Управление дебиторской и кредиторской задолженностью
ФЕДЕРАЛЬНОЕ АГЕНТСТВО ПО ОБРАЗОВАНИЮ
УЛЬЯНОВСКИЙ ГОСУДАРСТВЕННЫЙ ТЕХНИЧЕСКИЙ УНИВЕРСИТЕТ
ДИПЛОМНАЯ РАБОТА
Тема: Управление дебиторской и кредиторской
задолженностью
(на материалах Ишеевского МУЭС Ульяновского филиала
ОАО «ВолгаТелеком»)
Студент(ка)
Клочкова Елена Юрьевна _________________
(Ф.И.О.) (подпись)
Руководитель
Абаева Нина Петровна _________________
(Ф.И.О.) (подпись)
Рецензент
Салихова Зайтуна Нурулловна _________________
(Ф.И.О.) (подпись)
Допустить
к защите ГАК
Зав.
кафедрой
______________________
(Ф.И.О.)
«___»
_____________ 2006 г.
Ульяновск 2006
Содержание
Введение……………………………………………………………………………... |
4 |
Глава 1 Теоретические основы управления дебиторской и кредиторской задолженностью…………………………………………………………………….. |
6 |
1.1 Понятие дебиторской и кредиторской задолженности и их виды………….. |
6 |
1.2 Этапы управления дебиторской и кредиторской задолженностью………… |
13 |
1.3 Методы управления дебиторской и кредиторской задолженностью……….. |
16 |
1.4 Оптимизация дебиторской задолженности…………………………………… |
23 |
|
Глава 2 Анализ финансового
состояния Ишеевского МУЭС Ульяновского филиала ОАО «ВолгаТелеком»………………………………………………...…..
|
29 |
2.1 Общая характеристика предприятия…………………………………………... |
29 |
2.2 Анализ структуры актива и пассива баланса…………………………………. |
29 |
2.3 Анализ ликвидности и платёжеспособности предприятия………………….. |
36 |
2.4 Анализ финансовой устойчивости предприятия……………………………… |
42 |
2.5 Анализ динамики и структуры дебиторской и кредиторской задолженности………………………………………………………………………. |
48 |
Глава 3 Анализ состояния дебиторской и кредиторской задолженностей Ишеевского МУЭС Ульяновского филиала ОАО «ВолгаТелеком»……………. |
52 |
3.1 Анализ структуры дебиторской и кредиторской задолженностей…………... |
52 |
3.2 Анализ оборачиваемости дебиторской и кредиторской задолженностей предприятия…………………………………………………………………………. |
54 |
|
3.3 Сравнительный анализ
дебиторской и кредиторской задолженности……...
|
56 |
3.4 Влияние дебиторской задолженности на финансовые результаты предприятия…………………………………………………………………………. |
57 |
3.5 Оптимизация дебиторской и кредиторской задолженности…………………. |
62 |
3.6 Расширенная факторная модель рентабельности дебиторской задолженности………………………………………………………………………. |
63 |
Глава 4 Выводы и рекомендации по совершенствованию управления дебиторской и кредиторской задолженностями и улучшению финансового состояния Ишеевского МУЭС Ульяновского филиала ОАО «ВолгаТелеком» |
66 |
Заключение………………………………………………………………………….. |
70 |
Список использованных источников……………………………………………… |
72 |
Приложения А………………………………………………………………………. |
74 |
Приложение Б……………………………………………………………………….. |
76 |
Приложение В……………………………………………………………………….. |
78 |
Введение
Дебиторская и кредиторская задолженность – неизбежное следствие существующей в настоящее время системы денежных расчетов между организациями, при которой всегда имеется разрыв времени платежа с момента перехода права собственности на товар.
Дефицит денежных средств
в экономике и неплатежеспособность многих предприятий сделали вопросы работы с
дебиторами одними из главных в перечне функций финансовых менеджеров. По общему
признанию руководителей и специалистов российских фирм проблема управления
дебиторской задолженностью в значительной степени осложняется еще и
несовершенством нормативной и законодательной базы в части востребования
задолженности. Эти причины привели к иному восприятию сути управления
дебиторской задолженностью в России по сравнению со странами со стабильной
рыночной экономикой: оно сведено у нас к поиску цепочек взаимозачетов, к оценке
возможностей бартера и иных суррогатных платежей.
Актуальность темы
дипломной работы обоснована тем, что динамика изменения дебиторской и
кредиторской задолженности, их состав, структура и качество, а также
интенсивность их увеличения или уменьшения оказывают большое влияние на
состояние предприятия.
Целью работы является
разработка рекомендаций по совершенствованию управления дебиторской и
кредиторской задолженностью организации связи.
Исходя из указанной цели дипломной работы её основными задачами являются:
1) выявить причины образования дебиторской и кредиторской задолженности;
2) ознакомиться с организацией учёта дебиторской и кредиторской задолженности;
3) дать анализ дебиторской и кредиторской задолженности;
4) проанализировать финансовое состояние организации;
5) изучить систему внутреннего контроля за состоянием расчётов с дебиторами и кредиторами, дать оценку её эффективности;
6) оценить соответствие правил ведения учёта и порядок отражения информации в бухгалтерской отчётности требованиям законодательства и нормативных документов;
7) проанализировать
динамику, структуру дебиторской и кредиторской задолженности на предприятии и
разработке системы мер по управлению дебиторской и кредиторской задолженностью
в Ишеевском МУЭС УФ ОАО «ВолгаТелеком»;
8) разработка
рекомендаций по совершенствованию управления дебиторской и кредиторской
задолженностью Ишеевского МУЭС УФ ОАО «ВолгаТелеком».
При выполнении дипломной
работы использованы действующие нормативные документы, регулирующие
вопросы бухгалтерского учёта, экономическая литература, а также
публикации в периодической печати по теме дипломной работы.
Глава 1 Теоретические основы
управления дебиторской и кредиторской задолженностью
1.1 Понятие дебиторской и
кредиторской задолженности и их виды
В наиболее общем виде структура оборотных средств и их
источников показана в бухгалтерском балансе. Чистый оборотный капитал представляет
собой разность между текущими активами и краткосрочной кредиторской
задолженностью (ОК = ТА-КЗ), поэтому любые изменения в составе его компонентов
прямо или косвенно влияют на его размер и качество. Как правило, разумный рост
чистого оборотного капитала рассматривается как положительная тенденция, однако
могут быть и исключения. Например, рост чистого оборотного капитала за счет
увеличения безнадежных дебиторов вряд ли удовлетворит руководство предприятия.
Одной
из основных составляющих оборотного капитала являются производственные запасы
предприятия, которые, в свою очередь, включают в себя: сырье и материалы,
незавершенное производство, готовую продукцию и прочие запасы. Поскольку
предприятие вкладывает средства в образование запасов, то издержки хранения
запасов связаны не только со складскими расходами, но и с риском порчи и
устаревания товаров, а также с вмененной стоимостью капитала, т.е. с нормой
прибыли, которая могла
быть получена в результате других инвестиционных возможностей с эквивалентной
степенью риска.
Большинство
предприятий допускает, что образование запасов имеет такую же степень риска,
что и типичные для данного предприятия капитальные вложения, и поэтому при
расчете издержек хранения использует среднюю вмененную стоимость капитала
предприятия [15, с.130].
Экономический
и организационно-производственный результаты от хранения определенного вида
текущих активов в том или ином объеме носят специфический для данного вида
активов характер. Например, большой запас готовой продукции (связанный с
предполагаемым объемом продаж) сокращает возможность образования дефицита
продукции при неожиданно высоком спросе. Подобным образом достаточно большой
запас сырья и материалов спасает предприятие в случае неожиданной нехватки
соответствующих запасов от прекращения процесса производства или покупки более
дорогостоящих материалов-заменителей. Большое количество заказов на
приобретение сырья и материалов, хотя и приводит к образованию больших запасов,
тем не менее, имеет смысл, если предприятие может добиться от поставщиков
снижения цен (так как больший размер заказа обычно предусматривает некоторую
льготу, предоставляемую поставщиком в виде скидки). По тем же причинам
предприятие предпочитает иметь достаточный запас готовой продукции, который позволяет
дольше и более экономично управлять производством. В результате этого уже само
предприятие, как правило, предоставляет скидку клиентам.
Все
организации стараются производить продажу товара с немедленной оплатой, но
требования конкуренции вынуждают соглашаться на отсрочку платежей, в результате
чего появляется дебиторская задолженность (рисунок 1).
Рисунок 1 - Цикл оборотных активов
Проблема ликвидности
(способность актива конвертироваться в денежные средства без значительной
потери в цене) дебиторской задолженности – становится ключевой проблемой почти
каждой организации. Она, в свою очередь, расчленяется на несколько проблем:
оптимальный объем, оборачиваемость, качество дебиторской задолженности.
Решение этих
проблем требует квалифицированного управления дебиторской задолженностью, что
является одним из видов укрепления финансового положения фирмы. Опыт
реформирования предприятий показывает, что меры по возврату дебиторской
задолженности входят в группу наиболее действенных мер повышения эффективности
за счет внутренних резервов предприятия и могут быстро принести положительный
результат. Возврат задолженности в сжатые сроки – реальная возможность
пополнения дефицитных оборотных средств. Управление дебиторской задолженностью
может быть отождествлено с любым другим видом управления как процесс реализации
специфических управленческих функций: планирования, организации, мотивации и
контроля [12, с.55].
Дебиторская
задолженность - важный компонент оборотного капитала. Под дебиторской задолженностью
мы понимаем задолженность организаций и физических лиц данной организации
(например, задолженность покупателей за приобретенный товар или оказанные
услуги, задолженность подотчетных лиц за выданные им денежные суммы).
Соответственно, организация и лица, являющиеся должниками данной организации
называются дебиторами.
Дебиторская
задолженность – это сумма долга, причитающаяся предприятию от других
юридических лиц или граждан. Возникновение дебиторской задолженности при
системе безналичных расчетов представляет собой объективный процесс
хозяйственной деятельности предприятия.
По характеру
образования дебиторская задолженность делится на нормальную и неоправданную. К
нормальной задолженности предприятия относится та, которая обусловлена ходом
выполнения производственной программы предприятия, а также действующими формами
расчетов (задолженность по предъявленным претензиям, задолженность по
подотчетным лицам, за товары отгруженные, срок оплаты которых не наступил).
Неоправданной дебиторской задолженностью считается та, которая возникла в
результате нарушения расчетной и финансовой дисциплины, имеющихся недостатков в
ведении учета, ослабления контроля за отпуском материальных ценностей,
возникновения недостач и хищений (товары отгруженные, но неоплаченные в срок,
задолженность по недостачам и хищениям и др.).
Уровень
дебиторской задолженности определяется многими факторами: вид продукции,
емкость рынка, степень насыщенности рынка данной продукцией, принятая на
предприятии система расчетов и др. Последний фактор особенно важен для
финансового менеджера [10, с.39].
Основными
видами расчетов являются продажа за наличный расчет и продажа в кредит. В
условиях нестабильной экономики преобладающей формой расчетов становится
предоплата.
Оплата
за наличный расчет может быть выполнена рублями, с помощью кредитной карточки
либо дебитной карточки. Кредитная карточка представляет собой пластиковую
карточку с указанием имени владельца, присвоенного ему кода, личной подписи и
срока действия карточки. Владелец карточки может совершать покупки в пределах
некоторой суммы, оговоренной при выдаче карточки, даже в том случае, если в
момент покупки она превышает остаток на его счете. В отличие от кредитной
дебитная карточка не позволяет оплачивать покупки при отсутствии средств на
счете покупателя.
Безналичные
расчеты выполняются с помощью платёжных поручений (поручение хозяйствующего
субъекта своему банку о перечислении указанной суммы другому хозяйствующему
субъекту), платежных требований (требование продавца к покупателю оплатить
поставленные ему по договору товары), аккредитивов (поручение банку поставщика,
сделанное покупателем через свой банк об оплате счетов поставщика немедленно по
получении документов об отгрузке продукции), расчётных чеков (документ,
содержащий указание чекодателя банку о выплате означенной суммы предъявителю
чека).
Большое
значение имеют отбор потенциальных покупателей и определение условий оплаты товаров,
предусматриваемых в контрактах.
Отбор
осуществляется с помощью неформальных критериев: соблюдение платежной дисциплины в прошлом, прогнозные
финансовые возможности покупателя по оплате запрашиваемого им объема
товаров, уровень текущей платежеспособности и так далее.
Специфический элемент дебиторской
задолженности - векселя к получению, являющиеся по существу ценными бумагами
(коммерческие ценные бумаги). Одной из задач по управлению дебиторской
задолженностью являются определение степени риска неплатежеспособности
покупателей, расчет прогнозного значения резерва по сомнительным долгам, а
также предоставление рекомендаций по работе с фактически или потенциально
неплатежеспособными покупателями.
Денежные средства и ценные бумаги - наиболее ликвидная часть текущих активов -
также являются составляющей оборотного капитала. К денежным средствам относятся
деньги в кассе, на расчетных и депозитных счетах. Ценные бумаги, составляющие
краткосрочные финансовые вложения, включают: ценные бумаги других предприятий,
государственные казначейские билеты, государственные облигации и ценные бумаги,
выпущенные местными органами власти.
Выбирая между наличными средствами и ценными бумагами, решается задача,
подобная той, которая решается по производству. Всегда существуют преимущества,
связанные с созданием большого запаса денежных средств, - они позволяют
сократить риск истощения наличности и дают возможность удовлетворить требование
оплатить тариф ранее установленного законом срока. С другой стороны, издержки
хранения временно свободных, неиспользуемых денежных средств гораздо выше, чем
затраты, связанные с краткосрочным вложением денег в ценные бумаги (в
частности, их можно условно принять в размере неполученной прибыли при
возможном краткосрочном инвестировании). Таким образом, необходимо решить
вопрос об оптимальном запасе наличных средств.
Кредиторская задолженность — неосуществленные платежи по
возникшим обязательствам (поставщикам — за приобретенные товары,
работы, услуги; налоговым органам — по суммам начисленных
налогов; своим работникам — по суммам начисленной заработной
платы и т.п.).
К текущим
обязательствам относится краткосрочная кредиторская задолженность, прежде всего
банковские ссуды и неоплаченные счета других предприятий. Так кредиторская
задолженность может возникнуть, если материалы в организацию поступают раньше,
чем она их оплатила [8, с.35].
В условиях
рыночной экономики основным источником ссуд являются коммерческие банки. Как
правило, банки требуют документального подтверждения обеспеченности
запрашиваемых кредитов товарно-материальными ценностями заемщика.
Альтернативный вариант заключается в продаже предприятием части своей
дебиторской задолженности финансовому учреждению с предоставлением ему
возможности получать деньги по долговому обязательству. Следовательно, одни
предприятия могут решать свои проблемы краткосрочного финансирования путем залога
имеющихся у них текущих активов, другие - за счет частичной их продажи.
