Пути повышения конкурентоспособности
МИНИСТЕРСТВО ОБРАЗОВАНИЯ РОССИЙСКОЙ ФЕДЕРАЦИИ
ГОУ ВПО «УДМУРТСКИЙ ГОСУДАРСТВЕННЫЙ УНИВЕРСИТЕТ»
Институт экономики и управления
ДИПЛОМНАЯ РАБОТА
на тему: «Пути повышения конкурентоспособности
предприятия
на примере ООО «Элит-Строй»
Выполнили
студенты гр.
ЗС(ГКТ)061100-54(К) Д. Кузнецов
О.В.
Грахова
Руководитель
к.э.н., доцент кафедры МЭО и
П А.В. Аношин
Допущены к защите в ГАК
Зам директора ИЭиУ Г.Ю.
Галушко
Зав. кафедрой ЭМУ О.Д.
Головина
Ижевск 2004
СОДЕРЖАНИЕ
Введение 3
1. КОНКУРЕНТОСПОСОБНОСТЬ ХОЗЯЙСТВУЮЩЕГО СУБЪЕКТА В УСЛОВИЯХ
РЫНКА: ТЕОРЕТИЧЕСКИЕ АСПЕКТЫ 5
1.1. Сущность и предпосылки повышения конкурентоспособности предприятия
в условиях рыночной системы хозяйствования 5
1.2. Методическое обеспечение оценки конкурентоспособности
хозяйствующего субъекта 20
1.3 Предпринимательская среда и конкурентообразующие факторы
предприятия 30
2. Экономическая ХАРАКТЕРИСТИКА деятельности ООО
«Элит-строй» 39
2.1. Исторические аспекты развития. Организационно-правовая
форма предприятия 39
2.2. Основные виды деятельности 42
2.3. Структура управления и характеристика персонала 48
2.4. Анализ финансового состояния 55
3. Анализ и основные направления повышения
конкурентоспособности предприятия 65
3.1. Характеристика предпринимательской среды предприятия 65
3.2. Анализ конкурентоспособности предприятия 81
3.3. Пути повышения конкурентоспособности предприятия 85
Заключение 109
Список литературы 111
Приложение 112
Конкурентоспособность -
это характеристика товара или услуги, отражающая его отличие от товара (услуги)
- конкурента как по степени соответствия конкретной общественной потребности,
так и по затратам на ее удовлетворение. Показатель, выражающий такое отличие,
определяет конкурентоспособность анализируемого товара по отношению к товару -
конкуренту. Базой оценки конкурентоспособности является исследование потребностей
покупателя, требований рынка.
Конкурентоспособность
любого товара может быть определена только в результате сравнения, и поэтому
является относительным показателем. Она представляет собой характеристику
товара, отражающую его отличие от товара - конкурента по степени удовлетворения
конкурентной общественной потребности.
Интерес представляет
анализ конкретных шагов и действий, которые предпринимают предприятия, чтобы
осуществить очередной рывок в “борьбе за лидерство”, что определяет важность и
актуальность выбранной темы.
Это прежде всего
относится к постоянному обновлению ассортимента выпускаемой продукции,
безостановочной разработке и быстрому освоению новых образцов изделий и
одновременному наращиванию производительности труда, повышению гибкости производства,
эффективности, снижению всех видов издержек и затрат. Особое место занимает
обеспечение стабильного роста качества и надежности новых изделий при одновременном
снижении цен на новые виды продукции.
Основная цель,
поставленная перед работой – комплексная оценка состояния конкурентоспособности
общества с ограниченной ответственностью «Элит - строй» и обоснование своих предложений
по повышению конкурентоспособности предприятия. В соответствии с поставленной
целью основными задачами работы являются:
-
общая
характеристика объекта исследования;
-
анализ внешней и
внутренней среды предприятия: поставщиков, покупателей, конкурентов и т.д.;
-
оценка
конкурентоспособности предприятия.
Информационной базой
исследования являются практические материалы работы предприятия (в том числе
баланс, отчет о прибылях и убытках и т.д.), статистические материалы и нормативные
акты.
Настоящее исследование
базируется на теоретических положениях, научных принципах в области анализа
финансовых процессов товарного обращения и производства. Для решения задач,
рассматриваемых в работе, использованы методы балльной и экспертной оценки,
классификации, статистические группировки, логический, сравнительный анализ и
другие методы.
В условиях
централизованного управления народным хозяйством стратегическое управление
отдельным предприятием не входило в компетенцию его управленческого аппарата.
Все основные стратегические решения если и принимались, то принимались «наверху»
- в кабинетах Госпланов, отраслевых министерств и ведомств. Предприятию была
отведена роль исполнителя этих решений.
Рынок лишает руководителя
предприятия, как частного, так и государственного «привилегии стратегической
безответственности». Он должен самостоятельно, руководствуясь законодательными
и нормативными актами, регламентирующими правила ведения производственной
деятельности, а также складывающейся на том или ином рынке конъюнктурой,
принимать основополагающие, долговременные стратегические решения. При этом он
несет полную ответственность перед самим собой, трудовым коллективом, перед Законом
за все экономические, юридические, экологические и иные последствия принимаемых
решений. Складывается новое мировоззрение менеджмента: руководители фирм
начинают понимать, что стратегический подход к управлению фирмой становится
непременным условием обеспечения ее живучести.
Одним из основных
принципов разработки стратегии фирмы является разработка теории конкурентного
преимущества как концептуальной основы формирования глобальной и локальных
стратегических целей фирмы и экономически эффективных средств их достижения. По
мнению Д. Дэя, с которым мы полностью согласны, уже давно стало складываться
понимание, что успешно действующие на рынке виды бизнеса раньше других начали
реагировать на рыночные требования и предугадывать, как будут изменяться
рыночные условия. Поэтому в основу своей работы они положили не продукцию, не
ее продажи; вместо этого их убеждения, ценности и поведение направлены на то,
чтобы стать ближе к своим потребителям и чтобы постоянно опережать на рынке своих
соперников.[1]
Тема
конкурентоспособности фирмы становится все более и более актуальной в современном
менеджменте, а разработка теории конкурентного преимущества и конкурентного
статуса фирмы являются важнейшими условиями ее выживания и процветания в
стратегической перспективе. Наиболее значительными в этой области в 90-е годы
были исследования профессора гарвардской школы бизнеса М. Портера,
разработавшего теорию конкурентного преимущества. Нельзя не согласиться с
мнением М. Портера, который говорил: «Почему в соперничестве стран одни
побеждают, а другие оказываются в проигрыше? Из всех вопросов, связанных с
экономикой, пожалуй, именно этот звучит в наше время особенно часто.
Конкурентоспособность – вот чем в первую очередь озабочены правительства и
промышленные круги любой страны».[2]
Повышение
конкурентоспособности предприятия наиболее актуально в условиях рыночной
экономики. Прежде чем перейти к рассмотрению понятия конкурентоспособности,
рассмотрим одну из самых известных и фундаментальных экономических категорий -
понятие конкуренции. Сам термин «конкуренция» часто понимается экономистами в
различных смыслах. В таблице 1 приведены основные определения конкуренции.
Таблица 1
Основные определения конкуренции
|
Автор
|
Определение
|
|
1
|
2
|
А. Смит
|
Конкуренция -
поведенческая категория, когда индивидуальные продавцы и покупатели
соперничают на рынке за более выгодные продажи и покупки соответственно
|
Продолжение табл. 1
|
1
|
2
|
Ф. Найт
|
Конкуренция -
свобода индивидуалов иметь дело с теми или другими индивидуалами и выбирать
лучшие, с их точки зрения, условия среди предлагаемых
|
Й. Шумптер
|
Конкуренция с
точки зрения экономического роста - соперничество старого с новым: новые
товары, новые технологии, новые источники обеспечения потребностей, новые
типы организации. Конкуренция одновременно приносит очевидные преимущества в
стоимости издержек производства и качестве товаров и услуг, но с другой стороны,
уменьшает прибыльность фирм и даже ставит под угрозу их жизнеспособность
|
М. Портер
|
Конкуренция –
динамичный и развивающийся процесс, непрерывно меняющийся ландшафт, на
котором появляются новые товары, новые пути маркетинга, новые
производственные процессы и новые рыночные сегменты. Конкуренция как движущая
сила развития общества вынуждает производителей товаров постоянно искать
новые пути повышения их качества, снижения цены, повышения качества сервиса
|
Ф. Котлер
|
Конкуренция -
необходимость концентрации усилий на послепродажной деятельности, так как это
дает возможность удерживать существующих покупателей и увеличивать свою
прибыль
|
Ф. Хайек
|
Один из
главных доводов в пользу конкуренции заключается в том, что она позволяет
обойтись без «сознательного общественного контроля» и дает человеку
возможность самому решать, оправдывает ли потенциальная прибыльность того или
иного предприятия связанные с ним неудобства и риск
|
В современной литературе
можно также встретить такие определения конкуренции как соперничество
предприятий на рынке, направленное на овладение вниманием потенциальных
потребителей [4]; состязательность, соперничество, напряженная борьба юридических
или физических лиц за покупателя (за его деньги), за свое выживание в условиях
действия жесткого закона конкуренции как объективного процесса «вымывания»
некачественных товаров и услуг в рамках антимонопольного законодательства,
соблюдения закона «О защите прав потребителей».[5]
Если говорить с точки
зрения рыночной структуры, конкуренция представляет собой ряд условий, которые
ставят фирму в положение «принимающего цену». В этом смысле можно определить
конкурентный рынок как противоположный монопольной структуре. С другой стороны,
конкуренция могла бы быть определена с помощью ассоциации со словом
«конкурировать» (соревноваться, соперничать) как тип поведения фирм-соперников
на данном рынке. С этих позиций олигополию, например, как соперничество среди
нескольких, и монопольную конкуренцию, как соперничество среди многих фирм
путем дифференциации продукта, можно описать как формы конкуренции, которые характеризуются
наличием рыночного соперничества. Однако эти типы рыночной структуры не
являются чистой конкуренцией. Сделаем вывод о существующих разночтениях понятия
«конкуренция» среди современных экономистов и классиков микроэкономики и
попытаемся внести некоторую ясность в наше понимание этого вопроса.
Чистая конкуренция
возникает тогда, когда многочисленные продавцы и покупатели занимаются
продажей-покупкой гомогенного продукта. На таком рынке не существует
продуктовой дифференциации, и, в виду многочисленности продавцов и покупателей,
ни один из них, действуя независимо и в одиночку, не может воздействовать на
рыночные цены. Следствием чистой конкуренции является то, что покупатели и
продавцы принимают рыночную цену, так как они в одиночку не могут на нее
воздействовать ни каким образом. Последняя устанавливается силами спроса и
предложения этого рынка.
Совершенная конкуренция
определяется в современной микроэкономике как чистая конкуренция с двумя
дополнительными характеристиками. Первое дополнение: абсолютная мобильность
ресурсов внутри рынка и отсутствие барьеров для ресурсов на вход и выход из
этого рынка. Второе дополнение касается обладания, как покупателями, так и
продавцами совершенного знания о рынке, то есть вся информация одинаково
доступна для всех и в полном объеме. Риск и неопределенность существуют и
здесь, но, как говорят, здесь секретов нет. В мировой экономике не существует
примеров совершенной конкуренции в чистом виде, однако есть некоторые рынки,
которые весьма похожи. Например, рынки ценных бумаг: большое число покупателей
и продавцов, информация о ценах и ценности бумаг доступна, инвесторы имеют
возможность для перехода от одного альтернативного вложения к другому в
зависимости от происходящих изменений на рынке.
Эффективная конкуренция
(или реальная) возникает, когда покупатели и продавцы оперируют независимо,
даже если рынок не является чисто или совершенно конкурентным. Чтобы быть
эффективной, конкурентная система должна быть открытой и свободной, а участники
– сравнимы, так как нельзя назвать состязание между неравными настоящей
конкуренцией. Состязание также становится менее похожим на конкуренцию, если в
ней выигрывает меньшинство, а проигрывают многие. В этом случае результатом
будет монополия, препятствующая эффективной конкуренции. Цели антимонопольной
деятельности в странах рыночной экономики состоят не столько в борьбе с
монополией, сколько в поддержании эффективной конкуренции для стимулирования
экономической эффективности отраслей национальных экономик.
В условиях рыночных
отношений конкурентоспособность является главным фактором успеха. В современной
литературе можно найти следующие определения конкурентоспособности:
конкурентоспособность отдельного товара определяется как его преимущество по
сравнению с каким-то другим товаром (аналогичным по назначению или его
заменителем) при решении потенциальным покупателем своих проблем, [6] либо как
степень удовлетворения конкретной потребности по сравнению с лучшей аналогичной
продукцией, используемой на данном рынке, наличие сертификата качества. [7]
Конкурентоспособность
объекта определяется по отношению к конкретному рынку либо к конкретной группе
потребителей, формируемой по соответствующим признакам стратегической
сегментации рынка. Если не указан рынок, на котором конкурентоспособен объект,
то это означает, что данный объект в конкретное время является лучшим мировым
образцом. Для достижения и постоянного поддержания объекта конкурентоспособным
на планируемом рынке необходимо поддерживать завоеванные конкурентные
преимущества, искать и реализовывать новые.
Конкурентное преимущество
организации – превосходство, высокая компетентность фирмы в какой-либо области
деятельности или в выпуске товара по сравнению с конкурирующими фирмами. Это те
характеристики рыночной деятельности предприятия, которые создают определенное
превосходство над конкурентами. Создание конкурентных преимуществ связано с
разработкой комплекса мер в области товара, распределения, цены,
стимулирования, обеспечивающего превосходство над аналогичными действиями.
Начало создания теории
сравнительных преимуществ относят к концу XVIII – началу XIX веков, когда в трудах Д Рикардо были изложены основные положения теории
сравнительных издержек, в основе которой лежит идея о том, что в обмене
преимущество получают те страны, которые производят продукцию с меньшими
издержками. Благодаря этому они выигрывают на мировом рынке, что и приводит к
специализации стран на производстве товаров с относительно меньшими, чем у
других стран, издержками.
Модификацию теории
сравнительных издержек в теорию сравнительных преимуществ связывают с трудами
шведского экономиста Э.Хекшера (1919г.) и его ученика Б.Олина (1935г.).
Существо выводов этих ученых сводится к следующему: страна экспортирует товары,
в производстве которых наиболее эффективно использованы избыточные факторы
производства, и импортирует товары с дефицитными факторами производства.
Дальнейшее развитие
теории сравнительных преимуществ дано в трудах В.Леонтьева (70-е годы XX века). Его выводы были прямо
противоположны выводам Хекшера-Олина. Леонтьев показал, что несмотря на
бытовавшее в то время мнение об избыточности в США капитала, в экспорте
преобладали трудоемкие товары.
На наш взгляд, наиболее
полный анализ и объяснение причин конкурентоспособности отдельных фирм дает М.
Портер. [1] Он приходит к выводу, что конкурентное преимущество фирмы как на
внутреннем, так и на мировом рынке во многом зависит от факторов,
сформировавшихся в стране базирования фирмы. Рассматривая такие факторы, как
наличие рабочей силы, обилие природных ресурсов, протекционистская политика
правительства по отношению к отечественным фирмам, различия в практике
управления фирмами, М.Портер приходит к выводу, что ни один из них, взятый в
отдельности, не позволяет достаточно убедительно ответить на вопрос, что же
именно определяет успех или неуспех фирмы в конкуренции. Отвечая на этот
вопрос, он исходит из основополагающего принципа - конкурентоспособность
отражает продуктивность использования ресурсов. Исходя из него можно
утверждать, что для обеспечения конкурентоспособности фирмы
должны постоянно заботиться о наиболее полном и эффективном
использовании имеющихся в их распоряжении, а также приобретаемых для будущего
производства всех видов ресурсов.
Следует отметить одно важное обстоятельство. Конкурентоспособность
не является имманентным (внутренним) качеством фирмы. Это означает, что
конкурентоспособность фирмы может быть обнаружена (оценена)
только в рамках группы фирм, относящихся к одной отрасли, либо
фирм, выпускающих товары (услуги) — субституты. Конкурентоспособность
можно выявить только сравнением между собой этих фирм как в масштабе
страны, так и в масштабе мирового рынка. Таким образом,
конкурентоспособность фирмы — понятие относительное: одна и та же
фирма в рамках, например, региональной отраслевой группы может быть признана
конкурентоспособной, а в рамках отраслей мирового рынка или его
сегмента - нет.
Согласно общей
конкурентной матрице М Портера конкурентное преимущество предприятия на рынке
может быть обеспечено тремя основными путями: продуктовое лидерство, ценовое
лидерство, лидерство в нише (рис.1) [8].
снижение издержек дифференциация
продукции
«Ценовое
лидерство»
|
«Продуктовое
лидерство»
|
«Лидерство
в нише»
|
Рис.1. Конкурентная матрица Портера
Продуктовое лидерство основывается на политике дифференциации товаров.
Доминирующую роль здесь играет маркетинг. Основное внимание уделяется совершенствованию
товаров, приданию им большей потребительской полезности, развитию марочной
продукции, дизайну, сервисному и гарантийному обслуживанию, формированию привлекательного
имиджа и др. Повышение ценности товара для потребителей приводит к тому, что
он готов платить за нужный ему товар более высокую цену. Вместе с тем, повышение
цены, приемлемое для покупателя, должно быть больше повышения издержек,
которые несет предприятие, чтобы производить и поддерживать элемент
дифференциации.
Сочетание высокой полезности и высокой цены формирует «рыночную силу»
товара. Она защищает предприятие от конкурентов, обеспечивает стабильность
положения на рынке. Задача маркетинга тогда заключается в том, чтобы постоянно
отслеживать предпочтения потребителей, контролируя их «ценность», а также срок
жизни элемента дифференциации, соответствующего данной ценности.
Ценовое лидерство обеспечивается на основе возможности предприятия
снижать затраты на производство продукции. Здесь доминирующую роль играет
производство. Особое внимание уделяется стабильности инвестиций, стандартизированным
товарам, строгому управлению издержками, внедрению рациональных технологий,
контролю расходов и т.п. Снижение издержек базируется на использовании «кривой
опыта» (затраты на производство единицы продукции падают на 20% всякий раз,
когда объем производства удваивается), а также выведенном на ее основе «законе
опыта».
Закон опыта: издержки на единицу продукции при получении добавленной
стоимости применительно к стандартному товару, измеренные в постоянных денежных
единицах, уменьшаются на фиксированный процент при каждом удвоении продукции.
Лидерство в нише связано с фокусированием продуктового или ценового
преимущества на узком сегменте рынка, не охватывая весь рынок. Кроме того,
выбранный предприятием специализированный сегмент не должен привлекать
особого внимания более сильных конкурентов. Такое лидерство чаще всего используется
предприятиями малого бизнеса. Может применяться и крупными компаниями для
выделения узкой группы потребителей (профессионалы, «новые русские» и т.п.)
