Анализ деятельности Управления Федеральной почтовой связи

  • Вид работы:
    Другое
  • Предмет:
    Другое
  • Язык:
    Русский
    ,
    Формат файла:
    MS Word
    160,15 kb
  • Опубликовано:
    2012-03-30
Вы можете узнать стоимость помощи в написании студенческой работы.
Помощь в написании работы, которую точно примут!

Анализ деятельности Управления Федеральной почтовой связи

МИНИСТЕРСТВО ОБРАЗОВАНИЯ РОССИЙСКОЙ ФЕДЕРАЦИИ

УДМУРТСКИЙ ГОСУДАРСТВЕННЫЙ УНИВЕРСИТЕТ

ИНСТИТУТ ЭКОНОМИКИ И УПРАВЛЕНИЯ





ДИПЛОМНАЯ РАБОТА

на тему: Анализ деятельности Управления Федеральной почтовой связи

Выполнил

студент гр.

 

Руководитель:    

                            

Допущен к защите в ГАК «       »__________2005 г.

Зам. директора ИЭиУ                                        Г.Ю.Галушко              

Зав. кафедрой              

         

Ижевск, 2005


СОДЕРЖАНИЕ

ВВЕДЕНИЕ                                                                                                                                        3

1. ХАРАКТЕРИСТИКА УПРАВЛЕНИя ФЕДЕРАЛЬНОЙ  ПОЧТОВОЙ СВЯЗИ УР     5

1.1. Структура Управления Федеральной почтовой связи УР                                             5

1.2.  Характеристика Управления Федеральной почтовой связи УР                                 8

1.3. Состав и структура кадров. Организация оплаты труда                                             16

1.4. Виды оказываемых услуг и маркетинг на предприятии                                             22

2. Финансовая устойчивость предприятия:  понятие, методика анализа       26

2.1. Понятие финансовой устойчивости предприятия                                                       26

2.2. Расчет и оценка финансовых коэффициентов устойчивости                                   28

2.3.Методология  анализа финансового состояния В.В. Ковалева                               35

2.4 Методология анализа финансовой устойчивости А.Д. Шеремета                           38

2.5 Методология анализа финансового состояния  Х.З.Бадаша                                    49

2.6. Анализ различия и недостатки в методиках, предлагаемых   вышеназванными авторами     52

3. ФИНАНСОВЫЙ  АНАЛИЗ УПРАВЛЕНИЯ  ФЕДЕРАЛЬНОЙ ПОЧТОВОЙ СВЯЗИ УР    62

3.1. Анализ динамики баланса                                                                                                62

3.2 Анализ финансовых результатов деятельности УФПС УР                                         69

3.3. Анализ основных и оборотных средств                                                                          75

3.4. Динамика  объемов производства                                                                                   78

3.5. Прибыль и рентабельность                                                                                                 79

3.6. Предложения по улучшению финансовой устойчивости  предприятия                 83

ЗАКЛЮЧЕНИЕ                                                                                                                               98

СПИСОК ЛИТЕРАТУРЫ                                                                                                          102



ВВЕДЕНИЕ



В наше время ни одна отрасль, ни одно даже самое маленькое предприятие не могут работать успешно, не считаясь с экономическими законами, не учитывая конъюнктуры рынка, потребительского спроса. Особенно остро все эти вопросы стоят перед коллективами отраслей и предприятий, которые непосредственно не производят товар, а работают на рынке предоставления услуг.

  Российский и зарубежный опыт показывает, что эффективность и качество работы почты любого региона во многом определяется эффективностью и качеством работы всей сети почтовой связи.

В целях преодоления убыточности и стабилизации финансового состояния отрасли, в минувшем году деятельность Департамента почтовой связи (ДПС) и многих УФПС была направлена на расширение и внедрение новых услуг почтовой связи с применением маркетинга и менеджмента. Наряду с традиционными услугами, учреждениями почтовой связи предоставляется свыше 20 новых  видов услуг.

Среди них:

-   сберегательные операции, распространение рекламных материалов;

-   реализация различного рода лотерейных билетов;

-   прием платежей за коммунальные услуги и электроэнергию;

-   розничная продажа периодических изданий и книжной продукции;

-   услуги международной (EMS-Гарантпост) и внутренней ускоренной почты;

-   услуги электронной почты;

-   реализация товаров народного потребления;

-   пункты коллективного доступа в Интернет и т.д.

Именно неустойчивость финансового положения Управления Федеральной почтовой связи УР и поиск путей выхода из данной ситуации и обусловили выбор темы настоящей дипломной работы.

Дипломная работа выполнена  на основе изучения литературы и действующих нормативных актов, касающихся деятельности почтовой связи. Это, в первую очередь, Федеральный Закон «О почтовой связи», Указ Президента Российской Федерации «О федеральной службе почтовой связи», Правил предоставления услуг почтовой связи - основного документа, регламентирующего взаимоотношения организаций почтовой связи и пользователей услуг почтовой связи.  Также в процессе работы были изучены различные методики финансового анализа хозяйственной деятельности предприятия.

Источниками  для дипломной работы послужили данные бухгалтерской отчетности, такие как: «Баланс предприятия», «Отчет о прибылях и убытках» (форма № 2), оперативная информация по Управлению Федеральной почтовой связи УР за 2003-2004 г.г.

Целью дипломной работы является проведение анализа деятельности Управления Федеральной почтовой связи УР в условиях рынка. В связи с этим  ставились следующие главные задачи:

-   дать характеристику Управления Федеральной почтовой связи Удмуртской Республики, предоставляемых им услуг и его финансового состояния;

-   произвести анализ  финансовой устойчивости  УФПС УР за 2003-2004 г.г. и определить направление улучшения результатов финансовой деятельности предприятия.

Объектом исследования для выполнения дипломной работы являлась текущая работа Управления Федеральной почтовой связи УР.

1. ХАРАКТЕРИСТИКА УПРАВЛЕНИя ФЕДЕРАЛЬНОЙ
ПОЧТОВОЙ СВЯЗИ УР

1.1. Структура Управления Федеральной почтовой связи УР


Среди многочисленных социальных институтов, существующих в современном мире, одним из самых важных, несомненно, является почта. Почта оказывает универсальную, доступную всем услугу без каких бы то ни было различий. Почта представляет интерес для каждого человека, в каком бы месте нашего огромного мира он не находился. Она устанавливает связь между миллионами людей. Развитие почты, ее совершенствование способствует укреплению отношений между людьми и повышению их благосостояния. Такова благородная миссия почты.

Большинство ведущих почтовых администраций мира за последние годы предприняли значительные усилия по перестройке структуры почтовых служб. Многие почтовые службы получили статус самостоятельного государственного предприятия, а в некоторых случаях и государственной компании в той или иной форме, встав тем самым на коммерческий путь собственного развития, и исполняя роль государственного оператора на национальном рынке почтовых услуг. Указанные изменения позволяют почтовым администрациям более гибко управлять своей деятельностью и оперативно реагировать на потребности клиентуры для успешной борьбы с частными компаниями.

Эти процессы не могли не затронуть и Россию. Сегодня мы завершили процесс становления Российской почтовой службы, начатый в конце 1992 года, в плане разделения почты и электросвязи, образования самостоятельной государственной почтовой службы России, именуемой Федеральная Служба почтовой связи (ФСПС).

Необходимо отметить, что процесс создания и становления Российской государственной почтовой службы проходил в условиях экономического спада в стране, невозможности обеспечения достаточных государственных субсидий, на фоне постоянного падения объемов обрабатываемой внутренней почты, которые упали в 3-4 раза. В этой ситуации Российская почта сумела выжить, и, самое главное, сохранила имеющуюся сеть почтовых предприятий, насчитывающую сегодня 47 тысяч предприятий и почтовых отделений.  УФПС  подчиняется непосредственно  Департаменту почтовой связи при Министерстве связи Российской Федерации,  является государственным учреждением, находящимся в Федеральной собственности Российской Федерации.

В состав Управления Федеральной почтовой связи на правах структурных единиц входят: Почтамт, автобаза и 25 районных узлов Федеральной почтовой связи. Всего по Республике  482 ОС (отделения связи), 25 узлов связи и Почтамт, который включает  в себя  52 ОС в г. Ижевске и производственный участок (рис. 1).

 























Рис. 1. Структура Управления Федеральной почтовой связи
Удмуртской Республики

Структурные единицы регламентируют свою деятельность на основе Положений о структурной единице, согласно которым  все они не являются юридическими лицами, имеют незаконченный баланс, входящий в баланс УФПС УР, печать со своим наименованием, штампы, бланки.

Основными задачами структурных единиц  (кроме автобазы) являются:

-   обеспечение бесперебойной работы почтовой связи в целях наиболее полного удовлетворения потребностей граждан, органов государственной власти Российской Федерации, органов государственной власти субъектов Российской Федерации, органов местного самоуправления, юридических лиц услугами почтовой связи;

-   предоставление услуг по приему, обработке, перевозке и доставке письменной корреспонденции, почтовых и телеграфных переводов денежных средств (универсальные услуги) по тарифам, регулируемым законодательством Российской Федерации;

-   предоставление на договорной основе услуг почтовой связи по приему, обработке, перевозке и выдаче посылок, почтовых контейнеров, отправлений электронной почты, распространению печатных изданий, доставке и выплате пенсий, пособий и других выплат целевого назначения, предоставлению телефонных переговоров и услуг по приему и передаче телеграфных сообщений, реализации ценных бумаг, приему и инкассации денежной выручки, приему платы за коммунальные услуги, приему  и выплате платежей сторонних организаций физическим лицам, приему заказов населения для предоставления услуг сторонними организациями и доставке заказчикам выполненной работы;

-   обеспечение на обслуживаемой территории расширения сферы деятельности почтовой связи, совершенствование оказываемых и внедрение новых услуг почтовой связи;

-   осуществление мероприятий по мобилизационной подготовке и при чрезвычайных ситуациях.

Общее руководство работой структурной единицы осуществляется УФПС УР в соответствии с законодательством и иными нормативными актами Российской Федерации, ведомственными нормативными актами и Положением УФПС Удмуртской Республики. Руководство структурной единицы осуществляет начальник, действующий на принципах единоначалия, на основании полученной от начальника УФПС УР доверенности. Начальник филиала назначается на должность и освобождается от должности начальником УФПС УР, в  трудовом контракте с ним определяются права, обязанности и ответственность начальника за состояние его труда, срок контракта и другие обязательства сторон.

Ликвидация и реорганизация структурной единицы осуществляется УФПС УР. Автобаза связи, также как и другие структурные единицы, участвует в разработке и реализации федеральных и региональных программ развития почтовой связи, осуществляет работу по ведению бухгалтерского  и статистического учета, отчетности  и контроля, организует производство и реализует товары народного потребления, осуществляет экспортно-импортные операции и внешнеэкономическую деятельность в соответствии с законодательством Российской Федерации.

1.2.  Характеристика Управления Федеральной почтовой связи УР


Проблем у Российской почты сегодня больше, чем достижений. К сожалению, в целом в Российской почте еще отсутствует правильное понимание конкурентной борьбы в условиях открытого рынка. Работники государственной почтовой службы требуют административных запретов на деятельность частных почтовых служб, что совершенно невозможно в рыночных условиях, где выживает сильнейший, которого выбирает сам потребитель услуг. Необходима адаптация к конкурентной борьбе в новых условиях, умение организации и проведения маркетинговой деятельности, обеспечения высокого качества предоставляемых услуг. Эта работа должна быть организована на всех уровнях с тем, чтобы понимание данной ситуации дошло до каждого рядового работника почтовой службы.

Теперь хотелось бы перейти непосредственно к своей организации - Управлению Федеральной почтовой связи Удмуртской Республики  УФПС , организационная структура  которого представлена на рис. 2.

 







































Рис. 2. Организационная структура УФПС Удмуртской Республики

Деятельность УФПС УР регламентируется Положением о государственном учреждении почтовой связи,  утвержденным Государственным Комитетом Удмуртской республики по управлению государственным имуществом 21 мая 1993 г. решением № 96-Об и согласованным с Федеральным управлением почтовой связи при Министерстве связи Российской Федерации 28 апреля 1993 г.

Осуществлять общее руководство (в пределах своей компетенции и специализации), руководство функциональными отделами начальнику УФПС УР помогают его заместители. Руководство и ответственность за деятельность подчиненных им отделов несут: 

-   зам.начальника по общим вопросам (имеет в подчинении отдел правового обеспечения и кадров, службу безопасности и развития услуг, секретариат);

-   зам.начальника по экономике (отдел экономики и финансов, отдел мотивации труда, отдел эксплуатации и перевозки почты, отдел подписки и распространения печати);

-   зам.начальника по маркетингу (отдел коммерции и развития услуг, рекламное агентство, административно-хозяйственный отдел);

-   зам.начальника по транспорту, начальник Автобазы связи (отдел охраны труда и техники безопасности, автобаза);

-   главный специалист по внедрению новой техники (отдел АСУ, производственная лаборатория, централизованная мастерская по ремонту ККМ);

-   главный бухгалтер (отдел бухучета и контроля);

-   помощник начальника по депутатской деятельности (психолог, пресс-секретарь).

Отдел правового обеспечения и кадров организует и непосредственно осуществляет правовую и кадровую работу с учетом целей и задач политики Управления в области качества, в интересах всех структурных подразделений УФПС УР.

Служба безопасности и качества услуг выполняет следующие функции: обеспечивает контроль за сохранностью всех видов международных и внутренних почтовых отправлений; обеспечивает безопасность объектов почтовой связи, работающего персонала и имущества УФПС УР, учреждений, организаций и предприятий федеральной почтовой связи; осуществляет меры по защите финансовых интересов УФПС  предотвращает случаи пересылки почтой опасных товаров, в т.ч. оружия, взрывчатых устройств, боеприпасов, радиоактивных, отравляющих веществ и др. предметов, запрещенных к пересылке; организует секретное и мобилизационное делопроизводство; организует работу по гражданской обороне; организует учет военнообязанных, бронирует их на период мобилизации и на военное время; организует пожарную безопасность; организует инкассацию денежных средств.

Отдел бухучета и контроля осуществляет своевременный и достоверный бухгалтерский учет, формирует полную и достоверную информацию о хозяйственных процессах и результатах деятельности УФПС  обеспечивает контроль за наличием и движением имущества, использованием материальных, трудовых и финансовых ресурсов, предупреждает о негативных явлениях в хозяйственно-финансовой деятельности, совершенствует первичный учета во всех филиалах УФПС  представляет бухгалтерскую отчетность и другую необходимую учетную информацию в соответствующие инстанции.

Отдел коммерции и развития услуг занимается: организацией коммерческой деятельности подразделений УФПС  в том числе созданием системы договоров с поставщиками, организация закупа товаров народного потребления; обеспечением контроля за поступлением, реализацией товаров и своевременным расчетом филиалов УФПС с поставщиками; изучением рыночной ситуации и выбор выгодных рынков для приобретения товаров народного потребления; разработкой программ изучения традиционных и нетрадиционных услуг, проведение маркетинговых исследований, разработкой рекомендаций по развитию и внедрению ус­луг с целью получения наибольшей прибыли для предприятия; изучением перспективных направлений деятельности УФПС  оценкой их эффективности и целесообразности, выдачей рекомендаций.

Отдел охраны труда и техники безопасности: организует работу по обеспечению выполнения работниками требований охраны труда и закона РФ об охране окружающей среды; контролирует и консультирует работников по вопросам соблюдения работниками законов и др. нормативных актов об охране труда, охраны окружающей среды, коллективного договора, соглашения по охране труда и др. локальных правовых актов УФПС  организует профилактическую работу по предупреждению производственного травматизма, профессиональных заболеваний, а так же работы по улучшению условий труда.

Отдел эксплуатации и перевозки почты разрабатывает и проводит мероприятия, направленные на улучшение обслуживания почтовой связью,  реализации ЗПО  и товаров филателии и осуществляет контроль за своевременной ее рассылкой по предприятиям связи, а также за состоянием рекламы художественных марок, карточек и конвертов; ведет учет стационарных предприятий и пунктов связи, а также почтовых маршрутов; организует перевозку почты по автомаршрутам и авиалиниям в пределах республики, а также по железнодорожным линиям в почтовых вагонах, закрепленных за УФПС УР на всем их протяжении; обеспечивает, согласно контрольных сроков, своевременное продвижение и доставку всех видов почтовых отправлений и печати внутри республики и осуществляет контроль за выполнением этих сроков; совместно с СПБиКУ разрабатывает и осуществляет мероприятия по обеспечению сохранности почтовых отправлений, денежных сумм и условных ценностей в предприятиях почтовой связи республики; принимает меры к укреплению кассовой дисциплины, предупреждению двойных выплат, переплат, недоприходов, перерасходов по переводам, осуществляет контроль за выполнением плана ревизий и внезапных проверок касс отделений связи республики, а также за качеством их проведения; рассматривает и исполняет жалобы на работу эксплуатационной деятельности почтовой связи, поступающие в УФПС  анализирует причины и их возникновения, и разрабатывает мероприятия по их предупреждению; совместно с СПБиКУ  исследует причины утрат, хищений почтовых отправлений, а также растрат и хищений сумм по переводным и пенсионным операциям, инкассации торговой выручки, ведет разработочные ведомости по хищениям почтовых отправлений и части вложений из них, выявляет очаги хищения; рассматривает договоры с издательствами и редакциями и дает заключение по пунктам экспедирования, перевозки и доставки периодической печати.

Отдел подписки и распространения печати осуществляет работу и контроль по вопросам организации, оформлению и обработке принимаемой подписки, составлению заказов, переадресованию изданий, аннулированию подписки и другим технологическим процессам; рассматривает и разрешает претензии предприятий связи подписчиков и принимает меры к ликвидации их причин; анализирует оперативно-статистическую отчётность о ходе подписке  и рознице; заключает договоры с издательствами, агентствами на распространение и доставку газет и журналов по подписке и реализацию через розничную сеть; организует семинары  по вопросам распространения печати; оказывает помощь узлам связи в обеспечении автоматизации и компьютеризации процесса подписки и розницы; обеспечивает структурные единицы каталогами и изменениями к ним, рекламно-информационными материалами.

Рекламное агентство организует работу по обеспечению рекламой УФПС  организует и разрабатывает новые виды рекламной деятельности; организует и осуществляет прямую почтовую рассылку Direct Mail (собирает и обновляет базу данных по республике и городу, в перспективе - выход на другие регионы); обеспечивает рекламой EMS – Гарантпост; изучает состояние почтовой связи с целью квалифицированной рекламной поддержки; организует семинары (учебы) по вопросам рекламной деятельности; организует совместно с отделом коммерции работу по изучению спроса на услуги почтовой связи и нетрадиционные услуги; обеспечивает филиалы наглядной информацией по тарифам, режимам работ и т.п.; совместно с отделом экономики и финансов занимается разработкой тарифной политики работ рекламного отдела; составляет сметы, расчеты, калькуляции; контролирует работу структурных подразделений в части предоставления указанных услуг, оказывает рекламные услуги населению

Отдел автоматизации и системного управления производит внедрение информационных технологий, средств вычислительной техники и автоматизацию производственных процессов в УФПС УР.

Производственная лаборатория занимается внедрением, обслуживанием и ремонтом почтово-кассовых терминалов (ПКТ), контрольно-кассовых машин (ККМ), находящихся в эксплуатации в филиалах УФПС УР и автоматизацией производственных процессов в УФПС УР на основе применения ПКТ, ККМ.

Секретариат обеспечивает документооборот в УФПС  набор, распечатку и размножение информации, связь с СМИ и обслуживание аппарата управления УФПС УР.

Административно-хозяйственный отдел обеспечивает хозяйственное обслуживание УФПС  осуществляет контроль за чистотой и порядком в УФПС  оформляет договоры на приобретение оборудования, канцелярских и хозяйственных товаров и т.д.

Отдел мотивации труда разрабатывает и внедряет Рыночную систему  оплаты и мотивации труда (Систему «РОСТ»); следит за эффективным ежемесячным функционированием Системы «РОСТ»; создает в УФПС и его структурных подразделениях условий, благоприятных для высокоэффективного и творческого труда;  совершенствуют механизм Системы «РОСТ», приведение ее в соответствие с изменениями внешней и внутренней среды; совершенствуют организацию и нормирование труда.

Организацией финансовой работы в УФПС занимается отдел экономики и финансов (ОЭФ).

ОЭФ возглавляется главным экономистом, подчиняется зам.начальника по экономике и в своей деятельности руководствуется Положением об отделе экономики и финансов утвержденным начальником УФПС УР 11.10.01 г., а также Учетной политикой утвержденной приказом начальника УФПС УР № 104/01-03 от 29.12.01 г. Основными его задачами яв­ля­ют­ся:

-   работа по экономическому планированию, в целях организации рациональной хозяйственной деятельности УФПС УР, выявления и использования производственных, финансовых и трудовых резервов, достижения экономической эффективности производства;

-   определение основных направлений экономической политики управления;

-   разработка перспективных и текущих прогнозов социально-экономического развития;

-   организация комплексного экономического анализа финансово-хозяйственной деятельности УФПС УР;

-   осуществление работ по совершенствованию организации труда, управлению производством, форм и систем заработной платы, материального стимулирования работников.