В составе
кредиторской задолженности выделяются обязательства:
- перед поставщиками и
заказчиками за поставленные материальные ценности, выполненные работы и
оказанные услуги;
- по векселям, выданным
поставщикам, заказчикам и прочим кредиторам в обеспечение поставок их
продукции;
- перед работниками по
оплате труда (начисленная, но не выплаченная заработная плата);
- перед социальными
фондами по выплатам на государственное социальное страхование, в пенсионный
фонд, в фонды медицинского страхования и занятости;
- перед бюджетом по всем
видам платежей;
- перед сторонними
организациями и физическими лицами по авансам, полученным в соответствии с
договорами и контрактами.
Многообразие субъектов взаимоотношений предприятия по
расчетам по кредиторской задолженности, с учетом различного механизма их
правового регулирования и организационных схем осуществления, свидетельствует о
сложности проблемы эффективного управления ею. Действительно, текущее
финансовое благополучие предприятия в значительной мере зависит от того,
насколько своевременно оно отвечает по своим финансовым обязательствам.
Важность анализа и управления кредиторской задолженностью
обусловлена еще и тем, что, составляя значительную долю текущих пассивов
предприятия, ее изменения заметно сказываются на динамике показателей его
платежеспособности и ликвидности [14, с.129].
Анализ кредиторской задолженности предприятия проводится на
основе использования его финансовой отчетности, в частности бухгалтерского
баланса и расшифровок к балансу.
Кредиторская задолженность делится на краткосрочную или
долгосрочную кредиторскую задолженность (долгосрочные и краткосрочные пассивы).
К долгосрочным пассивам относятся:
- долгосрочные кредиты банка, используемые для капитальных
вложений на длительный срок: на приобретение дорогостоящего оборудования,
строительство зданий, модернизацию производства;
- долгосрочные займы, отражающие долгосрочные кредиты (кроме
банковских) и другие привлечённые средства на срок более одного года, в том
числе по выпущенным предприятием долгосрочным облигациям и выданным
долгосрочным векселям.
К краткосрочным пассивам относятся:
- обязательства, которые покрываются оборотными средствами
или погашаются в результате образования новых краткосрочных обязательств. Эти
обязательства погашаются в течение сравнительно короткого периода времени
(обычно в течение года). Краткосрочные обязательства приводятся в балансе либо
по их текущей цене, отражающей будущие затраты наличных средств для погашения
этих обязательств, либо по цене на дату погашения долга.
В краткосрочные
обязательства включаются такие статьи, как счета и векселя к оплате,
возникающие в результате предоставления предприятию кредита, долговые
свидетельства о получении компанией краткосрочного займа; задолженность по
налогам, являющаяся по существу формой кредита, предоставляемого государством
данной компании; задолженность по заработной плате; часть долгосрочных
обязательств, подлежащая погашению в текущем периоде.
1.2 Этапы
управления дебиторской и кредиторской задолженностью
Управление дебиторской задолженностью складывается из четырех
последовательных этапов.
Первый этап — установление предприятием нормальных условий продаж
своей продукции и закупок продукции поставщиков. На этом этапе менеджерам
необходимо решить, каковы будут продолжительность периода оплаты за отгруженную
продукцию и величина наценки за фактическое кредитование покупателя [28, с.36].
Второй этап — оценка кредитоспособности каждого покупателя.
Существует множество различных источников информации о покупателе — собственный
опыт работы продавца, опыт других заимодавцев, оценка кредитного агентства,
проверка в банке покупателя, рыночная цена на ценные бумаги покупателя, анализ
финансовой отчетности покупателя. Предприятия, имеющие дело с большими объемами
кредитной информации, обычно сводят различные источники воедино, пользуясь для
этого формальными системами кредитной оценки, которые позволяют отделить пограничные
случаи от очевидных.
Третий этап — определение формы договора с покупателем. Наиболее
рискованная форма продаж — транспортная накладная или продажи по открытому
счету, когда письменный договор между поставщиком и покупателем не
составляется, а свидетельствами того, что покупатель должен продавцу деньги,
являются запись в бухгалтерских книгах продавца и счет с накладной, подписанные
покупателем. Поэтому в условиях, когда нормы контрактной этики не стали
императивом хозяйств жизни, необходимо составление более детальных и
формализованных договоров. В развитых странах, а также в международной
торговле в качестве инструментов управления дебиторской задолженностью
используются коммерческий вексель, акцептованный торговый вексель и
аккредитив.
Коммерческий вексель действует следующим образом. Продавец
составляет вексель, обязывающий покупателя оплатить товар, и посылает его в
банк покупателя вместе с документами об отгрузке. Если требуется немедленный
платеж, то такой вексель определяется как предъявительский переводный вексель,
оплачиваемый немедленно по предъявлении. В противном случае он определяется как
срочный переводный вексель, оплачиваемый через определенное время. В
зависимости от того, является ли вексель предъявительским или срочным,
покупатель либо платит, либо признает задолженность, добавляя слово
«акцептовано» («принято») и свою подпись. Банк затем передает отгрузочные
документы покупателю, а деньги или акцептованный торговый вексель — продавцу.
Последний может держать акцептованный торговый вексель до даты погашения или использовать
его в качестве обеспечения займа.
Экспортер, которому необходима более высокая степень уверенности в
платежеспособности покупателя, может попросить его самого или его банк оформить
безотзывной аккредитив. В этом случае банк посылает экспортеру уведомление о
том, что в его пользу открыт кредит в банке экспортера. Затем экспортер
составляет переводный вексель на банк покупателя и представляет его в свой
банк вместе с аккредитивом и отгрузочными документами. Банк экспортера
организует акцептование векселя или выплату денег и пересылает документы в банк
покупателя.
После оценки кредитоспособности покупателя и определения формы
договора с ним необходимо установить его «чувствительные» лимиты кредита. При
этом следует помнить, что работа менеджера по управлению дебиторской
задолженности состоит не в том, чтобы минимизировать количество сомнительных
долгов, а в том, чтобы максимизировать прибыль. Это означает, что менеджер
должен увеличивать лимиты кредита покупателя до тех пор, пока вероятность оплаты,
умноженная на ожидаемую прибыль, превышает вероятность неоплаты, умноженную на
себестоимость товаров. Поэтому часто имеет смысл принять «пограничного»
подателя заявки на кредит, если есть вероятность, что он может стать постоянным
и надежным покупателем.
Четвертый этап — контроль за исполнением дебиторами своих
обязательств по оплате дебиторской задолженности. Необходимо проявлять
твердость с неплательщиками.
Управление кредиторской
задолженностью — это комплекс мероприятий по формированию и контролю за
состоянием кредиторской задолженности предприятия, направленных на увеличение
объемов выпуска и минимизацию процентных выплат.
Одним из основных источников краткосрочного финансирования
являются банковские кредиты в разнообразных формах. Наиболее простая из них —
необеспеченные ссуды. Предприятия, которым часто требуются краткосрочные
банковские кредиты, могут договориться с банком об открытии кредитной линии.
Это позволяет им занимать деньги в любой момент в пределах установленного
лимита. Кредитная линия открывается обычно на год и становится объектом
пристального внимания кредитного комитета банка. Банки тревожатся, если
кредитная линия используется для долгосрочного финансирования проектов
предприятия. Обычно они требуют периодически «подчищать» задолженности
предприятия по кредитной линии.
Часто условием предоставления кредита является залог. Наиболее
ликвидный залог — ценные бумаги. Однако банк может принять и «изменяющийся
залог» в виде дебиторской задолженности или запасов. В этом случае банк может
принять меры предосторожности, чтобы удостовериться в реальной идентификации
залога, и в том, что он находится под контролем. Например, когда предприятие
занимает под дебиторскую задолженность, оно обязано информировать банк обо
всех продажах товаров, итоговые счета дебиторов должны быть заложены в банк.
Когда клиенты платят по счетам, деньги поступают на специальный
залоговый счет, находящийся под банковским контролем. Точно так же, когда
предприятие занимает деньги под запасы сырья, банк будет настаивать на их
хранении в независимой складской компании. Пока у банка находится складское
свидетельство на товары, они не могут быть реализованы без банковского
разрешения.
Ставка процента, которую банки
устанавливают по кредитам, должна быть достаточна для покрытия не только
альтернативных издержек на привлечение заемного капитала, но также издержек
кредитного отдела банка. В результате крупные постоянные заемщики приходят к
выводу, что дешевле действовать, минуя банковскую систему и выпуская собственные
краткосрочные обязательства в виде ценных бумаг. Основная форма такого
заимствования — облигации.
1.3
Методы управления дебиторской и кредиторской задолженностью
Управление дебиторской задолженностью непосредственно влияет
на прибыльность компании и определяет дисконтную и кредитную политику для
малоэффективных покупателей, пути ускорения востребования долгов и уменьшение
безнадежных долгов, а также выбор условий продажи, обеспечивающих
гарантированное поступление денежных средств [11, с.21].
К приемам управления дебиторской задолженностью относятся:
учет заказов, оформление счетов и установление характера дебиторской
задолженности. Среди подлежащих рассмотрению моментов есть некоторые, требующие
особого внимания, например необходимость поиска путей сокращения среднего
промежутка времени между завершением операции по продаже товара и выпиской
счета-фактуры покупателю. Также должны оцениваться возможные издержки,
связанные с дебиторской задолженностью, т. е. упущенная выгода от не
использования средств, вместо их инвестирования.
Управление дебиторской задолженностью связано с двумя видами
резервов времени - на выписку счета-фактуры и отправку почтой. Время на выписку
счета - это количество дней от отправки товара покупателю и до высылки счета.
Очевидно, что компании следует отправлять счета одновременно с товаром. Время
почтовой доставки - между подготовкой счета-фактуры и получением его
покупателем. Время почтового прохождения документов может быть сокращено за
счет децентрализации выписки счета-фактуры и почтовой отправки (используя
службу срочных почтовых отправлений для крупных счетов-фактур с вручением в
предусмотренные сроки либо предоставляя скидки за авансовые платежи).
Ключевым моментом в управлении дебиторской задолженностью
является определение сроков кредита (предоставляемого покупателям) которые
оказывают влияние на объемы продаж и получение денег. Например, предоставление
более продолжительных сроков кредита, вероятно, увеличит объем продаж. Сроки
кредита имеют прямое отношение к затратам и доходу, связанным с дебиторской
задолженностью. Если сроки кредита жесткие, у компании будет меньше
инвестированных денежных средств в дебиторскую задолженность и потерь от
безнадежных долгов, но это может привести к снижению объемов продаж, уменьшению
прибылей и негативной реакции покупателей. С другой стороны, если сроки кредита
неконкретные, компания может добиться увеличения объемов продаж и большего
дохода, но и рискует увеличить долю безнадежных долгов и большими затратами,
связанными с тем, что малоэффективные покупатели затягивают оплату. Сроки
дебиторской задолженности следует либерализовать, когда вы хотите избавиться от
избыточных товарно-материальных запасов или устаревшей продукции либо если вы
работаете в отрасли промышленности, товары которой предназначены для сезонных
продаж (например, купальные костюмы). Если ваш товар является скоропортящимся,
вы должны использовать краткосрочную дебиторскую задолженность и по возможности
практиковать оплату при поставке.
При оценке платежеспособности потенциального покупателя
следует учитывать честность покупателя, финансовую устойчивость и имущественное
обеспечение. Кредитную надежность покупателя можно оценить количественными
методами анализа регресса, который рассматривает изменение зависимой переменной,
имеющей место при изменении независимой (информативной) переменной. Этот метод
особенно полезен, когда вам требуется оценить большое количество некрупных
покупателей. Следует тщательно оценивать возможные потери по безнадежным
долгам, если ваша компания продает товары многим покупателям и длительное время
не меняет свою кредитную политику.
Продление кредита влечет за собой дополнительные расходы:
административные расходы деятельности кредитного отдела, компьютерной службы, а
также комиссионные, выплачиваемые специальным агентствам, определяющим
кредитоспособность заемщиков или качество ценных бумаг.
Достаточно полезна информация, полученная от кредитных бюро
розничной торговли и профессиональных кредитных справочных служб.
Имеется много способов максимизировать доходность дебиторской
задолженности и свести к минимуму возможные потери: выставление счетов, оценку
финансового положения клиентов и перепродажу права на взыскание долгов.
Существует несколько способов выставления счетов [11, с.80].
При циклическом составлении счетов они выставляются
покупателям в различные периоды времени. При такой системе покупатели с
фамилиями, начинающимися на “А” могут быть первыми, кому выставляются счета в
первый день месяца, тем, чьи фамилии начинаются на “Б”, счета будут выставлены
во второй день и так далее. Счета покупателям должны быть отправлены в течение
двадцати четырех часов со времени и составления.
Для ускорения взимания платежей можно направлять счета-
фактуры покупателям, когда их заказ еще обрабатывается на складе. Можно также
выставлять счет за услуги с интервалами, если работа выполняется в течение
определенного периода, или начислять гонорар авансом, что предпочтительнее
осуществления платежей по окончании работы. Во всяком случае, вы должны составлять
счета на крупные суммы немедленно.
Когда бизнес развивается пассивно, могут применяться сезонные
датирования выставления счетов: предлагается продление срока платежей для
стимулирования спроса среди покупателей, неспособных произвести платежи раньше,
чем в конце сезона.
Перед предоставлением кредита необходимо тщательно
анализировать финансовые отчеты покупателя и получать рейтинговую информацию от
финансовых консультативных фирм. Необходимо избегать высоко рискованной
дебиторской задолженности, такой как в случае с покупателями, работающими в
финансово неустойчивой отрасли промышленности или регионе. Также предприятию
необходимо быть осторожным с клиентами, которые работают в бизнесе менее одного
года (около 50 процентов коммерческих предприятий терпят крах в течение первых
двух лет). Как правило, потребительская дебиторская задолженность связана с
большим риском неплатежа, чем дебиторская задолженность компаний. Следует
модифицировать лимиты кредитования и ускорять востребование платежей на основании
изменений финансового положения покупателя. Для этого можно удержать продукцию
или приостановить оказание услуг, пока не будут произведены платежи, и
потребовать имущественный залог в поддержку сомнительных счетов (стоимость
имущественного залога должна равняться или превышать остаток на счете). Если
необходимо, следует воспользоваться помощью агентства по сбору платежей для
востребования денежных средств с не подчиняющихся покупателей.
Необходимо классифицировать дебиторские задолженности по
срокам оплаты (расположить их по времени, истекшему с даты выставления счета)
для выявления покупателей, нарушающих сроки платежа, и облагать процентом
просроченные платежи. После того как будут сравнены текущие, классифицированные
по срокам дебиторские задолженности, с дебиторскими задолженностями прежних
лет, промышленными нормативами и показателями конкурентов, можно подготовить
отчет об убытках по безнадежным долгам, показывающий накопленные убытки по
покупателям, условиям продажи и размерам сумм и систематизированный по данным о
подразделении, производственной линии и типе покупателя (например, отрасли
промышленности). Потери безнадежного долга обычно выше у малых компаний.