Возможности по достижению конкурентного преимущества определяются на
основе анализа конкурентных сил. Предложенная М. Портером модель конкурентных
сил позволяет предприятиям знать и умело использовать некоторые правила
конкуренции. При этом целью с позиции маркетинга является применение этих
правил на пользу предприятия, т.е. необходимо действовать лучше, чем это делают
конкуренты (рис. 2).
|
Угроза
появления новых конкурентов
|
|
|
Угроза
потребителей
|
Конкуренция
среди действующих компаний
|
Угроза
поставщиков
|
|
Угроза
появления новых товаров
|
|
Рис.2. Модель конкурентных сил
Конкуренция среди действующих компаний направлена на достижение ими
более выгодного положения на рынке. Необходимо учитывать традиционные действия
конкурентов (например, в области изменения ассортимента, упаковки, цены,
рекламы, стимулирования и др.) Следует также предвидеть и возможные изменения в
интенсивности конкуренции, связанные с новой ситуацией на рынке, активными
действиями конкурентов (например, желание стать лидером).
Стратегические действия по предотвращению угрозы со стороны новых конкурентов
предполагают создание для них различного рода препятствий и барьеров. Этому
могут служить сокращение издержек по мере роста объемов производства,
дифференциация продукции, формирование приверженности потребителей к торговой
марке, стимулирование посредников, использование патентов и ноу-хау и др.
Угрозе появления товаров-конкурентов (товаров-субститутов) следует противопоставить
постоянный поиск и реализацию идей товаров «рыночной новизны», использование
новых технологий, развертывание НИОКР по улучшению ассортимента, сервиса,
рекламы и т.п.
Угроза со стороны потребителей проявляется в их возможности влиять на
уровень конкуренции через изменение требований к продукции, цене, торговому
обслуживанию и др. Это предполагает постоянное проведение работ по изучению
покупательского поведения, готовность к быстрому реагированию на их нужды,
умение активно формировать спрос.
Возможности поставщиков повлиять на уровень конкуренции могут выражаться,
например, в их угрозах поднять цены или снизить качество поставляемых
материалов. Необходимо постоянно следить за действиями поставщиков, вести
поиск новых партнеров, привлекать новые технологические и сырьевые возможности.
Возможные стратегии по достижению и удержанию конкурентного преимущества
предприятия на рынке представлены в табл.2.
Таблица 2
Возможные
стратегии по достижению и удержанию конкурентного
преимущества предприятия на рынке
|
Позиция на
рынке
|
Упреждающие
стратегии
|
Пассивные
стратегии
|
Лидеры рынка
|
«Захват»
«Защита»
|
«Перехват»
«Блокировка»
|
|
Преследователи
лидеров рынка
|
«Атака»
«Прорыв» по
курсу»
|
«Следование»
«Окружение»
|
|
Избегающие
прямой конкуренции
|
«Сосредоточение
сил на участке»
|
«Сохранение
позиций»
«Обход»
|
Тип выбираемой стратегии зависит от того положения, которое занимает
предприятие на рынке, и от характера его действий.
По классификации Ф.Котлера, лидер рынка занимает доминирующее положение
на рынке, вносит наибольший вклад в его развитие. Он часто представляет собой
«точку отсчета» для конкурентов, которые нападают, подражают или избегают
его. Предприятие-лидер располагает значительными стратегическими возможностями.
[9]
Преследователь лидера рынка — это предприятие, не занимающее в настоящее
время доминирующего положения, но желающее атаковать лидера, бросить ему вызов
по мере накопления конкурентных преимуществ.
Избегающими прямой конкуренции являются предприятия, которые намерены
мирно сосуществовать с лидером и согласны со своим положением на рынке.
Занимая определенное положение на рынке, предприятия выбирают упреждающие (активные)
или пассивные стратегии обеспечения своих конкурентных преимуществ.
«Захват рынка» — расширение глобального спроса на продукцию предприятия
путем использования продуктового или ценового лидерства, поиска новых
потребителей, увеличения интенсивности потребления и др.
«Защита рынка» — воздействие на «своих» потребителей с целью удержать их
в сфере деятельности предприятия, например с помощью рекламы, сервиса,
стимулирования и др.
«Блокировка рынка» — стремление не допускать, чтобы преследователи добивались
преимуществ на отдельных маркетинговых направлениях: товар, распределение,
цена и т.д.
«Перехват» — реакция на нововведения преследователей для снижения возможной
эффективности.
«Атака в лоб» («фронтальная атака») — использование преследователем достигнутого
над лидером превосходства (продуктового или ценового, как правило, в
соотношении 3 к 1) для установления конкурентного преимущества.
«Прорыв» («фланговая атака») — использование какой-либо одной слабой
стороны лидера, нахождение бреши.
«Окружение» — постепенное накопление преимуществ перед лидером путем
определения его слабых мест, обход конкурента с разных сторон.
«Следование по курсу» — минимизация риска ответных действий лидера,
например в ценовой политике.
«Сосредоточение сил на выгодных участках» — выбор сегментов рынка, не
привлекающих внимание более сильных конкурентов.
«Обход» — избежание конкуренции путем выпуска не соперничающих товаров,
сервиса, использование непривлекательных для конкурентов каналов сбыта и др.
«Сохранение позиций» — поддержание постоянства в рыночной деятельности,
не вызывающей внимания конкурентов (статус-кво).
Реакцию конкурентов на действия предприятия можно оценить и предупредить,
используя предложенную М. Портером модель реакции конкурентов. Она основана на
предвидении тех ответных стратегических решений, которые вытекают из
глубинных движущих сил поведения конкурентов.
Характер реакции конкурентов является важнейшей и завершающей стадией
определения конкурентных стратегий предприятия. Необходимо постоянно обдумывать
возможные ответные шаги конкурентов, глубинные мотивы их поведения, иметь
варианты упреждающих действий.
Характер реакции во многом зависит от целей конкурентов, от того,
насколько они удовлетворены занимаемым положением на рынке, финансовыми результатами.
Это и определяет вероятность, время, природу и интенсивность ответных действий
конкурентов.
Важно знать, на какие конкретно действия пойдет конкурент. Решающее значение
здесь имеет самооценка конкурентом своей позиции. Так, если он считает себя
лидером в системе распределения, то будет активно реагировать на любые попытки
обойти его в этой области.
Реакция конкурента в значительной мере связана с умением гибких и быстрых
действий по изменению или уточнению своей текущей стратегии. Это касается не
только общих стратегических устремлений, но и возможных изменений на уровне
отдельных маркетинговых действий и их координации.
Наконец, важное значение имеет понимание конкурентом своих маркетинговых
возможностей, сильных и слабых сторон. От этого зависит действенность
конкурента.
Таким образом, фирмы разрабатывают конкурентные стратегии, нацеленные
на привлечение потенциальных потребителей и обеспечение лидерства на рынке.
Модели и матрицы Портера дают возможность:
-
определить пути получения конкурентного преимущества
(продуктовое, ценовое или в нише);
-
оценить основные конкурентные силы рынка и учесть их
действие с пользой для предприятия;
-
удерживать или достигать конкурентные преимущества по
отношению к лидерам или преследователям лидеров (выбор стратегии в зависимости
от позиции на рынке);
-
предвидеть поведение конкурентов как реакцию на
маркетинговые усилия предприятия.
Какая из конкурентных стратегий окажется более
предпочтительной для фирмы зависит от трех основных факторов: структуры
стратегического потенциала, возможностей расширения ресурсов фирмы,
особенностей отрасли и национальной экономики в целом. Рассмотрим эти факторы.
Влияние на конкурентное преимущество фирмы структуры стратегического
потенциала фирмы. Не все составляющие стратегического потенциала равнозначны по
своему воздействию на уровень конкурентного преимущества. Эта неравнозначность,
с одной стороны, обусловлена неодинаковостью глубины последствий, возникающих в
случае обладания (или его отсутствия) фирмой тех или иных способностей. Так,
если фирма обладает способностью к выдвижению конкурентоспособных идей в
области разработки, производства и продвижения товаров на рынок, но не обладает
способностью реализовать эти идеи, то для обеспечения конкурентного преимущества
ей потребуется привлечение дополнительных ресурсов в виде венчурного капитала,
либо других вариантов ресурсов, которые смогут усилить эту составляющую
стратегического потенциала.
С другой стороны, неравнозначность воздействия элементов стратегического
потенциала обусловлена различиями в степени обеспеченности каждого из них
соответствующими ресурсами. Так, на той же фирме способность к реализации
конкурентоспособных идей может быть низкой из-за отсутствия соответствующей организационной
структуры (бюро, лаборатории, сектора, производственного участка или даже
единицы технологического оборудования). Но очень хорошие идеи не могут быть
реализованы из-за отсутствия, например, возможностей получения
правительственных субсидий, кредитов Центрального или коммерческого банков или
отсутствия в стране необходимого оборудования, без которых стратегический
потенциал фирмы не может быть повышен.
Отсюда следует, что одной из важнейших целей стратегического управления
является рациональное распределение ограниченных ресурсов фирмы между элементами
стратегического потенциала. То есть необходимо определять, куда выгоднее
направлять ресурсы, в развитие каких «способностей» фирмы, чтобы обеспечить
высокий уровень конкурентного преимущества.
Влияние на конкурентное преимущество особенностей отрасли, к которой
относится фирма, а также условий, складывающихся в национальной экономике
страны базирования фирмы. В соответствии с подходом М. Портера к условиям
развитого рынка существуют пять сил, определяющих конкуренцию: соперничество
среди конкурирующих продавцов; конкуренция со стороны товаров-заменителей;
угроза появления новых конкурентов; экономические возможности и торговые
способности поставщиков; экономические возможности и торговые способности
покупателей. В условиях же начального этапа формирования рынка, когда еще
значительная часть предприятий является государственной собственностью, когда
преобладает психология иждивенчества среди руководителей предприятий,
надеющихся на государственные субсидии, ожидающих «указаний сверху», когда
отсутствуют навыки выживания в условиях жесткой конкуренции, когда на основе
исторически сложившегося уровня концентрации и специализации производства промышленность
да и другие отрасли национальной экономики монополизированы, к указанным пяти
силам, определяющим конкуренцию, следует добавить шестую — наличие объективной
возможности появления в стране, где преобладает психология патернализма
(убеждение в том, что государство обязано обеспечить всех членов общества всем
необходимым для жизни) и эгалитаризма (понятие социальной справедливости как
распределения поровну между всеми членами общества всех материальных и иных
благ), достаточно мощной конкурентной среды. Чем сильнее в экономическом
мышлении людей развиты эти взгляды, тем слабее действие остальных пяти сил
конкуренции.
Таким образом, конкурентная стратегия фирмы должна учитывать влияние
рассмотренных факторов. Это значит, что для выживания в условиях рынка фирма
должна:
-
формировать наиболее предпочтительную с точки зрения результативности
своей деятельности структуру стратегического потенциала;
-
рационализировать обеспеченность элементов стратегического
потенциала требуемыми ресурсами;
-
адаптироваться к условиям национальной экономики страны
базирования.
Данные предложения помогают улучшить состояние хозяйствующего субъекта в
условиях рынка.
Поскольку в
изменяющихся условиях достаточно трудно дать оценку конкурентоспособности, для
такой оценки в настоящее время предложена следующая схема (рис. 3):
Изучение Сбор
данных о конкурентах Запросы

рынка
покупателей







Формулирование
требований Анализ проекта,

к изделию оценка
стоимости
осуществления,
Определение
цели анализа определение емкости
конкурентоспособности
рынка и перспектив
сбыта
Определение перечня параметров,
подлежащих
оценке

Нет Анализ нормативных
параметров
Да
Расчет
группового показателя конкурентоспособности по
нормативным
параметрам
Выбор базового
образца
Определение
группового показателя конкурентоспособности
по техническим параметрам и группового
показателя
конкурентоспособности по экономическим
параметрам, анализ цены потребления
Расчет
интегрального показателя уровня конкурентоспособности
и вывод о конкурентоспособности с
базовым образцом
Нет Да
Разработка
мер по повышению Решение о производстве
конкурентоспособности и ее и
выходе на рынок с
оптимизации
с учетом затрат пробными продажами
Рис.
3. Схема оценки уровня конкурентоспособности
-
после выбора
услуги или товара, для которых проводится оценка, на основе изучения рынка и
требований покупателей определяется перечень технических и экономических
параметров, подлежащих исследованию;
-
сравнение по
каждой из групп параметров. Суть такого сравнения – выяснить, насколько, каждый
параметр товара близок к параметру потребности. Инструментом сравнения здесь
является единичный показатель – отношение величины параметра анализируемого
товара к величине параметра, требуемой покупателем;
-
на основе
единичных проводится подсчет групповых показателей, которые в количественной
форме выражают различие между анализируемом товаром и потребностью, т.е.
позволяют судить о степени ее удовлетворения;
-
расчет
интегрального показателя, представляющего собой численную характеристику
конкурентоспособности анализируемого товара по всем группам параметров.
Остановимся подробнее на
основных моментах анализа конкурентоспособности.
Его основа – постоянное
изучение рынка как до начала программы создания изделия, так и в ходе его
реализации.
Главная задача такого
исследования – выделение и анализ той группы факторов, которые влияют на
формирование спроса в определенном сегменте.
Результатом анализа
является выбор наиболее подходящего для продуцента сегмента, определение
требуемых технико-экономических данных услуги, ее рыночного потенциала.
Всякая услуга или товар
обладают комплексом свойств, определяющих степень их пригодности к
использованию в конкретных условиях. Для того, чтобы объективно оценить
конкурентоспособность своей услуги или товара, поставщик должен при анализе использовать
те же критерии, которыми оперирует потребитель.
Только в таком случае можно
ожидать, что оценка, данная услуге или товару поставщиком, совпадает с мнением
покупателя.
Следовательно, вначале
необходимо решить задачу определения перечня параметров, подлежащих анализу и
существенных с точки зрения потребителя.
Однако для продуцента
этот вопрос стоит несколько шире. Прежде всего он должен оценить принципиальную
возможность реализации своей услуги или товара на рассматриваемом рынке, т.е.
уровень нормативных параметров.
Определение
принципиальной возможности реализации начинается с оценки патентной чистоты,
которая отражает степень воплощения технических решений, не подпадающих под
действие патентов, выданных в стране потребителя.
Однако такой параметр
позволяет судить лишь о наличии или отсутствии препятствий для реализации
услуги или товара и не определяет уровня ее потребительских свойств с точки
зрения покупателя. Если в объекте имеются составные части, не обладающие
патентной чистотой, то дальнейший анализ конкурентоспособности целесообразно
проводить лишь после разработки мер, направленных на ее обеспечение.
Затем выясняется
соответствие параметров анализируемой услуги или товара обязательным стандартам
и нормам. В случае несоответствия им услуга не может использоваться для
удовлетворения существующей потребности.
Следовательно, если хотя
бы один из нормативных параметров не соответствует уровню, предписанному
действующими нормами и стандартами, то услуга неконкурентоспособна независимо
от результата сравнения по другим параметрам.
Методически учет
нормативных параметров при оценке конкурентоспособности обеспечивается
введением показателя, который принимает лишь два значения: 1 или 0.
Если услуга соответствует
нормам, то этот показатель равен 1, если не соответствует, то он равен 0.
Групповой показатель по
всей массе нормативных параметров представляет собой произведение единичных
показателей по каждому из них, т.е.:
п
Iн.п = П qнi , (1)
i=1
где Iн.п – групповой
показатель по нормативным параметрам;
qнi – единичный
показатель по i - му нормативному параметру;
п – число нормативных
параметров, подлежащих оценке.
Параметры,
характеризующие конкурентоспособность, подразделяются на следующие группы:
-
технические
(параметры назначения, эргономические, нормативные, эстетические и др.);
-
экономические
(формирующие цену потребления);
-
организационные
(система скидок, условия платежа и поставок, комплектность поставки, сроки и
условия гарантии и т.д.).
Вот почему любое
проектирование в идеале должно начинаться с выяснения потребностей
потенциальных покупателей и оценки, насколько имеющиеся у конкурентов и проектируемые
нами машины удовлетворяют эти потребности по своим параметрам.
Каковы же технические
параметры, которые используют при анализе конкурентоспособности услуг или
товаров?
Во-первых,
классификационные параметры, которые определяют принадлежность к определенному
виду (классу) услуг. Определять конкурентоспособность можно только по отношению
к услугам, входящим в один и тот же класс.
Во-вторых,
конструктивные, отражающие технико-конструкторские решения, присущие услугам.
Как правило, эти параметры также используются для классификации сравниваемых
услуг или товаров.
В-третьих, нормативные
параметры (вышеперечисленные), показывающие, соответствует ли услуга или товар
стандартам, нормам, правилам, которые регламентируют (на государственном,
международном, региональном или ином уровне) границы, из которых данный
параметр не имеет права выходить.
При этом весьма
показательно, что соответствие международным нормам (например, требованиям
Международной организации по стандартизации – ИСО) отнюдь не означает
автоматического соответствия нормам национальным: эти последние могут быть
более жесткими.
К нормативным параметрам
относится также соответствие правовым (в частности, патентным) нормам страны –
импортера наших изделий.
В-четвертых,
эргономические параметры (гигиенические, антропометрические, физиологические,
психологические и пр.) демонстрируют соответствие услуги свойствам
человеческого организма и человеческой психики, определяют удобство работы, скорость
утомления и надежность функционирования человеко-машинного комплекса.
В-пятых, эстетические
параметры отражают на уровне зрительного образа идею единства содержания
(сущности) и формы предмета, вызывают положительные или отрицательные эмоции,
играющие порой главную роль при покупательской оценке.
Если не все параметры
услуги соответствуют требованиям покупателя, это означает его
неконкурентоспособность.
Если потребитель не
найдет на рынке услуги, полностью отвечающие потребности, он будет вынужден
скорректировать свои требования с учетом существующего предложения.
Естественно, что при этом потребитель прежде всего отбросит самые, с его точки
зрения, незначительные требования и будет корректировать их до тех пор, пока
они не совпадут с набором технических параметров по крайней мере у одной из
предлагаемых услуг.
Из такого упрощенного
описания процедуры отбора на рынке следует, что в структуре потребности
различные элементы имеют неодинаковую значимость.
Для того чтобы
удовлетворять определенную потребность, услуга должна обладать набором свойств,
каждое из которых выполняет функцию удовлетворения одного из элементов
потребности.
По величине технического
параметра потребитель оценивает, насколько свойство услуги, представленное ей,
удовлетворяет соответствующий элемент потребности.
Это можно выразить как
отношение величины технического параметра услуги к величине того же параметра,
при которой элемент потребности удовлетворяется полностью. Оно называется
единичным параметрическим показателем:
Pi
qi = ---------
* 100 % , (2)
Pi100
где qi – единичный
параметрический показатель по i – параметру;
Pi – величина i –
параметра для анализируемой услуги;
Pi100 - величина i –
параметра, при которой потребность удовлетворяется полностью.
Таким способом можно провести
расчеты по всем техническим параметрам, получив в конечном итоге полный набор
показателей, характеризующих отклонение свойств анализируемой услуги от
требований потребителя. При этом значимость свойства в общей структуре свойств
должна совпадать со значимостью соответствующего элемента потребности.
Для получения на базе
единичных группового показателя , характеризующего соответствие потребности,
необходимо их объединить с учетом значимости каждого единичного показателя в их
наборе.
Однако единичный и
групповой показатели, отражая степень удовлетворения потребности, еще не дают
возможность оценить конкурентоспособность услуги. Для этого необходимо
сопоставить показатели для анализируемой услуги и ее конкурента и выяснить,
какая из них в большей степени соответствует потребности. Указанное сопоставление
и позволит определить уровень конкурентоспособности данной услуги в сравнении
с услугой-конкурентом по отношению к конкретной потребности. Тогда:
I т.п1
К = ----------- , (3)
I
т.п2
где К – показатель
конкурентоспособности 1-го услуги по отношению к конкуренту по техническим
параметрам;
I т.п1 и I т.п2 -
групповые показатели по техническим параметрам для 1-го услуги и
услуги-конкурента.