Исходя из основных задач ОЭФ выполняет следующие функции:

-   организует разработку и участвует в реализации федеральных и региональных программ развития почтовой связи;

-   организует разработку прогнозов перспективных, годовых и квартальных планов экономического и социального развития в целом по УФПС УР в разрезе филиалов. Подводит итоги выполнения плановых заданий;

-   на основе утвержденного плана определяет платежи филиалов и УФПС УР в целом. Участвует в осуществлении контроля за своевременностью платежей в Управление почтовой связи;

-   принимает совместно с бухгалтерией необходимые меры к обеспечению нормального финансово состояния филиалов и УФПС в целом на основе анализа данных бухгалтерской и оперативной отчетности;

-   разрабатывает и организует внедрение новых форм и методов организации и оплаты труда, стимулирования за конечные результаты труда, и системы материальной ответственности;

-   организует руководство работой по ведению статистического учета, отчетности и контроля. Осуществляет сбор отчетных данных от филиалов и представляет отчетные данные в установленные адреса и сроки;

-   организует составление месячных, квартальных и годовых отчетов о производственной деятельности УФПС УР. Принимает участие в составлении заключений по бухгалтерским отчетам филиалов при подведении итогов производственно-финансовой деятельности;

-   совместно с отделом эксплуатации организует работу по обеспечению достоверности и своевременному представлению установленной статистической отчетности, по контролю за соблюдением учетной дисциплины, следит за недопущением введения незаконной отчетности в филиалах;

-   организует совместно с отделом эксплуатации работу по ведомственному контролю за правильностью применения тарифов на услуги почтовой связи, за обоснованностью изменения цен и тарифов, доведения их до филиалов;

-   проводит проверку состояния плановой, финансовой и учетно-аналитической работы в филиалах и оказывает им помощь в улучшении планово-экономической и финансовой работы;

-   организует работу по повышению квалификации экономистов филиалов, участвует в работе по повышению уровня экономических знаний руководящих работников УФПС и филиалов;

-   разрабатывает тарифы на договорные услуги и производит проверку калькуляций, составленных другими отделами и филиалами.

1.3. Состав и структура кадров. Организация оплаты труда


Важное значение в работе Управления Федеральной почтовой связи УР имеют профессиональные кадры, которые удалось сохранить. Структура и качественный состав кадров  представлены  в  таблицах  1 – 3.  На   конец 2004  г.  в Управлении   было занято 3928 человек, из них 80% - женщины. Практически отсутствует текучесть кадров.

Таблица 1

Структура и качественный состав кадров


Показатели

Всего

Рабочих

Руководителей и специалистов

Женщин

Работающих пенсионеров

Работающих инвалидов

Численность работников, включая работников неосновной деятельности на конец отчетного периода

3928

2854

1074

3135

200

8


Таблица 2

Образование и возраст работников



Показатели

Всего

В том числе имеют

Образование

Возраст

Высшее

ср.спец.

до 40 лет

50 и свыше

пенсион. возраст

1. Численность руководителей (с учетом структурных единиц и начальников ОС I-III гр.)


376


67


150


145


40


18

В том числе:







Номенклатуры начальника  предприятия


142


68


74


55


11


2

2. Назначено руководителей в 2004 году


32


13


13


20


-


-

В том числе

из резерва:


24


5


13


16


-


-

 

Таблица 3

Укомплектованность кадров


Показатели

Всего

Укомплектовано по образованию

Укомплектовано по возрасту

Высш.

ср.спец.

практ.

вакан.

До

40 лет

50 лет и св.

пенс.

Наличие должностей, требующих:

- высшего образов.



197



104



81



11



1



69



27



9

-ср.спец. образования

874

51

393

429

1

441

98

29


Специалисты почтовой связи готовятся в нескольких высших и средних специальных учебных заведениях. За 2004 г.:

1. Прошли профессиональную подготовку, всего       - 236  рабочих

в том числе:

-   обучено впервые                                         - 112 чел.

-   обучено вторым профессиям                     - 12 чел.

-   переподготовлено                                       - 112 чел.

2. Повысили квалификацию, всего             - 118 рабочих

из них повысили тарифный разряд           -  53 чел.

3. Из общей численности рабочих, прошедших профессиональную подготовку и повышение квалификации, обучено:

-   в УКК, курсах                                             -  17 чел.

-   непосредственно на предприятии              - 333 чел.

-   за границей                                                  -  3  чел.

-   молодежи до 30 лет                                    - 225 чел.

4. Повысили квалификацию руководители и специалисты в 2004 году

всего                                                                      - 292 чел.

в том числе:

-   в академиях, университетах, институтах и факультетах повышения квалификации                                          - 14  чел.

-   на курсах повышения квалификации                   -  5 чел.

-   непосредственно на предприятиях             -  265 чел.

-   за границей                                                  -   8 чел.

5. Затраты на подготовку, переподготовку и повышение квалификации   работников  представлены в таблице 4.                       

Таблица 4

Затраты на подготовку кадров


Показатель

Общая сумма

Затрат

Из них затрачено на обучение

Руководителей и специалистов

Рабочих

1. Всего (тыс. руб.)

236075

 229172

6903

в том числе: на повышение квалификации

73726

70251

3475

2. Сумма средств, затраченных в инвалюте

-

-

-


Количество специалистов, принятых в 2003 г.:

-   с высшим образованием                                        -  29 чел.:

в том числе окончивших ВУЗы связи                  -    2 чел.;

из них по договорам                                   -    1 чел.

-   со средним специальным образованием    -  39 чел.:

в том числе окончивших техникумы

(колледжи связи)                                         -   5  чел.

УФПС УР выбраны основные направления по совершенствованию управления персоналом. Систематически организуются  семинары, курсы по повышению профессионального уровня кадров.  В 2004 году УФПС работало по  договору с ИПК при МТУСИ, УНЦ «Содействие», ООО «ТЕХНОПОСТ», Московским Институтом повышения квалификации информационных работников (ИПКИР). В настоящее время в программу подготовки руководящего состава Управления включаются  вопросы менеджмента, делового общения, этикета, психологии,  межличностных отношений. Проводятся занятия с начальниками отделений связи по направлению «Основы этики делового общения». Занятия по вопросам психологического обеспечения кадровой работы проходят в форме деловых игр, с проведением видео тренинга.

На предприятиях почтовой связи УР организуются следующие виды профессионального обучения работников:

-   подготовка новых работников;

-   переподготовка (переобучение) работников;

-   повышение квалификации.

Основной формой обучения новых работников на производстве является индивидуальная подготовка кадров.

Переподготовка (переобучение) на предприятиях почтовой связи организуется с целью освоения новых профессий высвобожденными работниками, которые не могут быть использованы по имеющимся у них  профессиям, а также лицами,  изъявившими желание сменить профессию с учетом потребностей производства.

Повышение квалификации работников (рабочих, специалистов, руководителей) направлено на последовательное совершенствование их профессиональных и экономических знаний, умения и навыков, рост мастерства по имеющимся профессиям.

Для повышения квалификации работников организуются курсы целевого назначения, семинары. Постоянное повышение профессионального мастерства рассматривается как прямая служебная обязанность всех руководящих работников и специалистов. Для данной категории работников установлены следующие виды обучения:

-   участие в семинарах по производственным и экономическим вопросам, как по месту работы, так и на других предприятиях;

-   краткосрочное (по мере необходимости, но не реже 1 раза в год) обучение в учебных заведениях системы повышения квалификации и переподготовки кадров;

-   стажировка на передовых предприятиях, в высших учебных заведениях, в том числе за рубежом.

В 2004 году 17 человек поступили на учебу в Академию предпринимательства и права при  Удмуртском государственном университете, из них 7 начальников РУПС. Резерв руководителей сформирован и согласован с Правительством УР.

В Управлении Федеральной почтовой связи применяется бестарифная система оплаты труда «Рост». Жизнеспособность организации в условиях рыночной экономики в решающей степени зависит от системы мотивации труда. Господствующая в экономике России тарифно-окладная система сдерживает реформирование и развитие организаций, порождая несправедливость в распределении зарплаты  и массовое недовольство работников, не дает необходимых стимулов к труду коллективам и работникам.    

Главное при разработки системы «РОСТ» создать такой механизм, при котором то  что выгодно УФПС  было бы выгодно и филиалам, а то что выгодно филиалам выгодно и каждому конкретному работнику. Очень важно то, что не ограничен верхний предел по заработной плате, у работников появляется возможность зарабатывать. Система позволяет перераспределять заработную плату отсутствующего работника. «РОСТ».

В системе “РОСТ” используется норматив “зарплатоемкость реализованной продукции”. Он показывает, сколько копеек зарплаты содержится в каждом рубле валового дохода. Подсчитывается  он путем деления начисленного фонда оплаты труда за предшествующий период (год, полгода, квартал) на объем валового дохода за год.

Формирование Фонда оплаты труда УФПС

Рассчитывается зарплатоемкость единицы валового дохода за истекший год :

               ФОТ (годовой), руб.

 ЗПЕ = ------------------------------------------------------,                                               (1)

             Объем валового дохода (годовой), руб.

где:      ЗПЕ- зарплатоемкость реализованной продукции;

ФОТ- фонд оплаты труда за предшествующий период (год);

Фонд оплаты труда за истекший месяц рассчитывается путем умножения ЗПЕ на объем валового дохода в том же месяце:

ФОТ=ЗПЕ х Оъем ВД, руб.

При такой постановке вопроса рост объема продаж немедленно повышает размер ФОТ организации. Рынок оперативно увеличивает вознаграждение коллектива. При снижении объема реализации соответственно падает величина ФОТа.

Использованием «зарплатоемкости» для формирования ФОТа организация снимает ряд сложных проблем. В организации формируется ФОТ, который обеспечен выручкой, т.е. фактически имеется в ее распоряжении. При падении выручки соответственно снижается фонд оплаты труда, поэтому не возникает задолженности по заработной плате. Более того, в принципе появляется механизм регулирования уровня зарплаты, способный гасить ранее образовавшуюся задолженность.

В настоящее время система «РОСТ» успешно функционирует в 17-ти отраслях народного хозяйства и в УФРС Свердловской области.

Практическая ценность системы «РОСТ» заключается в том, что благодаря новым мотивам и стимулам труда растет конкурентоспособность организации, зарплата работников и их удовлетворенность трудом.

Достигается это за счет ряда факторов:

-   повышается экономическая эффективность работы организации;

-   улучшаются экономические результаты работы организации за счет роста трудовой активности коллективов ее структурных подразделений и работников;

-   растет выручка, доходы от производства и реализации товаров и услуг, сокращаются материальные затраты;

-   повышается социальная эффективность работы организации;

-   улучшается работа с персоналом, усиливается мотивация труда, улучшается отношение работников к деловым партнерами, потребителям товаров и услуг;

-   изменяется система трудовых отношений, отношение работников становятся деловыми, стремятся к активным действиям в решении возникающих проблем, стремятся к участию в принятии решений.

1.4. Виды оказываемых услуг и маркетинг на предприятии

 

Кризисное состояние экономики страны, спад производства, нарушение связей всех уровней производства и управления, инфляция и снижение жизненного уровня населения обусловили значительное уменьшение спроса на почтовые услуги и, как следствие, сокращение объемов почтового обмена. Поэтому все усилия почтовиков направлены на упорядочение сферы обслуживания, организации труда, изыскание и внедрение новых, нетрадиционных для Российской почты услуг.

В настоящее время УФПС Удмуртской Республики предоставляет своим клиентам следующие виды  услуг:

1. Традиционные, в том числе: знаки почтовой оплаты, денежные переводы, выплата пенсий, посылки, периодические издания и прочие.

2. Нетрадиционные услуги, в том числе: прием платы за электроэнергию, прием платы за коммунальные услуги, реализация лотерейных билетов, прием платы за услуги ГИБДД, ксерокопирование, автотранспортные услуги, инкассация, реализация товаров народного потребления, предоставление услуг по договорам (это в основном аренда помещений), прием объявлений для размещения в средствах массовой информации, реализация книжной продукции, отправление сообщений ЕМS-Гарантпост, пункты коллективного доступа в Интернет и т.д.

Руководство Управления старается направить творческую мысль руководителей подразделений и районных узлов на поиск новых форм работы, на постоянное изучение спроса клиентов.

Неважно, является ли почтовая служба в данной стране целиком государственной, находится в смешанной (государственно-частной) собственности или полностью приватизирована, конкуренция все равно остается. При этом весьма маловероятно, что ситуация изменится в сторону большей защищенности от конкурентов благодаря протекционистской политике государства. Скорее наоборот, гораздо более возможно дальнейшее нарастание конкуренции, и на деле это именно то, к чему стремятся многие почтовые администрации.

Для почтовых служб во всем мире, как и для большинства преуспевающих коммерческих предприятий, наиболее существенным элементом успеха является высокий уровень обслуживания. Потребитель ожидает, а если есть альтернатива, то и требует высокого качества услуг. Если какой-либо предприниматель не в состоянии обеспечить ожидаемый уровень обслуживания, потребитель тут же найдет другого, и будет иметь дело с ним. В прошлом нелегко было найти альтернативу государственной почтовой службе для доставки писем и посылок, однако сейчас ситуация меняется. Рост числа частных компаний, занимающихся доставкой грузов, а также стремление государственных почтовых предприятий работать как полноценные коммерческие структуры, создали для почтовой связи весьма острую конкурентную среду.

Потребитель, имея выбор, отдает предпочтение наиболее эффективному обслуживанию по самым выгодным расценкам.

Что требуют клиенты от почтовой службы? Своевременной и надежной доставки их грузов и корреспонденции! Клиенты хотят иметь гарантию, что все отправленное ими прибудет по назначению в целости и сохранности и в определенных срок. Значительное число нынешних клиентов готовы даже заплатить дополнительные деньги за такую гарантию. Для выполнения этих требований, многие почтовые службы организовали у себя усиленный контроль качества, позволяющий, определить насколько выдерживаются нормы по доставке.

Давление конкурентов на рынке, развитие рынка, новые технологии являются факторами, делающими необходимым быстрые перемены в стиле и методах работы, более внимательное отношение к запросам клиента.

В условиях жесткой конкуренции и роста издержек непременным условием выживания субъекта экономики становится маркетинг. Маркетинг (от английского market- рынок) – комплексная система организации производства и сбыта продукции, ориентированная на удовлетворение потребностей конкретных потребителей и получение прибыли на основе исследования и прогнозирования рынка, изучения внутренней и внешней среды предприятия – экспортера, разработки стратегии и тактики поведения на рынке с помощью маркетинговых программ. В программах маркетинга должны быть заложены мероприятия по улучшению товара и его ассортимента, изучению покупателей, конкурентов и конкуренции, по обеспечению ценовой политики, формированию спроса, стимулированию сбыта и рекламе, оптимизации каналов товародвижения и организации сбыта, организации технического сервиса и расширению ассортимента предоставляемых сервисных услуг.

Развитием традиционных и нетрадиционных услуг в УФПС УР занимается отдел коммерции и развития услуг. За последние годы ОКиРУ проводились:

-   оценка рынка услуг и перспектив его развития в форме аналитического анализа документов на основе ежеквартальных данных, в форме опросов потенциальных пользователей услуг (с помощью анкетирования) в рамках маркетинговых исследований;

-   изучение деятельности конкурентов проводилось в рамках маркетинговых исследований в форме анализа вторичной документации: СМИ, работа конкурентов на выставках, Интернет, скрытое наблюдение за деятельностью конкурентов, опрос клиентов;

-   оценка качества предоставляемых услуг и изучение потребностей клиентуры проводились в виде опросов клиентов – интервьюированием, анкетированием, телефонным опросам, в рамках маркетинговых исследований при помощи специально разработанных опросных листов, куда были включены вопросы об ожидаемом клиентами и настоящем качестве услуг, а также ведется работа по созданию сайта  «Почта Удмуртии», где клиенты смогут высказывать свое мнение по поводу качества услуг;

-   анализ тарифной и ценовой политики при помощи экспертного метода в стратегической игре «игра с природой», анализ временных рядов, трендовые модели для развития услуги «реализация ТНП»;

-   изучение спроса на услуги по направлениям: анализ существующего и потенциального спроса; выявление и оценка факторов, формирующих спрос; оценка эластичности спроса в рамках маркетинговых исследований;

-   работа с крупными корпоративными клиентами проводилась при участии в выставках «Большие дела малого бизнеса», «Мир знаний», при личных встречах с руководителями предприятий;

-   формирование баз данных клиентов, обновление существующих (база данных подписчиков, база данных владельцев автотранспортных средств).

Проведены: «Анализ рынка услуги «распространение периодической печати», «Ситуационный анализ тарифной политики почтово-денежных переводов», «Анализ рынка услуги «прием платежей», «Пункты коллективного доступа в Интернет», «Ситуационный анализ тарифной политики почтово-денежных переводов», «Реализация ТНП», «Анализ рынка услуг «ПКД в Интернет», «Книготорговля», «Развитие розничной торговли» и т.д. А также проводятся регулярные рекламные кампании по развитию услуг и различные конкурсы среди населения (ежегодный конкурс среди детей на лучшее письмо Деду Морозу; конкурс детских фотографий «Ох, уж эти детки», конкурс «Военное письмо», конкурс «Письмо Святому Валентину и т.д.) и работников почты (на лучшее оформление отделения связи, на лучшее отделение связи по качеству работы и общению с клиентами, на лучший филиал по реализации ТНП, ЗПО, подписки и т.д.).

2. Финансовая устойчивость предприятия:
понятие, методика анализа

2.1. Понятие финансовой устойчивости предприятия


Одной из ключевых задач анализа финансового состояния предприятия является изучение показателей, отражающих его финансовую устойчивость. Она характеризуется стабильным превышением доходов над расходами, свободным маневрированием денежными средствами и эффективным их использованием в процессе текущей (операционной) деятельности.

Анализ финансовой устойчивости на определенную дату (конец квартала, года) позволяет установить, насколько рационально предприятие управляет собственными и заемными средствами в течение периода, предшествующего этой дате. Важно,  чтобы состояние источников собственных и заемных средств отвечало стратегическим целям развития предприятия, так как недостаточная финансовая устойчивость может привести к его неплатежеспособности, то есть отсутствию денежных средств, необходимых для расчетов с внутренними и внешними партнерами, а также с государством. В то же время наличие значительных остатков свободных денежных средств усложняет деятельность предприятия за счет их иммобилизации в излишне материально-производственные запасы и затраты.

Следовательно, содержание финансовой устойчивости характеризуется эффективным формированием и использованием денежных ресурсов, необходимых для нормальной производственно-коммерческой деятельности. К собственным финансовым ресурсам, которыми располагает предприятие, относится прежде всего чистая (нераспределенная) прибыль и амортизационные отчисления. Внешним признаком финансовой устойчивости выступает платежеспособность хозяйствующего субъекта. Финансовая устойчивость хозяйствующего субъекта – это такое состояние его денежных ресурсов, которое обеспечивает развитие предприятия преимущественно за счет собственных средств при сохранении платежеспособности и кредитоспособности при минимальном уровне предпринимательского риска.

На финансовую устойчивость предприятия влияет множество факторов:

-   положение предприятия на товарном и финансовом рынках;

-   выпуск и реализация конкурентоспособной и пользующейся спросом продукции;

-   его рейтинг в деловом сотрудничестве с партнерами ;

-   степень зависимости от внешних кредиторов и инвесторов;

-   наличие неплатежеспособных дебиторов;

-   величина и структура издержек производства, их соотношение с денежными доходами;

-   размер оплаченного уставного капитала;

-   эффективность коммерческих и финансовых операций;

-   состояние имущественного потенциала, включая соотношение между внеоборотными и оборотными активами. ( В.В. Бочаров)

Главным в финансовой деятельности, считает И.Т. Балабанов, является правильная организация и использование оборотных средств. Финансово устойчивым считается такое предприятие, которое за счет собственных средств покрывает средства, вложенные в активы (основные фонды, нематериальные активы, оборотные средства), не допускает неоправданной дебиторской и кредиторской задолженности и расплачивается в срок по своим обязательствам. В процессе анализа финансового состояния вопросам рационального использования оборотных средств уделяют основное внимание.

Характеристика финансовой устойчивости включает в себя анализ:

-   состав и размещение активов хозяйствующего субъекта;

-   динамики и структуры источников финансовых ресурсов;

-   наличие собственных оборотных средств;

-   кредиторской задолженности;

-   наличие и структура оборотных средств;

-   дебиторской задолженности;

-   платежеспособности.

2.2. Расчет и оценка финансовых коэффициентов устойчивости


В международной практике и в настоящее время в практике прогрессивных фирм проводят относительную оценку финансовой устойчивости организации с помощью финансовых коэффициентов.

Финансовая устойчивость по этой методике характеризуется:

-   соотношением собственных и заемных средств;

-   темпами накопления собственных источников;

-   соотношением долгосрочных и краткосрочных обязательств;

-   обеспечением материальных оборотных средств собственными источниками.

