Управление оборотными средствами
ФЕДЕРАЛЬНОЕ АГЕНСТВО ПО ОБРАЗОВАНИЮ
УЛЬЯНОВСКИЙ ГОСУДАРСТВЕННЫЙ ТЕХНИЧЕСКИЙ УНИВЕРСИТЕТ
ДИПЛОМНАЯ РАБОТА
Тема Управление оборотным капиталом фирма «Ирба»
Студентка Таирова Альфия Ильбаровна _________________
(подпись)
Руководитель Богданова Лариса Степановна _________________
(подпись)
Резидент Горлова
Олеся Раисовна _________________
(подпись)
Допустить к защите ГАК
Зав. кафедрой
_________________________
(Ф.И.О.)
«____»
_______________2005 г.
Ульяновск
2005
Содержание
Введение 3
Глава 1 Теоретические основы управления
оборотным капиталом 5
1.1 Сущность и классификация оборотного капитала 5
1.2 Управление запасами и денежными активами 10
1.3 Источники
формирования и эффективность использования
оборотных средств 21
Глава 2 Диагностика исследуемого предприятия
ООО ''ИРБА'' 33
2.1 Организационно- правовая форма предприятия 33
2.2 Оценка финансового состояния 35
2.3 Анализ использования оборотных средств 37
2.4 Проблемы и недостатки в управлении оборотным
капиталом 41
Глава 3 Предложения по совершенствованию
управления оборотного капитала 43
3.1 Предложения по управлению задолженностью
предприятия 43
3.2 Разработка движения денежных потоков на
предприятии 49
Заключение 65
Список используемых источников 67
Введение
Тема управления оборотным капиталом и его
источниками проявляется в том, что формирование текущих активов прямо влияет на
финансовое состояние и устойчивость предприятия. Одно из фундаментальных
понятий здесь собственные оборотные средства. Для успешного осуществления
намеченных экономических и социальных задач необходимо всемирно повышать
эффективность общественного производства. Суть проблемы эффективности общественного
производства состоит в том, чтобы рационально использовать все материалы,
трудовые и финансовые ресурсы, наращивать выпуск продукции. С каждой единицы
основных фондов, увеличивать отдачу от вкладываемых средств. Прибыльные
предприятия своей выручкой от реализации не только полностью возмещают все
затраты, связанные с производством и реализацией продукции, но и обеспечивают
получение чистой прибыли, дохода. Расширение основных фондов и оборотных
средств осуществляется предприятием в основном за счет собственных накоплений,
поэтому выбранная тема дипломной работы актуальна.
Объектом исследования выбрано ООО «Ирба», занимающейся
производством мягкой мебели.
Предмет исследования – процесс управления оборотным капиталом на ООО
«Ирба».
Целью данной дипломной работы является исследование воздействия
оборотного капитала на ликвидность и экономическую рентабельность.
Для достижения поставленной цели решаются следующие задачи:
·
определения понятия и нормирования оборотного капитала;
·
исследование управления запасами, дебиторской задолжоности и
денежными активами;
·
оценка оборачиваемости оборотного капитала;
·
анализ источников формирования и финансовой устойчивости;
·
оценка финансового состояния;
·
разработка организационно-правовой формы предприятия;
·
обоснование использования оборотного капитала предприятия;
·
рассмотрение проблем и недостатков в управлении оборотным
капиталом;
·
разработка мероприятий по улучшению использования ресурсов.
Для раскрытия задач в дипломной работе используются
следующие методы: горизонтальный, вертикальный, трендовый, метод
сравнения (пространственный) и графический.
Глава 1 Теоретические основы
управления оборотным капиталом
1.1 Сущность и классификация оборотного
капитала
Оборотный
капитал (оборотные средства) – это часть капитала предприятия, вложенного в его
текущие активы. По материально-вещественному признаку в состав оборотных
средств включаются: предметы труда (сырье, материалы, топливо и т. д.), готовая
продукция на складах предприятия, товары для перепродажи, денежные средства и
средства в расчетах. Характерной особенностью оборотных средств является
высокая скорость их оборота. Оборотные средства обеспечивают непрерывность
процесса производства.
Существует несколько определений оборотных средств. По Баранниковой Л.С.
– это денежные средства, авансированные в производственные оборотные фонды и
фонды обращения [12, с. 31].
По Шеремету оборотный капитал – это часть капитала вложенного в его
текущие активы [17, с. 54].
Ковалева А М считает, что оборотные средства – авансированная стоимость в
денежной форме для планомерного образования и использования оборотных
производственных фондов и фондов обращения в минимально необходимых размерах,
обеспечивающих выполнение предприятием производственной программы и своевременность
осуществления расчетов [16, с. 102].
Следуя Дж.К.Ван Хорну оборотными средствами являются активы, которые
могут быть обращены в наличность в течении одного года [17, с. 53].
Оборотные средства выполняют две функции: производственную и расчетную.
Выполняя производственную функцию оборотные средства поддерживают непрерывность
процесса производства и переносят свою стоимость на произведенный продукт. По
завершении производства оборотные активы переходят в сферу обращения и
выполняют вторую функцию-завершение кругооборота и превращение текущих активов
в денежную форму.
Характерной особенностью оборотных средств является высокая скорость их
оборота. Функциональная роль оборотных средств в процессе производства в корне
отличается от основного капитала. Оборотные средства обеспечивают непрерывность
процесса производства [22, с.54-61].
Кругооборот капитала охватывает три стадии: заготовительную (закупки),
производственную и сбытовую.
Любой бизнес начинается с некоторой суммы наличных денег, которое
развертываются в определенное количество ресурсов для производства (или товары
для продажи).

