оборачиваемости оборотных средств
|
0,9
|
0,9
|
0,0
|
|
Коэффициент закрепления оборотных средств
|
1,1
|
1,1
|
0,0
|
|
Продолжительность одного оборота в днях
|
315,8
|
312,7
|
-3,1
|
|
Однодневный оборот реализации продукции, тыс.
руб.
|
11,5
|
14,9
|
3,4
|
В результате анализа представленных данных мы
пришли к следующим выводам: Коэффициент оборачиваемости оборотных средств и
коэффициент закрепления не изменили своего значения в течении периода
исследования, и остались на уроне несколько ниже нормативного, что говорит о
стабильности процессов использования оборотных средств, но недостаточной их
эффективности. В то же самое время значения таких показателей как
продолжительность одного оборота в днях и денежное выражение величины
однодневного оборота несколько улучшились в 2004г. по сравнению с предыдущим
(продолжительность сократилась с 315,8 до 312,7 или на 3,1 день, а величина
дневного оборота возросла с 11,5 до 14,9 или на 3,4 тыс. руб.) Это дает нам
основания утверждать, что в целом, эффективности использования оборотных
средств несколько увеличилась. Тем не менее, мы считаем, что руководящий состав
кафе «Мелена» должен принять меры по дальнейшему повышению эффективности
использования оборотных средств, что благоприятно отразится на достигнутом
финансово результате деятельности кафе,
Следующим направлением изучения деятельности кафе
«Мелена» стал анализ использования трудовых ресурсов и фонда заработной платы.
Предварительно, изучение этого вопроса было
осуществлено нами в предыдущей участи работы. Однако в данной части работы мы
постараемся определить эффективность использования трудовых ресурсов и затрат
на их оплату и ее изменение в процессе хозяйствования предприятия.
Данный анализ осуществляется с помощью ряда показателей:
Коэффициентом, отражающим эффективность использования рабочей
силы на предприятии является выработка на одного работника, рассчитываемая по
формуле:
Выработка на одного работника (Вр)
Вр = Объем реализации услуг за период (год,
квартал, месяц) (5)
Среднесписочная численность
персонала
Большое значение в рамках анализа эффективности
использования трудовых ресурсов и системы стимулирования труда является
показатель эффективности использования средств на оплату труда
- объем реализации услуг на рубль затрат по
оплате труда (Кз):
Кз = Выр/ФЗП
(6)
где Выр - объем выручки;
ФЗП - фонд заработной платы.
Итоговыми и наиболее наглядными показателями эффективности работы
персонала являются рентабельность персонала, которую можно определить как:
Рп = Прибыль от реализации
услуг *100% = Рпр*ГВ (7)
Среднесписочная численность персонала
где Рп = рентабельность персонала,
Рпр - рентабельность продаж;
ГВ - годовая выработка работника.
и рентабельность затрат
на оплату труда, которая рассчитывается как:
РЗОТ = Прибыль от реализации услуг
*100%
(8)
Размер годового фонда заработной платы
где Рп = рентабельность
персонала,
Значения указанных
показателей применительно к выбранному объекту исследования приведены в таблице
6:
Таблица 6
Обеспеченность трудовыми ресурсами и эффективности их
использования
|
Показатели
|
2003г
|
2004г
|
Изменения
показателя (в%)
|
|
Выработка
на одного работника (тыс. руб.)
|
229,1
|
205,9
|
-10,1
|
|
Объем
реализации на рубль затрат на оплату труда
|
7,3
|
5,5
|
-23,7
|
|
Рентабельность
персонала (в %)
|
17975,0
|
15282,3
|
-15,0
|
|
Рентабельность
затрат на оплату труда (в %)
|
0,6
|
0,4
|
-27,9
|
Как видно из приведенных данных, все коэффициенты данной группы
обладают негативной динамикой, что отражает снижение эффективности
использования трудовых ресурсов в процессе хозяйственной деятельности
изучаемого объекта. При этом, если выработка одного работника уменьшилась
только на 10,1 %, то рост заработной платы привел к тому, что темпы снижения
объемов реализации на рубль затрат по оплате груда превысили указанный ранее
показатель и составили 23,7 % , аналогичные изменения произошли и с
показателями группы рентабельности - сокращение рентабельности персонала
составляет 15,0 %, в то время рентабельность затрат падает на 27,9 %, все это
говорит о том, что предприятию необходимо предпринимать некоторые меры по
стимулированию труда и в то же самое время сократить темпы прироста фонда
заработной платы.
Теперь, когда мы получили основные выводы
относительно текущего экономического состояния предприятия и выявили моменты,
требующие корректировки в его последующей хозяйственной деятельности, мы можем
перейти непосредственно к изучению аспектов его финансовой деятельности. Для
этого, в первую очередь нам необходимо ознакомиться с теоретическими основами
финансового анализа финансовой устойчивости предприятия. Исследованию данных
вопросов будет посвящена следующая глава дипломной работы.
В
рыночных условиях, когда хозяйственная деятельность предприятия и его развитие
осуществляется за счёт самофинансирования, а при недостаточности собственных
финансовых ресурсов - за счёт заёмных средств, важной аналитической
характеристикой является финансовая устойчивость предприятия.
Финансовая
устойчивость - это определённое состояние счетов предприятия, гарантирующее его
постоянную платежеспособность. В результате осуществления какой-либо
хозяйственной операции финансовое состояние предприятия может остаться неизменным,
либо улучшиться, либо ухудшиться. Поток хозяйственных операций, совершаемых
ежедневно, является как бы “возмутителем” определённого состояния финансовой
устойчивости, причиной перехода из одного типа устойчивости в другой. Знание
предельных границ изменения источников средств для покрытия
вложения капитала в основные фонды или производственные запасы позволяет генерировать такие потоки хозяйственных операций,
которые ведут к улучшению финансового состояния предприятия, к повышению его
устойчивости.
Задачей
анализа финансовой устойчивости является оценка величины и структуры активов и
пассивов. Это необходимо, чтобы ответить на вопросы: насколько
организация независима с финансовой точки зрения, растет
или снижается уровень этой независимости и отвечает ли состояние его активов и
пассивов задачам её финансово-хозяйственной
деятельности.
В
литературе приводятся различные определения финансовой устойчивости, которые,
при различных формулировках, тем не менее одинаково определяют сущность
финансовой устойчивости.
Так,
В.В. Ковалев считает, что “…финансовая устойчивость – одна из важнейших
характеристик финансового состояния предприятия – стабильность его деятельности
в свете долгосрочной перспективы. Она связана с общей финансовой структурой
предприятия, степенью его зависимости от кредиторов и инвесторов. Финансовая
устойчивость в долгосрочном плане характеризуется, следовательно, соотношением
собственных и заемных средств (Финансовый анализ, 2001 г., с. 103).
По
мнению Х.З. Бадаша, “финансовая устойчивость – устойчивость финансового
состояния, гарантированная платежеспособностью предприятия (Экономика
предприятия, 2000 г., с. 86).
Савицкая
Г.В. отмечает, что “финансовая устойчивость – это внутренняя сторона
финансового состояния, отражающая сбалансированность денежных потоков, доходов
и расходов, средств и источников их формирования (Анализ хозяйственной
деятельности предприятия, 2002 г., с. 243).
Шеремет А.Д. в книге “Методика
финансового анализа” приводит схему анализа показателей финансовой устойчивости
предприятия, показанную на рис.2.
Рис.2.
Схема анализа показателей финансовой устойчивости предприятия
На
практике применяют разные методики анализа финансовой устойчивости. Обобщающим
показателем финансовой устойчивости является излишек или недостаток источников
средств для формирования запасов и затрат, который определяется в виде разницы
величины источников средств и величины запасов и затрат.
Для
характеристики источников формирования запасов и затрат используется несколько
показателей, характеризующих различную степень охвата разных видов источников:
-
наличие
собственных оборотных средств, равное разнице величины источников собственных
средств (ИС) и величины основных средств и прочих внеоборотных
активов (F):
EC
= ИС - F;
(4)
-
наличие
собственных и долгосрочных заемных источников формирования запасов и затрат,
получаемое из предыдущего показателя увеличением на сумму долгосрочных кредитов
и заемных средств (КТ):
EТ
= ЕС + КТ;
(5)
общая
величина основных источников формирования запасов и затрат, равная сумме
предыдущего показателя и величины краткосрочных кредитов и заемных средств
(Кt):
E?
= ЕС + КТ + Кt.
(6)
Трем
показателям наличия источников формирования запасов и затрат соответствуют три
показателя обеспеченности запасов и затрат (Z) источниками их формирования:
излишек
(+) или недостаток (-) собственных оборотных средств:
dЕС
= ЕС – Z; (7)
излишек
(+) или недостаток (-) собственных и долгосрочных заемных источников формирования
запасов и затрат:
dЕТ
= ( ЕС + КТ ) – Z; (8)
излишек
(+) или недостаток (-) общей величины основных источников формирования запасов
и затрат:
d
ЕΣ= ( ЕС + КТ
+ Тt ) – Z. (9)
Вычисление
трех показателей обеспеченности запасов и затрат источниками их формирования
позволяет классифицировать финансовые ситуации по степени их устойчивости.
Возможно
выделение четырех типов финансовых ситуаций:
1.
Абсолютная устойчивость финансового состояния. Она задается условиями:
dЕС
= 0, dЕТ= 0, d ЕΣ = 0, S = (1, 1, 1);
(10)
2.
Нормальная устойчивость финансового состояния предприятия, гарантирующая его
платежеспособность:
dЕС < 0, dЕТ= 0, dЕΣ = 0, S = (0, 1, 1);
(11)
3.
Неустойчивое финансовое положение, связанное с нарушением платежеспособности,
при котором сохраняется возможность восстановления равновесия за счет
пополнения источников собственных средств и увеличения собственных оборотных
средств, а также за счет дополнительного привлечения долгосрочных кредитов и
заемных средств:
dЕС < 0, dЕТ < 0, d ЕΣ = 0, S = (0, 0, 1). (12)
Финансовая
неустойчивость считается в данной ситуации нормальной, если величина
привлекаемых для формирования запасов и затрат краткосрочных кредитов и заемных
средств не превышает суммарной стоимости производственных запасов, готовой
продукции, т.е. если выполняется условия:
Z1+Z4
= Kt - d ЕΣ, Z2+Z3
? ЕТ, (13)
где
Z1
– производственные запасы (включая малоценные и быстроизнашивающиеся предметы);
Z2
– незавершенное производство;
Z3
– расходы будущих периодов;
Z4 –
готовая продукция;
Kt - d
ЕΣ -
часть краткосрочных кредитов и заемных средств, участвующая в формировании
запасов и затрат.
Если
данные условия не выполняются, то финансовая неустойчивость является
ненормальной и отражает тенденцию к существенному ухудшению финансового
состояния;
4.
Кризисное финансовое состояние, при котором предприятие находится на грани
банкротства, т.к. в данной ситуации денежные средства, краткосрочные финансовые
вложения и дебиторская задолженность предприятия не покрывают даже его
кредиторской задолженности:
dЕС < 0, dЕТ < 0, d ЕΣ < 0, S = (0, 0, 0). (14)
Между
статьями актива и пассива баланса существует взаимосвязь. Каждая статья баланса
имеет свои источники финансирования. Источником финансирования долгосрочных
активов как правило, является собственный капитал и долгосрочные заемные
средства. Не исключаются случаи формирования долгосрочных активов и за счет
кредиторов банка.
Таблица
7
Взаимосвязи
статей баланса предприятия
|
Долгосрочные активы
(основной капитал)
|
Собственный основной
капитал и долгосрочные кредиты
|
Постоянный ( перманентный)
капитал
|
|
Текущие активы
|
Постоянная
часть
|
Собственный оборотный
капитал
|
|
|
Переменная
часть
|
Краткосрочный заемный
капитал
|
При
этом финансовая неустойчивость считается допустимой, если соблюдается следующие
условия:
-
производственные запасы плюс готовая продукция равны или превышают сумму
краткосрочных кредитов и заемных средств, участвующих в формировании запасов;
-
незавершенное производство плюс расходы будущих периодов равны или меньше суммы
собственного оборотного капитала;
Если
эти условия не выполняются, то имеет место тенденция ухудшения финансового
состояния.
Проблема оценки
финансового состояния российских предприятий действительно существует,
поскольку в современной российской науке до сих пор так и не выработано единого
подхода к проведению такого рода анализа. Попытки систематизировать подход к
финансовому анализу существуют, например, «Методические указания по проведению
анализа финансового состояния организаций», разработанные Федеральной службой
по финансовому оздоровлению. Однако предлагаемая методика не позволяет получить
реальной картины финансового состояния предприятия. При этом достаточно легко
будет упустить из вида реально проблемные организации, так как в методических
рекомендациях достойное отражение получили показатели, характеризующие лишь
ликвидность.
Как отмечают Шеремет А.Д.
и Сайфулин Р.С. [20,с.10], чтобы принимать управленческие решения в области
производства, сбыта, финансов, инвестиций и нововведений, руководству нужна
постоянная осведомленность по соответствующим вопросам, возможная лишь в
результате отбора, анализа, оценки и концентрации исходной «сырой» информации.
Эффективность или неэффективность частных управленческих решений, связанных с
определением цены продукта, размера партии закупок сырья или поставок
продукции, заменой оборудования или технологии, должна пройти оценку с точки
зрения общего успеха фирмы, характера ее экономического роста и роста общей
финансовой эффективности.
По мнению Ефимовой
О.В.[12, с. 115], неудачи с использованием финансовых коэффициентов для целей
принятия экономических решений объясняются в значительной степени именно тем,
что начинающие аналитики привлекают для анализа несопоставимые с точки зрения
методологии бухгалтерского учета данные и делают затем на их основе
неадекватные выводы.
Второе условие,
вытекающее из первого, – владение методами финансового анализа. При этом
качественные суждения при решении финансовых вопросов важны не менее чем
количественные результаты. К таким качественным суждениям следует отнести в
первую очередь общую оценку ситуации и стоящих проблем, которые будут
определять как использование тех или иных конкретных методов финансового
анализа, так и интерпретацию его результатов, степень необходимой точности
которых также зависит от конкретной ситуации и целей анализа. Для обеспечения
качественных суждений необходима оценка надежности имеющейся информации, также
степени неопределенности и риска.