При оценке финансовой устойчивости применяется аналитический подход, то есть рассчитанные фактические показатели финансовой устойчивости сравниваются с экстремальными (вытекающими из практики западных стран и России).

Для оценки финансовой устойчивости предприятия применяется набор или система коэффициентов. Таких коэффициентов очень много, они отражают разные стороны активов и пассивов предприятия. В связи с этим возникают сложности в общей оценке финансовой устойчивости. Кроме того, почти не существует каких-то единых нормативных критериев для рассмотренных показателей. Их нормативный уровень зависит от многих факторов: отраслевой принадлежности предприятия, условий кредитования, сложившейся структуры источников средств, оборачиваемости оборотных активов, репутации предприятия. Поэтому приемлемость значений коэффициентов, оценка их динамики и направлений изменения могут быть установлены только для конкретного предприятия , с учетом условий его деятельности. Возможны некоторые сопоставления по предприятиям одинаковой специализации, но они очень ограничены. Необходимо учитывать также, что некоторые коэффициенты, содержащиеся в перечне, дают повторную информацию о финансовой устойчивости, а другие функционально связаны между собой.

Видно, что большое количество коэффициентов служит для оценки разных сторон структуры капитала предприятия. Для оценки этой группы коэффициентов есть один критерий, универсальный по отношению ко всем предприятиям: владельцы предприятия предпочитают разумный рост доли заемных средств; наоборот, кредиторы отдают предпочтение предприятиям, где велика доля собственного капитала, то есть выше уровень финансовой автономии.

Проанализировав достаточно большой набор имеющихся коэффициентов финансовой устойчивости, можно ограничиться следующими показателями:

-   коэффициент автономии;

-   коэффициент соотношения собственных и заемных средств;

-   коэффициент долга;

-   коэффициент финансовой устойчивости;

-   коэффициент маневренности собственных средств;

-   коэффициент устойчивости структуры мобильных средств;

-   коэффициент обеспеченности оборотного капитала собственными источниками финансирования.

В настоящее время на страницах экономических журналов дискутируются вопросы о количестве коэффициентов, используемых в анализе хозяйственной деятельности предприятия. Высказывается мнение, что их чересчур много. Следует учесть, что кроме большого количества коэффициентов ликвидности и устойчивости, исчисляются коэффициенты рентабельности, оборачиваемости оборотных средств, фондоотдачи.

Есть такая точка зрения, что число коэффициентов не должно превышать семи, так как если число объектов наблюдения превышает семь, то человеческий контроль над ним легко теряется.

Вышеизложенный перечень показателей убеждает, что он действительно продолжен, так как далеко не все возможные соотношения разделов и статей бухгалтерского баланса в нем охвачены. Вместе с тем ясно, что спор о количестве показателей, которыми следует ограничиться, не может найти решения до тех пор, пока заинтересованные стороны не придут к убеждению, что показателей для оценки финансового состояния  предприятия должны представлять собой не набор, а систему, то есть не противоречить друг другу, не повторять друг друга, не оставлять «белых пятен»  деятельности предприятия.

Коэффициент финансового риска ( коэффициент задолженности, соотношение заемных и собственных средств, рычага) – это отношение заемных средств к собственным средствам. Он показывает, сколько заемных средств предприятие привлекло на рубль собственных.

Кфр=ЗС/СС=(стр 590 + стр 690) : стр 490,                                            (2)

где  Кфр – коэффициент финансового риска,

ЗС – заемные средства.

Оптимальное значение этого показателя, выработанное западной практикой – 0,5. Считается, что если значение его превышает 1, то финансовая автономность и устойчивость оцениваемого предприятия достигает критической точки, однако  все зависит от характера деятельности и специфики отрасли, к которой относится предприятие.

Рост показателя свидетельствует об увеличении зависимости предприятия от внешних финансовых источников, то есть, в определенном смысле, о снижении финансовой устойчивости и нередко затрудняет возможность получения кредита. В соответствии с приказом № 118 установлено нормативное значение данного коэффициента – соотношение должно, быть < 0,7. Превышение данной границы означает зависимость данного предприятия от внешних источников средств, потерю финансовой устойчивости.

Коэффициент долга (индекс финансовой напряженности) – это отношение заемных средств к валюте баланса:

Кд= ЗС/Вб=(стр 590+стр 690): стр 700,                                                (3)

где Кд – коэффициент долга,

Вб – валюта баланса.

Международный стандарт (европейский) - до 50% . Тенденцию нормальной финансовой устойчивости подтверждает и коэффициент долга: если доля заемных средств в валюте баланса снижается, то налицо тенденция укрепления финансовой устойчивости предприятия, что делает его более привлекательным для деловых партнеров.

Нормативное значение коэффициентов привлеченного капитала должно быть  < или = 0,4.

Коэффициент автономии (финансовой независимости) – это отношение собственных средств к валюте баланса предприятия:

Ка=СС/Вб=стр.490:стр.699,                                                                      (4)

где Ка - коэффициент автономии

Коэффициент автономии является наиболее общим показателем финансовой устойчивости предприятия.

В зарубежной практике существуют различные точки зрения относительно порогового значения этого показателя. Наиболее распространенная точка зрения; 60 %. В предприятиях с высокой долей собственного капитала кредиторы наиболее охотно вкладывают свои средства, представляют более выгодные условия кредитования. Но стандартной (нормальной, нормативной) доли собственного капитала, единой для всех предприятий, стран указать нельзя. В Японии например, доля собственного капитала на 50 % ниже, чем в США (где доля заемного капитала около 80 %). Причина этого различия в источниках заемного капитала. В Японии это банковский капитал, в США – средства населения. Высокая доля заемного капитала японской фирмы свидетельствует о доверии банков, а значит о ее надежности. Для населения наоборот снижение доли собственного капитала – фактор риск.

В практике российских и зарубежных фирм используется несколько разновидностей этого показателя (доля заемных средств в активах, отношение собственных средств к заемным и др.). Каждый из них в той или иной форме отражает структуру капитала фирмы по источникам его формирования.

Таким образом, оптимальное значение данного коэффициента = 50 %, то есть желательно, чтобы сумма собственных средств была больше половины всех средств, сознавая, что весь заемный капитал может быть компенсирован собственностью предприятия.

Коэффициент финансовой устойчивости – это отношение итога собственных и долгосрочных заемных средств к валюте баланса предприятия (долгосрочные займы правомерно присоединяются к собственному капиталу, так как по режиму их использования они похожи); 

Кфу= ПК : Вб=(стр 490 + стр 590) : стр 700,                                          (5)

где Кфу – коэффициент финансовой устойчивости.

Кроме расчетов коэффициентов финансовой устойчивости независимости предприятия, анализируют структуру его заемных средств: большой удельный вес в нем долгосрочных кредитов является признаком устойчивого состояния предприятия.

Оптимальное значение этого показателя составляет 0,8 –0,9.

Коэффициент маневренности собственных источников – это отношение его собственных оборотных средств к сумме источников собственных средств:

Км=(СС-ВА) : СС=(стр 490-стр190):стр490,                                        (6)

где Км – коэффициент маневренности собственных источников.

Коэффициент маневренности собственных источников показывает величину собственных оборотных средств, приходящихся на 1 рубль собственного капитала, он указывает на степень мобильности (гибкости) использования собственных средств, то есть какая часть собственного капитала не закреплена в ценностях и иммобильного характера и дает возможность маневрировать средствами предприятия.

Высокое значение коэффициента маневренности положительно характеризует финансовое состояние предприятия, а также убеждает в том, что управляющие предприятием проставляют достаточную гибкость в использовании собственных средств.

Некоторые авторы считают оптимальным значением этого показателя 0,5. Однако этот предполагаемый критерий может быть взят под сомнение.

Уровень коэффициента маневренности зависит от характера деятельности предприятия: в фондоемких производствах его нормальный уровень должен быть ниже, чем в материалоемких (так как в фондоемких значительная часть собственных средств является источником покрытия основных производственных фондов). С финансовой точки зрения, чем выше коэффициент маневренности, тем  лучше финансовое состояние. В соответствии с приказом № 118 установлено нормативное значение этого коэффициента 0,2-0,5. Чем ближе значение этого показателя к верхней границе, тем больше возможность финансового маневра предприятия. 

Коэффициент устойчивости структуры мобильных средств – это отношение чистого оборотного капитала ко всему оборотному капиталу:

Куст.мс.=(ОБ-КП) : ОБ=(стр290-стр690) : стр 290,                             (7)  

где Куст.мс. – коэффициент устойчивости структуры мобильных средств,

ОБ -  величина оборотных активов,

КП -  краткосрочные пассивы.

Чистый оборотный капитал – это текущие активы, которыми располагает предприятие после погашения текущих обязательств. Стандарта по данному коэффициенту нет.

Коэффициент обеспеченности оборотного капитала собственными источниками – это отношение собственных оборотных средств к оборотным активам. Он показывает, какая часть оборотных активов финансируется за счет собственных источников и не нуждается в привлечении заемных.

Ксос=(СС-ВА) : ОБ = (стр490-стр190) : стр 290,                                  (8)

где Ксос – коэффициент обеспеченности оборотного капитала собственными источниками.

В соответствии с приказом № 118 и распоряжением № 31-Р установлено нормативное значение данного коэффициента: нижняя граница 0,1.

При показателе значения ниже 0,1 структура баланса признается неудовлетворительной, а организация неплатежеспособной. Более высокая величина показателя (до 0,5) свидетельствует о хорошем финансовом состоянии организации, о ее возможности проводить независимую финансовую политику. 

Приведенная ниже таблица дает сжатую и наглядную характеристику показателей финансовой устойчивости предприятия.

Таблица 5

Основные показатели финансовой устойчивости предприятия

Показатели

Характеристика

Рекомендуемый критерий

Коэффициент

Финансового риска

Показывает, сколько заемных средств компания привлекла на рубль собственных

Меньше 0,7

Коэффициент долга

Отношение заемных средств к валюте баланса

Меньше 0,4

Коэффициент автономии

Отношение собственных средств кампании к валюте баланса

Больше 0,5

Коэффициент финансовой устойчивости

Отношение итога собственных и долгосрочных заемных средств к валюте баланса

0,8-0,9

Коэффициент маневренности собственных

Источников

Отношение собственных оборотных средств к сумме собственных источников

0,5

Коэффициент устойчивости структуры

Мобильных средств

Отношение чистого оборотного капитала ко всему оборотному капиталу


Коэффициент обеспеченности оборотного

Капитала

Отношение собственных оборотных средств к оборотным активам

Больше 0,1


Таким образом, из семи коэффициентов только три имеют универсальное применение: коэффициент соотношения заемных и собственных средств, коэффициент маневренности собственных средств и коэффициент обеспеченности оборотного капитала собственными источниками финансирования.

Но даже в пределах трех названных универсальных коэффициентов не трудно заметить, что одни и те же факторы определяют их рост и снижение: коэффициент маневренности собственных средств и коэффициент обеспеченности запасов собственными источниками имеют один и тот же числитель – собственные оборотные средства. Поэтому соотношение их уровня зависит от соотношения величины капитала и резервов и стоимости материальных оборотных активов. Соответственно динамика коэффициентов определяется при одной и той же динамике собственных оборотных средств лишь различиями в уровнях и направлениях изменения знаменателей – запасов и собственного капитала. Это не мешает им оставаться самостоятельными коэффициентами, однако, на практике следует в виду, что увеличение собственных оборотных средств, приводит к повышению финансовой устойчивости сразу по двум критериям ее оценки. В свою очередь, рост собственных оборотных средств – это результат, как правило, увеличения собственного капитала, а в некоторых случаях – и снижение стоимости внеоборотных активов.

Увеличение собственного капитала при определенных условиях приводит  и к снижению соотношения заемных и собственных средств.

Следовательно, три универсальных коэффициента финансовой устойчивости взаимосвязаны факторами, определяющими их уровень и динамику. Все они ориентируют предприятие на увеличение собственного капитала, при относительно меньшем росте внеоборотных активов, то есть на одновременное повышение мобильности имущества.

2.3.Методология  анализа финансового состояния В.В. Ковалева


Логика аналитической работы предполагает ее организацию в виде двухмодульной структуры:

-   экспресс-анализ финансового состояния,

-   детализированный анализ финансового состояния.[1]

Целью экспресс-анализа финансового состояния является наглядная и простая оценка финансового благополучия и динамики развития хозяйствующего субъекта. В процессе анализа В.В.Ковалев предлагает рассчитать различные показатели и дополнить их методами, основанными на опыте и квалификации специалиста. Автор считает, что экспресс-анализ целесообразно выполнять в три этапа: подготовительный этап, предварительный обзор финансовой отчетности, экономическое чтение и анализ отчетности.

Цель первого этапа - принять решение о целесообразности анализа финансовой отчетности и убедиться в ее готовности к чтению. Здесь проводится визуальная и простейшая счетная проверка отчетности по формальным признакам и по существу: определяется наличие всех необходимых форм и приложений, реквизитов и подписей, проверяется правильность и ясность всех отчетных форм; проверяются валюта баланса и все промежуточные итоги. Цель второго этапа - ознакомление с пояснительной запиской к балансу. Это необходимо для того, чтобы оценить условия работы в отчетном периоде, определить тенденции основных показателей деятельности, а также качественные изменения в имущественном и финансовом положении хозяйствующего субъекта. Третий этап - основной в экспресс-анализе; его цель - обобщенная оценка результатов хозяйственной деятельности и финансового состояния. Такой анализ проводится с той или иной степенью детализации в интересах различных пользователей (таблица 6).

Таблица 6

Совокупность аналитических показателей экспресс-анализа [2]

Направление анализа

Показатели

1

2

1. Оценка экономического потенциала субъекта хозяйствования.

1.1. Оценка имущественного положения

Величина основных средств и их доля в общей сумме активов.

Коэффициент износа основных средств.

Общая сумма хозяйственных средств, находящихся в распоряжении предприятия.

1.2. Оценка финансового положения.

Величина собственных средств и их доля в общей сумме источников.

Коэффициент покрытия (общий).

Доля собственных оборотных средств в общей их сумме.

Доля долгосрочных заемных средств в общей сумме источников.

Коэффициент покрытия запасов.

Продолжение таблицы 6

1

2

1.3. Наличие “больных” статей в отчетности.

Убытки.

Ссуды и займы, не погашенные в срок.

Просроченная дебиторская и кредиторская задолженность.

Векселя выданные (полученные) просроченные.

2. Оценка результатов финансово-хозяйственной деятельности.

2.1. Оценка прибыльности.

Прибыль.

рентабельность общая.

рентабельность основной деятельности.

2.2. Оценка динамичности.

Сравнительные темпы роста выручки, прибыли и авансированного капитала.

Оборачиваемость активов

Продолжительность операционного и финансового цикла.

Коэффициент погашаемости дебиторской задолженности.

2.3. Оценка эффективности использования экономического потенциала.

Рентабельность авансированного капитала.

Рентабельность собственного капитала.


В.В. Ковалев предлагает проводить экспресс-анализ финансового состояния по вышеизложенной методике. Экспресс-анализ может завершаться выводом о целесообразности или необходимости более углубленного и детального анализа финансовых результатов и финансового положения.

Цель детализированного анализа финансового состояния - более подробная характеристика имущественного и финансового положения хозяйствующего субъекта, результатов его деятельности в истекающем отчетном периоде, а также возможностей развития субъекта на перспективу. Он конкретизирует, дополняет и расширяет отдельные процедуры экспресс-анализа. При этом степень детализации зависит от желания аналитика.

Программа углубленного анализа финансово-хозяйственной деятельности предприятия по В.В. Ковалеву содержит:

А. Предварительный обзор экономического и финансового положения субъекта хозяйствования.

-   характеристика общей направленности финансово-хозяйственной деятельности;

-   выявление «больных» статей отчетности.

Б. Оценка и анализ экономического потенциала субъекта хозяйствования.

-   оценка имущественного положения;

-   построение аналитического баланса-нетто;

-   вертикальный анализ баланса;

-   горизонтальный анализ баланса;

-   анализ качественных сдвигов в имущественном положении;

-   оценка финансового положения;

-   оценка ликвидности;

-   оценка финансовой устойчивости.

В. Оценка и анализ результативности финансово-хозяйственной деятельности субъекта хозяйствования.

-   оценка основной деятельности;

-   анализ рентабельности;

-   оценка положения на рынке ценных бумаг.

2.4 Методология анализа финансовой устойчивости А.Д. Шеремета


Методика анализа финансового состояния предприятия, автором которой является А.Д. Шеремет, включает следующие блоки анализа: общая оценка финансового состояния и его изменение за отчетный период; анализ финансовой устойчивости предприятия; анализ ликвидности баланса; анализ деловой активности и платежеспособности предприятия.

Оценка финансового состояния и его изменение за отчетный период по сравнительному аналитическому балансу, а также анализ показателей финансовой устойчивости составляют исходный пункт, из которого должен логически развиваться заключительный блок анализа финансового состояния. Анализ ликвидности баланса должен оценивать текущую платежеспособность и давать заключение о возможности сохранения финансового равновесия и платежеспособности в будущем.  Сравнительный аналитический баланс и показатели финансовой устойчивости отражают сущность финансового состояния. Ликвидность баланса характеризует внешнее проявление финансового состояния, которое обусловлено его сущностью.

В ходе анализа для характеристики различных аспектов финансового состояния применяются как абсолютные показатели, так и финансовые коэффициенты. Относительные показатели финансового состояния  подразделяют на коэффициенты распределения и коэффициенты координации.

Анализ финансовых коэффициентов заключается в сравнении их значений с базисными величинами, а также в изучении их динамики за отчетный период и за ряд лет.

В 20-х годах один из создателей балансоведения – Н.А. Блатов рекомендовал исследовать структуру и динамику финансового состояния предприятия при помощи сравнительного аналитического баланса. Сравнительный аналитический баланс получается из исходного баланса путем дополнения его показателями структуры, динамики и структурной динамики вложений и источников средств предприятия за отчетный период.

Наряду с построением сравнительного аналитического баланса для получения общей оценки динамики финансового состояния за отчетный период производится сопоставление изменения итога баланса с изменениями финансовых результатов хозяйственной деятельности за отчетный период. Сопоставление осуществляется путем сравнения коэффициентов КN и КB, которые показы-вают прирост соответственно выручки от реализации продукции и среднего значения итога баланса за отчетный период. Если КN > КB  , то в отчетном периоде использование финансовых ресурсов предприятия было более эффективным, чем в предшествующем периоде; если КN  < КB  - менее эффективным.

Признаками “хорошего” баланса с точки зрения повышения  (роста) эффективности можно назвать также следующие показатели: коэффициент текущей ликвидности > 2; обеспеченность предприятия собственным оборотным капиталом > 0,1; рост собственного капитала; отсутствие резких изменений в отдельных статьях баланса; дебиторская задолженность находится в соответствии с размерами кредиторской задолженности; в балансе отсутствуют “больные” статьи (убытки, просроченная задолженность банкам и бюджету); у предприятия запасы не превышают минимальную величину источников их формирования (собственных оборотных средств, долгосрочных кредитов и займов). Данная методика начинает анализ финансовой устойчи-вости с решения вопроса о том, какие показатели отражают  сущность устойчивости финансовго состояния. Ответ на него связан прежде всего с балансовой моделью, из которой исходит анализ.

В условиях рынка эта модель имеет вид

F+E3  + Ra= Иc  + Ckk  +Cdk  +Ko +Rp                                                                                          (9)

где F- основные средства и вложения,

E3- запасы и затраты,

Ra- денежные средства, краткосрочные финансовые вложения, расчеты (дебиторская задолженность) и прочие активы,

Иc- источники собственных средств,

Ckk- краткосрочные кредиты и заемные средства,

Cdk- долгосрочные кредиты и заемные средства,

Ko- ссуды, не погашенные в срок,

Rp- расчеты (кредиторская задолженность) и прочие пассивы.

По сути дела, модель предполагает определенную перегруппировку статей бухгалтерского баланса для выделения однородных, с точки зрения сроков возврата, величин заемных средств. Прежде всего на основе агрегирования статей разделов 5 –6 пассива баланса получают величины Сkk  и Сdk.

Учитывая, что краткосрочные кредиты и заемные средства направляются преимущественно на приобретение основных средств и на капитальные вложения, преобразуем исходную балансовую форму.

Z + Ra = [(Иc  + Ckk)- F]+ [ Cdk + K o+Rp]                                           (10)                                                         

Отсюда можно сделать заключение, что при условии ограничения запасов и затрат Z величиной  

[( Иc + Ckk)- F]:       Z <= ( Иc +  Ckk)- F                                              (11)

будет выполняться условие платежеспособности предприятия, то есть денежные средства, краткосрочные финансовые вложения ( ценные бумаги) и активные расчеты покроют краткосрочную задолженность предприятия

[ Cdk  +  Ko   + Rp]                                                                               (12)

Таким образом, соотношение стоимости материальных оборотных средств и величин собственных и заемных источников, их формирование определяет устойчивость финансового состояния предприятия. Обеспеченность запасов и затрат источниками формирования является сущностью финансовой устойчивости, тогда как платежеспособность выступает ее внешним проявлением.