Рисунок 1 - Стадии
кругооборота оборотного капитала [12, с.54]
Кругооборот фондов предприятий
начинается с авансирования стоимости в денежной форме на приобретение сырья,
материалов, топлива и других средств производства — первая стадия кругооборота.
В результате денежные средства принимают форму производственных запасов,
выражая переход из сферы обращения в сферу производства. Стоимость при этом не
расходуется, а авансируется, так как после завершения кругооборота она
возвращается. Завершением первой стадии прерывается товарное обращение, но не
кругооборот.
Вторая стадия кругооборота
совершается в процессе производства, где рабочая сила осуществляет
производительное потребление средств производства, создавая новый продукт,
несущий в себе перенесенную и вновь созданную стоимость. Авансированная
стоимость снова меняет свою форму — из производительной она переходит в товарную.
Третья стадия кругооборота
заключается в реализации произведенной готовой продукции (работ, услуг) и
получении денежных средств. На этой стадии оборотные средства вновь переходят
из сферы производства в сферу обращения. Прерванное товарное обращение
возобновляется, и стоимость из товарной формы переходит в денежную. Разница
между суммой денежных средств, затраченных на изготовление и реализацию
продукции (работ, услуг) и полученных от реализации произведенной продукции
(работ, услуг), составляет денежные накопления предприятия.
Закончив один кругооборот, оборотные
средства вступают в новый, тем самым осуществляется их непрерывный оборот.
Именно постоянное движение оборотных средств является основой бесперебойного процесса
производства и обращения [1, с.71-78].
Период времени, в течение которого совершается оборот денежных средств,
представляет собой длительность производственно-коммерческого цикла [21, с.65].
В практике планирования, учета и анализа оборотный
капитал группируется по следующим признакам [9, с. 105-107]:
1. В зависимости от функциональной роли в процессе производства – оборотные
производственные фонды (средства) и фонды обращения.
2.
В зависимости от практики контроля, планирования и управления –
нормируемые оборотные средства и ненормируемые оборотные средства.
3.
В зависимости от источников формирования оборотного капитала –
собственный оборотный капитал и заемный оборотный капитал.
4.
В зависимости от ликвидности (скорости превращения в денежные средства)–
абсолютно ликвидные средства, быстро реализуемые оборотные средства, медленно
реализуемые оборотные средства.
5.
В зависимости от степени риска вложения капитала – оборотный капитал с
минимальным риском вложений, оборотный капитал с малым риском вложений,
оборотный капитал со средним риском вложений, оборотный капитал с высоким
риском вложений.
6.
В зависимости от стандартов учета и отражения в балансе предприятиям –
оборотные средства в запасах, денежные средства, расчеты и прочие активы.
7.
В зависимости от материально- вещественного содержания- предметы труда
(сырье, материалы, топливо, незавершенное производство и др.) готовая продукция
и товары, денежные средства и средства в расчетах.
Рисунок 2 – Состав и структура оборотных средств предприятия [9,
с. 105]:
Деление оборотного
капитала по функциональному признаку на оборотные фонды и фонды обращения
необходимо для раздельного учета и анализа времени пребывания оборотных средств
в процессе производства и обращения [43, с.97-101].
По степени управляемости оборотные средства
подразделяются на нормируемые и ненормируемые. К нормируемым средствам
относятся , как правило, все оборотные производственные фонды, а также та часть
фондов обращения, которая находится в виде остатков нереализованной готовой
продукции на складах предприятия.
Деление оборотных средств на собственные и заемные
указывает источники происхождения и формы предоставления предприятию оборотных
средств в постоянное или временное пользование [8, с.33].
Группировка текущих активов по степени ликвидности [18, с.56-62].
Первая группа включает в себя абсолютно ликвидные
активы, такие, как денежная наличность и краткосрочные финансовые вложения.
Ко второй группе относится быстрореализуемые активы:
готовая продукция, товары отгруженные и дебиторская задолженность. Ликвидность
этой группы текущих активов зависит от своевременности отгрузки продукции,
оформления банковских документов, скорости платежного документооборота в
банках, от спроса на продукцию, ее конкурентоспособности, платежеспособности
покупателей, форм расчетов и др.
Значительно больший срок понадобится для превращения производственных
запасов и незавершенного производства в готовую продукцию, а затем в денежную
наличность. Поэтому они отнесены к третьей группе медленно реализуемых активов.
Четвертая группа – это трудно реализуемые активы, куда входят основные
средства, нематериальные активы, долгосрочные финансовые вложения,
незавершенное строительство.
Группировка оборотных средств по способу отражения в балансе предприятия
позволяет выделить следующие их группы [22, с.43-47]:
1.
Материальные оборотные средства в запасах - Ез. Сюда входят все разделы
из статьи из раздела 2 актива баланса: производственные запасы, малоценные и
быстроизнашивающиеся предметы, незавершенное производство, расходы будущих
периодов, готовая продукция, товары, прочие запасы.
2.
Дебиторская задолженность – Едз. В состав дебиторской задолженности
включаются следующие статьи из раздела 3 актива баланса: товары отгруженные,
расчеты с дебиторами (за товары, работы и услуги, по векселям полученным, с
дочерними предприятиями, с бюджетом, с персоналом по прочим операциям, с
прочими дебиторами), авансы, выданные поставщикам и подрядчикам, прочие
оборотные активы.
3.
Денежные средства – Ед. В состав денежных средств включаются следующие
статьи из раздела 3 актива баланса: касса, расчетный счет, валютный счет,
прочие денежные средства, краткосрочные финансовые вложения.
4.
Общая сумма оборотного капитала – Е. Состав и структура оборотных
средств по степени риска вложений капитала приведена в таблице 1 [28, с.78].
Таблица 1 – Состав и структура оборотных
средств
|
Группа оборотных средств
|
Статьи актива баланса
|
|
1.
Оборотные средства с минимальным риском вложения
|
1.1.
Денежные средства:
касса
расчетный счет
валютный счет
прочие денежные средства
1.2.
Краткосрочные финансовые вложения
|
|
2.
Оборотные средства с малым риском вложений
|
2.1.
Дебиторская задолженность за вычетом
сомнительной
2.2. Производственные
запасы (за вычетом залежалых)
2.3. Остатки
готовой продукции и товаров (за вычетом не пользующейся спросом)
|
|
3. Оборотные
средства со средним риском вложений
|
3.1. Малоценные
и быстроизнашивающиеся предметы (по остаточной стоимости)
3.2. Незавершенное
производство (за вычетом сверхнормативного)
3.3.
Расходы будущих периодов
|
|
4. Оборотные
средства с высоким риском вложений
|
4.1. Сомнительная дебиторская
задолженность
4.2.
Залежалые производственные запасы
4.3. Сверхнормативное
незавершенное производство
4.4. Готовая продукция и
товары, не пользующиеся спросом
4.5. Прочие
элементы оборотных средств, не вошедшие в предыдущие группы
|
|
5. Общая сумма оборотных
активов
|
П.1 + П.2 + П.3 + П.4
|
1.2 Управление запасами и денежными
активами
Применяют следующие основные методы нормирования оборотных средств:
Метод прямого счета. Этот метод заключается в том, что
сначала определяется величина авансирования оборотных средств в каждый элемент,
затем их суммированием определяется общая сумма норматива.
Аналитический метод. Он применяется в том случае, когда в
планируемом периоде не предусмотрено существенных изменений в условиях работы
предприятия по сравнению с предшествующим. В этом случае расчет норматива
оборотных средств осуществляется укрупнено, учитывая соотношение между темпами
роста объема производства и размера нормируемых оборотных средств в
предшествующем периоде.
Коэффициентный метод. При этом методы новый норматив определяется на базе
старого путем внесения в него изменений с учетом условий производства,
снабжения, реализации продукции (работ, услуг), расчетов.
На практике наиболее целесообразно применение метода прямого счета.
Преимуществом этого метода является достоверность, позволяющая сделать наиболее
точные расчеты частных и совокупного нормативов. К частным относятся нормативы
оборотных средств в производственных запасах: сырья, основных и вспомогательных
материалов, покупных полуфабрикатов, комплектующих изделий, топлива, тары,
запасный частей; в незавершенном производстве и полуфабрикатов собственного
производства; в расходах будущих периодов; готовых изделиях. Особенность
каждого элемента определяет специфику нормирования.
Определение потребности предприятия в оборотных
средствах осуществляется в процессе нормирования, т.е. определения норматива
оборотных средств [1, с.78-81].
Норматив оборотных средств – это минимально необходимая сумма денежных
средств, обеспечивающих предпринимательскую деятельность предприятия [21, с.54].
Общая формула расчета норматива отдельного элемента
оборотных средств может быть выражена так:
, (1)
где Нсэл – норматив собственных оборотных средств по
элементу;
Нэл – норма оборотных средств по данному
элементу;
Оэл – оборот (расход, выпуск) по данному
элементу за период;
Тд – продолжительность периода в днях (значит,
Оэл/тд однодневный расход данного элемента).
Норма оборотных средств по каждому виду или одной группе материалов
учитывает время пребывания в текущем (Т), страховом (С), транспортном (М),
технологическом (А) запасах, а также время, необходимое для выгрузки, доставки,
приемки и складирования материалов (Д). Таким образом, норматив оборотных
средств в запасах сырья, основных материалов и покупных полуфабрикатов (Н)
определяется по формуле: Н = Р (Т + С + М + А + Д) [10, с.53-56].
Нормирование оборотных
средств в незавершенном производстве осуществляется по формуле:
, (2)
где Н – норматив оборотных средств в незавершенном
производстве, руб.;
В – объем производимой валовой продукции
по смете затрат в 4 квартале предстоящего года, руб.;
Д – количество дней в периоде (90);
К – коэффициент нарастания затрат в
производстве.
Коэффициент нарастания затрат определяется при
равномерном и неравномерном нарастании затрат. При равномерном нарастании
коэффициент нарастания затрат исчисляется по формуле:
, (3)
где К – коэффициент нарастания затрат;
Фс – единовременные затраты;
Фн – нарастающие затраты.
При неравномерном нарастании затрат по дням производственного цикла
коэффициент нарастания затрат определяется по формуле:
, (4)
где С – средняя стоимость изделия в незавершенном
производстве;
П – производственная себестоимость изделия
[31, с.61-63].
Норматив оборотных средств на готовую продукцию определяется по формуле:
, (5)
где Р – однодневный выпуск товарной продукции по
производственной себестоимости;
Д – норма запаса в днях.
Норматив по статье “Расходы будущих периодов” исчисляются по формуле:
, (6)
где Рo - сумма расходов будущих периодов на начало
планируемого периода;
Рп – расходы, производимые в плановом
периоде по смете;
Рс – расходы включаемые в себестоимость
продукции планируемого периода.
Совокупный норматив оборотных средств на предприятии
равен сумме нормативов по всем их элементам и определяет общую потребность
хозяйствующего субъекта в оборотных средствах [18, с.33-34]. Общая норма всех
оборотных средств в днях устанавливается путем деления совокупного норматива
оборотных средств на однодневный выпуск товарной продукции по производственной
себестоимости в 4 квартале года, по данным которого рассчитывается норма [44,
с.93].
Рисунок 3 - Методы управления элементами оборотных
активов предоставлены
Большое влияние на
производственные результаты и финансовое состояние предприятия оказывает
качество запасов. В целях нормального хода производства и сбыта продукции запасы
должны быть оптимальными [41, с. 79].
Накопление больших запасов свидетельствует о спаде активности
предприятия. Большие сверхплановые запасы приводят к замораживания оборотного
капитала, замедлению его оборачиваемости, в результате чего ухудшается финансовое
состояние предприятия [24, с.108]. В тоже время недостаток финансов (сырья,
материалов, топлива) также отрицательно сказывается на финансовом состоянии
предприятия, так как растут цены за срочность поставок, сокращается
производство продукции в связи с простоями, повышается чувствительность к росту
цен на сырьевые ресурсы, уменьшается сумма прибыли.
Основные причины излишних запасов можно объединить в три группы:
нереальность плановых расчетов; отклонение фактического поступления от
расчетного; отклонение фактического расхода от расчетного. Если в течении года
выявлены значительные изменения запасов, то надо установить виновных лиц,
внести необходимые изменения в договора с поставщиками. Надо уточнить, не
завозятся ли сырье и материалы необоснованно крупными партиями и
преимущественно в конце месяца [1, с.78-79].
Для производственных запасов
минимизация затрат состоит в определении оптимального размера партии поставляемого
сырья и материалов [9, с.44]. Чем выше размер партии поставки, тем ниже
относительный размер текущих затрат по размещению заказа, доставке товаров и
приемке (обозначим этот вид текущих затрат по обслуживанию запасов как ТЗ1).
Однако высокий размер партии поставки определяет высокий средний размер запаса
– если закупать сырье один раз в два месяца, то средний размер его запаса
составит 30 дней, а если размер партии поставки сократить вдвое, т.е. покупать
сырье один раз в месяц, то средний размер его запаса составит 15 дней (данные
на графике). В этих условиях снизится размер текущих затрат по хранению запасов
(этот вид запасов обозначим ТЗ2). Расчет оптимального размера партии поставки,
при которой минимизируются совокупные текущие затраты по обслуживанию запасов
осуществляется по модели Уипсона [9, с.105-108].
, (7)
где Ор – оптимальный размер партии поставки;
Зг – необходимый объем закупки товаров.
Размер партии поставки,


млн.
руб 40.

30

20 Средний размер
запаса
10





Дни
10 20 30 40 50 60
Рисунок 4 - Размер партии поставки и средний размер запаса [9, с.108]
Для запасов готовой
продукции задача минимизации текущих затрат по их обслуживанию состоит в
определении оптимального размера партии производимой продукции. Если
производить определенный товар мелкими партиями, то затраты по хранению его
запасов в виде готовой продукции (ТЗ2) будет минимальным. В то же время
существенно возрастут текущие затраты предприятия, связанные с частой
переналадкой оборудования, подготовкой производства, и другие (ТЗ1).
Минимизация совокупного размера текущих затрат по обслуживанию запасов готовой
продукции также может быть осуществлена на основе модели Уилсона [9, с.105-108].
В этом случае необходимого объема закупки товаров используется планируемый
объем производства и или продажи готовой продукции [18, с. 61].
Как в первом, так и во втором случае расчеты могут быть уточнены с
учетом минимальной нормы отгрузки (железнодорожным или автомобильным
транспортом), создании на предприятии определенного размера страхового запаса,
альтернатив в выборе средств транспортирования и других условий.
Допустим, что запасы могут быть заказаны и получены без задержки. Обычно
проходит некоторое время между размещением заказа на покупку и получению
запасов или время, необходимое для производства, начиная с момента размещения
заказа. Если время постоянно и точно известно, то не влияет на оптимальный
размер заказа.
Издержки
Суммарные издержки