Третье условие – это
наличие программы действий, связанной с определением конкретных целей
выполнения аналитических работ. Например, итоговый анализ коэффициентов
ликвидности по данным отчетности, проводимый для целей составления
пояснительной записки, будет отличаться от углубленного анализа
платежеспособности, имеющего своей целью прогнозирование будущих денежных
потоков.
Четвертое условие
определяется пониманием ограничений, присущих применяемым аналитическим
инструментам, и их влияния на достоверность результатов финансового анализа.
Так, ключевым моментом для процесса принятия решений о целесообразности новых
инвестиций является определение стоимости капитала.
Теория и практика
финансового анализа располагает разнообразным набором способов расчета данного
критерия оценки инвестиций, различающихся как методическими подходами к
определению стоимости отдельных составляющих капитала, так и информационной
базой. Профессионализм аналитика состоит в том, чтобы, владея различными
методами определения стоимости капитала, понимая проблемы использования того
или иного методического подхода, обосновать выбор приемлемого способа с учетом
стоящих целей анализа и имеющейся информации.
Затратность процесса
финансового анализа и требование соизмерения затрат и результатов определяют
пятое условие, касающееся минимизации трудозатрат и выполнение аналитических
работ при достижении удовлетворительной точности результатов расчетов.
Шестым обязательным
условием эффективного финансового анализа является заинтересованность в его
результатах руководства предприятия. Как справедливо отмечается в Методических
рекомендациях по реформе предприятий (организаций), утвержденных приказом
Министерства экономики Российской Федерации от 1 октября 1997 г. № 118 (далее
по тексту – Приказ № 118), качество финансового анализа зависит от
компетентности лица, принимающего управленческое решение в области финансовой
политики. В том же документе подчеркивается, что одной из задач реформы
предприятия является переход к управлению финансами на основе анализа
финансово-экономического состояния с учетом постановки стратегических целей
деятельности предприятия. [14, с.70]
В современных условиях
перед руководством предприятия встает задача не столько овладеть самими
методами финансового анализа (для выполнения профессионального анализа
необходимы соответствующим образом подготовленные кадры), сколько использования
результатов анализа.
Результаты финансового
анализа позволяют выявить уязвимые места, требующие особого внимания. Нередко
оказывается достаточным обнаружить эти места, чтобы разработать мероприятия по
их ликвидации. [6, с.102]
В настоящее время
разработано и используется множество методик оценки финансового состояния
предприятия, таких, как методика Шеремета А.Д., Ковалева В.В., Донцовой Л.В.,
Никифоровой Н.А., Стояновой Е.С., Артеменко В.Г., Белендира М.В. и другие. И
отличие между ними заключается в подходах, способах, критериях и условиях
проведения анализа.
Некоторые нормативные
значения показателей финансовой оценки регламентируются официальными
материалами: Приказ № 118, Распоряжение Федерального управления по делам о
несостоятельности (ФУДН) «Методические положения по оценке финансового
состояния предприятий и установлению неудовлетворительной структуры баланса»
№31 – р от 12.08.94 г. (далее по тексту - Распоряжение № 31 – р), а также
использование европейских стандартов. Нормативные значения других показателей
установлены экспертным путем на основании статистической информации и носят
рекомендательный характер. При анализе коэффициентов необходимо учитывать, что
нормативные значения являются приблизительными средними ориентирами,
полученными на основе обобщения мирового опыта.
Как отмечает Дружинин
А.И.[13,c.25], российские условия хозяйствования отличаются от обще мировых,
поэтому нормативные значения не всегда являются точными индикаторами прочного
финансового положения. Кроме того, условия хозяйствования различных предприятий
также значительно отличаются друг от друга.
Таким образом,
существующий подход к оценке финансового состояния не дает достоверной
информации для принятия управленческих решений. Искажения при проведении оценки
связаны, во-первых, с недостаточно адаптированной к российским условиям
нормативной базой оценки, во-вторых, с отсутствием методического единства при
расчете оценочных показателей.
Для внутренних
пользователей необходим более тщательный анализ, с использованием оценочных
показателей (при анализе финансовой устойчивости).
Устойчивое финансовое
состояние формируется в процессе всей производственно-хозяйственной
деятельности предприятия. Определение его на ту или иную дату отвечает на
вопрос, насколько предприятие управляло финансовыми ресурсами в течение
отчетного периода. В настоящее время важно не только оценить ситуацию на
предприятии, для этого используются различные оценочные показатели, но и
разработать мероприятия по улучшению финансового состояния
Традиционно оценка
финансовой устойчивости проводится по следующим направлениям:
- анализ
имущественного состояния, динамики и структуры источников его формирования;
- анализ
ликвидности и платежеспособности;
- анализ
коэффициентов финансовой устойчивости.
Как отмечает Стоянова
Е.С.[18, c.56], сюда следует добавить анализ кредитоспособности и
рентабельности.
Однако, на мой взгляд,
целесообразно использовать методику Шеремета А.Д. и Сайфулина Р.С., которая
рекомендует для оценки финансовой устойчивости определять трехкомпонентный
показатель типа финансовой ситуации.
Профессор А.Д. Шеремет и
Р.С. Сайфулин [20, с.59] отмечают, что финансовая неустойчивость считается
нормальной (допустимой), если величина привлекаемых для формирования запасов и
затрат краткосрочных кредитов и заемных средств не превышает суммарной
стоимости производственных запасов и готовой продукции (наиболее ликвидной
части запасов и затрат).
Если указанные условия не
выполняются, то финансовая неустойчивость является ненормальной и отражает
тенденцию к существенному ухудшению финансового состояния.
При кризисном и
неустойчивом финансовом состоянии устойчивость может быть восстановлена путем
обоснованного снижения уровня запасов и затрат. [6, с.57]
Таким образом, оценка
финансовой устойчивости является не только частью анализа финансового
состояния, но и выясняет вопросы имущественного положения предприятия, ликвидности,
платежеспособности, кредитоспособности и рентабельности. Кроме того, анализ
финансовой устойчивости вскрывает имеющиеся недостатки и позволяет наметить
пути их устранения.
Для
анализа финансовой устойчивости традиционно применяется целый ряд коэффициентов.
Они в определенной степени показывают уровень финансовой устойчивости, но не
отвечают на вопрос, достаточен ли такой уровень. Их расчет производится по
показателям планового или фактического баланса активов и пассивов. Уровень
коэффициентов может служить отправной точкой для оценки финансовой
устойчивости, однако с некоторыми оговорками и уточнениями.
Рассмотрим
традиционные коэффициенты, а также способы их использования для оценки
финансовой устойчивости предприятия.
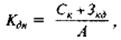
1.
Коэффициент автономии (Ка). Он рассчитывается следующим образом:
(15)
где
Ск — собственный капитал;
А
— стоимость всех активов.
Коэффициент
показывает фактическую или плановую долю собственного капитала в составе всех
источников финансирования.
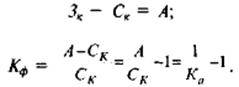
2.
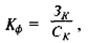
Коэффициент финансирования (Кф). Формула для его расчета:
(16)
где
Зк — сумма привлеченных предприятием заемных источников финансирования.
Коэффициент
показывает соотношение заемных и собственных источников финансирования без
разделения заемных источников на долгосрочные и краткосрочные.
Прежде
чем переходить к другим коэффициентам, рассмотрим коэффициент автономии и
коэффициент финансирования во взаимосвязи. Очевидно, что они находятся в
функциональной зависимости:



(17)
Таким
образом, как для расчетов, так и для оценки достаточно любого из двух
коэффициентов финансовой устойчивости. Каждый из них указывает на один и тот же
аспект финансовой устойчивости предприятия: меру его зависимости от заемных
источников финансирования. Однако зависимость от долгосрочных заемных
источников — это не то же самое, что зависимость от краткосрочных обязательств,
необоснованно большие суммы которых могут привести к неплатежеспособности
предприятия. Долгосрочные заемные средства по своей сути могут быть приравнены
к собственному капиталу. Поэтому ни один из двух рассмотренных коэффициентов не
может иметь самостоятельного значения без уточнения состава заемных источников,
т.е. без деления их на долгосрочные и краткосрочные. Отсюда — следующий
коэффициент финансовой устойчивости.
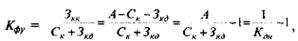
3.
Коэффициент долгосрочной финансовой независимости. (Кдн). Он рассчитывается по
формуле
(18)
где
Зкд — долгосрочные заемные средства.
Коэффициент
показывает, какая часть общей стоимости активов предприятия сформирована за
счет наиболее надежных источников финансирования, т.е. не зависит от краткосрочных
заемных средств. По существу, это уточненный коэффициент автономии. Если в
составе пассивов предприятия есть долгосрочные обязательства, целесообразно
вместо коэффициента автономии использовать коэффициент долгосрочной финансовой
независимости. В этих условиях возможен и уточненный коэффициент финансирования
(Кфу):
(19)
где
Зкк — краткосрочные заемные средства.
Следующие
два коэффициента отражают другой аспект финансовой устойчивости — долю
собственных оборотных средств, т.е. источника финансирования оборотных активов,
в составе собственного капитала. Собственные оборотные средства — наиболее
мобильная часть собственного капитала, поэтому коэффициенты, связанные с
оценкой их доли, называются коэффициентами маневренности.
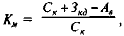
4.
Коэффициент маневренности собственного капитала (Км). Он рассчитывается
следующим образом:
а)
при наличии в составе источников финансирования долгосрочных обязательств:
(20)
где
Ав — балансовая стоимость внеоборотных активов;
б)
при отсутствии в составе источников финансирования долгосрочных обязательств:
(21)
Таков
универсальный набор общепринятых коэффициентов финансовой устойчивости. Из
перечисленных пяти коэффициентов самостоятельное значение имеют лишь два:
коэффициент долгосрочной финансовой независимости либо заменяющий его
уточненный коэффициент финансирования (при отсутствии долгосрочных заемных
средств они превращаются соответственно в коэффициент автономии и коэффициент
финансирования) и коэффициент маневренности собственного капитала.
В основном, финансовая устойчивость
рассматривается как способность организации отвечать по своим обязательствам в
долгосрочном периоде (в краткосрочном периоде финансовая устойчивость
трансформируется в понятие «ликвидность» - способность организации быстро превратить
свои оборотные активы в денежные средства для расчета с кредиторами).
Управление капиталом и дельностью предприятия
преследует цель не только получения прибыли, но получение ее без потери
финансово-экономического равновесия. Отслеживать финансово-экономическое
состояние предприятия можно при помощи бухгалтерского баланса (форма №1),
который является официальным документом (в соответствии с установленными
правилами). У каждого предприятия для данного периода времени существует своя
точка равновесия. Задача состоит в том, чтобы, определив ее, соблюдать
отклонения от нее в допустимых пределах.
Предварительно необходимо структурировать данные
бухгалтерского баланса: позиции актива разделить на нефинансовые и финансовые
активы, а позиции пассива – на собственный и заемный капитал. Положение
предприятия является устойчивым, если собственного капитала достаточно, чтобы
обеспечить им нефинансовые активы.
Точка равновесия в финансово-экономическом
положении предприятия возникает при условии равенства собственного капитала с
нефинансовыми активами, и, соответственно, финансовых активов с заемным
капиталом (обязательствами). При таком положении все обязательства покрыты
реальными платежными средствами. Пребывание структурных составляющих капитала в
точке равновесия бывает непродолжительным. Чаще всего предприятие находится –
по терминологии СНС – либо в состоянии чистого кредитования, либо чистого
заимствования.
Мысленное наложение активов на пассивы (или
наоборот) позволяет установить, что предприятие в каждый данный момент времени
располагает одним из трех возможных вариантов в структуре своего имущества:
У предприятия есть рычаг управления финансами и
экономикой в целом: собственные финансовые активы, которые можно использовать
для любых инвистиций, для кредитования партнеров, для благотворительной
деятельности и т.п. (вариант – чистое кредитование).
У предприятия все обязательства покрыты
(уравновешены) финансовыми активами, но свободных финансовых средств нет
(вариант – финансово-экономическое равновесие). Это положение зыбко, как и
физическое равновесие.
У предприятия имеются непокрытые финансовыми
активами обязательства. Вследствие этого, часть нефинансовых активов участвует
в покрытии обязательств. Возникает финансовая напряженность (вариант – чистое
заимствование).
Предприятие стремиться не столько к равновесию,
сколько к состоянию чистого кредитования. (К равновесию оно стремиться тогда,
когда находиться в состоянии чистого заимствования).
Практически предприятие постоянно переходит из
одного состояния в другое. Долго находиться в состоянии чистого кредитования
также нерезонно. Свободный денежный капитал (депозиты, валютные счета) должен
быть вложен в производство (при условии достижения достаточной массы), так как
прибыль, по общему правилу, выше банковского процента. После серьезного
инвестирования неизбежно возникает состояние чистого заимствования, так как к
вложению собственных средств к инвестиционным источникам обычно добавляются
долгосрочные займы. При инвестировании финансовые активы превращаются в
нефинансовые (покупка оборудования, строительных материалов или заказ новых
зданий, сооружений, цехов «под ключ»). По мере того, как начинает поступать
прибыль от расширения производства, она выполняет сразу две функции: денежная
форма собственной прибыли «обменивается» на нефинансовую форму заемного
капитала. Заемный капитал, приобретая финансовую форму, начинает возвращаться к
заимодавцам, а собственная прибыль окажется вложенной в производство таким
образом, прибыль от инвестиций своей денежной формой обслуживает возврат
долгов, а своей сущностью - капиталообразование.
Следует заметить, что в экономической литературе
сплошь и рядом повторяется тезис о передаче прибыли от инвестиций к
заимодавцам. Это заблуждение вытекает от неумения отделять и снова соединять
форму и содержание в экономических явлениях. Заимодавец не в праве требовать и
получать прибыль от предприятия-должника сверх процентов за кредит. А что
касается «тела» кредита, то заимодавец не получает чужую прибыль, а возвращает
назад свое собственное имущество. У него на балансе числились досрочные
предоставленные займы. Получив назад деньги, он не становиться богаче: один вид
активов замещается на другой. Отдав долг, наше предприятие-инвестор тоже не
беднеет: вместо обязательств в его балансе образуется собственный капитал.
