Роль логистики в повышении качества услуг АТП

  • Вид работы:
    Другое
  • Предмет:
    Другое
  • Язык:
    Русский
    ,
    Формат файла:
    MS Word
    66,80 kb
  • Опубликовано:
    2012-03-30
Вы можете узнать стоимость помощи в написании студенческой работы.
Помощь в написании работы, которую точно примут!

Роль логистики в повышении качества услуг АТП

Содержание

Введение. 2

1. Качество транспортного обслуживания. 3

1. 1. Определение и задачи транспортного обслуживания. 3

1. 2. Требования к качеству транспортных услуг. 5

2. Оценка уровня качества транспортного обслуживания. 12

2. 1. Информационное обеспечение повышения качества транспортных услуг  12

2. 2. Параметры оценки качества системы транспортного обслуживания  15

Заключение 27

Список используемой литературы. 28

Введение

Реализация каналов снабжения сырьем, полуфабрикатами и рас­пределения готовой продукции в рамках логистической системы требует решения комплекса транспортных проблем. Предприятию, фирме, концерну при реализации каналов распределения готовой продукции приходится решать вопросы, связанные с доставкой, т.е. выбирать вид транспорта, методы организации перевозок, тип транспортных средств и т.д. — иными словами решать вопросы транспортного обслуживания. В настоящее время все большее значение начинают приобретать вопросы повышения уровня транспортного обслуживания клиентов, которые в рыночных условиях хозяйствования тесно связаны с про­блемой сервиса и качества предоставляемых услуг. Качество бизнеса – важный вопрос, оптимальная организация бизнеса способствует качеству конечной продукции – в этом и заключается современный подход к управлению качеством.

Целью работы является определение роли логистики в повышении качества услуг автотранспортного предприятия.

Объект исследования – автотранспортное предприятие. Предмет исследования – услуги, предоставляемые автотранспортным предприятием.

Задачи, решаемые в ходе работы:

- дать определение и задачи транспортного обслуживания;

- рассмотреть требования к качеству транспортных услуг;

-проанализировать информационное обеспечение повышения качества транспортных услуг;

-рассмотреть параметры оценки качества системы транспортного обслуживания.

Для написания работы использовались монографии, учебная и специальная литература по логистике и управлению автотранспортом.

1. Качество транспортного обслуживания

1. 1. Определение и задачи транспортного обслуживания

Реализация каналов снабжения сырьем, полуфабрикатами и рас­пределения готовой продукции в рамках логистической системы требует решения комплекса транспортных проблем. Предприятию, фирме, концерну при реализации каналов распределения готовой продукции приходится решать вопросы, связанные с доставкой, т.е. выбирать вид транспорта, методы организации перевозок, тип транспортных средств и т.д. — иными словами решать вопросы транспортного обслуживания.

Транспортное обслуживание можно определить как деятель­ность, связанную с процессом перемещения грузов и пассажиров в пространстве и во времени и предоставлением сопутствующих этой деятельности транспортных услуг[1].

Транспортное обслуживание клиентов на перевозку грузов вклю­чает: выбор соответствующей упаковки согласно физическим свойствам товара (груза);  нанесение на упаковку маркировки, штрих - кодов и спецобоз­начений;  использование унифицированной транспортной тары, фор­мирование грузовых единиц, пакетирование и контейнеризация; выбор оптимального (рационального, приемлемого) вида пе­ревозки и транспортных средств; наиболее полное использование грузоподъемности транс­портных средств посредством правильной загрузки; соблюдение технологий при ведении погрузочно - разгрузочных работ;  использование современных технологий и подходов к орга­низации размещения, учета товаров и запасов на складах и терминалах; применение современных информационных технологий и компьютерной поддержки.

Специфические задачи стоят и перед системой организации пе­ревозок пассажиров.

По данным зарубежной печати стоимость транспортных расхо­дов в процессе производства и реализации продукции доходит до одной трети цены конечного продукта. Вот почему рационализация, а лучше оптимизация транспортных, погрузочно-разгрузочных, тарно-упаковочных, экспедиционных и складских операций является важным резервом снижения издержек и экономии ресурсов. До не­давнего времени повышению эффективности доставки продукции уделялось недостаточное внимание, как и всей сфере обращения.

Изучение спроса на транспортные услуги свидетельствует, что одним из главных требований клиентов к работе транспорта являет­ся своевременность отправки и доставки грузов[2]. Связано это со стремлением большинства грузовладельцев к сокращению запасов как в сфере производства, так и в сфере обращения, поскольку их затраты на содержание запасов составляют по ряду отраслей 20% и более от стоимости выпускаемой продукции. Отсутствие гарантии своевременной доставки или отправки требуемого груза, возмож­ность отказа или неоднократного откладывания заявки на перевозку были характерными особенностями сложившейся у нас в стране си­стемы работы транспорта.

В целом доставка продукции распадается на ряд последователь­ных конкретных отдельных этапов, зачастую не связанных между собой и выполняемых разными подразделениями. Поэтому оптими­зация такой пространственно-временной системы представляет со­бой достаточно сложную задачу.