Можно прибегнуть к страхованию кредитов, эта мера против
непредвиденных потерь безнадежного долга. При решении, приобретать ли такую
защиту, необходимо оценить ожидаемые средние потери безнадежного долга,
финансовую способность компании противостоять этим потерям и стоимость
страхования.
Можно перепродать права на взыскание дебиторской задолженности,
если это приведет к чистой экономии. Однако при сделке факторинга может быть
раскрыта конфиденциальная информация.
При предоставлении коммерческого кредита следует оценить
конкурентоспособность предприятия текущие экономические условия. В период спада
кредитную политику следует ослабить, чтобы стимулировать бизнес. Например,
компания может не выставлять повторно счет покупателям, которые получают скидку
при оплате наличными, даже после того, как срок действия скидки истек. Но можно
ужесточить кредитную политику в условиях дефицита товаров, поскольку в такие
периоды компания, как продавец, имеет возможность диктовать условия.
В целом управление дебиторской задолженностью включает:
1) анализ дебиторов;
2) анализ реальной стоимости существующей дебиторской
задолженности;
3)
контроль за соотношением дебиторской и кредиторской задолженности;
4)
разработку политики авансовых расчетов и предоставления коммерческих кредитов;
5)
оценку и реализацию факторинга.
1)
Анализ дебиторов предполагает, прежде всего, анализ их платежеспособности с
целью выработки индивидуальных условий представления коммерческих кредитов и
условий договоров факторинга. Уровень и динамика коэффициентов ликвидности
могут привести менеджера к выводу о целесообразности продажи продукции только
при предоплате или, наоборот - о возможности снижения процента по коммерческим
кредитам и т.п.
2)
Анализ дебиторской задолженности и оценка ее реальной стоимости заключается в
анализе задолженности по срокам ее возникновения, в выявлении безнадежной
задолженности и формировании на эту сумму резерва по сомнительным долгам.
Определенный
интерес представляет анализ динамики дебиторской задолженности по срокам ее
возникновения и/или по периоду оборачиваемости. Подробный анализ позволяет
сделать прогноз поступлений средств, выявить дебиторов, в отношении которых
необходимы дополнительные усилия по возврату долгов, оценить эффективность
управления дебиторской задолженностью.
3)
Соотношение дебиторской и кредиторской задолженностей - характеристика финансовой
устойчивости фирмы и эффективности финансового менеджмента. В практике
финансовой деятельности российских фирм зачастую складывается такая ситуация,
которая делает невыгодным снижение дебиторской задолженности без изменения
кредиторской (обязательств). Уменьшение дебиторской задолженности снижает
коэффициент покрытия (ликвидности), фирма приобретает признаки
несостоятельности и становится уязвимой со стороны Государственных органов и
кредиторов. Вспомним, что баланс предприятия считается неплатежеспособным,
если:
1)
объем
оборотных средств на конец периода : краткосрочная задолженность на конец
периода <
2;
2)
объем
источников объем внеоборотных собственных доходов - активов на конец периода :
объем оборотных средств на конец периода < 0,1.
Дебиторская
задолженность - элемент оборотных средств, ее уменьшение снижает коэффициент
покрытия. Поэтому финансовые менеджеры решают не только задачу снижения
дебиторской задолженности, но и ее сбалансированности с кредиторской.
При
анализе соотношения дебиторской и кредиторской задолженности необходим анализ
условий коммерческого кредита, предоставляемого фирме поставщиками сырья и
материалов.
На
уровень дебиторской задолженности влияют следующие основные факторы:
-
оценка и классификация покупателей в зависимости от вида продукции, объема
закупок, платежеспособности клиентов, истории кредитных отношений и
предполагаемых условий оплаты;
-
контроль расчетов с дебиторами, оценка реального состояния дебиторской
задолженности;
-
анализ и планирование денежных потоков с учетом коэффициентов инкассации.
Для
определения инвестиции в дебиторскую задолженность применяется расчет, который
учитывает годовые объемы продаж в кредит и срок неоплаты дебиторской
задолженности.
Делая
обобщение можно сделать вывод, что в основе управления дебиторской
задолженностью лежит два подхода:
1)
сравнение дополнительной прибыли, связанной с той или иной схемой спонтанного
финансирования, с затратами и потерями, возникающими при изменении политики
реализации продукции;
2)
сравнение и оптимизация величины и сроков дебиторской и кредиторской
задолженностей. Данные сравнения проводятся по уровню кредитоспособности,
времени отсрочки платежа, стратегии скидок, доходам и расходам по инкассации.
Оценка
реального состояния дебиторской задолженности, т. е. оценка вероятности
безнадежных долгов - один из важнейших вопросов управления оборотным капиталом.
Эта оценка ведется отдельно по группам дебиторской задолженности с различными
сроками возникновения. Финансовый менеджер может при этом использовать
накопленную на предприятии статистику, а также прибегнуть к услугам
экспертов-консультантов.
Как
уже было сказано, одним из важных моментов в управлении оборотным капиталом
является определение разумного соотношения между дебиторской и кредиторской
задолженностями. При этом необходимо проводить оценку не только своих
собственных условий кредитования покупателей, но и условий кредита поставщиков
сырья и материалов, с точки зрения уменьшения затрат или увеличения
дополнительного дохода, получаемого предприятием при использовании скидок.
Таким
образом, система скидок способствует защите предприятия от инфляционных убытков
и относительно дешевому пополнению оборотного капитала в денежной или
натуральной форме.
Таким
образом, для того чтобы определить, следует ли покупателю предоставлять скидку
за авансовые выплаты остатков на счетах, финансовому менеджеру следует сравнить
доход от денежных средств, получаемых в результате ускоренных платежей, с
суммой скидки.
Для
того чтобы решить, следует ли компании давать кредит малоэффективным
покупателям, надо сравнить доход от дополнительных продаж с дополнительными
издержками, связанными с дебиторской задолженностью. Если у компании есть
резервные производственные мощности, дополнительный доход является маржинальной
прибылью с новых продаж, так как постоянные затраты в этом случае не меняются.
Дополнительные расходы по дебиторской задолженности объясняются возможным
увеличением безнадежных долгов и вложением денежных средств в дебиторскую
задолженность на более продолжительный период времени.
1.4
Оптимизация дебиторской задолженности
Во-первых,
разберемся, что такое дебиторская задолженность, и какими величинами она
характеризуется. По своей сути, дебиторская задолженность это, конечно,
вложение капитала. Фактически, фирма платит за товар вместо клиента в момент
перехода права собственности на товар при заключении сделки купли-продажи.
Формально можно было бы считать, что товар продается только в момент оплаты, а
до этого товар как бы находится на складе. Однако фирма не может распоряжаться
этим товаром, например, продать его. Поэтому экономически более осмысленно
считать дебиторскую задолженность вложением капитала по аналогии с
вложениями в запасы товаров, в основные средства, в ценные бумаги и т.д. Все
это и отражает актив баланса фирмы.
Основными характеристиками дебиторской задолженности будут
являться величина дебиторской задолженности и среднее время оборота дебиторской
задолженности.
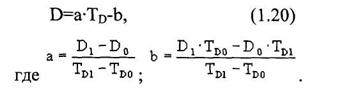
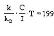
Выражение для прибыли:
где IТ - прибыль за период
времени Т;
I - прибыль за этот период
без учета прибыли, приносимой непосредственно клиентами-дебиторами;
D - дебиторская
задолженность;
Т - период времени,
за который считается прибыль;
TD - период обращения
дебиторской задолженности;
к - коэффициент пропорциональности
между прибылью без учета постоянных расходов (т.е. прибылью, пропорциональной
выручке от реализации) и выручкой от реализации товаров.
Распишем
поподробнее, что представляет собой коэффициент к. Напишем выражение для
прибыли за период времени Т:
где
S - выручка от реализации;
Ео -
затраты на приобретение реализуемых товаров;
Е - остальные
расходы фирмы;
ts - ставка налогов,
исчисляемых от S (налог на пользователей автомобильных дорог, сбор на содержание
жилищного фонда и т.п.);
tНДС - ставка НДС;
tI - ставка налога на
прибыль;
ks - коэффициент расходов,
пропорциональных S (например, если исполнительные менеджеры «сидят» на проценте от
выручки);
По-видимому,
Е
о пропорционально S:
где коэффициент ko будет определяться средним
соотношением цен приобретения и продажи товаров.
Подставив
(1.3) в (1.2), получим:
Таким образом, мы разбили прибыль на две части -
пропорциональную выручке от реализации и не зависящую от нее.
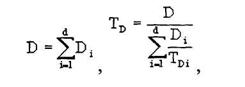
Теперь распишем поподробнее величины D и TD:
где d - количество дебиторов;
Di - дебиторская задолженность i-гo дебитора;
TDi - время, через которое i-й дебитор отдает деньги.
Теперь
вернемся к выражению (1.1). Сначала ответим на вопрос - имеет ли смысл
увеличивать D
при неизменном T
D? С точки зрения прибыли ответ очевиден - имеет. Однако при
этом увеличивается вкладываемый капитал:
где С - капитал,
вкладываемый в данный бизнес, за минусом дебиторской задолженности. По сути,
это все строки актива баланса, так или иначе обеспечивающие вместе с данной
дебиторской задолженностью прибыль I;
t0D - дебиторская задолженность, связанная с выплатой налоговых
платежей до момента реального поступления денежных средств за отгруженные
товары. Она характерна только для бухгалтерской политики учета реализации
товаров по факту отгрузки. При политике же учета реализации товаров по факту
поступления денежных средств за отгруженные товары, эта величина равна нулю;
tS+ tНДС - суммарная ставка налогов, пропорциональных выручке от реализации;
- дебиторская задолженность в ценах закупки реализуемых товаров.
Таким образом,
Разделив (1.1) на (1.8), получим выражение для рентабельности
Видим, что если:
то увеличение дебиторской
задолженности при неизменном времени оборота дебиторской задолженности приводит
к увеличению рентабельности вложенного капитала.
Теперь, допустим, неравенство (1.10) выполняется, и выгодно
увеличивать дебиторскую задолженность. Однако если не изменять время оборота
дебиторской задолженности ТD, то, в конце концов, мы достигнем максимального
уровня дебиторской задолженности (оборота). Далее увеличивать D мы сможем, только
увеличив TD, то есть, увеличив время, на которое предоставляется
товарный кредит (либо для всех клиентов, либо выборочно). Рассмотрим, в каких
случаях это будет выгодно.
Допустим, мы увеличили время обращения дебиторской задолженности с
TD0 до ТD1. При этом величина
дебиторской задолженности увеличилась с Do до D1. Выгодно это или нет,
можно определить, подставив значения (D0,TD0) и (D1,TD1) в выражение (1.9) и сравнив полученные два
значения рентабельности.
На основе значений (D0,TD0) и (D1TD1) попробуем определить
оптимальное значение времени оборота дебиторской задолженности TDopt. Аппроксимируем
зависимость D=f(TD) линейной функцией:

Подставив выражение (1.11) в (1.9), получим
Анализируя выражение (1.12), видим, что если b<0 (а значит и f<0), то увеличение TD приводит к уменьшению
рентабельности. Иначе говоря, если увеличение времени оборота дебиторской
задолженности приводит к небольшому увеличению дебиторской задолженности, то
увеличивать дебиторскую задолженность не имеет смысла.
Теперь рассмотрим случай, когда b>0, то есть увеличение
времени оборота дебиторской задолженности приводит к значительному увеличению
величины дебиторской задолженности.
Продифференцировав r по TD, приравняв dr/dTD нулю и найдя отсюда TD, получим
Таким образом, видим, что даже если увеличение TD приводит к значительному
увеличению D,
все равно есть величина ТD, выше которой увеличивать время оборота
дебиторской задолженности невыгодно.
Заметим, что изменение времени, на которое предоставляется
товарный кредит, в каком-то смысле эквивалентно изменению цены на товар.
Увеличение этого времени, равно как и уменьшение цены на товар, увеличивает
объемы реализации. И наоборот, уменьшение времени отсрочки платежа по
реализуемым товарам (как и увеличение цены) уменьшает объемы реализации. И в
том и в другом случае существуют оптимальные величины, при которых
рентабельность максимальна [19, с.314].
Управление
дебиторской и кредиторской задолженностью, сходно в необходимости классификации
по срокам их погашения. Это делается для глубокого анализа задолженностей с
помощью «Баланса задолженностей», который учитывает их сроки покрытия. Одним из
наиболее оптимальных показателей здорового состояния организации можно назвать
ситуацию, когда кредиторская задолженность превышает дебиторскую в отношении
как можно более дискретного ряда значений (сроков): годовая кредиторская
задолженность должна быть не больше годовой дебиторской, месячная и 5-ти
дневная кредиторская не более месячной и 5-ти дневной дебиторской
соответственно и т. д. При этом желательный уровень соотношения во многом
зависит от той стратегии, которая принята на предприятии (агрессивная, консервативная
или умеренная).
Глава 2 Анализ финансового состояния Ишеевского МУЭС Ульяновского филиала
ОАО «ВолгаТелеком»
2.1 Общая характеристика предприятия
Ишеевский межрайонный узел электросвязи (далее - МУЭС)
Ульяновского филиала (далее - Филиал) открытого акционерного общества
«ВолгаТелеком» (далее Общество) создан в соответствии с Положением о Филиале,
утвержденным решением Совета директоров Общества (протокол от 10 апреля 2003г.
№ 02) с последующими изменениями и дополнениями и организационной структурой
Ульяновского филиала.
МУЭС является
структурным подразделением Ульяновского филиала ОАО «ВолгаТелеком».
МУЭС удовлетворяет потребности физических и юридических лиц в
работах, услугах в области электросвязи и иных областях.
Задачами МУЭС, направленными на достижение основной цели
деятельности Общества, Филиала являются:
- обеспечение на обслуживаемой территории
высококачественной, бесперебойной работы средств связи;
- своевременное обслуживание и оказание услуг потребителям
в соответствии с полученными Обществом лицензиями;
- развитие, внедрение и обеспечение эксплуатации
средств и сооружений связи, в том числе с использованием новых технологий;
- проведение
мероприятий по охранно-предупредительной работе линий и сооружений связи.
2.2
Анализ структуры актива и пассива баланса
Под активами обычно
понимают имущество (ресурсы предприятия), в которое инвестированы деньги.
Статьи актива располагают в зависимости от степени ликвидности (подвижности)
имущества, т.е. от того насколько быстро данный вид актива может приобрести
денежную форму. Разделы актива баланса также строятся в порядке возрастания
ликвидности (рисунок 2).
1. Внеоборотные активы (иммобилизованные
средства):
- нематериальные активы
(патенты, авторские права, лицензии, торговые марки и другие ценные, но не
овеществленные активы, контролируемые предприятием);
-основные средства
(имущество, здания, оборудование, земля, т.е. материальные активы с
относительно долгим сроком полезной службы);
-капиталовложения
(незавершённое строительство, долгосрочные финансовые вложения и др.).