Состояние предприятия-инвестора медленно, но верно приближается к
восстановлению равновесия.
Таким образом, финансово-экономическое положение
предприятия динамично. Управлять капиталом - значит управлять его структурой в
динамике.
Индикатор и статистическая шкала
финансово-экономической устойчивости. Индикатор финансово-экономической
устойчивости (ФЭУ) исчисляется на момент времени по формуле:
И = СК – НА, (22)
где И – индикатор ФЭУ;
СК – собственный капитал;
НА – нефинансовые активы.
Если И > 0, то финансово-экономическое положение предприятия
можно характеризовать как устойчивое. Если И = 0, то имеет место равновесие.
Если И < 0, то положение предприятия неустойчиво. Таким образом,
возникает первичная статическая шкала ФЭУ из трех позиций:
Устойчивость
Равновесие.
Неустойчивость.
Из основного уравнения структурированного бухгалтерского баланса
можно получить второе выражение индикатора ФЭУ, а также ряд формул для расчетов
с участием индикатора.
Если НА + ФА = СК + ЗК , то
И = СК – НА = ФА – ЗК,
ФА = ЗК + И;
НА = СК – И.
Первичная шкала ФЭУ может быть дифференцирована, если разделить
финансовые активы на мобильные и немобильные, а нефинансовые – на ликвидные и
неликвидные. При этом появится, кроме точки финансово-экономического
равновесия, еще две критические точки: точка абсолютной платежеспособности и
точка ликвидности.
Исходная трехпозиционная шкала ФЭУ превращается в дифференцированную
шкалу. Но сначала рассмотрим содержание всех вновь полученных структурных
элементов экономических активов.
Дифференцированная структура экономических активов предприятия.
Чтобы пользоваться шкалами ФЭУ, необходимо правильно структурировать
бухгалтерский баланс.
Финансовыми активами являются такие активы, которые отражены
одновременно в бухгалтерском балансе данного предприятия (в активе) и в балансе
другого предприятия или организации (в пассиве).
Нефинансовые активы отражены только в балансе данного предприятия.
По отношению к капиталу роль тех и других активов различна.
Не финансовые активы связывают собственный капитал, так как должны
быть им обеспечены.
Финансовые активы не играют активной роли до тех пор, пока они не
превысят заемный капитал. Дело в том, что финансовые активы поглощаются
заемными капиталом, поскольку он требует покрытия самыми мобильными и
ликвидными активами, т.е. финансовыми.
К финансовым мобильным активам относятся денежные средства
(расчетный и валютные счета, касса, аккредитивы, чековые книжки, переводы в
пути, средства у подотчетных лиц, депозиты до востребования, легкореализуемые
ценные бумаги (государственные казначейские обязательства, например) – все то,
что может беспрепятственно выполнять роль платежных средств.
К немобильным финансовым активам относятся все средства в расчетах
(дебиторская задолженность), финансовые вложения и предоставляемые займы. Это –
платежные средства с некоторым интервалом времени для их мобилизации.
Ликвидные финансовые активы включают в себя запасы сырья, материалов,
инвентаря, готовой продукции, незавершенное производство. Это – ближайшие
резервы для образования реальных платежных средств, потенциальные платежные
средства.
Неликвидные финансовые активы менее всего пригодны для выполнения
функции покрытия обязательств. Это – основные средства, нематериальные активы,
незавершенное строительство, не установленное оборудование, предназначенное для
осуществления инвестиционного проекта.
Когда наступят форс-мажорные обстоятельства, и приходиться срочно
погашать чрезмерно высокие для данного предприятия обязательства, неликвидные
активы не смогут быть реализованы по их балансовой стоимости.
Предприятие-должник понесет убытки, уже не говоря об убытках из-за нарушения
производственного процесса. Вынужденная реализация функционирующих основных
средств – это, как правило разрушение производства. Вспомним, что символом
краха в крестьянском хозяйстве всегда считалась продажа коровы.
Дифференцированная статическая шкала финансово-экономической
устойчивости. Разбивка финансовых активов на мобильные и немобильные приводит -
при сопоставлении с ними заемного капитала - к появлению точки абсолютной
платежеспособности, а разбивка нефинансовых активов на ликвидные и неликвидные
- при наложении на них собственного капитала - к появлению точки ликвидности.
Наличие трех критических точек превращает трехпозиционную сходную
шкалу ФЭУ в семипозиционную дифференцированную шкалу:
Зона суперустойчивости.
Достаточная устойчивость с абсолютной платежеспособностью.
Зона достаточной устойчивости.
Финансово-экономическое равновесие.
Зона финансовой напряженности.
Финансовая напряженность с потерей безопасности.
Зона риска.
Позиции в дифференцированной шкале (также как и в исходной шкале)
неравноценны. Позиции 2, 4, 6 фиксируют по одному критическому моменту. Позиции
1, 3, 5, 7 означают зоны: каждая из них содержит множество моментов.
Каждое предприятие, имеющее бухгалтерский баланс, может быть по
результатам анализа баланса отнесено в одно из семи перечисленных в шкале
состояний. Все зависит от соотношения собственного капитала и элементов
экономических активов данного предприятия. Введем дополнительные обозначения:
ЭА — экономические активы суммарно;
К — капитал (собственный и заемный суммарно);
МФА — мобильные активы (финансовые);
НМФА — немобильные финансовые активы (дебиторская задолженность,
долгосрочные вложения);
НМА — немобильные активы (немобильные финансовые и все
нефинансовые);
ЛА — ликвидные активы (все финансовые и ликвидные нефинансовые);
ЛНА — ликвидные нефинансовые активы (оборотные: запасы,
незавершенное производство);
НЛНА — неликвидные нефинансовые активы (нематериальные активы и
основные средства);
И' — индикатор абсолютной платежеспособности;
И" — индикатор безопасности/риска.
Индикаторы И, И', И" могут быть положительными, отрицательными
и нулевыми величинами. Структурные составляющие активов и капитала могут иметь
только положительное или нулевое значение. Иначе говоря, предприятие, имеющее
кризисный баланс (СК = 0; ЭА<ЗК), не может подвергаться анализу по шкале
ФЭУ. Эта шкала предназначается для анализа работающего предприятия, у которого
ЭА = К и которое имеет шанс возврата к финансово-экономическому равновесию
собственными силами. Кризисное предприятие нуждается в качественном
преобразовании. В стадии выхода из кризиса для предприятия должен составляться
особый, кризисный баланс. Собственно, даже не баланс, а документ по
отслеживанию погашения долга за счет остаточной экономической деятельности.
Что означает попадание предприятия в те положения, которые фиксирует
дифференцированная шкала ФЭУ?
Позиция 1. Суперустойчивость означает, что по наиболее благоприятное
положение. Собственный капитал обеспечивает только нефинансовые активы, но
вообще все немобильные активы и, кроме того, часть мобильных. Другая часть
мобильных активов выполняет функцию покрытия обязательств. Предприятие обладает
абсолютной платежеспособностью, так как внезапная претензия любого кредитора
может быть удовлетворена по первому требованию.
Позиция 2. Достаточная устойчивость с абсолютной платежеспособностью
означает, что предприятие не имеет собственных мобильных активов (в отличие от
позиции 1), не обладает абсолютной платежеспособностью: все обязательства крыты
мобильными активами. Собственный капитал равен всем немобильным активам. Это
первая критическая точка.
Позиция 3. Достаточная финансовая устойчивость: предприятие
гарантирует погашение обязательств, так как обладает достаточными финансовыми
активами (ФА > ЗК), несмотря на отсутствие абсолютной (без промедления)
платежеспособности. Такое положение следует считать вполне безопасным (И"
> 0). В собственности предприятия имеются все нефинансовые и часть
немобильных финансовых активов.
Позиция 4. Финансово-экономическое равновесие — момент отсутствия
собственных финансовых активов, но вместе с тем и отсутствия напряженности.
Такое положение следует считать вполне безопасным (И" = ЛНА). Все
нефинансовые активы находятся в собственности предприятия.
Позиция 5. Зона финансовой напряженности указывает, что предприятие
обеспечивает покрытие своих обязательств финансовыми активами не полностью.
Оставшаяся часть обязательств покрывается нефинансовыми, но ликвидными активами
(погашение долгов через какое-то время). Но потенциально предприятие
платежеспособно в полном объеме. Такое положение можно считать безопасным (Ии
> 0), так как у предприятия остается часть ликвидных активов в полной его
собственности. В собственности предприятия находятся и все основные средства
(неликвидные активы).
Позиция 6. Напряженность с потерей безопасности — третья критическая
точка: в ней покрытие обязательств финансовыми и ликвидными активами лишает
предприятие собственных ликвидных активов. Тем не менее потенциальная
платежеспособность (ликвидность) налицо. В этом положении предприятие,
расплатившись с долгами, может найти новый кредит для приобретения оборотных
активов.
Позиция 7. Зона риска. В этой зоне все три индикатора (И, И',
И") имеют отрицательное значение. Утрачена не только безопасность, но и
ликвидность. Предприятие вступает в зону риска, покрывая часть обязательств
основными средствами. В собственности предприятия остается только свободная от
функции покрытия часть основных средств. В этом положении все зависит от
поведения кредиторов. Если они проявят терпение, то у предприятия есть шанс
возвращения к финансовой устойчивости, сохранения себя в качестве того
предприятия, каким оно значится в ЕГРПО или в другом месте регистрации.
Состояние риска — это еще не кризис. Предприятие продолжает оставаться
собственником хотя бы части своего имущества. Активы предприятия равны его пассивам.
В предлагаемых шкалах нет сравнения собственного и заемного
капитала. И тот, и другой капитал сравнивается с активами, накладывается на них
по определенным правилам. Чтобы возвращать долги, нужно иметь деньги или, по
крайней мере, ликвидные активы. Если собственный капитал количественно больше
обязательств, но вложен в незавершенное строительство, а заемный — вложен в
незавершенное производство, то с покрытием издательств дело обстоит плохо. И
собственный капитал делу не поможет. Предлагаемые шкалы ФЭУ ориентируют
предприятие на капиталообразование, т. е. на вложение собственных источников в
нефинансовые (производительные) активы, в сочетании с покрытием обязательств
ликвидными активами. В ржавлении капиталом нельзя ориентироваться только на
собственный: от оборота заемного капитала предприятие получает собственную
прибыль, которая выше процентов запользование кредитом.
Предлагаемый метод определения платежеспособности и финансовой
устойчивости предприятия вытекает из принципов, заложенных в Системе национальных
счетов для определения состояния национальной экономики в целом. Наша концепция
основана на убеждении, что отдельное предприятие представляет собой целостную
экономическую систему и должно оцениваться с тех же позиций, что и национальная
экономика в целом.
Проведение анализа финансово-экономического состояния предприятия по
шкалам ФЭУ (укрупненной и дифференцированной) позволяет получить ответ на
вопрос: что будет завтра при наступлении форс-мажорных обстоятельств?
Поскольку вероятность их наступления именно завтра не составляет
100%, то имеется реальная возможность удаления от равновесия, вступления в зону
напряженности. При этом важно вообще не вступать в зону риска, т. е. соблюдать
условие СК > НЛНА. Это значит, прежде всего, не подвергать риску
функционирующие основные средства. Инвестиционные проекты подвергаются
повышенному риску, особенно в тот период, когда новые основные средства уже
созданы, а дополнительная денежных поступлений еще нет. Поэтому очень важно при
осуществлении инвестиционных проектов не откладывать погашение долгосрочных
кредитов на период получения дополнительной прибыли. (Ту, будущую прибыль можно
и нужно использовать на накопление для следующей реконструкции). Когда же идет
строительство, осуществляется расширение производства, прибыль от текущего
основного производства должна преимущественно вкладываться в это строительство,
несмотря на то, что оно уже профинансировано. Это - предоставление кредита
самим себе: денежная форма текущей прибыли позволяет физически возвращать долги,
вложенные в инвестиционный проект. По мере каждого платежа, на такую же сумму
незавершенное строительство становится собственным, так как долг частично
списывается. Прибыль оказывается вложенной в строительство. Происходит процесс
капиталообразования, причем досрочно.
Каждое из трех возможных изменений индикатора ФЭУ (ΔИ'
> 0, АИ = 0, ΔИ < 0) находится в сочетании с изменениями шести
других ведущих показателей (далее под словом «прирост» понимается любое
изменение: > 0; = 0, < 0). К этим показателям относятся:
ΔК. — прирост капитала в целом;
ΔСК — прирост собственного капитала;
ΔЗК — прирост заемного капитала;
ΔЭА — прирост экономических активов в целом;
ΔНА — прирост нефинансовых активов;
ΔФА — прирост финансовых активов.
Таким образом, динамика ФЭУ любого предприятия за любой отчетный
период времени характеризуется не только рангом укрупненной динамической шкалы
ФЭУ, но также номером одной из 75 возможных приростных ситуаций. Эти ситуации
классифицируются по блокам, число которых равно 13-ти, а блоки группируются в
три раздела: положительный, отрицательный, нейтральный. Положительный блок
ситуаций обслуживает 5 позиций из укрупненной шкалы ФЭУ, отрицательный - тоже
пять, а нейтральный - три позиции. Весь массив позиций (среди которых нет двух
одинаковых) .Как среди ситуаций, так и среди позиций укрупненной динамической
шкалы ФЭУ есть маловероятные варианты, по математически выверенный перебор
вариантов обязывает включать в массив и в шкалу все возможные из них. Опасность
подстерегает финансового менеджера не со стороны маловероятных вариантов, а со
стороны вообще невозможных, которые в управлении капиталом кажутся возможными
(на первый взгляд).
Важно знать, в какой из 75 ситуаций будет находиться предприятие,
благодаря чему станет известно, что можно ожидать и чего нельзя. Все желают
получать прибыль и сохранять финансово-экономическую устойчивость при
минимальном риске. Но для этого следует задавать изменения исходных величин в
определенных соотношениях.
Поэтапное решение задач прогнозирования ФЭУ, платежеспособности и
безопасности. Зоны достаточной устойчивости и напряженности являются теми
умеренными зонами, в которых происходит реальная экономическая жизнь
большинства предприятии.