Транспортное обслуживание и его характер во многом определя­ет спрос на перевозки. К параметрам, характеризующим спрос, можно отнести: род груза (вид поездки) и объем перевозок; размеры обслуживаемой территории; регулярность грузопотоков (пассажи­ропотоков); срочность и время доставки; уровень тарифов; необхо­димость хранения товаров (технологического простоя-пересадки) в цикле доставки; юридическое положение отправителя или получателя (предприятие или частное лицо).

Спрос носит локальный характер и на его количественные и качественные характеристики влияет покупательная способность, существующая в данном конкретном месте, так как в зависимости от нее изменяется спрос. Что касается предложения, то оно прак­тически всегда рассредоточено, а следовательно, в количествен­ном и качественном отношении меняется в зависимости от нали­чия или отсутствия возможностей для получения прибылей (или удовлетворение потребностей) на местном рынке.

Зарубежный опыт свидетельствует об актуальности повышенно­го внимания к проблемам транспортного обслуживания. Так, в странах с развитой рыночной экономикой имеют место следующие тенденции развития транспортного обслуживания: увеличение объ­ема перевозок грузов повышенной стоимости с одновременным со­кращением малоценных грузов (или неэкстренных перемещений пассажиров); увеличение средних расстояний доставки и рост доли международных перевозок; повышение ответственности за качество и сроки перевозки по всей транспортной цепи; рост объема перево­зок между предприятиями при сокращении объемов перевозок в са­мих предприятиях; уменьшение объемов массовых навалочных гру­зов и увеличение объемов штучных грузов в контейнерах и на поддонах; повышение коэффициента грузоподъемности (пассажировместимости) подвижного состава; увеличение объема перевозок грузов (пассажиров) в специализированном подвижном составе; преобладание логистических подходов при организации перевозок и управлении транспортным процессом.

1. 2. Требования к качеству транспортных услуг

В настоящее время все большее значение начинают приобретать вопросы повышения уровня транспортного обслуживания клиентов, которые в рыночных условиях хозяйствования тесно связаны с про­блемой сервиса и качества предоставляемых услуг. Под качеством понимают совокупность свойств и характеристик услуги, которые придают ей способность удовлетворять потребности клиентов. Если компания обязуется доставить груз по назначению и в оговоренные контрактом сроки в условиях сохранности, то в будущем клиент ожидает, что перевозчик сократит время простоя, снизит плату за хранение, расширит сеть доставки и т.д., т.е. повысит качество пре­доставляемых услуг.

Ошибочным является суждение о том, что предоставление качественных услуг весьма дорогое удовольствие[3]. Наоборот, невыпол­нение условий принятого соглашения влечет за собой дополнитель­ные расходы материальных и трудовых ресурсов, направленных на устранение ошибок. Так, систематические срывы графика перевозок приводят, в конечном счете, к потере клиентов, репутации и места на рынке транспортных услуг.

Идентификация потребности в транспортном обслуживании базируется на принципе сегментации услуг, т.е. группировки потреби­телей в соответствии с тем или иным критерием обслуживания. Сам процесс сегментации услуг включает следующие три стадии:

1) определение ключевых компонентов обслуживания на основе мнений самих потребителей;

2) установление относительной важности этих компонентов для потребителей;

3) группировка потребителей по отношению к предпочтениям тех или иных компонентов обслуживания.

Для сбора информации используются принципы социологии (опросы), а для ее обработки и последующей группировки потреби­телей — соответствующие статистические методы. На рынке дви­жения товаров и их доставки потребителям можно выделить два сегмента обслуживания, т.е. две группы покупателей. Первая сосре­доточивает свое внимание на поставке товаров (сроках и интенсив­ности, полноте заказа); вторая — отдает предпочтение связям с по­ставщиками, качеству коммуникаций и легкости заказа.

К ключевым параметрам качества транспортного обслужива­ния потребителей относятся: время от получения заказа на перевозку до доставки;  надежность и возможность доставки по требованию; наличие запасов, стабильность снабжения; полнота и степень доступности выполнения заказа;  удобства размещения и подтверждения заказа;   объективность тарифов и регулярность информации о затра­тах на обслуживание;  возможность предоставления кредитов; эффективность переработки грузов на складах;  качество упаковки, а также возможность выполнения пакет­ных и контейнерных перевозок.

Своя специфика имеется и в отношении качества обслуживания пассажиров.

Массовые опросы клиентуры, согласно данным западных специалистов, дают следующую картину ранжирования показателей качества обслуживания:100 пунктами оценена надежность поставки; 60 — удобство анализа, стабильность получения информации, высокий уровень выполнения принятых гарантий; 50 — наличие контактов в процессе обслуживания; 10 — возможность предоставления кредита и т.д.

Четкость обслуживания потребителей услуг характеризуется продолжительностью цикла обслуживания, который измеряется временем от получения заказа до его выполнения.

Практика свидетельствует о том, что в 80% случаев проблемы качества транспортного обслуживания связаны с потерей управле­ния компанией. Как же обеспечить качество? Ответом на этот во­прос может быть модель системы качества, включенная в общую систему управления. Стандарт ISO 9000:2000 определяет систему качества как «совокупность организационной структуры, процедур, процессов и ресурсов, необходимых для осуществления админист­ративного управления качеством».