Наиболее обобщающим показателем финансовой устойчивости является излишек или недостаток средств для формирования запасов и затрат, получаемый в виде разницы величины источников средств и величины запасов и затрат.

Для характеристики источников формирования запасов и затрат используются несколько показателей, отражающих различную степень охвата разных видов источников:

-   наличие собственных оборотных средств, равное разнице величины источников собственных средств и величины собственных средств и вложений:

Еc= Иc – А                                                                                          (13)

-   наличие собственных и долгосрочных заемных источников формирования запасов и затрат, получаемое из предыдущего показателя увеличением на сумму долгосрочных кредитов и заемных средств:

ЕТ = (Иc + Сkk) – F                                                                                       (14)

-   общая величина основных источников формирования запасов и затрат, равная сумме предыдущего показателя и величины краткосрочных кредитов и заемных средств (к которым в данном случае не присоединяются ссуды, не погашенные в срок):

Е + (Иc + Сkk) – F + Сdk = ЕТ + Сdk                                                    (15)

Каждый из приведенных показателей наличия источников формирования запасов и затрат, должен быть уменьшен на величину иммобилизации оборотных средств в случае присутствия в разделе 2 актива баланса превышение расчетов с работниками по полученным ими ссудами над ссудами для рабочих и служащих (раздел 5 пассива).

Трем показателям наличия источников формирования запасов и затрат соответствуют три показателя обеспеченности запасов и затрат источниками их формирования:

-   излишек (+) или недостаток (-) собственных оборотных средств:

(+-) Еc = Е c- Z                                                                                              (16)

-   излишек (+) или недостаток (-) собственных и долгосрочных заемных источников формирования запасов и затрат:

(+-)ЕТ = (Еc + Сkk) – Z                                                                                 (17)

-   излишек (+) или недостаток (-) общей величины основных источников для формирования запасов и затрат:

(+-) Е = Е – Z = (Еc + Сkk + Сdk) – Z                                                   (18)

Поскольку одни виды активов превращаются в деньги быстрее, а другие медленнее, необходимо сгруппировать активы предприятия по степени ликвидности, то есть по возможности обращения в денежные средства.

Сгруппированные по степени ликвидности активы представлены на рис. 3.

Для определения платежеспособности предприятия с учетом ликвидности его активов обычно используют баланс. Анализ ликвидности баланса, как справедливо отмечает А.Д.Шеремет, заключается в сравнении размеров средств по активу, сгруппированных по степени ликвидности, с суммами обязательств по пассиву, сгруппированным по срокам их погашения. Пассивы по степени срочности можно подразделить следующим образом:

П1 – наиболее срочные обязательства (краткосрочная кредиторская задолженность);

П2 – краткосрочные пассивы (краткосрочные кредиты и займы); 

П3 – долгосрочные кредиты и займы, арендные обязательства и прочее;

П4 – постоянные пассивы.



Текущие

Активы

Наиболее ликвидные А1

Денежные средства в кассе и банке предприятия

Краткосрочные ценные бумаги

Быстрореализуемые А2

Дебиторская задолженность

Депозиты

Медленно реализуемые А3

Готовая продукция

Незавершенное производство

Сырье и материалы

Постоянные активы

Труднореализуемые А4

Здания

Оборудования

Транспортные средства

Земля


Рис. 3. Классификация активов предприятия по степени ликвидности

Классификация пассивов и активов баланса, их сопоставление позволяют дать оценку эффективности баланса.

Ликвидность баланса – это степень покрытия обязательств предприятия такими активами, срок превращения которых в денежные средства соответствуют сроку погашения обязательств.

Баланс считается ликвидным, если:

А1 >= П1, т.е., наиболее ликвидные активы равны краткосрочным пассивам или перекрывают их;

А2 >= П2, т.е., быстрореализуемые активы равны краткосрочным пассивам или перекрывают их;

А3 >= П3, т.е., медленно реализуемые активы равны долгосрочным пассивам или перекрывают их;

А4  >= П4, т.е., постоянные пассивы равны труднореализуемые активы или перекрывают их.

Одновременно выполнение первых трех правил обязательно влечет за собой достижение и четвертого, ибо, если совокупность первых трех групп активов больше суммы первых трех групп пассивов баланса (А1+А2+А3)>= (П1+П2+П3),то четвертая группа пассивов баланса обязательно перекроет (или будет равна) четвертую группу активов баланса, т.е. (А4< =П4). Последнее положение имеет глубокий экономический смысл: когда постоянные пассивы перекрывают труднореализуемые активы, соблюдается важное экономическое условие платежеспособности – наличие у предприятия собственных оборотных средств, обеспечивающих бесперебойный воспроизводственный процесс; равенство же постоянных пассивов и труднореализуемых активов отражает нижнюю границу платежеспособности за счет собственных средств предприятия.

Еще одним из компонентов финансовой устойчивости предприятия является наличие у него ресурсов, необходимых для развития производства. Сами же финансовые ресурсы могут быть сформированы в достаточном размере только при условии эффективной работы предприятия, обеспечивающей получение прибыли. В рыночной экономике именно рост прибыли создает финансовую базу, как для самофинансирования текущей деятельности, так и для осуществления расширенного воспроизводства. За счет прибыли предприятия не только погашает свои обязательства перед бюджетом, банками, страховыми компаниями и другими предприятиями и организациями, но и инвестирует средства в капитальные затраты. При этом для достижения и поддерживания финансовой устойчивости важна не только абсолютная прибыль, но и ее уровень относительно вложенного капитала или затрат предприятия, то есть рентабельность.

Высшей формой устойчивости предприятия является его способность развиваться в условиях изменяющейся внешней и внутренней среды. Для этого предприятие должно обладать гибкой структурой финансовых ресурсов и при необходимости иметь возможность привлекать заемные средства, то есть быть кредитоспособным. Кредитоспособность тесно связана с финансовой устойчивостью предприятия Она характеризуется тем, насколько аккуратно ( то есть в установленный срок и в полном объеме) рассчитывается предприятие по ранее полученным кредитам, обладает ли оно способностью при необходимости мобилизировать денежные средства из разных источников.

Задачей анализа финансовой устойчивости является оценка величины и структуры активов и пассивов. Это необходимо, чтобы ответить на вопросы: насколько организация независима с финансовой точки зрения, растет или снижается  уровень этой независимости и отвечает ли состояние его активов и пассивов задачам её финансово-хозяйственной деятельности.

На практике применяют разные методики анализа финансовой устойчивости. Обобщающим показателем финансовой устойчивости является излишек или недостаток источников средств для формирования запасов и затрат, который опре­деляется в виде разницы величины источников средств и величины запасов и за­трат.

Общая величина запасов и затрат  равна сумме строк 210 и 220 актива баланса (ЗЗ).

Для характеристики источников формирования запасов и затрат используется несколько показателей, которые отражают различные виды источников:

Наличие собственных оборотных средств (490-190-3 90);

Наличие собственных и долгосрочных заёмных источников формирования запасов и затрат или функционирующий капитал (490+590-190);

Общая величина основных источников формирования запасов и затрат  (490+590+610-190). В виду отсутствия краткосрочных заёмных средств(610) данный показатель суммарно равен второму.

Трём показателям наличия источников формирования запасов и затрат соответствуют три показателя обеспеченности запасов и затрат источниками формирования.

С помощью этих показателей определяется трёхкомпонентный показатель типа финансовой ситуации:

                                                                            (19)

Возможно выделение 4х типов финансовых ситуаций:

1. Абсолютная устойчивость финансового состояния. Этот тип ситуации встречается крайне редко, представляет собой крайний тип финансовой устойчиво­сти и отвечает следующим условиям: Фс ³О; Фт ³О; Фо ³0; т.е. S= {1,1,1};

2. Нормальная устойчивость финансового состояния, которая гарантирует платежеспособность: Фс< 0; Фт³0; Фо³0; т.е. S={0,1,1};

3. Неустойчивое финансовое состояние, сопряженное с нарушением платеже­способности, но при котором всё же сохраняется возможность восстановления рав­новесия за счет пополнения источников собственных средств за счет сокращения дебиторской задолженности, ускорения оборачиваемости запасов: Фс<0; Фт<0;Фо³0;т.е. S={0,0,1};

4. Кризисное финансовое состояние, при котором предприятие на грани бан­кротства, поскольку в данной ситуации денежные средства, краткосрочные ценные бумаги и дебиторская задолженность не покрывают даже его кредиторской задол­женности: Фс<0; Фт<0; Фо<0; т.е. S={0,0,0}.

Между статьями актива и пассива баланса существует взаимосвязь. Каждая статья баланса имеет  свои источники финансирования.  Источником финансирования долгосрочных активов как правило, является собственный капитал и долгосрочные заемные средства. Не исключается случаи формирования долгосрочных активов и за счет  кредиторов банка.

Таблица 7

Взаимосвязи статей баланса предприятия

Долгосрочные активы (основной капитал )

Собственный основной  капитал и долгосрочные кредиты

Постоянный ( перманентный) капитал

Текущие активы

Постоянная

часть

Собственный оборотный капитал

Переменная

часть



 

Краткосрочный заемный капитал



 


При этом финансовая неустойчивость считается допустимой, если соблюдается следующие условия:

- производственные запасы плюс готовая продукция равны или превышают сумму краткосрочных кредитов и заемных средств, участвующих в формировании запасов;

- незавершенное производство плюс расходы будущих периодов равны или меньше суммы собственного оборотного капитала;

Если эти условия не выполняются, то имеет место тенденция ухудшения финансового состояния.

Для анализа финансовой устойчивости традиционно применяется целый ряд коэффициентов. Они в определенной степени показывают уровень финансовой устойчивости, но не отвечают на вопрос, достаточен ли такой уровень. Их расчет производится по показателям планового или фактического баланса активов и пассивов. Уровень коэффициентов может служить отправной точкой для оценки финансовой устойчивости, однако с некоторыми оговорками и уточнениями.

Рассмотрим традиционные коэффициенты, а также способы их использования для оценки финансовой устойчивости предприятия.

1. Коэффициент автономии (Ка). Он рассчитывается следующим образом:

                                                                                           (20)

где Ск — собственный капитал;

А — стоимость всех активов.

Коэффициент показывает фактическую или плановую долю собственного капитала в составе всех источников финансирования.

2. Коэффициент финансирования (Кф). Формула для его расчета:

                                                                                           (21)

где Зк — сумма привлеченных предприятием заемных источников финансирования.

Коэффициент показывает соотношение заемных и собственных источников финансирования без разделения заемных источников на долгосрочные и краткосрочные.

Прежде чем переходить к другим коэффициентам, рассмотрим коэффициент автономии и коэффициент финансирования во взаимосвязи. Очевидно, что они находятся в функциональной зависимости:

                                                                                                                   (22)

Таким образом, как для расчетов, так и для оценки достаточно любого из двух коэффициентов финансовой устойчивости. Каждый из них указывает на один и тот же аспект финансовой устойчивости предприятия: меру его зависимости от заемных источников финансирования. Однако зависимость от долгосрочных заемных источников — это не то же самое, что зависимость от краткосрочных обязательств, необоснованно большие суммы которых могут привести к неплатежеспособности предприятия. Долгосрочные заемные средства по своей сути могут быть приравнены к собственному капиталу. Поэтому ни один из двух рассмотренных коэффициентов не может иметь самостоятельного значения без уточнения состава заемных источников, т.е. без деления их на долгосрочные и краткосрочные. Отсюда — следующий коэффициент финансовой устойчивости.

3. Коэффициент долгосрочной финансовой независимости. (Кдн). Он рассчитывается по формуле

                                                                                                                                           (23)

где Зкд — долгосрочные заемные средства.

Коэффициент показывает, какая часть общей стоимости активов предприятия сформирована за счет наиболее надежных источников финансирования, т.е. не зависит от краткосрочных заемных средств. По существу, это уточненный коэффициент автономии. Если в составе пассивов предприятия есть долгосрочные обязательства, целесообразно вместо коэффициента автономии использовать коэффициент долгосрочной финансовой независимости. В этих условиях возможен и уточненный коэффициент финансирования (Кфу):

                                                                                                (24)

где Зкк — краткосрочные заемные средства.

Следующие два коэффициента отражают другой аспект финансовой устойчивости — долю собственных оборотных средств, т.е. источника финансирования оборотных активов, в составе собственного капитала. Собственные оборотные средства — наиболее мобильная часть собственного капитала, поэтому коэффициенты, связанные с оценкой их доли, называются коэффициентами маневренности.

4. Коэффициент маневренности собственного капитала (Км). Он рассчитывается следующим образом:

а) при наличии в составе источников финансирования долгосрочных обязательств:

                                                                                                                                        (25)

где Ав — балансовая стоимость внеоборотных активов;

б) при отсутствии в составе источников финансирования долгосрочных обязательств:

                                                                                                                                                       (26)

Таков универсальный набор общепринятых коэффициентов финансовой устойчивости. Из перечисленных пяти коэффициентов самостоятельное значение имеют лишь два: коэффициент долгосрочной финансовой независимости либо заменяющий его уточненный коэффициент финансирования (при отсутствии долгосрочных заемных средств они превращаются соответственно в коэффициент автономии и коэффициент финансирования) и коэффициент маневренности собственного капитала.

2.5 Методология анализа финансового состояния  Х.З.Бадаша


Для получения информации, полезной для определения состояния предприятия используется анализ баланса посредством коэффициентов, построенных с помощью соотношения данных. Финансовое состояние проверяется сопоставлением результатов расчета соотношений с нормативами, определенными методом экспертных оценок. Исходные данные для оценки ликвидности, финансовой и рыночной устойчивости, деловой активности организации содержатся в форме №1 (Баланс предприятия) и форме №2 (Отчет о прибылях и убытках).

Данный автор особое внимание уделяет специфическим методом анализа: это расчеты эффекта финансового рычага и операционного рычага, а также расчету финансовых коэффициентов.

Важнейшими коэффициентами отчетности, использующимися в финансовом управлении по Х.З. Бадашу являются:

-   коэффициенты ликвидности (коэффициент текущей ликвидности, срочной ликвидности и чистый оборотный капитал);

-   коэффициенты деловой активности или эффективности использования ресурсов (оборачиваемость активов, оборачиваемость дебиторской задолженности, оборачиваемость материально - производственных запасов и длительность операционного цикла);

-   коэффициенты рентабельности (рентабельность всех активов предприятия, рентабельность реализации, рентабельность собственного капитала);

-   коэффициенты структуры капитала (коэффициент собственности, коэффициент финансовой зависимости, коэффициент защищенности кредиторов);

-   коэффициенты рыночной активности (прибыль на одну акцию, балансовая стоимость одной акции, соотношение рыночной цены акции и ее балансовой стоимости, доходность акции и доля выплаченных дивидендов).

Важным инструментом финансового менеджмента является не только анализ уровня и динамики основных коэффициентов в сравнении с определенной базой, считает автор, но и определения оптимальных пропорций между ними с целью разработки наиболее конкурентоспособной финансовой стратегии.

Эффект финансового рычага - это приращение к рентабельности собственных средств, получаемое благодаря использованию кредита, несмотря на платность последнего. Предприятие, использующее только собственные средства, ограничивает их рентабельность примерно двумя третями экономической рентабельности. Предприятие, использующие кредит, увеличивает либо уменьшает рентабельность собственных средств, в зависимости от соотношения собственных и заемных средств в пассиве и от величины процентной ставки. Тогда и возникает эффект финансового рычага.

То есть для того, чтобы повысить рентабельность собственных средств, предприятие должно регулировать соотношение собственных и заемных средств.

Большое внимание Х.З. Бадаш уделяет операционному анализу, называемому также анализом "издержки-объем-прибыль", - отражающим зависимость финансовых результатов бизнеса от издержек и объемов производства / сбыта.

Ключевыми элементами операционного анализа служит: операционный рычаг, порог рентабельности и запас финансовой прочности.

Действие операционного рычага проявляется в том, что любое изменение выручки от реализации всегда порождает более сильное изменение прибыли. В практических расчетах для определения силы воздействия операционного рычага применяют отношение валовой маржи (результата от реализации после возмещения переменных затрат) к прибыли.[3]

Порог рентабельности – эта такая выручка от реализации, при которой предприятие уже не имеет убытков, но еще не имеет и прибыли. Вычислив порог рентабельности, получаем пороговое (критическое) значение объема производства – ниже этого количества предприятию производить не выгодно: обойдется себе дороже. Пройдя порог рентабельности, фирма имеет дополнительную сумму валовой маржи на каждую очередную единицу товара. Наращивается и масса прибыли.

Разница между достигнутой фактической выручкой от реализации и порогом рентабельности составляет запас финансовой прочности.

2.6. Анализ различия и недостатки в методиках, предлагаемых 
вышеназванными авторами


Представленные методики – самые популярные в России и на их основе в настоящее время множество других. Нужно отметить, что обе методики имеют общую основу и принципы, однако, у них есть различия.

Основное внимание В.В.Ковалев уделяет соотношениям основных статей активов и пассивов баланса. Рассчитываются удельные веса отдельных статей пассивов и активов, соотношение собственных и заемных средств, рассчитывается величина собственных и заемных оборотных средств.

 А.Д.Шеремет уделяет основное внимание источникам формирования средств, для покрытия запасов и затрат, их излишек или недостаток. Можно отметить различия в методике определения собственных оборотных средств. Ковалев подразумевает под оборотными средствами разницу между суммой собственного капитала и долгосрочных средств и величиной внеоборотных активов, т.е.:     

СОС = (стр. 490 + стр. 590 ) – стр.190                                                      (27)

Шеремет вводит специальный показатель «Наличие собственных и долгосрочных заемных источников формирования запасов и затрат» и в СОС не включает величину долгосрочных пассивов. Кроме того, вводится дополнительное понятие «иммобилизация оборотных средств» на величину, которой уменьшаются СОС. Данные несоответствия в определении СОС естественным образом влияют на различия в определении типов финансовой устойчивости, которые классифицируют оба автора. Различия можно представить в таблице 8.

                                                                                                                Таблица 8

Различия в методиках финансового анализа

Коэффициент

Формула Ковалева

Формула Шеремета

1

2

3

СОС

Стр. 490 + 590 –190

Стр. 490 – 190

Собственные и долгосрочные заемные источники формирования ЗЗ

Не рассчитывается

Стр.490 + 590 – 190

Продолжение таблицы 8

1

2

3

ИФЗ

СОС + 611 + 612 + 621 + 622 + 621

Не рассчитывается

Источники, ослабляющие финансовую напряженность

Не рассчитывается

Фонды экономического стимулирования, финансовые резервы, превышение нормальной кредиторской задолженности над дебиторской, кредиты банка на временное пополнение оборотных средств (данные берутся из первичной документации)


Анализ, предложенный Ковалевым, как мне кажется, представляет собой взгляд на предприятие из вне (как бы «снаружи»), т.е., с точки зрения потенциальных кредиторов и инвесторов. Именно их будет интересовать, в первую очередь, соотношение собственных и заемных средств, величина собственного капитала – как гарантия отдачи возможных вложений, и как залог стабильности при инвестировании капитала.

Анализ, предложенный Шереметом, представляет собой взгляд на предприятие  «изнутри». Он помогает управляющему персоналу предприятия определить, такие источники пополнения оборотных средств, которые в наибольшей форме будут способствовать улучшению финансовой устойчивости. Для проведения финансовой устойчивости по методике Ковалева вполне достаточно бухгалтерской отчетности (формы №1.2,3,4,5). Шеремет же, для проведения анализа требует информацию, которая не содержится в бухгалтерской отчетности и, следовательно, для нахождения которой. Необходимо поднимать первичную бухгалтерскую документацию. И нельзя определить такие показатели как: превышение нормальной кредиторской задолженности над дебиторской, кредиты банков на временное пополнение оборотных средств, величину иммобилизованных оборотных средств.

Обе методики представляют собой пример внешнего анализа, потому что не дают ответа на такие вопросы как: каковы причины высокой кредиторской и дебиторской задолженности, каковы причины большой величины запасов и затрат, что конкретно необходимо сделать для выхода из кризисного положения, какие пути выхода лучше и почему? Поэтому для проведения глубокого анализа финансовой устойчивости, необходимо провести анализ запасов и затрат, дебиторской и кредиторской задолженности, рассмотреть системы расчетов с поставщиками и покупателями и многое другое.