Если предприятие находится в одной из них, и ему не угрожает зона риска
и суперустойчивость с абсолютной (мгновенной) платежеспособностью, то можно
ограничиться в прогнозе расчетами с помощью приростных показателей в системе
укрупненных характеристик ФЭУ: абсолютной платежеспособности здесь нет и не
будет, а безопасность есть и не исчезнет.
Но если предприятие уже находится или приближается к пиковым зонам:
суперустойчивости или риска, то необходимо провести, кроме того, расчеты с
помощью одного из двух новых комплектов, состоящих из укрупненной шкалы и
массива ситуаций, аналогичных комплекту для ФЭУ (массив №1). Это будут шкала и
массив №2 для анализа абсолютной платежеспособности, шкалы и массив №3 для
анализа безопасности/риска.
В массиве ситуаций приростного анализа абсолютной платежеспособности
будут сочетаться показатели: ΔСК, ΔЗК, ΔК, ΔМФА, ΔНМА,
ΔЭА, ΔИ'. В массиве ситуаций приростного анализа безопасности будут
сочетаться показатели: ΔСК, ΔЗК, ΔК, ΔЛА, ΔНЛНА,
ΔЭА, ΔИ".
В шкале АП
(абсолютной платежеспособности) вместо устойчивости и неустойчивости будут зоны
мобильности и немобильности; в шкале Б/Р (безопасности/риска) будут зоны
ликвидности и неликвидности. Критическая точка в шкале АП будет выполнять
функцию платежно-денежного равновесия, а в шкале Б/Р - функцию критического
имущественного равновесия.
Каждая из двух новых
укрупненных шкал - АП и Б/Р - может быть дифференцирована по аналогии с
укрупненной шкалой ФЭУ. В шкале АП появятся три зоны немобильности:
гарантированная платежеспособность, потенциальная платежеспособность, зона
покрытия обязательств неликвидным имуществом. В шкале Б/Р будет три зоны
ликвидности: независимость, надежность и относительная безопасность.
Чтобы пользоваться
массивами №1, 2, 3, необходимо и достаточно пользоваться шкалами из 13 позиций
в динамике (из 3-х - в статике). (При использовании дифференцированных шкал
число совмещений позиций с возможными ситуациями в динамике стремительно
возрастает. Так, шкала ФЭУ из 33 позиций предполагает 933 варианта сочетаний
позиций и ситуаций).
Использовать
дифференцированные шкалы для ранжирования и сравнения предприятий в статике и
динамике эффективно в комплексе, принимая за основу шкалу ФЭУ и дополняя ее
зоны признаками гарантированной и потенциальной платежеспособности,
независимости, надежности и относительной безопасности.
Признаки трех шкал -
ФЭУ, АП и Б/Р - взаимосвязаны, поскольку в экономической трактовке устойчивость
- это стальная платежеспособность, надежное покрытие обязательств, а
безопасность - это ликвидность, гарантированная устойчивостью.
Основой информационной базы, необходимой для
проведения комплексного анализа финансовой деятельности является бухгалтерский
баланс. Выбранный нами объект исследования формирует данную отчетность в форме
бухгалтерской справки и в дальнейшем передает ее в главную бухгалтерию
потребительского общества для составления сводного баланса. Факт генерирования
бухгалтерской отчетности по структурному подразделению представляется нам
весьма положительным, поскольку не только позволяет более точно определить
финансовое положения предприятия в целям написания данной работы, но и
облегчает процесс принятия управленческих решений руководящему составу кафе за
счет подготовки достоверной информации в формализованном виде.
Первичным этапом анализа бухгалтерского баланса
является анализ его активной и пассивной части. В первую очередь обратимся к
структуре активов кафе «Мелена», представленную в таблице 8.
Таблица 8
Анализ состава и структуры актива баланса кафе «Мелена»
|
Актив баланса
|
2003г.
|
2004г.
|
Абсолютное отклонение,
(+;-), тыс. руб
|
Темпы роста %
|
|
тыс. руб.
|
%к итогу
|
тыс. руб.
|
%к итогу
|
|
Иммобилизованные средства (внеоборотные
активы)
|
|
Нематериальные активы
|
―
|
―
|
―
|
―
|
―
|
―
|
|
Основные средства
|
―
|
―
|
―
|
―
|
―
|
―
|
|
Мобильные средства (оборотные активы)
|
|
Запасы и
затраты
|
2003,9
|
62,8
|
2031,4
|
63,2
|
27,5
|
1,4
|
|
Дебиторская
задолженность
|
1066,1
|
33,4
|
1070,4
|
33,3
|
4,3
|
0,4
|
|
Краткосрочные
финансовые вложения
|
―
|
―
|
―
|
―
|
―
|
―
|
|
Денежные
средства
|
119,9
|
3,8
|
112,1
|
3,5
|
-7,8
|
-6,5
|
|
ИТОГО
|
3189,9
|
100
|
3213,9
|
100
|
24
|
0,8
|
С помощью горизонтального (временного) и
вертикального (структурного) анализа можно получить наиболее полное общее
представление об имевших место качественных изменениях в структуре актива, а
также динамике этих изменений. На основании данных аналитической таблицы 8
можно сделать следующие выводы:
Общая стоимость имущества увеличилась за отчетный
период на 0,8 % или на 24 тыс. руб., что свидетельствует о расширении
хозяйственной деятельности предприятия. При этом рост величины активов
сопровождался внутренними изменениями в его структуре. Так величина запасов и
затрат увеличилось на 27,5 тыс. руб. или 1,4 %, что привело к росту их доли на
0,4 %, а размер денежных средств уменьшилась на 7,8 тыс. руб. или на 6,5 %,
(доля в структуре уменьшилась на 0,3 %). Так же следует отметить, что кафе не
приобретает и не получает в управление от головной компании внеоборотные
активы, а, потому, все его имущество состоит из оборотных средств.
Для общей оценки имущественного потенциала
предприятия проведем анализ динамики состава и структуры обязательств (пассива)
баланса.
При этом, поясним порядок формирования отдельных
статей данного раздела баланса.
Так величина статьи «уставный капитал»,
рассчитывается в соответствии с методикой, применяемой в рамках
потребительского общества и определяется на основании общей величины его
уставного капитала, пропорционально доле основных средств в общей их массе, на
базе которых осуществляется деятельности структурного подразделения. Величина
резервного капитала также формируется за счет общего резерва по обществу, однако,
в данном случае распределение осуществляется с учетом базового уровня
предпринимательского риска деятельности, осуществляемой конкретным
подразделением, а также сезонных и прочих прогнозируемых колебаний рыночной
конъюнктуры подразделения.
Структура пассива баланса кафе «Мелена»
представленная в таблице 9.
Таблица 9
Анализ состава и структуры пассива баланса кафе «Мелена»
|
ПАССИВ БАЛАНСА
|
2003г.
|
Абсолютные отклонени я т.р. (+;-)
|
Темпы роста %
|
|
тыс. руб.
|
В % к итогу
|
тыс. руб.
|
% к итогу
|
|
КАПИТАЛ И РЕЗЕРВЫ (СОБСТВЕННЫЙ КАПИТАЛ)
|
|
Уставный капитал
|
439,6
|
13,8
|
439,6
|
13,0
|
0,0
|
0,0
|
|
Резервный капитал
|
543,2
|
17,0
|
517,9
|
16,8
|
-25,4
|
-4,7
|
|
Нераспределенная прибыль
|
400,3
|
12,6
|
441,3
|
13,7
|
40,9
|
10,2
|
|
ИТОГО
|
1383,1
|
43,4
|
1398,7
|
43,5
|
15,5
|
1,1
|
|
ЗАЕМНЫЕ СРЕДСТВА
|
|
Долгосрочные кредиты и займы
|
―
|
―
|
―
|
―
|
―
|
―
|
|
Краткосрочные кредиты и займы
|
―
|
―
|
―
|
―
|
―
|
―
|
|
Кредиторская задолженность
|
1806,8
|
56,6
|
1815,2
|
56,5
|
8,5
|
0,5
|
|
ИТОГО
|
1806,8
|
56,6
|
1815,2
|
56,5
|
8,5
|
0,5
|
|
Всего пассивов (баланс)
|
3189,9
|
100,0
|
3213,9
|
100,0
|
24,0
|
0,8
|
|
|
|
|
|
|
|
|
Данные таблицы 9 свидетельствуют о том, что
увеличение стоимости имущества предприятия произошло за счет увеличения заемных
средств на 8,5 тыс. руб. и собственных средств на 15,5 тыс. руб., в результате
чего доля последних в структуре пассивов незначительно увеличилась (+0,1 %).
Следует отметить отсутствие в структуре пассивов
долгосрочных кредитов и займов, а также краткосрочных кредитов и займов.
Интерес представляет также рост нераспределенной
прибыли на 40,9 тыс. руб. или на 10,2 % (и ее положительное значение на
протяжении всего периода изучения), в результате чего деятельность структурного
подразделения была перенесена в более низкую категорию рискованности. Это
послужило причиной для принятия решения о сокращении резервного капитала на
25,4 тыс. руб. или на 4,7 %.
Следующим направлением комплексного анализа
финансовой деятельности предприятия является оценка его платежеспособности.
Платежеспособность предприятия - это его
готовность отвечать по своим обязательствам перед кредиторами, то есть это
наличие у предприятия денежных средств и их эквивалентов, достаточных для
расчетов по кредиторской задолженности, требующей немедленного погашения.
Оценка данной характеристики предприятия
проводится с помощью показателей ликвидности.
Ликвидность предприятия — это способность
превращать активы в деньги для покрытия всех необходимых платежей по мере
наступления их срока. Предприятие, оборотный капитал которого состоит
преимущественно из денежных средств и краткосрочной дебиторской задолженности,
обычно считается более ликвидным, чем предприятие, оборотный капитал которого
состоит преимущественно из запасов.
Данный платежеспособности осуществляется в два
этапа: прежде всего, проводится предварительное изучение укрупненной структуры
баланса, в результате которого формируется общее представление о состоянии его
ликвидности в динамике. В том случае, если платежеспособность предприятия
находится на недостаточно высоком уровне, проводится анализ относительных
показателей, которые позволят нам разработать ряд рекомендаций по повышению
ликвидности баланса нашего объекта.
Рассмотрим первый этап анализа ликвидности:
Укрупненная структура баланса кафе «Мелена»,
представленная в соответствии с рассмотренными группами выглядит следующим
образом:
Таблица 10
Агрегированный баланс кафе «Мелена» (тыс. руб.)
|
Актив
|
2003г.
|
2004г.
|
Пассив
|
2003г.
|
2004г.
|
|
А1
|
119,9
|
112,1
|
П1
|
1806,8
|
1815,2
|
|
А2
|
1066,1
|
1070,4
|
П2
|
0
|
0
|
|
АЗ
|
2003,9
|
2031,4
|
П3
|
0
|
0
|
|
А4
|
0
|
0
|
П4
|
1383,1
|
1398,7
|
|
Баланс
|
3189,0
|
3213,9
|
Баланс
|
3189,0
|
3213,9
|
Сравнительный анализ полученных групп активов и
пассивов, а также соответствие их соотношений нормативным требованиям
осуществим с помощью составление сравнительной таблицы.
Таблица 11
Сравнительная таблица ликвидности баланса кафе «Мелена»
|
2003г.
|
2004г.
|
Норма
|
|
А1 <П1
|
А1 <П1
|
А1 >П1
|
|
А2> П2
|
А2>П2
|
А2>П2
|
|
АЗ>П3
|
АЗ>ПЗ
|
АЗ>ПЗ
|
|
А4<П4
|
А4<П4
|
А4<П4
|
Результаты предварительного анализа выглядят
следующим образом: практически все требования по обеспечения платежеспособности
предприятия выполняются за исключением соотношения групп А1 и П1 баланса. Это
говорит о том, что платежеспособность предприятия стабильна и находится на
высоком уровне, однако у предприятия возникают трудности с формированием
достаточного размера свободных денежных средств для покрытия обязательств в
краткосрочном периоде.
Детализируем анализ ликвидности при помощи
относительных показателей, приведенных в таблице 12.
Таблица 12
Коэффициенты ликвидности баланса кафе «Мелена»
|
Коэффициенты
|
2003г.
|
2004г.
|
Норма
|
|
Коэффициент абсолютной ликвидности
|
0,07
|
0,06
|
>0,2
|
|
Коэффициент быстрой ликвидности
|
0,66
|
0,65
|
0,8-1,0
|
|
Коэффициент текущей ликвидности
|
1,77
|
1,77
|
>=2,0
|
Анализируя полученные значения коэффициентов, мы
приходим к следующему выводу: ни один из рассчитанных показателей в настоящее
время не удовлетворяет нормативным требованиям, однако данное несоответствие
очень невелико. В то же самое время мы вынуждены констатировать незначительную
негативную динамику показателей, которая, при сохранении ее в будущем может
привести к существенному ухудшению платежеспособности кафе.
Рассмотрим значения каждого коэффициента более
подробно:
Ликвидность предприятия долгосрочной перспективе,
которую характеризует значение коэффициента текущей ликвидности стабильно
находится ниже нормы на 0,33 пункта, следовательно, руководству кафе необходимо
реализовать ряд мероприятий по повышению ликвидности, и прежде всего за счет
сокращения размеров краткосрочной кредиторской задолженности. Более
краткосрочные показатели ликвидности находятся ближе к нормальному уровню. Так
показатель быстрой ликвидности ниже нормы на 0,24 в 2002г. и 0,25 в 2003г., а
показатель абсолютной ликвидности - соответственно на 0,13 и 0,14.
Однако, отмечая, что выбранный нами объект
осуществляет торговую деятельность и при этом, в силу организационных моментов,
формирует незначительные объемы запасов и затрат, небольшая величина свободных
денежных средств может негативно отразиться на его деятельности. По этому мы
отмечаем необходимость повышения ликвидности активов предприятия краткосрочном
периоде.
Следующим этапом проведения комплексного анализа
финансовой деятельности выбранного объекта является оценка его деловой
активности.
Данный этап анализа проведен нами на основе
данных, представленных в таблице 13.