Издержки хранения
Стоимость выполнения
заказа
X Размер заказа (Q)
Рисунок
5 - Наиболее экономичный размер заказа
Нанесем на график
стоимость выполнения заказа, затраты по содержанию запасов и общие затраты –
сумму затрат двух первых видов. Видно, что затраты по содержанию запасов
изменяются прямо пропорционально величине заказа, а стоимость выполнения заказа
изменяется обратно пропорционально ей [9, с.105-107].
На практике часто встречается ситуация, когда фирме предлагается заказать
материал в более ранние сроки, т.е. досрочно поставить партию материала по
низкой цене[38, с.45]. Это может быть выгодно фирме, если экономия на стоимости
материала превышает затраты на хранение. К примеру, в начале 90-х гг на
электротехнических заводах фирмы ''Сигнал'' скопилось огромное количество
алюминиевых чушек, которые в те годы вывозились по низким ценам российскими
коммерсантами.
Фирма должна принять такое предложение, если:
(С – Ц) >
В × С, (8)
где С – себестоимость, принятая в расчете норматива запаса
данного вида материала;
Ц – цена досрочной поставки;
В – время сверхнормативного пролеживания
на складе данного вида материала.
Определение приемлемого объема резервного запаса заключается в нахождении
равновесия между вероятной нехваткой запасов и затратами по содержанию
резервного запаса, достаточного для того, чтобы избежать этого события. В конце
концов вопрос сводится к нахождению такой вероятности нехватки запасов, которую
готово допустить руководство.
В последние годы стало очень сложно управлять товарно-материальными
ценностями. В некоторых отраслях промышленности компании прибегают к “мгновенному”
управлению запасами [43, с.87-91]. Идея состоит в том, что запасы приобретаются
и вводятся в действие точно в тот момент, когда они необходимы. Это требует
очень точных систем производства и информации о наличии запасов,
высокоэффективной системы закупок, очень надежных поставщиков и эффективной
системы управления запасами. Хотя запасы сырья и транзитные запасы не в коем
случае не могут быть сокращены до нуля, “мгновенное” управление означает
исключительно строгий контроль за минимизацией запасов. То, насколько компания
близка к идеалу, зависит от типа производственного процесса и характера
производства у поставщиков, однако это является желанной целью для большей
части компаний [21, с.53-55].
Объем капиталовложений в запасы (Ккз) определяется:
Ккз = Зг × Сз,
(9)
где Сз – стоимость единицы материала;
Зг – объем проданного товара в месяц.
Годовая стоимость заказа (Гз)
, (10)
где Ор – оптимальный размер
партии поставки.
Годовая
стоимость капиталовложений в запасы (Гез)
Гез = Ккз × 12 мес (11)
Полная
нетто-стоимость запасов (Пнез)
, (12)
где Сак – альтернативная
стоимость капиталовложений определяем:
Cак
= Ккз × Пс, (Пс – процентная ставка).
Оборачиваемость запасов.
Если ранее предполагалось, что все запасы делили на
две группы: производственные запасы и запасы готовой продукции, то при изучении
оборачиваемости запасов используется следующее разбиение:
- сырье, материалы, малоценные и быстро изнашивающиеся предметы;
- незавершенное производство;
- расходы будущих периодов;
- готовая продукция;
- прочие запасы.
Общая оборачиваемость запасов или количество оборотов (Оз) находятся по
формуле [2, с.78-80].
, (13)
где В – выручка;
Зн – запасы на начало периода;
Зк – запасы на конец периода.
Аналогично рассматривается оборачиваемость готовой
продукции и незавершенного производства.
Период оборачиваемости запасов (сырья и материалов)
равен времени хранения их на складе от момента поступления до передачи их в
производство. Чем меньше этот период, тем меньше при прочих равных условиях производственно-
коммерческий цикл [37,с.45-47].
Определяется следующим
образом:
, (14)
где Пз – период оборачиваемости (дни);
Ссз – среднее сальдо по счетам запасов;
Д – дни периода;
Скоз – сумма кредитовых оборотов по
счетам.
Если произошло ускорение оборачиваемости, значит повысилась деловая активность
предприятия. Замедление оборачиваемости может произойти за счет накопления
излишних, неходовых, залежалых материалов [25, с.3-5].
Для оперативного управления запасами делается более детальный анализ их
оборачиваемости по каждому виду.
Продолжительность нахождения капитала в готовой продукции (Пг) равна
времени хранения готовой продукции на складах с момента поступления из
производства до отгрузки покупателям
, (15)
где Ссг – среднее сальдо по счету “готовая
продукция”;
Ског – сумма кредитового оборота по счету
“готовая продукция”.
Увеличение остатков незавершенного производства может свидетельствовать с
одной стороны, о расширении производства, а с другой – о замедлении оборачиваемости
капитала в целом [17,с.53-56].
Продолжительность производственного цикла равна
времени, в течении которого из сырья производятся готовые товары:
, (16)
где Сон – средние остатки незавершенного производства;
С/Сп – себестоимость выпущенной продукции.
В практике финансового менеджмента для отражения реальной стоимости
запасов могут быть использованы LIFO и FIFO, а также плановой себестоимости, средней себестоимости и
плановой себестоимости с учетом отклонений [33,с. 95-98].
Метод LIFO (“последний пришел – первый ушел”).
В соответствии с этим методом, запасы направляются в производственное
потребление или на реализацию по ценам, по которым было зафиксировано
последнее их поступление. В отличие от метода FIFO
(“первый пришел – первый ушел”) когда использование запасов осуществляется по
ценам их первоначального формирования, метод FIFO
позволяет получить реальную оценку этих результатов в условиях инфляции и
эффективней управлять стоимостной формой движения запасов
ВЫВОД: Исследовав оборотный капитал выявлено, что от использованного
оборотного капитала зависит прибыль, рентабельность и эффективность
деятельности предприятия.
1.3 Источники формирования и
эффективность использования оборотных средств
Эффективность оборотного капитала характеризуется
его доходностью (рентабельностью) – отношением суммы прибыли к среднегодовой
сумме основного и оборотного капитала.
Для характеристики интенсивности использования капитала рассчитывается
коэффициент его оборачиваемости (отношение выручки от реализации продукции,
работ и услуг к среднегодовой стоимости капитала).
Рисунок
6 - Процесс создания системы управления оборотными активами
[27, с.63].
Обратным показателем коэффициенту оборачиваемости капитала является
капиталоемкость (отношение среднегодовой суммы капитала к сумме выручки).
Длительность одного оборота в днях определяется по формуле:
, (17)
где Со – остатки оборотных средств;
В – выручка;
Д – число дней.
Коэффициент оборачиваемости показывает количество
оборотов совершаемых текущими активами
Этот показатель означает, что на каждый рубль оборотных средств
приходилось определенное по формуле рублей реализованной продукции:
,
(18)
Коэффициент загрузки оборотных средств (капиталоемкость) – обратный
показатель и характеризует величину оборотных средств приходящихся на единицу
реализованной продукции свидетельствует о рациональном, эффективном или,
наоборот неэффективном использовании лишь в сопоставлении за ряд лет и исходя
из динамики.
(19)
Оборачиваемость капитала – это есть коэффициент трансформации (КТ) или
(Коб). Знаменитая формула Дюпона [28, с.109-113] говорит нам, что
рентабельность активов в целом равна (ROA):
ROA
= Коб(КТ) × Rрп, (20)
где Коб – коэффициент оборачиваемости;
Rрп – рентабельность продаж.
Следовательно, оборачиваемость оборотного капитала влияет на экономическую
рентабельность предприятия.
Продолжительность оборота, как всех текущих активов,
так и отдельных видов (Поб) может измениться за счёт суммы выручки (В) и
средних остатков оборотных средств (Ост). Для расчёта влияния данных факторов
используется способ цепной подстановки:
(21)
(22)
(23)
|
Рентабельность
экономическая
|
|
Оборачиваемость активов
|
|
Рентабельность продаж
|
Чистая выручка
|
|
Все активы предприятия
|
|
Прибыль
|
|
Чистая выручка от всех видов продаж
|
|
Оборотный капитал
|
|
Основной капитал
|
|
Объем продаж
|
Денежные средства
|
|
Основные средства
|
|
Структура предприятия
|
|
Дебиторская задолженность
|
|
Долгосрочные финансовые вложения
|
|
Цены реализации
|
Запасы
|
|
Нематериальные активы
|
|
Себестоимость реализованной продукции
|
Рисунок
7 - Влияние оборачиваемости на рентабельность активов [12, с.102].
Оборачиваемость капитала, с одной стороны, зависит
от скорости оборачиваемости основного и оборотного капитала, а с другой стороны
- от его органического строения: чем большую долю занимает основной капитал,
который оборачивается медленно, тем ниже коэффициент оборачиваемости и выше
продолжительность оборота всего совокупного капитала, т.е. [12, с.102].
Коб с.к. =
УДт.а. × Кобт.а., (24)
(25)







где Коб
с.к.- коэффициент оборачиваемости совокупного капитала;
УДт.а. – удельный вес текущих активов
(оборотного капитала) в общей сумме активов;
Кобт.а. – коэффициент
оборачиваемости текущих активов;
Поб с. к. – продолжительность оборота совокупного капитала;
Поб с. к. – продолжительность оборота текущих активов.
Экономическая эффективность в результате ускорения оборачиваемости
капитала выражается в относительном высвобождении средств из оборота, а также в
увеличении суммы выручки и суммы прибыли [12, с.102].
Сумма высвобожденных средств из оборота связи с ускорением (-Э) или
дополнительно привлеченных средств в оборот (+Э) при замедлении оборачиваемости
капитала определяется умножением однодневного оборота по реализации на
изменение продолжительности оборота:
(26)
Чтобы установить влияние коэффициента оборачиваемости на изменение суммы
выручки, можно использовать следующую факторную модель:
В = KL × Kоб (27)
Отсюда
Вкоб = KL1 × Kоб
BKL = KL × Kоб0
Вобщ = В1 – В0
Поскольку прибыль можно представить в виде произведения факторов (П = KL ×
Roта = KL × Kоб × Rnp), то
увеличение ее суммы за счет изменения коэффициента оборачиваемости капитала
можно рассчитать умножением прироста последнего на базовый уровень коэффициента
рентабельности продаж и на фактическую среднегодовую сумму оборотного капитала:
П = Коб × Rpn0 ×
KL1 (28)
В заключении анализа разрабатывают мероприятия по ускорению
оборачиваемости оборотного капитала. Основные пути ускорения оборачиваемости
капитала:
·
Сокращение продолжительности производственного цикла за счет
интенсификации производства (использование новейших технологий, механизации и
автоматизации производственных процессов, повышение уровня производительности
труда, более полное использование производственных мощностей предприятия,
трудовых и материальных ресурсов и за счет внедрения новой техники, закупки
нового оборудования.).
·
Улучшение организации материально-технического снабжения с целью
бесперебойного обеспечения производства необходимыми материальными ресурсами и
сокращения времени нахождения капитала в запасах (использование ЛИФО, ФИФО;
закупки новых оборотных средств более дешевых или замена поставщиков).
·
Ускорение процесса отгрузки продукции и оформления расчетных
документов (желательно получать оплату перед отгрузкой).
·
Сокращение времени нахождения средств в дебиторской задолженности
(по возможности через арбитражный суд взыскать задолженность и не возобновлять).
·
Повышение уровня маркетинговых исследований, направленных на
ускорение продвижения товаров от производителя к потребителю (включая изучение
рынка, совершенствование товара и его форм продвижения к потребителю,
формирование правильной ценовой политики, организацию эффективной рекламы и
т.п.) [21, с.99].
Структура источников формирования оборотных средств охватывает:
·
Собственные источники.
·
Заемные средства.
·
Дополнительно привлеченные.
К собственным источникам относятся: уставный, добавочный,
резервный капитал, резервные фонды, фонд накопления, нераспределенная прибыль,
фонд средств социальной сферы [47, с.86].
К заемным источникам относятся: долгосрочные кредиты
банков, долгосрочные займы, краткосрочные кредиты банков, коммерческий и инвестиционный
налоговый кредит. К дополнительно привлеченным – кредиторская задолженность,
фонды потребления, резервы по сомнительным долгам и предстоящих расходов,
благотворительные и прочие поступления.
Формирование оборотных средств, происходит в момент
организации предприятия, когда создается его уставный фонд. Источником
формирования в этом случае служат инвестиционные средства учредителей
предприятия. В процессе работы источником пополнения оборотных средств является
полученная прибыль, а также приравненные к собственным средствам так называемые
устойчивые пассивы. Это средства, которые не принадлежат предприятию, но
постоянно находятся в его обороте. Такие средства служат источником
формирования оборотных средств в сумме их минимального остатка. К ним относятся:
минимальная переходящая из месяца в месяц задолженность по оплате труда
работникам предприятия, резервы на покрытие предстоящих расходов, минимальная
переходящая задолженность перед бюджетом и внебюджетными фондами, средства
кредиторов, полученные в качестве предоплаты за продукцию (товары, услуги),
средства покупателей по залогам за возвратную тару, переходящие остатки фонда
потребления и др. Собственные средства играют главную роль в организации
кругооборота фондов, так как предприятия, работающие на основе коммерческого
расчета, должны обладать определенной имущественной и оперативной
самостоятельность с тем, чтобы вести дело рентабельно и нести ответственность
за принимаемые решения [31с.154].
Для сокращения общей потребности хозяйства в оборотных
средствах, а также стимулирования их эффективного использования целесообразно
привлечение заемных средств. Заемные средства представляют собой в основном
краткосрочные кредиты банка, с помощью которых удовлетворяются временные
дополнительные потребности в оборотных средствах [32 с.142].
Основными направлениями привлечения кредитов для
формирования оборотных средств являются: кредитование сезонных запасов сырья,
материалов и затрат, связанных с сезонным процесса производства; временное
восполнение недостатка собственных оборотных средств; осуществление расчетов и
опосредование платежного оборота.
Соотношение между
собственными и заемными средствами определяет структуру капитала. Можно
выделить 3 основных причины когда фирма пользуется кредитом:
1) При недостаточности
собственных средств.
2) При
необходимости покрывать переменную часть оборотных активов.
3) В целях
повышения рентабельности собственных средств за счет финансового рычага [40
с.78].
Рассмотрим более подробно последнюю причину.
Допустим имеем следующие данные (таблица 2).
Таблица 2 – Источники
оборотных средств
|
Предприятия
|
Оборотные средства
|
Источники обо-
ротных средств
|
Рентабельность
к оборотным средствам ,%
|
Прибыль
|
|
Собственные
|
Кредит
|
|
А
Б
30
|
30
20
|
10
|
20
20
|
6
6
|
В соответствии с
существующим механизмом все проценты за краткосрочный кредит включаются в
себестоимость продукции, а проценты сверх учетной ставки, включая
рентабельность продаж, увеличивают налогооблагаемую прибыль, с которой
уплачивается налог на прибыль. Следовательно, предприятие Б определенную часть
прибыли по этой причине перечислит в бюджет. Но все равно рентабельность его
собственных средств [(6 / 20) ×
100 = 30%] будет выше, чем у предприятия А (20%). Вместе с тем за счет
включения в себестоимость значительной суммы процентов за кредит у предприятия
Б она значительно возрастает.
Границей эффективности кредита является так
называемый эффект финансового рычага, который определяется по следующей формуле
[40, с.78].
ЭФР = (Рс.с. – ПС) × (ЗС : СС), (29)
где ЭФР – эффект финансового рычага;
ПС – процентная
ставка за кредит, которым пользуется предприятие;
ЗС – заемные
средства;
СС – собственные
средства.
Эта формула состоит из двух частей. Первая
показывает разницу между рентабельностью и процентной ставкой за кредит, вторая
– отношение заемных средств к собственным, т.е. структуры капитала предприятия.
Разница между капиталом и процентной ставкой может быть положительной, нулевой
или отрицательной. Положительный вариант означает, что использование кредита
повысит рентабельность собственных средств, нулевой – оставит неизменной, а
отрицательный – снизит, т.е. принесет предприятию убытки.
Вторая часть формулы, отражающая структуру капитала
предприятия, математически показывает, что чем больше удельный вес заемных
средств, тем больше эффект. Но очевидно, что с увеличением доли заемных средств
возрастает финансовый риск предприятия и риск не возврата полученных кредитов
[23, с.69].
Требования к структуре источников формирования
определяются тремя показателями:
1.
Коэффициент автономии показывает автономность предприятия от заемных
источников и отражает долю собственных средств в обороте предприятия.
Определяется по формуле [23, с.69].
Ка = П4 : ИБ, (30)
где П4 – раздел 4 пассива баланса “Капитал и резервы”, т.е.
собственные средства предприятия;
ИБ – итог баланса.
Минимальное значение
этого коэффициента – 0,5.
2.
Коэффициент отношения заемных и
собственных средств рассчитывается следующим образом [23, с.69].
Кз/с = (П5 + П4) : П6, (31)
где П4 – раздел 4 пассива баланса;
П5 –
раздел 5 пассива баланса “долгосрочные пассивы”;
П6 –
раздел 6 пассива баланса “краткосрочные пассивы”.
Максимальное значение
этого коэффициента – 1.
3.Оборачиваемость
материальных оборотных средств определяется с помощью следующего показателя:
[29, с.84].
Ом.о.с =0,5[А2(м.о.с.) (на
начало периода) + А2(м.о.с.) (на конец периода)] × Д : В, (32)
где Ом.о.с. – оборачиваемость материальных оборотных средств в
днях;
А2(м.о.с.)
– из раздела 2 актива баланса материальные оборотные средства на начало и конец
периода (производственные запасы, незавершенное производство, расходы будущих
периодов, готовая продукция);
Д- количество дней в
периоде (обычно квартал или год);
В – выручка от
реализации продукции за данный период.
Разумный финансовый менеджер не станет увеличивать
любой ценой плечо финансового рычага, а будет регулировать его в зависимости от
дифференциала [29, с.84].
Из этого графика видно, что чем меньше разрыв между
экономической рентабельностью и средней ставкой процента (СРСП), тем большую
долю приходится отдавать на заемные средства для подъема РСС (данные на
графике.), но это небезопасно при снижении дифференциала.
ЭФР