Анализ финансовой устойчивости проводится на основании данных бухгалтерской отчетности, которая предоставляется раз в квартал или в лучшем случае раз в месяц, то есть на конец отчетного периода. В отчетности указываются последние данные, то есть устаревшие и на их основе уже нельзя делать какие-либо выводы. Можно представить следующие ситуации:

-   на конец квартала (месяца) была отмечена высокая прибыль и небольшой размер запасов и затрат (предположим равные прочие условия). Это приведет к высокой финансовой устойчивости предприятия. Однако, с такой же долей уверенности можно предположить, что прибыль была получена в последние дни перед составлением отчетности и еще не были закуплены оборотные средства, что несомненно увеличит размер запасов и затрат в будущем периоде. Такая ситуация может повторяться много раз. Итогом этого является искажение показателей устойчивости;

-   на конец квартала, наоборот, была зафиксирована прибыль и большой размер запасов и затрат. В этой ситуации может произойти искажение показателей устойчивости в обратную сторону (по этой же схеме);

-   можно сделать вывод, что для более полного и правильного анализа финансовой устойчивости необходимо проводить анализ не реже раз в неделю. Именно в динамике можно отследить реальную ситуацию финансового положения.

Для осуществления данного требования необходимо качественно изменить всю систему бухгалтерского учета. И здесь мы встречаемся с такой проблемой, что современное состояние бухгалтерского учета не позволяет проводить качественный анализ не только финансовой устойчивости, но и анализ финансового положения в целом. Логичным продолжением этого является невозможность проведения оперативного управления на основе бухгалтерской отчетности.

Недостатки методики В.В.Ковалева, по моему убеждению, следующие:

1. Неточные формулы при расчете коэффициентов. Например:

-   в собственный капитал не включен фонд потребления, поэтому более точно формулу расчета СК можно представить: стр. 490 + стр.640

-   при нахождении “всего хозяйственных средств” учитывается убыток прошлого года, поэтому более точная формула выглядит так: стр. 590 + 690 –640;

2. Система рассчитываемых показателей не может рассматриваться как универсальная для всех видов предприятия, так как для них не существует каких-то единых нормативных критериев. Они зависят от множества факторов: отраслевой принадлежности предприятия, принципов кредитования, сложившейся структуры источников средств, оборачиваемости оборотных средств, репутации предприятия и так далее. Существуют предприятия, для которых все эти виды не подходят, либо полностью, либо частично (например предприятия связи, торговли, ЖКХ, транспорта, предприятия по производству товаров и многие другие).

Недостатки методики А.Д.Шеремета, также по моему мнению, следующие:

-   сложность в нахождении данных необходимых для расчета. Под этим понимается тот факт, что невозможно на основании бухгалтерскогй отчетности найти источники, ослабляющие финансовую напряженность; кредиты направленные на пополнение оборотных средств; норматив запаса собственных оборотных средств на один день; иммобилизация оборотных средств;

-   методика рассчитана на узкий круг предприятий, по тем же причинам, что и методика Ковалева (а именно: существуют предприятия которые в силу своих особенностей должны иметь большие запасы, или большую дебиторскую задолженность, или наоборот не имеют их);

-   согласно методике Шеремета для достижения высокой финансовой устойчивости достаточно иметь большой размер кредиторской задолженности (или по крайней мере такой, чтобы покрывать запасы).Однако известно, что излишнее привлечение заемных средств негативно влияет на финансовое положение предприятия, так как они не бесплатные и, рано или поздно, наступит срок их возврата, причем с процентами. Одновременно с повышением внимания к кредиторской задолженности Шеремет упускает из виду величину дебиторской задолженности и наличию денежных средств на расчетном (валютном) счете и в касс;

Таким образом, мы видим, что идеальной методики не существует. Стоит задуматься над тем, что идеальной методики не может быть в принципе в силу колоссальных различий между предприятиями различных отраслей и индивидуальности каждого предприятия.

Тем не менее, на каждом предприятии необходимо разработать комплекс мер по управлению финансовой устойчивости.         

Необходимым условием проведения финансового анализа российской компании было и остается безупречное знание основ традиционного подхода. Постижению и освоению техники финансового анализа способствуют:

-   обширная методическая база западных (Э. Хелферт, Т. П. Карлин, А. Р. Макмин и др.) и российских (Н. Блатов, А. Шеремет, В. Ковалев, Х.З. Бадаш и др.) ученых и специалистов;

-   широкий диапазон специальных программных средств (от простых аналитических программ стоимостью 200 долл. до интегрированных систем управленческого учета стоимостью более 1 млн. долл.);

-   накопленный опыт практических исследований.

Таблица 9

Алгоритм финансового анализа

Процедура

Вид анализа

Экспресс-анализ

Комплексный

Ориентированный

Регулярный

1.

Сбор информации

+

+

+

+

+

внешняя финансовая отчетность

+

+

+

+

+

внутренняя финансовая отчетность

±

+

+

±

+

отчетность и сведения о других аспектах деятельность компании

±

±

+

±

+

информация о внешней среде

-

±

±

±

+

2.

Оценка достоверности информации

±

+

+

+

+

3.

Обработка информации

+

+

+

+

+

с применением специальных программных средств

-

±

±

±

+

4.

Вертикальный анализ

+

+

+

+

+

5.

Горизонтальный анализ

+

+

+

+

+


ретроспективный период более 2 лет

-

-

±

±

+

6.

Расчет финансовых коэффициентов

+

+

+

+

+

узкая выборка

+

+

±

±

-

широкая выборка

-

-

±

±

+

7.

Сравнительный анализ значений коэффициентов и нормативов

±

+

+

+

+

8.

Анализ изменения коэффициентов

+

+

+

+

+

9.

Расчет интегральных показателей

-

±

±

-

+

10.

Подготовка заключения на основе интерпретации обработанных данных

+

+

+

+

+


Выбранный алгоритм традиционного финансового анализа включает следующие этапы:

а) Сбор необходимой информации (объем зависит от задач и вида финансового анализа).

б) Оценку достоверности информации (как правило, с использованием результатов независимого аудита).

в) Обработку информации (составление аналитических таблиц и агрегированных форм отчетности).

г) Расчет показателей структуры финансовых отчетов (вертикальный анализ).

д) Расчет показателей изменения статей финансовых отчетов (горизонтальный анализ).

е) Расчет финансовых коэффициентов по основным аспектам финансовой деятельности или промежуточным финансовым агрегатам (финансовая устойчивость, платежеспособность, деловая активность, рентабельность).

ж) Сравнительный анализ значений финансовых коэффициентов с нормативами (общепризнанными и среднеотраслевыми).

з) Анализ изменений финансовых коэффициентов (выявление тенденций ухудшения или улучшения).

и) Расчет и оценку интегральных финансовых коэффициентов (многофакторные модели оценки финансового состояния компании, наиболее известной из которых является Z-счет Альтмана).

к) Подготовку заключения о финансовом состоянии компании на основе интерпретации обработанных данных.

В приведенной матрице (табл. 9) определяется соответствие процедур алгоритма основным видам финансового анализа (обозначения: < + > - обязательность процедуры, < ± > - желательность процедуры, < – > - необязательность процедуры); в ряде процедур выделены субпроцедуры.

В настоящее время традиционный финансовой анализ российской компании (при четкой постановке задач и до известной степени глубины) в состоянии провести квалифицированно и примерно с равными результатами как сотрудники самого предприятия - бухгалтерии, финансовой службы, планово-экономической службы, так и привлеченные специалисты - арбитражные управляющие, штатные аналитики партнеров, аудиторы и консультанты. Как правило, процедуры № 1-6 не вызывают трудностей у подготовленных специалистов и не нуждаются в комментариях, а процедуры № 7-10 уже требуют учета феномена «российской специфики», вызванного резким падением хозяйствующих субъектов в «пучину» рыночных отношений в 90-х годах.

Вне всяких сомнений, указанный феномен носит условный характер и будет преодолен при постепенном освобождении от извращенного понимания рынка, вызванного очевидными издержками переходного периода российской экономики. Опыт проведения финансового анализа российских компаний в различных видах и изучение попыток выполнения классических аналитических процедур позволяют выделить основные проблемы «российской специфики» в этой области исследований.

Во-первых, во многих случаях на практике финансовый анализ сводится к расчетам структурных соотношений, темпов изменения показателей, значений финансовых коэффициентов. Глубина исследования ограничивается, в лучшем случае, констатацией тенденции «улучшения» или «ухудшения». Сделать выводы и тем более рекомендации на основании исходного информационного массива - неразрешимая проблема для специалистов компаний, оснащенных специальными программными средствами, но не обладающих достаточной квалификацией, профессиональным опытом, творческим отношением к рутинным операциям расчета.

Во-вторых, зачастую результаты финансового анализа основываются на недостоверной информации, при этом она может быть искажена как по субъективным, так и по объективным причинам. С одной стороны, правилом «умелого» российского менеджера считается занижение или сокрытие любыми ухищрениями полученных доходов (прибыли), поэтому для оценки достоверности исходной информации и, как следствие, получения реальных результатов финансового анализа требуется предварительное проведение независимого аудита для обнаружения преднамеренных и непреднамеренных ошибок. С другой стороны, по российским правилам бухгалтерского учета денежные и неденежные формы расчетов не разведены в отчетности (исключение составляет только форма № 4 «Отчет о движении денежных средств», но она является годовой).

В результате превалирования бартерных расчетов создается и культивируется иллюзия о поступательном развитии рыночных отношений в России, при которых предприятия реализуют свою продукцию якобы по рыночным ценам (на самом деле завышенных в силу консенсуса интересов участников бартерных сделок), получают за нее якобы выручку и выплачивают из нее якобы фискальные обязательства в государственный бюджет.

В-третьих, стремление к детализации финансового анализа обусловило разработку, расчет и поверхностное использование явно избыточного количества финансовых коэффициентов, тем более что большинство из них находится в функциональной зависимости между собой (например, коэффициент маневренности собственных средств и индекс постоянного актива, коэффициент автономии и коэффициент соотношения заемных и собственных средств). Предметом особой гордости разработчиков новых программных средств по финансовому анализу является утверждение о том, что созданный инструмент дает возможность рассчитать 100 и более финансовых коэффициентов. На наш взгляд, обычно бывает достаточно использовать не более 2-3 показателей по каждому аспекту финансовой деятельности.

В-четвертых, сравнительный финансовый анализ российских компаний практически невозможен из-за отсутствия адекватной нормативной базы и доступных среднеотраслевых показателей (в зарубежных странах рейтинговые агентства типа «Дан энд Брэндстрит» производят и регулярно публикуют аналогичные нормативы).

В-пятых, достаточно отдаленный от российский практики вид имеют западные интегральные показатели, которые используются многими отечественными аналитиками для оценки вероятности банкротства компаний.

Так, знаменитый Z-счет Альтмана представляет пятифакторную модель, рассчитанную по данным о банкротстве 33 американских компаний в 60-х годах. Возникает глубокое сомнение в правомерности прямого применения показателя, рассчитанного 30 лет назад на крайне ограниченной выборке, в российских условиях «эмбрионального» развития рыночных отношений и фондового рынка. В частности, один из факторов модели - отношение рыночной стоимости обычных и привилегированных акций к пассивам - может быть определен только для ограниченного числа российских компаний, имеющих официальные рыночные котировки. Российские аналоги Z-счета Альтмана (модель рейтинговой оценки Р. Сайфулина и Г. Кадыкова) также основаны на эмпирически рассчитанных коэффициентах и не учитывают отраслевые особенности и реалии российских компаний. Хотя количество дел о банкротстве после введения в силу нового закона резко возросло (за период с 1 марта по 25 декабря 1998 г. возбуждено 4573 дела), но их качественные аспекты заставляют крайне осторожно подходить к формулированию российского Z-счета Альтмана. Речь идет об инспирированном характере многих судебных дел, когда, по сути, перспективные компании умышленно банкротятся владельцами или заинтересованными крупнейшими кредиторами-монополистами.

В-шестых, особенности российской бухгалтерии заведомо искажают результаты финансовой деятельности компаний. Наконец, исходная отчетность анализируемых компаний искажается из-за инфляционных процессов в российской экономике, которые главным образом влияют не на вертикальный (основные пропорции остаются неизменными), а на горизонтальный анализ. В связи с этим обязательным условием оценки тенденций изменения финансового состояния компании является расчет сопоставимых цен на основе применения официальных показателей-дефляторов (индекса цен производителей промышленной продукции, индекса цен приобретения промышленными предприятиями материально-технических ресурсов, индекса цен в капитальном строительстве, индекса потребительских цен).

Все вышесказанное о «российской специфике» нисколько не умаляет значение традиционного подхода, апробированного и отлаженного в странах с развитой рыночной экономикой, для финансового анализа современного состояния и перспектив развития отечественных компаний. Наоборот, его ценность неизмеримо повысится для владельцев, менеджеров, кредиторов и инвесторов при учете в классических западных методиках условностей российской специфики переходного периода. Такая адаптация традиционного подхода позволит финансовому анализу не только оставаться неотъемлемым элементом финансового менеджмента, но и существенно улучшить обоснованность принимаемых управленческих решений.

3. ФИНАНСОВЫЙ  АНАЛИЗ УПРАВЛЕНИЯ
ФЕДЕРАЛЬНОЙ ПОЧТОВОЙ СВЯЗИ УР


3.1. Анализ динамики баланса


Анализ финансового состояния деятельности предприятия выполняется с целью наиболее эффективного использования имеющихся денежных средств.

Был рассмотрен балансовый отчет предприятия. В нем содержится полный перечень активов и пассивов предприятия. Этот документ показывает чистую стоимость и ликвидность предприятия. Балансы российских предприятий,   в основном, построены по схеме балансов западноевропейских стран.

Для выполнения аналитических исследований и оценок структуры актива и пассива баланса его статьи подлежат группировке. Главными признаками группировки статей актива считают степень их ликвидности, то есть сроки превращения в денежную наличность, и направление использования активов в хозяйстве предприятия. В зависимости от степени ликвидности, активы предприятия разделяют на две большие группы: внеоборотные активы (иммобилизованные средства) и оборотные активы (мобильные средства). Оборотные (мобильные) текущие активы более ликвидны, чем внеоборотные (иммобилизованные) активы.

К внеоборотным активам относятся: стоимость основных средств, нематериальных активов; капитальные вложения, долгосрочные финансовые вложения. Основные средства (недвижимость) приобретаются для долгосрочного использования предприятием.

В состав оборотных (текущих) активов включают: наличные деньги, ценные бумаги, дебиторскую задолженность, запасы товарно-материальных ценностей и затраты. Эти активы являются оборотными, потому что они находятся в постоянном цикле превращения их в денежные средства. Те оборотные активы, которые легко преобразовать в наличные средства принято считать легкореализуемыми активами. К ним относятся кроме денежных средств, ценные бумаги и дебиторская задолженность. Запасы и затраты - это медленно реализуемые активы.

Производственные товарные запасы, ценные бумаги оцениваются в балансе по себестоимости (по цене приобретения).

Средства предприятия могут использоваться во внутреннем обороте и за его пределами, будучи иммобилизованными, в дебиторскую задолженность, вложенными в ценные бумаги или инвестированными в оборот других предприятий. В пассиве баланса, как уже было отмечено, находят свое отражение источники средств предприятия на определенную дату. Они подразделяются на источники собственных средств (капитал и резервы), долгосрочные пассивы (кредиты и займы) и краткосрочные пассивы (кредиты, займы, расчеты и прочие пассивы). Для удобства анализа баланса эта группа источников средств укрупняется и может быть представлена в виде двух аналитических группировок. С одной стороны, в основу группировки положена юридическая принадлежность используемых предприятием средств, которые подразделяются на собственные и заемные. С другой стороны, важную роль играет продолжительность использования средств в обороте предприятия. Поэтому принято различать средства длительного использования и средства краткосрочного использования.

К источникам собственных средств относят уставный капитал, добавочный капитал, резервный капитал, фонды накопления и социальной сферы, целевое финансирование и поступления и нераспределенную прибыль.

В состав заемных средств включают долгосрочные и краткосрочные кредиты и займы, кредиторскую задолженность.

Со средствами краткосрочного использования необходима постоянная оперативная работа по наблюдению за их своевременным возвратом и мобилизации (вовлечению в оборот) новых источников.

Следует отметить, что часть источников длительного использования также не лишена подвижности. Эти источники состоят из двух групп: собственных и долгосрочных заемных средств. Заемные средства имеют срок возврата и, следовательно, подлежат возобновлению. Собственные же средства также находятся в движении, особенно резервный капитал, фонды накопления и прибыль.

Итак, был проведен вертикальный и горизонтальный анализ баланса предприятия.

Актив баланса содержит сведения о размещении капитала, имеющегося в распоряжении предприятия, т.е. о вложении его в конкретное имущество и материальные ценности, о расходах предприятия на производство и реализацию продукции и об остатках свободной денежной наличности. Главным признаком группировки статей актива баланса считается степень их ликвидности (быстрота превращения в денежную наличность). Именно по этому признаку все активы баланса подразделяются на долгосрочные или основной капитал (I раздел), и текущие (оборотные) активы (II раздел).

Таким образом, из иммобилизованных средств у предприятия имеются основные средства и  нематериальные активы. Из мобильных средств у предприятия имеются запасы товарно-материальных ценностей, дебиторская задолженность, краткосрочные финансовые вложения, денежные средства. Наличие мобильных средств любому предприятию дает возможность оперативно действовать в финансовой деятельности.

В таблице 10 представлен горизонтальный анализ актива предприятия.

Таблица 10

Горизонтальный агрегированный анализ актива баланса 
УФПС Удмуртии за период 2003-2004 г.г. (тыс.руб.)

Статья

Баланса

Коды строк

На конец года

Изменения

2003г.

2004г.

абс.

 %

I. Внеоборотные активы

Нематериальные активы

Основные средства

Незавершенное строительство

Долгосрочные финансовые вложения


110

120

130

140


106

54980

1580

5175


57

57682

3426

272


-49

+2702

+1846

-4903


54

105

217

5

Итого по разделу 1

190

61841

61437

-404

99

II. Оборотные активы

Запасы

НДС по приобретенным ценностям

Дебиторская задолженность

Денежные средства

Прочие оборотные активы


   210

220

240

260

270


18939

1405

11184

2502

48


25334

2629

17245

2923

48


+6395

+1224

+6061

+421

0


134

187

154

117

100

Итого по разделу 2

290

34078

48179

+14101

141







Средства по переводным операциям

291

116792

176970

+60178

152

БАЛАНС

300

212711

286586

+73875

135


Таблица 11

Горизонтальный агрегированный анализ пассива баланса 
УФПС Удмуртии за период 2003 – 2004 г.г. (тыс.руб.)

Статья

Баланса

Коды строк

На конец года

Изменения

2003г.

2004г.

Абс.

 %

III. Капитал и резервы

Уставный капитал

Добавочный капитал

Резервный капитал

Фонд социальной сферы

Целевые финансирование и поступления

Нераспределенная прибыль

Непокрытый убыток

Использование прибыли отчетного года


410

420

430

440

450

460

465

466


-

54966

-

2908

2

1827

7921

2310


-

54964

-

2870

-

-

10935

-


     -

-2

     -

-38

     -

     -

+3014

     -


-

101

-

82

-

-

138

-

Итого по разделу 3

490

49472

46899

-2573

95

VI. Долгосрочные обязательства

590

30

30

-

100

V. Краткосрочные обязательства

Займы и кредиты

Кредиторская задолженность

Доходы будущих периодов

Прочие краткосрочные пассивы


610

620

640

660


5501

39450

7913

-


8355

49173

12924

-


+2854

+9723

+5011

-


152

126

163

-

Итого по разделу 5

690

52864

70452

17588

133

691

110345

169205

+58860

153

БАЛАНС

700

212711

286586

+73875

135


Вертикальный анализ баланса предприятия дает возможность проследить изменения в структуре имущества предприятия (таблицы 12,13).

Актив  баланса содержит сведения о размещении капитала, имеющегося в распоряжении предприятия.

Причем средства предприятия могут использоваться как в его внутреннем обороте, так и за его пределами (дебиторская задолженность, приобретение ценных бумаг, акций, облигаций других предприятий).

Оборотный капитал может находиться в сфере производства (запасы, незавершенное производство, расходы будущих периодов) и в сфере обращения (готовая продукция на складах и отгруженная покупателям, средства в расчетах, краткосрочные финансовые вложения, денежная наличность в кассе и на счетах в банках, товары и др.).

Таблица 12
Вертикальный агрегированный анализ актива баланса
 УФПС Удмуртии за период 2003-2004 г.г. (тыс.руб.)

Статья

Баланса

Коды строк

На конец года

Изменения

2003г.

2004г.

абс.

 %

I. Внеоборотные активы

Нематериальные активы

Основные средства

Незавершенное строительство

Долгосрочные финансовые вложения


   110

   120

   130

140


0,05

25,85

0,74

2,43


0,02

20,13

1,20

0,09


-0,03

-5,72

+0,46

-2,34


40

78

162

4

Итого по разделу 1

190

29,07

21,44

-7,63

74

II. Оборотные активы

Запасы

НДС по приобретенным ценностям

Дебиторская задолженность

Денежные средства

Прочие оборотные активы


210

220

240

260

270


8,90

0,66

5,26

1,18

0,02


8,84

0,92

6,02

1,02

0,02


-0,06

+0,26

+0,76

-0,16

0


99

139

144

86

100

Итого по разделу 2

290

16,02

16,82

0,8

105


-

-

-

-

-

Средства по переводным операциям

291

54,91

61,75

6,84

112

БАЛАНС

    300

100

100

-

-


Таблица 13

Вертикальный агрегированный анализ пассива баланса  УФПС Удмуртии за период 2003–2004 г.г. (тыс.руб.)