Таблица 13
Показатели деловой активности кафе «Мелена»
|
Показатели
|
2003г.
|
2004г.
|
Норма
|
|
Коэффициент оборачиваемости активов
|
1,29
|
1,67
|
1
|
|
Коэффициент оборачиваемости оборотных средств
|
1,94
|
2,50
|
>3
|
|
Коэффициент оборачиваемости собственного капитала
|
2,98
|
3,83
|
1
|
Данные таблицы свидетельствуют о том, что
показатели оборачиваемости активов и собственного капитала находятся выше
критических значений и обладаю положительной динамикой. В то же самое у
предприятия наблюдается несущественное расхождение значений показателей
оборачиваемости активов и оборотных средств, поскольку последние доминируют в составе
активов. При этом именно значение оборачиваемости данной группы активов
находится на низком уровне. Это говорит о том, что предприятию необходимо
проводить действенную политику в области стимулирования товарооборота.
В данном случае повышение деловой активности
напрямую зависит от деятельности маркетинговой службы, и маркетинговой политики
предприятия в целом. Мы не будем останавливаться на данном вопросе подробно,
поскольку он выходит за рамки предмета исследования данной дипломной работы.
Однако отметим, что именно от рациональности и эффективности маркетинговой
политики существенно зависит и эффективность финансовой деятельности и
финансовая устойчивость предприятия, а потому руководящий состав должен уделять
данному вопросу достаточно внимание и принять действенные меры по повышению
объемов реализации.
Завершающим этапом комплексного анализа
финансовой деятельности является анализ достигнутых финансовых результатов,
обобщающим показателем которой выступает балансовая прибыль.
Балансовая прибыль предприятия представляет собой
сумму прибыли от реализации продукции (работ, услуг), прибыли (убытков) от
реализации основных средств, нематериальных активов и иного имущества
предприятия и доходов от внереализационных операций, уменьшенных на сумму
расходов по этим операциям.
Анализ балансовой прибыли включает оценку
динамики балансовой прибыли, изучения состава и ее структуры для выявления
резервов увеличения прибыли за счет каждого из перечисленных слагаемых.
Для того, что бы осуществить анализ результативности
деятельности кафе «Мелена» необходимо обратится к данным, представленным в
таблице 14.
Таблица 14
Структура балансовой прибыли кафе «Мелена»
|
Показатели
|
Сумма
тыс. руб.
|
Изменение
|
|
2003г.
|
2004г.
|
Абсолютное
|
Относит-е
|
|
Выручка от реализации продукции (работ, услуг)
|
4123,7
|
5352,9
|
1229,2
|
29,81
|
|
Затраты (с учетом покупной стоимости продукции)
|
3617,3
|
4649,3
|
1032
|
28,53
|
|
Прибыль от реализации (работ, услуг)
|
506,4
|
703,6
|
197,2
|
38,94
|
|
Прибыль от прочей реализации
|
16,06
|
76,88
|
60,82
|
378,70
|
|
Доходы от внереализационных операций
|
-122,16
|
-339,18
|
-217,02
|
177,65
|
|
Балансовая прибыль
|
400,3
|
441,3
|
41
|
10,24
|
|
Рентабельность продаж
|
12,28
|
13,14
|
0,86
|
|
Общая рентабельность
|
9,71
|
8,24
|
-1,46
|
Как видно из представленных данных, кафе получало
прибыль на протяжении всего рассматриваемого периода, причем итоговый
показатель финансовой результативности обладает положительной динамикой. При
этом прибыль от реализации по основным видам деятельности и прибыль от прочей
реализации обладает большими темпами росте нежели затраты, что положительно
сказывается на достигнутом результате и подтверждается наличием положительной
динамика рентабельности продаж, рост которой составил 0,86 % (12,28%-13,14%).
В то же самое время, существенное негативное
влияние на финансовую результативность оказывает рост расходов от
внереализационной деятельности, составивший в 2003г. 217,02 тыс. руб. Это
наглядно отражается в сокращении общей рентабельности деятельности кафе с 9,71
% в 2002г. до 8,24 % в 2002г. или на 1,46 %.
Поэтому мы считаем, что предприятию необходимо
предпринять ряд действенных мер как по повышению объема товарооборота в целом,
так и по полученной прибыли, и прежде всего, за счет сокращения
внереализационных расходов.
Теперь, когда мы осуществили общий анализ
финансовой деятельности предприятия, мы можем обратиться непосредственно к
определению его финансовой устойчивости.
Для этого, в первую очередь, мы рассчитаем
абсолютные показатели, подробно описанные нами в теоретической части дипломной
работы. Их значение, применительно к практике деятельности выбранного объекта
приведено в таблице 15.
Таблица 15
Абсолютные показатели финансовой устойчивости кафе «Мелена»,
тыс. руб.
|
Показатели
|
2003г.
|
2004г.
|
Изменение (+,-)
|
|
сос
|
-620,8
|
-632,7
|
-11,9
|
|
сд
|
-620,8
|
-632,7
|
-11,9
|
|
ои
|
-620,8
|
-632,7
|
-11,9
|
На основе абсолютных данных финансовой
устойчивости предприятия, мы можем сделать вывод, что предприятие обладает
крайне устойчивым финансовым положением. При этом одинаковая величина всех
абсолютных показателей объясняется тем, что предприятие не привлекает средств
на заемной основе, и единственной категорией привлеченных средств является
краткосрочная кредиторская задолженность. При этом собственных средств недостаточно
для финансирования запасов и затрат, а потому, оно осуществляется в том числе и
за счет краткосрочной дебиторской задолженности что является крайне негативным
моментом деятельности предприятия. Более того, дефицит собственных средств
незначительно возрастает в течение рассматриваемого периода. Все это
свидетельствует о необходимости скорейшей реализации мер по выведению
предприятия из кризисного состояния за счет увеличения собственных и
приравненных к ним заемных средств.
Увеличение величины собственных сред возможно
путем выделения финансовых ресурсов из общей их совокупности по
потребительскому обществу. Решение данного вопроса требует знакомства с
условиями деятельности всего потребительского общества, что выходит за рамка
дипломной работы. По этому мы не будем детализировать выдвинутое предложение.
Однако отметим, что если выделение дополнительного капитала структурному
подразделению возможно, то это может оказать существенно положительной
воздействие на финансовую устойчивость последнего, а потому должно быть
рассмотрено руководящим составом потребительского общества.
Привлечение заемных средств возможно путем
организации работы с кредитными учреждениями по привлечению кредитов на
долгосрочной основе. При этом, поскольку предприятие не обладает собственными
средствами, а одним из принципов кредитования является гарантированность
ссужаемого капитала, то в качестве обеспечения кредита может выступать
собственный капитал кафе. В таком случае, мы считаем возможным привлечение
долгосрочных займов в размере, не превышающем половины величины собственного
капитала.
Более подробный анализ финансовой устойчивости
можно провести при помощи рассмотрения относительных показателей финансовой
устойчивости, приведенных в таблице 16.
Таблица 16
Относительные показатели финансовой устойчивости кафе
«Мелена»
|
Показатель
|
2003г.
|
2004г.
|
Норма
|
Изменение в %
|
|
Коэффициент обеспеченности собственными средствами
|
0,43
|
0,44
|
>0,6
|
2,33
|
|
Коэффициент обеспеченности материалов и запасов собственными
средствами
|
0,69
|
0,69
|
1
|
-0,29
|
|
Коэффициент маневренности
|
1
|
1
|
0,5
|
0,00
|
|
Индекс постоянного актива
|
0
|
0
|
-
|
|
|
Коэффициент долгосрочн. привлечения капитала
|
0
|
0
|
-
|
|
|
Коэффициент автономии
|
0,43
|
0,44
|
>0,5
|
2,33
|
|
Коэффициент соотношения заемных и собственных
средств
|
11,31
|
11,30
|
<1
|
-0,76
|
Первая группа показателей отражает
недостаточность собственных средств и низкую обеспеченность оборотных средств
собственными и, соответственно недостаточную их долю в структуре пассивов.
Анализируя значение показателей данной группы мы можем отметить следующее:
предприятие не обладает собственными внеоборотными активами (коэффициент
постоянного актива равен 0 на протяжении всего рассматриваемого периода, а
коэффициент маневренности - соответственно 1). Тем не менее, предприятие
испытывает недостаток в свободных финансовых ресурсах. Так обеспеченность
собственными средствами активов составляет 0,43 и 0,44 в 2003 и 2004г., что
ниже критического уровня. Не удовлетворяет нормативным значениям и величина
коэффициента обеспеченности материалов и запасов (0,69 в 2003 и 2004г.)
Вторая группа показателей позволяет нам оценить
сбалансированность соотношения собственных и заемных средств и оптимальность
структуры заемных средств по срокам их привлечения.
Анализируя полученные значения показателей данной
группы мы приходим к выводу, что зависимость предприятия от заемных средств, а
именно от кредиторской задолженности остается на высоком уровне, о чем
свидетельствует коэффициент задолженности, значение которого равно 1,31 в
2002г. и 1,30 в 2004г., (что выше допустимого уровня) и коэффициент автономии,
равный 0,43 в 2002г. и 0,44 в 2004г. (что ниже нормативного значения). Все это
отражает невысокую финансовую устойчивость предприятия.
Данные коэффициенты обладают не ярко выраженной
положительной динамикой. Тем не менее, мы вынуждены констатировать, что темпы
прироста показателей настолько невелики, что не могут существенно улучшить
ситуацию в ближайшее время, поэтому мы отмечаем назревшую необходимость
сокращения совокупной величины задолженности.
Обратимся к анализу структуры заемных средств.
Коэффициент долгосрочной задолженности, равный нулю, свидетельствует о том, что
все заемные средства предприятие привлекает на краткосрочной основе, более
того, все они являются краткосрочной кредиторской задолженностью. Таким
образом, структура заемных средств кафе «Мелена» крайне неблагоприятна.
Формирование современного объема краткосрочной кредиторской задолженности
является чрезмерным при текущем масштабе деятельности и негативно отражается
как на финансовой устойчивости предприятия, так и на его деловой репутации. В
связи с этим мы предлагаем кардинальным образом изменить политику предприятия в
области управления заемными средствами за счет следующим мероприятий:
- сокращения совокупной величины заемного
капитала за счет кредиторской задолженности. Это позволит повысить автономию
предприятия, а следовательно и его финансовую устойчивость, а также
благоприятно отразиться на его имидже. Более того, современная величина
кредиторской задолженности провоцирует замедление осуществления хозяйственных
процессов, поскольку поступления денежных средств в ряде случаев идут не на
покупку необходимого сырья и оборудования, а на погашение долговых платежей,
дальнейшая отсрочка по которым уже не представляется возможной. Все это нарушает
порядок осуществления текущих операций и негативно сказывается на величине
товарооборота. Также, излишне сформированная кредиторская задолженность чревата
применение штрафных санкций по отношению к предприятию, что означает рост его
издержек обращения. Таким образом, уменьшение кредиторской задолженности
положительно отразиться на его деловой активности и на итоговом финансовом
результате деятельности;
- дефицит финансовых ресурсов восполнить за счет
привлечения заемных средств на долгосрочной основе. С одной стороны, это
повлечет рост издержек обращения предприятия, поскольку будет означать
необходимость уплаты определенных процентных платежей, однако мы считаем, что
положительный эффект от повышения финансовой устойчивости, а также деловой
активности предприятия их превысят. Чтобы обобщить выводы, полученные нами на
основе анализа абсолютных и относительных показателей, а также подвести общий
итог анализа финансово устойчивости, сформируем интегральную комплексную оценку
финансовой устойчивости кафе «Мелена». Для этого мы воспользуемся
соответствующей методикой, описанной нам в предыдущей части работы.
В таблице 17 приведены значения необходимых
анализируемых показателей и суммы баллов, которые им соответствуют.
Таблица 17
Интегральная бальная оценка финансового состояния кафе
«Мелена»
|
Показатели финансового состояния
|
Годы
|
|
2003
|
2004
|
|
Фактич.
Значение
|
баллы
|
Фактич. Значение
|
баллы
|
|
к1
|
0,07
|
0
|
0,06
|
0
|
|
К2
|
0,66
|
0
|
0,65
|
0
|
|
К3
|
1,77
|
13,05
|
1,77
|
13,05
|
|
К4
|
0,43
|
3,4
|
0,44
|
4,2
|
|
К5
|
0,43
|
12,9
|
0,44
|
14,2
|
|
К6
|
0,69
|
0,69
|
5,75
|
|
Итого
|
|
35,1
|
|
37,5
|
|
Класс
|
IV
|
IV
|
Результаты расчета интегральной оценки
свидетельствуют о следующем: в настоящее время предприятие относится к IV
классу риска, для предприятий которого характерна вероятность потери средств и
отсутствие гарантии уплаты процентов по заемным средствам и выполнения
обязательств, а также необходимо принятие мер по оздоровлению бизнеса. При этом
наблюдается незначительное повышении финансовой устойчивости предприятия,
однако его темпы крайне несущественны.
Наибольшее негативное воздействие на текущий
уровень интегральной оценки оказали показатели абсолютной и быстрой ликвидности
и коэффициент маневренности. Следовательно, наиболее действенными способами по
повышению финансовой устойчивости предприятия являются мероприятия по повышению
платежеспособности в краткосрочном периоде и оптимизации структур пассивов за
счет сокращения доли краткосрочной задолженности.
При анализе имущества
предприятия выяснилось превышение мобильных средств над иммобилизованными. Это
означает, что производственно-хозяйственная деятельность кафе «Мелена»,
во-первых, является материалоемким производством, т.к. его деятельность связана
непосредственно с материальными ресурсами, во-вторых – слишком высока доля дебиторской
задолженности в оборотном капитале, а к концу 2004 года она значительно
возросла.
Любое предприятие
стремиться к разумному сокращению текущих финансовых потребностей и этого можно
достичь путем уменьшения запасов сырья и материалов и дебиторской
задолженности, и увеличения срока оплаты кредиторской задолженности.
В целом рост дебиторской
задолженности не желателен и является, с одной стороны, результатом проводимой
экономической политике в стране, которая способствовала свертыванию
производства, упадку сельского хозяйства, недостаточности финансирования
бюджетной сферы, что обусловило низкий уровень денежной массы в расчетах, а с
другой - ослабление финансовой и расчетно-платежной дисциплины, ухудшение
контроля за дебиторскими счетами.
За счет увеличения
дебиторской задолженности предприятие не может своевременно рассчитаться по
своим краткосрочным обязательствам. Высокая доля приходиться на задолженность
перед поставщиками, социальному страхованию, перед бюджетом.