РСС




ЭР = 3 СРСП кривые


2/3
диферен-
ЭР = 2 СРСП циалов
1/2


ЭР = 1,5 СРСП

1/3
1/10
0,75 1 1,5 2 3 ЗС
СС
Рисунок 8 -
График отражение доли заёмных средств [18, с.97]
Дифференциал не должен быть
отрицательному . Это важно и для банкира: клиент с отрицательным дифференциалом
– явно кандидат в “черную картотеку”.
В отдельные периоды жизни предприятия бывает
целесообразно сначала прибегнуть к мощному воздействию на финансовый рычаг, а
затем ослабить его; в других случаях следует соблюдать умеренность в
наращивании заемных средств [48, с.105].
“Золотое правило” финансирования.
В финансовой науке есть несколько определений этого
правила, из которых наибольшую известность получили следующие:
·
Необходимые для инвестиции финансовые ресурсы должны находиться в
распоряжении фирмы до тех пор, пока они остаются связанными в результате
осуществления этих инвестиций.
·
“Золотое правило” управления кредиторской задолженностью фирмы
состоит в максимально увеличении срока погашения без ущерба нарушения
сложившихся деловых отношений [51, с.65].
Практическая реализация этого правила привела к
возникновению жестких требований по обеспечению ряда финансовых пропорций в
балансе фирмы, строгой корреспонденции определенных элементов активов и
пассивов фирмы. Наиболее важные из них представлены в таблице 3 [45, с.106].
Таблица
3 - Баланс
|
Активы
|
Пассивы
|
|
2.Мобильные средства.
Запасы и затраты.
2.2.Дебиторы.
2.3.Краткосрочные финансовые
вложения.
2.4. Денежные средства.
|
1.
Уставной и добавочный капитал.
2.
Резервный капитал.
3.
Фонды накопления и
нераспределенная прибыль ( остаток.)
4.
Устойчивые пассивы.
5.
Долгосрочные кредиты и займы.
6.
Краткосрочные кредиты и займы.
7.
Кредиторы.
8.
Фонды потребления и резервы.
1.
Задолженность по коммерческому
кредиты.
2.
Краткосрочные кредиты и займы.
1.
Резервный капитал.
2.
Кредиторы.
3.
Фонды потребления и резервы.
1. Резервный капитал.
2. Фонды накопления и
нераспределенная прибыль.
4.
Кредиты и займы.
5.
Кредиторы.
6.
Фонды потребления и резервы.
|
Глава 2 Диагностика исследуемого
предприятия ООО ''ИРБА''
2.1 Организационно- правовая форма
предприятия
Наименование
полное: общество с ограниченной ответственностью.
Сокращенное: ООО “Ирба”.
Местонахождение
Адрес, указанный в учредительных документах: 432068
Россия, Ульяновская область, г.Ульяновск ,Ленинский район, пр. Робеспьера д.36
Адрес постоянно действующего исполнительного
органа:432068 Россия, ульяновская область, г.Ульяновск, Ленинский район,
пр.Робеспьера д.36
Телефон исполнительного органа: 31-43-33
Факс: нет.
Классификационные признаки.
Организационно-правовая форма: общество с
ограниченной ответственностью.
Форма собственности: частная.
Цели деятельности (основной вид деятельности): производство мебели.
Ведомственная принадлежность (группировка): предприятия, учрежденные
отдельными гражданами.
Размер уставного капитала – 10000 руб.
Доля государственного и иностранного вклада – 0.
Регистрационный № 364.
Дата регистрации 17.08.99.
Целью деятельности является удовлетворение общественных потребностей и потребностей
участников, а также получение прибыли в интересах участников общества.
Общество является юридическим лицом, имеет самостоятельный баланс (данные
в таблице 4), расчетный и иные счета в банках, круглую печать, бланки, штампы с
наименованием и другие реквизиты, действует на основе полного хозяйственного
расчета, самофинансирования и самоокупаемости.
Участники общества не отвечают по обязательствам и несут риск убытков,
связанных с деятельностью общества, в пределах стоимости внесенных ими вкладов.
В случае несостоятельности (банкротства) общество по вине участников или
по вине других лиц, которые имеют право давать обязательные для общества
указания либо другим образом имеют возможность определять его действия, на
указанных участников или других лиц в случае недостаточности имущества общества
может быть возложена субсидиарная ответственность по его обязательствам.
Уставный капитал общества составляет 10000 (Десять тысяч) рублей:
Туктаров А.Р. – 10000 рублей -
100%
Уставный капитал внесен полностью денежными средствами.
Предполагается увеличение уставного капитала.
Вкладом в уставный капитал общества могут быть деньги, ценные бумаги,
другие вещи или имущественные права либо иные права, имеющие денежную оценку.
Директор общества в пределах своей компетенции и в соответствии с
действующим законодательством и настоящим уставом: без доверенности действует
от имени общества, в том числе представляет его интересы и совершает сделки во
всех предприятиях, организациях, учреждениях всех форм собственности.
Генеральным директором является:
Туктаров Алексей Романович.
Ликвидация дел общества производится ликвидационной комиссией,
назначаемой органом, принявшим решение о прекращении деятельности
общества.
Прекращение деятельности предприятий, организаций, филиалов,
функционирующих под патронажем общества, осуществляется в том же порядке, как
ликвидация самого общества.
2.2 Оценка финансового состояния
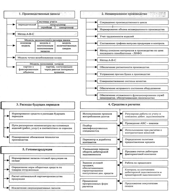
Структура системы управления оборотного капитала приведена на рисунок 9.
Рисунок 9 - Структура системы управления оборотными активами
Для подготовки
предложений по ее реализации проведем оценку финансового состояния.
Таблица 5 -
Перечень организаций-дебиторов, имеющих наибольшую задолженность за 2004 год,
тыс.руб.
|
ООО “Белла ”
|
55500
|
|
ООО “Валерия”
|
30345
|
|
ООО “Шатура”
|
8590
|
|
ООО “Шарм”
|
25050
|
|
ООО “Панда”
|
11809.8
|
Таблица 6 - Баланс предприятия
|
Актив
|
На начало периода
2004 г.
тыс.руб.
|
На конец периода
2004 г.
тыс.руб.
|
1.Внеоборотные
активы
Основные средства
2.Обборотные
активы
2.1.Запасы
В том числе
сырье, материалы, МБП
затраты в незавершенном
производства
расходы будущих периодов
готовая продукция
2.2.Налог на добавленную
стоимость
по
приобретенным материальным
ценностям
3.Дебиторская
задолженность
(платежи
в течение 12 месяцев)
В том числе:
покупатели и заказчики
векселя к получению
государственная задолженность
4.Краткосрочные
финансовые вложения
5.Денежные
средств
Итого
по разделу 2
Баланс
(сумма итогов разделов, 1,2)
|
—
11838
294542
99253
656
194633
17327
276683
276666
83
588637
600475
|
—
11627
243722
82568
161153
30048
209233
97555
11808
494813
506440
|
|
4.Капитал и резервы
Уставный
капитал
Нераспределенный
убыток
Итого
по разделу 4
5.Долгосрочные пассивы
1.Заемные
средства
2.Кредиторская задолженность
В том числе:
поставщики и подрядчики
векселя к уплате
по оплате труда
по социальному страхованию
и обеспечению
перед бюджетом
авансы полученные
Итого по разделу 4
Баланс (сумма итогов, 4,5,6)
|
10000
45727
(45637)
35000
611113
127460
31905
10561
113737
646113
600475
|
10000
45727
(45637)
35000
528822
112872
103876
738
10212
563622
506440
|
Таблица 7 - Отчет о прибылях
|
Наименование показателя
|
Отчет
тыс.руб.
|
Базис
тыс.руб.
|
Выручка (нетто) от реализации товаров, продукции,
работ, услуг (за минусом налога на добавленную стоимость, акцизов и
аналогичных обязательных платежей)
Себестоимость реализации товаров, продукции, работ,
услуг
Коммерческие расходы
Управленческие расходы
Прибыль
(убыток) отчетного периода
(строки (110 + 120 – 130))
Налог на прибыль
Отвлеченные средства
Нераспределенная прибыль (убытки) отчетного периода
(строки (140 –150 – 160))
|
1083116
824332
80848
153810
124124
16760
|
272716
846998
62535
145881
69124
33444
|
Таблица 8 - Перечень
организаций-кредиторов, имеющих наибольшую задолженность за 2004 год
|
ООО “Мебель- Сервис”
|
75808
|
|
ООО “Анна - ДОК”
|
20992.08
|
2.3 Анализ использования оборотных
средств
В системе мер, направленных на повышение
эффективности работы фирмы и укрепление его финансового состояния, важное место
занимают вопросы рационального использования оборотного капитала. Поскольку
финансовое положение фирм находится в прямой зависимости от состояния оборотных
средств и предполагает соизмерение затрат с результатами хозяйственной
деятельности и возмещение затрат собственными средствами, предприятия
заинтересованы в рациональной организации оборотных средств - организации их
движения с минимально возможной суммой для получения наибольшего экономического
эффекта.
Эффективность
использования оборотных средств характеризуется системой экономических
показателей, прежде всего оборачиваемостью оборотных средств.
Под оборачиваемостью
оборотных средств понимается длительность одного полного кругооборота средств с
момента превращения оборотных средств в денежной форме в производственные
запасы и до выхода готовой продукции и ее реализации. Кругооборот средств
завершается зачислением выручки на счет предприятия.
Оборачиваемость
оборотных средств характеризуется рядом взаимосвязанных показателей:
длительностью одного оборота в днях, количеством оборотов за определенный
период - год, полугодие, квартал (коэффициент оборачиваемости), суммой занятых
на предприятии оборотных средств на единицу продукции (коэффициент загрузки).
Изменение
оборачиваемости средств является путем сопоставления фактических показателей с
плановыми или показателями предшествующего периода. В результате сравнения
показателей оборачиваемости оборотных средств является ее ускорение или
замедление.
При ускорении
оборачиваемости оборотных средств из оборота высвобождаются материальные
ресурсы и источники их образования, при замедлении - в оборот вовлекаются
дополнительные средства.
Эффективность
использования оборотных средств зависит от многих факторов, которые можно
разделить на внешние, оказывающие влияние вне зависимости от интересов
предприятия, и внутренние, на которые предприятие может и должно активно
влиять. К внешним факторам можно отнести такие, как общеэкономическая ситуация,
налоговое законодательство, условия получения кредитов и процентные ставки по
ним, возможность целевого финансирования, участие в программах, финансируемых
из бюджета. Эти и другие факторы определяют рамки, в которых предприятие может
манипулировать внутренними факторами рационального движения оборотных средств.
На современном этапе
развития экономики к основным внешним факторам, влияющим на состояние и
использование оборотных средств, можно отнести такие, как кризис неплатежей,
высокий уровень налогов, высокие ставки банковского кредита.
Кризис
сбыта произведенной продукции и неплатежи приводят к замедлению оборота
оборотных средств. Следовательно, необходимо выпускать ту продукцию, которую
можно достаточно быстро и выгодно продать, прекращая или значительно сокращая
выпуск продукции, не пользующейся текущим спросом. В этом случае кроме
ускорения оборачиваемости предотвращается рост дебиторской задолженности в
активах предприятия.
При существующих темпах
инфляции полученную предприятием прибыль целесообразно направлять прежде всего
на пополнение оборотных средств. Темпы инфляционного обесценения оборотных
средств приводят к занижению себестоимости и переходу их в прибыль, где
происходит распыление оборотных средств на налоги и непроизводственные расходы.
Значительные резервы
повышения эффективности и использования оборотных средств кроются
непосредственно в самом предприятии. В сфере производства это относится прежде
всего к производственным запасам. Являясь одной из составных частей оборотных
средств, они играют важную роль в обеспечении непрерывности процесса
производства. В то же время производственные запасы представляют ту часть
средств производства, которая временно не участвует в производственном
процессе.
Рациональная
организация производственных запасов является важным условием повышения
эффективности использования оборотных средств. Основные пути сокращения
производственных запасов сводятся к их рациональному использования; ликвидация
сверхнормативных запасов материалов; совершенствованию нормирования; улучшению
организации снабжения, в том числе путем установления четких договорных
условий поставок и обеспечения их выполнения, оптимального выбора поставщиков,
налаженной работы транспорта. Важная роль принадлежит улучшению организации
складского хозяйства.
Сокращение времени