Система качества считается хорошо организованной и функционирующей, если: система воспринимается и понимается персоналом, правиль­но применяется, имеет необходимые ресурсы и является эф­фективной; предоставляемые услуги (выпускаемая продукция) действи­тельно удовлетворяют запросы и ожидания клиента; учитываются влияние на окружающую среду и потребности общества; основное внимание уделяется предотвращению негативных ситуаций, а не их ликвидации после возникновения.

Такая система кроме решения вопросов обеспечения качества обслуживания повышает дисциплину, уменьшает непроизводи­тельный труд, облегчает работу с клиентами. Реализация системы качества должна определяться задачами, продукцией, процессами и индивидуальными особенностями конкретной компании или ор­ганизации, а также отвечать требованиям постоянного улучшения качества в соответствии с предполагаемыми потребностями кли­ента.

Следование стандарту ISO 9000:2000 при разработке и внедре­нии системы качества является добровольным стремлением руко­водства компании или организации. Именно руководство несет пол­ную ответственность перед клиентом за соответствие стандарту и определяет целесообразность сертификации деятельности, которая устраняет необходимость ряда дополнительных проверок по требо­ванию клиентов. Если сертификат выдан признанным (в регионе, стране, мире) сертификационным органом, то потребитель услуг получает максимальную гарантию того, что его запросы будут удовлетворены[4].

Многие российские компании и предприятия столкнулись, в силу внутренней обстановки в стране на сегодняшний момент, с кризисом доверия со стороны зарубежных партнеров. Причем страдают и те компании, которые могут успешно работать. В этих условиях система качества, выстроенная в соответствии со стандартом ISO 9000:2000 и сертифицированная признанным в мире сертификационным органом, приобретает особое значение. Наличие такой системы декларирует способность руководства управлять компанией, свидетельствует о существовании у нее стратегических планов и о том, что контакты с ней менее риско­ванны.

Изучение психологии потребителей, в том числе транспорт­ных услуг, в зарубежных странах показало, что в зависимости от интересов и склонностей потребителей можно разделить на три группы:

*  первые предпочитают высокое качество обслуживания;

*  вторые ориентируются на высокую скорость, эффективность и минимум риска;

* третьи делегируют обслуживание процессов транспортиров­ки, сбыта и продажи продукции посредникам.

Одним из важных вопросов логистического обслуживания явля­ется цена, как ожидаемая компенсация за общий пакет услуг, кото­рую фирма предлагает потребителю. Определить цену на логисти­ческие услуги гораздо труднее, чем цену на саму транспортировку, так как во многом цена логистических услуг зависит от восприятия клиентом всей системы обслуживания. Выбор оптимального уровня обслуживания клиентуры определяется динамикой величины затрат. Выявлено, что, начиная с 70% и выше затраты на обслуживание растут экспоненциально в зависимости от уровня обслуживания, а при уровне обслуживания 90% и выше сервис становится невыгод­ным. Специалисты подсчитали, что при повышении уровня обслу­живания от 95 до 97% экономический эффект повышается на 2%, а расходы возрастают на 14%.

Для выявления рационального уровня обслуживания производят сопоставление расходов, доходов и прибыли, реализуя принцип компромиссного решения, при котором фирмы достигают наилуч­шего соотношения между ценами и уровнем обслуживания, между расходами и доходами. Фактически процедура сводится к сопостав­лению затрат, связанных с увеличением уровня обслуживания, с по­терями доходов, которые растут при уменьшении числа и качества услуг. В результате сопоставления находят некоторый оптимум уровня обслуживания (см. рис. 1.1).

Рис. 1.1. Выявление рационального уровня обслуживания.

С увеличением уровня обслуживания растут расходы по нему (кривая 2), но уменьшаются потери доходов от снижения уровня обслуживания (кривая 3). Пунктирная кривая (1) получается суммированием координат двух названных составляющих. В свя­зи со значительными трудностями поиска и практической реали­зации оптимального уровня обслуживания (минимум ординаты пунктирной кривой 1) предприятия, предоставляющие услуги, и их клиентура ориентируются на «достаточно хорошее решение» — рациональное, приемлемое соотношение расходов и доходов.

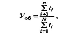
Сервис оценивают показателем «уровень обслуживания» Уоб, ко­торый определяется выражением:

(2. 1.)

где    n — фактическое количество оказанных услуг;

         N — количество услуг, которое теоретически может быть

оказано;

         ti — время на выполнение i-ой услуги.

Работа транспорта должна основываться на запросах потребите­ля. Клиента привлекают минимальные сроки доставки, 100%-я со­хранность груза при перевозке, удобства по приему и сдаче грузов, возможность получения достоверной информации о тарифах, усло­виях перевозки и местонахождении груза. Только при этих условиях клиент готов нести соответствующие затраты.

Когда рассматриваются вопросы качества транспортных услуг и транспортного обслуживания, необходимо помнить и учитывать следующие особенности[5]:

•  выбор совокупности услуг требует рассмотрения всех воз­можных вариантов уровней транспортного обслуживания;

•  потребностей у клиента может быть несколько, что влечет за собой соответствие свойств и характеристик услуг одновре­менно нескольким и зачастую противоречащим друг другу требованиям;

• при заключении договора запросы и потребности клиентов четко оговариваются и фиксируются;

• во многих случаях потребности клиента со временем меня­ются, что обусловливает необходимость периодического про­ведения маркетинговых исследований. Каждый вид услуги транспорта требует серьезного изучения и анализа;

• потребности и запросы клиентов обычно выражаются в опре­деленных свойствах с количественной их характеристикой и включают такие аспекты, как безопасность, функциональная пригодность, эксплуатационная готовность, надежность, эко­номические факторы, экологичность и т.д.;

• для количественной оценки качества используются такие вы­ражения как: «относительное качество», «уровень качества», «мера качества».