Статья

баланса

Коды строк

На конец года

Изменения

2003г.

2004г.

Абс.

 %

III. Капитал и резервы

Уставный капитал

Добавочный капитал

Резервный капитал

Фонд социальной сферы

Целевые финансирование и поступления

Нераспределенная прибыль

Непокрытый убыток

Использование прибыли отчетного года


410

420

430

440

450

460

465

466


-

25,84

-

1,37

0

0,86

3,72

1,09


-

19,18

-

1,0

-

-

3,82

-


-

-6,66

-

-0,37

-

-

+0,1

-


-

74

-

73

-

-

-

-

Итого по разделу 3

490

23,26

16,36

-6,9

70

VI. Долгосрочные обязательства

590

0,01

0,01

0

100

V. Краткосрочные обязательства

Займы и кредиты

Кредиторская задолженность

Доходы будущих периодов

Прочие краткосрочные пассивы


610

620

640

660


2,58

18,55

3,72

-


2,91

17,16

4,51

-


+0,33

-1,39

+0,79

-


113

93

121

-

Итого по разделу 5

690

24,85

24,58

-0,27

99

Средства по переводным операциям

691

51,88

59,04

+7,16

114

БАЛАНС

700

100

100

-

-

Проанализировав и  сравнив представленные выше аналитические таблицы, характеризующие вертикальный и горизонтальный анализ баланса, можно сделать следующее описание.

Судя по данным баланса, имущество предприятия за 2003-2004 гг. выросло на 73875 руб. (с 212711 до 286586 руб.). В том числе произошло увеличение оборотных активов с 34078 руб. до 48179 руб. на 31.12.2004 г., что в общей стоимости имущества составило 16,82%.

Структура оборотных активов изменилась за счет следующих статей:

-   запасы увеличились с 18939 руб. до 25334 руб. Прирост составил 6395 руб. Это привело к увеличению налога на добавленную стоимость на 1224 руб.;

-   денежные средства увеличились с 2502 до 2923 руб., т.е. на 421 руб.;

-   краткосрочная дебиторская задолженность увеличилась с 11184 руб. до 17245 руб., что в общей стоимости имущества составило 5,26% и 6,02% соответственно;

-   за счет значительного уменьшения долгосрочных финансовых вложений доля основных средств и прочих необоротных активов снизилась на 404 руб., в составе имущественной массы они составляют 21,44%.

Рассмотрим "пассивную" часть баланса. Источники формирования имущества за 2003 – 2004 гг. увеличились с 212711 руб. до 286586 руб. на 73875 руб., в том числе:

-   собственные средства снизились с 49472 до 46899 руб. за счет распределения прибыли прошлого года, наблюдается снижение в общих источниках формирования имущества на 6,9%;

-   обязательства предприятия составляют 24,58% в составе имущества предприятия, они возросли с 52864 до 70452 руб. Увеличение, в основном, произошло за счет кредиторской задолженности, а также займов и кредитов.

Обобщив рассмотренные показатели, сделаем следующие выводы.

Активы предприятия возросли за счет увеличения производственных запасов, в первую очередь сырья и материалов, что не могло, не сказаться на ликвидности предприятия, поскольку произошло затоваривание складов предприятия.

Более ликвидные средства - дебиторская задолженность и денежные средства по удельному весу возросли в активах предприятия, составив соответственно 6,02% и 1,02% на конец 2004 г. по сравнению с началом периода, когда они составляли в совокупности 6,44 %.

За отчетный период иммобилизованное имущество, как и мобильный капитал предприятия незначительно, но увеличилось на 1,2% и 11,8% соответственно.

При анализе пассивной части баланса обращают на себя внимание увеличение непокрытого убытка. Среди привлеченных средств увеличились долги на конец года на сумму 17588 руб.

Обобщая рассмотренные показатели можно сказать, что на данном предприятии за год произошёл рост имущественного потенциала предприятия. Чтобы говорить об эффективности данного потенциала, необходимо проанализировать данное предприятие на ликвидность и платёжеспособность и выяснить, сможет ли предприятие погасить все свои краткосрочные обязательства без нарушений сроков погашения, и имеет ли предприятие достаточное количество денежных средств и их эквивалентов, достаточных для расчетов по кредиторской задолженности, требующей немедленного погашения.

Представим наглядно динамику структуры баланса на рис. 4 и рис. 5.

2003

 

Рис. 4. Динамика структуры оборотного капитала предприятия

Таким образом, за отчетный период оборотный капитал предприятия вырос с 16% до 16,8%, внеоборотный капитал снизился с 29,1% до 21,4%, а переводные операции выросли с .54,9% до 61,75%.

Рис. 5. Динамика структуры капитала предприятия за 2003-2004

 Как видим из приведенных на рис.5 данных, собственный капитал предприятия вырос с 23,26% до 16,4%, заемный капитал снизился с 24,8% до 24,6%, переводные операции выросли с 51,9% до 59%.

3.2 Анализ финансовых результатов деятельности УФПС УР


Для боле объективной оценки сложившейся ситуации мною было решено проанализировать работу   предприятия по методике профессора   кафедры «Экономика и предпринимательство» ИЭиУ УдГУ Х.З. Бадаша.

Для получения информации, полезной для определения состояния предприятия используется анализ баланса посредством коэффициентов, построенных с помощью соотношения данных. Финансовое состояние проверяется сопоставлением результатов расчета соотношений с нормативами, определенными методом экспертных оценок. Исходные данные для оценки ликвидности, финансовой и рыночной устойчивости, деловой активности организации содержатся в форме №1 (Баланс предприятия) и форме №2 (Отчет о прибылях и убытках).

Исходная информация для расчета финансовой устойчивости предприятия приведена в таблице 14.

Таблица 14

Данные для расчета коэффициентов (тыс.руб.)

Показатель

Расчет

Значение показателей по годам

2003г.

2004г.

1

2

3

4

1.Сумма оборотных средств (ОС)

Оборотные активы (стр. 290)

32 888

46 582

2. Сумма срочных обязательств (ОП)

Кредиторская задолженность (стр.620) + Заемные средства (стр. 610) +Прочие краткосрочные пассивы (стр.660)

52 864

70 452

3.Сумма денежных средств, расчетов и прочих активов (ДСА)

Денежные средства (стр. 260) + Краткосрочные финансовые вложения (стр. 250) + Дебиторская задолженность до 12 мес. (стр. 240)

2 550

2 971

4.Сумма денежных средств и краткосрочных финансовых вложений(ДСФ)

Денежные средства (стр. 260) + краткосрочные финансовые вложения (стр. 250)

2 502

2 923

5. Сумма собственных оборотных средств (СОС)

Собственный капитал (стр. 490) - Внеоборотные активы (стр. 190)

-12369

-14538

6. Запасы и затраты (33)

Запасы (стр. 210) + НДС (стр. 220)

18 939

25 334

7. Сумма собственных и приравненных к ним долго­срочных заем­ных средств (СОСдз)

Собственный капитал (стр. 490) +

Долгосрочные пассивы (стр. 590) -

Внеоборотные активы (стр. 190)

-12339

-14508

8.Сумма собственных долгосрочных и краткосроч­ных заемных средств (СОСдзк)

Собственный капитал (стр. 490) + Долгосрочные пассивы (стр. 590) + Заемные средства (стр. 610) - Внеоборотные активы (стр. 190)

40525

55944

Продолжение таблицы 14

1

2

3

4

9.Сумма основных средств и внеоборотных активов (ОСВ)

Внеоборотные активы (стр. 190)

61841

61437

10.Сумма источников собственных средств (Исос)

Собственный капитал (стр. 490)

49472

46 899

11. Сумма всех обязательств (0В)

Долгосрочные пассивы (стр. 590) + Краткосрочные пассивы (стр. 690)

52 894

70 482

12.Сумма величины валюты баланса (ВБ)

Итог баланса

212 711

286 586

13. Выручка от реализации (ВР)

Выручка без НДС (стр. 010) (ф. №2)

209 143

274 330

14. Средняя величина валюты баланса (ВБср)

(Итог баланса на начало года + Итог баланса на конец года) / 2

168 193

249 648,5

15. Средний остаток оборотных средств (Оср)

(Оборотные активы на начало года + Оборотные активы на конец года) / 2

31 272

41 128,5

16. Средняя величина ис­точников соб­ственных сред­ств (Исос ср)

(Собственный капитал на начало года + Собственный капитал на конец года) / 2

49 838

48 185,5



Результаты расчета финансовых коэффициентов приведены в таблице 15.

Таблица 15

Результаты расчета финансовых коэффициентов

Наименование

Показатель

2003г.

2004г.

Норматив

Порядок расчета

1

2

3

4

5

6

АНАЛИЗ ЛИКВИДНОСТИ

1.Коэффициент текущей ликвидности

К1

0,622

0,661

>=2

К = ОС / ОП

2. Коэффициент критической ликвидности

К2

0,042

>=0,8

К = ДСА / ОП

3. Коэффициент абсолютной ликвидности

К3

0,047

0,041

>0,2

К = ДСФ / ОП

Продолжение таблицы 15

1

2

3

4

5

6

АНАЛИЗ ФИНАНСОВОЙ УСТОЙЧИВОСТИ

4.Недостаток собственных оборотных средств

К4

-31308

-39872

>0

К = СОС – ЗЗ

5.Недостаток собственных и приравненных к ним долгосрочных заемных средств

К5

-31278

-39842

>0

К = СОСдз - 33

6. Излишек всех источников финансирования

К6

26257

30610

>0

К = СОСдзк -33

7. Обеспеченность запасов и затрат собственными оборотными средствами.

К7

-0,653

-0,574

>=0,6

К = СОС/ 33

8.Обеспеченность запасов и затрат собственными и приравн. К ним долгосрочными заемн.средствами

К8

-0,652

-0,573

=1

К = СОСдз /33

9. Индекс постоянного актива

К9

1,250

1,310

     1

К = ОСВ / Исос

10.Коэффициент автономии

К10

0,233

0,164

>=0,5

К = Исос/ ВБ

11. Коэффициент соотношения собственных / и заемных средств

К11

1,069

1,503

<=1

К=ОВ/ Исос

12. Коэффициент маневренности

К12

-0,250

-0,309

»0,5

К = (Исос -ОСВ) / Исос

13. Отдача всех активов на конец последнего отчетного периода

К13

1,243

1,099

=1

К-ВР/ ВБср

14. Оборачиваемость оборотных средств

К14

6,688

6,670

>-3

К = ВР / Оср

15. Отдача собственного капитала на конец последнего отчетного периода

К15

4,196

5,693


-

К=ВР/ Исос ср

16. Соотношение прибыли на потребление и накопление

К16

-

-

-

К= ФП/ ФН


Анализ финансовых коэффициентов показывает, что показатели ликвидности баланса предприятия ниже нормативных значений.

Коэффициент текущей ликвидности (К1) показывает платежеспособную возможность УФПС и определяет в какой мере текущие кредиторские обязательства обеспечиваются всеми оборотными активами. Коэффициент текущей ликвидности уменьшается до 0,611. Это значение намного ниже нормы и говорит об очень низком уровне платежеспособности предприятия за период равный средней продолжительности одного оборота всех оборотных средств УФПС  Следует учесть, что уровень коэффициента зависит от отрасли производства, длительности производственного цикла, структуры затрат и ряда других факторов. Данный коэффициент во всех УФПС ниже нормы.

Коэффициент критической ликвидности (К2) считается по более узкому кругу текущих активов (за минусом наименьшей ликвидной части – материально-производственных запасов) и отражает прогнозируемые платежные возможности УФПС при условии  своевременного проведения расчетов с дебиторами (в случае вынужденной реализации производственных запасов). Значение коэффициента в 2003г. ниже нормы (0,048 при норме ³ 0,8) а к 2004 г. еще упало до 0,042.

Коэффициент абсолютной ликвидности (К3) – наиболее жесткий критерий платежеспособности, который показывает какая часть краткосрочных обязательств, может быть погашена в ближайшее время или немедленно, то есть на дату составления баланса. Фактическое значение намного ниже норматива. Чем выше величина этого коэффициента, тем выше гарантия погашения долгов, то есть УФПС не может погасить свои долги и платежеспособность считается низкой (0,041 при нормативе 0,2). Это указывает на недостаток денежных средств, так как они вложены в запасы.

В целом УФПС имеет большие трудности с погашением обязательств. У него очень низкая платежеспособность. По УФПС УР коэффициент ликвидности не удовлетворяет нормальным ограничениям, поэтому перспективы платежных возможностей отражают неустойчивость финансового состояния УФПС УР.

Анализ показателей финансовой устойчивости показывает не достаточную обеспеченность предприятия собственными оборотными средствами.

Финансовая устойчивость характеризуется соотношением собственных и заемных средств. Для этого используются как относительные (К7, К8), так и абсолютные показатели (К4, К6).

В течении всего рассматриваемого периода, просматривается увеличивающийся недостаток собственных оборотных средств (К4) и приравненных к ним долгосрочных заемных средств (К5). К4, К5 меньше 0, а К6 (излишек всех источников финансирования) больше 0 – у УФПС неустойчивое финансовое состояние – нарушена платежеспособность, но сохраняется возможность восстановить равновесие.

Обеспеченность запасов и затрат собственными оборотными средствами и приравненными к ним долгосрочными заемными средствами (К7,8) уменьшается на протяжении всего периода и ниже норматива. УФПС за счет собственных средств не способно сформировать запасы и затраты и находится в зависимости от кредиторской задолженности.

Рыночная устойчивость УФПС характеризуется следующими показателями: неустойчивое соотношение доли собственных средств в общей стоимости имущества предприятия и невысокая маневренность капитала УФПС

Индекс постоянного актива (К9) говорит об уровне формирования активов за счет собственных средств УФПС  Индекс должен стремиться к 1. В УФПС индекс увеличивается.

Коэффициент автономии (К10) показывает удельный вес собственных средств в общей сумме источников финансирования. В УФПС он снижается, к 2004 г. он уменьшился почти в 1,5 раз. УФПС – предприятие с высокой степенью риска.

Коэффициент соотношения заемных и собственных средств (К11) показывает, сколько заемных средств предприятия привлекло на 1 руб. собственного капитала. Он выше нормы. В 2003 г. он уменьшается, а к 2004 г. растет. Это значит, что, а каждый рубль собственных средств вложенных в активы, приходится, в 2004 г. – 1,5 руб. заемных средств. Увеличение значения говорит об увеличения зависимости и уменьшении рыночной устойчивости. Коэффициент должен соответствовать двум ограничениям: быть меньше 1 и быть меньше коэффициента соотношения мобильных и иммобилизоанных средств. По УФПС УР данное ограничение не выполняется, что говорит о неразумном подходе к оформлению кредитов.

Коэффициент маневренности (К12) показывает, какая часть собственных средств УФПС находится в мобильной форме (используется для финансирования текущей деятельности, а какая часть капитализирована). Коэффициент маневренности невысок и далек от оптимального значения и его уменьшение является плохим результатом. Низкое значение этого коэффициента отрицательно характеризует финансовое состояние УФПС и показывает, что собственные средства предприятия не находятся в мобильной форме и предприятие не может маневрировать этими средствами.

Деловая активность характеризуется отдачей всех активов, обязательств, оборотных средств, отдачей собственного капитала и соотношением прибыли, используемой на потребление и накопление.

Коэффициент отдачи всех активов (К13) отражает скорость оборота (в количестве оборотов за период) всего капитала предприятия. Коэффициент в УФПС превышает норматив (К13 = 1) в  2003 г. (1,243), а в 2004 г. он понижается до 1,099.

Оборачиваемость активов  характеризует эффективность использования всех имеющихся ресурсов УФПС независимо от источников их привлечения, то есть показывает, сколько денежных единиц реализованной продукции принесла каждая стоимостная единица активов. Судя по результатам расчетов, наблюдается уменьшение оборачиваемости активов УФПС

Коэффициент оборачиваемости оборотных средств (К14) показывает скорость оборота всех оборотных средств организации. Показатель выше норматива и растет. Оборотные средства оборачиваются за 2003-2004 г. г. – 6,6 раз.

Коэффициент отдачи собственного капитала на конец последнего отчетного периода (К15) растет, то есть оборачиваемость собственного капитала увеличивается. В 2003 г. –4,2, а в 2004 г. – 5,7.

Рост отражает повышение уровня продаж, которое должно в значительной степени обеспечиваться кредитами и следовательно снижать долю собственников в общем капитале УФПС

3.3. Анализ основных и оборотных средств


Основные средства – это та часть  капитала, которая многократно участвует в производственном процессе и переносит свою стоимость на готовый продукт по частям по мере износа (это земельные участки, здания и сооружения, машины и оборудование, транспортные средства и другое).

Были рассчитаны показатели основных и оборотных средств для УФПС УР. Результаты показаны в таблице 16.

Таблица 16

Показатели основных и оборотных средств


Показатели (т.р.)

Расчет

2003 год

2004 год

Объем реализованных услуг (Q)

Стр.10 ф.2

209143

274330

Темп роста реализации продукции

Стр.10 ф.2 отчетного года / Стр. 10 ф.2  базисного года

1,308

1,312

Среднегодовая стоимость основных фондов (Ссг)

(Стр.120 ф.1 на начало года + стр. 120 на конец года) / 2

54285,5

56331

Относительное изменение стоимости основных средств

Стр.120 ф.1 на конец года / стр. 120 на начало года

1,003

1,038

Износ основных средств  (И)

Стр.120 ф.1 на конец года - стр. 120 на начало года

352882

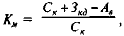
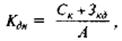
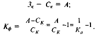
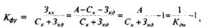
426630

Первоначальная стоимость основных средств (ПС)

Стр. 20 ф.5

1017068

1520319

Стоимость введенных основных средств (ОФвв)

Стр. 50 ф.5

1218254

1860224

Стоимость основных средств на начало периода (ОФн)

Стр.120 ф.1 на начало года

53591

54980

Стоимость основных средств на конец периода (ОФк)

Стр.120 ф.1 на конец  года

54980

57682

Стоимость выбывших основных средств (ОФвыб)

Стр. 40 ф.5

715003

114369

Средний остаток оборотных средств (т.р.) (Оср)

(Стр.290 ф.1 на начало года + стр. 290 на конец года) / 2

31272

41128,5


Результаты расчета коэффициентов приведены  в таблице  17.

Таблица  17

Результаты расчета экономических коэффициентов

Наименование

Расчет

2003 год

2004 год

Фондоотдача (Фо)

ФО = Стр. 10 ф.2 / CСГ

3,853

4,870

Фондоемкость (Фе)

ФЕ = ССГ / Стр. 10 ф.2

0,260

0,205

Коэффициент износа основных средств (Кизн)

КИЗН = И / ОФК

0,347

0,281

Коэффициент годности основных средств (Кгод)

КГОД = ОФК / ПС

0,653

0,719

Коэффициент обновления основных средств (Кобн)

КОБН = ОФВВ / ОФК

22,158

32,250

Коэффициент выбытия основных средств

КВЫБ = ОФВЫБ / ОФН

13,342

2,080

Коэффициент оборачиваемости оборотных средств (Ко)

КО = Q / ОСР 

6,688

6,670

Коэффициент загрузки средств в обороте (Кз)

КЗ = 1 / КО

0,150

0,150

Длительность одного оборота в днях (Д)

Д = 365 / КО

54,6

54,7

Из таблицы 12 можно сделать выводы: с увеличением фондоотдачи снижается фондоемкость основных средств.

Фондоотдача характеризует уровень эффективности использования основных фондов. Она показывает, сколько основных средств задействовано на 1 рубль реализованной продукции или услуг. На величину и динамику фондоотдачи влияют множество факторов зависящих и не зависящих от предприятия.   Фондоотдача увеличивается, это является благоприятным моментом в деятельности УФПС и означает, что с 1 рубля задействованных основных средств на предоставление услуг выходит больше, чем в предыдущие годы. УФПС эффективно использует основные фонды. Рост фондоотдачи ведет к относительной экономии производственных основных фондов и к увеличению объема предоставляемых услуг. В 2004 году с 1 рубля основных фондов предоставлено услуг на 4,87 рубля, а в 2003 году предоставлено услуг только на 3,85 рубля. Увеличение фондоотдачи в 2004 году вызвано ростом количества предоставляемых услуг. Так в 2004 году наблюдался темп роста предоставляемых услуг на 31%.

В УФПС не снижается стоимость основных средств, так как основные средства обновляются. Но значение коэффициента годности увеличивается, а это свидетельствует о том, что вводится в эксплуатацию  новое оборудование. И износ основных средств увеличивается.

Состояние технической базы показывают коэффициенты обновления и выбытия основных средств. В УФПС приобретается новое оборудование, но не все старое списывается.

Вывод средств из оборота способствует увеличению фондоотдачи. Однако подобное увеличение нельзя назвать эффективным использованием основных средств.