Показатель
конкурентоспособности применим, когда детально известны потребность,
производственная потребность, которую должна выполнить услуга, и конкретные условия
ее осуществления.
В большинстве случаев для
этого необходимы обширная и точная информация о потребностях покупателей,
трудоёмкие и дорогостоящие рыночные исследования.
Поэтому часто
целесообразнее оценивать конкурентоспособность косвенным методом – с помощью
услуги-образца.
В этом случае за основу
анализа берется не потребность, а услуга-образец, уже пользующаяся спросом и,
следовательно, в какой-то мере близкая к общественным потребностям.
Образец, таким образом,
выступает в виде материализованных требований, которым должна удовлетворять
услуга, претендующая на ту или иную часть спроса. Он моделирует потребность и
позволяет вести сравнение его параметров с параметрами объекта, подлежащего
оценке, что облегчает и удешевляет процесс анализа.
В случае применения
образца как базы сравнения формулы должны быть несколько изменены:
Pi
qi = ---------
* 100 % , (4)
Pi0
Pi0
q’i =
--------- * 100 % , (5)
Pi
где qi – единичный
показатель конкурентоспособности по i – му параметру;
Pi – величина i – го
параметра для анализируемой услуги;
Pi0 – величина i – го
параметра для образца.
Полученный показатель I
т.п дает возможность решить лишь одну часть проблемы – способна ли данная
услуга (и в какой степени) удовлетворить существующую потребность.
Однако он оставляет в
стороне еще один важнейший аспект, определяющий выбор на рынке, - при каком
уровне затрат потребность может быть удовлетворена
Необходимость ответа на
этот вопрос переносит исследование в область анализа экономических параметров.
Проводя оценку услуг или
товаров, предлагаемых на рынке, покупатель наряду с сопоставлением их
потребительских качеств не может абстрагироваться и от величины затрат, которые
возникнут у него в связи с их использованием, т.е. от цен потребления. Цена
потребления складывается из следующих элементов:
-
расходы на
транспортировку до места использования;
-
стоимость
установки и приведения в работоспособное состояние;
-
обучение
персонала;
-
затраты на
топливо (или электроэнергию);
-
заработная плата
персонала;
-
затраты на
послегарантийный сервис и покупку запчастей;
-
расходы на
страхование изделия;
-
налоги;
-
расходы на
утилизацию изделия после выработки ресурса (если изделие продается новому
владельцу, эти деньги вычитаются из цены потребления);
-
непредвиденные
расходы.
Хочется еще раз со всей
определенностью подчеркнуть, что мысль А.Н.Литвиненко и М.А.Татьянченко о
нерациональности делать прейскурантную цену главным орудием конкуренции
чрезвычайно актуальна и совершенно справедлива.
Цена, по которой услуга
предлагается покупателю, как мы видели, составляет лишь малую (как правило)
долю цены потребления. Снижение прейскурантной цены не приводит к повышению
конкурентоспособности, если отношение «продажная цена / цена потребления» лежит
в пределах 0,05 – 0,2. В этих условиях только борьба за низкую цену
потребления способна сделать услугу привлекательным для покупателя.
Уровень отдельных затрат
потребителя зависит как от свойств, присущих самому товару и связанных с его
конструкцией и качеством изготовления, так и от внешних по отношению к нему
факторов, не определяемых конструктивными особенностями.
Подход к решению задачи
оценки экономических параметров услуги во многом сходен с анализом по
техническим параметрам.
Его особенность состоит в
том, что соизмерение всех экономических параметров происходит по стоимостной
основе. По сути, для нахождения уровня конкурентоспособности по экономическим параметрам
необходимо провести сопоставление цен потребления анализируемой услуги и
образца, (здесь при необходимости следует учесть разновременность затрат), т.е.
С
I э.п =
--------- , (6)
Со
где I э.п - показатель по
экономическим параметрам (ценам потребления);
С – цена потребления
анализируемой услуги;
Со – цена потребления
услуги-образца:
На основе групповых
показателей по нормативным, техническим и экономическим параметрам строится
интегральный показатель конкурентоспособности:
I т.п
К = I н.п * ----------
, (7)
I
э.п
где К – интегральный
показатель конкурентоспособности анализируемой услуги по отношению к образцу;
I н.п I т.п и I
э.п - групповые показатели по нормативным , техническим и экономическим
параметрам.
По смыслу этот показатель
отражает различие между сравниваемыми услугами в потребительском эффекте,
приходящемся на единицу затрат потребителя на их приобретение и использование.
Если К<1,
анализируемая услуга уступает образцу, если K>1, то она превосходит образец
по конкурентоспособности.
При равной
конкурентоспособности K = 1
При росте I т.п (т.е.
при улучшении технических параметров анализируемой услуги по сравнению с
образцом) показатель К растет, отражая рост конкурентоспособности.
При увеличении I э.п
(т.е. при росте расходов по данной услуге) показатель К падает.
В некоторых случаях в
качестве комплексного параметра, применяемого для оценки конкурентоспособности,
может выступать удельный полезный эффект, определяемый как отношение суммарного
полезного эффекта в натуральных единицах к величине затрат на приобретение,
эксплуатацию или потребление услуги.
Применяют и такой метод
оценки конкурентоспособности, как разработка списка главных параметров, а затем
простановка баллов (например, по пятибалльной системе) всем услугам,
сравниваемым между собой.
В итоге для каждой услуги
формируется некоторая сумма – интегральный показатель конкурентоспособности:
дело в том, что эксперты, проставляя баллы, сравнивают не услугу с услугой, а
каждую из них с неким «идеальным» (существующим в воображении) образом
наилучшей в данном классе услуги.
Безусловно, важны опросы
покупателей, как намеревающихся купить, так и уже купивших сравниваемые услуги.
Хотя эти мнения более
субъективны, чем оценки экспертов, исследователь получает более близкую к
действительности систему покупательских предпочтений.
Расчеты
конкурентоспособности важны для экспортера и производителя услуг не только тем,
что позволяют оценить рациональность выхода на тот или иной рынок, но и потому,
что на основе расчетов этого рода можно получать информацию для целого ряда
других управленческих решений.
Например, зная
коэффициент конкурентоспособности, а также взаимосвязь между долей
удовлетворения потребностей и объемом продажи ( эта взаимосвязь достаточно
легко вычисляется), легко оценить объем поступлений от продажи в зависимости от
количества услуг, а тем самым – узнать объем «безубыточной» партии, сумму
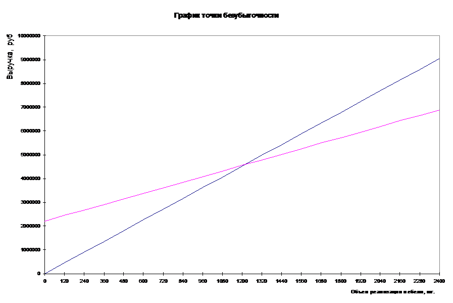
прибыли при достижении заданного масштаба сбыта.
Аналогичным методом рассчитывают
допустимую сумму расходов на проектирование услуги.
Конкурентоспособность
фирмы не является ее внутренним качеством, поскольку фирма функционирует в
системе макро- и микросреды, сформировавшейся в рамках той или иной страны. В
связи с этим необходимо выяснить, почему среда, создаваемая в той или иной
стране, более (или менее) благоприятна для появления и поддержания конкурентного
преимущества фирм этой страны.
Подобно всем другим
разновидностям сред экономическая среда не находится в состоянии покоя и
оказывает особое влияние на сферу производства из-за своих динамических
изменений, которые могут иметь как негативные, так и позитивные последствия для
оперирующих в этой среде фирм. Причем активно оперирующие фирмы, инициирующие
свои попытки воздействия на эту среду, имеют больше шансов на долгосрочный
успех, чем те, которые успешно приспосабливаются к изменяющимся условиям.
Обладание знанием в области экономики не является гарантией успешного бизнеса,
однако это позволяет интерпретировать и анализировать тенденции в изменении
экономической среды, а также их прогнозировать.
Структура предпринимательской среды приведена на рис.4.
Рис.4. Предпринимательская среда
Силы микросреды должны
быть также проанализированы в рыночной среде, которая характеризуется разными
типами рыночных структур. Это позволяет фирме формулировать ее предназначение и
ее генеральные цели, то есть миссию и производственный профиль. Свое
предназначение фирма формулирует в условиях определенного состава, структуры и
состояния внешней среды, определяющих систему возможностей фирмы по
удовлетворению определенных потребностей рынка. Внешняя среда формирует вполне
определенную систему ресурсов, которыми может располагать предприятие для выполнения
своей миссии. Эти ресурсы, в свою очередь, определяют структуру производства,
технологический профиль, кадровый и квалификационный состав, а также долгосрочные
намерения фирмы по выживанию и совершенствованию в условиях, диктуемых рынком.
Успех фирмы зависит от умения тщательно анализировать рынок и от того, какую
собственно позицию заняла фирма, стратегически продуманную или наиболее
правильно определяющую: место, время, товар и его цену. Несмотря на то, что
каждый рынок имеет уникальный характер и структуру, есть довольно много общего
в проявлении конкуренции от рынка к рынку. Согласно М. Портеру состояние
конкуренции на определенном рынке можно охарактеризовать пятью конкурентными
силами:
-
соперничество
между конкурирующими продавцами одной отрасли;
-
конкуренция со
стороны товаров, производимых фирмами других отраслей, являющихся заменителями
и конкурентоспособных с точки зрения цены;
-
угроза входа в
отрасль новых конкурентов;
-
экономические
возможности и торговые способности поставщиков;
-
экономические
возможности и торговые способности покупателей.
Центральный ринг
конкурентной “арены”, где происходит большинство действий соперничества,
представляет собой маневрирование соперничающих фирм-производителей разных
версий одного и того же товара или услуги. Черты конкурентных взаимодействий
фирм можно охарактеризовать следующим образом:
а) фирмы борются за более
выгодную рыночную позицию, что проявляется, в конечном счете, завоевать свою
клиентуру, при этом соперники формулируют и постоянно пересматривают свои
стратегии, надеясь обойти друг друга и обеспечить себе более прибыльную
рыночную долю;
б) конкурентные
стратегии, которые фирмы могут изобрести различны; фирмы ограничены, в
основном, своими соображениями о том, что и как сработает на этом рынке;
в) свежие конкурентные
условия могут предприниматься время от времени одним или многими соперниками,
которые обновляют свои стратегии для улучшения позиции или с целью защиты уже
завоеванных преимуществ;
г) фирма имеет веские
причины выбирать конкурентные стратегии, которые в равной мере не могут быть не
сымитированы, ни обойдены; предлагая покупателям нечто такое, что не может быть
быстро, легко или дешево продублировано, фирма получает не только рыночный
успех, но и уникальный конкурентный результат, который может быть выражен
сверхприбылью;
д) межфирменное
соперничество приносит одним успех, другим проигрыш, стратегический успех может
дать фирме возможность влиять или даже контролировать направление действия
рыночных сил или конкурентных усилий;
е) стратегии
фирм-соперников влияют на рынок, а рынок, в свою очередь влияет на выбор тех
стратегий, которые могут быть применены с определенным ожидаемым успехом только
в данных условиях конкретного рынка.
Существует традиционное
мнение, что принятие решений и выбор линии поведения фирм практически всегда
определяются конкуренцией и рыночными условиями. Производственные предприятия
действуют в соответствии с конкурентными обстоятельствами и условиями
“спроса-предложения” рынка, то есть теми силами, которые находятся вне власти
фирмы. Традиционная теория предпринимательства смотрит на рынки и силы
конкуренции как на условия, ограничивающие деятельность фирмы. Однако не
следует видеть в рынке и экономических силах абсолютный детерминант того, что
представляет собой бизнес каждой отдельной фирмы, и как она старается завоевать
свою клиентуру. Мощными бизнес-стратегиями являются те, которые обладают
потенциальными возможностями генерировать серьезное воздействие на рынки,
покупателей, конкурентов и на направление развития отрасли.
Таким образом,
стратегический курс фирмы есть, собственно, продукт внешних рыночных
альтернатив и внутренних факторов: ресурсов, квалификации, управленческих
преимуществ. Множество факторов влияет на выбор стратегии: потребительские
вкусы, предпочтения, покупательские привычки, технологические изменения,
конкурентные воздействия, потребности в инвестициях, соответствующие прибыльные
ожидания, финансовые возможности фирмы, оценка квалификационных и
управленческих качеств в смысле их достаточности для достижения успеха на
рынке, диверсификация, персональный состав управленческого звена и его
целеустремленность, государственные акты регулирования а также социальные,
политические и культурные условия, ограничивающие или расширяющие спектр
действия фирмы.
В качестве центрального
фокуса конкурентной борьбы может быть один или несколько следующих: цена, новый
или улучшенный продукт, расширенный ряд продуктов, технические новшества,
применение новых менее дорогостоящих методов производства, сервис, стили,
гарантии, стимулирование покупателя, экономия покупательских затрат и т.д. При
этом рынок и конкурентная борьба воздействуют на стратегии фирм, а стратегии
фирм, в свою очередь, воздействуют на рынок и конкурентную борьбу.
Серьезным тестом хорошей
стратегии на самом деле является степень, в которой стратегия фирмы:
-
улучшает
возможности фирмы успешно конкурировать на своем месте на рынке;
-
увеличивает
возможности фирмы добиваться конкурентных преимуществ;
-
позволяет
получать сверхприбыль.
Часто фирмы,
принадлежащие к одной и той же отрасли, находятся в тесной конкурентной борьбе
с фирмами в других отраслях из-за того, что их продукция является хорошим
заменителем. Цены и доступность товаров-заменителей создают ограничения для цен
производителя, что лимитирует потенциальную возможность прибыли. Производитель
может выделить товар качеством, уменьшить цены благодаря снижению издержек, но
он все же стоит перед риском меньшего роста продаж и прибылей ввиду соответствующих
мер, предпринимаемых конкурентом. Конкуренция со стороны заменителей зависит от
того, насколько легко покупатели могут предпочесть заменитель. Поэтому ключевое
соображение заключается в том, чтобы переключить покупателя на
товар-заменитель. Обычно эти издержки включают стоимость переобучения, затраты
на покупку дополнительного оснащения, если оно требуется при эксплуатации
товара-заменителя, оплату услуг при переходе к потреблению другого товара,
время и издержки на тестирование надежности товара-заменителя. В целом, чем
ниже цена заменителей, чем выше их качество и исполнение и чем ниже стоимость
переключения, тем более интенсивно давление конкурентных сил со стороны
заменителей.
Новые конкуренты. чтобы
войти в рынок и обеспечить себе соответствующее место и рыночную долю, обладают
достаточной производственной мощностью, которая привносится на рынок. Насколько
серьезной является угроза со стороны возможного появления на рынке новых
конкурентов, зависит от двух групп факторов: барьеры для входа и ожидаемая
реакция фирм на вновь входящих в отрасль. Здесь может помочь анализ поведения
фирм в конкурентных взаимоотношениях между собой. Часто подсказку можно получить
изучая высший кадровый эшелон фирм-соперников или индивидуальность фирмы, что
включает в себя:
-
склонность фирмы
проявлять агрессивность или консервативность;
-
образование,
квалификацию и опыт работы исполнительного состава фирмы;
-
внимание, которое
фирмы-соперники уделяли научным исследованиям, развитию, рекламе.
технологическому оснащению;
-
ключевые
конкурентные идеи;
-
мнения и
предложения, которые, вероятно, имеет управляющее звено фирм-соперников о себе
и о своем бизнесе и которые можно синтезировать из выступлений и интервью;
-
какой тип людей
привлекается к управлению фирмами. какое вознаграждение они имеют.
Угроза входа на рынок
новых конкурентов имеет тенденцию изменяться вместе с изменением рыночных
экономических условий вообще. Технологические новшества и открытия, увеличение
рекламы, укрепление взаимоотношений с дистрибьюторами и дилерами, улучшение
качества товаров со стороны укоренившихся фирм - все это поднимает барьеры для
входа новых конкурентов.
Конкурентное влияние со
стороны поставщиков, которое может иметь место в отрасли, главным образом,
зависит от того, насколько важными являются эти составляющие затрат для покупателя.
Когда значительная часть общих поставок в отрасль в денежном исчислении
сосредотачивается в руках группы поставщиков или она может повлиять на качество
продукта в отрасли, возникает опасная для покупателей ситуация: поставщики
приобретают преимущество в партнерских отношениях и возможность влиять на фирмы
и отрасль в целом. Сильные поставщики могут срезать прибыль в отрасли, потребляющей
их продукт, через повышение цен, которое она не сможет проигнорировать или переложить
на плечи собственных клиентов. Они могут также уменьшить прибыль покупателей
через ухудшение качества своей продукции и увеличить тем самым свою прибыль.
Так же как и поставщики,
потребители могут оказывать определенное влияние на состояние конкуренции в
отрасли, особенно, если они являются фирмами и потребляют факторы производства.
Сила влияния на производителей товара и способность вести торговлю со стороны
покупателей-фирм сильнее, когда:
-
крупные
фирмы-потребители немногочисленны и покупают продукцию в большом количестве;
-
покупки данных
потребителей составляют значительный процент от всех продаж в отрасли;
-
отрасль,
поставляющая товар на рынок, состоит из большого числа относительно некрупных
продавцов;
-
товар,
предлагаемый отраслью, существенно стандартизирован, так что потребители могут
найти альтернативного продавца при практически нулевой стоимости перехода;
-
покупаемый товар
или услуга не экономят деньги покупателю.
Фирма может увеличить
свою прибыльность и рыночную устойчивость путем изыскивания таких поставщиков и
потребителей, которые относительно “слабы в проявлении силы”. Особенно это
полезно в случае выделения потребительских групп для направления маркетинговых
усилий. Редко абсолютно все группы покупателей имеют одинаковые способности
торговаться, а некоторые могут быть даже более отзывчивы с точки зрения цены,
качества и сервиса.
Для того чтобы
проанализировать конкурентное окружение руководителям следует оценить
возможности каждой из пяти конкурирующих сил. Коллективное воздействие этих сил
определяет характер конкурентной борьбы на данном рынке. Идеальная конкурентная
среда в отношении получения прибыли - это такая среда, в которой и поставщики,
и покупатели имеют слабую позицию на торговых переговорах, когда нет хороших
заменителей, входные барьеры выхода на рынок относительно высоки и конкуренция
между существующими продавцами довольно умеренная.
В принципе, на силу
конкурентной борьбы влияет несколько факторов, однако некоторые из них
повторяются чаще других. Рассмотрим восемь наиболее важных.
а) борьба усиливается,
когда число конкурирующих фирм увеличивается и когда они становятся
относительно сравнимы с точки зрения размеров и возможностей.
б) борьба обычно
усиливается тогда, когда спрос на продукт растет медленно. Борьба за рыночную
долю стимулирует появление свежих стратегических идей, маневров и контромер,
прямо направленных на переманивание клиентуры соперников.