Денежные средства на
расчетном счету отсутствуют из-за больших долгов по налогам, сборам и взносам.
Поэтому банки по распоряжению налоговой инспекции и внебюджетным фондам
приостановили расчетно-платежные отношения. Вся денежная наличность идет на
погашение долгов.
Для устранения
вышеперечисленных недостатков финансово-хозяйственной деятельности необходимо
провести следующие мероприятия.
а) по управлению
оборотным капиталом :
-
укрепление
финансовой и расчетно-платежной дисциплины;
-
проведение
претензионно-исковой работы с покупателями и заказчиками за просрочку платежей;
-
улучшение
постановки на учет;
-
принятие
мер по увеличению уровня оплаты денежными средствами путем использования
прибыльного портфеля заказов;
-
введение
в практику взаимоотношений с потребителями-неплательщиками возможности
индексации просроченных платежей с целью обеспечения защиты денежных средств от
инфляции и повышения заинтересованности покупателей и заказчиков в своевременных
расчетах;
-
разработка
технических мероприятий, обеспечивающих возможность индивидуального воздействия
на потребителя в зависимости от его платежеспособности (отказ от заказов
неплатежеспособным покупателям и заказчикам);
-
рассмотреть
как поощрительную меру для покупателей, который регулярно оплачивает счета,
снижать наценку на продукцию;
-
разработка
и введение дополнительного стимулирования работников путем введения договоров с
гибкими условиями оплаты;
-
решение
вопроса своевременной оплаты платежей в бюджет путем внедрения вексельного
обращения и проведения взаимозачетов;
-
разработка
и реализация мероприятий, связанных с поиском дешевых источников материальных
ресурсов путем установления связей с сельскохозяйственными производителями;
-
развитие
собственного производства переработки продуктов питания путем внедрения
новейших технологий;
-
экономия
материалов в результате совершенствования техники и технологий производства,
заготовки более качественных продуктов и уменьшение потерь во время хранения и
перевозки, недопущение брака, сокращение до минимума отходов, повышение
квалификации работников;
-
проведение
мероприятий по обеспечению бесперебойной деятельности предприятия путем
улучшения материально-технического снабжения.
С целью максимизации
притока денежных средств предприятию следует разрабатывать широкое разнообразие
моделей договоров с гибкими условиями оплаты. Система скидок за ускорение оплаты
более эффективна, чем система штрафных санкций за просроченную оплату. В
условиях инфляции оно приведет к уменьшению текущей стоимости реализованной
продукции, поэтому следует точно оценить возможность предоставления скидки при
досрочной оплате.
Для сокращения отсрочек
платежей может быть полезен метод спонтанного финансирования, который давно был
найден и успешно применяется в странах с развитой рыночной экономикой, Суть
метода заключается в определении скидок покупателям за сокращение сроков
расчета и предоставляет собой относительно дешевый способ получения средств.
Предоставляя покупателю
отсрочку платежа за продукцию, предприятие –продавец, по существу,
предоставляет ему кредит и идет на упущенную выгоду- тот же убыток- по крайней
мере в сумме банковского процента, который мог бы «набежать» на эту сумму, если
бы предприятие получило ее немедленно. Кроме того, если рентабельность
превышает средне банковскую ставку процента, то сумма платежа, немедленно
пущенная в оборот могла бы принести еще больше приращение.
Увеличение
продолжительности льготного периода способно привлечь покупателей, упущенную же
выгоду поставщика можно считать своеобразной ценой победы. Если покупатель
оплатит за выполненные работы до истечение определенного срока, то сможет воспользоваться
солидной скидкой с цены. После этого срока он платит сполна, укладываясь в
договорной срок платежа.
Определим, что же
выгоднее покупателю: оплатить до заветной даты, даже если придется
воспользоваться для этого банковским кредитом, или дотянуть до последнего и
потерять скидку?
Для решения этого вопроса
необходимо сопоставить «цену отказа от скидки» со стоимостью банковского
кредита и взвесить издержки альтернативных возможностей.
Цоо
= ПРс х 100 : (100% - ПРс) х 360 : (Дм-С) , (23)
где Цоо – цена отказа от
скидки, в %,
ПРс – процент скидки,
Дм – максимальная
длительность отсрочки платежа, в днях,
С – период, в течение
которого предоставляется скидка, в днях.
Допустим , что продукция
продается на условиях скидки 3% при платеже в 10-дневный срок при максимальной
длительности отсрочки 30 дней. Уровень банковского процента 18% годовых.
Цоо =3 : (100% - 3%) х
100 х 360 дней : (30 дней -10 дней) = 55,7 %
Поскольку 55,7 %>18 %,
то есть смысл воспользоваться предложение поставщика: отказ от скидки обойдется
на 37,7 процентных пункта дороже банковского кредита.
Покупателей производимой
продукции заинтересовало бы введение системы скидок, в связи с тем, что при
оплате в льготный период могло бы высвободиться значительное количество
денежных средств, которые на необходимы в настоящее время для выплаты
заработанной платы и т.п.
б) по управлению заемным
капиталом:
-
уменьшение
кредиторской задолженности путем реструктуризации налогов,
-
продажи
дебиторских счетов,
-
использование
долгосрочных займов для расширения производственной деятельности.
в) по управлению собственным капиталом:
-
увеличение
нераспределенной прибыли и резервов путем перехода на упрощенную систему учета
и отчетности;
-
подъем
рентабельности с помощью контроля затрат, и использования дешевых материальных
ресурсов.
Для разработки модели
оптимизации финансовой устойчивости в работе используется метод
корреляционно-регрессионного анализа. Корреляция представляет вероятную
зависимость между показателями не находящимися в функциональной зависимости.
Данный метод используется для определения тесноты связи между показателями
финансовой устойчивости.
Для этого введем
следующие обозначения: х1 – коэффициент автономии; y1 – коэффициент
финансового риска; x2 – коэффициент долга; y2 – коэффициент финансовой
устойчивости; x3 – коэффициент маневренности; y3 – коэффициент обеспеченности
собственными оборотными средствами.
Составляем простейшую
экономическую модель:
у = ах + в , (24)
где у – значение
результативного показателя, который находится под влиянием факторного признака;
х – факторный признак;
а, в – параметры
уравнения регрессии;
а – показывает, на
сколько измениться результативный показатель при изменении факторного на
единицу.
Для расчета параметров
уравнения регрессии решаем систему нормальных уравнений.
Qy = na +вQx (25)
Qxy
= aQx + вQxx ,
где n- период
времени.
Рассчитаем коэффициенты
финансовой устойчивости за четыре года, используя данные баланса. (см. табл.
18)
Таблица 18
Коэффициенты финансовой устойчивости
|
|
|
|
|
|
|
|
|
Показатели
|
К автономии
|
К фин.риска
|
К долга
|
К фин.устойч.
|
К манев.
|
К обесп.
СОС
|
|
А
|
х1
|
Y1
|
Х2
|
Y2
|
Х3
|
Y3
|
|
2001
|
0,669
|
0,495
|
0,331
|
0,669
|
0,435
|
0,468
|
|
2002
|
0,685
|
0,459
|
0,315
|
0,694
|
0,416
|
0,475
|
|
2003
|
0,540
|
0,851
|
0,460
|
0,545
|
0,466
|
0,354
|
|
2004
|
0,502
|
0,993
|
0,498
|
0,505
|
0,427
|
0,301
|
|
|
|
|
|
|
|
|
|
|
|
|
|
|
Для составления системы
нормальных уравнений рассчитаем значения сумм Х,Y, X^2 и X*Y для каждой пары
коэффициентов.
Таблица 19
Параметры уравнения регрессии для X1 иY1
|
Период
|
X1
|
Y1
|
X1^2
|
X1*Y1
|
|
1997
|
0,669
|
0,495
|
0,448
|
0,331
|
|
1998
|
0,685
|
0,459
|
0,469
|
0,314
|
|
1999
|
0,540
|
0,851
|
0,282
|
0,460
|
|
2000
|
0,502
|
0,993
|
0,252
|
0,498
|
|
Сумма
|
2,396
|
2,798
|
!,461
|
!,603
|
Составляем систему
нормальных уравнений для параметров X1 и Y1.
2,798 = 4 х а1 + b1 х
2,396
1!,603 = a1 х 2,396 + b1 х 1,461
Из первого уравнения
находим: a1 = (-2,798 + b х 2,396) : 4.
При подстановке во второе
уравнение системы, получаем:
1!,603=2,396*(b1*2,396-2,798)/4+b1*1,461.
Отсюда b1=1,132, тогда a1=-0,021.
Также поступаем и с X2
иY2,X3 и Y3.
Таблица 20
Параметры уравнения регрессии для X2 иY2
|
Период
|
X2
|
Y2
|
X^2
|
X2*Y2
|
|
2001
|
0,331
|
0,669
|
0,110
|
0,221
|
|
2002
|
0,315
|
0,694
|
0,099
|
0,219
|
|
2003
|
0,460
|
0,545
|
0,212
|
0,251
|
|
2004
|
0,498
|
0,505
|
0,248
|
0,251
|
|
Сумма
|
!,604
|
2,413
|
0,669
|
0,942
|
Составляем систему
нормальных уравнений для параметров X2 и Y2.
2,413=4*а2+b2*1,604
0,941=a2*1,604+b2*0,669
Из первого уравнения
находим: a2=(-2,413+b*1,604)/4.
При подстановке во второе
уравнение системы, получаем:
0,942 =
1,604*(b2*1,604-2,413)/4+b2*0,669. Отсюда b2=1,456, тогда a2=-1,019.
Таблица 21
Параметры уравнения регрессии для X3 иY3
|
Период
|
X3
|
Y3
|
X3^2
|
X3*Y3
|
|
2001
|
0,331
|
0,669
|
0,110
|
0,221
|
|
2002
|
0,315
|
0,694
|
0,099
|
0,219
|
|
2003
|
0,460
|
0,545
|
0,212
|
0,251
|
|
2004
|
0,498
|
0,505
|
0,248
|
0,251
|
|
Сумма
|
!,604
|
2,413
|
0,669
|
0,942
|
Составляем систему
нормальных уравнений для параметров X3 и Y3.
1,598=4*а3+b3*1,744
0,696=a3*1,744+b3*0,761
Из первого уравнения
находим: a3=(-1,598+b3*1,744)/4.
При подстановке во второе
уравнение системы, получаем:
0,696=1,744*(b3*1,744-!,598)/4+b3*0,761. Отсюда b3=0,916,
тогда a3=-0,0001.
Составляем экономическую
модель по данным таблицы 15-17 и получаем дополнительные ограничения (см.
табл. 22).
Таким образом, решается
задача максимизации показателя y4 при заданных ограничениях (см. табл.22), то
есть находим оптимальное решение для предприятии при максимальном значении
коэффициента устойчивости.
Таблица 22
Ограничения показателей уравнения
|
Показатель
|
Ограничение
|
|
1
|
2
|
|
К автономии
|
> 0,5
|
|
К фин.риска
|
< 0,7
|
|
К долга
|
< 0,4
|
|
К фин. устойч.
|
> 0,8
|
|
К маневрен.
|
< 0,5
|
|
К обеспеч. СОС
|
> 0,1
|
|
Y7
|
Y1 = -0,021х1+!,132
|
Y8
|
Y2 = -0,019х2+!,456
|
|
Y9
|
Y3 = -0,0001x3+0,916
|
Уравнение y2 = -0,019х2 +
1,456 свидетельствует о снижении коэффициента финансовой устойчивости на
0,019 единиц в случае повышения коэффициента долга на 1,000 ед. Уравнение y1 =
-0,021х1 + 1,132 также свидетельствует о том, что если коэффициент финансового
риска увеличиться на 1,000 ед., то, следовательно, коэффициент автономии
(независимости) снизиться до 0,021 ед., что приведет к неустойчивому
финансовому положению компании. Однако существует и еще один неблагоприятный
фактор: уравнение y3 = 0,0001х3+0,916 – в случае повышения коэффициента
обеспеченности собственными оборотными средствами на 1,000 ед., тогда
коэффициент маневренности будет уменьшен до 0,0001 ед.
Решаем задачу линейного
программирования при заданных ограничениях и получаем следующие значения (см.
табл. 23).
Таблица 23
Значение
показателей финансовой устойчивости предприятия, при
заданных ограничениях
|
Показатели
|
Значения
|
|
К автоном.
|
0,000
|
|
К фин.риска
|
1,132
|
|
К долга
|
0,000
|
|
К фин.устойч.
|
1,456
|
|
К маневрен.
|
0,000
|
|
К обеспеч.
|
0,916
|
Таким образом, при
максимальном значении коэффициента финансовой устойчивости 1,456 ед., который
является основным из рыночных коэффициентов финансовой устойчивости,
оптимальное решение приведенное в таблице 19, а также коэффициентов
обеспеченности СОС и риска - 0,916 и 1,132 , соответственно получается, что у
предприятия есть возможность привлечения долгосрочных кредитов и займов и
собственные оборотные средства практически покрывают материальные запасы. При
этом коэффициенты маневренности, автономности и долга стремятся к нулю.
Данное решения не реализуемо на практике, т.к. кафе «Мелена» всегда привлекало
и будет привлекать заемные средства, необходимые для нормальной деятельности
предприятия
Таким образом, при
правильном использовании коэффициентов финансовой устойчивости можно активно
воздействовать на уровень финансовой устойчивости, повышать его до минимально
необходимого, а если он фактически превышает минимально необходимый уровень, –
использовать эту ситуацию для улучшения структуры активов и пассивов.
Поэтому мы рекомендуем кафе «Мелена» реализовать
следующие мероприятия:
-
привлечь
заемные средства на долгосрочной основе. Поскольку, как мы уже отметили, данное
привлечение требует предоставления финансовых гарантий, то мы считаем, что
предприятие сможет получить заемные средства в размере его половины
собственного капитала;
-
распределить
данные заемные средства в следующем соотношении: 90% направить на погашение
краткосрочной кредиторской задолженности, а 10 % - на увеличение совокупного
объема свободных денежных средств с целью повышения платежеспособности
предприятия.
В рамках данной части дипломной работы мы
осуществили расчет прогнозных показателей финансовой устойчивости предприятия в
случае привлечения заемных средств на долгосрочной основе. Сравнительный анализ
текущих и прогнозных абсолютных показателей приведен в аналитической таблице
24.