Для улучшения транспортного обслуживания информация о ка­честве транспортных услуг, полученная на основании накопленного опыта и пожеланий клиентов, должна тщательно изучаться и анали­зироваться.

2. Оценка уровня качества транспортного обслуживания

2. 1. Информационное обеспечение повышения качества транспортных услуг

Необходимо отметить, что качество транспортного обслужива­ния характеризуется не только экономичностью доставки. Эффек­тивность функционирования потребителей транспортных услуг за­висит как от величины тарифа на доставку, так от таких аспектов качества доставки, как своевременность, сохранность и др. На прак­тике при выборе варианта доставки грузоотправители и грузополучатели часто учитывают лишь основную часть расходов, связанных с доставкой, — транспортные издержки. Остальные расходы, обус­ловленные недостаточным уровнем качества доставки, учитываются обычно как издержки основного производства. Таким образом, фак­тическое влияние транспорта на эффективность основного произ­водства значительно больше, чем это следует из суммы транспортных издержек.

Для того чтобы выбрать систему доставки грузов, обеспечива­ющую высокий уровень предоставленного обслуживания, нужно выявить: какие именно требования у клиента, предъявляемые к сис­теме доставки, и с помощью каких параметров потребитель оцени­вает степень удовлетворения этих требований? Несомненно, со вре­менем меняются требования потребителей, соответственно меняется и требуемая степень их удовлетворения. Однако для обеспечения полноты решения задачи выбора необходимо выявить все возмож­ные требования потребителей.

Для этого необходимо постоянное отслеживание изменений в требованиях потребителей и использование таких методов, как анкетирование, структурированные интервью, фокусирование на от­дельных группах и т.д. Кроме непрерывного изучения запросов по­требителей необходим и мониторинг изменяющихся рыночных факторов.

На рис. 2. 1.  показана схема потоков необходимой информации и методов ее получения при определении требований потребителей к уровню качества транспортного обслуживания. Как видно из схемы, существуют два основных потока информации[6]:

1) внутренняя информация, базой которой является статистика различных функциональных подразделений транспортного предприя­тия (отдел маркетинга, отдел логистики, финансовый отдел и т.п.);

2) внешняя информация, формируемая источниками транспорт­ного обслуживания (фирмы, использующие транспортные услуги, выступающие как клиенты, и предприятия, оказывающие транс­портные услуги, т.е. конкуренты) и нетранспортными источниками (научно-исследовательские организации, маркетинговые организа­ции, государственные органы и т.д.).

Необходимо заметить, что требования потребителей к транспортному обслуживанию формируются не только в зависимости от динамики развития бизнеса самых потребителей, транспорта, но и от развития сопряженных областей (экология, связь, информатика, строительство путей сообщения и автодорог, автомобилестроение, транспортное машиностроение и т.д.).  Примером может служить проявляющаяся в последнее время тенденция ужесточения требований к информационным услугам, связанная с совершенствованием систем связи и вычислительной техники (спутниковая навигация, мобильная связь, Интернет).           

Рис. 2.1. Схема определения требований к уровню качества транспортного обслуживания.

Государственное регулирование значительно влияет на процесс формирования требований к транспортному обслуживанию. Оно отражается через налоговую систему, систему лицензирования, экологические ограничения, социальную политику и т.д. В одних случаях государственное регулирование может ужесточить суще­ствующие требования, а в других случаях — открыть новые воз­можности перед транспортными предприятиями.

2. 2. Параметры оценки качества системы транспортного обслуживания

На основе анализа специальной литературы и результатов проведенных исследований предлагается следующий набор параметров, определяющих качество доставки грузов (рис. 2. 2.)[7].

Рассмотрим суть некоторых параметров, представленных на рис. 2.2.

1) Цена. Фактор цены или затрат на транспортное обслуживание является значимым для большинства потребителей, так как напря­мую определяет величину прибыли. Расходы на доставку грузов составляют для большинства предприятий основную часть себес­тоимости грузов. Уменьшение величины затрат на доставку за счет рационального выбора варианта доставки может дать потребите­лям существенную экономию. В этой связи варианты доставки грузов отбираются, прежде всего, по ценовому критерию. При этом часто предпочтение отдается варианту с минимальной ценой или варианту с ценой, величина которой лежит в допустимых пределах.

Цены на услуги доставки грузов часто устанавливаются на основе как затрат, необходимых для выполнения транспортных операций, так и ценовой политики. Вопросы определения затрат на доставку грузов различными видами транспорта подробно рассмотрены в спе­циальной литературе. Затраты на выполнение доставки могут быть определены такими способами, как прогнозирование по аналогии и постатейная калькуляция всех затрат.

Прогнозирование по аналогии или по ретроспективным данным применяется, если подобная доставка уже осуществлена (аналогич­ные виды услуг, количество, место и т.д.). Это простой способ, не требующий детального анализа составляющих стоимости. Приме­нение данного метода целесообразно при предварительной оценке вариантов доставки, когда количество возможных вариантов доста­точно велико.