в) борьба более сильна
там, где конкурирующие фирмы имеют соблазн использовать понижение цен или
другое конкурентное оружие для увеличения продаж. Если рыночный спрос слаб, а
мощность исчерпана, фирмы часто прибегают к ценовым тайным соглашениям,
специальным скидкам, уступкам и другим тактическим действиям, имеющим цель -
увеличение продаж.
д) борьба возрастает в
соответствии с размером отдачи от успешных стратегических маневров. Чем больше
отдача от стратегии, тем больше вероятность, что другие фирмы будут соблазнены
применить тот же самый стратегический маневр.
е) борьба имеет тенденцию
к усилению, когда уход из бизнеса становится дороже, чем продолжение
конкуренции. Чем выше барьеры для выхода, тем сильнее фирмы расположены
остаться на рынке и конкурировать на пределе своих возможностей, даже если они
могут заработать меньшую прибыль или терпеть убытки.
ж) борьба становится
более ожесточенной и непредсказуемой при увеличении различий между фирмами в
смысле их стратегий, кадрового состава, общих приоритетов, ресурсов и стран
происхождения.
з) борьба усиливается,
когда сильные компании из других отраслей приобретают слабые фирмы и
предпринимают агрессивные, финансово крепкие маневры для внедрения нового
конкурента в число сильных соперников.
Рассмотрев основные
теоретические аспекты конкурентоспособности предприятия, в дальнейшем в работе
мы будем применять их на практике применительно к объекту исследования
дипломной работы.
Общество с ограниченной
ответственностью «Элит-Строй» является коммерческой организацией, имеющей
статус юридического лица. Учреждено общество в соответствии с действующим
законодательством РФ и УР на основании гл. 4 Гражданского Кодекса РФ.
Учредителем Общества
является Лялин Эриксон Николаевич.
Юридический адрес
Общества: РФ УР г.Ижевск, ул. Пушкинская, 198.
Место нахождения
общества: РФ УР г.Ижевск, ул. Карла Маркса, 219-В.
Общество создано в целях:
-
насыщения
потребительского рынка товарами и услугами;
-
совершенствования
рыночной инфраструктуры и создания конкурентной среды;
-
получение
прибыли.
Общество приобретает
права юридического лица и считается созданным с момента его регистрации Местной
администрацией Октябрьского района г. Ижевска.
Общество является
коммерческой организацией, имеющей в собственности обособленное имущество,
отвечающей по своим обязательствам этим имуществом.
Общество может от своего
имени приобретать и осуществлять имущественные и личные неимущественные права,
нести обязанности, быть истцом и ответчиком в суде.
Общество имеет
самостоятельный баланс, расчетные и иные счета в банковских учреждениях.
Общество вправе, для
осуществления внешнеэкономической деятельности открывать валютный и иные счета
в банковских учреждениях.
Общество имеет круглую
печать, штамп, фирменные бланки и иные реквизиты со своим наименованием.
Общество имеет право
самостоятельного ведения внешнеэкономической деятельности, согласно
действующему законодательству.
Общество имеет право
выступать гарантом или поручителем при заключении кредитных договоров между
банковскими учреждениями и иными физическими или юридическими лицами.
Общество руководствуется
в своей деятельности действующим законодательством Российской Федерации,
Удмуртской Республики и уставом.
Общество может быть
ограничено в правах лишь в случаях и в порядке, предусмотренном законом.
Общество с ограниченной ответственностью “”Элит-строй” создано в соответствии с Гражданским кодексом
Российской Федерации и Указом Президента РФ “Об упорядочении регистрации
предприятий и предпринимателей на территории Российской Федерации”. Общество
создано для производства продукции, выполнения работ и оказания услуг.
ООО “Элит-строй” является юридическим лицом с момента
госрегистрации и имеет в собственности обособленное имущество, учитываемое на
самостоятельном балансе; может осуществлять имущественные и личные неимущественные
права; может быть истцом и ответчиком в суде; несет обязанности, необходимые
для осуществления любых видов деятельности, не запрещенных законом; может
заниматься лицензируемыми видами деятельности при наличии лицензии; вправе
открывать банковские счета на территории РФ и за ее пределами; имеет круглую
печать; имеет штампы, бланки, эмблему, зарегистрированный товарный знак.
Обществом с ограниченной ответственностью признается
учрежденное одним или несколькими лицами общества, уставный капитал которого
разделен на доли, определенных учредительными документами размеров; участники общества
с ограниченной ответственностью не отвечают по его обязательствам и несут риск
убытков, связанных с деятельностью общества, в пределах стоимости внесенных ими
вкладов
Если участник общества внес вклад не полностью, то он
несет солидарную ответственность по обязательствам общества в пределах
неоплаченной части вклада каждого участника.
Деятельность ООО «Элит-строй» регламентируется Уставом
и Учредительным договором.
Высшим органом является общее собрание его участников.
Исключительной компетенцией собрания является:
-
изменение устава, изменение размера уставного капитала
-
утверждение годовых отчетов и баланса, распределение убытков и
прибылей
-
образование исполнительных органов и досрочное прекращение их
полномочий
-
решение о реорганизации или ликвидации общества
-
избрание ревизионной комиссии (ревизора)
ООО вправе преобразоваться в акционерное общество или
производственной кооператив. Ликвидировано общество может быть только по
единогласному решению его участников.
Участник общества вправе продать или иным образом
уступить свою долю в уставном капитале общества или часть ее одному или
нескольким участникам данного общества.
Общество обязано выплатить участнику стоимость его
доли, либо выдать ее в натуре, если передача третьему лицу невозможна, а другие
участники общества от ее покупки отказываются.
Доли в уставном капитале переходят к наследникам
граждан и к правопреемникам юридических лиц, являвшихся участниками общества,
если учредительными документами общества не предусмотрено, что такой переход
допускается только с согласия участников общества.
Выход участника общества не требует согласия на это
других его участников.
ООО «Элит-строй» создано
в целях удовлетворения общественных потребностей в товарах и услугах, а также
для извлечения прибыли.
В этих целях общество
может осуществлять следующие виды деятельности:
-
торгово-закупочная
деятельность, оптовая и розничная торговля;
-
транспортные
перевозки грузов и пассажиров автомобильным транспортом;
-
экспедиция
грузов;
-
лесозаготовка,
лесопереработка, изготовление продукции и товаров из древесины;
-
брокерская и
дилерская (представительская) деятельность;
-
ремонтные,
восстановительные и ремонтно-строительные работы;
-
реставрационные
работы;
-
бытовое и сервисное
обслуживание;
-
совместная
деятельность в России и за рубежом с иностранными фирмами и частными лицами;
-
исследование
конъюнктуры рынка;
-
производство
товаров народного потребления и продукции производственно-технического
назначения;
-
разработка и
внедрение в производство нового оборудования и технологии;
-
проведение
научно-исследовательских и конструкторских работ;
-
выполнение
торгово-коммерческих и коммерческих функций;
-
предоставление
юридическим и физическим лицам услуг в области сбыта, купли и продажи различных
видов сырья, товаров народного потребления, сдаче в аренду недвижимости,
оборудования, жилых и производственных зданий и т.д.
-
промышленное и
гражданское строительство;
-
проектные и
изыскательские работы;
-
заготовка,
переработка, реализация вторсырья и отходов;
-
осуществление
инновационной деятельности;
-
осуществление
благотворительной деятельности;
-
внешнеэкономическая
деятельность, осуществление экспортно-импортных операций;
-
художественно-оформительские
работы;
-
инжиниринговая
деятельность;
-
изготовление проектно-сметной
документации;
-
монтажные и
пуско-наладочные работы;
-
экспертные
работы;
-
иные, не
запрещенные законом виды хозяйственной деятельности.
Виды деятельности, требующие согласно законодательству
специального лицензирования, осуществляются обществом на основании получаемых в
установленном порядке лицензий и разрешений и только после их получения.
Динамика структуры производственной деятельности ООО
«Элит-строй» приведена в табл.3.
Таблица 3
Стоимостная оценка структуры производственной деятельности в
динамике
|
Продукция, услуги
|
2002 г.
|
2003 г.
|
Отношение 2003 / 2002, %
|
|
Тыс. руб.
|
Удельный вес, %
|
Тыс. руб.
|
Удельный вес, %
|
|
1
|
2
|
3
|
4
|
5
|
6
|
|
Оптовая и
розничная торговля
|
1450
|
10,0
|
1840
|
10,0
|
126,9
|
Продолжение табл. 3
|
1
|
2
|
3
|
4
|
5
|
6
|
|
Изготовление
продукции и товаров из древесины
|
4450
|
30,5
|
4970
|
27,0
|
111,7
|
|
Ремонтные,
восстановительные и ремонтно-строительные работы
|
1690
|
11,6
|
2140
|
11,6
|
126,7
|
|
Промышленное
и гражданское строительство
|
6420
|
44,1
|
7460
|
40,5
|
161,2
|
|
Иные виды
хозяйственной деятельности
|
560
|
3,8
|
2030
|
11,0
|
362,5
|
|
Итого
|
14570
|
100,0
|
18440
|
100,0
|
126,6
|
Цель развития
ООО «Элит-строй» представляет собой выбор:
-
увеличение объемов прибыли;
-
приоритетных сфер реализации целей на каждом этапе времени и на
каждом этапе процедур деятельности;
-
обоснование методов деятельности (механизмов руководства,
управления и регулирования);
-
обеспечение экономической и социальной эффективности действий по
реализации целей в данной сфере и на каждом этапе реализации стратегии.
Приоритетными
направлениями в выбранной стратегии будут следующие:
-
взвешенный подход к выбору покупателей;
-
поиск новых партнеров для совместной деятельности;
-
снижение торговых издержек;
-
производство новых видов товаров;
-
совершенствование системы управления;
-
формирование политики поддержания, развития основных фондов предприятия.
Цели
организации, достигаемые в настоящее время, приведены в табл.4.
Таблица 4
Цели
организации, достигаемые в настоящее время
|
Цели организации
|
Степень достижения цели на
настоящий момент, %
|
|
1. Выпуск новой продукции
|
50
|
|
2. Освоение рынков
|
30
|
|
3. Освоение новой технологии
|
80
|
|
4. Структурная реорганизация
|
80
|
|
5. Повышение качества трудовой жизни
|
50
|
Как видим из
приведенных в таблице 4 данных, несмотря на достаточно высокие показатели
достигнутых целей в ООО «Элит-строй», еще существуют значительные резервы для
дальнейшего развития организации в направлении выбранных целей.
Одно из
подразделений ООО «Элит-строй» производит широкий спектр мебели высокого
качества по низким ценам.
Развитие и
поддержка отечественного производства остается для предприятия приоритетным
направлением. Анализ продаж мебели лучших европейских фирм выявил номенклатуру,
фасоны, конструкции и материалы, пользующиеся спросом у российского
потребителя. Отсюда и определился ассортимент отечественной мебели,
предлагаемой вниманию потребителей. Этот ассортимент постоянно расширяется и обновляется
с учетом мировых тенденций.
Мебель
изготовлена на собственной производственной базе. При больших объемах покупок
действует широкая система скидок.
Основные
производственные операции выполняются на импортном оборудовании с широким
использованием импортных материалов и комплектующих. Отечественные материалы
применяются везде, где это возможно без потери качества, а также в наиболее
дешевых моделях.
Отличительной
особенностью ООО «Элит-строй» является высокая культура обслуживания клиентов.
Персонал фирмы тщательно подобран и обучен: внимательные и квалифицированные
менеджеры дадут любую консультацию, помогут советом, быстро оформят заказ.
Имеется служба доставки и сборки мебели в помещении покупателя.
Мебельная
промышленность является исключительно выгодным средством вложения капитала,
поскольку спрос на мебель всегда был достаточно высоким, и ограничивается он
лишь покупательской способностью населения. Тем не менее мебельная промышленность
продолжает развиваться на фоне большинства неблагополучных отраслей народного
хозяйства.
ООО
«Элит-строй» производит изготовление, доставку и установку мебели. Мебель,
производимая предприятием, при доступных ценах, отличается повышенной комфортностью,
высоким уровнем дизайнерской проработки. Хочется отметить качество изготовления,
которому уделяется большое внимание и на сегодняшний день здесь достигнуты
особенно большие результаты.
В процессе
изготовления мебели специалистами предприятия используются только экологически
чистые материалы ведущих мировых производителей. Все они сопровождаются
гигиеническими сертификатами и сертификатами соответствия, а это значит, что
материалы проходят тщательную проверку и многократные тесты.
Высокое фабричное
качество, современный дизайн, простота и удобство трансформации, разнообразие
облицовочных тканей, послепродажное обслуживание и внимательный подход к
каждому клиенту - вот то, что позволит остановить выбор покупателей на изделиях
ООО «Элит-строй».
Продукция
фирмы отвечает стремлениям каждой семьи обустраивать свой интерьер модно,
подчеркивая свою индивидуальность. В коллекции мебели от нашей фирмы отражены
различные тенденции, как ретро, так и современной моды на мебель.
Дизайн мебели
разработан по каталогам Франции, Италии и Германии. Имея богатый опыт в
мебельном производстве и наличие профессиональных стилистов по мебели -
позволяет значительно (до 50%) снизить стоимость продукции аналогичной зарубежного
производства.
Второе подразделение ООО
«Элит-строй» оказывает высококачественные комплексные услуги по выполнению
строительно-монтажных работ и оформлению интерьеров «под ключ», в том числе:
-
строительный
менеджмент;
-
земляные работы;
-
гидроизоляция
строительных конструкций;
-
кровельные
работы;
-
комплектация
материалами, оборудованием и мебелью;
-
архитектурное и
дизайнерское проектирование;
-
общестроительные
работы, в том числе «сухое» строительство;
-
электромонтажные
работы с использованием кабель-каналов фирмы «Baukulit»;
-
плиточные работы
(технология и материалы германской фирмы «Dural»;
-
сантехнические
работы (канализация, отопление, водоснабжение) с прокладкой полипропиленовых
трубопроводов;
-
монтаж подвесных
потолков различной конструкции;
-
декоративная
отделка стен фактурными, многоцветными красителями, флоками.
Динамика основных показателей ООО
“Элит-строй” в 2001-2003 гг. отражена в таблице 5. Как видно из таблицы, объем
товарооборота в 2003 г. возрос более чем на 25%.
Таблица 5
Динамика основных показателей ООО
“Элит-строй” в 2002 –2003 гг.
|
Показатель
|
Ед.
изм.
|
2001
г.
|
2002
г.
|
2003
г.
|
2003
/ 2001,%
|
|
План
|
Факт
|
План
|
Факт
|
|
1
|
2
|
3
|
4
|
5
|
6
|
7
|
8
|
|
Выручка
от реализации в сопоставимых ценах
|
Тыс. руб.
|
10000
|
10240
|
12500
|
14570
|
18440
|
180
|
|
Себестоимость
|
|
8000
|
8560
|
10000
|
10020
|
14080
|
164
|
|
Балансовая прибыль
|
|
2001
|
1680
|
2500
|
4550
|
4360
|
259
|
Продолжение табл. 5
|
1
|
2
|
3
|
4
|
5
|
6
|
7
|
8
|
|
Численность работающих
|
Чел.
|
30
|
30
|
32
|
32
|
34
|
113
|
|
В т.ч. рабочих
|
|
20
|
20
|
22
|
22
|
24
|
120
|
|
- руководителей и специалистов
|
|
10
|
10
|
10
|
10
|
10
|
100
|
|
ФОТ работающих
|
Тыс.
руб.
|
796,6
|
1104,2
|
1173,3
|
1356,4
|
1677,8
|
152
|
|
Средняя заработная плата
|
Руб.
|
2212,8
|
3067,3
|
3055,5
|
3531,6
|
4112,1
|
186
|
|
В т.ч. рабочих
|
|
1869,8
|
2499,1
|
2907,5
|
3152,9
|
3824,6
|
204
|
|
- руководителей и специалистов
|
|
2727,3
|
3919,5
|
3262,6
|
4061,7
|
4495,4
|
165
|
В 2003 году план по товарообороту был
составлен на основе фактических данных за 2002 год. Однако фактические данные
превзошли ожидания, и выполнение плана по товарообороту составило 108%. В целом
за 2002-2003 гг. наблюдается постепенное сближение плановых и фактических
показателей. В то же время плановые данные по объему товарообороту и ее
себестоимости на 2003 г. превышают показатели 2003 г. в среднем на 30-40 %.
Организационные
структуры, способствующие реализации принципов стратегического планирования и
управления на практике, развивались эволюционно, по мере развития самой
концепции стратегического менеджмента. Для целей усиления функции стратегического
управления используют:
-
группы
нововведений;
-
программно-целевой
подход;
-
матричные
структуры.
Но наибольшего внимания
заслуживает использование концепции стратегического хозяйственного
подразделения при проектировании организационных структур управления
организациями. В ней в полной мере реализуются принципы:
-
централизации
разработки стратегии;
-
децентрализации
процесса ее реализации;
-
обеспечение
гибкости управления;
-
обеспечение
адаптивности управления;
-
вовлечение в
процесс управления широкого круга менеджеров всех уровней.
Рассмотрим принципиальную
схему организационной структуры управления с использованием концепции
стратегического хозяйственного подразделения (рис. 5). В основу организационной
структуры управления ООО «Элит-строй» положена концептуальная модель
диверсифицированной организации, ориентированной на стратегическое управление.
Этот подход позволяет:
-
создать
современную структуру управления, адекватно и оперативно реагирующую на
изменения во внешней среде;
-
реализовать
систему стратегического управления, способствующую эффективной деятельности
организации в долгосрочной перспективе;
-
освободить высших
руководителей от повседневной рутинной работы, связанной с оперативным
управлением производством;
повысить
оперативность принимаемых решений.
Численность
ООО «Элит-строй» – 34 человека. Все работники имеют большой охват по
специальностям.
Организационная
структура фирмы (рис. 5) построено по принципам:
-
централизованности
– разумной централизации функций работников;
-
нормоуправляемости
– соблюдение рационального числа подчиненных у руководителя;
-
экономности –
достижения минимально необходимых затрат на построение и содержание
организационной структуры управления.
Рис.5.
Организационная структура ООО «Элит-строй»
Организационная
структура ООО «Элит-строй» построена по линейно-матричному принципу, как
наиболее удобному при существующей численности предприятия и организации работ.
Опыт показывает, что
практически возможно создать 3 вида служб стратегического планирования:
Сильная центральная
служба планирования, разрабатывающая стратегии для всей организации и ее
подразделений;
Центральная служба
планирования, обеспечивающая стратегическое планирование путем оказания
методической помощи и координации деятельности плановых служб СХП и
подразделений организации;
Децентрализованная служба
стратегического планирования, в которой полномочия и ответственность за
разработку стратегии полностью возлагается на руководителей СХП.
Выбор той или иной
структуры стратегического планирования определяется многими факторами:
сложностью организационной структуры фирмы, ее специфическими свойствами,
накопленным опытом и традициями планирования и т.п.
В рассматриваемой модели
организационной структуры управления СХП занимают средний уровень власти, через
который реализуется стратегическое управление. На нижнем этаже управления
находятся центры прибыли (ЦП), создаваемые на базе производственных и
функциональных подразделений организации; и через них реализуется оперативное
управление производством.