Фондоемкость – показатель обратный фондоотдаче. Он показывает, сколько единиц продукции реализовано на 1 рубль основных средств. Фондоемкость в УФПС снижается, показывая тем самым, что для реализации 1 единицы продукции требуется меньше основных средств (в 2004 г.), чем в предыдущем периоде.

Коэффициент оборачиваемости оборотных средств показывает, какой объем реализации получен на 1 рубль задействованных оборотных средств. Чем выше этот показатель, тем лучше. В УФПС он нормальный и растет. В 2003 году получилось, что с 1 рубля оборотных средств предоставлено услуг на 6,68 рублей. Ускорение оборачиваемости оборотных средств уменьшает потребность в них и позволяет УФПС высвобождать часть оборотных средств для увеличения объемов предоставляемых услуг.

Коэффициент загрузки показывает, сколько потребовалось оборотных средств, чтобы реализовать продукцию на 1 рубль. Коэффициент показывает, что для реализации 1 рубля продукции пришлось задействовать оборотных средств в 2003 г. и 2004 г. 15 копеек.

Длительность одного оборота в днях показывает, сколько в среднем необходимо дней УФПС для превращения денежной формы оборотных средств в товарную группу и через него снова в денежную. Длительность 1 оборота в УФПС невысокая и это означает, что в 2004 г. чтобы совершить 6,67 оборотов понадобилось 55 дней.

3.4. Динамика  объемов производства


Главным показателем работы предприятия является объем выпускаемой им продукции или услуг.

Данные динамики объема производства услуг УФПС представлены в таблице 18.

Таблица 18

Динамика объема производства услуг УФПС УР

Период

Объем производства в фактических ценах

Объем производства в сопоставимых ценах к 2002 г. (/ 1,1 – инд.инфляции)

Темп роста, %

Темп прироста, %

2003 год

123568 (стр. 10 ф.2)

112334,54 (стр. 10 ф.2 / 1,1)

132

+32

2004 год

165642 (стр. 10 ф.2)

150592,72 (стр. 10 ф.2 / 1,1)

134

+34


Произведенные мною расчеты показали, что 2003 по 2004 г.г. наблюдается рост производств: в 2003 г. на 32%, а в 2004 г. самый высокий - на 34%. Поскольку данные об объемах предоставляемых услуг приведены в стоимостных показателях, то можно сказать, что увеличение объемов к 2004 году обусловлено увеличением количества предоставляемых услуг, повышением тарифов по услугам и регулярным проведением маркетинговых исследований по услугам и рекламных кампаний.

3.5. Прибыль и рентабельность


Получение прибыли – одна из главных целей предприятия. Прибыль от реализации услуг УФПС образуется как разница между выручкой от реализации, себестоимостью услуг, коммерческих и управленческих расходов.

Прибыль от реализации продукции в целом по предприятию зависит от четырех факторов: объема реализации услуг, их структуры, себестоимости и уровня среднереализационных цен.

Объем реализации может оказывать положительное и отрицательное влияние на сумму прибыли. Увеличение объема рентабельных услуг приводит к пропорциональному увеличению прибыли. Если же определенные услуги  являются убыточными, то при увеличении объема реализации происходит уменьшение суммы прибыли.

Структура услуг может оказывать как положительное, так и отрицательное влияние на сумму прибыли, если увеличится доля более рентабельных видов услуг в общем, объеме их реализации, то сумма прибыли возрастет и, наоборот, при увеличении удельного веса низкорентабельных или убыточных услуг общая сумма прибыли уменьшится.

Себестоимость продукции и прибыль находятся в обратно пропорциональной зависимости: снижение себестоимости приводит к соответствующему росту суммы прибыли, и наоборот.

Изменение уровня среднереализационных цен и величин прибыли находятся, в прямо пропорциональной зависимости при увеличении уровня цен сумма прибыли возрастает, и наоборот.

Информация, содержащаяся в отчетной форме №2, позволяет проанализировать финансовые результаты, полученные от всех видов деятельности, установить структуру прибыли.

Проведем анализ отчета о прибылях и убытках предприятия (таблица 19).

Таблица 19

Анализ отчета о прибылях и убытках   УФПС Удмуртии

за период 2003 – 2004 г.г. (тыс.руб.)

Показатели

Коды строк

Значение
показателя

Изменение

2003г.

2004г.

абс.

%

Выручка (нетто) от реализации

10

209143

274330

+65187

131

Себестоимость продукции

20

194801

255100

+60299

131

Коммерческие расходы

30

7573

18122

+10545

239

Прибыль (убыток) от реализации

50

6769

1108

-5661

16

Рентабельность продаж (себестоимость/выручка), %


93,1

92,9

-0,2

99

Уровень общей рентабельности (прибыль/выручка), %
 

3,2

0,4

-2,8

13

Отношение выручки к себестоимости


1,07

1,07

0

100

Проценты к получению

60

19

63

+44

332

Проценты к уплате

70

1429

1800

+371

126

Прочие операционные доходы

90

126

127

+1

101

Прочие операционные расходы

100

3202

4882

+1680

152

Внереализационные доходы

120

504

382

-122

76

Внереализационные расходы

143

264

677

+413

256

Прибыль (убыток) до налогообложения

1102

2551

-5643

-8194

-221

Налог на прибыль и другие платежи

223

724

388

-336

54

Прибыль (убыток) от деятельности

804

1827

-6031

-7858

-330

Рентабельность чистой прибыли (прибыль от деятельности/выруч-ка), %
0,5

0,9

0

-

-


Из таблицы можно сделать следующие выводы:

-    УФПС получало прибыль, а в 2004 году работало в убыток, так как существенно выросли коммерческие расходы (на 239%), внереализационные расходы (на 256%), а также себестоимость продукции (на 131%);

-   уровень рентабельности продаж уменьшился за период на 1%, а уровень общей рентабельности – на 76%.

Причем, динамику рентабельности чистой прибыли невозможно проследить за рассматриваемый период, т.к. в 2004г. предприятие понесло убытки в размере 6031 тыс. руб.

Для того чтобы охарактеризовать эффективность использования имущества или отдельных его видов, а также затрат на производство следует рассмотреть показатели рентабельности. Рентабельность отражает степень прибыльности деятельности УФПС

Были рассчитаны показатели рентабельности для УФПС УР. Исходные данные для их расчета приведены в таблице 20, а результаты расчетов – в таблице 21.

Таблица 20

Исходные данные для расчета рентабельности

Показатель

Расчет

2003 г.

2004 г.

Чистая прибыль

Стр. 190 ф.2

804

1827

Средняя величина собственного капитала

(Стр.490 ф.1 на начало года + стр. 490 на конец года) / 2

49838

48185,5

Прибыль от реализации

Стр. 50 ф.2

6769

1108

Себестоимость реализованной продукции

Стр. 20 ф.2

194801

255100

Средняя стоимость совокупных активов

(Стр.300 ф.1 на начало года + стр. 300 на конец года) / 2

168193

249648,5

Средняя стоимость текущих активов

(Стр.190 ф.1 на начало года + стр. 190 на конец года) / 2

31272

41128,5

Таблица 21

Показатели рентабельности предприятия (%)

Показатели

Расчет

2003г.

2004г.

Абс.

%

Рентабельность собственного капитала

Чистая прибыль / Величина собственного капитала

1,6

3,8

+2,3

253

Рентабельность основной деятельности

Чистая прибыль / Величина собственного капитала

3,5

0,4

-1,4

22

Рентабельность совокупных активов

Прибыль от реализации / Себестоимость

0,5

0,7

+0,1

117

Рентабельность текущих активов

Чистая прибыль / Средняя стоимость текущих активов

2,6

4,4

+3,1

338


Темпы роста  показателей рентабельности изменились следующим образом:

-   рентабельность собственного капитала увеличилась на 138%;

-   рентабельность от основной деятельности уменьшилась на 89%.

-   рентабельность совокупных активов увеличилась на 40%;

-   рентабельность текущих активов увеличилась на 69%.

Рентабельность собственного капитала характеризует эффективность использования собственных источников финансирования, то есть, сколько денежных единиц чистой прибыли получено УФПС на одну денежную единицу среднегодовой суммы собственного капитала. В УФПС рентабельность собственного капитала увеличивается с2003 г. по 2004 г. на 138%. Рентабельность основной деятельности показывает долю прибыли, находящуюся на одну денежную единицу затрат. В УФПС в 2003 – 3,5, 2004 – 0,4. Коэффициент рентабельности совокупных активов говорит о способности использовать совокупные активы, (то есть основные и оборотные активы). Его рост равен 40%.

Коэффициент рентабельности текущих активов характеризует способность предприятия использовать оборотный капитал. Он свидетельствует о том, сколько денежных единиц потребовалось УФПС для получения одной единицы прибыли. В течение рассматриваемого периода количество денежных единиц на получение одной единицы прибыли возрастает на 169%.

3.6. Предложения по улучшению финансовой устойчивости
предприятия


Одной из самых главных задач предприятия является оценка финансового положения предприятия, которая возможна при совокупности методов, позволяющих определить состояние дел предприятия в результате анализа его деятельности на конечном интервале времени.

В конечном результате после анализа руководство предприятия получает картину его действительного состояния, а лица, непосредственно не работающим на данном предприятии, но заинтересованным в его финансовом состоянии (например, кредиторам, которые должны быть уверены, что им заплатят; аудиторам, которым необходимо распознавать финансовые хитрости своих клиентов; вкладчикам и др.)  - сведения, необходимые для беспристрастного суждения (например, о рациональности использования вложенных в предприятие дополнительных инвестиций и т.п. ).

Финансовые показатели сами по себе не являются причиной неудач организации. Они всего лишь индикаторы неблагополучия, глубинные причины которого кроются в непосредственной хозяйственной деятельности, а также в стратегии действий, которую выбрало руководство фирмы. Следовательно, неудовлетворительные финансовые показатели должны послужить отправной точкой не только для пересмотра финансовых планов, но и в первую очередь для переформулирования общей стратегии предприятия.

В ходе выполнения настоящей дипломной работы было рассмотрено современное состояние дел в   УФПС . Основным источником информации для анализа явился баланс предприятия за 2003-2004 гг., а также отчет о прибылях и убытках за соответствующие периоды.

В соответствии с полученными в ходе анализа данными, финансовая стабилизация в   УФПС , на мой взгляд, последовательно должна осуществляться по таким основным этапам:

-   устранение неплатежеспособности. В какой бы степени не оценивалось состояние предприятия, наиболее неотложной задачей в системе мер финансовой стабилизации является обеспечение восстановления способности платежей по своим текущим обязательствам.

-   восстановление финансовой устойчивости. Хотя неплатежеспособность предприятия может быть устранена в течение относительно короткого периода времени, причины, генерирующие неплатежеспособность, могут оставаться неизменными, если не будет восстановлена до безопасного уровня финансовая устойчивость предприятия. Это позволит устранить угрозу финансового кризиса на предприятии не только в коротком, но и в относительно продолжительном периоде.

-   изменение финансовой стратегии с целью ускорения экономического роста. Полная финансовая стабилизация достигается только тогда, когда предприятие обеспечивает стабильное снижение стоимости используемого капитала и постоянный рост своей рыночной стоимости. Эта задача требует ускорения темпов экономического развития на основе внесения определенных корректив в финансовую стратегию предприятия. Скорректированная с учетом неблагоприятных факторов финансовая стратегия предприятия должна обеспечивать высокие темпы его производственного развития при одновременном увеличении финансовой устойчивости в предстоящем периоде.

С целью комплексного решения выше перечисленных проблем и задач не только для   УФПС , но и для других предприятий, находящихся в подобном состоянии, предлагаю создать отдел перспективного развития.

Отдел перспективного развития должен являться самостоятельным структурным подразделением, структуру и штаты которого должен утверждать генеральный директор, исходя из объема работ, возложенных на отдел. Данное структурное образование должно заниматься анализом ближайшей и будущей рыночной перспективы, решать четыре группы вопросов:

а) исследование последствий принципиальных решений высшего руководства:

-   освоение нового вида бизнеса;

-   организация совместных предприятий с зарубежными партерами;

-   варианты крупного инвестирования капитала и др.

б) осуществление активного маркетинга. Это постоянно действующее направление работы думающего аналитического центра, который периодически или по запросу дает своему руководству оценку рыночной обстановки сегментов рынка, на которых работает предприятие и прогнозы на будущее.

в) анализ   и   совершенствование   системы  управления   и организационной структуры.

г) перспективное техническое развитие. В целом, осуществление деятельности отдела перспективного развития руководствуется:

-   действующим законодательством;

-   приказами и распоряжениями руководства предприятия;

-   положением об отделе развития и собственности;

-   планом работ компании, планом работ отдела развития и собственности;

В ходе решения текущих задач или в целях получения необходимой информации к работе могут подключаться необходимые сотрудники предприятия по договору - специалисты других юридических лиц, специализированные фирмы.

Основные задачи, решаемые отделом перспективного развития:

-   разработка краткосрочной, среднесрочной и долгосрочной стратегии маркетинга по основным направлениям деятельности предприятия;

-   методическое руководство, контроль за деятельностью предприятия на предмет организации регулярного маркетинга;

-   оценка привлекательности предложенных для реализации предприятию инвестиционных проектов;

-   обоснование целесообразности и окупаемости инвестиций;

-   подготовка предложений для эффективного ведения инвестиционной политики;

-   анализ и разработка предложений по совершенствованию системы управления предприятием;

-   отслеживание новейших разработок в области техники и технологии по основным направлениям деятельности предприятия.

Основные функции, осуществляемые отделом перспективного развития:

выявление передовых тенденций в мировой практике по профилю предприятия;

-   анализ и прогнозирование основных конъюнктурообразующих факторов потенциальных рынков сбыта реализуемой продукции и услуг, реального платежеспособного спроса на реализуемую продукцию и услуги, соотношения спроса и предложения на конкретные виды продукции, объемов поставки, технического уровня и качества конкурирующей продукции, ее преимуществ и недостатков по сравнению с продукцией данного предприятия, наличия новых рынков сбыта и новых потребителей реализуемой продукции и услуг;

-   расчет емкости рынка для продукции предприятия;

-   определение удельного веса продукции основных конкурентов в общем объеме сбыта на данном рынке;

-   организация обратной связи с потребителями: изучение мнения потребителей и их предложений по улучшению оказываемых услуг;

-   разработка предложений по повышению технического уровня и качества исследуемой продукции и услуг;

-   анализ состояния реализации продукции и услуг предприятия, выявление продукции, не имеющей достаточного сбыта, определение причин этого.

-   разработка предложений и рекомендаций по изменению характеристик, конструкций и технологии производства продукции предприятия с целью улучшения ее потребительских свойств с учетом мнения пользователей и передовых достижений;

-   участие совместно с экономическими, технологическими отделами предприятия в разработке политики ценообразования.

Результатом реализации мероприятий может стать финансовая и экономическая стабилизация производственно-хозяйственной деятельности   УФПС .

Для улучшения финансового состояния предприятия необходимо:

а) увеличение объема реализации за счет диверсификации производства, поиска новых заказчиков, налаживанию хозяйственных связей с поставщиками сырья и материалов;

б) ликвидация просроченной дебиторской задолженности;

в) привлечение инвестиционных вложений;

г) уменьшение кредиторской задолженности перед поставщиками, по кредитным платежам,, перед бюджетом, по социальному страхованию, внебюджетным фондам.

д) обеспечение безубыточности, ритмичности производства и реализации продукции без наращивания долгосрочных привлечённых средств.

Достичь увеличения прибыли на предприятии   УФПС  можно и снижением налогообложения предприятия, например:

-   регулированием оценки активов (имущества) предприятия выбором источников снижения полученных результатов;

-   распределением доходов и расходов между смежными отчетными периодами;

-   снижением налога на имущество за счет уменьшения имущества к концу года;

-   рациональной ценовой политикой и т.д.

Можно выделить следующие конкретные методы варьирования финансовыми результатами:

а) варьирование границей норматива отнесения актива к основным средствам. Предприятие   УФПС  имеет право снижать этот норматив и тем самым, изменить величину текущих затрат, а следовательно, и прибыли;

б) в соответствии с решениями федеральных органов власти проводится периодическая переоценка основных средств. В случаях, когда финансово-экономические показатели предприятия после переоценки существенно ухудшаются, разрешено использовать понижающие коэффициенты к амортизационным отчислениям в размере 0,5. Принятие того или иного решения влияет на прибыль;

в) предприятие   УФПС  имеет право применять ускоренную амортизацию активной части производственных фондов. При введении ускоренной амортизации применяется равномерный (линейный) метод ее начисления, при котором утвержденная в установленном порядке норма годовых амортизационных отчислений увеличивается на коэффициент ускорения не выше двух. Решение об использовании ускоренного метода также может существенно повлиять на прибыль анализируемого предприятия;

г) выбор различных методов оценки производственных запасов (ФИФО, ЛИФО, средних цен) может существенно отразиться на величине прибыли.

Очевидно, что уменьшение собственного капитала за счет кредиторской задолженности увеличивает рентабельность, если прибыль неизменна. То есть любая отсрочка платежей (за приобретенные товары, работы или услуги, платежи в бюджет, по оплате труда и т.п.) увеличивает рентабельность собственного капитала.

Однако часто за кредиторскую задолженность приходится платить. Это могут быть проценты за банковские ссуды, увеличение стоимости приобретенных в кредит товаров, различного рода штрафы, пени, неустойки и т.п.

В практике УФПС  был случай, когда директором, по совету бухгалтера, было приобретено товаров с отсрочкой платежа на большие суммы. Мотивировал бухгалтер свои рекомендации тем, что запасы не облагаются налогами. Собственный капитал фирмы был затрачен на имущество, оборотных средств почти не было, оборот у магазина небольшой. В результате, когда пришло время оплачивать приобретенные товары, средств на это не было.

Поставщик поставил партию товара на 100 тыс. руб. с отсрочкой платежа 10 банковских дней. За эти 10 дней из данной партии было реализовано товара на 20 тыс. руб. (в ценах приобретения). Таким образом, за счет выручки от реализации мы можем оплатить только 20 тыс. руб. (если допустить, что прибыль не расходуется на увеличение оборотных средств). А оставшиеся 80 тыс. руб. мы должны оплатить за счет средств, имеющихся в распоряжении предприятия.

Получается, что каждый акт приобретения товаров с отсрочкой платежа можно разбить на 2 части. Первая часть - это приобретение товаров в кредит с оплатой покупки после реализации этих товаров. Это довольно выгодно, поскольку не затрагивает собственные средства фирмы. Вторая же часть - это приобретение нереализованной (за время отсрочки платежа) части товаров за счет собственных средств фирмы. А это уже очень не выгодно, поскольку обычно цены на товары, предоставляемые в кредит, выше цен на товары, оплачиваемые сразу.

Можно сделать вывод, что если у фирмы отсутствуют оборотные средства, то приобретать товары в кредит она может только в количестве, которое можно реализовать за время отсрочки платежа за приобретение этих товаров.

Сравним два варианта. Первый вариант - партия товара оплачивается сразу. Второй вариант - партия товара берется в кредит, но по более высокой цене. В первом случае прибыль больше, чем во втором, но зато и вкладываемый капитал также больше. Поэтому рентабельность может быть выше как в первом случае, так и во втором.

Однако балансовые остатки кредиторской задолженности могут служить лишь отправной точкой для исследования вопроса о влиянии расчетов с кредиторами на финансовое состояние. Если дебиторская задолженность больше кредиторской, это является возможным фактором обеспечения высокого уровня коэффициента общей ликвидности. Одновременно это может свидетельствовать о более быстрой оборачиваемости кредиторской задолженности по сравнению с оборачиваемостью дебиторской задолженности. В таком случае в течение определенного периода долги дебиторов превращаются в денежные средства, через более длительные временные интервалы, чем интервалы, когда предприятию необходимы денежные средства для своевременной уплаты долгов кредиторам. Соответственно возникает недостаток денежных средств в обороте, сопровождающийся необходимостью привлечения дополнительных источников финансирования. Последние могут принимать форму либо просроченной кредиторской задолженности, либо банковских кредитов.

По существу, выручка от продаж является единственным средством для погашения всех видов кредиторской задолженности. Поступление денежных средств от продаж определяет возможности предприятия по погашению долгов кредиторам. Как правило, большая часть дебиторской задолженности формируется как долги покупателей. Установление с покупателями таких договорных отношений, которые обеспечивают своевременное и достаточное поступление средств для осуществления платежей кредиторам – главная задача управления движением кредиторской задолженности.

Управление движением кредиторской задолженности – это установление таких договорных взаимоотношений с поставщиками, которые ставят сроки и размеры платежей предприятия последним в зависимость от поступления денежных средств от покупателей.