Метод постатейной калькуляции всех затрат гораздо сложнее и требует априорного знания структуры себестоимости транспортных операций. В то же время этот метод обеспечивает высокую досто­верность результатов расчета. Рекомендуется использовать данный способ в том случае, когда фактор цены играет важную роль при принятии общего решения и количество сравниваемых вариантов мало.


Рис. 2.2.  Параметры системы качества доставки грузов.

2) Надежность. В современных условиях особое значение приобретает категория надежности доставки. Как известно, любая логистическая система характеризуется той или иной степенью надежности. При обеспечении требуемого уровня надежности функционирования системы доставки грузополучатели смогут планировать поставки в оптимальных объемах, определять точ­ные размеры страховых запасов. Отсюда вытекает актуальность решения задачи точного определения надежности функциониро­вания системы доставки.

Как показывает анализ литературных источников, существуют различные методы определения надежности функционирования логистических систем. Основная проблема заключается в поиске таких показателей, с помощью которых можно было бы оценить уровень надежности функционирования процесса доставки. На­дежность доставки является сложным комплексным параметром. Исследования показывают, что наиболее важными параметрами, учитываемыми при оценке надежности системы доставки, явля­ются своевременность, сохранность, уровень риска, совмести­мость системы, имидж участников системы и т.д.

3) Своевременность. Возможность обеспечения доставки грузов в точно назначенный срок свидетельствует о достаточной надежности выбранной системы доставки. Обеспечение своевременной доставки грузов позволяет избежать дополнительных затрат на выполнение таких операций, как: хранение дополнительных запасов у грузоотправителей и грузополучателей; иммобилизация дополнительных товарно-материальных цен­ностей из сферы производства на период хранения и достав­ки;   содержание дополнительных средств и оборудования погруз­ки и разгрузки;   использование клиентом более дорогих видов транспорта с целью предотвращения остановки производственного про­цесса;  применение менее экономичных технологических процессов или снижение интенсивности их протекания у грузоотправи­телей и/или грузополучателей и др.

Кроме того, своевременность доставки предоставляет клиентам существенные конкурентные преимущества на рынке сбыта това­ров. Согласно статистическим данным время на производство това­ров занимает лишь 2% суммарного времени движения товара от первичного источника сырья материалов до конечного потребителя готовой продукции. Остальные 98% времени приходятся на про­хождение по различным логистическим каналам, в том числе и на транспортировку. Оценка времени доставки необходима при биз­нес - планировании и организации доставки, особенно когда приме­няется технология доставка точно в срок (ЛТ). На практике время доставки является случайной величиной, зависящей от воздействия многих факторов.

Для обеспечения синхронности всех логистических процессов грузовладелец и участники системы доставки должны быть заинте­ресованы в значительно меньшей неопределенности сроков достав­ки грузов. Несвоевременная доставка грузов может повлечь за со­бой значительные убытки клиента в виде потери заказов из-за ограниченного времени обслуживания или потери части дохода из-за испорченных грузов. Поэтому при заключении договоров достав­ки клиент часто требует доставки «точно в заданный срок» путем указания требуемого интервала времени доставки или величины допустимого опоздания. Требование доставки в ми­нимальный срок может быть предъявлено клиентом в том случае, когда возникает необходимость срочной доставки груза, или в условиях ограниченности по времени осуществления доставки (например, в случае доставки скоропортящихся грузов).

В МАДИ (ГТУ) разработана модель определения затрат времени на международном маршруте[8]. В методику расчета включаются поч­ти все возможные виды затрат времени в процессе доставки с мо­мента приема заявки на перевозку до момента разгрузки у грузопо­лучателя. Установлены факторы, влияющие на время доставки груза и на вероятность доставки точна в срок (погодные, технические, до­рожные, сезонные), случайность слагаемых компонентов времени доставки и т.п.

4) Сохранность. Важным условием выбора варианта доставки является параметр обеспечения сохранности грузов при доставке. Потери груза, связанные с его кражей или физическим и мораль­ным устареванием при перевозке и сохранении, сказываются в конечном итоге на его цене. Особенно это относится к скоропор­тящейся сельскохозяйственной продукции. Уровень сохранности по количеству может быть выражен через процент грузов, поте­рянных при доставке, от общего количества доставленных гру­зов. Аналогичным образом используется показатель процента грузов, испорченных при доставке, от общего количества достав­ленных грузов для определения уровня сохранности по качеству. В зависимости от ценности грузов устанавлива­ются нормативы их потери (чем дороже грузы, тем ниже допустимый процент их потери). Обычно процент потери не должен превышать 1%.


 

 

5) Риск. Грузы могут быть повреждены при транспортировании, неправильном складировании, при выполнении погрузочно-разгрузочных работ, небрежности, могут быть направлены не по ад­ресу, а то и просто украдены. Возникает проблема компенсации убытков по вине транспортной организации[9]. Такие компенсацион­ные процедуры формируются в результате страхования.

Страхование есть такая форма торговли финансовыми услуга­ми, посредством которых одна из сторон защищает себя от ущер­ба, который может возникнуть в результате точно оговоренных событий.