Рассматриваемая
структура управления предполагает постепенное “переливание” кадров управленцев
и специалистов из высшего звена управления в СХП и ЦП. Это связано с
постепенной передачей целого ряда функций управления СХП и ЦП и необходимостью
укомплектования их квалифицированными кадрами менеджеров и специалистов, в
первую очередь, в области экономики и финансов. Решение этой задачи следует
осуществлять постепенно, путем внедрения в управленческую практику организаций
отдельных элементов стратегического управления с последующей обязательной их
увязкой в хорошо структурированную и формализованную систему.
Основные
функции отделов ООО «Элит-строй» приведены в таблице 6.
Таблица 6
Распределение
управленческих функций в ООО «Элит-строй»
|
Выполняемые функции
|
Подразделения организации
|
В чьем подчинении
|
|
1
|
2
|
3
|
|
1. Поиск рынков сбыта, заказов, заказчиков
|
Отдел сбыта
|
Начальник отдела – Директор
|
|
2. Проведение маркетинговых исследований
|
Отдел маркетинга и снабжения
|
Директор
|
|
3. Материально-техническое снабжение
|
Отдел маркетинга и снабжения
|
Директор
|
Продолжение табл. 6
|
1
|
2
|
3
|
|
4. Производственные функции:
производство мебели
складирование
хранение
|
Производственный отдел
|
Начальник отдела – Директор
|
|
5. Организация сбыта продукции
|
Отдел сбыта
|
Начальник отдела - Директор
|
|
6. Организация финансов
|
Бухгалтерия
|
|
7. Организация бухгалтерского учета
|
Бухгалтерия
|
Главный бухгалтер – Директор
|
|
8. Управление персоналом
|
Директор
|
|
Как видим из
приведенных в таблице 6 данных, принятая в ООО «Элит-строй» организационная
структура позволяет выполнять все основные функции, присущие предпринимательской
деятельности, в то же время распределение функций между имеющимися работниками
позволяет обходится при этом минимальной численностью персонала.
В таблице 7
приведена характеристика персонала ООО «Элит-строй» в зависимости от
специальности и уровня образования.
Таблица 7
Профессионально-квалифицированный
состав кадров
|
Наименование должности
|
Кол-во, чел.
|
Уровень образования
|
Стаж в должности
|
|
1
|
2
|
3
|
4
|
|
Директор
|
1
|
Высшее
|
3 года
|
|
Начальник производственного отдел
|
1
|
Высшее
|
3 года
|
|
Начальник отдела сбыта
|
1
|
Высшее
|
2 года
|
|
Главный бухгалтер
|
1
|
Высшее
|
3 года
|
|
Бухгалтер
|
2
|
Среднее специальное
|
2 года
|
Продолжение табл. 7
|
1
|
2
|
3
|
4
|
|
Менеджеры
|
3
|
Среднее специальное
|
2 года
|
|
Торговый агент
|
1
|
Среднее специальное
|
2 года
|
|
Маркетолог
|
1
|
Среднее специальное
|
2 года
|
|
Мастер
|
1
|
Среднее специальное
|
3 года
|
|
Снабженцы
|
2
|
Среднее специальное
|
3 года
|
|
Кладовщики
|
2
|
Среднее общее
|
2 года
|
|
Грузчики
|
2
|
Среднее общее
|
2 года
|
|
Рабочие
|
16
|
Среднее общее
|
2 года
|
Приведенные
данные свидетельствуют, что в общей численности работников ООО «Элит-строй»
11,7% занимают лица с высшим образованием, 29,4% со средним специальным и 58,9%
- со средним общим образованием.
Источники информации для
анализа трудовых ресурсов являются: план экономического и социального развития
предприятия, статистическая отчетность по труду ф.N 1-т “Отчет по труду”,
приложение к ф.N 1-т “Отчет о движении рабочей силы, рабочих мест”, ф.N 2-т
“Отчет о количестве работников в аппарате управления и оплате их труда”, данные
табельного учета и отдела кадров.
Основными задачами
анализа являются следующие:
-
изучение и оценка
обеспеченности предприятия и его структурных подразделений трудовыми ресурсами
в целом;
-
определение и
изучение показателей текучести кадров;
Обеспеченность
предприятия трудовыми ресурсами определяется сравнением фактического количества
работников по категориям и профессиям с плановой потребностью. Особое внимание
уделяется анализу обеспеченности предприятия кадрами наиболее важных профессий.
Необходимо анализировать и качественный состав трудовых ресурсов по
квалификации.
Рассмотрим таблицу 8.
Таблица 8
Динамика
изменения численности персонала
|
Показатель
|
2001
|
2002
|
2003
|
|
Плановая
численность персонала
|
30
|
32
|
34
|
|
Среднесписочная
численность персонала
|
31
|
33
|
34
|
|
Недостаток
персонала, %
|
-
|
-
|
-
|
|
Количество
принятого персонала
|
2
|
2
|
0
|
|
Количество
уволившихся работников
|
0
|
0
|
0
|
|
Количество
уволившихся по собственному желанию и за нарушение трудовой дисциплины
|
0
|
0
|
0
|
|
Количество
работников проработавших весь год
|
30
|
32
|
34
|
|
Коэффициент
оборота по приему рабочих
|
0,09
|
0,167
|
0,0
|
|
Коэффициент
оборота по выбытию
|
0,0
|
0,0
|
0,0
|
|
Коэффициент
текучести кадров
|
0,0
|
0,0
|
0,0
|
|
Коэффициент
постоянства персонала предприятия
|
1,0
|
1,0
|
1,0
|
|
Производительность
труда, тыс. руб.
|
341,33
|
455,3
|
542,3
|
Так как предприятие
достаточно молодое, приятно отметить наметившуюся тенденцию к стабилизации
кадрового состава и отсеиванию случайных людей, об этом свидетельствует
коэффициент постоянства персонала предприятия.
Анализ использования
трудовых ресурсов на предприятии, уровня производительности труда необходимо
рассматривать в тесной связи с оплатой труда. В процессе его следует
осуществлять систематический контроль за использованием фонда заработной платы
(оплаты труда), выявлять возможности экономии средств за счет роста производительности
труда и снижения трудоемкости продукции.
2.4.
Анализ финансового состояния
Удельный вес собственных
средств предприятия несколько уменьшался в течение периода, однако в конце 2003
года он практически не изменился с начала 2002 года, что вызвано ростом доли
заемных средств. Несмотря на это, собственные средства в среднем за период
составляют около 40%, т.е. у предприятия собственных средств ненамного меньше,
чем заёмных. Однако необходимо отметить, что если удельный вес собственных средств составляет более 50%, то можно
считать что, продав принадлежащую предприятию
часть активов, оно сможет полностью погасить свою задолженность разным кредиторам.
В данном случае это соотношение не выполняется.
Для оценки данных пассива баланса составляется
аналитическая таблица 9.
Таблица 9
Структура
собственных и заёмных средств, тыс. руб.
|
Показатель
|
Год
|
Отклонения
|
|
2000 г.
|
2001 г.
|
2002 г.
|
2003 г.
|
Абсолют.
|
%
|
|
1
|
2
|
3
|
4
|
5
|
6
|
7
|
|
1.Всего
средств предприятия. (стр.699);
- в том числе:
|
19650
|
21030
|
22560
|
23320
|
+3670
|
118,7
|
|
2.Собственные
средства предприятия (строка 490);
|
8820
|
9460
|
10250
|
11900
|
+3080
|
134,9
|
|
-то же в % к
имуществу
|
44,9
|
45,0
|
45,4
|
51,0
|
+6,1
|
|
|
из них:
|
|
|
|
|
|
|
|
2.1.Наличие
собственных оборотных средств (490-190-390)
|
-4270
|
-4350
|
-5390
|
-4490
|
-220
|
95,1
|
|
-то же в % к
собственным средствам.
|
-
|
-
|
-
|
-
|
-
|
-
|
|
3.Заёмные
средства (590+690)
|
10830
|
10980
|
11240
|
11420
|
+590
|
105,4
|
|
-то же в % к
имуществу;
|
55,1
|
52,2
|
49,8
|
49,0
|
-6,1
|
88,9
|
|
из них:
|
|
|
|
|
|
|
Продолжение табл. 9
|
1
|
2
|
3
|
4
|
5
|
6
|
7
|
|
3.1.Долгосрочные
займы, (строка 590);
|
660
|
1230
|
890
|
770
|
+110
|
116,7
|
|
- в % к
заёмным средствам.
|
17,2
|
15,9
|
14,4
|
13,0
|
-4,2
|
75,6
|
|
3.2.
Краткосрочные кредиты и займы (610);
|
-
|
|
|
-
|
-
|
-
|
|
- в % к
заёмным средствам.
|
-
|
|
|
-
|
-
|
-
|
|
3.3.Кредиторская
задолженность (620);
|
6150
|
6010
|
5890
|
5870
|
-280
|
95,4
|
|
- в % к
заёмным средствам.
|
56,8
|
54,7
|
52,4
|
51,4
|
-5,4
|
90,5
|
В начале 2002 года
наличие собственных оборотных средств составило 8820 руб. и за счёт этого
источника покрывалось 44,9% материальных оборотных
средств, при нормативе в 50% и более. На конец 2003
года стоимость собственных оборотных средств увеличилась и составила 11900 тыс.
руб., что покрывает уже 51% материальных оборотных средств, что несколько выше
норматива и говорит о достатке собственных оборотных средств.
Финансовое состояние
предприятия характеризуется размещением и использованием средств и источников
их формирования.
В процессе
функционирования предприятия и величины активов и их структуры претерпевают
постоянные изменения. Наиболее общие представления об имевших место, качественных
изменениях в структуре средств их источников, можно получить с помощью
вертикального и горизонтального анализа отчётности.
Вертикальный анализ
показывает структуру средств предприятий и их источников. Преимуществом
вертикального анализа по сравнению с горизонтальным, является использование в
нём относительных показателей, которые в определённой степени сглаживают
негативное влияние инфляционных процессов, которые могут существенно искажать
абсолютные показатели финансовой отчётности и тем самым затруднять их
сопоставление в динамике. Ниже привожу вариант вертикального анализа актива и
пассива баланса по трансформированной номенклатуре статей.
Вертикальный анализ
баланса за 2002 - 2003 гг.
Таблица 10
Структура активов баланса
Статьи баланса
|
2002 г., на конец
|
2003 г. , на конец
|
Прирост (+)
Снижение (-)
|
|
Сумма, тыс. руб.
|
Уд.вес, %
|
Сумма, тыс. руб.
|
Уд.вес, %
|
Сумма, тыс. руб.
|
Уд.вес, %
|
|
1. Нематериальные активы
|
340
|
1,5
|
370
|
1,6
|
+30
|
+0,1
|
|
Основные средства
|
14410
|
63,9
|
15250
|
65,4
|
+840
|
+1,5
|
|
Итого по внеоборотным активам
|
14750
|
65,4
|
15620
|
67,0
|
+870
|
+1,6
|
|
2. Запасы
|
3325
|
14,7
|
2427
|
10,4
|
-898
|
-4,3
|
|
НДС
|
1942
|
8,6
|
1612
|
6,9
|
-330
|
-1,7
|
|
Дебиторская задолженность до 12 месяцев
|
2170
|
9,6
|
2962
|
12,7
|
+792
|
+3,1
|
|
Краткосрочные финансовые вложения
|
133
|
0,6
|
389
|
1,7
|
+256
|
+1,1
|
|
Денежные средства
|
240
|
1,1
|
310
|
1,3
|
+70
|
+0,2
|
|
Итого по оборотным активам
|
7810
|
34,6
|
7700
|
33,0
|
-110
|
+1,6
|
|
Баланс
|
22560
|
100
|
23320
|
100
|
+760
|
-
|
Таблица 11
Структура пассива баланса за 2002 - 2003 гг.
Статьи баланса
|
2002 г., на конец
|
2003 г. , на конец
|
Прирост (+)
Снижение (-)
|
|
Сумма, тыс. руб.
|
Сумма, тыс. руб.
|
Уд.вес, %
|
Сумма, тыс. руб.
|
Уд.вес, %
|
|
1
|
2
|
3
|
4
|
5
|
6
|
7
|
|
Уставный капитал
|
5500
|
2,4
|
5500
|
2,4
|
0,0
|
0
|
|
Добавочный капитал
|
1750
|
0,8
|
1860
|
0,8
|
+110
|
0
|
Продолжение таблицы 11
|
1
|
2
|
3
|
4
|
5
|
6
|
7
|
|
Резервный капитал
|
380
|
0,2
|
400
|
0,2
|
+20
|
0
|
|
Фонды накопления
|
1550
|
0,7
|
1680
|
0,7
|
+130
|
0
|
|
Нераспределенная прибыль прошлых лет
|
490
|
0,2
|
630
|
0,3
|
+140
|
+0,1
|
|
Прибыль отчетного периода
|
479
|
21,2
|
674
|
28,9
|
+195
|
+7,7
|
|
Итого по капиталу и резервам
|
10149
|
25,5
|
10744
|
33,2
|
+595
|
+7,7
|
|
Кредиторская задолженность
|
5890
|
26,1
|
5870
|
25,2
|
-20
|
-0,9
|
|
Долгосрочные займы
|
1620
|
7,2
|
1480
|
6,3
|
-140
|
-0,9
|
|
Итого заемных средств
|
11240
|
49,8
|
11420
|
49,0
|
+180
|
-0,8
|
|
Баланс
|
22560
|
100
|
23320
|
100
|
+760
|
-
|
Горизонтальный и
вертикальный анализ взаимодополняют друг друга. Поэтому на практике нередко
строят аналитические таблицы, характеризующие как структуру баланса так и
динамику отдельных её показателей. Приведем аналитическую таблицу – вариант
горизонтального анализа.
Таблица 12
Показатели структуры активов
Статьи баланса
|
2002 г.,
тыс. руб.
|
2003 г. ,
тыс. руб.
|
Изменение,
%
|
|
1
|
2
|
3
|
4
|
|
1. Нематериальные активы
|
340
|
370
|
108,8
|
|
Основные средства
|
14410
|
15250
|
105,8
|
|
Незавершённые капитальные вложения
|
-
|
-
|
-
|
|
Итого по внеоборотным активам
|
14750
|
15620
|
105,9
|
|
2. Запасы
|
3325
|
2427
|
73,0
|
|
НДС
|
1942
|
1612
|
83,0
|
Продолжение
таблицы 12
|
1
|
2
|
3
|
4
|
|
Дебиторская задолженность до 12 месяцев
|
2170
|
2960
|
136,4
|
|
Краткосрочные финансовые вложения
|
133
|
389
|
292,5
|
|
Денежные средства
|
240
|
310
|
129,1
|
|
Итого по оборотным активам
|
7810
|
7700
|
98,6
|
|
Баланс
|
22560
|
23320
|
103,4
|
Таблица 13
Показатели
структуры пассива
Статьи баланса
|
2002 г., тыс. руб.
|
2003 г., тыс. руб.
|
Изменение, %
|
|
Уставный капитал
|
5500
|
5500
|
100,0
|
|
Добавочный капитал
|
1750
|
1860
|
106,3
|
|
Резервный капитал
|
380
|
400
|
105,3
|
|
Фонды накопления
|
1550
|
1680
|
108,4
|
|
Нераспределенная прибыль прошлых лет
|
490
|
630
|
128,6
|
|
Прибыль отчетного периода
|
479
|
674
|
140,7
|
|
Итого по капиталу и резервам
|
10149
|
10744
|
103,6
|
|
Кредиторская задолженность
|
5890
|
5870
|
99,7
|
|
Долгосрочные займы
|
1620
|
1480
|
91,4
|
|
Итого заемных средств
|
11240
|
11420
|
101,6
|
|
Баланс
|
22560
|
23320
|
103,4
|
Проанализировав и
сравнив представленные выше аналитические таблицы, можно сделать следующее
описание.
Судя по данным баланса,
имущество предприятия за 2002-2003 гг. выросло на 760 тыс. руб. (с 22560 до
23320 тыс. руб.), однако произошло уменьшение оборотных активов с 7810 тыс.
руб. до 7700 тыс. руб. на 31.12.2003 г., что в общей стоимости имущества
составило 33%.
Структура оборотных
активов изменилась за счет следующих статей:
-
запасы
уменьшились с 3325 тыс. руб. до 2427 тыс. руб.;
-
денежные средства
увеличились с 240 до 310 тыс. руб.;
-
краткосрочная
дебиторская задолженность выросла с 2170 тыс. руб. до 2962 тыс. руб., что в
общей стоимости имущества составило 9,6% и 12,7% соответственно;
-
за счет
приобретения основных фондов доля основных средств и прочих внеоборотных
активов возросла на 870 тыс. руб., в составе имущественной массы они составляют
67%.
Активы предприятия
возросли за счет увеличения основных фондов, что не могло не сказаться на
ликвидности предприятия.
Более ликвидные средства -
дебиторская задолженность - по удельному весу увеличилась в активах
предприятия, составив 12,7% на конец 2003 г. по сравнению с началом периода,
когда они составляли в совокупности 9,6%.
При анализе пассивной
части баланса обращают на себя внимание увеличение доли добавочного капитала
предприятия и прибыль отчетного года в сумме 674 тыс. руб.
В течение 2002-2003 гг.
предприятие не имело краткосрочных заемных средств.
Обобщая рассмотренные
показатели можно сказать, что на данном предприятии за год произошёл рост
имущественного потенциала предприятия. Чтобы говорить об эффективности данного
потенциала, необходимо проанализировать данное предприятие на ликвидность и
платёжеспособность и выяснить, сможет ли предприятие погасить все свои
краткосрочные обязательства без нарушений сроков погашения, и имеет ли
предприятие достаточное количество денежных средств и их эквивалентов,
достаточных для расчетов по кредитор-
ской задолженности, требующей немедленного погашения.
Ликвидность баланса
определяется как степень покрытия обязательств организации её активами, срок
превращения которых в деньги соответствует сроку погашения обязательств. От
ликвидности баланса следует отличать ликвидность активов, которая определяется
как величина, обратная времени, необходимому для превращения их в денежные
средства. Чем меньше время, которое потребуется, чтобы данный вид активов
превратился в деньги, тем выше их ликвидность. В зависимости от степени
ликвидности, то есть скорости превращения в денежные средства, активы предприятия
разделяются на следующие группы:
А-1). Наиболее ликвидные
активы - к ним относятся все статьи денежных средств предприятия и
краткосрочные финансовые вложения.
А-2). Быстро реализуемые
активы - платежи, оплата по которым ожидается в течение 12 месяцев.
А-3). Медленно
реализуемые активы - Запасы и затраты, (-) сч. 31 (-) НДС (+) расчёты с
учредителями (+) долгосрочные финансовые вложения (за исключением вкладов в
УК).
А-4). Трудно реализуемые
активы - Долгосрочные финансовые вложения.
Пассивы баланса группируются
по степени срочности их оплаты:
П-1). Наиболее срочные
обязательства - к ним относится кредиторская задолженность и ссуды непогашенные
в срок.
П-2). Краткосрочные
пассивы - краткосрочные кредиты и заемные средства.
П-3). Долгосрочные
пассивы - раздел 5 баланса.
П-4). Постоянные пассивы
- 1 раздел "Источники собственных средств" пассива баланса (+) стр.
640, 650, 660 (-) сч. 31 (-) сч. 19 (-) иммобилизация.
Для определения
ликвидности баланса следует сопоставить итоги приведенных групп по активу и
пассиву. Баланс считается абсолютно ликвидным, если имеют место следующие
соотношения:
А-1 > П-1 А-2
> П-2 А-3 > П-3 А-4 < П-4
Таблица 14
Исходные данные для расчета ликвидности баланса, тыс.