пребывания оборотных средств в незавершенном производстве достигается путем
совершенствования организации производства, улучшением применяемой техники и
технологии, совершенствования использования основных фондов, прежде всего их активной
части, экономии по всем статьям оборотных средств.
Пребывание оборотных
средств в сфере обращения не способствуют созданию нового продукта. Излишнее
отвлечение их в сферу обращения - отрицательное явление. Важнейшими
предпосылками сокращения вложений оборотных средств в эту сферу являются
рациональная организация сбыта готовой продукции, применении прогрессивных форм
расчетов, своевременное оформление документации и ускорение ее движения,
соблюдение договорной и платежной дисциплины.
Ускорение
оборота оборотных средств позволяет высвободить значительные суммы и, таким
образом, увеличить объем производства без дополнительных финансовых ресурсов, а
высвободившиеся средства использовать в соответствии с потребностями
предприятия.
Таблица 9 - Норма оборотных
средств в запасе
|
Дата
получения
материала
|
Объем
|
Интервал
следующей
поставки
|
Производное
число
(гр.2 × гр.3)
|
Причины непринятия в расчет среднего интервала
|
|
2.01
15.01
14.02
2.03
10.03
5.04
10.04
16.05
30.05
Итого
|
120
200
190
210
150
30
150
145
310
1505
|
13
30
18
8
25
—
30
26
—
21
|
1560
6000
3420
1680
3750
—
4500
3770
—
20930
|
Разовая мелкая поставка
Разовая крупная поставка
|
Норма оборотных средств в
текущем запасе 21 : 2 = 10,5 дней
Страховой запас
10,5 : 2 = 5,25 дней
Транспортный
запас
Пробег документов
6 дней.
От поставщика к
покупателю 18 дней.
Обработка
документов 3 дня.
Акцепт – 5 дней.
Норма = 18 – (6 +
3 + 5) = 4 дня.
Таблица 10 -
Анализ норматива собственных оборотных средств
|
Мате-
риал
|
Транспортный запас
|
Приемка
разгрузка
|
Подготовка к производству
|
Текущий
|
Гарантий-
ный запас
|
Норма оборотных средств
|
А
Б
|
3
4
|
1
1
|
—
1
|
11
10,5
|
5,5
5,25
|
20,5
21,75
|
Плановый расход материала А
равен 89305.9., материалу Б – 59537.3. Средневзвешенная норма оборотных средств
по всем материалам:
(89305 × 20,5 + 59537 × 21,75) : 7 = 446529.8
(тыс.руб.)
Однодневный расход материала
446529.8 : 90 = 4961.44 (тыс.руб.)
Норматив собственных оборотных средств
4961.44 × 20,8 = 103198.01 (тыс.руб.)
2.4 Проблемы и недостатки в управлении оборотным
капиталом
Величина уставного капитала общества с ограниченной
ответственностью “Ирба” составляет 10000 рублей.
Директор предполагает дальнейшее увеличение
уставного капитала.
ООО “Ирба” образует и использует свою прибыль,
осуществляет платежи в бюджет.
Общество получило прибыль: за отчетный период –
24124,25, базис – 69124.
Так как собственного
капитала мало, а от долгосрочного кредита директор отказался, общество работает
за счет краткосрочных пассивов, особенно кредиторской задолженности. Отметим,
что просроченных задолженностей не имеется.
На предприятии отсутствует компьютерный учет
оборотных средств, политика учета и списания также отсутствует. Не применяются
таких прогрессивных методов как ЛИФО, ФИФО. Все операции проводятся в ручную.
Часто изготовление мебели производиться из сырья различной степени влажности
(сушки), что резко ухудшает качество. Списание отходов не производиться и не
реализуется, а сжигается. Считаю, что в рыночных условиях не допустимо.
Вывод
ООО ''Ирба'' является частной формой собственности. Основной вид
деятельности- производство мебели. Целью деятельности является удовлетворение
общественных потребностей, и потребностей участников, а также получение прибыли
в интересах участников общества. Размер за должности организации- дебиторов
составляет 234294,8 рублей. Размер за должности организаций- кредиторов
составляет 968000,08 рублей. Просроченных задолжностей не имеется.
Эффективность использования оборотных средств характеризуется показателем
оборачиваемости оборотных средств. Норматив собственных оборотных средств
составляет 103198,01. Эффективность использования оборотных средств зависит от
факторов: внешних, оказывающих влияние вне зависимости от интересов
предприятия, и внутренних, на которые предприятие может и должно активно
влиять. Ускорение оборота оборотных средств позволяет высвободить значительные
суммы и, таким образом, увеличить объем производства без дополнительных
финансовых ресурсов, а высвободившиеся средства использовать в соответствии с
потребностями предприятия.
Глава 3 Предложения по
совершенствованию управления оборотного капитала
3.1 Предложения по управлению
задолженностью предприятия
Рассмотрим
варианты управления задолжности.
Политика
1
Снижение нормативов кредитоспособности. Срок инкассации увеличиваем –
рост объемов производства.
Попробуем сменить условие net 80 на условие net 90. Необходимо ли это ?
Прибыль от увеличения объемов продукции (предполагаем, что они вырастут
на 10%):
24124,25
х 10% = 26536.675
Дополнительная кредиторская задолженность, связанная с новыми
программами:
26536.675
: 4= 6634.1687 (тыс.руб.)
Дополнительные вложения в дебиторскую задолженность, связанную с новым
объемом продаж:
0,8
× 6634.1687= 5307.33 (тыс.руб.)
Существующий уровень дебиторской задолженности:
1083116
: 4.4= 246162.7 (тыс.руб.)
Новый уровень дебиторской задолженности:
1083116
: 4,8 = 270779 (тыс.руб.)
Дополнительные вложения в дебиторскую задолженность, связанные с новым
объемом продаж:
270779
– 2461627 = 24616.3 (тыс.руб.)
Всего дополнительных вложений:
24616.3
+ 5307.3 = 29923.6 (тыс.руб.)
Накладные издержки дополнительных вложений:
0,2
× 29923.6 = 5984.72 (тыс.руб.)
Так как прибыль от дополнительных продаж выше накладных издержек, можем
обдумать скидку net 90. Снизится оборачиваемость, но
повысится прибыль.
Инвестиции в дебиторскую задолженность предприятия работают на условиях net 90, ежемесячные продажи 90259,666.
Средние вложения в счета дебиторов:
Свд =
(90+ 10) : 360 × 90259,666 = 25072.12 (тыс.руб.)
Оборачиваемость счетов дебиторов:
Обд =
360 : 90 = 4 (тыс.руб.)
Политика 2
Увеличим оборачиваемость – вводим скидку.
6 : 10 net 45 -39% покупателей воспользуются
скидкой.
Средние остатки дебиторской задолженности (без скидки):
1083116
: 7 = 154730 (тыс.руб.)
Альтернативные издержки для предприятия:
0,6
× 0,39 × 1505531,2 = 352294,29 (тыс.руб.)
Оборачиваемость (новая) – 8,3 раза.
1505531,2
: 8,3 = 181389,3 (тыс.руб.)
Дебиторская задолженность изменится с 154730 до 181389,3.
Принимать ли эту скидку – увеличилась выручка, но и
дебиторская задолженность (безнадежные долги).
Прибыль 33532.707,то есть по финансовым результатам
политика 2 гораздо лучше 1-й,в то же время нарастает оборачиваемость-
положительный момент для рентабельности активов
Таблица 10 -
Рассмотрим риск невозвращения кредита, (тыс.руб.)
|
Существующая политика
|
Политики
|
Объем продаж
Риск не возврата кредита
Период инкассации
|
1083116
3
3
|
140805
11
4
|
1570518.2
18
5
|
Политика 3
Предполагаем
увеличение объема продаж, риска не возврата кредита, периода инкассации по
сравнению с существующей политикой.
Политика 4
Предполагаем
увеличение объема продаж, риска не возврата кредита, периода инкассации по
сравнению с политикой 3.
Дополнительный объем
продаж:
Политика
3 324934,8
Политика
4 487402,2
Прибыль от дополнительных
продаж (20%):
Политика
3 324934,8 : 100 × 20 = 64986,96
Политика
4 487402,2 : 100 × 20 = 97480,44
Дополнительные
потери по безнадежным долгам:
Политика
3 64986,96 : 11 = 5907,904
Политика
4 97480,44 : 22 = 361219,18
Дополнительная
дебиторская задолженность:
Политика
3 1408050,8 : 4 = 352012.7
Политика
4 157518,2 : 5 = 31503.64
Инвестиции в
дополнительную кредиторскую задолженность:
Политика
3 0,8 × 1408050,8 = 1126440,6
Политика
4 0,8 × 1570518,2 = 1256414,5
Прибыль,
необходимая для компенсации дополнительных вложений (20%):
Политика
3 225288.12
Политика
4 251282.9
Потери по безнадежным долгам плюс дополнительная прибыль необходимая для
компенсации вложений:
Политика
3 225288,1 + 5907,9 = 231196,02
Политика
4 251282,9 + 361219,18 = 612502,08
Дополнительная
прибыль:
Политика
3 1408050.8 – 231196.02 = 1176854.8
Политика
4 1570518.2 – 612502.08 = 958015.14
Фирма отвергает политику 4, т.к. прибыль намного меньше и оттягиваем
оборачиваемость. Если примем политику 4, снизится эффективность оборотного
капитала.
Встали перед выбором либо политика 2 либо политика 3
Прибыль от внедрения политики №3 гораздо больше, но снижена
оборачиваемость. Следовательно мы будем политикой №2 воздействовать на
коэффициент трансформации, а политикой №3 на коммерческую маржу.
Решение принимаем в сложных условиях но в пользу маржи так как в
последние годы она хромает (естественно минимум через год политику скидок
пересмотрим).
Оборачиваемость дебиторской задолженности.
Коб = 1083116 : 242958,78 = 4,45
т.е. 4,5 раза в год задолженность образуется и поступает предприятию.
Период оборачиваемости в днях:
Поб = 360 : 4,45 = 80,8 дней.
Итоговая
вероятность безнадежных долгов:
9036,59 : 209210,6 × 100 = 4,3
Таблица 11 -
Оценка реального состояния дебиторской задолженности
|
Дебиторская
задолженность
по срокам
возникновения
|
∑ дебитор-
ской задол-
женности
|
Удельный
вес в общей
сумме
|
Вероятность
безнадежных
долгов, %
|
∑ безнадежных долгов
|
|
0-30
30-60
60-90
90-120
120-150
150-180
180-360
свыше 360
Итого
|
91644
52936.12
52308.4
8369.3
2092
1673.86
1868.3
188.3
209210
|
43.8
25.3
25
4
1
0.8
0.89
0.09
100
|
2
3
6
15
18
21
24
25
71
|
1832.8
1588.08
3138.5
1255.3
376.614
351.33
446.9
47.075
9036.59
|
|
|
|
|
|
|
Превышение
кредиторской задолженности над дебиторской снижает текущие финансовые
потребности и в дальнейшем эта величина примет отрицательное воздействие.
Но большая кредиторская задолженность не должна быть в ущерб репутации,
надо сохранить с поставщиками и прочими хорошие отношения.
Оборачиваемость готовой продукции (Огп):
Огп = 1803116 : 0,5 × (194633 + 161154) = 1803116 : 177893,52 =
10,13
Продукция пользуется хорошим
спросом – это может быть результатом хорошей маркетинговой компании, качества
или удобной цены.
Период
оборачиваемости готовой продукции:
Пг = 360 : 10,13 = 35,53 дня.
Дальнейшее улучшение оборачиваемости готовой продукции приведет к:
высвобождению денежной наличности, потребности в кредитах (снижению),
уменьшению кредиторской задолженности.
Таблица 12 -
Сравнительный анализ дебиторской задолженности
|
Расчеты
|
Дебиторская
задолженность
|
Кредиторская задолженность
|
Превышение
|
|
1.С покупателями за товары.
2. По оплате.
3.
По авансам.
4.По внебюджетным платежам.
5.С бюджетом.
6.По отчислениям на соц.
нужды.
7.С дочерними
предприятиями.
8.Прочее
Итого
|
237111
5847,7
242958,7
|
120166,32
67891,07
10000
5650,07
61974,7
309185,43
569867,65
|
116944
|
Оптимальный
размер заказа (Орпп).
Используем 155 единиц материала в месяц, стоимость каждого заказа 6,5 тыс.руб.
Стоимость хранения каждой единицы 0,5 тыс. руб.
Орпп = 2 × 155 × 6,5
тыс.руб. / 0,5 тыс.руб. = 63,4 штук
Капиталовложения в запасы (Ккз):
Ккз = 31 шт. × 5 тыс.руб. = 150259
Готовая стоимость заказа (Гз):
Гз = 372 / 62 шт. × 7000 руб. = 42000 руб.
Готовая стоимость капиталовложений в запасы (Гсз):
Гсз = 150259 × 1,2 = 1803108
1803108 × 0,1 = 180310,8
Альтернативная стоимость капиталовложений (Сак):
Сак = 150259 × 0,2 х 12 = 360621,6, при процентной ставке 20%.
Полная нетто-стоимость запасов за вычетом покупной цены.
Уровень налоговых выплат 45% (Пнез).
Пнез = (100% - 45%) : 100% × (42000 +180310) + 360621,6 = 482892,1
руб.
Оборачиваемость запасов (Оз):
Оз = 1803116 : 0,5 × (294542 + 2437220) = 6,6
Оборачиваемость не плохая, ее большее сокращение приведет к интефикации.
Пз = 360 : 6,6 = 54,5 дней.
Чем меньше Пз, тем меньше при прочих равных условиях производственный
цикл.
Модель Баумоля:
1.Минимальный остаток принимается нулевым.
2.Максимальный. 
ДАmax = 2 х
96948,58 х 0,7 / 0,01666 = 90,423 тыс.руб.
Рк = 3,5
тыс.руб.
Ода = 96948,583
СПкф = 20% : 12
Дmax – оптимальная сумма сделки.
Количество сделок Кс = 96948 : 90423 = 1
Средняя величина кассового остатка = 90423 : 2 = 45211,5
Модель Миллера –Орра:
1.Минимальный остаток равен минимальному их резерву – 12000 руб.
2.Оптимальный остаток