2. Оборотные активы (мобильные
средства):
- запасы
товарно-материальных ценностей и затраты (совокупность статей, которые
характеризуют имущество):
а) хранящиеся для
реализации;
б) находящиеся в процессе
производства для реализации;
в) постоянно
расходующиеся на производство продукции);
- дебиторская
задолженность;
- краткосрочные
финансовые вложения (капиталовложения в ценные бумаги, инвестиции и др.);
- денежные средства.
Оборотные активы более ликвидны, чем внеоборотные. Это обусловлено тем,
что внеоборотные активы представляют ту часть имущества предприятия, которая не
предназначена для продажи, а постоянно используется для производства, хранения
и транспортировки продукции. Оборотные активы участвуют в постоянном цикле
превращения их в денежные средства. В свою очередь их также можно разделить по
степени ликвидности: наиболее ликвидные оборотные активы - денежные средства,
ценные бумаги, далее по степени убывающей ликвидности следует дебиторская
задолженность, запасы и затраты [13, с.202].
Анализ
финансово-экономического состояния предприятия следует начинать с общей
характеристики состава и структуры актива (имущества) и пассива (обязательств)
баланса. Анализ актива баланса дает возможность установить основные показатели,
характеризующие производственно-хозяйственную деятельность предприятия:
1.
Стоимость
имущества предприятия, общий итог баланса.
2.
Иммобилизованные
активы, итог раздела I
баланса.
Стоимость оборотных средств, итог раздела II баланса.
Таблица 2.1 - Анализ
состава и структуры актива баланса
|
Актив баланса
|
2004 год
|
2005
|
Абсолютное отклонение, тыс. руб.
|
Темп роста, %
|
|
тыс.
руб.
|
% к итогу
|
тыс.
руб.
|
% к итогу
|
|
Иммобилизованные средства
(внеоборотные активы)
|
|
Нематериальные
активы
|
2300
|
7,6
|
2400
|
6,11
|
100
|
104,34
|
|
Основные
средства
|
12000
|
39,7
|
15100
|
38,47
|
3100
|
125,8
|
Продолжение таблицы 2.1
|
Актив баланса
|
2004 год
|
2005
|
Абсолютное отклонение, тыс. руб.
|
Темп роста, %
|
|
тыс.
руб.
|
% к итогу
|
тыс.
руб.
|
% к итогу
|
|
Иммобилизованные средства
(внеоборотные активы)
|
|
Незавершенное
строительство
|
130
|
0,42
|
115
|
0,29
|
-15
|
88,5
|
|
Долгосрочные
финансовые вложения
|
870
|
2,86
|
885
|
2,25
|
15
|
101,7
|
|
Прочие
внеоборотные средства
|
200
|
180
|
0,46
|
-20
|
90,0
|
|
Итого
|
15500
|
51,24
|
18680
|
47,6
|
3180
|
120,5
|
|
Мобильные
средства (оборотные активы)
|
|
Запасы
и затраты
|
5550
|
18,34
|
10745
|
27,38
|
5195
|
193,6
|
|
Налог
на добавленную стоимость
|
700
|
2,31
|
1250
|
3,18
|
550
|
178,6
|
|
Дебиторская
задолженность
|
6150
|
20,33
|
6875
|
17,51
|
725
|
111,78
|
|
Краткосрочные
финансовые вложения
|
850
|
2,81
|
345
|
0,88
|
-505
|
40,6
|
|
Денежные
средства
|
1500
|
4,95
|
1350
|
3,44
|
-150
|
90,0
|
|
Прочие
оборотные активы
|
0
|
-
|
0
|
-
|
-
|
-
|
|
Итого
|
14750
|
48,76
|
20565
|
52,4
|
5815
|
139,42
|
|
Всего
активов
|
30250
|
100,00%
|
39245
|
100,00%
|
8995
|
129,73
|
|
|
|
|
|
|
|
|
|
На основании данных
аналитической таблицы 2.1 можно сделать следующие выводы:
Общая
стоимость имущества повысилась за рассматриваемые периоды на 29,73%
(100,00-129,73), что свидетельствует о незначительном росте хозяйственной деятельности
предприятия.
Увеличение
стоимости имущества на 8995,0 тысяч рублей, сопровождалось внутренними
изменениями в активе: при увеличении стоимости основных средств на 3180,0 тысяч
рублей. Из всех групп оборотных активов наблюдается отсутствие прочих оборотных
активов.
Уменьшение
наблюдается в расчетах с денежными средствами — убыток денежных средств
составил 90,0%. В начале периода они были равны 1500,0 тысячи рублей, а к концу
периода уменьшились до 1350,0 тысяч рублей, т.е. убыток составил 150,0 тысяч
рублей.
Увеличение
стоимости оборотных активов в целом произошло вследствие прироста запасов и
затрат на 5195,0 тысяч рублей. Увеличилась также дебиторская задолженность на
725,0 тысяч рублей (ее удельный вес в стоимости всех активов составил 27,38%);
налог на добавленную стоимость увеличился на 550,0 тысяч рублей (удельный вес
3,18%).
На основании общей оценки
баланса выявлено снижение производственного потенциала предприятия. Это
изменение сопровождалось незначительным увеличением финансирования оборотных
средств, что расценивается как положительная тенденция: предприятие наращивает,
возможно, реализацию своей продукции.
Для общей оценки имущественного
потенциала предприятия проводится анализ динамики состава и структуры
обязательств (пассива) баланса. Эти позиции рассматриваются на примере данных
бухгалтерской отчетности.
Пассив бухгалтерского баланса
отражает источники финансирования средств предприятия, сгруппированных на
определенную дату по их принадлежности и назначению. Иными словами, пассив
показывает:
- величину средств (капитала, вложенных
в хозяйственную деятельность предприятия);
- степень участия в создании имущества
организации.
В зарубежной практике существует
несколько иное толкование сущности пассива баланса – это обязательства за
полученные ценности или требования на полученные предприятием ресурсы (активы).
Данные определения не противоречат
друг другу, но в современной концепции бухгалтерского учета последнее более
предпочтительно.
Для аналитических исследований и
оценки структуры пассива все обязательства группируются по следующим признакам:
1. Юридической принадлежности:
- обязательства перед собственниками
предприятия (собственный капитал);
- обязательства перед третьими лицами
- кредиторами, банками и т.п. (заемный капитал).
2. Срочности возврата обязательств:
- средства длительного
пользования;
- средства краткосрочного
пользования.
Следует отметить, что обязательства перед собственниками
составляют практически постоянную часть пассива баланса, не подлежащую
погашению во время деятельности организации. Обязательства перед третьими
лицами имеют разные сроки возврата: менее одного года — краткосрочные, более
одного года — долгосрочные.
При проведении анализа баланса необходимо учитывать следующее:
- финансовая информация, заложенная в
бухгалтерский баланс, носит исторический характер, т.е. показывает положение
предприятия на момент составления отчетности;
- в условиях инфляции происходит
необъективное отражение во временном интервале результатов хозяйственной
деятельности;
- финансовая отчетность несет
информацию лишь на начало и конец отчетного периода, и поэтому невозможно достоверно
оценить изменения, происходящие в течение этого периода.
Для аналитических исследований и
качественной оценки динамики финансово-экономического состояния предприятия
рекомендуется объединить статьи баланса в отдельные специфические группы [17,
с.321].
Цель - создание агрегированного
баланса, который используется для определения важных характеристик финансового
состояния предприятия и расчета ряда основных коэффициентов.
Бухгалтерская отчетность позволяет
рассмотреть эти группы:
-
основных средств
и внеоборотных активов;
-
запасов и затрат;
-
дебиторской
задолженности;
-
денежных средств.
Более подробно, и далее некоторые из
них будут проанализированы с таких позиций, как, например, влияние движения
денежных средств на платежеспособность и ликвидность предприятия и т.п.
Данные
аналитической таблицы 2.2 свидетельствуют о том, что, предприятие понесло
значительные убытки, в то же время произошло значительное уменьшение
нераспределенной прибыли и, в общем, увеличение собственного капитала на 1500,0
тысяч рублей. Параллельно с этим произошло увеличение краткосрочных обязательств:
происходит их общее увеличение на 2095,0 тысячи рублей, хотя это не дает
положительной динамики в пассиве баланса. Следует отметить, что предприятие привлекает долгосрочные
заемные средства, что свидетельствует об инвестициях в производстве. Обращает
на себя внимание тот факт, что в составе краткосрочных пассивов значительный
объем занимает кредиторская задолженность при существовании краткосрочных
кредитов банков.
Таблица 2.2 - Анализ состава и структуры пассива баланса
|
Пассив
баланса
|
2004
год
|
2005
год
|
Абсолютное
отклонение, тыс. руб.
|
Темп
роста, %
|
|
|
тыс.
руб.
|
%
к итогу
|
тыс.
руб.
|
%
к итогу
|
|
Капитал
и резервы (собственный капитал)
|
|
Уставный
капитал
|
8000
|
26,45
|
8000
|
20,38
|
0
|
100
|
|
Добавочный
капитал
|
5000
|
16,52
|
7500
|
19,11
|
2500
|
150
|
|
Резервный
капитал
|
1500
|
4,96
|
1500
|
3,8
|
0
|
100
|
Продолжение таблицы 2.2
|
Пассив
баланса
|
2004
год
|
2005
год
|
Абсолютное
отклонение, тыс. руб.
|
Темп
роста, %
|
|
тыс.
руб.
|
%
к итогу
|
тыс.
руб.
|
%
к итогу
|
|
Капитал
и резервы (собственный капитал)
|
|
Фонды
социальной сферы
|
0
|
-
|
0
|
-
|
-
|
-
|
|
Нераспределенная
прибыль
|
1500
|
4,96
|
3000
|
7,64
|
1500
|
200
|
|
Целевое
финансирование, фонды и резервы
|
0
|
-
|
0
|
-
|
-
|
-
|
|
Непокрытые
убытки
|
0
|
-
|
0
|
-
|
-
|
-
|
|
Итого
|
16000
|
52,9
|
20000
|
50,96
|
4000
|
125
|
|
Заемные
средства
|
|
Долгосрочные
кредиты и займы
|
4000
|
13,22
|
3600
|
9,17
|
-400
|
90
|
|
Краткосрочные
кредиты и займы
|
2100
|
6,94
|
5400
|
13,76
|
3300
|
257
|
|
а)
кредиты банков
|
2100
|
6,94
|
5400
|
13,76
|
3300
|
257
|
|
б)
кредиторская задолженность
|
8150
|
26,94
|
10245
|
26,1
|
2095
|
125,7
|
|
Прочие
оборотные пассивы
|
0
|
-
|
0
|
-
|
-
|
-
|
|
Итого
|
14250
|
47,1
|
19245
|
49,03
|
4995
|
135,05
|
|
Всего
активов
|
30250
|
100,00%
|
39245
|
100,00%
|
8995
|
129,73
|
2.3 Анализ ликвидности и
платёжеспособности предприятия
Задача анализа
ликвидности баланса возникает в условиях рынка в связи с усилением жесткости
финансовых ограничений и необходимостью давать оценку кредитоспособности
предприятия, то есть его способности своевременно и полностью рассчитываться по
всем своим обязательствам. Ликвидность баланса определяется как степень
покрытия обязательств предприятия его активами, срок превращения которых в
деньги соответствует сроку погашения обязательств. От ликвидности баланса
следует отличать ликвидность активов, которая определяется как величина, обратная
времени, необходимому для превращения их в денежные средства. Чем меньше время,
которое потребуется, чтобы данный вид активов превратился в деньги, тем выше
его ликвидность [24, с.85].
Анализ ликвидности
баланса заключается в сравнении средств по активу, сгруппированных по степени
их ликвидности и расположенных в порядке убывания ликвидности, с
обязательствами по пассиву, сгруппированными по срокам их погашения и
расположенными в порядке возрастания сроков.
В зависимости от степени ликвидности,
то есть скорости превращения в денежные средства, активы предприятия
разделяются на следующие группы:
А-1). Наиболее ликвидные
активы - к ним относятся все статьи денежных средств предприятия и краткосрочные
финансовые вложения.
А-2). Быстро реализуемые
активы - дебиторская задолженность и прочие активы (-) иммобилизация.
А-3). Медленно реализуемые
активы - Запасы и затраты, (-) сч. 31 (-) НДС (+) расчёты с учредителями (+)
долгосрочные финансовые вложения (за исключением вкладов в УК).
А-4). Трудно реализуемые
активы - статьи раздела 1 актива, за исключением статей этого раздела, включенных
в предыдущую группу.
Пассивы баланса группируются по
степени срочности их оплаты:
П-1). Наиболее срочные
обязательства - к ним относится кредиторская задолженность и ссуды непогашенные
в срок.
П-2). Краткосрочные пассивы
- краткосрочные кредиты и заемные средства.
П-3). Долгосрочные пассивы -
Долгосрочные кредиты и займы.
П-4). Постоянные пассивы - 1
раздел "Источники собственных средств" пассива баланса (+) стр. 640,
650, 660 (-) сч. 31 (-) сч. 19 (-) иммобилизация.
Для определения
ликвидности баланса следует сопоставить итоги приведенных групп по активу и
пассиву. Баланс считается абсолютно ликвидным, если имеют место следующие
соотношения:
А-1 > П-1
А-2 > П-2
А-3 > П-3
А-4 < П-4
Выполнение первых трех
неравенств с необходимостью влечет выполнение и четвертого неравенства, поэтому
практически существенным является сопоставление итогов первых трех групп по
активу и пассиву. Четвертое неравенство носит «балансирующий» характер и в то
же время имеет глубокий экономический смысл: его выполнение свидетельствует о
соблюдении минимального условия финансовой устойчивости - наличии у предприятия
собственных оборотных средств. В случае, когда одно или несколько неравенств
системы имеют знак, противоположный зафиксированному в оптимальном варианте,
ликвидность баланса в большей или меньшей степени отличается от абсолютной. При
этом недостаток средств по одной группе активов компенсируется их избытком по
другой группе, хотя компенсация при этом имеет место лишь по стоимостной
величине, поскольку в реальной платежной ситуации менее ликвидные активы не
могут заместить более ликвидные.
Сопоставление наиболее
ликвидных средств и быстро реализуемых активов с наиболее срочными
обязательствами и краткосрочными пассивами позволяет выяснить текущую
ликвидность [17, с.352]. Сравнение же медленно реализуемых активов с долгосрочными
пассивами отражает перспективную ликвидность. Текущая ликвидность свидетельствует
о платежеспособности (или неплатежеспособности) предприятия на ближайший к
рассматриваемому моменту промежуток времени. Перспективная ликвидность
представляет собой прогноз платежеспособности на основе сравнения будущих
поступлений и платежей (из которых в соответствующих группах актива и пассива
представлена, конечно, лишь часть, поэтому прогноз достаточно приближенный).