Таблица 24
Текущие и прогнозные значения абсолютных показателей
финансовой устойчивости кафе «Мелена» (тыс. руб.)
|
Показатель
|
Значение в 2004г
|
Прогнозное значение в 2005г.
|
Изменения показателя
|
|
Абсолют-е
|
Относ-е, %
|
|
Долгосрочные заемные средства
|
0
|
699,4
|
699,4
|
-
|
|
Величина кредиторской задолженности
|
1815,2
|
1185,8
|
-629,4
|
-34,7
|
|
Свободные денежные средства предприятия
|
112,1
|
252,0
|
69,9
|
62,4
|
|
Излишек (недостаток) собственных оборотных средств
|
-623,7
|
-627,3
|
0
|
0
|
|
Излишек (недостаток) собственных и долгосрочных заемных средств
|
-623,7
|
75,7
|
699,4
|
-
|
|
Излишек (недостаток) всех источников финансирования
|
-623,7
|
75,7
|
699,4
|
-
|
Расчетные данные свидетельствуют о том, что в
случае привлечения долгосрочных заемных средств в размере 699,4 тыс. руб. (50 %
от величины собственного каптала) предприятие сформирует такой объем источников
финансирования оборотных средств, который будет достаточным, следовательно, его
финансовое состояние нормализуется.
Дополним наши выводы анализом изменения
относительных показателей, для этого осуществим их расчет и отразим в
аналитической таблице 25.
Таблица 25
Текущие и прогнозируемые относительные показатели финансового
состояния предприятия
|
Показатель
|
Значение в 2004г.
|
Прогнозное значение в 2005г.
|
Изменения показателя
|
|
Абсолют-е
|
Относ-е (в %)
|
|
Коэффициент абсолютной ликвидности
|
0,06
|
0,15
|
0,09
|
150,00
|
|
Коэффициент быстрой ликвидности
|
0,65
|
1,06
|
0,41
|
63,08
|
|
Коэффициент текущей ликвидности
|
1,77
|
2,77
|
1,00
|
56,50
|
|
Коэффициент автономии
|
0,44
|
0,44
|
0
|
0
|
|
Коэффициент обеспеченности собственным средствами
|
0,44
|
0,64
|
0,20
|
45,45
|
|
Коэффициент обеспеченности материалов и запасов
|
0,69
|
1,03
|
0,34
|
49,28
|
Опираясь на расчетные значения, мы можем
прогнозировать следующие изменения в финансовом состоянии предприятия:
увеличение размера свободных денежных средств на 6,99 тыс. рублей, а также
сокращение краткосрочных обязательств предприятия на 629,4 тыс. руб. или на
34,7 % будут способствовать общему увеличению его платежеспособности и в первую
очередь за счет повышения абсолютной ликвидности активов предприятия (с 0,004
до 0,15). При этом увеличение коэффициентов ликвидности не обеспечит
преодоление критического порога, что свидетельствует о необходимости дальнейшей
реструктуризации заемных средств.
Сокращение краткосрочной кредиторской
задолженности предприятия приведет к повышению его финансовой устойчивости, о
чем свидетельствуют изменения следующих коэффициентов: обеспеченность активов
предприятия собственными средствами возрастет на 0,2 (или на 45,45 %) и
составит 0,64, обеспеченность материалов и запасов увеличится на 0,34 или на
49,28 % и составит 1,03.
Качественную оценку изменения финансовой
устойчивости можно также осуществить за счет расчета прогнозной величины
интегральной оценки. Значение соответствующих коэффициентов в текущем и
перспективном периоде и интегральной оценки приведено в таблице 26.
Интегральная бальная оценка финансового состояния
кафе «Мелена»
|
Показатели финансового состояния
|
Годы
|
|
2004
|
2005
|
|
Фактич. Значение
|
баллы
|
Прогноз. Значение
|
баллы
|
|
к1.
|
0,06
|
0
|
0,15
|
6
|
|
К2
|
0,65
|
0
|
1,06
|
4,8
|
|
К3
|
1,77
|
13,05
|
2,77
|
16,8
|
|
К4
|
0,44
|
4,2
|
0,44
|
4,2
|
|
К5
|
0,44
|
14,2
|
0,64
|
15
|
|
К6
|
0,69
|
5,75
|
1,03
|
13,5
|
|
Итого
|
―
|
37,5
|
―
|
60,3
|
Класс
|
IV
|
II-III
|
Полученная величина прогнозной оценки находится
на границе 2 и 3 группы риска, что свидетельствует о следующем: при реализации
предложенных мероприятий предприятие существенно повысит свою финансовую
устойчивость и будет характеризоваться как организация с низким уровнем риска и
отсутствием реальной угрозы потери средств, но полное получение процентов и
выполнение обязательств будет оставаться сомнительным.
На этом мы завершили анализ финансовой
устойчивости предприятия и пришли к следующим выводам: в настоящее время
финансовая устойчивость предприятия находится на крайне невысоком уровне.
Основной причиной этого является его невысокая платежеспособность в
краткосрочном временном интервале и неоптимальная структура пассивов
(недостаточность собственных средств предприятия, отсутствие заемных средств,
привлеченных на долгосрочной основе и завышенная доля краткосрочной
кредиторской задолженности). Мы разработали ряд мероприятий, которые, на наш
взгляд, позволят повысить финансовую устойчивость предприятия, а именно -
привлечение долгосрочных кредитов и их распределение на пополнение денежных
авуаров и погашение краткосрочной кредиторской задолженности. Расчет прогнозной
величины интегральной оценки финансовой устойчивости выявил, что реализация
данных мероприятий будет способствовать существенному улучшению финансового
состояния. Таким образом, мы считаем задачи, поставленными нами в рамках данной
дипломной работы реализованными полностью.
В данной дипломной работе мы преследовали цель -
изучение финансовой устойчивости предприятия и разработку мероприятий по ее
повышению. Объектом исследования являлось кафе «Мелена».
Структура управления предприятия организована по
линейно-функциональному типу, выбор которого, на наш взгляд, рационален,
поскольку учитывается специфику деятельности предприятия и способствует четкому
разделению должностных обязанностей в условиях диверсифицированной деятельности
предприятия.
На протяжении всего периода изучения наблюдается
рост численности персонала и прежде всего за счет таких его категорий как
основные рабочие (+71,4% в 2002г. и +58,4 % в 2004.) и вспомогательных рабочих
(+100% в 2004г.). Это приводит к положительному изменению структуры персонала,
которое характеризуется увеличением доли основных рабочих на 3,0 % в 2003г. и
на 6,4 % в 2004г. и сокращения доли руководящего состава со средним темпом,
равным 3,3 %. При росте абсолютных показателей численности, данный факт
свидетельствует об увеличении эффективности процесс управления, осуществляемого
руководителями кафе.
Что касается оплаты труда на предприятии, то она
построена на основе повременно-премиальной системы. Размер средней заработной
платы работников за рассматриваемый период увеличился на 468,2 руб. или на 13,7
%. Это свидетельствует об улучшении материального благосостояния работников
кафе «Мелена» и положительно характеризует изменения в системе стимулирования
труда на протяжении периода изучения. В то же самое время, совокупные затраты
на оплату труда работников увеличились на 32 163,4 руб. в месяц или на 70,2 %.
В первую очередь, это было связано с увеличением численности работников
(которое составило 44,4 %). Таким образом, на предприятии происходит
значительное увеличение издержек обращения, что может негативно отразиться на
финансовой результативности его деятельности в будущем.
Следующим этапом нашего исследования стал анализ
хозяйственной деятельности предприятия, который был осуществлен по следующим
направлениям: анализ товарооборота и его динамика и анализ издержек обращения.
Также в рамках анализа хозяйственной деятельности мы рассмотрели эффективность
использования оборотных средств предприятия, его трудовых ресурсов и
эффективность затрат на оплату труда.
На основе анализа товарооборота, мы можем утверждать, что на
протяжении всего периода деятельности предприятия наблюдается увеличение
объемов реализованной продукции. Тем не менее, несмотря на положительный
характер описанной тенденции, необходимо отметить резкое замедление роста
объемов реализации с 279,8 % в 2003г. до 29,8 % - в 2004г. В целом же структура
товарооборота остается достаточно стабильной о чем свидетельствует размер доли
магазина в общем доходе кафе, равный 31,7%, 30,1% и 36,3 % в 2002, 2003 и 2004
гг. соответственно.
Анализ использования оборотных средств кафе «Мелена» показал,
что эффективность их использования не изменяется в рассматриваемом периоде и
находится на невысоком уровне, о чем свидетельствуют значения коэффициента
оборачиваемости оборотных средств и коэффициента закрепления. Поскольку предприятие
формирует минимальные размеры запасов и затрат, то повышение эффективности
использования оборотных средств возможно за счет ускорения оборачиваемости
дебиторской задолженности и активизации маркетинговой политики с целью
увеличения объемов продаж предприятия.
Эффективность использования трудовых ресурсов снижается в
процессе хозяйственной деятельности изучаемого объекта. При этом, если
выработка одного работника уменьшилась только на 10,1 %, то рост заработной
платы привел к тому, что темпы снижения объемов реализации на рубль затрат по
оплате труда составили 23,7 % , аналогичной динамикой обладают и показатель
рентабельности персонала. Все это говорит о том, что предприятию необходимо
предпринимать меры по стимулированию труда и в то же самое время сократить
темпы прироста фонда заработной платы. Повышению эффективности использования
трудового потенциала будет и расширение масштабов деятельности предприятия при
неизменной численности работников.
Следующим направлением нашего исследования стал комплексный
анализ финансовой деятельности предприятия, который включил изучения таких
аспектов как платежеспособность, деловая активность и рентабельность
деятельности предприятия.
Показатели ликвидности активов предприятия находятся на
уровне несколько ниже нормативного, что говорит о невысокой платежеспособности
кафе. При этом мы можем прогнозировать ее дальнейшее ухудшение в будущем. В
наибольшей степени текущий уровень платежеспособности вызван дефицитом
свободных денежных средств. По этому мы рекомендуем предприятию увеличить
размер денежных авуаров за счет привлечения заемных средств на долгосрочной
основе.
Предприятие обладает высокой деловой активностью, а
показатели данной группы обладают положительной динамикой. В то же самое время
наблюдается некоторый дисбаланс значений показателей оборачиваемости активов и
оборотных средств, поскольку последние доминируют в составе активов. При этом
именно значение оборачиваемости данной группы активов находится на невысоком
уровне. Это опять таки свидетельствует, что предприятию необходимо проводить
действенную политику в области стимулирования товарооборота.
Заключительным этапом комплексного анализа финансовой
деятельности является оценка абсолютных показателей ее результатов и
рентабельности. Полученные нами данные свидетельствуют, что кафе получало
прибыль на протяжении всего рассматриваемого периода. При этом прибыль от
реализации по основным видам деятельности и прибыль от прочей реализации
обладает большими темпами росте нежели затраты, что положительно сказывается на
достигнутом результате и подтверждается наличием положительной динамики
рентабельности продаж, рост которой составил 0,86% а рентабельность в 2004г.
достигла уровня 13,14 % .
Следующим направлением анализа в рамках дипломной работы
стала непосредственная оценка финансовой устойчивости предприятия. На основе
абсолютных значений показателей мы пришли к выводу, что в настоящее время
предприятие находится в предкризисном финансовом состоянии, поскольку величины
собственных и заемных средств недостаточна для финансирования оборотных активов
и оно осуществляется за счет краткосрочной кредиторской задолженности. Более
того, дефицит собственных средств незначительно возрастает в течение
рассматриваемого периода. Все это свидетельствует о необходимости скорейшей
реализации мер по выведению предприятия из кризисного состояния за счет
увеличения собственных и приравненных к ним заемных средств.
Значения относительных показателей позволяют нам утверждать,
что предприятие испытывает недостаток в собственных финансовых ресурсах. Так
обеспеченность собственными средствами активов составляет 0,43 и 0,44 в 2003 и
2004г., что ниже критического уровня. Не удовлетворяет нормативным значениям и
величина коэффициента обеспеченности материалов и запасов (0,69 в 2003 и 2004г.).
При этом у предприятия высокая зависимость от заемных средств, а именно от
кредиторской задолженности (о чем свидетельствует коэффициент задолженности,
значение которого равно 1,31 в 2002г. и 1,30 в 2003г., и коэффициент автономии,
равный 0,43 в 2003г. и 0,44 в 2004г.)
Коэффициент долгосрочной задолженности, равный нулю,
свидетельствует о том, что все заемные средства предприятие привлекает на
краткосрочной основе, более того, все они являются краткосрочной кредиторской
задолженностью. Таким образом, структура заемных средств кафе «Мелена» крайне
неблагоприятна. Формирование современного объема краткосрочной кредиторской
задолженности является чрезмерным при текущем масштабе деятельности и негативно
отражается как на финансовой устойчивости предприятия, так и на его деловой
репутации. В связи с этим мы предлагаем кардинальным образом изменить политику
предприятия в области управления заемными средствами, а именно восполнить
дефицит финансовых ресурсов и сократить величину краткосрочной кредиторской
задолженности путем привлечения долгосрочных кредитов. Также мы рекомендуем
распределить данные заемные средства в следующем соотношении: 90 % направить на
погашение краткосрочной кредиторской задолженности, а 10 % - на увеличение
совокупного объема свободных денежных средств с целью повышения
платежеспособности предприятия.
В заключительной части дипломной работы нами была
осуществлена прогнозная оценка показателей финансовой устойчивости в случае
привлечения долгосрочного кредита размере 699,4 тыс. руб.
Опираясь на полученные данные, мы утверждаем, что реализация
предложенного мероприятия будет способствовать формированию достаточного объема
собственных и приравненных к ним долгосрочных источников финансирования
оборотных средств. Увеличение свободных денежных средств на 6,99 тыс. рублей, и
сокращение краткосрочных обязательств предприятия на 629,4 тыс. руб. будут
способствовать общему увеличению его платежеспособности и в первую очередь за
счет повышения абсолютной ликвидности (с 0,004 до 0,15). Обеспеченность активов
предприятия собственными и долгосрочными заемными средствами возрастет на 0,2
(или на 45,45 %) и составит 0,64. В целом это будет означать существенное
повышение финансовой устойчивости предприятия и нормализацию его финансового
состояния. Таким образом, мы считаем задачи, поставленными нами в рамках данной
дипломной работы реализованными полностью.