3 3
ДАопт = 3× 3,5тыс.руб.×1090,9/4 ×
0,01666 = 11455,3
/ 0,066 = 20,3 тыс.руб.
Максимальный
остаток денежных активов
ДАmax = 20,3 тыс.руб. × 3 = 61,094 тыс.руб.
4. ДАсред =
61,094 тыс.руб. + 12 тыс.руб.: 2 = 36547 руб.
Оборачиваемость денежных
активов:
Ода = 1803116 :
0,5 × (83,09 + 11808) = 1803116 : 5945,92 = 303,25
Период
оборачиваемости денежных активов:
Пда = 360 : 300 = 1,2 дней.
Минимально необходимая потребность в денежных активах для осуществления
хозяйственной деятельности.
ДАmхд = 1163383 : 303,25 = 3839,5
Оборачиваемость денежных активов очень хорошая, и это безусловно
сказывается на эффективности оборотного капитала. Такие показатели можно
достигнуть за счет хорошей организации финансовой службы, использования
современных форм расчета.
3.2 Разработка движения денежных
потоков на предприятии
Производственные
запасы 19,83
|
Годовая
продукция 35,53
|
Дебиторская
задолженность 80
|
|
Требуемый оборотный капитал 18,71 день
|
На
счете отсутствуют деньги
|
Кредиторская
задолженность 116,12
|
Рисунок
10 - Цикл денежного потока
Таблица 13 -
Платежеспособность
|
Платежные средства
|
Сумма,
тыс.руб.
|
Срочные обязательства
|
Сумма
тыс.руб.
|
1.Остаток
средств на расчетном счете
2.Ценные бумаги
3.Подлежащие оплате счета покупателей
4.Поступление средств за реализованные
основные фонды
5.Прочие
поступления денежных средств
6.
Поступление средств за реализованные материалы
7.
Остаток денежных средств в кассе
8.
Поступление дебиторской задолженности
9.
Поступление просроченной дебиторской задолжности
Итого
Превышение
срочных обязательств над платежными средствами
Баланс
|
765
900
8244
1980
180
828
153
756
819
14625
2268
16893
|
1.Задолженность по страхо-
ванию имущества
2.Оплата счетов поставщиков
3.Погашение краткосрочных
кредитов банка
4.Оплата счетов подрядной
строительной организации
5.Оплата выданных векселей
6. Оплата задолжностей
бюджету
7. Выплаты рабочим и
служащим
8. Перечисления налогов и
начисления на оплату труда
9. Выплаты депонентской
задолжнолсти
|
216
8037
1125
450
648
2628
3312
432
45
16893
16893
|
Приведенная информация
показывает, что на изучаемую дату предприятие сможет оплатить только 86,6%
своих долгов (14625 : 16893), а 13,4% долгов останутся неоплаченными и перейдут
в разряд просроченных, что приведет к уплате штрафных санкций, а следовательно,
к убыткам предприятия
Разработаны предложения
по планированию движение денежных средств на 2005 год (метод процентов от
продаж) (данные в таблице 14).
Таблица 14 - Движение денежных средств, тыс.руб.
|
Показатель
|
Приток
|
Отток
|
|
ДДС в текущей производственной
деятельности
-поступления ДС от покупателей
-выплата ДС работникам и поставщикам
-налоги
-внебюджетные выплаты
-прочие
Итого
|
1372833.6
37297.2
1410130.8
|
725028.08
283252.2
67578
309321.6
|
Продолжение таблицы 14
|
Показатель
|
Приток
|
Отток
|
Превышение \недостаток
ДДС в инвестиционной сфере
-приобретение \продажа ОС
-приобретение \продажа НМА
-приобретение \продажа ЦБ
Итого
Превышение \недостаток
ДДС в финансовой сфере
(отсутствует)
Чистый приток \отток ДС
|
+24951.8
+5193.8
|
19758
19758
-19758
|
Из таблицы видно, что на
планируемый период предполагается приобретение ценных бумаг. Пока отсутствует
движение денежных средств в финансовой сфере так как предприятие в данный
момент времени не имеет возможности приобрести большой портфель ценных
бумаг.
Анализ взаимосвязи оборотного капитала, прибыли и
денежных средств
(по отчетности конца 2004 года) (данные в таблице
15).
1)Объем закупок материалов
333342+(563622-646113)=250851
2)Объем материальных затрат
250851 × (243722-294542)=301671
3)Денежные поступления от дебиторов
144028-(209233-276683)=707148
Чистые поступления получены:
(583511+635-0)=584146
(583511+635-0)+50820+73450+1209735=1918151
Таблица
15 – Приток денежных средств, тыс.руб.
|
Прибыли,
убытки
|
Оборотный
капитал
|
ДС
|
1)поступление средств
-реализация продукции
-прирост запасов
-ДС
2)расходы
-материал. затраты
-закупки
-оплата материалов
-оплата труда
-амортизация
3)чистые поступления
|
1144028
301671
258211
635
583511
|
1144028
-32961
250851
258211
584146
|
707148
333342
258211
1918151
|
В этом случае притокооборотного капитала является
результатом полученной прибыли –583511 и амортизации (в меньшей степени)635
Чистый приток денежных средств образовался в
результате сальдирования сумм притока и оттока, при этом использование денежных
средств по сравнению с базисом снизилось, хотя по балансу это не ощутимо.
Снизилась активность предприятия
Оборачиваемость оборотного капитала (Обк):
Обк = 1083116 : (0,5 × 588637 + 494831,2) = 1,99
Продолжительность оборота (в днях):
Пр = 360 : 1,99 = 180 дней.
Чем быстрее оборотные средства совершают кругооборот, тем эффективней они
используются, и тем меньше надо оборотных средств.
Коэффициент загрузки (Кз):
Кз = 541725,15 : 1083116 = 0,5 – величина оборотных средств затрачиваемых
на рубль товарной продукции.
Таблица 16 - Анализ продолжительности
оборота оборотного капитала
|
Прошлый
|
Отчетный
|
Изменения
|
Оборотный
капитал
В
том числе в:
производственных
запасах
незавершенном
производстве
готовой
продукции
дебиторской
задолженности
денежной
наличности
выручка
продолжительность
оборота (дни)
запасы
незавершенное
производство
готовой
продукции
дебиторской
задолженности
денежной
наличности
|
588637,03
99253,07
—
194633,15
276683
83,09
872716
257
40,9
—
80,3
116,12
0,03
|
494813
82568,36
—
161153,9
209233
11808,75
1083116
109
19,83
—
35,5
70,5
1,2
|
-93824,03
-16684,71
—
-33479,25
-67450,19
+11725,66
+210400
-148
-21,07
—
-44,8
-45,62
+1,17
|
Сокращены текущие активы (видимо излишки) в 1,2
раза, но на ряду с этим возросла выручка в 1.24 раза. Вывод – интенсификация –
увеличение оборачиваемости.
Расчет влияния этих факторов (способ цепной подстановки).
Поб = (588637,03 × 360) : 872716 = 242,8 дней
Побусл = (494813,28 × 360) : 872716 = 204,11 дней
Поб1 = (494813,28 × 360) : 1083116 = 164 дня.
Отсюда изменение продолжительности оборачивания капитала за счет:
·
Суммы оборота оборотного капитала
Δ Поб в = 164 – 204,11 = -39,64
·
Средних остатков оборотного капитала
Δ Поб ост = 204,11 – 242,8 = -38,69
В том числе за счет изменения средних остатков:
1.
Производственных запасов (-21,07 × 360) : 494813 = -0,015
2.
Готовой продукции (-44,8 × 360) : 494813 = -0,0325
3.
Дебиторской задолженности (-45,62 × 360) : 494813 = -0,033
4.
Денежные активы 1,17 × 360 : 494813 =
+0,00085
Таблица 17 - Отражение
оборачиваемостей
|
Фактор изменения
оборачиваемости
|
Уровень показателя
|
|
доля
оборотного
капитала
|
скорость оборота оборотного капитала
|
Коэффициент
оборачиваемости
|
Продолжительность оборота капитала, дни
|
|
прошлого
года
|
прошлого
года
|
0,98 × 1,4 =1,372
|
257 : 0,98 =
262
|
|
отчетного
года
|
прошлого
года
|
0,97 × 1,4 = 1,358
|
257 : 0,97 =
265
|
|
отчетного
года
|
отчетного года
|
0,97 × 1,9 = 1,93
|
180 : 0,97 =
185,57
|
|
Изменение общее
в том числе за счет:
структуры капитала
скорости оборота
оборотного капитала
|
1,9
– 1,37 = -0,56
1,35 – 1,37 = +0,014
1,9 – 1,35 = -0,58
|
185
– 262,2 = -77,2
264,9 – 262,2 = +2,7
185 – 264,9 = -79,9
|
Из данных в таблице видно
влияние оборачиваемость оборотного капитала на оборачиваемость капитала
(коэффициент трансформации – КТ).
Доля оборотных активов в общей сумме активов:
Отчет 0,97 Базис 0,98
Дней
оборачиваемости
90
80
60
45