Таблица 2.3 - Ранжирование
активов по степени убывания ликвидности и пассивов по степени возрастания
срочности
|
Ранжирование
активов и пассивов баланс
|
Условное
обозначение
|
Годы
|
Изменение (+;-)
|
|
2004
|
2005
|
тыс. руб.
|
%
|
|
Активы
|
|
Наиболее ликвидные активы
|
А1
|
3853
|
5246
|
1393
|
15,48
|
|
Быстрореализуемые активы
|
А2
|
10725
|
13154
|
2429
|
27,0
|
|
Медленно реализуемые активы
|
А3
|
15493
|
20655
|
5162
|
57,38
|
|
Труднореализуемые активы
|
А4
|
179
|
190
|
11
|
0,12
|
|
ИТОГО активы
|
|
30250
|
39245
|
8995
|
100
|
|
Пассивы
|
|
Наиболее срочные обязательства
|
П1
|
8150
|
10245
|
2095
|
23,3
|
|
Краткосрочные пассивы
|
П2
|
2100
|
5400
|
3300
|
36,7
|
|
Долгосрочные пассивы
|
П3
|
4000
|
3600
|
-400
|
-4,5
|
|
Постоянные пассивы
|
П4
|
16000
|
20000
|
4000
|
44,5
|
|
Итого пассивы
|
|
30250
|
39245
|
8995
|
100
|
Для анализа ликвидности баланса составляется таблица 2.4, в
которой группируются статьи баланса в соответствии с этими требованиями.
Таблица 2.4 - Группировка активов и
пассивов для оценки ликвидности баланса
|
2004
|
2005
|
|
А1 ³ П1 3853 < 8150
недостаток
|
А1 ³ П1 5246 < 10245
недостаток
|
|
А2 ³ П2 10725 > 2100
излишек
|
А2 ³ П2 13154 > 5400
излишек
|
|
А3 ³ П3 15493 > 4000
излишек
|
А3 ³ П3 20655 > 3600
излишек
|
|
А4 £ П4 179 < 16000
излишек
|
А4 £ П4 190 < 20000
излишек
|
Таблица 2.5 - Анализ ликвидности
баланса
|
Актив
|
2004
|
2005
|
Пассив
|
2004
|
2005
|
Платежный излишек
или недостаток
|
|
|
|
2004
|
2005
|
|
|
А1
|
3853
|
5246
|
8150
|
10245
|
-4297
|
-4999
|
|
|
А2
|
10725
|
13154
|
П2
|
2100
|
5400
|
8625
|
7754
|
|
|
А3
|
15493
|
20655
|
П3
|
4000
|
3600
|
11493
|
16400
|
|
|
А4
|
179
|
190
|
П4
|
16000
|
20000
|
-15821
|
-19810
|
|
|
БАЛАНС
|
30250
|
39245
|
БАЛАНС
|
30250
|
39245
|
|
|
|
Анализ таблиц 2.3, 2.4 и 2.5 показал, что предприятие
испытывало недостаток поступлений для погашения текущих платежей в размере 4297
тыс. руб. в 2004 году, т.е. условие А1 > П1 не выполняется. А в 2005 году на
4999 тыс. руб.
В ближайшем будущем предприятие характеризуется как
платежеспособное, поскольку будущие поступления превышают будущие платежи на
8625 тыс. руб. – 2004 год, и на 7754 тыс. руб. – 2005 год.
В перспективе предприятие ликвидно, так как условие А3 >
П3 выполняется.
У предприятия в рассматриваемые периоды достаточно
собственного капитала для покрытия труднореализуемых активов (А4 £ П4).
Предприятие признается абсолютно ликвидным, так как
выполняются все условия абсолютной ликвидности.
Коэффициенты ликвидности отражают кассовую позицию организации и
определяют ее способность управлять оборотными средствами, то есть в нужный
момент быстро обращать активы в наличность с целью погашения краткосрочных
(текущих) обязательств.
Проведение такой оценки требует предварительной группировки
оборотных активов предприятия по уровню ликвидности [19, с.123]. Для проведения
оценки ликвидности активов (уровня платежеспособности предприятия) в процессе
финансового анализа используются показатели абсолютной, срочной и текущей
ликвидности.
1. Коэффициент абсолютной ликвидности (норма денежных
резервов)- Кал , является наиболее жестким критерием
платежеспособности. Он показывает, в какой степени все текущие финансовые
обязательства предприятия обеспечены имеющимися у него денежными средствами
(наиболее ликвидными активами) на определенную дату.
Расчет коэффициента осуществляется по формуле:
Кал = (ДС + КФВ): КО, (2.1)
где ДС – сумма
денежных активов предприятия на определенную дату;
КФВ – сумма краткосрочных финансовых вложений предприятия на определенную
дату;
КО – сумма всех краткосрочных (текущих) финансовых обязательств
предприятия на определенную дату.
2. Коэффициент срочной ликвидности – Ксл, показывает в какой
степени все краткосрочные (текущие) финансовые обязательства могут быть
удовлетворены за счет его высоколиквидных активов.
Для
определения этого показателя используется следующая формула:
Ксл = (ДС + КФВ +ДЗ): КО,
(2.2)
где ДЗ – сумма
дебиторской задолженности всех видов.
3. Наиболее обобщающим показателем платежеспособности
вступает коэффициент текущей ликвидности – Ктл, который показывает, в какой
степени вся задолженность по краткосрочным (текущим) обязательствам может быть
удовлетворена за счет его текущих (оборотных) активов, т.е. сколько рублей
текущих активов приходится на один рубль текущих обязательств.
Расчет этого
показателя проводится по формуле:
Ктл = ОА: КО,
(2.3)
где ОА – сумма
всех оборотных активов предприятия.
Таблица 2.6 -
Динамика показателей ликвидности за 2004-2005 гг.
|
Наименование показателя
|
2004 год
|
2005 год
|
Изменение (+;-)
|
|
Коэффициент текущей ликвидности
|
2,88
|
6,41
|
3,52
|
|
Коэффициент срочной ликвидности
|
0,91
|
3,82
|
2,92
|
|
Коэффициент абсолютной
ликвидности
|
0,02
|
3,13
|
3,10
|
За отчетные периоды соотношение оборотных активов предприятия
и краткосрочных обязательств составило: 2004 год - 2,88; 2005 год - 6,41, при
оптимальном соотношении 2:1, т.е. в 2004 году коэффициент текущей ликвидности
был выше нормы на 0,88, в 2005 году на 4,41. Это означает, что предприятие в
состоянии погасить текущую задолженность за счет его текущих активов.
Коэффициент срочной ликвидности в 2004 году составил 0,91, в
2005 - 3,82, что выше нормативного значения 0,7-0,8. Отсюда следует, что
большую часть ликвидных средств предприятия составляет дебиторская
задолженность и возможность удовлетворения краткосрочных финансовых
обязательств за счет высоколиквидных активов будет зависеть от своевременности
погашения дебиторской задолженности.
Коэффициент абсолютной
ликвидности в 2004 году составляет 0,02, что значительно ниже норматива
0,2-0,3, это означает, что у предприятия был недостаток денежных средств для
покрытия текущих финансовых обязательств. А в 2005 году коэффициент абсолютной
ликвидности равен 3,13, что значительно выше норматива и означает, что
предприятие в состоянии погасить задолженность за счет собственных денежных
средств.
2.4
Анализ
финансовой устойчивости предприятия
Показатели финансовой устойчивости характеризуют структуру
используемого капитала с позиции его платежеспособности и финансовой
стабильности развития.
Эти показатели позволяют оценить степень степени защищенности
инвесторов и кредиторов, т.к. отражают способность организации погасить
долгосрочные обязательства [15, с.200].
Основными показателями финансовой устойчивости предприятия
являются: коэффициент автономии, коэффициент заемного капитала, коэффициент
финансовой зависимости, коэффициент финансовой независимости, коэффициент
обеспеченности собственными оборотными средствами, коэффициент маневрен-ности.
1.
Коэффициент автономии характеризует, в какой степени используемые
организацией активы сформированы за счет собственного капитала:
, (2.4)
где
Кс – величина собственного капитала;
А – величина активов. Норма – более 0,5.
2.
Коэффициент заемного капитала отражает долю заемных средств в источниках
финансирования (является обратным Кавт):
,
(2.5)
где Сз – величина заемных средств. Норма – менее 0,5.
3.
Коэффициент финансовой зависимости показывает, в какой степени
организация зависит от внешних источников финансирования, т.е. сколько заемных
средств привлекла организация на 1 руб. собственного капитала. Показывает также
меру способности организации ликвидировать свои активы полностью погасить
кредиторскую задолженность за счет активов:
,
(2.6)
Норма
– менее 0,7.
4.
Коэффициент финансовой независимости. Показывает степень независимости
организации от заемных источников финансирования:
,
(2.7)
где Дзс - величина долгосрочных заемных средств
5.
Коэффициент обеспеченности собственными оборотными средствами
характеризует наличие собственных оборотных средств необходимых для финансовой
устойчивости организации:
,
(2.8)
где Сос – величина собственных оборотных средств;
Ао величина оборотных активов. Норма – более 0,1
6.
Коэффициент маневренности показывает, какую долю занимает собственный
капитал, инвестируемый в оборотные средства в общей сумме собственного капитала
организации:
,
(2.9)
Норма
– 0,2-0,5.
Таблица 2.7 - Анализ
относительных коэффициентов финансовой устойчивости
|
Коэффициенты
|
Норматив
|
2004
|
2005
|
Отклонение
|
|
За период
|
От норматива
|
|
2004
|
2005
|
|
К-т автономии
|
более 0,5
|
0,53
|
0,51
|
-0,02
|
0,03
|
0,01
|
|
К-т заемного капитала
|
менее 0,5
|
0,2
|
0,23
|
0,03
|
-0,3
|
-0,27
|
|
К-т финансовой зависимости
|
менее 0,7
|
0,66
|
0,6
|
-0,06
|
-0,04
|
-0,1
|
|
К-т обеспеченности СОС
|
более 0,1
|
-2,85
|
-1,1
|
1,75
|
-2,95
|
-1,2
|
|
К-т маневренности
|
0,2-0,5
|
-0,98
|
-0,99
|
0,01
|
-1,18
|
-1,19
|
Анализ относительных показателей финансовой устойчивости
показал, что:
- коэффициент автономии выше нормативного значения на 0,03
в 2004 году, и на 0,01 в 2005 году. Таким образом, используемые предприятием
активы сформированы за счет собственного капитала.
- коэффициент заемного капитала увеличился на 0,03 (с 0,2 до
0,23). Это означает, что доля заемных средств в источниках финансирования не
высока.
- значение коэффициента финансовой зависимости в 2005 году
уменьшился на 0,06 (с 0,66 до 0,6) и не превышает нормативного значения. Это
означает, что предприятие в незначительной степени зависит от внешних источников
финансирования.
- значительно увеличился коэффициент обеспеченности
собственными оборотными средствами с -2,85 до -1,1, но всё же предприятие
испытывает недостатка в собственных оборотных средствах, необходимых для
обеспечения финансовой устойчивости.
Определить среднюю оборачиваемость дебиторской и
кредиторской задолженности, долю дебиторской и кредиторской задолженности в
общем, объеме текущих активов и долю сомнительной задолженности в составе
дебиторской и кредиторской задолженности, можно с помощью следующих формул:
- средняя дебиторская задолженность
Дебиторская
задолж.2004 + Дебиторская задолж.2005
2
- средняя оборачиваемость дебиторской задолженность:
Выручка от продаж (оборотов)
Средняя дебиторская задолженность
- оборачиваемость дебиторской задолженности:
Средняя дебиторская
задолженность х t ;
Выручка от продаж
- доля дебиторской задолженности в общем объеме:
Дебиторская
задолженность
х 100%
Текущие активы
Таблица 2.8 - Анализ оборачиваемости дебиторской
задолженности
|
Показатели
|
2004
|
2005
|
Изменения
|
|
|
1. Оборачиваемость
дебиторской задолженности, в оборотах
|
22,1
|
19,1
|
-3
|
|
|
|
2. Период обращения
дебиторской задолженности, в днях
|
18,8
|
22,3
|
3,5
|
|
|
|
3. Доля дебиторской
задолженности в общем объеме текущих активов, %
|
28,5
|
69,5
|
41
|
|
|
Данные таблицы 2.8 показывают, что состояние расчетов с
дебиторами в 2005 году по сравнению с 2004 годом ухудшилось. Увеличился период
обращения с 18,8 дней в 2004 году до 22,3 дней в 2005 году. Возросла доля
дебиторской задолженности в общем объеме текущих оборотных активов с 28,5 % в
2004 году до 69,5 % в 2005 году. Произошло это отчасти из-за прироста
краткосрочной дебиторской задолженности. Если принять во внимание, что доля
дебиторской задолженности увеличилась и составила 37,6%, а доля задолженности
покупателей и заказчиков — 4,5% общего объема текущих активов организации, то
можно сделать вывод о снижении ликвидности текущих активов в целом из-за
состояния дебиторской задолженности.
Таблица 2.9 - Анализ оборачиваемости
кредиторской задолженности
|
Показатели
|
2004
|
2005
|
Изменения
|
|
1. Оборачиваемость
кредиторской задолженности, в оборотах
|
9,4
|
10,2
|
0,8
|
|
2. Период обращения
кредиторской задолженности, в днях
|
35,9
|
37,7
|
1,8
|
|
3. Доля кредиторской
задолженности в общем объеме текущих активов, %
|
0,4
|
0,5
|
0,1
|
Данные таблицы 2.9 показывают, что состояние расчетов с
кредиторами улучшилось в 2005 году по сравнению с 2004 годом. Увеличился период
обращения с 9,4 дней в 2004 году до 10,2 дней в 2005 году. Незначительно
возросла доля кредиторской задолженности в общем объеме текущих оборотных
активов на 0,1 %.
Кроме того, из анализа кредиторской задолженности, можно
сказать, что она в 2005 году по сравнению с 2004 годом так же выросла (на
115%);
Сравнительный анализ дебиторской и кредиторской задолженности
Ишеевского МУЭС УФ ОАО «ВолгаТелеком» в 2005 году приведен в таблице 2.10.
Таблица 2.10
- Сравнительный анализ оборачиваемости дебиторской и кредиторской задолженности
Ишеевского МУЭС Ульяновского филиала ОАО «ВолгаТелеком»
|
Показатели
|
Дебиторская
задолженность
|
Кредиторская
задолженность
|
Изменения
|
|
1. Темп роста, %
|
115
|
98
|
17
|
|
2. Оборачиваемость в оборотах
|
22,1
|
10,2
|
11,9
|
|
3. Оборачиваемость в днях
|
37,7
|
22,3
|
15,4
|
Сравнение состояния дебиторской и кредиторской задолженности,
исходя из данных таблицы 2.10, позволяет сделать следующий вывод: в организации
в 2005 году преобладала сумма кредиторской задолженности, но темп ее прироста
меньше, чем темп прироста дебиторской задолженности. Причина этого — в более низкой
скорости обращения кредиторской задолженности по сравнению с дебиторской.