руб.
|
Показатели
|
Расчет,
№№ строки баланса
|
|
Отклонения
|
|
2002 г.
|
2003 г.
|
Абсолют.
|
%
|
|
А1
|
260 + 250
|
373
|
699
|
+326
|
187,4
|
|
А2
|
230 + 240 + 270
|
2170
|
2962
|
+792
|
136,5
|
|
А3
|
210 – 217 + 140
|
5267
|
4039
|
-1228
|
76,7
|
|
А4
|
190 – 140
|
14750
|
15620
|
+870
|
101,6
|
|
П1
|
|
5890
|
5870
|
-20
|
99,7
|
|
П2
|
620 + 610 + 630 + 660 + 670
|
4901
|
5226
|
+325
|
106,6
|
|
П3
|
590
|
1620
|
1480
|
-140
|
91,4
|
|
П4
|
490 + 640 +650 + 660 – 217 – 390 –
220
|
10149
|
10744
|
+595
|
107,7
|
Исходя из приведенных
данных, неравенства будут иметь следующий вид:
Таблица 15
Ликвидность
баланса, тыс. руб.
|
Норматив
|
2002 г.
|
2003 г.
|
|
Показатель
|
Соблюдение
|
Показатель
|
Соблюдение
|
|
А1 > П1
|
373 < 5890
|
-
|
699 < 5870
|
-
|
|
А2 > П2
|
2170 < 4901
|
-
|
2962 < 5226
|
-
|
|
А3 > П3
|
5267 > 1620
|
+
|
4039 > 1480
|
+
|
|
А4 < П4
|
14750 > 10149
|
-
|
15620 > 10744
|
-
|
Выполнение первых трех неравенств
с необходимостью влечет выполнение и четвертого неравенства, поэтому
практически существенным является сопоставление итогов первых трех групп по
активу и пассиву. Четвертое неравенство носит "балансирующий"
характер и в то же время имеет глубокий экономический смысл: его выполнение
свидетельствует о соблюдении минимального условия финансовой устойчивости -
наличии у предприятия собственных оборотных средств.
Как видим, соотношение
групп активов и пассивов несколько изменилось в течение года в лучшую сторону,
однако не соответствует условию абсолютно ликвидного баланса.
В случае, когда одно или
несколько неравенств системы имеют знак, противоположный зафиксированному в
оптимальном варианте, ликвидность баланса в большей или меньшей степени
отличается от абсолютной. При этом недостаток средств по одной группе активов
компенсируется их избытком по другой группе, хотя компенсация при этом имеет
место лишь по стоимостной величине, поскольку в реальной платежной ситуации
менее ликвидные активы не могут заместить более ликвидные. Однако в данном
случае, как видно из приведенных данных, большая часть активов представлена
четвертой, наименее ликвидной группой, что отрицательно характеризует структуру
баланса.
Коэффициенты,
характеризующие платежеспособность, имеют следующие значения.
Таблица 16
Коэффициенты
ликвидности предприятия
|
Коэффициент
|
Способ расчета
|
2002 г.
|
2003 г.
|
Норматив
|
|
Текущей ликвидности L1
|
Оборотные средства / краткосрочные
обязательства
|
0,73
|
0,70
|
1-2
|
|
Срочной ликвидности
|
(Денежные средства + краткосрочные
финансовые вложения) / краткосрочные обязательства
|
0,15
|
0,18
|
0,7-1
|
|
Абсолютной ликвидности
|
Денежные средства / краткосрочные
обязательства
|
0,14
|
0,17
|
0,2-0,25
|
|
Чистый оборотный капитал
|
Оборотные средства - краткосрочные
обязательства
|
-241
|
-301
|
|
Коэффициент абсолютной
ликвидности на конец периода составил 0,17, то есть несколько улучшился с
начала 2002 года. Это значит, что только 17% (из необходимых 20%) краткосрочных
обязательств предприятия может быть немедленно погашено за счёт денежных
средств и краткосрочных финансовых вложений. Этот показатель ненамного ниже
нормативного, что может вызывать доверие к данной организации со стороны поставщиков.
Таким образом, все
показатели, характеризующие платежеспособность предприятия, находятся на
уровне ниже нормы, кроме того при этом наблюдается снижение коэффициента
текущей ликвидности. В целом вывод о платежеспособности можно сделать по общему
коэффициенту ликвидности (LI). Его значение на конец периода составляло 0,70,
то есть в среднем (при условии реализации абсолютно ликвидных средств, 50%
быстрореализуемых активов и 30% медленно реализуемых активов) предприятие
сможет покрыть все обязательства в порядке их срочности. По сравнению с началом
годом общая ликвидность средств предприятия незначительно уменьшилась.
Основные рынки
сбыта ООО «Элит-строй» условно можно разделить на две основные группы:
-
население;
-
оптовые торговые организации.
Во вторую
группу входят торговые организации, имеющие собственные торговые площади.
Целью этой
группы потребителей является прежде всего увеличение эффективности коммерческой
деятельности при минимизации затрат. При этом низкая цена нашей продукции для
этой группы является основным определяющим фактором.
Эта группа
характеризуется:
-
сформировавшимся, консервативным характером предпочтений;
-
специальным и глубоким знанием отрасли;
-
процесс принятия решения зачастую сложен и происходит внутри
организации с некоторым числом лидеров, имеющих собственное мнение;
-
проходит относительно много времени между первым контактом и заключением
конкретного договора;
В первую
группу входит в основном население Ижевска и прилегающих регионов. Целью этой
группы потребителей является не только низкая цена, но и получение качественной
продукции. Низкая цена для этой группы является основным фактором мотивации покупки.
Эта группа
характеризуется:
-
комплексным характером потребителей;
-
недостаточным знанием отрасли;
-
отсутствием настоящего процесса принятия решений, когда
потребитель ориентируется на определенную услугу, зачастую осознавая выбор лишь
частично;
-
большим влиянием внешней среды.
Объем
потенциальных продаж для оптовых торговых покупателей значительно превышает возможности
населения. В то же время мотивация, характеристики группы и производственная
специфика проекта говорят в пользу рынка оптовых покупателей.
Характеристика
предпринимательской среды ООО «Элит-строй приведена на рис.6.
Рис.6. Предпринимательская среда ООО
«Элит-строй»
Характеристика
рынков для производимой ООО «Элит-строй» мебели приведена в табл. 17.
Таблица 17
Характеристика
рынков мебели ООО «Элит-строй»
|
Показатели
|
Характеристика
|
Наименование рынков
|
|
Население
|
Оптовые покупатели
|
|
1. Количественные показатели
|
Емкость рынка
Динамика развития рынка
Доля фирмы на рынке
|
200-250 шт.
без изменений
5%
|
500-600 шт.
без изменений
3%
|
|
2. Качественные показатели
|
Стабилизация потребностей
Мотив покупки
Роль инфляции
|
Постоянна
Товар отложенного спроса
Незначительна
|
Постоянна
Организация торговли
Незначительна
|
|
3. Анализ конкуренции
|
Объем реализации продукции фирмами-конкурентами
Сильные стороны и недостатки
Маркетинговые стратегии
Финансовая помощь
|
1200-1500 шт.
см. табл.18
см. табл. 19
отсутствует
|
4000-4500 шт.
см. табл. 18
см. табл. 19
отсутствует
|
|
4. Структура покупателей
|
Количество покупателей
Виды покупателей
Региональные особенности покупателей
|
300 тыс. чел.
Население
Нет
|
Около 30 фирм
Оптовые фирмы
Нет
|
|
5. Структура отрасли
|
Количество продавцов, предлагающих аналогичных товар
Вид продавцов
Загрузка производственных мощностей
Возможности в конкуренции
|
150-180
розничные магазины
50%
высокие
|
10-12
производители
до 80%
высокие
|
|
6. Структура распределения
|
Географические особенности
Особенности сбытовой сети
|
Нет
Нет
|
Нет
Нет
|
Приведенные в
таблице 17 подтверждают выбор в качестве основного ориентира деятельности
предприятия рынок оптовых покупателей.
Внешняя
среда предприятия оценивается преимуществами и недостатками перед конкурентами.
Рынок - это совокупность существующих и потенциальных покупателей товара.
Попытаемся
рассмотреть те факторы внешней среды, с которыми ООО «Элит-строй» находится в
непосредственном окружении.
В первую
очередь, проанализируем поставщиков. Хотя с 2000 г. закупом фирма занимается
сама, но неизменными остаются такие основные поставщики, как:
-
ЧП Семенов;
-
АО «Ассо-мебель»;
-
ООО «Немиров-мебель»;
-
ЧП Кондратьев.
Все эти фирмы
известны своей надежной репутацией и стабильностью. Помимо местных поставщиков
у фирмы сложились и крепкие связи с поставщиками ближних регионов. Товар
поступает из Перми, Казани, Ульяновска.
Также очень
важное значение в работе организации занимает деятельность конкурентов. Поэтому
необходимо проводить постоянный анализ конкурентов, их доли рынка, методы
охвата, что позволит быстро реагировать на изменение их тактики. Прогрессивные
методы можно привлекать в своей деятельности, а слабые места использовать в конкурентной
борьбе.
Конечно,
сложно наблюдать за всеми реальными и потенциальными конкурентами, поэтому в
таблице 18 показаны только те предприятия, которые являются основными
конкурентами и используют активные стратегии деятельности на рынке.
К числу таких
фирм можно отнести: ООО «Мебель на заказ», ЗАО «Промэк-мебель», ЗАО «Ижмебель».
Таблица 18
Сильные
и слабые стороны конкурентов
|
Наименование организации
|
Сильные стороны
|
Слабые стороны
|
|
1. ООО «Элит-строй»
|
-
Наличие
собственного производства;
-
высокое
качество обслуживания;
-
торговля
сопутствующими товарами
|
-
удаленность от
покупателей
-
нехватка
оборудования;
-
текучесть кадров;
-
отсутствие
маркетинговой службы
|
|
2. ООО «Мебель на заказ»
|
-
близость
покупателей
-
низкие цены;
-
наличие
маркетинговой службы;
-
наличие
собственного производства;
-
широкий
ассортимент товаров
|
-
текучесть
кадров;
-
низкое качество
обслуживания
|
|
3. ЗАО «Промэк-мебель»
|
-
эффективная
реклама;
-
скидки с цены;
-
высокая
компетентность руководства
|
-
текучесть
кадров;
-
качество
обслуживания
|
|
4. ЗАО «Ижмебель»
|
-
проведение
мероприятий по стимулированию сбыта
|
-
высокие цены;
-
отток молодых
специалистов
|
Изучив сильные
и слабые стороны конкурентов, можно сказать, что успешной деятельности на столь
насыщенном конкурентном рынке ООО «Элит-строй» препятствуют:
-
удаленность от покупателей (и, как следствие – высокие
транспортные расходы);
-
текучесть кадров;
-
отсутствие маркетинговой службы.
Решение
вышеназванных проблем поможет фирме вести успешную и достойную борьбу на
конкурентном рынке торговли мебелью, сложившемся в Удмуртии.
Основные связи
между «сильными» и «слабыми» сторонами предприятия, а также его угроз и
возможностей установим с помощью матрицы SWOT, которая
имеет следующий вид (таблица 19).
Таблица 19
SWOT – анализ фирмы
|
Возможности:
Расширение рынка услуг;
Снижение издержек;
Обновление оборудования;
Выход на новые сегменты рынка
|
Угрозы:
Возможность появления новых конкурентов;
Неблагоприятное изменение в
обменных курсах валют
|
|
Сильные
стороны:
Наличие собственного производства;
Качество обслуживания;
Стабильные отношения с поставщиками;
Наличие собственных средств
|
ПОЛЕ СИВ
|
ПОЛЕ СИУ
|
|
Слабые
стороны:
Низкая оборачиваемость капитала;
Нехватка оборудования;
Текучесть кадров;
Отсутствие в чистом виде
маркетинговой службы
Удаленность от покупателей
|
ПОЛЕ СЛВ
|
ПОЛЕ СЛУ
|
Слева
выделяется два блока («сильные» и «слабые» стороны), в которые соответственно
выписываются все выявленные на этапе анализа стороны организации. В верхней
части матрицы также выделяется 2 блока («возможности» и «угрозы»), в которые
вписываются все выделенные возможности и угрозы. На пересечении блоков
образуются четыре поля: СИВ, СИУ, СЛВ и СЛУ. На каждом из полей необходимо
рассмотреть все возможные парные комбинации и выделить те, которые должны быть
учтены при разработке стратегии поведения организации.
В отношении
тех пар, которые были выбраны с поля СИВ, следует разрабатывать стратегию по
использованию сильных сторон организации для того, чтобы получить отдачу от
возможностей, которые появились во внешней среде:
-
наличие собственного производства дает возможность расширить
рынок потребителя;
-
при наличии собственных денежных средств предприятие сможет обновить
оборудование.
Для тех пар,
которые оказались на поле СЛВ, стратегия должна быть построена таким образом,
чтобы за счет появившихся возможностей попытаться преодолеть имеющиеся в
организации слабости.
Выход на новые
сегменты рынка дает возможность появлению дополнительных источников
финансирования, что позволит приобрести новое оборудование за счет увеличения
оборачиваемости капитала. Расширение рынка потребителей позволит воспользоваться
услугами маркетинговой службы.
Если пара находится
на поле СИУ, то стратегия должна предполагать использование силы организации
для устранения угрозы. Появление новых конкурентов компенсируем высоким
качеством предоставляемых услуг.
И, наконец,
для пар, находящихся на поле СЛУ, организация должна выработать такую
стратегию, которая позволила бы ей избавиться от слабости и попытаться предотвратить
нависшую над ней угрозу.
Отсутствие
четко определенной стратегии приведет к тому, что конкурент, тщательно изучив
конъюнктуру рынка и проработав стратегию завоевания рынка, может полностью
вытеснить фирму с рынка.
В данном
случае избежать худшего поможет снижение издержек обращения, что позволит
повысить конкурентную позицию в цене, приведет к появлению новых источников
финансирования, а новые источники позволят финансировать маркетинговую службу.
Повышение конкурентного преимущества в цене увеличит уровень конкурентоспособности
фирмы.
При выработке
стратегии следует помнить, что возможности и угрозы могут переходить в свою
противоположность. Так, неиспользованная возможность может стать угрозой, если
ее использует конкурент, и наоборот, удачно предотвращенная угроза может
создать у организации дополнительную сильную сторону в том случае, если
конкурент не устранит эту же угрозу.
ООО
«Элит-строй» является узкоспециализированным предприятием, поэтому при выборе
стратегии мы обратились к методике «SPACE», в основе которой
лежит анализ положения фирмы и условий ее функционирования по четырем
координатам:
-
конкурентное преимущество фирмы;
-
финансовое положение;
-
«привлекательность отрасли»
-
стабильность экономической среды.
Таблица 20
Определение
конкурентного преимущества фирмы
|
Факторы
|
Оценка факторов
|
|
1
|
2
|
|
Доля рынка
|
5
|
|
Качество продукта
|
3
|
|
Стадия жизненного цикла продукта
|
6
|
|
Цикл замены продукта
|
4
|
Продолжение табл. 20
|
1
|
2
|
|
Приверженность потребителей
|
5
|
|
Использование производственных мощностей у конкурентов
|
3
|
|
Технологическое know-how
|
2
|
|
Степень вертикальной интеграции
|
5
|
|
Прочие
|
4
|
Среднее
значение – 2,8.
Таблица 21
Определение финансового положения фирмы
|
Факторы
|
Оценка факторов
|
|
Отдача на вложение
|
3
|
|
Финансовый рычаг
|
2
|
|
Ликвидность
|
5
|
|
Степень удовлетворения потребностей в капитале
|
1
|
|
Поток платежей в пользу фирмы
|
2
|
|
Выход с рынка
|
2
|
|
Рискованность бизнеса
|
5
|
|
Оборачиваемость запасов
|
4
|
|
Прочие
|
2
|
Среднее
значение - 2,9
Таблица 22
Определение
«привлекательности» (силы) отрасли
|
Факторы
|
Оценка факторов
|
|
1
|
2
|
|
Потенциал роста
|
4
|
Продолжение табл. 22
|
1
|
2
|
|
Потенциальная прибыльность
|
3
|
|
Финансовая стабильность
|
2
|
|
Технологическое know-how
|
2
|
|
Использование ресурсов
|
6
|
|
Капиталоемкость
|
4
|
|
Выход на рынок
|
3
|
|
Производительность (использование ресурсов)
|
6
|
|
Прочие
|
3
|
Среднее
значение - 3,9
Таблица 23
Определение
стабильности среды
|
Факторы
|
Оценка факторов
|
|
Технологические изменения
|
4
|
|
Темп инфляции
|
2
|
|
Вариация спроса
|
4
|
|
Разброс цен конкурирующих продуктов
|
2
|
|
Барьеры (ограничения) для вхождения на рынок
|
4
|
|
Давление конкурентов
|
2
|
|
Спрос
|
5
|
|
Прочие
|
3
|
Среднее
значение - 3,4
На системе
координат, приведенной на рис.7 мы видим, что рассматриваемая нами организация
занимает конкурентную позицию, которая характерна для «привлекательных
отраслей» в сравнительно нестабильном окружении.
Рис.8.
Система координат методики SPACE для ООО «Элит-строй»
Для фирмы
критическим фактором является способность сохранить и упорядочить финансовое
положение фирмы. С этой целью она должна обратить внимание на следующие
стратегии, предложенные методикой «SPACE»:
-
аккумулирование дополнительных финансовых ресурсов для усиления рыночного
потенциала;
-
укрепление службы реализации;
-
расширение ассортимента;
-
сохранение издержек;
-
мероприятия по защите и сохранению конкурентоспособности на
рынке;
-
слияние с компанией, обладающей значительными ресурсами денежных
средств.
Из
предложенных стратегий наиболее осуществима пятая – мероприятия по защите и
сохранению конкурентоспособности на рынке. Для ее осуществления предприятие должно
провести маркетинговые исследования, рассмотреть комплекс маркетинговых мероприятий,
изучить стратегию и тактику конкурентов.
Изучив
характеристику ООО «Элит-строй», тенденции его развития, воздействие факторов
внешнего и внутреннего окружения, можно сделать следующие выводы.
ООО
«Элит-строй» недостаточно хорошо развивается. Финансовое положение предприятия
ухудшается: появлением задолженности перед поставщиками, снижением рентабельности.
Основной проблемой предприятия является снижение прибыли в 2003 г. по сравнению
с предыдущими годами, несмотря на рост объема производства и реализации.
Показатели ликвидности невысоки. Основной причиной всему вышесказанному
является жесткая конкуренция со стороны крупных производителей мебели.
Проанализировав
положение ООО «Элит-строй» и условия его функционирования по методике SPACE, выяснили, что предприятие занимает конкурентную
позицию, которая, как следствие, оказывается стратегически неустойчивой и часто
приводит к краху.
Во избежание
этого необходимо разработать и реализовать стратегию по защите и сохранению
конкурентоспособности фирмы на рынке, с помощью совершенствования системы
сбыта.
Основной
проблемой деятельности ООО «Элит-строй» является падение прибыли предприятия.
Результаты деятельности предприятия показывают, у фирмы нет торговых точек по
сравнению с другими конкурирующими предприятиями.