30
20
запасы готовая
дебиторская денежная
продукция
задолженность наличность
Рисунок 10 -
Гистограмма оборачиваемости текущих активов (до внедрения предложений)
На графике видно, что дольше всего оборачивается дебиторская
задолженность. Надо применить скидку, т.к. удельный вес вне оборотных активов
очень мал (0,025). То можно с уверенностью предположить – оборачиваемость
текущих активов практически равна оборачиваемости капитала (т.к. актив равен
пассиву), т. е. Для предприятия оборачиваемость текущих активов – есть
коэффициент трансформации (КТ).
КТ = 1083116 : 553458,2 = 1,96
Оборачиваемость
оборотного капитала – 1,99. Разница – 0,03 пункта.
Экономическая
рентабельность Дюпона – ЭР.
ЭР = КМ × 100 × КТ = 24124,25 : 1083116
× 100 × 1083116 : 553458 = 2,22 × 1,96 = 4,36
Оборачиваемость
текущих активов
6
4
2
2 4 6 8
рентабельность продаж %
Рисунок
11 - Взаимосвязь оборачиваемости текущих активов и рентабельности продаж
Чтобы выяснит за счет какого фактора произошло изменение рентабельности
активов или экономической рентабельности, проводим анализ (данные в таблице 17)
Таблица 17 - Анализ рентабельности,
тыс.руб.
|
Показатель
|
Базис
|
Отчет
|
|
1.Балансовая прибыль
2.Выручка
3.Средняя Σ капитала
4.Рентабельность
капитала
5.Рентабельность
продаж
6.Оборачиваемость
активов
|
69124,7
878716,4
589382,1
11,7
7,9
1,4
|
24124,25
1083116
553458,2
4,35
2,22
1,99
|
3.3 Экономическая эффективность разработанных предложений
Изменение
рентабельности за счет:
1.Оборачиваемости активов (1,99 – 1,4) ×
2,22 = +1,309
2.Рентабельности продаж (маржа) (2,22 – 7,9) × 1,99 = -11,30
Ускорение оборачиваемости повлияло на рентабельность активов (капитала,
т.к. пассив = активу) положительно.
Увеличение оборачиваемости – т.е. воздействие на все элементы текущих
активов – еще больше повысит рентабельность активов. Особенно это важно при
невозможности воздействия на цену себестоимость (ком. маржу).
Особое внимание надо уделить управлению дебиторской задолженностью.
Экономический эффект в результате ускорения оборачиваемости капитала:
Э = 1803116 : 360 × (257 –
180) = 5008,6 × 7,7 = 38566,64
В связи с ускорением оборачиваемости произошло высвобождение средств из
оборота на сумму 38566,64 руб.
Это ускорение и высвобождение тем важно, что вне оборотных активов
используем очень мало.
Будет и влияние оборачиваемости текущих активов на выручку:
Δ Вк об = 1083116 × (19
– 1,4) = 639038,4
Δ Вк = (1083116 – 872716,4) ×
1,4 = 294559,44 – прирост выручки за счет текущих активов.
Δ Вобщ = 1083116 – 872716,4 = 210399,4
Выручка увеличилась, и не удивительно, что за счет оборачиваемости
активов.
Увеличение прибыли за счет изменения оборачиваемости капитала:
Δ П = (1,9 – 1,4) ×
69124 – 69124 = -28340,8
Видно как важна оборачиваемость, можно свободно ее наращивать, и делать
предложение о хорошей ликвидности. Но прироста прибыли по форме №2 не было,
т.к. возросла себестоимость – упала КМ, следовательно, этой неплохой
оборачиваемости не хватило - ее надо нарастить.
Перейдем к оценке ликвидности:
1.
Коэффициент автономии
Ка = 90 : 506440,44 = 0,000177
Минимальное значение Ка = 0,5.
Собственного капитала практически не используется. Весь производственный
процесс финансируется за счет заемного капитала.
Видимо нет и постоянной части текущих активов.
Видно сочетание политики активов “жирный кот” и пассивов агрессивная
политика.
Практически все финансирование за счет краткосрочных пассивов.
Данные две политики сочетаются и видно агрессивную комплексную политику.
Большой риск краткосрочного кредита сдерживает большой удельный вес
текущих активов.
2.
Коэффициент соотношения заемных и собственных средств
Кз:с = 563622,06 : 90 = 6262,4
Наибольшую часть краткосрочных пассивов составляет
кредиторская задолженность.
3.
Эффект финансового рычага
ЭФР = (24124,25 : 90 – 20%) ×
6262,4 = (268 – 20%) × 6262,4 =
155297,6
Положительный дифференциал – главное условие работы финансового рычага.
Затем превращение рентабельности собственных средств на весьма большую сумму
благодаря использованию кредита.
Таблица 18 - Анализ источников
текущих активов, тыс. руб.
|
Текущие активы
|
На начало
года
|
На конец
года
|
Изменение за
отчетный период
|
1.Запасы и затраты
1.1. Производственные
запасы
(включая МБП)
1.2.Незавершенное
производство
1.3.Расходы будущих
периодов
1.4.Готовая продукция
1.5.Товары отгруженные
1.6.Товары
1.7.Издержки обращения на
остаток товаров
2.Денежные средства,
расчеты и прочие активы
2.1.Денежные средства
(сумма строк 250-300)
2.2.Краткосрочные
финансовые вложения.
2.3.Дебиторская
задолженность (сумма строк 320-430)
2.4.Прочие активы
3.Всего (стр.1 + стр.2)
Источники покрытия текущих
активов:
1.Собственные источники
1.1.Использованные на
покрытие долгосрочных и нематериальных активов.
1.2.Использование на
покрытие оборотных активов
2.Краткосрочные финансовые
обязательства всего (итог раздела 3
2.1.Краткосрочные кредиты
банков
2.2.Краткосрочные займы
2.3.Кредиторская
задолженность и прочие пассивы
3.Всего (стр. 1.2. + стр.2)
|
294542
99253
194633
83,09
276666
588637
10000
-11838
-11748
35000
611113
599365
|
243722
2568
161153
11808,7
209233
494813
10000
-11627
-11537
35000
528622
493622
|
-50820
-16685
-33480
+11725
-67433
-93823,7
0
-211
0
-82491
-105743
|
Чтобы предприятие жило хорошо, надо чтобы дебиторская задолженность с
лихвой перекрывала кредиторскую задолженность – снижением текущих финансовых
потребностей.
Тыс.руб.
20
10