Такая ситуация ведет к дефициту платежных средств, что может привести к
неплатежеспособности организации.
Хотя кредиторская
задолженность экономически и выгодна предприятию, однако в некоторых случаях
она ведет к штрафным санкциям и снижению рейтинга предприятия среди
конкурентов. Поэтому с данным видом задолженности так же надо бороться.
2.5 Анализ динамики и
структуры дебиторской и кредиторской задолженности
Для анализа динамики дебиторской
задолженности использованы данные за последние два года деятельности
предприятия. Результаты анализа приведены в таблице 2.11.
Таблица 2.11 - Анализ
состава и структуры дебиторской задолженности
Ишеевского МУЭС Ульяновского филиала ОАО «ВолгаТелеком» в 2004-2005 гг.
|
Показатель
|
2004г.
|
2005г.
|
Отклонения
|
|
Сумма, тыс. руб.
|
Уд. вес, %
|
Сумма, тыс. руб.
|
Уд. вес, %
|
2005 к 2004
|
|
|
тыс. руб.
|
%
|
|
|
1
|
2
|
3
|
4
|
5
|
10
|
11
|
|
|
Общая сумма
дебиторской задолженности
|
6150
|
|
6875
|
|
725
|
111,8
|
|
|
- покупатели
и заказчики
|
4150
|
67,5
|
4275
|
62,18
|
125
|
103,0
|
|
|
- векселя к
получению
|
1000
|
16,25
|
1400
|
20,36
|
400
|
140,0
|
|
|
- прочие дебиторы
|
1000
|
16,25
|
1200
|
17,46
|
200
|
120,0
|
|
|
Доля дебиторской задолженности в
общей сумме оборотных активов
|
6150
|
41,7
|
6875
|
33,4
|
725
|
111,8
|
|
|
Величина оборотных активов
|
14750
|
100
|
20565
|
100
|
5815
|
139,4
|
|
|
|
|
|
|
|
|
|
|
|
|
|
|
|
|
По данным таблицы 2.11 можно видеть, что в 2004 году наибольший
удельный вес в структуре дебиторской задолженности занимают:
- задолженность покупателей и заказчиков – 67,50 процентов
- задолженность по
векселям к получению – 16,25 процентов;
- задолженность прочих
дебиторов – 16,25 процентов.
В 2005 году структура дебиторской задолженности немного изменилась:
- задолженность
покупателей и заказчиков уменьшилась на 5,32 процента и стала составлять 62,18
процента;
- векселя к получению –
20,36 процентов, увеличилась задолженность на 4,11 процента;
- прочие дебиторы – 17,46
процента, увеличилась задолженность на 1,21 процента.
Наибольший удельный вес в структуре дебиторской задолженности
составляет задолженность покупателей. Основные задолженники Ишеевского МУЭС
приведены в таблице 2.12.
Таблица 2.12 - Основные покупатели -
задолженники
|
Организация
|
Сумма задолженности, т.р.
|
Изменения
|
|
2004
|
2005
|
|
МУП
«Ишеевсккомэнерго»
|
300,0
|
330,0
|
30,0
|
|
ОАО «Строй-инвест»
|
250,0
|
270,0
|
20,0
|
|
ООО
«Ремсельбурвод-У»
|
150,0
|
163,0
|
13,0
|
|
Итого
|
700,0
|
763,0
|
63,0
|
Увеличение долгов кредиторам (за исключением задолженности перед
персоналом организации и бюджетом по налоговым и приравненным к ним платежам)
чаще оценивается как вполне допустимое [25, с.136].
Для изучения состава и структуры кредиторской задолженности
составлена аналитическая таблица с данными об изменении сальдо сумм
кредиторской задолженности за отчетный год, приведенных в балансе Ишеевского
МУЭС.
Таблица 2.13 - Анализ
состава и структуры кредиторской задолженности в 2004 – 2005 гг.
|
Показатель
|
2004
год
|
2005
год
|
Отклонения
|
|
Сумма, т. р.
|
Уд. вес, %
|
Сумма, т. р.
|
Уд. вес, %
|
2005 к 2004
|
|
т.р.
|
%
|
|
Общая
сумма кредиторской задолженности
|
8150
|
100
|
10245
|
100
|
2095
|
125,7
|
|
поставщики
и подрядчики
|
5950
|
73,0
|
7170
|
70,0
|
1220
|
120,5
|
|
задолженность
перед персоналом организации
|
500
|
6,1
|
750
|
7,3
|
150
|
|
задолженность
перед государственными внебюджетными фондами
|
400
|
4,9
|
425
|
4,2
|
25
|
106,25
|
|
задолженность
по налогам и сборам
|
750
|
9,2
|
1050
|
10,2
|
300
|
140
|
|
авансы
полученные
|
250
|
3,1
|
400
|
3,9
|
150
|
160
|
|
прочие
кредиторы
|
300
|
3,7
|
450
|
4,4
|
150
|
150
|
По результатам расчетов, представленных в таблице 2.13 за 2004г.
можно видеть, что наибольший удельный вес в структуре кредиторской
задолженности занимают:
- задолженность перед
поставщиками и подрядчиками – 73,0 процента.
Остальные занимают
незначительную часть:
- задолженность
перед государственными внебюджетными фондами – 4,9 процента;
- задолженность перед
персоналом организации – 6,1 %;
- задолженность по
налогам и сборам – 9,2 %;
- авансы полученные – 3,1
%;
- прочие кредиторы –
3,7%.
В 2005 году можно видеть, что наибольший удельный вес в структуре
кредиторской задолженности также занимает задолженность перед поставщиками и
подрядчиками – 70,0 процентов:
- задолженность перед
поставщиками и подрядчиками по сравнению с 2004 годом увеличилась на 20,5
процента;
- задолженность перед
персоналом увеличилась на 250 тыс. руб. – на 50,0 %;
- задолженность перед государственными
внебюджетными фондами увеличилась на 25,0 тыс. руб. – 6,25 процента.
Рисунок 3 - Динамика дебиторской и
кредиторской задолженности поквартально за 2004-2005гг.
По
данным Ишеевского МУЭС УФ ОАО «ВолгаТелеком» были составлены графики изменения
дебиторской и кредиторской задолженностей 2004 и 2005 годов.
Дебиторская задолженность
в 2004 году увеличивалась постепенно, а в 2005 году то увеличивалась, то
уменьшалась, что возможно свидетельствует о том, что дебиторская задолженность
отслеживалась.
Кредиторская
задолженность в 2004 году до 3 квартала резко увеличивалась, а в 4 квартале
заметно сократилась, чего нельзя сказать о 2005 годе, в котором она плавно
нарастала.
Глава 3 Анализ состояния дебиторской и
кредиторской задолженностей Ишеевского МУЭС Ульяновского филиала ОАО
«ВолгаТелеком»
3.1 Анализ структуры
дебиторской и кредиторской задолженностей
Оценка структуры дебиторской и кредиторской задолженностей дается
как в целом по балансу, так и по отдельным группам показателей: по авансам,
покупателей, задолженность в бюджет, по заработной плате и т.д. При этом
используют следующие показатели:
- абсолютные значения показателей;
- их удельные веса, характеризующие структуру запасов;
- изменения в удельных весах, характеризующие динамику структуры
актива, пассива баланса, запасов и финансовых результатов;
- темп прироста - относительный показатель, характеризующий
динамику актива, пассива баланса, запасов и финансовых
результатов.
Проанализируем объемы и динамику дебиторской задолженности в
составе оборотных активов на основе данных бухгалтерских балансов
рассматриваемого предприятия в таблице 3.1.
Таблица 3.1 - Анализ дебиторской задолженности в составе оборотных
активов Ишеевского МУЭС УФ ОАО «ВолгаТелеком», тыс. руб.
|
Наименование статей
|
Показатели
|
Удельный вес, %
|
Темп роста, %
|
|
2004
|
2005
|
2004
|
2005
|
2004-2005
|
|
Оборотные
активы
|
|
|
|
|
|
|
Запасы
|
5550
|
10745
|
18
|
27,4
|
193,6
|
|
Дебиторская
задолженность (в течение 12 мес.) в том числе:
|
6150
|
6875
|
20,33
|
17,5
|
111,78
|
|
с
покупателями за товары и услуги
|
4150
|
4275
|
13,72
|
10,89
|
103,01
|
|
по
авансам
|
|
|
|
|
|
|
Денежные
средства
|
1500
|
1350
|
4,9
|
3,43
|
90,0
|
|
Итого
по разделу 2
|
13200
|
18970
|
43,6
|
48,33
|
143,71
|
|
Баланс
|
30250
|
39245
|
100
|
100
|
129,73
|
Из таблицы 3.1 видно, что удельный вес дебиторской задолженности в
составе оборотных средств составляет в 2004 году - 46,6%, в 2005 – 36,2,%. В
абсолютном выражении задолженность за рассматриваемый период увеличилась на 725
тыс. руб. или ее темп увеличения составил 111,78%. Если рассматривать
дебиторскую задолженность в разрезе, то видно, что преобладающую ее долю
составляет задолженность потребителей, в частности заказчиков подрядных работ.
Задолженность клиентов перед Ишеевским МУЭС в абсолютном выражении, как и общий
размер дебиторской задолженности увеличивается с темпом роста 103,01%. То же
самое, произведем с кредиторской задолженностью в составе краткосрочных
обязательств в таблице 3.2.
Таблица 3.2 - Анализ кредиторской задолженности в составе
краткосрочных обязательств Ишеевского МУЭС, тыс. руб.
|
Наименование
статей
|
Показатели
|
Удельный
вес, %
|
Темп
роста, %
|
|
2004
|
2005
|
2004
|
2005
|
2004-2005
|
|
Кредиторская
задолженность в том числе:
|
8150
|
10245
|
26,9
|
26,1
|
125,7
|
|
поставщики
и подрядчики
|
5950
|
7170
|
19,6
|
18,26
|
120,5
|
|
задолженность
перед персоналом организации
|
500
|
750
|
1,65
|
1,91
|
150,0
|
|
задолженность
перед гос.внебюд.фондами
|
400
|
425
|
1,32
|
1,08
|
106,25
|
|
задолженность
по налогам и сборам
|
750
|
1050
|
2,4
|
2,67
|
140
|
|
прочие
кредиторы
|
300
|
450
|
0,99
|
1,14
|
150
|
|
Итого
по разделу 5
|
8150
|
10245
|
26,9
|
26,1
|
125,7
|
|
Баланс
|
30250
|
39245
|
100
|
100
|
129,73
|
Из таблицы 3.2 видно, что краткосрочные обязательства Ишеевского
МУЭС в большей степени состоят из кредиторской задолженности. В абсолютном
выражении общий размер задолженности к концу 2005 года резко увеличился на
2095,0 тыс. руб. с темпом роста 125,7%. В составе кредиторской задолженности
преобладающую долю составляет задолженность перед поставщиками и подрядчиками и
бюджетами всех уровней, их общая доля составляет в 2004 году - 87,1%, в 2005
году - 84,38%.
В целом период с 2004 по 2005 год характеризовался тем, что темп
роста кредиторской задолженности превышал темп роста дебиторской задолженности,
что является отрицательным фактором финансового состояния.
3.2 Анализ
оборачиваемости дебиторской и кредиторской задолженностей предприятия
По коэффициенту оборачиваемости дебиторской
задолженности судят, сколько раз в среднем дебиторская задолженность (или
только счета покупателей) превращалась в денежные средства в течение отчетного
периода. Коэффициент рассчитывается посредством деления выручки от реализации продукции
на среднегодовую стоимость чистой дебиторской задолженности. Несмотря на то,
что для анализа данного коэффициента не существует другой базы сравнения, кроме
среднеотраслевых коэффициентов, этот показатель полезно сравнивать с
коэффициентом оборачиваемости кредиторской задолженности. Такой подход
позволяет сопоставить условия коммерческого кредитования, которыми предприятие
пользуется у других компаний, с теми условиями кредитования, которые
предприятие предоставляет другим предприятиям [16, с.384].
где Кдз - коэффициент
оборачиваемости дебиторской задолженности (обороты);
Vp — выручка от реализации, тыс. руб.;
ДЗ — средняя величина дебиторской задолженности, тыс. руб. (по
строкам 230 и 240 баланса).
Коэффициенты оборачиваемости дебиторской и кредиторской
задолженности можно также рассчитать в днях. Для этого необходимо количество
дней в году (360 или 365) разделить на рассмотренные нами показатели. Тогда мы
узнаем, сколько в среднем дней требуется для оплаты соответственно дебиторской
либо кредиторской задолженности.
Период погашения дебиторской задолженности:
Коэффициент оборачиваемости кредиторской задолженности
рассчитывается как частное от деления себестоимости реализованной продукции на
среднегодовую стоимость кредиторской задолженности, и показывает, сколько
компании требуется оборотов для оплаты выставленных ей счетов.
Период погашения кредиторской задолженности:
Внесем рассчитанные значения вышеперечисленных
показателей в таблицу 3.3.
Таблица 3.3 - Показатели оборачиваемости задолженностей Ишеевского
МУЭС УФ ОАО «ВолгаТелеком»
|
Показатель
|
Значения
|
Темп роста, %
|
|
2004г.
|
2005г.
|
2004-2005
|
|
|
Коэффициенту
оборачиваемости дебиторской задолженности, раз.
|
5,2
|
5,96
|
114,6
|
|
|
Период
погашения дебиторской задолженности, дней.
|
70,19
|
61,24
|
87,24
|
|
|
Коэффициент
оборачиваемости кредиторской задолженности, раз
|
3,92
|
4,0
|
102,04
|
|
|
Период
погашения кредиторской задолженности, дней.
|
93,0
|
91,25
|
98,11
|
|
Из таблицы 3.3 видно, что коэффициент оборачиваемости дебиторской
задолженности в период с 2004 по 2005 год превышает оборачиваемость
кредиторской задолженности, что сказывается на повышении финансового риска по
возврату кредитов.
В ходе анализа оборачиваемость дебиторской и кредиторской
задолженностей было выявлено, что к концу рассматриваемого периода кредиторская
задолженность не нуждается в дополнительных средствах покрытия, кроме прибыли.
3.3 Сравнительный анализ
дебиторской и кредиторской задолженности
Для более детального анализа эффективности
функционирования финансового механизма целесообразно рассмотреть соотношение
дебиторской и кредиторской задолженности, представленный в таблицах 3.4 и 3.5.