Страхование грузов представляет собой совокупность видов страхования, предусматривающих обязанности страховщика по страховым выплатам в размере полкой или частичной компенсации ущерба, нанесенного объекту страхования.

Страхование распространяется только на те риски, которые можно измерить в финансовом отношении с точки зрения количест­венных размеров возможного ущерба и вероятности наступления страхового случая.

Объектам страхования может быть как имущество, которое страхователь желает сохранить, так и имущественный интерес, на­пример, прибыль от продажи груза в месте назначения.

Страховой стоимостью называется фактическая стоимость страхуемого интереса (для имущества — его действительная стои­мость в месте его нахождения в день заключения договора страхо­вания), а страховой суммой — та сумма, в которой интерес застра­хован. Страховая сумма должна соответствовать стоимости. На практике страховая сумма — фактурная стоимость груза в пункте отправления плюс расходы по фрахту и страхованию, а также ожи­даемая прибыль в размере 5-10%. Осмотр груза на предмет опреде­ления его фактической стоимости обычно не производится.

Страховая премия — плата за страхование, которую страхова­тель {выгодоприобретатедь) обязан уплатить страховщику в порядке и сроки, предусмотренные договором страхования. Страховая защи­та начинается с момента уплаты страховой премии, если это особо не оговорено в договоре страхования.

Страховщик при определении страховой премии, подлежащей уплате по договору страхования, вправе применять разработанные им страховые тарифы, определяющие премию, взимаемую с едини­цы страховой суммы, с учетом объекта страхования и характера страхового риска. Конкретный размер страхового тарифа определя­ется в договоре страхования по соглашению сторон.

Условия страхования грузов в процессе доставки во многих слу­чаях оказывают существенное влияние на решение клиента при вы­боре системы доставки грузов. Наличие страховой услуги в догово­ре по доставке придает клиенту больше уверенность при принятии решений, особенно когда речь идет о дорогих грузах. Страхование в конечном итоге повысит качество транспортного обслуживания и позволит транспортным организациям повысить свою конкуренто­способность за счет индивидуального расширения собственной сис­темы услуг, охваченных соответствующими страховыми гарантия­ми.

6) Совместимость. Качество системы доставки зависит не только от уровня качества функционирования каждого ее участника, но и от степени синхронизации их взаимодействия при предоставлении обслуживания клиенту. Под взаимодействием участников системы доставки следует понимать наличие определенного рода связей, проявляющихся при реализации функции системы. Данное взаимо­действие имеет следующие основные формы:

Технологическое взаимодействие, основанное на технологичес­ком единстве функционирования участников системы, включает в себя такие аспекты, как согласованное и рациональное использова­ние подвижного состава, погрузочно-разгрузочных механизмов и других средств. Решение данной задачи находится в тесной связи в разработкой совместной технологии и организацией доставки по со­гласованным графикам.

Техническое взаимодействие проявляется в двух видах. Первый вид — это соответствие используемых технических средств свойствам груза. Второй вид технической совместимости — это соответствие технико-эксплуатационных параметров технических средств на ме­стах их стыковки. Отсутствие технической совместимости может привести систему ли­бо к невозможности совместного функционирования, либо к непол­ному использованию имеющихся ресурсов.

Экономическое взаимодействие подразумевает координацию ра­боты участников системы. Основными методами координации яв­ляются организационно-управленческие, экономические и право­вые.


 

Для обеспечения высокого уровня синхронизации совместной деятельности участников системы необходимы все выше перечис­ленные формы совместимости, а также надлежащая система по об­мену информации и хорошие контакты в их совместной работе. Совместимость системы доставки оценивается временем совмест­ных работ участников системы, процентом удачно выполненных работ к общему числу совместных работ и другими параметрами.

7) Имидж. Имидж, или репутация субъектов, участвующих в процессе доставки, является одним из параметров оценки уровня надежности доставки. Чем выше репутация участников системы до­ставки, тем выше уровень надежности доставка. К имиджу фирмы относятся такие показатели, как стабильное выполнение ею своих обязательств, отсутствие негативных сообщений о ней от партнеров по бизнесу или в средствах массовой информации, финансовая ус­тойчивость, доброжелательность и честность работников фирмы, способность к контакту и длительным партнерским отношениям и т.п. Негативная оценка хотя бы по одному показателю может вы­черкнуть соответствующий вариант из рассмотрения. Имидж фир­мы является довольно сложным для оценки параметром. Предлага­ется принять количество жалоб к деятельности фирмы на объем работ за год как оценку имиджа фирмы.


 

Под гибкостью понимается готовность предприятия выполнить вносимые клиентом изменения в условия договора. Этот параметр отражает способность системы доставки к быстрой и адекватной адаптации в соответствии с меняющимися условиями доставки. Гибкость доставки включает в себя следующие показате­ли: готовность к изменению условий доставки; возможность предоставления различных уровней обслужива­ния;   готовность к изменению финансовых условий платежа, на­пример предоставление клиентам рассрочки платежа, креди­та, скидок и т.п.