Следовательно, практически речь идет об одновременном управлении движением как дебиторской, так и кредиторской задолженности. Практическое осуществление такого управления предполагает наличие информации о реальном состоянии дебиторской и кредиторской задолженности в данном периоде. Поэтому в качестве исходных данных для такой оценки должны быть приняты долги, относящиеся именно к этому периоду. Иными словами, из балансовых остатков дебиторской и кредиторской задолженности надо исключать долгосрочную и просроченную, т.е. элементы долгов, превращение которых в денежные средства относятся к другим временным периодам. Оставшаяся после этого часть дебиторской и кредиторской задолженности есть основа для оценки периодичности поступления долгов покупателей, достаточного для погашения кредиторской задолженности, а также балансовых остатков дебиторской и кредиторской задолженности на конец периода при условии их оборачиваемости в соответствии с договорными условиями или установленным порядком расчетов.

В конечном счете все это позволяет ответить на вопрос, оборачивают ли договорные условия расчетов с покупателями и поставщиками потребность предприятия в денежных средствах и достаточный уровень его платежеспособности.

Предположим, что УФПС  имеет следующие показатели за квартал (тыс. руб.):

Выручка от продаж – 2002

Затраты на реализованные услуги – 1500

Средние балансовые остатки дебиторской задолженности – 800

Из них долгосрочная – 50

Из них просроченная – 100

Средние балансовые остатки кредиторской задолженности – 700

Из них долгосрочная – 50

Из них просроченная – 80

Изменение балансовых остатков запасов за период (+,-) - +90

Исходя из приведенных отчетных данных предприятия, можно определить показатели, характеризующие движение дебиторской и кредиторской задолженности.

Однодневная выручка от продаж составляет 2002/90 = 22,22 тыс. руб. Соответствующая ей дебиторская задолженность равна 800 – 50 – 100 = 650 тыс. руб. Следовательно, средняя оборачиваемость дебиторской задолженности как результат договорных условий расчетов с покупателями составляет 29 дней (650/22,22 = 29,25).

Однодневные затраты на услуги с учетом изменения остатков запасов равны (1500 + 90)/90 = 17,67 тыс. руб. Кредиторская задолженность, относящаяся к оцениваемому кварталу: 700 – 50 – 80 = 570 тыс. руб.

Средняя оборачиваемость кредиторской задолженности, отражающая условия расчетов с поставщиками, расчетов по оплате труда и расчетов с бюджетом, равна 32 дня (570/17,67 = 32,26).

Таким образом, в среднем через каждые 29 дней предприятие получает оплату от дебиторов и через каждые 32 дня обязано платить кредиторам.

Еще раз обращаем внимание на то, что эти средние показатели оборачиваемости сложились как совокупный результат всех договорных условий расчетов с покупателями и поставщиками, а также сроков выплат по фонду оплаты труда и бюджету. Поэтому они могут служить для оценки влияния финансовое состояние предприятия условий расчетов с покупателями и поставщиками.

Если условия расчетов не нарушаются, то каждые 29 дней   УФПС  получает денежные средства от клиентов в сумме, равной 650 тыс. руб., а каждые 32 уплачивает кредиторскую задолженность в размере 570 тыс. руб. Если такие же условия расчетов сохраняются и в последующих кварталах, то можно проследить движение платежей дебиторов и кредиторам и состояние денежных средств на каждую дату платежа дебиторов и платежа кредиторам. При этом можно оценить, порождают ли сложившиеся условия расчетов недостаток средств в обороте или свободные средства в обороте, какова величина названных средств, в течение какого периода времени они имеют место, определить остатки дебиторской и кредиторской задолженности на конец периода, оценить в целом влияние условий расчетов на финансовое состояние предприятия, факторы, формирующие характер этого влияния. В конечном счете оценка всего перечисленного позволяет принимать решения об изменениях условий расчетов с покупателями и поставщиками в пределах имеющихся возможностей.

В таблице 22 показано движение денежных средств под влиянием расчетов с покупателями и поставщиками в условиях нашего предприятия. Предполагается, что такие условия расчетов действуют в течение двух кварталов.

Таблица 22

Движение дебиторской и кредиторской задолженности предприятия при соответствии условий расчетов договорным (тыс. руб.) – 1 вариант

Порядковый номер дня платежа

Поступления платежей дебиторов

Платежи кредиторам

Свободные средства (+), недостаток средств в обороте (-)

1

2

3

4

29

650

-

+650

32

-

570

+80

58

650

-

+730

64

-

570

+160

87

650

-

+810

90

-

-

+810

Продолжение таблицы 22

1

2

3

4

96

-

570

+240

116

650

-

+890

128

-

570

+320

145

650

-

+970

160

-

570

+400

174

650

-

+1050

180

-

-

+1050


Результаты расчета показывают, что взаимоотношения предприятия с дебиторами и кредиторами, соответствующие условиям расчетов с ними, благоприятны для предприятия: в обороте постоянно присутствуют свободные средства, сумма которых последовательно растет. Однако рост свободных средств не является равномерным: по состоянию на отдельные даты их сумма снижается, а затем снова возрастает. В течение всего периода предприятие может использовать в обороте свободные средства в размере 80 тыс. руб., а в отдельные отрезки времени – значительно большие суммы. В этих условиях предприятие способно погасить просроченную кредиторскую задолженность (80 тыс. руб.), даже если дебиторы не вернут свою просроченные долги (100 тыс. руб.).

Рассмотрим теперь состояние балансовых остатков дебиторской и кредиторской задолженности и их влияние на уровень коэффициента общей ликвидности. Сравним эти данные на две даты – 90-ый день и 180-й день. Допустим, что к 90-му дню погашена вся просроченная кредиторская задолженность и не возникает в последующем; погашена и не возникает в последующем также вся просроченная дебиторская задолженность. Долгосрочная дебиторская и кредиторская задолженность сохраняется в прежних размерах.

Как видно из данных таблицы, на 90-ый день переходящие остатки дебиторской задолженности соответствуют 3 дням (последний платеж кредиторам производится на 74-й день). Таким образом, на конец квартала краткосрочная дебиторская задолженность составит 22,22 х 3 = 66,66 тыс. руб., а краткосрочная кредиторская задолженность – 17,67 х 26 = 495,42 тыс. руб. Других краткосрочных заемных источников финансирования предприятие не имеет.

Стоимость оборотных активов зависит, кроме краткосрочной дебиторской задолженности, от стоимости запасов, остатков денежных средств и долгосрочной дебиторской задолженности. Но даже не зная стоимости оборотных активов на каждую из рассматриваемых дат, можно предположить, что на конец полугодия уровень коэффициента общей ликвидности будет выше, чем на конец квартала: кредиторская задолженность на конец полугодия ниже, а дебиторская – выше, чем на конец квартала. При этом нет опасности возникновения просроченной кредиторской задолженности, т.к. предприятие имеет большую сумму свободных средств в обороте. Эта сумма, однако снизится на 192-й день до 780 тыс. руб., т.к. наступит срок расчетов с кредиторами. До следующей даты платежей кредиторам предполагается поступление дебиторской задолженности и свободные средства на некоторое время составят 1130 тыс. руб. (480 + 650 = 1130). Таким образом, в условиях нашего предприятия при соблюдении дебиторами договорных сроков платежей предприятие имеет средства для своевременных расчетов с кредиторами и постоянно располагает свободными средствами в обороте.

Рассмотрим в целом основные предложения по совершенствованию деятельности УФПС  и рассчитаем экономическую эффективность от внедрения предложенных мероприятий. Для этого составим таблицу 23.

Таблица 23

Экономическая эффективность предложенных мероприятий

Предложение

Необходимые мероприятия

Затраты

Изменение показателей

Экономический эффект

1

2

3

4

5

Совершенствование управления денежными потоками

Увеличение активных статей баланса

Ок. 50000 руб.

Повышение коэффициентов финансовой устойчивости

До 20020 руб. ежегодно

Продолжение таблицы 23

1

2

3

4

5


Амортизация основного капитала

-

Уменьшение налогов на имущество

До 5000 руб. ежегодно


Управление дебиторской и кредиторской задолженностью

-

Снижение влияния инфляционного обесценивания задолженности

До 20020 руб. ежегодно

Эффективное использование основных фондов

Сокращение незавершенного производства

100000 руб.

Увеличение мощности предприятия, рост объема сбыта

До 30000 руб. ежегодно


Ввод в действие новых мощностей

50000 руб.

Увеличение мощности предприятия, рост объема сбыта

До 15000 руб. ежегодно


Повышение конкурентоспособности продукции

30000 руб.

Увеличение объема сбыта

До 30000 руб. ежегодно


Снижение затрат на производство

-

Увеличение коэффициента рентабельности

До 15000 руб. ежегодно


Повышение интенсивности использования мощностей

-

Увеличение мощности предприятия, рост объема сбыта

До 10000 руб. ежегодно


Повышение экстенсивности нагрузки

-

Увеличение мощности предприятия, рост объема сбыта

До 15000 руб. ежегодно


Совершенствование морального и материального стимулирования

50000 руб.

Рост производительности труда

До 30000 руб. ежегодно


Продолжение таблицы 23

1

2

3

4

5

Снижение расходов и  отчислений

Рациональная ценовая политика

-

Рост объема сбыта

До 15000 руб. ежегодно


Оптимизация распределения прибыли на потребление и развитие производства

-

Увеличение мощности предприятия, рост объема сбыта

До 30000 руб. ежегодно


Оптимизация налоговых платежей

-

Увеличение доли чистой прибыли

До 10000 руб. ежегодно


Усиление роли специализированного отдела маркетинга

30000 руб.

Увеличение объема сбыта

До 30000 руб. ежегодно


Совершенствование кредитных отношений

-

Увеличение доли чистой прибыли

До 10000 руб. ежегодно


Создание отдела перспективного развития

30000 руб.

Увеличение объема сбыта

До 30000 руб. ежегодно


Затем составим график, характеризующий перспективу повышения эффективности деятельности предприятия от внедренных мероприятий в ближайшие 5 лет.

Рис.5. Перспективы развития предприятия


ЗАКЛЮЧЕНИЕ


Таким образом, в дипломной работе проанализированы проблемы адаптации УФПС УР в условиях рынка, дана характеристика, структура и виды оказываемых услуг, представлен полный экономический анализ хозяйственной деятельности Управления Федеральной почтовой связи УР, который включает в себя  анализ финансовой устойчивости предприятия, анализ ликвидности баланса, анализ эффективности использования ресурсов, анализ деловой активности.

Как показал  анализ финансовой деятельности, УФПС УР испытывает те же трудности, что и многие предприятия страны. Снизилась потребность в почтовых услугах, растут цены - все это развертывается на фоне снижения платежеспособности населения. И поэтому УФПС ведет поиск новых видов услуг, используя имеющийся производственный  потенциал, что привело к необходимости создания: коммерческой службы, рекламного агентства, электронной почты, отдела по приему отправлений по системе EMS-Гарантпост (на Почтамте), нетрадиционных видов услуг, а также развитию торговли на почте и открытию магазинов, что позволит увеличить прибыльность и сохранить рабочие места. В целом Управление находится в зависимости от кредиторской задолженности и имеет большие трудности с погашением обязательств.

Практически аналогичная ситуация отслеживается и по остальным показателям. В Управлении на протяжении всего рассматриваемого периода была и остается невысокая маневренность капитала.  Коэффициент автономии  снижается к 2004 году (0,164) и свидетельствует о финансовой зависимости УФПС  повышении риска финансовых затруднений будущих периодов.

Судя по результатам коэффициентов деловой активности, в УФПС наблюдается уменьшение оборачиваемости активов.

Можно отметить, что, несмотря на усилия, предпринимаемые УФПС УР, и весьма ограниченную поддержку из федерального бюджета, общее финансовое состояние Управления Федеральной почтовой связи УР является неустойчивым.

Выжить в таких условиях тяжело. На строгий учет взята каждая штатная единица. Объединяются рабочие места, работники переводятся на почасовую оплату труда. И не случайно перед УФПС УР со всей остротой встала проблема снижения затрат и изыскания дополнительных доходов за счет развития нетрадиционных услуг, улучшения качества обслуживания населения.

В качестве мер по обеспечению прибыльности предприятия можно предложить совершенствование тарифной политики на услуги почтовой связи, активизацию работы по развитию  таких нетрадиционных услуг, как: прием платы за электроэнергию и коммунальные услуги, перевозка грузов, реализация товаров народного потребления, развитие рекламной деятельности, а также расширение форм и методов распространения  печати и сокращение основных непроизводственных расходов.

На поиск новых выгодных клиентов, сохранение «старых» крупных корпоративных клиентов, разработку и внедрение новых перспективных услуг должны быть направлены силы работников маркетинговых подразделений организаций почтовой связи как в УФПС  так и в РУПС и почтамте. Также считаю, что нужно разумно подойти  к развитию посылочной торговли (по предоплате, по системе наложенного платежа, по системе продаж по TV и т.д.), что позволит почте выполнять свойственные ей функции.

Пока еще слабо развита услуга по распространению рекламы, особенно адресной. Здесь – широкое поле деятельности, связанное с поиском клиентов, разработкой и изготовлением рекламы, изучения различных сегментов рынка для того, чтобы сделать рекламу более действенной и адресной. В этом деле особенно важно правильно подобрать базу данных, используя в полной мере имеющуюся в каждом регионе адресную информацию о предприятиях, организациях и жителях.

Реализация данных направлений позволит эффективно использовать существующую почтовую сеть, повысить экономические показатели работы УФПС УР, такие как: прибыль, рентабельность, себестоимость.

В современных условиях управления предприятием необходимо быстро и своевременно реагировать на изменения происходящие, как внутри предприятия так и извне. Поскольку данная проблема неразрешима обычными мерами экономического и организационного воздействия, то на предприятии  возникла необходимость использования АСУ.

По результатам проведенного анализа можно признать организацию работы в области функционирования АСУ на предприятие удовлетворительной. Так как на предприятии на 80% рабочие места обеспечены ПЭВМ, создана локальная вычислительная сеть (ЛВС) - 1 файл сервер и 10 рабочих станций (РС). Введен в действие абонентский узел сети «Релком» и внедрены АРМ «Документ», «Юрист», «Отдел инвестиций», «Бухгалтерия», «Плановый отдел».

Нужно также отметить, что в России создана законодательная база для деятельности в области почтовой связи. Были приняты законы о связи и фельдъегерской связи. В законе о связи сказано, что государственные учреждения почтовой связи, специальной связи и федеральной фельдъегерской связи образуют  единую почтовую территорию для взаимного обмена почтовыми отправлениями.

Имея статус государственной службы с правом ведения хозяйственной деятельности,  государственная почта России имеет возможность зарабатывать денежные средства  на  дополнительных  услугах,  коммерческой  деятельности, что  нам  крайне необходимо в сложных сегодняшних экономических условиях, сопровождающихся падением объемов почты.

В результате разделения почты и электросвязи, получив полную хозяйственную самостоятельность, УФПС УР может реально оценивать свое  экономическое состояние и принимать соответствующие меры для выправления положения. Пройдя в течение последних пяти лет тяжелейшую “обкатку” рынком, сложнейшими процессами разделения почты и электросвязи  и становления государственной почтовой службы, руководители всех уровней  и рядовые почтовые  работники  приобрели опыт самостоятельного хозяйствования, опыт поиска и внедрения новых услуг, опыт выживания в новых рыночных условиях.

Дальнейшее развитие  и расширение службы почтовой безопасности,  деятельность которой должна распространиться на все регионы России и охватить как международную так и внутреннюю почту, позволит значительно поднять уровень сохранности почтовых отправлений, а значит и качество предоставляемых почтовых услуг.

Успешное решение стоящих перед Российской почтой задач и проблем  возможно лишь при жесткой управляющей, технологической и производственной дисциплине, улучшении работы с клиентурой, создании маркетинговых служб на местах. Необходимо изменить сознание всех почтовых работников, чтобы каждый ясно понимал, что заработную плату не получают, а зарабатывают, и что есть только две альтернативы: или работник  благодаря  собственным  усилиям  и  усилиям   коллектива сохранит    свое рабочее место, или его заменит представитель частной структуры, который умеет лучше работать с клиентом и готов предоставить ему более доступную и качественную услугу.  В условиях  цивилизованного свободного рынка, окончательное право выбора производителя товара или услуги, всегда остается за клиентом для которого мы и существуем, и за которого должны бороться.

Несмотря на серьезные препятствия в виде конкуренции на сегодняшнем рынке почтовых услуг  и государственной регуляции, Почта продолжает предоставлять универсальные услуги, доступные всем без исключения, ни одна другая компания или корпорация, специализирующаяся на доставке сообщений не может сравниться с Почтовой Службой  по количеству пунктов приема и доставки сообщений.

В условия возрастающей конкуренции необходимо разработать, утвердить и реализовать комплексную программу подготовки и переподготовки кадров почтовой связи. Следует активизировать работу по оснащению подразделений Службы безопасности почты техническими и транспортными средствами, а также по организации прямой связи между центром и региональными подразделениями Службы безопасности почты.   Необходимо продолжить активно внедрять новые информационные технологии почтовой связи, приступить к планомерной замене устаревших контрольно-кассовых машин почтовыми терминалами нового поколения. Я уверена, что почта  может  отвечать требованиям, предъявляемым к ней, и что она за рубежом нашего тысячелетия будет вносить важный вклад в развитие Российской экономики.

СПИСОК ЛИТЕРАТУРЫ


1. Федеральный закон «О бухгалтерском учете» от 22.11.96 г., № 129-ФЗ (с изменениями).

2. Федеральный Закон от 09.08.95 г. № 129-ФЗ «О почтовой связи» (принят Государственной Думой РФ 05.07.97 г.).

3. Указ Президента РФ от 17.10.95 г. № 1043 (ред. от 09.07.97 г.). «О Федеральной Службе почтовой связи РФ».

4. Постановление правительства РФ от 27.01.96 г. № 75 «Вопросы Федеральной Службы почтовой связи РФ».

5. Почтовые правила. Москва. Радио и связи. 1992 г.

6. План счетов бухгалтерского учета финансово-хозяйственной деятельности организаций. Утвержден Приказом Минфина РФ от 31.10.2002 г., № 94н. – Экономика и жизнь. 2002 г., № 46.

7. Положение о ГУ УФПС УР. Утверждено Государственным Комитетом Удмуртской Республики по управлению государственным имуществом 21.05.93 г. решением № 96-Об и согласованным с Федеральным управлением почтовой связи при Министерстве связи Российской Федерации 28.04.93 г.

8. Бухгалтерский баланс  УФПС УР за 2001-2003 г.г.

9. Отчет о прибылях и убытках УФПС УР за 2001-2003 г.г.

10.   Бадаш Х.З. Экономика предприятия.Ижевск, 1998 г.

11.   Балаш Х.З. Организация производства на предприятии. 1996 г.

13.    Баканов М.И., Шеремет А.Д. Теория экономического анализа. Москва: Финансы и статистика, 1993 г.

14.    Й.Ворст, П.Ревентлоу. Экономика фирмы. Москва: Высшая школа 1993 г.

15.    А.К.Шишкин, С.С.Вартанян, В.А.Микрюков. Бухгалтерский учет и финансовый анализ на коммерчиских предприятиях. Москва: Инфра -М 1996г.

16.   Савицкая Г.В. Анализ хозяйственной деятельности предприятия. Минск: ООО «Новое издание», 2003 г.

17.   Основы рыночной экономики. Учеб. пособие/Под ред. Войтовского Н.В. и Клебанера В.Я. СПб. СЗПИ. 1992 г.

18.   Львов Ю.А. Основы экономики организации бизнеса. - СПб.: ГМП Формика, 1992г.

19.   Экономика предприятия /  Под. ред.проф. В.Я. Горфинкеля, М.,1996.

20.   Баканов М.И., Шеремет А.Д. Теория экономического анализа: учеб­ник.- М.: Финансы и статистика, 1996г.

21.   Ковалев В.В. Введение в финансовый менеджмент. – М.: Финансы и статистика, 2001 г.

22.    Финансы предприятий. Учебник – Под. ред. М.В. Романовского. – СПб: Издательский  дом «Бизнес-Пресс», 2002 г.

23.   Шеремет А.Д., Негашев Е.В. Методика финансового анализа. М.: Инфра-М, 2002 г.

24.    Ефимова О.В. Финансовый анализ. М.: Бухгалтерский учет, 2001 г.

25.   Кох Р. Менеджмент и финансы от А до Я.- СПб: Питер, 2001

26.   Коласс Б. Управление финансовой деятельностью предприятия: Проблемы, концепции и методы: Учебное пособие для студентов вузов, обучающихся по  экономическим специальностям. – М.: Финансы, 1997

27.   Рекламная продукция УФПС УР.

28.   Методические указания к выполнению дипломной работы.






[1] Ковалев В.В. Финансовый анализ: управление капиталом, выбор инвестиций, анализ отчетности. - М.: ФиС, 1996, с.-85.

[2] Ковалев В.В. Финансовый анализ: управление капиталом, выбор инвестиций, анализ отчетности. - М.: ФиС, 1996, с.-94.

[3] Стоянова Е. С. Финансовый менеджмент: теория и практика. -М.: Перспектива, 1996, с. 181

Похожие работы на - Анализ деятельности Управления Федеральной почтовой связи

 

Не нашли материал для своей работы?
Поможем написать уникальную работу
Без плагиата!
Без нейросетей!