Таблица 3.4 - Сравнительный анализ дебиторской и кредиторской
задолженности Ишеевского МУЭС за 2004 год, тыс. руб.
|
Расчёты
|
Дебиторская задолженность
|
Кредиторская задолженность
|
Превышение задолженности
|
|
|
|
Дебиторской
|
Кредиторской
|
|
на нач. года
|
на кон. года
|
на нач. года
|
на кон. года
|
на нач. года
|
на кон. года
|
на нач. года
|
на кон. года
|
|
С
покупателями или поставщиками за товары и услуги
|
|
4150
|
|
5950
|
|
|
|
1800
|
|
По
векселям
|
|
1000
|
|
|
|
1000
|
|
|
|
По
авансам
|
|
|
|
250
|
|
|
|
250
|
|
По
отчислениям гос.внебюд.фондам
|
|
|
|
400
|
|
|
|
400
|
|
С
бюджетом
|
|
|
|
750
|
|
|
|
750
|
|
По
оплате труда
|
|
|
|
500
|
|
|
|
500
|
|
С
прочими
|
|
1000
|
|
300
|
|
700
|
|
|
|
Итого
|
|
6150
|
|
8150
|
|
|
|
2000
|
Из таблицы 3.4 видно, что на конец 2004 года кредиторская
задолженность превышала дебиторскую на 2000 тыс. руб. это значит что при
необходимости обязательства предприятия не смогут погаситься за счет
дебиторской задолженности это значит что дебиторская задолженность может
покрыть лишь 75% обязательств предприятия. Но у Ишеевского МУЭС появилась
возможность эффективного использования заемного капитала.
Таблица 3.5 -
Сравнительный анализ дебиторской и кредиторской задолженности Ишеевского МУЭС
за 2005 год, тыс. руб.
|
Расчёты
|
Дебиторская
задолженность
|
Кредиторская
задолженность
|
Превышение
задолженности
|
Дебиторской
|
Кредиторской
|
на нач.
года
|
на кон.
года
|
на нач.
года
|
на кон.
года
|
на нач.
года
|
на кон.
года
|
на нач.
года
|
на кон.
года
|
|
С
покупателями или поставщиками за товары и услуги
|
|
4275
|
|
7170
|
|
|
|
2895
|
|
По
векселям
|
|
1400
|
|
|
|
1400
|
|
|
|
По
авансам
|
|
|
|
250
|
|
|
|
250
|
|
По
отчислениям гос.внебюд.фондам
|
|
|
|
425
|
|
|
|
425
|
|
С
бюджетом
|
|
|
|
1050
|
|
|
|
1050
|
|
По
оплате труда
|
|
|
|
750
|
|
|
|
750
|
|
С
прочими
|
|
1200
|
|
300
|
|
900
|
|
|
|
Итого
|
|
6875
|
|
10245
|
|
|
|
3370
|
Из таблицы
3.5 видно, что в конце 2005 года превышение кредиторской задолженности над
дебиторской в сумме 3370 тыс. руб. или почти в 2 раза. То есть, если все
дебиторы погасят свои обязательства, то Ишеевский МУЭС сможет погасить лишь 67%
обязательств перед кредиторами, но есть возможность ее использовать эти
средства, как привлечённые источники.
3.4 Влияние дебиторской
задолженности на финансовые результаты предприятия
При выработке политики платежей предприятие
исходит из сравнения прибыли, дополнительно получаемой при смягчении условий
платежей и, следовательно, росте объемов продаж, и потерь в связи с ростом
дебиторской задолженности [12, с.158].
Влияние роста дебиторской задолженности вследствие снятия
(смягчения) требований к кредитоспособности потребителей, которым
предоставляется коммерческий кредит.
Ишеевский МУЭС в июне 2004 года реализовало услуги на сумму 20
тыс. руб. Оборачиваемость дебиторской задолженности равна 6. Особых проблем с
дебиторами не было. Установлено, что снятие ограничений по коммерческому
кредиту на кредитоспособность потребителей увеличит объем продаж на 4 тыс.
руб., но оборачиваемость дебиторской задолженности по новым потребителям
составит уже не 61 день, а 120 дней. Предполагается также, что снижение
требований к кредитоспособности новых потребителей не изменит оборачиваемость
дебиторской задолженности прочих потребителей. Предприятие имеет незагруженные
мощности и может увеличить объем производства стройматериала без увеличения
постоянных издержек, с прибылью от каждой дополнительной единицы продукции
составит Р = 5 руб. Ожидается, что эта прибыль в июне 2004 года будет 0,38
рубля.
Увеличение дебиторской задолженности инициирует дополнительные
издержки предприятия на:
- увеличение объема работы с дебиторами (связь, командировки и пр.);
- увеличение периода оборота дебиторской задолженности
(увеличение периода инкассации);
- увеличение потерь от безнадежной дебиторской задолженности.
Дополнительные издержки составят 0,16 рубля на 1 рубль
дополнительного объема продаж или 42,1% от прибыли. Поскольку издержки меньше
дополнительной прибыли, постольку для предприятия выгодно увеличение объема
коммерческого кредита (смягчение условий кредита).
Смягчение условий коммерческого кредита может заключаться в
увеличении срока кредита для новых потребителей. Очевидно, что в этом случае и
традиционные потребители увеличат срок оплаты коммерческого векселя.
Ишеевский МУЭС увеличивает срок кредита до 60 дней. Это даст
дополнительно 2 тыс. руб. продаж, но средний период инкассации (примерно период
оборачиваемости) увеличивается с 71 дня до 120 дней. Дебиторская задолженность
возрастает с 20 х 360 + 4 х 120 : 360 = 4,7 тыс. руб. до 26 х 120 : 360 = 8,7
тыс. руб. Это означает (примерно) дополнительные издержки 640 руб., а
дополнительная прибыль 760 руб. Увеличение дебиторской задолженности
оказывается при таком расчете выгодным. Отметим, однако, что этот расчет
приблизителен, так как распространение норматива потерь на дебиторскую
задолженность (0,16) с периодом инкассации 120 дней неправомочен так как
возрастают потери по безнадежной задолженности. Кроме того, предыдущий расчет
не учитывал темпы инфляции.
Широкое распространение в управлении дебиторской задолженностью (в
формировании политики условий продаж) получили коэффициенты инкассации.
Коэффициенты инкассации - доля поступлений от задолженности определенного срока
по отношению к объему реализации периода возникновения задолженности.
Коэффициенты инкассации на каждую дату рассчитываются по отдельным
группам задолженности. Например, коэффициенты инкассации в июне включают
коэффициент инкассации текущей (июньской) задолженности, коэффициент инкассации
задолженности по продукции, отгруженной в мае и т.д. Суммарный коэффициент
инкассации равен отношению погашения дебиторской задолженности за все периоды к
объемам поставок за последний период.
Если К > 1, то за июнь дебиторская задолженность снизилась,
если К < 1, то дебиторская задолженность и вероятность формирования
безнадежной задолженности растут.
Снятие (смягчение) ограничений на коммерческий кредит и увеличение
срока кредита приводят к снижению коэффициентов инкассации.
Уровень дебиторской задолженности определяется многими факторами:
вид продукции, емкость рынка, степень насыщенности рынка данной
продукцией, принятая на предприятии система расчетов и др. Последний фактор
особенно важен для финансового менеджера.
Основными видами расчетов являются продажа за наличный расчет и
продажа в кредит. В условиях нестабильной экономики преобладающей формой
расчетов становится предоплата.
Оплата за наличный расчет может быть выполнена рублями, с помощью
кредитной карточки либо дебетной карточки. Кредитная карточка представляет
собой пластиковую карточку с указанием имени владельца, присвоенного ему кода,
личной подписи и срока действия карточки. Владелец карточки может совершать
покупки в пределах некоторой суммы, оговоренной при выдаче карточки, даже в том
случае, если в момент покупки она превышает остаток на его счете. В отличие от
кредитной дебетная карточка не позволяет оплачивать покупки при отсутствии
средств на счете покупателя. В России некоторые крупные отечественные банки уже
начали выпуск кредитных карточек.
Безналичные расчеты выполняются с помощью платежных поручений
(поручение хозяйствующего субъекта своему банку о перечислении указанной суммы
другому хозяйствующему субъекту), платежных требований (требование продавца к
покупателю оплатить поставленные ему по договору товары), аккредитивов
(поручение банку поставщика, сделанное покупателем через свой банк, об оплате
счетов поставщика немедленно по получении документов об отгрузке продукции),
расчетных чеков (документ, содержащий указание чекодателя банку о выплате
означенной суммы предъявителю чека).
Анализ и управление дебиторской задолженностью имеет особое
значение в периоды инфляции, когда подобная иммобилизация собственных оборотных
средств становится особенно невыгодной. Некоторые методы управления
задолженностью в инфляционной среде будут рассмотрены ниже.
Управление дебиторской задолженностью предполагает, прежде всего,
контроль за оборачиваемостью средств в расчетах. Ускорение оборачиваемости в
динамике рассматривается как положительная тенденция. Большое значение имеют
отбор потенциальных покупателей и определение условий оплаты товаров,
предусматриваемых в контрактах.
Отбор осуществляется с помощью неформальных критериев: соблюдение
платежной дисциплины в прошлом, прогнозные финансовые возможности покупателя по
оплате запрашиваемого им объема товаров, уровень текущей платежеспособности,
уровень финансовой устойчивости, экономические и финансовые условия
предприятия-продавца (затоваренность, степень нуждаемости в денежной наличности
и т. п.).
Оплата товаров постоянными клиентами обычно производится в кредит,
причем условия кредита зависят от множества факторов. В экономически развитых
странах широко распространенной является схема «2:10 полная ЗО», означающая,
что:
а) покупатель получает двухпроцентную скидку в случае
оплаты полученного товара в течение десяти дней с начала периода кредитования
(например, с момента получения товара);
б) покупатель оплачивает полную стоимость товара, если
оплата совершается в период с одиннадцатого по тридцатый день кредитного
периода;
в) в случае неуплаты в течение месяца покупатель будет вынужден
дополнительно оплатить штраф, величина которого может варьировать в
зависимости от момента оплаты [18, с.207].
Контроль за дебиторской задолженностью включает в себя
ранжирование дебиторской задолженности по срокам ее возникновения; наиболее
распространенная классификация предусматривает следующую группировку (дней):
0-30; 31-60; 61-90; 91-120; свыше 120. Возможны и иные группировки. Кроме того,
необходим контроль безнадежных долгов с целью образования необходимого резерва [28, с.56].
Анализ и контроль уровня дебиторской задолженности можно проводить
с помощью абсолютных и относительных показателей, рассматриваемых в динамике. В
частности, значительный интерес представляет контроль за своевременностью
погашения задолженности дебиторами. Для этого, в дополнение к
показателям наличия просроченной дебиторской задолженности, можно использовать
коэффициент погашаемости дебиторской задолженности, который рассчитывается как
отношение средней дебиторской задолженности по основной деятельности (расчеты с
дебиторами за товары, работы и услуги; расчеты по векселям полученным; авансы,
выданные поставщикам и подрядчикам) к выручке от реализации. Значение этого
показателя зависит от вида договоров, превалирующих на данном предприятии: так,
если основной типовой договор предусматривает оплату в течение двух недель с
момента отгрузки товара, то критическое значение коэффициента равно 1:26. Таким
образом, если расчетное значение коэффициента превосходит 1:26, можно сделать
вывод, что предприятие имеет проблемы со своими дебиторами.
Наиболее употребительными способами воздействия на дебиторов с
целью погашения задолженности являются направление писем, телефонные звонки,
персональные визиты, продажа задолженности специальным организациям.
3.5
Оптимизация дебиторской и кредиторской задолженности
Основными характеристиками дебиторской задолженности является
величина дебиторской задолженности и среднее время оборота дебиторской
задолженности.
У Ишеевского МУЭС есть один клиент (дебитор), берущий товар в
кредит на сумму на 1 тыс. руб. на срок 5 дней. По истечении этого срока клиент
оплачивает товар и тут же берет новую партию на ту же сумму и на тот же срок.
При этом выручка от реализации за 20 дней составит 4 тыс. руб. Если же клиент
будет брать партию товара на ту же сумму, но на срок 10 дней, то при той же
дебиторской задолженности (1 тыс. руб.) выручка от реализации за 20 дней
составит уже 2 тыс. руб.
Прибыль без учета прибыли, приносимой непосредственно
клиентами-дебиторами равна 5 тыс. руб. и общий размер дебиторской задолженности
100 тыс.руб.
Значит: I=5 тыс. руб.; D=100 тыс. руб.;
Т=22 дня - число рабочих дней в месяце;
TD=15 дней - реальное время обращения дебиторской
задолженности. Если товарный кредит выдается на 10 рабочих дней, то за счет
недобросовестных дебиторов это время может значительно увеличиться;
tНДС=0,1667 - ставка НДС -18%;
tI=0,4 - ставка налога на прибыль - 24%;
k0=0,5 - цены приобретения и продажи товаров различаются в среднем в
2 раза;
С=200 тыс. руб. - капитал, вкладываемый в данный бизнес, за
минусом дебиторской задолженности. По сути, это все строки актива баланса, так
или иначе обеспечивающие вместе с данной дебиторской задолженностью прибыль I;
Подставим значения в выражение:
к = (1 - ts - k0) х (1 - tНДС) (1- tI) - ks (3.5)
получим k=0.175.
Далее подставим значения в выражение:
t0=tS+tНДС х(l-ts-ko)+ tI(l-tS-k0)(l-tНДС) (3.6)
получим tI=0.275.
И еще подставим в выражение:
kD=k0+t0 (3.7)
получим kD=0.775.
Воспользуемся
теперь выражением
Получим
Таким образом, неравенство 3.8 явно выполняется.
Это вполне объяснимо, поскольку прибыль обеспечивается в основном за счет
дебиторов. Это означает, что если не изменять реальное время обращения
дебиторской задолженности, то вложение капитала в дебиторскую задолженность
увеличит рентабельность. Однако увеличение дебиторской задолженности приведет к
увеличению оборота, что в конечном итоге увеличит условно-постоянные расходы
(найм новых сотрудников, увеличение арендной платы и т.п.). Это скачком
уменьшит прибыль и рентабельность. Поэтому, при изменении условно-постоянных
расходов, связанных с увеличением (уменьшением) оборота, необходимо проверять
рентабельность.
3.6 Расширенная факторная модель рентабельности дебиторской
задолженности
Умножив и разделив дробь
на величину активов (Ак) и выручки от реализации (N), получим:
- рентабельность
продукции предприятия (Rnp);
- коэффициент
оборачиваемости активов (Кaоб);
обратный показатель доли
дебиторской задолженности в общем размере активов (1/ДДЗ).
После преобразований получаем новую формулу рентабельности
дебиторской задолженности предприятия:
RМПЗ = Rnp х Кaоб х 1 : Ддз.
Итак, рассчитаем фактические значения рентабельности запасов по
годам по общей формуле:
RФMПЗ 2004 = 39442 : 22576 = 1,747;
RФMПЗ 2005 =5000 : 28300 = 0,177.
Необходимые данные для составления расширенной факторной модели
рентабельности запасов внесем в таблицу 3.6.