Для визуально-логической
проверки полноты множества факторов, обусловивших проблемную ситуацию, построим
«дерево факторов». «Дерево» представляет собой иерархию элементов, называемых
узлами. На самом верхнем уровне иерархии – вершина дерева. В качестве вершины
используем результирующий показатель, определенный в предыдущем разделе –
резкое падение прибыли предприятия.
Полученное «дерево
факторов» приведено на рис. 9.
Рис.9. «Дерево факторов»
Попробуем оценить каждый
из возможных вариантов развития ООО «Элит-строй» по фактору «снижение сбыта».
Проведенный экспертами
анализ возможностей развития предприятия показал, что сокращение прибыли от
продажи на 30% зависит от того, что цены растут медленнее, чем себестоимость (А
(0, 3)), а на 70% - за счет того, что себестоимость мебели выше, чем у
конкурентов.
Дальнейшее исследование
факторов привело к следующим выводам.
1. Ценовая политика
конкурентов (доля влияния – 20% (А1(0, 2)). Рыночная или равновесная цена
товара устанавливается при соответствии спроса и предложения. На конкурентном
рынке цена равновесия находится в точке пересечения кривых спроса и
предложения. Состояние равновесия никогда не бывает статистическим, оно
постоянно меняется под влиянием спроса и предложения. Сущность равновесия
спроса и предложения заключается в достижении общего экономического равновесия
рынка, когда товары находят своих покупателей через механизм рыночного
ценообразования. Именно взаимосвязь цен конкурентного равновесия создает общее
равновесие рынка. Разработка ценовой стратегии, ее определение и реализация в
ООО «Элит-строй» должны начинаться с постановки цели. Но чтобы разработать
стратегию, этого мало. Поэтому, для правильного выбора и разработки ценовой
стратегии необходимо провести следующие анализы:
-
анализ издержек;
-
определение спроса;
-
анализ цен и товаров конкурентов.
Данные исследования
позволяют определить влияние различных факторов на возможную деятельность и
положение на рынке и в соответствии с этим положением избрать ценовую
стратегию.
Следующим этапом
установления цены является определение спроса. Нельзя устранить или отложить
этот важный этап, так как совершенно невозможно определить цену, не изучив
спрос на данный товар. Проводя анализ спроса, предприятие должно выяснить,
каким образом высокая или низкая цена, назначенная на товары, отразятся на спросе.
Существенное влияние на цену
оказывает поведение конкурентов и цены на товары в их магазинах. ООО
«Элит-строй» необходимо знать цены на мебель в магазинах конкурентов и
отличительные черты их товаров, чтобы правильно определить свои собственные
цены. С этой целью делаются сравнительные покупки, в результате которых проводится
анализ цен, товаров и качества.
Процесс ценообразования
на товары не заканчивается установлением окончательной цены. В связи с тем, что
на рынок и уровень сбыта товаров влияет немало постоянно меняющихся факторов
(политическая нестабильность, общеэкономические факторы, демографическая
ситуация и т. д.), возникает необходимость управления ценами, то есть после
того как ценовая стратегия начинает претворяться в жизнь, она обычно требует
постоянной точной «поднастройки» для учета изменений в издержках, конкуренции и
спросе. Управление ценами осуществляется при помощи внесения соответствующих
изменений в цены.
2. Снижение спроса (доля
влияния – 10% (А2 (0, 1)). Товарный ассортимент – совокупность товаров,
объединенных по какому-либо признаку. В розничном предприятии проводится работа
с торговым ассортиментом, он шире производственного, т.к. формируется путем
подбора товаров по группам, видам, сортам, моделям и другим признакам. В основе
образования товарного ассортимента лежит товарная группа, в ООО «Элит-строй» –
мебель. Товарную группу образуют товары, объединяемые по нескольким признакам:
однородности сырья, способу изготовления, потребительскому назначению. Основной
задачей розничного торгового предприятия является правильное формирование
ассортимента – это сложный и непрерывный процесс, основная цель которого
заключается в наиболее полном удовлетворении потребностей населения в товарах.
Кроме того, правильно сформированный ассортимент позволяет обеспечить правильную
работу торгового предприятия. При формировании ассортимента необходимо учитывать:
-
размер производственной площади;
-
техническую оснащенность;
-
условия товароснабжения;
-
численность обслуживаемого населения;
-
место расположения по отношению к другим предприятиям данного профиля.
В ООО «Элит-строй»
товарный ассортимент сформирован не полностью. Необходимо подобрать такой
ассортимент, который бы отвечал потребностям покупателей и возможностям
предприятия. Не все товарные группы присутствуют в ассортименте, по некоторым
товарным группам ассортимент незначительный. Все это говорит о том, что в необходимо
совершенствовать товарную политику, рассчитать возможность ввода новых групп
товаров, наиболее выгодных для магазина, имеющихся у основных конкурентов. Это
позволит привлечь новых покупателей, увеличить товарооборот и прибыль.
3. Высокие транспортные
расходы (доля влияния – 40% (В1 (0, 4)). Система сбыта товара – одна из
важнейших в маркетинговой политике предприятия. В сбытовой политике маркетологи
затрагивают вопросы выбора наиболее оптимального канала сбыта, метода сбыта
товара, что при эффективном использовании несомненно увеличит прибыль компании.
Одним из пунктов сбытовой политики предприятия является выбор оптимального
канала сбыта. Канал сбыта (распределения) товара - это организация либо
человек, занимающийся продвижением и обменом конкретного товара (нескольких
групп товаров) на рынке. Сбытовая политика предприятия также направлена на
повышение эффективности фирмы, так как в сфере сбыта окончательно проявляются
все усилия маркетинга по повышению прибыльности, приспосабливая сбытовую сеть
под потребителя предприятие имеет больше шансов выстоять в конкурентной борьбе,
именно в данной сфере предприниматель находится ближе к покупателю.
Многообразные формы и методы розничной торговли не могут быть эффективными без
качественного оказания комплекса дополнительных услуг, среди них выделяют
связанные с покупкой товаров, т.е. приём заказов, компетентные консультации,
упаковка товаров и их доставка на дом и услуги, сопутствующие эффективной
реализации товаров: благоприятная и уютная атмосфера с высокой культурой
обслуживания.
4. Длинный канал сбыта
(доля влияния – 20% (В2 (0, 2)). Стимулирование влияет на поведение
потребителя, превращая его из потенциального в реального покупателя. Есть
операции по стимулированию сбыта, которые относятся к жесткому типу -
существенное снижение цен, продажа дополнительного количества товара при
неизменных ценах. Это эффективно, если речь идет о коротком отрезке времени,
но дорого обходятся производителю. В настоящее время эти операции по
стимулированию сбыта носят более мягкий характер (игры, конкурсы покупателей и
пр.). Они более эффективны в создании позитивного имиджа товара.
Сочетание «жестких» и
«мягких» методов стимулирования сбыта побуждает покупателя к совершению
немедленной покупки, и если стимулирование отвечает ожиданиям покупателя и
согласуется со спецификой товара, то оно внушает потребителю симпатию, интерес
и преданность с меньшими, по сравнению с рекламой, затратами.
Проведенный анализ ООО «Элит-строй» позволил
сделать вывод о том, что деятельность предприятия требует совершенствования.
Наибольшее влияние оказывает проблема высоких транспортных расходов предприятия
– 40%. Данная проблема может быть решена путем открытия мебельного производства
в г. Ижевске с целью приблизить реализуемые товары к месту их основного потребления
и тем самым снизить транспортные расходы, увеличив за счет снижения себестоимости
конкурентоспособность предприятия.
Конкурентный статус фирмы
(КСФ) - является взаимодействием трех факторов:
-
относительный
уровень стратегических капиталловложений;
-
конкурентная
стратегия;
-
мобилизационные
возможности фирмы.
ООО «Элит-строй» на
текущий момент имеет капиталовложений на сумму 6000 тыс. руб., оптимальный
размер капиталовложений 9000 тыс. руб., а за критический размер предположим
5000 тыс. руб.
Следующий признак -
выбранные фирмой способы обеспечения роста.
Таблица 24
Факторы,
определяющие стратегию конкуренции
|
Политика
роста
|
Расти
вместе с рынком
|
Захватить
долю рынка
|
Расширить
рынок
|
Сегментировать
рынок
|
Освоить
полную номенклатуру
|
Стимулировать
спрос
|
Ввести
вертикальную интеграцию
|
|
1
|
2
|
3
|
4
|
5
|
6
|
7
|
8
|
|
Рыночная дифференциация
|
Доля
рынка обеспечивающая конкурентоспособность
|
Небольшая
доля рынка
|
|
Минимальная
цена
|
Покупатель
верен торговой марке
|
Престиж
фирмы
|
Послепродажное
обслуживание
|
|
|
|
|
|
|
|
|
|
|
|
|
|
Продолжение
табл. 24
|
1
|
2
|
3
|
4
|
5
|
6
|
7
|
8
|
|
Продуктовая дифференциация
|
Товар
не дифференцирован
|
Новаторство,
патентная защита
|
Движение
за лидером
|
Критический
уровень издержек
|
Имитация
|
Контроль
над ресурсами
|
|
Высокое
качество, надежность
|
Дополнительные
характеристики изделия
|
Работа
на заказ
|
|
|
|
|
|
|
|
|
|
|
|
|
Таблица 25
Определение
эффективности будущей и действующей стратегии
|
Факторы успеха в будущем
|
Действующая стратегия, SF
|
|
Стратегия успеха в будущем, SO
|
|
Уровень действующей стратегии
по отношению к оптимальной
|
|
Политика роста
|
Расти вместе с рынком
|
5
|
Освоить полную номенклатуру
¯
Сегментировать рынок
|
7
|
0,714
|
|
Рыночная дифференциация
|
Небольшая доля рынка
¯
Минимальная цена
|
6
|
Доля рынка обеспечивающая
конкурентоспособность
¯
Минимальная цена
¯
Престиж фирмы
|
9
|
0,666
|
|
Продуктовая дифференциация
|
Высокое качество
надежность
¯
Работа на заказ
|
7
|
Высокое качество
надежность
¯
Дополнительные характеристики
изделия
¯
Работа на заказ
|
8
|
0,875
|
|
Общий уровень
|
|
|
|
|
0,752
|
Среди факторов, влияющих
на потенциал фирмы выделяют:
-
общее управление;
-
финансовое
управление;
-
маркетинг;
-
производство;
-
НИОКР.
Таблица 26
Определение
эффективности текущего потенциала фирмы
|
Слагаемые потенциала
|
Текущий потенциал,
CF
|
Потенциал необходимый
для оптимальной стратегии, CO
|
Норматив
оценки потенциала возможности
CF/
CO
|
|
Общее
управление
|
4
|
9
|
0,444
|
|
Финансовое
управление
|
7
|
9
|
0,777
|
|
Маркетинг
|
1
|
10
|
0,1
|
|
Производство
|
6
|
8
|
0,75
|
|
НИОКР
|
0
|
2
|
0
|
|
Прочие функции
|
0
|
0
|
0
|
|
Совокупный
норматив
|
0,345
|
Конкурентный статус фирмы определяем
по формуле:
где
-
уровень капиталовложений
IK - критическая
точка объема;
I0 - оптимальная
точка объема;
IF- текущая точка
объема;
SF/S0-
стратегический норматив;
СF/С0-
норматив потенциальной возможности;
Þ
Конкурентный
статус фирмы ниже среднего.
Оценка привлекательности
СЗХ и определение конкурентного статуса фирмы необходимы для применения матрицы
МакКинзи.
Рис. 10. Матрица МакКинзи
Матрица предлагает
альтернативное решение в силу возможных нескольких стратегий данных СЗХ.
Для СЗХ - 1 и СЗХ - 2
выбираем сегмент матрицы “остаться или медленно уходить”. Если фирма выбирает
стратегию “остаться”, значит выбор приоритетов сделан и фирма решила продолжить
данный вид бизнеса. При более глубоком внедрении на рынок возникает вопрос –
сможет ли товар (услуга) без внесения изменений обеспечить рост продаж в ныне
существующей группе покупателей. Можно опробовать несколько подходов: снижение
цены, увеличение расходов на рекламу, использование купонов. Это предполагает
высокие затраты на рекламу и стимулирование потребителей с целью формирования
спроса с их стороны.
Для СЗХ - 3 выбираем
сегмент матрицы “инвестировать, реинвестировать или уходить”. Если фирма
выбирает стратегию “инвестировать”, значит она решила расширить данный вид
бизнеса. Это возможно путем увеличения торговых точек, расширением ассортимента
товаров и увеличением затрат на привлечение потребителей (реклама, ярмарки -
продажи и т. п.).
Если же фирма выбирает
стратегию “медленно уходить” или “уходить”, то она должна основываться на том,
что занимаясь реализацией услуги фирма не может вечно полагаться на свои
нынешние товары и рынки. У нее есть возможность диверсификации за счет
предложения новых услуг на новых рынках. Медленный уход позволит фирме сэкономить
средства и перейти к торговле более привлекательными услугами.
Проведенный в дипломной
работе анализ позволил выявить приоритетные направления дальнейшего развития
предприятия. Основные пути повышения конкурентоспособности предприятия в целом
можно свести к следующим:
-
совершенствование
системы сбыта;
-
расширение
ассортиментного перечня оказываемых услуг;
-
рациональная
ценовая политика;
-
рекламная
политика.
Возможные направления совершенствования
деятельности ООО «Элит-строй» показаны на рис. 11.
Рис.11. Пути повышения
конкурентоспособности ООО «Элит-строй»
В качестве одного из
направлений повышения конкурентоспособности предприятия рассмотрим проект по
расширению ассортимента выпускаемой продукции, связанный с организацией
деревообрабатывающего цеха по изготовлению мебели (кухонных уголков, корпусной
мебели, кухонных гарнитуров), фасадов для мебели, дверных полотен и других изделий
из древесины.
На первом этапе
деятельности предприятия будет налажено производство 4 видов кухонных уголка
(рис.12, 13), предполагаемый объем производства – 200 штук в месяц (40-60
комплектов каждого из видов), цена реализации – 4,5 и 5,0 тыс. руб..
В дальнейшем, с
расширением производства, планируется расширение ассортимента продукции:
- кухонные
гарнитуры;
- корпусная
мебель;
- двери
межкомнатные.
|
|
|
|
Рис.12. Кухонный уголок
|
Рис.13. Кухонный уголок
|
На рынке
Удмуртской Республики спрос на недорогую и качественную мебель превышает
предложение. Основной платежеспособный спрос приходится на слои населения со
средним уровнем доходов. Стратегия ценообразования для производства, ориентированного
на потребителей со средним уровнем доходов, должна строится на принципе
удержания средних (невысоких) цен на занимаемом рынке. При организации
производства необходимо учитывать последние научные разработки, обеспечивающие
современный уровень качества изделий. Имеются потенциальные возможности
дальнейшего роста объема производства в Ижевске и реализации в Ижевске,
Удмуртской Республике и примыкающих регионах.
Для
Удмуртской Республики, емкость рынка сбыта рассчитывалась, исходя из следующих
данных:
- численность населения Удмуртской
Республики составляет 1,65 млн. человек;
- доля платежеспособного населения
40% от общего числа предполагается, что доля потенциальных клиентов составит
11% от общего числа платежеспособного населения (остальные 89% являются
потенциальными покупателями конкурентов);
- предполагается, что среднее
количество совершаемых покупок из предметов мебели среди населения составит 0,8
предметов в 15 лет из расчета на одного человека;
Емкость рынка
сбыта в Удмуртской Республике
(1650000 х
0,4) : 15 х 0,11 х 1 + 5800 : 5 х 0,20 х 20 = 8277 изделий в год, что составит
689,77 изделий в месяц
Будем считать
рассчитанную емкость рынка теоретически достижимым пределом в процессе развития
проектируемого предприятия, а в начале деятельности предприятия финансовое
обоснование настоящего бизнес-плана будет произведено из расчета 200 комплектов
мебели в месяц – количества, гарантированного к сбыту существующими договоренностями.
При
дальнейшем развитии производства планируется увеличить ассортимент выпускаемой
продукции.
Основной
целью маркетинга должно стать устойчивое вхождение на рынок Ижевска и занятие
на нем определенных позиций. Для этого, прежде всего, необходима активная
рекламная кампания. Для проведения ее наиболее целесообразно, на мой взгляд,
обратиться к специалистам фирмы соответствующего профиля, которые с
профессиональной точки зрения определятся и с видами необходимой рекламы, и с
оптимальной частотой ее появления.
Необходимо
учесть стоимость рекламной кампании, которая состоит из:
- подача
объявлений в средства массовой информации – 8000 руб.;
- изготовление
рекламной вывески - 2000 руб.
Общая стоимость рекламной кампании
составит 10000 руб.
Кроме того, рассчитаем затраты на
рекламу в течение года. Они будут складываться из:
- подача
объявлений в средства массовой информации в течение года – 10000 руб.;
- директ-мейл
– 2000 руб.
Итого расходы на рекламу за год
составят 12000 руб.
Кроме того,
достаточно эффективным способом контакта с потенциальными клиентами служат
специализированные выставки, время от времени проводящиеся в Ижевске. На них
клиенты наиболее полно могут ознакомиться со всем спектром предоставляемых
услуг, а заключение договоров на выставке наиболее эффективно.
На первом
этапе работ основное внимание будут уделено организации сбыта в г. Ижевске.
Для того, чтобы
определить, какой вид оборудования нам нужен для производства мебели, нам
необходимо рассмотреть технологический процесс производства мебели и
определить, какие факторы будут влиять на выбор оборудования. Основным сырьем
для производства корпусной мебели является древесностружечная плита (ДСП) и
древесноволокнистая плита (ДВП). В то же время существующие тенденции перехода
к натуральным материалам в производстве мебели дают возможность использовать
при производстве кухонных уголков натуральную древесину – массив сосны и ели.
Для того, чтобы
производить запланированное количество мебели, нам нужно соответствующее
оборудование, которое позволит производить данное количество мебели. Поскольку
мебель собирается из деталей, а производство предназначено для обработки этих
деталей, то мы должны определить размеры деталей, их количество и длину по периметру,
а также толщину материала, из которого они изготовлены.
Технологический
процесс изготовления мебели включает три основных вида - производственных
операций в следующей последовательности:
- раскрой плиты на детали;
- сверление соединительных отверстий;
- облицовывание кромочным материалом кромок
деталей.
По имеющемуся на
российском рынке оборудованию, опираясь на заданные технические характеристики,
была составлена таблица по видам оборудования. Выбор оборудования будет
проходить в два этапа. На первом этапе мы выбираем наиболее подходящие две или
три модели оборудования каждого вида, а на втором этапе определяем одну модель.
Первый этап нам нужен для того, чтобы определить резерв, которым мы сможем
воспользоваться при изменении условий реализации данного оборудования или по каким-либо
другим причинам, которые нас не устроят. На втором этапе мы сделаем окончательный
выбор оборудования, которое подходит для нашего производства по техническим
параметрам и устраивает нас по цене.