Измерить гибкость функционирования предприятия довольно трудно. Показатель гибкости определяется как отношение числа выполнимых участниками системы доставки изменений к общему числу требуемых клиентом изменений условия договора:


 

8) Комплексность. Исследование и анализ проблем качества транспортно-экспедиторского обслуживания показывает, что высо­кий уровень качества обслуживания клиентов обеспечивается при условии обеспечения комплексного обслуживания, т.е. чем шире ас­сортимент предлагаемых услуг, тем выше уровень качества обслу­живания. Однако для конкретного заказа система доставки, предо­ставляющая все требуемые клиентом услуги, может быть предпочтительнее для выбора, чем система, которая может предла­гать больше услуг, но не может оказать требуемые услуги.

Количество услуг, оказываемых в процессе доставки, может быть достаточно велико: погрузка, разгрузка, затаривание, перевозка, приемка и отпуск груза со склада, хранение, сортировка, консолидация, разукрупнение, маркировка, страхование груза, информа­ционные услуги, услуга по охране, таможенное оформление и т.п.

Для оценки комплексности транспортного обслуживания необходимо последовательно рассматривать способность системы на оказание каждой услуги. При этом используется параметр «Способ­ность оказать услугу», определяемый как отношение объема воз­можного выполнения соответствующей услуги к запрашиваемому объему:


 

На основе оценок уровня удовлетворения каждого отдельного требования да­ется обобщенное значение показателя комплексности системы до­ставки.

9) Информативность. Информативность определяется способнос­тью системы транспортного обслуживания давать клиентам в любой момент времени информацию о тарифах, условиях доставки и о ме­сте нахождения груза в процессе доставки и хранения. Это дает клиентам, с одной стороны, уверенность в надежности доставки, с другой — возможность изменить условия доставки в соответствии с изменяющейся конъюнктурой.

Клиент должен не позднее чем через три часа получить ответ на запрос о состоянии груза в процессе транспортировки. Информа­тивность системы достаточно трудно объективно измерить. Она может быть оценена через достоверность предоставляемой инфор­мации (отношение числа точных ответов на запросы к общему чис­лу запросов за определенный промежуток времени и через оперативность в подаче информации (среднее время, затра­ченное для ответа на запрос клиента).


 

 

10) Доступность. На показатель доступности системы доставки грузов влияют два фактора: удобство обслуживания и готовность к до­ставке.

Удобство для клиента при приеме заказов, сдаче грузов к от­правке и оформлении необходимых документов является одним из важных параметров качества системы, доставки. Результаты иссле­дований показывают, что время на выполнение таких операций, как прием, подготовка, передача, обработка, мониторинг заказов со­ставляет от 50 до 70% общего времени выполнения заказа. Большие затраты времени и трудовых ресурсов у клиента на перечисленные операции свидетельствуют о низком уровне качества системы и мо­жет привести к потере клиентов. При оценке уровня удобства об­служивания предлагается использовать время, затраченное клиен­том на связи с участниками системы доставки и на обработку требуемых документов в человеко-часах.

Готовность к доставке свидетельствует о возможности системы к выполнению заказа. Готовность к доставке выражается в процентах в двух следующих вариантах:


 

 

В таблице 2.1 дан список параметров оценки качества доставки, а также методов и источников информации для их определения.

Таблица 2. 1. Параметры оценки качества доставки товаров.

Параметр качества

Показатель

Методы определения показателя

Источник информании

1

2

3

4

1. Цена

Стоимость услуги

Расчётные методы, договор

2. Надёжность




2.1.Своевременность

Срок доставки

Прогнозные методы, экспертные методы

Статистические данные

2.2. Сохранность

Процент потерянных

грузов


Процент испорченных

грузов

2. 3. Уровень риска

Вероятность потери

Прогнозные методы, экспертные методы

Статистические данные

Величина потери

2. 4. Совместимость

Время совместной работы

Прогнозные методы, экспертные методы

Статистические данные

Процент удачных совместных проектов

Наличие системы связи

Совместимость документации

Техническая совместимость

2. 5. Безопасность дорожного движения

Количество ДТП за год

 (на объём транспортных услуг)

2. 6. Экологическая безопасность

Уровень токсичности, шумность

2. 7. Имидж

Репутация фирмы (количество жалоб за год)

Маркетинго-

  вые методы,

  опрос

Статистические данные, СМИ, информация от партнёров и клиентов

Уровень качества выполняемых услуг

Доброжелательность и честность кадров

Профессиональная подготовка кадров

Финансовая состоятельность

Окружение клиентов

3. Гибкость системы




- при обслуживании

Наличие разных уровней обслуживания

Маркетинговые методы, договор

Договора, прейскурант, прайс-лист

Возможность изменения условий доставки при выполнении

- при оплате

Кредит, скидка, рассрочка



4. Доступность




4. 1. Удобство обслуживания

Затраты на обработку заказов (в человеко-часах)

Прогнозные методы

Статистические данные

4. 2. Готовность

Процент выполненных работ

5. Информативность




5. 1. Достоверность информации

Процент ошибочной информации

Прогнозные методы, экспертные методы, договор

Статистические данные

5. 2. Оперативность представления информации

Время, затраченное для подготовки информации

Частота передачи информации

5. 3. Полнота информации

Круг вопросов, на которые можно дать информацию

6. Комлексность




6. 1. Возможность оказания основных услуг

Ассортимент предлагаемых услуг

  Маркетинговые       методы, договор

 Статистические данные, лицензия

6. 2. Максимальный объём работ по виду услуг

Техническая готовность машин и оборудования

6. 3. Возможность оказания дополнительных услуг

Список услуг (правовых, консультационных

и т. д.)