Таблица 3.6 - Исходные
данные для построения модели Ишеевского МУЭС
|
Показатель
|
Обозначение
|
Период
|
|
|
|
2004 г.
|
2005 г.
|
|
Фактическая рентабельность запасов
|
RФДЗ
|
1,747
|
0,177
|
|
Рентабельность продукции, %
|
R
|
5,211
|
2,397
|
|
Оборачиваемость активов
|
Кaоб
|
1,589
|
3,247
|
|
Обратный показатель доли дебиторской задолженности в активах
|
1 : ДДЗ
|
0,211
|
0,031
|
|
|
|
|
|
Исходя из данных таблицы 3.6 можно рассчитать размер
рентабельности запасов при построении расширенной факторной модели:
RMMПЗ 2004 =5,211 х 1,589 х 0,211 =
1,747;
RMMПЗ 2005 = 2,397 х 3,247 х 0,061
= 0,215.
Далее сравним полученные данные по рентабельности запасов,
полученные при построении расширенной факторной модели с фактическими данными:
RФMПЗ 2004 = 1,747 » RMMПЗ 2003 = 1,747;
RФMПЗ 2005 = 0,177 » RMMПЗ 2004 =0,215;
Наблюдается незначительная погрешность, но в целом построение
расширенной факторной модели было оправдано. В ходе построения данной модели рентабельности
дебиторской задолженности Ишеевского МУЭС, было выявлено прямое влияние от рентабельности
продаж и оборачиваемости (производительности) активов. Отсюда следует, что
значительная доля прибыли в объеме продаж не всегда обеспечивает высокую
рентабельность запасов. Это становиться возможным лишь при росте
оборачиваемости активов, то есть при более эффективном их использовании.
Глава 4 Выводы и рекомендации по
совершенствованию управления дебиторской и кредиторской задолженностями и
улучшению финансового состояния Ишеевского МУЭС Ульяновского филиала ОАО
«ВолгаТелеком»
В современных условиях для большинства
организаций характерно принятие управленческих решений как реакция на текущие
проблемы. Такая форма управления порождает ряд противоречий между, интересами
организации и фискальными интересами государства; ценой денег и рентабельностью
производства; рентабельностью собственного производства и рентабельностью
финансовых рынков; интересами производства и финансовой службы. Одной из задач
реформирования организаций является переход к управлению финансовой
деятельностью на основе анализе ее финансового состояния с учетом
стратегических целей деятельности адекватных рыночным условиям и поиск путей их
достижения. В основе решения данной задачи лежит анализ финансовой отчетности
организации.
Целью финансовой отчетности в соответствии с международными
стандартами финансовой отчетности (МСФО) является представление широкому кругу
пользователей информации о финансовом положении, результатах деятельности,
изменении финансового положения организации.
В результате анализа финансового состояния Ишеевского МУЭС было
выявлено увеличение внеоборотных активов это произошло из-за увеличения
основных средств. Это является положительным показателем. Устаревшее
оборудование подвергается обновлению. Важнейшим фактором повышения
эффективности общественного производства, обеспечения высокой его эффективности
был и остается научно-технический прогресс (НТП). Преимущество отдавалось
совершенствованию действующих технологий, частичной модернизации машин и
оборудования. В современных условиях нужны революционные, качественные
изменения, переход к принципиально новым технологиям, к использованию технике
последующих поколений, необходимо коренное перевооружение.
Чрезвычайно важную роль играет также автоматизация производства,
обеспечивающие производительность труда, создание и использование новых видов
металлопродукции, пластических масс, композитов, металлических порошков,
керамики и других прогрессивных конструкционных материалов.
Анализ финансовых коэффициентов показал нормальное состояние
финансовой устойчивости предприятия за период с 2004 по 2005г. Снизился, хотя и
незначительно, коэффициент автономии, что свидетельствует о снижении финансовой
независимости предприятия, повышение риска финансовых затруднений в будущем.
Для улучшения ситуации предлагаются следующие способы:
- привлечение к деятельности организации компетентных партнеров,
компаньонов и консультантов;
- глубокая проработка текущих проблем;
- прогнозирование тенденций развития рыночной конъюнктуры, спроса
на данную продукцию или услуги;
- распределение риска между участниками организации,
его соисполнителями;
- резервирование средств на покрытие непредвиденных расходов.
Организация может предупредить или существенно сократить риск
посредством лизинга, заключения договоров продажи товаров, по оказанию услуг,
на перевозку и хранение продукции. В условиях лизинга существенная часть риска
порчи имущества или его гибели может быть возложена на арендатора путем особых
оговорок в договоре лизинга (финансовой аренды). При заключении договоров продажи
товаров или оказания услуг преимущество переходит к покупателю или посреднику в
покупке, которые предусматривают в договорах ответственность производителя за
устранение дефектов в ходе эксплуатации продукции или замену
недоброкачественного товара. Таким образом, риск возлагается на производителя.
Финансовая устойчивость предприятия напрямую зависит от
платежеспособности и ликвидности. Коэффициенты текущей и общей ликвидности
соответствуют за 2004 и 2005 года нормативам предприятие абсолютно устойчиво, так
и коэффициенты текущей и общей ликвидности превысили нормативы, что и указывает
на прямую связь финансовой устойчивости предприятия с его показателями
ликвидности.
Выводы по анализу отчета о прибылях и убытках: улучшение
показателей рентабельности свидетельствует о повышении эффективности
производства, продукции и предприятия в целом, что говорит об увеличении не
только финансовых показателей деятельности (чистая прибыль, выручка), но и о
расходах производственных ресурсов предприятия.
Для улучшения состояния анализируемого предприятия необходимо:
- глубокая проработка текущих проблем;
- прогнозирование тенденций развития рыночной конъюнктуры, спроса
на данную продукцию или услуги;
- повысить источники формирования собственных оборотных средств за
счет привлечения долгосрочных заемных средств;
- держать уровень запасов сырья и материалов, для того,
что бы произошло снижение объемов выпускаемой продукции;
- снизить дебиторскую задолженность, особенно ту, по которой
истекает срок платежа;
- возможно увеличение цены на продукцию предприятия;
- уменьшение себестоимости предоставляемых услуг;
- уменьшение кредиторской задолженности за счёт накопленных ранее
денежных средств, в частности резервного капитала.
В период с 2004 по 2005 год характеризовался тем, что темп роста
кредиторской задолженности превышал темп роста дебиторской задолженности, что
является отрицательным фактором финансового состояния.
В ходе анализа оборачиваемости дебиторской и кредиторской
задолженностей было выявлено, что к концу рассматриваемого периода кредиторская
задолженность не нуждается в дополнительных средствах покрытия, кроме прибыли.
Коэффициент оборачиваемости дебиторской задолженности период в с 2004 по 2005
год превышает оборачиваемость кредиторской задолженности, что сказывается на
повышении финансового риска по возврату кредитов.
Для эффективного управления задолженностями необходима
аналитическая система на основе хранилища данных, структура которого изначально
проектировалась под решение небольшой задачи, которая позволила бы в любой
момент времени получать актуальную информацию по:
- задолженности на произвольный период времени по филиалам и
контрагентам;
- предстоящим поступлениям/списаниям средств;
- динамике задолженности по филиалам и контрагентам в течение
любого периода времени;
- срокам задолженности;
- группе компаний.
Консолидация данных в едином хранилище позволит контролировать
процесс взаиморасчетов между контрагентами и оптимизировать финансовые потоки в
перспективе краткосрочного планирования.
Решение задачи анализа дебиторской и кредиторской задолженности
позволило получать более достоверную картину финансового состояния группы
компании и повысить оперативность решения вопросов финансового управления.
В связи с низким уровнем оборачиваемости дебиторской и
кредиторской задолженности необходимо использовать следующие пути ускорения:
- увеличение объемов хозяйственной деятельности;
- снижение объемов дебиторской и кредиторской задолженности;
- снижение издержек производства;
- ускорение технологического процесса;
- снижение объемов незавершенного производства;
- улучшение планирования расчетов и инкассации задолженностей.
Заключение
Управление дебиторской и кредиторской
задолженностью, сходно в необходимости классификации по срокам их погашения.
Это делается для глубокого анализа задолженностей с помощью «Баланса
задолженностей», который учитывает их сроки покрытия. Одним из наиболее
оптимальных показателей здорового состояния организации можно назвать ситуацию,
когда кредиторская задолженность превышает дебиторскую в отношении как можно
более дискретного ряда значений (сроков): годовая кредиторская задолженность
должна быть не больше годовой дебиторской, месячная и 5-ти дневная кредиторская
не более месячной и 5-ти дневной дебиторской соответственно и т. д. При этом
желательный уровень соотношения во многом зависит от той стратегии, которая
принята на предприятии (агрессивная, консервативная или умеренная).
Обобщая вышеизложенное в дипломной работе исследование, можно
сделать следующие выводы:
1. Одной из задач Ишеевского МУЭС по управлению дебиторской и
кредиторской задолженностью являются определение степени риска
неплатежеспособности покупателей, расчет прогнозного значения резерва по
сомнительным долгам, а также предоставление рекомендаций по работе с фактически
или потенциально неплатежеспособными покупателями.
2. Увеличение дебиторской задолженности инициирует дополнительные
издержки предприятия на: увеличение объема работы с дебиторами (связь,
командировки и пр.); увеличение периода оборота дебиторской задолженности
(увеличение периода инкассации); увеличение потерь от безнадежной дебиторской
задолженности.
3. Дебиторская задолженность - элемент оборотных средств, ее
уменьшение снижает коэффициент покрытия. Поэтому финансовые менеджеры решают не
только задачу снижения дебиторской задолженности, но и ее балансирования с
кредиторской. При анализе соотношения между дебиторской и кредиторской
задолженностями необходим анализ условий коммерческого кредита,
предоставляемого фирме поставщиками сырья и материалов.
4. С целью максимизации притока денежных средств предприятию
следует разрабатывать широкое разнообразие моделей договоров с гибкими
условиями формы оплаты и гибким ценообразованием. Возможны различные варианты:
от предоплаты или частичной предоплаты до передачи на
реализацию и банковской гарантии.
5. Система скидок способствует защите Ишеевского МУЭС от
инфляционных убытков и относительно дешевому пополнению оборотного
капитала в денежной или натуральной форме. Для того чтобы определить, следует
ли покупателю предоставлять скидку за авансовые выплаты остатков на счетах,
финансовому менеджеру следует сравнить доход от денежных средств,
получаемых в результате ускоренных платежей, с суммой скидки.
Список использованных
источников
1. Конституция Российской Федерации - М.: ПРОСПЕКТ, 2001. - 48 с.
2.
Гражданский кодекс Российской федерации части первая и вторая. – СПб.: 2002. - 584
с.
3.
Налоговый кодекс РФ (в 2-х частях). - М.: Книга-сервис, 2002. - 384 с.
4.
Федеральный Закон Российской Федерации «О бухгалтерском учете» от 21 июня 1996 г. № 129-ФЗ.
5. Абрютина
М.С. Экономический анализ торговой деятельности: Учебное пособие. - М.: Дело и
Сервис, 2000. – 512 с.
6. Абрютина
М.С, Грачев А.В. Анализ финансово-экономической деятельности предприятия:
Учеб.-практ. пособие. - М.: Дело и сервис, 2002.-256с.
7.
Балабанов И.Т. Основы финансового менеджмента. Как управлять капиталом? - М.:
Финансы и статистика, 2001.- 426 с.
8. Березин
П.Л. Кредиторская задолженность: бухгалтерский учет и вопросы налогооблажения //
Консультант бухгалтера. - 2003.- № 10.- С.30-37.
9. Борман Д.Н.,
Воротина Л.И., Федерманн Р. Менеджмент. Предпринима-тельская деятельность в
рыночной экономике. – М.: Норма, 2001.- 452 с.
10. Войко
А.В. Оценка влияния дебиторской задолженности на формирование финансовых
предприятия // Финансовый менеджмент. - 2004.-№4.- С.37-42.
11.
Грузинов В.П., Грибов В.Д. Экономика предприятия: Учеб. пособие. - М.: Финансы
и статистика, 1999.- 258 с.
12.
Гуленина И.В. Как списать дебиторскую задолженность // Главбух.- 2001.-№21.-С.53-63.
13. Ефимова
О.В. Финансовый анализ. - 2-е изд., перераб. и доп. - М.: Бухгалтерский учет,
2003. – 320 с.
14. Ковалев
В.В. Финансовый анализ: управление капиталом, выбор инвестиций, анализ
отчетности: - 2-ое изд. перераб. и доп. - М.: Финансы и статистика, 2003.- 320
с.
15. Ковалев
А.И., Привалов В.П. Анализ хозяйственного состояния предприя-тия. - изд. 3-е
исправ., доп. - М.: Центр экономики и маркетинга, 2000. - 423 с.
16.
Кондраков Н.П. Бухгалтерский учет: Учебное пособие. - М.: ИНФРА-М, 2003. – 640 с.
17.
Крейнина Н.Н. Финансовое состояние предприятия: Методы оценки. - М.: Финансы и
статистика, 1998. – 448 с.
18.
Лениценко Г.Л. Отражение дебиторской задолженности в финансовой отчетности //
Аудиторские ведомости. - 2002. - № 11.- С.44-50.
19.
Маркорьян Э.А., Герасименко Г.П. Финансовый анализ. - М.: ПРИОР, 2000. – 175 с.
20.
Новикова М.В. Финансовая отчетность в условиях гиперинфляции - М.: ИНФРА, 2000. – 360 с.
21. Окулов
О.В. Управление дебиторской задолженностью предприятия // Банковские услуги. -2002.
- №3. - С.31-35.
22. Пятов
М.Л. Относительность оценки показателей бухгалтерской отчетности. - М.: ИНФРА,
2000. – 248 с.
23. Пятов
М.Я. Учет реализации дебиторской задолженности // Бухгалтерский учет.- 2001. - №3.
- С.32-35.
24.
Савицкая Г.В. Анализ хозяйственной деятельности предприятия.- 3-е изд. перераб.
и доп. - Минск: ИСЗ, 1998. – 245 с.
25.
Стоянова Е.С. Финансовый менеджмент: теория и практика. - 5-е изд., перераб. и
доп. - М.: Перспектива, 2000. – 215 с.
26.
Савушкин М. Анализ финансового состояния фирмы - один из этапов маркетинговой
стратегии // Маркетинг. - 2000.- № 1.- С.54-56.
27.
Сафронов Н.А. Экономика предприятия. – М.: Юрист, 2000. – 356 с.
28.
Соснаускене О.И. Оптимизация прибыли. – М.: Экзамен, 2006. – 221 с.
29.
Управление финансами предприятия: Справочно-практическое пособие / Т.И.
Вокулова, И.Н. Жук, Е.Ф. Киреева и др. - Минск: Книжный Дом, Мисанта, 2005. –
224 с.
30. Савчук
В.П. Управление финансами предприятия. - М.: Лаборатория знаний, 2005. - 480 с.