-10
г.г.
03 04 05 06 07
.
это текущие
финансовые потребности
это собственные
оборотные средства
Рисунок
12 - Динамика текущих финансовых потребностей и собственных оборотных средств
Динамика текущих
финансовых потребностей практически повторяет динамику собственных оборотных
средств. Следовательно, высвобождаемые ресурсы получаются от производимой
продукции. Если линия текущих финансовых потребностей на графике рядом с
собственными оборотными средствами, значит можно покрыть дефицит оборотных
средств, значит в последние годы больше выпускается продукции пользующейся
спросом – эта продукция получила название – “донор”. Продукция “донор” не
приводит к росту потребности в дополнительных источниках финансирования из-за
не разбухания активов. “Продукция производится и продается”.
Все это напоминает ситуацию в супермаркетах, где
собственные оборотные средства должно быть и почти всегда отрицательны.
1 –
Краткосрочные пассивы.
2 – В необоротные активы.
3 – Оборотные активы.
4 – Собственный капитал.
Рисунок 13 - Диаграмма соотношения активов и пассивов
Собственные оборотные средства (СОС) на начало периода:
588637,03 – 646113,27 =-57476,24
На конец периода:
494813.28 – 563622.06 = -68808.78
Многие специалисты называют собственные оборотные средства мерилом
финансовой устойчивости:
СОС – ДС = ТФП.
На начало периода текущие финансовые потребности:
-57476,24 – 83,09 = -57559,3
На конец периода текущие финансовые потребности:
-68808,78 – 11808,75 = -80617,53
Собственных оборотных средств явно не хватает, финансовое положение
неустойчивое.
На первый взгляд ситуация очень странная, но предприятие генерирует
излишек текущих финансовых потребностей и превращение их в ресурсы. Кроме
того предприятие – малое.
Таблица 18 - Анализ факторов,
повлиявших на собственные оборотные средства
|
Факторы
|
Расчет
|
Уровень
|
|
1.Изменение
собственных источников
1.1.Изменение резервного фонда
1.2.Уставного фонда
2.Изменение суммы долгосрочных
обязательств
3.Изменение капитала
4.Изменение долгосрочных и
нематериальных
активов
4.1.Основные средства
|
0
0
0
0
0
11838.96-11627.16
11838,96-11627.16
|
0
0
0
0
0
-211.8
-211.8
|
Руководство предприятием
никак не пыталось воздействовать на собственные оборотные средства.
А надо: 1. Попробовать нарастить
собственный капитал.
1.1. Увеличить
уставный капитал и прочее.
1.2. В
перспективе поднимать рентабельность – увеличиваем нераспределенную прибыль и
пополняем собственные источники.
2. Увеличить долгосрочные заимствования. Можно
попробовать взять долгосрочный кредит, с точки зрения текущей финансовой
потребности это выгодно.
3. Часто советуют уменьшить иммобилизацию средств во в
необоротные активы, но это не для данного предприятия.
Выбираем варианты: 1.1. и 2.
Таблица 19 -
Анализ финансовой устойчивости, тыс.руб.
|
Показатели
|
Значения
|
|
Начало
|
Конец
|
|
1.Источники собственных
средств
2.Внеоборотные активы
3.Наличие СОС
4.Долгосрочные заемные
средства
5.Наличие собственных и
долгосрочных заемных средств
6.Краткосрочные займы
7.Общая величина источников
8.Запасы
9.Недостаток СОС
10.Недостаток СОС и
краткосрочных займов
11.Недостаток общей
величины формирования запасов
|
1000045727
118,96
-57476,24
-57476,24
35000
-22476,2
294542,2
-352018
-352018
-51928
|
10000 57271
11627,16
-68808,78
-68808,78
35000
-33808,78
243722,26
-312531
-312531
-277531
|
Диагностика – кризис.
Чтобы улучшить устойчивость надо:
1.Модернизировать продукцию, увеличить объем
реализации.
2.Совершенствовать систему налогообложения предприятия. Плюс все то, что
рекомендовали выше.
Рассмотрим ликвидность баланса, тыс.руб.
|
А1
|
А2
|
А3
|
А4
|
11808,75
|
370387,59
|
243722,26
|
11627,16
|
П1
|
П2
|
П3
|
П4
|
528622,06
|
35000
|
---
|
90
|
1.А1 < П2 3.А3 > П3
2.А2 > П2 4.А4 > П4
Не выполняются 1 и 4 неравенство.
Сравнение наиболее ликвидных средств с наиболее срочными обязательствами
позволяет выяснить текущую ликвидность. В данном случае ликвидность плохая.
Ликвидность в недалеком будущем отражает второе неравенство, в далеком –
третье. Оба эти неравенства выполняются.
Четвертое неравенство носит балансирующий характер, свидетельствует о
нехватке собственных оборотных средств.
Тыс.руб.



500



400
300
200
100
1 2
3 4
Группы

-
актив - пассив
Рисунок 14 -
Диаграмма ликвидности
Попробуем
повлиять на оборот готовой продукции с помощью повышения качества мебели:
Кэк =(дельта спроса : спрос):(делта
качества : бывший уровень качества)
Коэффициент эластичности от
качества равна 2.5
Огп ук = 1803116 × 2.5:
(194633+161154)=2704674:177893,5=15.2
По = 360:15.2 = 23.6
Дебиторскую задолженность с помощью
политики скидки:
6 : 10 net 45 -39% покупателей воспользуются
скидкой.
Средние остатки дебиторской задолженности (без скидки):
1083116 : 7 = 154730
Альтернативные издержки для предприятия:
0,6 × 0,39 × 1505531,2 = 352294,29
Оборачиваемость (новая) – 8,3 раза.
1505531,2 : 8,3 = 181389,3
Дебиторская задолженность изменится с 154730 до 181389,3.
Обор =1803116/181389.3=
9.9.
По= 360:9.9= 36
Дней


оборачиваемости
105
90
80
60
45
30




20
запасы готовая
дебиторская денежная
продукция задолженность наличность
Рисунок
15 - Гистограмма оборачиваемости текущих активов (после внедрения предложений)
Внедрение предложений в комплекс позволяет повысить оборачиваемость
запасов, готовой продукции, дебиторской задолженности, денежных наличных.
Заключение
В дипломной работе были проведены исследования теоретических аспектов
управлением оборотным капиталом. Рассмотрено сущность и квалификация оборотного
капитала, показано управление запасами и денежными активами. Установлен
источник формирования и использование источников оборотных средств. Проведено
исследование оборотного капитала на предприятии “Ирба”, которое занимается
производством мягкой мебели.
Проведены расчеты, которые показывают, что оборачиваемость оборотного
капитала равна 180 дням. При этом доля внеоборотных активов в общей сумме
активов около 0,03.
Установлен, самый большой срок обращения у дебиторской задолженности
около 80 дней, на втором месте готовая продукция 35,5 дней. Предложено для снижения
дебиторской задолженности применить политику скидок.
Необходимо улучшить качество продукции для повышения спроса и улучшения
оборачиваемости готовой продукции.
Высока оборачиваемость денежных активов – 1,2, достигнута за счет
хорошей организации и применения современных форм расчетов.
Установлено, что оборачиваемость – это показатель интенсификации и
эффективности использования оборотных средств.
Так как доля внеоборотных активов небольшая, то выявлено, что
оборачиваемость текущих активов практически равна коэффициенту трансформации.
Экономическая рентабельность активов (по Дюпону) зависит как от
коэффициента трансформации, так и от рентабельности продаж. Доказано, что
оборачиваемость текущих активов прямо влияет на рентабельность активов.
Установлено, что на предприятии “Ирба” применяется агрессивная политика
управления активами. Такая политика получила название “жирный кот” и направлена
на повышение ликвидности.
В современных условиях политике активов подбирается политика пассивов – в
данном случае тоже агрессивная. Но выбор этот вынужденный – почти нет
собственных средств и преобладание (абсолютное) краткосрочного кредита. Такая
политика пассивов снизит наращенную за счет активов ликвидность, оборотные
средства влияют на ликвидность.
Из этого следует, что финансирование зависит от третьих лиц, приходится
уповать на благожелательное и добросовестное отношение клиентов и поставщиков.
Выявлены отрицательные текущие финансовые потребности путем проведения
анализа в динамике за 2002 – 04 гг. с собственными основными средствами. В
результате анализа предполагаем, что отрицательные собственные оборотные
средства явились следствием выпуска продукции “донора”. Так как наше
предприятие “Ирба” не только производит, но и продает мебель доказано, что для
торгового предприятия сочетание недостатка собственных оборотных средств с
излишком текущих финансовых потребностей является органичным и здоровым.
Предлагается произвести финансовые вложения свободных денежных средств.
А так же ввести компьютерный учет оборотных средств, политики учета и
списания. Так как все операции проводятся в ручную, предполагаем применение
прогрессивных методов, таких как ЛИФО, ФИФО. Из-за того, что изготовление
мебели производиться из сырья различной степени влажности (сушки), что резко
ухудшает качество, предполагаем производить сушку материала в специально в
сушильных камерах, с 8%-ой влажностью. Так как списание отходов сжигается, что
не допустимо в рыночных условиях, предполагаем их реализацию.
Реализация предложений позволит повысить эффективность использования
оборотных активов, а значит и эффективность деятельности предприятия в целом.
Список используемых источников
1.
Абчук В.А. Менеджмент: Учебник – СПб.: Союз, 2004. - 282 с.
2.
Адамов Б.И., Кулиш Е.В. Анализ и прогнозирование состояния оборотных
средств предприятий в условиях рынка. – М.: Инфра-М, 2002. - 232с.
3.
Алавердов А.Р. Управление финансами предприятия. – М.: МГУ экономики,
статистики, информатики, 2002. - 213 с.
4.
Андреев А.П. Управление текущими активами. – М.: Инфра- М, 2002. - 168
с.
5.
Баканов М.И., Шеремет А.Д. Теория экономического анализа. – СПб.: Союз,
2003. - 139с.
6.
Башкатова Е.И., Здерева Т.А., Стельмаховский Ю.С. Оценка основного и
оборотного капитала предприятия. – М.: Экономист, 2004. - 201 с.
7.
Бочаров В.В. Коммерческое бюджетирование. – СПб.: Питер, 2003. - 247 с.
8.
Бочаров В.В. Финансовый анализ. – СПб.: Питер, 2002. - 238 с.
9.
Бурков В.Н, Ириков В.А. Модели и методы управления организационными
системами. – М.: Инфра- М, 2002. - 269 с.
10. Вахрин П.И. Инвестиции. – М.: Дашков и К', 2003.
- 197 с.
17. Джордж
Д, Джоунс Г. Основы управление. – М.: Юнити-Дана, 2003. - 169 с.
18. Ефремова
О.В. Формирование оборотного капитала. – СПб.: Питер, 2003. - 198 с.
19. Жарковская
Е.П. Арендс И.О. Управление капиталом. – М.: Приориздат, 2003. - 172 с.
20. Жуков
П.Е. Как анализировать финансовое положение. – М.: Юнити-Дана, 2002. - 159 с.
21. Журавлев
П.В. Финансовый менеджмент. – М.: Инфра, 2004. - 202с.
22. Зайцев
Л.Г, Соколов М.И. Менеджмент. – М.: Экономист, 2004. - 208с.
23. Коласс
Б. Управление финансовой деятельностью предприятия. – М.: Юнити-Дана, 2002. -
271 с.
24. Колчина
Н.В, Поляк Г.Б, Павлова Л.П.Финансы предприятий. – М.: Юнити-Дана, 2002. - 447
с.
25. Леонов
Я.В., Беляев Е. А. Оценка основного и оборотного капитала предприятия. – М.:
Фис, 2002. - 208 с.
26. Лукасевич
Н.Я. Анализ финансовых операций. - М: Юнити-Дана, 2003. - 262 с.
27. Макаревич
Л.М. Бизнес-планирование для малого предприятия. – М.: Вершина, 2003. - 169 с.
28. Максютов
А.А. Финансовый бюджет. – М.: Приориздат, 2003. - 181 с.
29. Малеева
А.В., Томаревская О.Г, Симкова Н.В. Анализ производственно - финансовой
деятельности предприятий. – СПб.: Союз, 2002. - 199 с.
30. Масленченков
Ю.С. Финансовый менеджмент. – М.: Перспектива, 2002. - 179 с.
31. Рапорт
Б.М. Как анализировать финансовое положение. М.: ТЕИС, 2002. - 159 с.
32. Савицкая
Г.В. Анализ хозяйственной деятельности. – СПб.: Союз, 2002. - 194 с.
33. Самсонова
Н.Ф. Финансы, кредит. – М.: Инфра, 2002. - 201 с.
34. Скмеренко
В.К., Прудников В.М, Акуленко Н.Б. Экономика предприятия. - М.: Инфра, 2004. -
232 с.
35. Шеремет
А.Д. Методика финансового анализа. – М.: Инфра-М, 2003. - 162 с.
Дипломная работа выполнена мной
самостоятельно. Все использованные в работе материалы и концепции из
опубликованной научной литературы и других источников имеют ссылки на них.
____ ____________ 2005
г.
________________________
Таирова А.И.
(подпись)
(Ф.И.О.)