1.
Абрютин
М.С., Грачев А.В. Анализ финансово-экономической деятельности предприятия. М.:
Дело и Сервис, 2003. 180 с.
2.
Артеменко
В.Г., Белендир М.В. Финансовый анализ: Учебное пособие. М.: ДИС НГАЭиУ, 2004.
128 с.
3.
Астахов
В.П. Анализ финансовой устойчивости и процедуры, связанные с банкротством. М.:
Ось – 89, 2003. 80 с.
4.
Бадаш
Х.З. Экономика предприятия. – Ижевск: УдГУ, 2000.
5.
Баканов
М.И., Сергеев Э.А. Анализ эффективности использования оборотных средств //
Бухгалтерский учет. 2003. №10. С. 64-66.
6.
Баканов
М.И., Шеремет А.Д. Теория экономического анализа. М.: Финансы и статистика,
2003. 218 с.
7.
Балабанов
И.Т. Основы финансового менеджмента. М.: Финансы и статистика, 2003. 384 с.
8.
Барсуков
А.В., Малыгина Г.В. Финансы предприятия, Новосибирск, 2003. 113 с.
9.
Бланк
И.Б. Финансовый менеджмент. Киев: Ника – Центр – Эльга, 2003. 306 с.
10.
Владимирова
Т.А., Соколов В.Г. Анализ финансовой отчетности предприятия. Новосибирск:
СИФБД, 2003. 50 с.
11.
Герчикова
И.Н. Финансовый менеджмент. М.: Инфра-М, 2001. 208 с.
12.
Донцова
Л.В., Никифорова Н.А. Анализ годовой бухгалтерской отчетности. М.: ДИС, 2003.
216 с.
13.
Дружинин
А.И., Дунаев О.Н. Управление финансовой устойчивостью, Екатеринбург: ИПК УГТУ,
2003. 113 с.
14.
Ефимова
О.В. Финансовый анализ. М.: Бухгалтерский учет, 2003. 208 с.
15.
Задачи
финансового менеджмента / Под ред. Л.А. Муравья, В.А. Яковлева. М.: Финансы –
Юнити, 2003. 258 с.
16.
Ириков
В.А., Ириков И.В. Технология финансово-экономического планирования на фирме.
М.: Финансы и статистика, 2004. 248 с.
17.
Ковалев
В.В. Введение в финансовый менеджмент. М.: Финансы и статистика, 2004. 514 с.
18.
Ковалев
В.В., Привалов В.П. Анализ финансового состояния предприятия. М.: Центр
экономики и маркетинга, 2003. 192 с.
19.
Ковалев
В.В. Финансовый анализ. Управление капиталом. Выбор инвестиций. Анализ отчетности.
М.: Финансы и статистика, 2002. 512 с.
20.
Кодраков
Н.П. Основы финансового анализа. М.: Главбух, 2003. 114 с.
21.
Крейнина
М.Н. Финансовый менеджмент. М.: Дело и сервис, 2003. 319 с.
22.
Мальцев
В.А. Финансовый менеджмент: введение в управление капиталом. Новосибирск, 2003.
136 с.
23.
Методические
рекомендации по реформе предприятия (организации). – Приказ Министерства
экономики РФ от 01.10.97 г. № 118.
24.
Методические
положения по оценке финансового состояния предприятий и установлению
неудовлетворительной структуры баланса. – Распоряжение ФУДН от 12.08.94. № 31-
р.
25.
Новодворский
В.Д., Пономарева Л.В., Ефимова О.В. Бухгалтерская отчетность: составление и
анализ . М.: Бухгалтерский учет, 1994. 80 с.
26.
Никольская
Э.В., Лозинская В.Б. Финансовый анализ. М.: МГАП Мир книги, 2002. 316 с.
27.
Олейник
И.С., Коваль И.Г. Финансовый менеджмент. Обнинск, 2003. 187 с.
28.
Основы
производственного менеджмента / Под ред. П.П. Табурчака. С-П.: Химия, 2002. 260
с.
29.
Павлов
Л.Н. Финансовый менеджмент. Управление денежным оборотом предприятия, М.:
Финансы и статистика, 2003. 103 с.
30.
Стоянова
Е.С. Финансовый менеджмент: российская практика. М.: Финансы и статистика,
2003. 118 с.
31.
Стоянова
Е.С. Штерн М.Г. Финансовый менеджмент для практиков. М.: Перспектива, 2003. 268
с.
32.
Управление
предприятием и анализ его деятельности / Под ред. С.Ю. Наумова. Издательство
саратовского университета, 2003. 268 с.
33.
Управление
предприятием и анализ его деятельности / Под ред. В.Н. Титаева. М.: Финансы и
статистика, 2003. 420 с.
34.
Финансовое
управление компанией / Под ред. Е.В. Кузнецовой. М.: Фонд «Правовая культура»,
2003. 247 с.
35.
Финансовый
менеджмент / Под ред. Е.С. Стояновой. М.: Перспектива, 2004. 216 с.
36.
Финансовый
менеджмент / Под ред. Г.Б. Помека. М.: Финансы – Юнити, 2002. 378 с.
37.
Финансовый
менеджмент хозяйственных субъектов. Сборник докладов. Курган, 2003. 93 с.
38.
Финансовая
стратегия в управлении предприятием / Под ред. В.В. Титова, З.В. Коробковой.
Новосибирск, 2002. 409 с.
39.
Финансовое
управление фирмой / Под ред. В.И. Терехина. М.: Экономика, 2003. 98 с.
40.
Четыркин
Е.М. Методы финансовых и коммерческих расчетов. М. Дело ЛТД, 2001. 134 с.
41.
Шеремет
А.Д., Сайфулин Р.С. Методика финансового анализа. М.: Инфра-М, 2003. 512 с.
Приложение 1
Бухгалтерская справка о итогах деятельности кафе «Мелена» за
2003г.
Укрупненный бухгалтерский баланс кафе «Мелена» за 2003г.
|
АКТИВ
|
Код
стр.
|
На начало отчетного
периода
|
На конец отчетного
периода
|
|
01
|
02
|
03
|
04
|
|
I. ВНЕОБОРОТНЫЕ АКТИВЫ
Нематериальные активы
|
110
|
0
|
0
|
|
Итого по разделу I.
|
190
|
0
|
0
|
|
II. Оборотные активы
Запасы
|
210
|
1542,1
|
1603,1
|
|
Налог на добавленную стоимость по приобретенным
ценностям
|
220
|
308,4
|
400,8
|
|
Дебиторская задолженность (платежи по которой ожидаются более
чем через 1 2 месяцев после отчетной даты)
|
230
|
0
|
0
|
|
Дебиторская задолженность (платежи по которым ожидаются в
течение 1 2 месяцев после отчетной даты)
|
240
|
1002,4
|
1066,1
|
|
Краткосрочные финансовые вложения
|
250
|
0
|
0
|
|
Денежные средства - в том числе:
|
260
|
85,6
|
119,9
|
|
Итого по разделу II.
|
290
|
2938,5
|
3189,9
|
|
БАЛАНС
|
300
|
2938,5
|
3189,9
|
|
ПАССИВ
|
Код стр.
|
На начало отчетного
периода
|
На конец отчетного
периода
|
|
III. Капитал и резервы
Уставный капитал
|
410
|
439,6
|
439,6
|
|
Добавочный капитал
|
420
|
562,3
|
543,2
|
|
Продолжение прил. 1
|
|
Нераспределенная прибыль
|
470
|
200,5
|
400,3
|
|
Итого по разделу III.
|
490
|
1202,4
|
1383,1
|
|
IV. Долгосрочные
обязательства
' Займы и кредиты
|
510
|
0
|
0
|
|
ИТОГО по разделу IV.
|
590
|
0
|
0
|
|
V. Краткосрочные
обязательства
'Займы и кредиты
|
610
|
0
|
0
|
|
Кредиторская
задолженность
|
620
|
1736,1
|
1806,8
|
|
Итого по разделу V.
|
690
|
1736,1
|
1806,8
|
|
БАЛАНС (сумма строк
490+590+690)
|
700
|
2938,5
|
3189,9
|
Отчет
о прибылях и убытках кафе «Мелена» за 2003г.
|
Наименование
|
стр
|
За отчетный период
|
За аналог.
период пред,
года
|
|
01
|
02
|
03
|
04
|
|
1. Выручка от продажи товаров, продукции,
работ, услуг (с НДС, акцизами и аналогичными обязательными платежами).
|
009
|
4948,4
|
4622,4
|
|
2.Доходы и расходы по обычным видам деятельности. Выручка (нетто) от
продажи товаров, продукции, работ, услуг (за минусом налога на добавленную
стоимость, акцизов и аналогичных обязательных платежей.
|
010
|
4123,7
|
3852
|
|
Себестоимость проданных товаров, продукции, работ, услуг
|
020
|
3617,3
|
3512,1
|
|
Валовая прибыль
|
029
|
506,4
|
339,9
|
|
Коммерческие расходы
|
030
|
0
|
0
|
|
Управленческие расходы
|
040
|
0
|
0
|
|
Прибыль (убыток) от реализации
|
050
|
506,4
|
339,9
|
|
Продолжение прил. 1
|
|
З.Операционные доходы и расходы
Проценты к получению
|
060
|
16,06
|
11,2
|
|
4. Внереализационные доходы и расходы
Прочие внереализационные доходы
|
120
|
-125,26
|
-85,4
|
|
Прочие внереализационные расходы
|
130
|
3,1
|
0
|
|
Прибыль (убыток) до налогообложения
|
140
|
400,3
|
265,7
|
|
Налог на прибыль и иные аналогичные обязательные платежи
|
150
|
96,1
|
63,8
|
|
Прибыль (убыток) от обычной деятельности
|
160
|
304,2
|
192,9
|
|
5. Чрезвычайные доходы и расходы Чрезвычайные доходы
|
170
|
0
|
0
|
|
Чрезвычайные расходы
|
180
|
0
|
0
|
|
Чистая прибыль (нераспределенная прибыль(убыток) отчетного
периода)
|
190
|
304,2
|
192,9
|
Приложение 2
Бухгалтерская справка о итогах деятельности кафе «Мелена» за
2004г.
Укрупненный бухгалтерский баланс кафе «Мелена» за 2004г.
|
АКТИВ
|
Код
стр.
|
На начало
отчетного
периода
|
На конец
отчетного
периода
|
|
01
|
02
|
03
|
04
|
|
I. ВНЕОБОРОТНЫЕ АКТИВЫ
Нематериальные активы
|
110
|
0
|
0
|
|
Итого по разделу I.
|
190
|
0
|
0
|
|
II. Оборотные активы
Запасы
|
210
|
1603,1
|
1625,1
|
|
Налог на добавленную
стоимость по приобретенным ценностям
|
220
|
400,8
|
406,3
|
|
Дебиторская
задолженность (платежи по которым ожидаются в течение 1 2 месяцев после
отчетной даты)
|
240
|
1066,1
|
1070,4
|
|
Денежные средства - в
том числе:
|
260
|
119,9
|
112,1
|
|
Итого по разделу II.
|
290
|
3189,9
|
3213,9
|
|
БАЛАНС
|
300
|
3189,9
|
3213,9
|
|
ПАССИВ
|
Код стр.
|
На начало отчетного периода
|
На конец отчетного периода
|
|
III. Капитал и резервы
Уставный капитал
|
410
|
439,6
|
439,6
|
|
Добавочный капитал
|
420
|
543,2
|
517,9
|
|
Нераспределенная
прибыль
|
400,3
|
441,3
|
|
Итого по разделу III.
|
490
|
1383,1
|
1398,7
|
|
IV. Долгосрочные
обязательства
' Займы и кредиты
|
510
|
0
|
0
|
|
ИТОГО по разделу IV.
|
590
|
0
|
0
|
|
V. Краткосрочные
обязательства
'Займы и кредиты
|
610
|
0
|
0
|
|
Продолжение
прил. 2
|
|
Кредиторская
задолженность
|
620
|
1806,8
|
1815,2
|
|
Итого по разделу V.
|
690
|
1806,8
|
1815,2
|
|
БАЛАНС (сумма строк
490+590+690)
|
700
|
3189,9
|
3213,9
|
|
|
|
|
|
|
|
Отчет о прибылях и убытках кафе «Мелена» за 2004г.
|
Наименование
|
стр
|
За отчетный
период
|
За аналог.
период пред.
года
|
|
01
|
02
|
03
|
04
|
|
1. Выручка от продажи товаров,
продукции, работ, услуг (с НДС, акцизами и аналогичными обязательными
платежами)
|
009
|
6423,5
|
4948,4
|
|
2.Доходы и расходы по обычным видам
деятельности. Выручка (нетто) от продажи товаров,
продукции, работ, услуг (за минусом налога на добавленную стоимость, акцизов
и аналогичных обязательных платежей.
|
010
|
5352,9
|
4123,7
|
|
Себестоимость проданных товаров,
продукции, работ, услуг
|
020
|
4649,3
|
3617,3
|
|
Валовая прибыль
|
029
|
703,6
|
506,4
|
|
Коммерческие расходы
|
030
|
0
|
0
|
|
Управленческие расходы
|
040
|
0
|
0
|
|
Прибыль (убыток) от реализации
|
050
|
703,6
|
506,4
|
|
3. Операционные доходы и расходы Проценты к получению
|
060
|
76,88
|
16,06
|
|
4. Внереализационные
доходы и расходы Прочие
внереализационные доходы
|
120
|
-339,18
|
-125,26
|
|
Прочие внереализационные расходы
|
130
|
0
|
3,1
|
|
Прибыль (убыток) до налогообложения
|
140
|
441,3
|
400,3
|
|
Налог на прибыль и иные аналогичные
обязательные платежи
|
150
|
105,9
|
96,1
|
|
Прибыль (убыток) от обычной деятельности
|
160
|
335,4
|
304,2
|
|
5. Чрезвычайные доходы и расходы
Чрезвычайные доходы
|
170
|
0
|
0
|
|
Чрезвычайные расходы
|
180
|
0
|
0
|
|
Чистая прибыль (нераспределенная
прибыль(убыток) отчетного периода)
|
190
|
335,4
|
304,2
|