Заключение

Сделаем заключительные выводы по рассмотренной проблеме:

Одним из важных вопросов логистического обслуживания явля­ется цена, как ожидаемая компенсация за общий пакет услуг, кото­рую фирма предлагает потребителю. Выбор оптимального уровня обслуживания клиентуры определяется динамикой величины затрат. Уменьшение величины затрат на доставку за счет рационального выбора варианта доставки может дать потребите­лям существенную экономию.

Логистическая транспортная система характеризуется той или иной степенью надежности. Требуемый уровень надежности функционирования системы доставки позволит грузополучателям планировать поставки в оптимальных объемах, определять точ­ные размеры страховых запасов.

Для обеспечения синхронности всех логистических процессов грузовладелец и участники системы доставки должны быть заинте­ресованы в значительно меньшей неопределенности сроков достав­ки грузов.

Исследование и анализ проблем качества транспортно-экспедиторского обслуживания показывает, что высо­кий уровень качества обслуживания клиентов обеспечивается при условии обеспечения комплексного обслуживания, т.е. чем шире ас­сортимент предлагаемых услуг, тем выше уровень качества обслу­живания.

Отсутствие технической совместимости может привести систему ли­бо к невозможности совместного функционирования, либо к непол­ному использованию имеющихся ресурсов.

Удобство для клиента при приеме заказов, сдаче грузов к от­правке и оформлении необходимых документов является одним из важных параметров качества системы, доставки. При оценке уровня удобства обслуживания предлагается использовать время, затраченное клиен­том на связи с участниками системы доставки.

Список используемой литературы

1. Боков В.В. Риски во внешнеэкономической деятельности и их логистическое регулирование: Учеб. пос. М: Рос. эконом, акад., 1999.

2. Васильев Г.А., Ибрагимов Л.А., Нагапетьянц Н.А., Каменева Н.Г. Логистика: Учеб. пос. М.: ВЗФИ, 1993.

3. Гаджинский А.М. Основы логистики: Учеб. пос. М.: ИВЦ «Маркетинг», 1995.

4. Голиков Е.А., Пурлик В.М. Основы логистики и бизнес-логистики. М.: РЭА, 1993.

5. Гончаров П.П. и др. Основы логистики: Учеб. пос. Оренбург: Изд. центра ОГАУ, 1995.

6. Гордон М.П. Развитие логистики в управлении материально-техническим снабжением. М.: ЦНИИТЭИМС, 1990

7. Логистика в грузовых перевозках // Организация комплексной работы разных видов транспорта. ЭИ. 1992. № 21.

8. Логистика как форма оптимизации рыночных связей / Под ред. Л.С.Федорова. М.: Институт мировой экономики и международных отношений РАН, 1996.

9. Логистика материальных потоков в рыночной экономике: Меж­вузовский научный сборник. Саратов: СГТУ, 1994.

10. Логистика: Учеб. пос. / Под ред. Б.А.Аникина. М.: ИНФРА-М, 1997.

11. Лукинский В.С., Бережной В.И., Бережная КВ., Цвиринько И.А. Логистика автомобильного транспорта (Концепция, методы, моде­ли). М: Финансы и статистика, 2000.

12. Миротин Л.Б., Ташбаев Ы.Э. Логистика для предпринимателя: Учеб. пос. для транспортных вузов. М.: ИНФРА-М, 2002.

13. Миротин Л.Б., Ташбаев Ы.Э. Порошина О. Т. Эффективная логистика. М.: ЭКЗАМЕН, 2002.


[1] Миротин Л.Б., Ташбаев Ы.Э. Порошина О. Т. Эффективная логистика. М.: ЭКЗАМЕН, 2002.

[2] Миротин Л.Б., Ташбаев Ы.Э. Логистика для предпринимателя: Учеб. пос. для транспортных вузов. М.: ИНФРА-М, 2002.

[3] Гордон М.П. Развитие логистики в управлении материально-техническим снабжением. М.: ЦНИИТЭИМС, 1990

[4] Лукинский В.С., Бережной В.И., Бережная КВ., Цвиринько И.А. Логистика автомобильного транспорта (Концепция, методы, моде­ли). М: Финансы и статистика, 2000.

[5] Логистика: Учеб. пос. / Под ред. Б.А.Аникина. М.: ИНФРА-М, 1997.

[6] Миротин Л.Б., Ташбаев Ы.Э. Порошина О. Т. Эффективная логистика. М.: ЭКЗАМЕН, 2002.

[7] Миротин Л.Б., Ташбаев Ы.Э. Логистика для предпринимателя: Учеб. пос. для транспортных вузов. М.: ИНФРА-М, 2002.

[8] Гончаров П.П. и др. Основы логистики: Учеб. пос. Оренбург: Изд. центра ОГАУ, 1995.

[9] Боков В.В. Риски во внешнеэкономической деятельности и их логистическое регулирование: Учеб. пос. М: Рос. эконом, акад., 1999.

Похожие работы на - Роль логистики в повышении качества услуг АТП

 

Не нашли материал для своей работы?
Поможем написать уникальную работу
Без плагиата!
Без нейросетей!