Таблица 27
Требуемое оборудование
|
Наименование
оборудования
|
Количество,
шт.
|
Цена,
тыс. руб.
|
Сумма,
тыс. руб.
|
|
1
|
2
|
3
|
4
|
|
Циркулярная
пила
|
1
|
15,0
|
15,0
|
|
Торцовая пила
|
1
|
10,0
|
10,0
|
|
Фрезер
|
1
|
15,0
|
15,0
|
|
Лобзик
|
1
|
10,0
|
10,0
|
|
Шлифмашинка
|
3
|
5,0
|
15,0
|
|
Фуганок
|
1
|
20,0
|
20,0
|
|
Токарный
станок
|
1
|
20,0
|
20,0
|
Продолжение табл. 27
|
1
|
2
|
3
|
4
|
|
Сушильная
камера
|
1
|
200,0
|
200,0
|
|
Пресс
|
1
|
100,0
|
100,0
|
|
Рейсмус
|
1
|
100,0
|
100,0
|
|
Компрессор
|
2
|
40,0
|
80,0
|
|
Краскопульт
|
2
|
1,5
|
3,0
|
|
Дрель
|
2
|
2,5
|
5,0
|
|
Шуруповерт
|
2
|
2,5
|
5,0
|
|
Комплект
инструментов
|
1
|
50,0
|
50,0
|
|
Пневмопистолет
|
3
|
2,5
|
7,5
|
|
Вспомогательное
оборудование (стеллажи, вытяжки, промышленный пылесос)
|
1
|
150,0
|
150,0
|
|
Автомобиль
ГАЗель
|
1
|
165,0
|
165,0
|
|
Итого
|
|
|
970,5
|
Для
организации мебельного производства возможны два основных варианта выбора помещения:
- аренда помещения;
- покупка помещения.
Большинство
выбранного оборудования для мебельного производства является профессиональным
оборудованием, которое работает от 3-х фазной сети 380 вольт, что исключает
возможность использования их в жилых домах. Поэтому производство необходимо
размещать в нежилых помещениях.
Оформлением
разрешительных документов будет заниматься организация, которая предоставляет
услуги по регистрации предприятия. Оформление документов займет около месяца и
будет стоить нам около 5000 рублей.
Для
размещения запланированного оборудования потребуется площадь в размере не менее
150 м2. Образцы производимой мебели будут выставлены в выставочном
зале, который займет площадь - 40 м2. На 30 м2 будет
размещена административно-бытовая служба и 30 м2 будет отведено для
складских помещений. На площади, отведенной под склад, будет храниться
инструмент и фурнитура. Предполагается, что часть складских функций возьмет на
себя производственный цех, где будут размещены столярные плиты и ДВП, а также
часть готовой продукции, предназначенной для оптовой продажи. Таким образом,
минимальная площадь, необходимая для размещения мебельного производства
составляет 250 м2.
Таблица
28
Расчет
арендной платы
|
Общая площадь, м2
|
Размер арендной платы (руб. за 1 м2
в год )
|
Стоимость аренды (руб. в год.)
|
Срок действия (мес.)
|
|
|
250
|
200
|
50000
|
ежемес.
|
|
|
Итого:
|
50000
|
|
|
|
|
|
|
|
|
|
|
Производство рассчитано
на работу в 2 смены по 8 часов каждая при 250 рабочих днях в году и
коэффициенте использования рабочего времени 0,7.
Необходимый для
организации производства персонал приведен в таблице 29.
Таблица 29
Персонал деревообрабатывающего
предприятия
|
Должность
|
Заработная
плата за месяц, руб.
|
|
1
|
2
|
|
Менеджер
|
1200
|
|
Продавец-консультант
|
1200
|
|
Распиловщик
|
4000
|
|
Фрезеровщик
|
4000
|
|
Раскройщик
древесины (лобзик)
|
4000
|
|
Шлифовщик
|
4000
|
|
Фуговщик,
рейсмус
|
4000
|
|
Токарь
|
6000
|
|
Сборщик
|
4000
|
Продолжение таблицы 29
|
1
|
2
|
|
Упаковщик
|
4000
|
|
Делопроизводитель
|
2000
|
|
Водитель
|
4000
|
|
Бухгалтер
|
6000
|
|
Руководитель
|
8000
|
|
Итого
|
56400
|
Для организации
деятельности деревообрабатывающего предприятия потребуется определенный объем
финансовых инвестиций, планируемых получить за счет банковского кредита,
которые распределяются следующим образом:
- затраты,
связанные с регистрацией предприятия – 5,0 тыс. руб.;
- приобретение
оборудования – 970,5 тыс. руб.;
- приобретение
фурнитуры, лакокрасочного материала и пиломатериала в количестве, необходимом
для месячного объема производства – 216,0 тыс. руб.;
- оплата
аренды за первый месяц – 50,0 тыс. руб.;
- комплексное
снабжение оборудования за первый месяц – 100,0 тыс. руб.;
- прочие
расходы – 10,0 тыс. руб.
Общая сумма
необходимых финансовых инвестиций для единовременных затрат составит 1351,5
тыс. руб.
Производительность труда определяется как соотношение
чистых продаж к среднесписочной численности работников фирмы
950000 : 14 = 67857
руб. в месяц на одного работника
Из-за большого
ассортимента производимой продукции, при расчете финансовых показателей
бизнес-плана для оценки возьмем один из видов производимой продукции – кухонный
уголок. Структура себестоимости продукции будет практически одинакова для всех
видов производимой продукции, поэтому оцениваясь на расчете финансовых результатов
производства кухонного уголка, мы сможем оценить рентабельность производства в
целом.
Таким образом, принимаем,
что все производственные мощности проектируемого предприятия на первом этапе
работы будут ориентированы на производство кухонного уголка в объеме 200
комплектов в месяц.
I раздел. Переменные издержки.
Материальные затраты.
Материальные затраты для
нашего предприятия будут состоять из покупных материалов, используемых при
изготовлении мебели.
Основным материалом,
используемым при изготовлении мебели, является пиломатериал. Стоимость 1 м3
елового пиломатериала в настоящее время составляет 1500 руб. Учитывая, что
объем пиломатериала, необходимого для производства одного кухонного уголка, как
показано в табл.7, составляет 0,654371 м3, а величина отходов – 10%,
потребность в пиломатериале составляет для одного уголка:
0,654371 + 0,654371 х 10%
= 0,7198081 м3,
а для месячного
объема выпуска в 200 шт.:
0,7198081 х 200 =
143,96162 м3.
Затраты на пиломатериал составят
143,96162 х 1500 = 215942
руб.
а в расчете на 1 уголок
215942 : 200 = 1079,71
руб.
Таблица
30
Материальные затраты
|
№ п/п
|
Наименование
|
Цена, руб.
|
|
1
|
2
|
3
|
|
1.
|
Пиломатериал (ель)
|
215942
|
Продолжение
таблицы 30
|
1
|
2
|
3
|
|
2
|
Метизы (шурупы,
саморезы, втулки резьбовые, мебельные болты)
|
|
3.
|
Стяжки мебельные
|
10000
|
|
4.
|
Заглушки
|
10000
|
|
5.
|
Ручки
|
25000
|
|
6.
|
Петли
|
10000
|
|
7.
|
Мебельный лак
|
10000
|
|
8.
|
Колер
|
5000
|
|
9.
|
Морилка
|
5000
|
|
10.
|
Клей ПВА
|
5000
|
|
11.
|
Поролон
|
10000
|
|
12.
|
Мебельная ткань
|
35000
|
|
Итого
|
360942
|
Итого затраты на
материалы составят в месяц 360942 руб. Для изготовления одного кухонного уголка
360942 : 200 = 1804,71
руб.
Затраты на электроэнергию
и топливо.
Затраты на электроэнергию
будут определяться по формуле:
Cэ.э.= С1квт
х t1
х P1 + C1квт х t2
х P2 + ... + Cnквт х tn
* Pn, где
С1квт-
стоимость единицы электроэнергии (для предприятий) принимается равной 0,98 руб. за 1квт / час
t - время работы
оборудования, ч
Р - потребляемая
мощность, кВт
n - количество
потребителей электроэнергии
По техническим данным
проекта деревообрабатывающего предприятия, суммарная мощность всех
установленных потребителей электроэнергии составляет 20 кВт. Учитывая, что
одновременно все потребители электроэнергии мы использовать не будем, примем
среднюю потребляемую оборудованием мощность в 15 кВт. Таким образом, за месяц с
учетом 24 рабочих дней по 8 часов каждый расходы на электроэнергию составят
24 х 8 х 15 х 0,98 = 2045
руб.
Кроме того, необходимо
учесть затраты на топливо (бензин) для эксплуатации автомобиля ГАЗель, который
будет использоваться для доставки комплектующих изделий и готовых мебельных
комплектов потребителям.
Учитывая среднюю
эксплуатационную скорость автомобиля 40,0 км/час, 8-часовой рабочий день, 24
рабочих дня в месяц, расход топлива в городском цикле 18,0 л/100 км и стоимость
бензина 9,80 руб/л, расходы за месяц составят
40 х 8 х 24 : 100 х 18 х
9,80 = 13548 руб.
Общая сумма затрат на
топливо и электроэнергию за месяц
13548 + 2045 = 15593 руб.
В структуре себестоимости
1 кухонного уголка это составит
15593 : 200 = 77,93 руб.
Зарплата основных
рабочих.
Для производственных
рабочих оплата труда будет зависеть от объема реализованной продукции.
Фонд оплаты труда основных
рабочих определяется по формуле:
ФОТос = ЗПос + ЗПд + Врк,
где ЗПос - основная
заработная плата рабочих;
ЗПд - дополнительная
заработная плата (оплата отпусков, доплата за сокращённый рабочий день
подросткам, принимаем в размере 10% от ЗПос);
Врк - выплаты по
районному коэффициенту (15% от (ЗПос + ЗПд)).
Рассчитаем фонд оплаты
труда, результаты расчетов приведем в таблице 31.
Таблица
31
Фонд оплаты труда основных рабочих
|
Должность
|
ЗПОСН
|
ЗПД
|
ВРК
|
ФОТОСН
|
|
Распиловщик
|
4000
|
400
|
600
|
5000
|
|
Фрезеровщик
|
4000
|
400
|
600
|
5000
|
|
Раскройщик древесины (лобзик)
|
4000
|
400
|
600
|
5000
|
|
Шлифовщик
|
4000
|
400
|
600
|
5000
|
|
Фуговщик, рейсмус
|
4000
|
400
|
600
|
5000
|
|
Токарь
|
6000
|
600
|
900
|
7500
|
|
Сборщик
|
4000
|
400
|
600
|
5000
|
|
Упаковщик
|
4000
|
400
|
600
|
5000
|
|
Итого
|
34000
|
3400
|
5100
|
42500
|
За месяц расходы на
оплату труда основных производственных рабочих составят 42500 руб.
В структуре себестоимости
1 кухонного уголка это составит
42500 : 200 = 212,5 руб.
Единый социальный налог
В соответствии с главой
24 Налогового кодекса РФ, вводится единый социальный налог (взнос), зачисляемый
в государственные внебюджетные фонды - Пенсионный фонд Российской Федерации,
Фонд социального страхования Российской Федерации и фонды обязательного
медицинского страхования Российской Федерации. Налогоплательщиками налога
признаются работодатели, производящие выплаты наемным работникам. Объектом
налогообложения признаются выплаты и иные вознаграждения, начисляемые работодателями
в пользу работников по всем основаниям.
Для налогоплательщиков,
налоговая база которых на каждого отдельного работника нарастающим итогом с
начала года не превышает 100 тыс. руб. (как на нашем предприятии), применяются
ставки в размере 36,5%.
Таким образом, сумма
выплат единого социального налога за месяц для основных рабочих составит
42500 х 36,5% : 100% =
15130 руб.
В структуре себестоимости
1 кухонного уголка это составит
15130 : 200 = 75,65 руб.
Комплексное снабжение
оборудования
Расходы по этому разделу
будут включать в себя расходные материалы, связанные с обеспечением
деревообрабатывающего оборудования расходными материалами – пилами, наждачной
бумагой, резцами, фрезами и т.д., а также расходы, связанные с обеспечением
запасными частями и ремонтом оборудования. Ориентировочная сумма затрат по этой
статье в месяц – 10,0 тыс. руб.
В структуре себестоимости
1 кухонного уголка это составит
10000 : 200 = 50,0 руб.
Других переменных
составляющих в структуре себестоимости мебели нет.
Итого по разделу
«Переменные издержки»
306942 + 15593 + 42500 +
15130 + 10000 = 390165 руб.
В структуре себестоимости
1 кухонного уголка это составит
390165 : 200 = 1950,83
руб.
II раздел. Постоянные
издержки.
Расходы на оплату труда
административно-управленческого персонала.
Для
административно-управленческого персонала оплата труда не будет зависеть от
объема реализованной продукции.
Фонд оплаты труда
административно-управленческого персонала определяется по формуле:
ФОТос = ЗПос + ЗПд + Врк,
где ЗПос - основная
заработная плата административно-управленческого персонала;
ЗПд - дополнительная
заработная плата (оплата отпусков, доплата за сокращённый рабочий день
подросткам, принимаем в размере 10% от ЗПос);
Врк - выплаты по
районному коэффициенту (15% от (ЗПос + ЗПд)).
Рассчитаем фонд оплаты
труда, результаты расчетов приведем в таблице 32.
Таблица
32
Фонд оплаты труда
административно-управленческого персонала
|
Должность
|
ЗПОСН
|
ЗПД
|
ВРК
|
ФОТОСН
|
|
Менеджер
|
1200
|
120
|
180
|
1500
|
|
Продавец-консультант
|
1200
|
120
|
180
|
1500
|
|
Делопроизводитель
|
2000
|
200
|
300
|
2500
|
|
Водитель
|
4000
|
400
|
600
|
5000
|
|
Бухгалтер
|
6000
|
600
|
900
|
7500
|
|
Руководитель
|
8000
|
800
|
1200
|
10000
|
|
Итого
|
22400
|
2240
|
3360
|
28000
|
За месяц расходы на
оплату труда административно-управленческого персонала составят 28000 руб.
В структуре себестоимости
1 кухонного уголка это составит
28000 : 200 = 140,0 руб.
Единый социальный налог
Начисления единого
социального налога аналогичны, как для основных рабочих. В соответствии с
главой 24 Налогового кодекса РФ, для налогоплательщиков, налоговая база которых
на каждого отдельного работника нарастающим итогом с начала года не превышает
100 тыс. руб. (как на нашем предприятии), применяются ставки в размере 36,5%.
Таким образом, сумма
выплат единого социального налога за месяц для административно-управленческого
персонала составит
28000 х 36,5% : 100% =
9968 руб.
В структуре себестоимости
1 кухонного уголка это составит
9968 : 200 = 49,84 руб.
Амортизация основного
оборудования.
При расчетах
использовался метод равномерной амортизации, который заключается в начислении
амортизации равными долями в течение всего срока службы. При этом норма амортизационных
отчислений в процентах от первоначальной стоимости определялась как
, где t - срок службы ,
лет
Для оборудования,
относящегося к четырехлетней группе норма амортизационных отчислений составляет
1/4.
Учитывая стоимость
оборудования в 970,5 тысяч рублей, суммарные амортизационные отчисления составят
за месяц:
Самортиз.= 970500 х (1/4)
: 12 = 20219 руб.
В структуре себестоимости
1 кухонного уголка это составит
20219 : 200 = 101,09 руб.
Аренда производственного
помещения.
В соответствии с
заключенным договором на аренду, размер годовой платы за пользование помещением
под деревообрабатывающее предприятие составляет 50000 руб. в месяц.
В структуре себестоимости
1 кухонного уголка это составит
50000 : 200 = 250,0 руб.
Прочие расходы.
К прочим расходам в нашем
предприятии относятся расходы по организации и управлению производством,
освещению, отоплению, поддержанию порядка и охраны и т.д. За месяц прочие
расходы составят сумму порядка 50000 руб.
В структуре себестоимости
1 кухонного уголка это составит
50000 : 200 = 250,0 руб.
Банковский кредит.
За месяц выплаты по
кредиту в 1350000 руб., взятого под 23% годовых составят
1350000 х 23% : 100% : 12
= 25875 руб.
В структуре себестоимости
1 кухонного уголка это составит
25875 : 200 = 129,38 руб.
Суммируя предыдущие
статьи, рассчитываем величину постоянных затрат на годовой выпуск.
28000 + 9968 + 20219 +
50000 + 50000 + 25875 = 184062 руб.
В структуре себестоимости
1 кухонного уголка это составит
184062 : 200 = 920,31
руб.
Суммарные затраты на
производство мебели за месяц составят
390165 + 184062 = 574227
руб.
Общая себестоимость
кухонного уголка составит
574227 : 200 = 2871,14
руб.
Сведем полученные расчеты
в таблицу 33.
Таблица
33
Средняя себестоимость продукции
|
Статьи затрат
|
Постоянные издержки
|
Переменные издержки
|
|
1. Материальные затраты
|
|
1804,71
|
|
2. Электроэнергия и топливо
|
|
77,93
|
|
3. Фонд оплаты труда основных
рабочих
|
|
212,5
|
|
4. Единый социальный налог основных
рабочих
|
|
75,65
|
|
5. Комплексное снабжение
оборудования
|
|
50,0
|
|
6. Зарплата АУП
|
140,0
|
|
|
7. Единый социальный налог АУП
|
49,84
|
|
|
8. Амортизационные отчисления
|
101,09
|
|
|
9. Аренда помещения
|
250,0
|
|
|
10. Прочие расходы
|
250,0
|
|
|
11. Банковский кредит
|
129,38
|
|
|
Итого:
|
920,31
|
1950,83
|
|
Всего:
|
2871,14
|
Структура себестоимости
мебели приведена на рис.15.
При реализации мебели
необходимо учитывать НДС 20%. Средняя цена реализации кухонного уголка
составляет 4,75 тыс. руб. вместе с НДС.
Таким образом, отпускная
цена кухонного уголка без НДС составляет:
4750 : 120% х 100% = 3770
руб.
Валовая прибыль от
реализации одного кухонного уголка составит
3770 – 2871,14 = 898,86
руб.
Рис.15. Структура себестоимости мебели
Валовая выручка от
реализации всей произведенной за месяц мебели составит
4750 х 200 = 950000 руб.
Валовая прибыль за месяц
898,86 х 200 = 179741
руб.
Налогообложение
проектируемого предприятия будет осуществляться на основе Закона УР от 11 июля
1996 г. N 264-I "О применении на территории Удмуртской Республики
упрощенной системы налогообложения, учета и отчетности для субъектов малого
предпринимательства" (с изменениями от 29 ноября 2000 г.)
Упрощенная система
налогообложения, учета и отчетности для субъектов малого предпринимательства -
индивидуальных предпринимателей и организаций применяется наряду с ранее
принятой системой налогообложения, учета и отчетности, предусмотренной
законодательством Российской Федерации.
Объектом обложения единым
налогом для организаций в упрощенной системе налогообложения, учета и
отчетности устанавливается валовая выручка.
Ставка единого налога
устанавливается в размере 6 процентов от суммы валовой выручки, подлежащих
зачислению:
- в
федеральный бюджет - в размере 3,33 процента;
- в
бюджет Удмуртской Республики и местные бюджеты - в размере 3,67 процента.
Сумма единого налога для
нашего предприятия в месяц составит
950000 х 6% : 100% =
66500 руб.
Годовая стоимость патента
для индивидуальных предпринимателей и организаций устанавливается по видам
деятельности, отдельно на каждый вид, согласно перечню. Согласно Приложению к
закону УР от 29 ноября 2000 г. N 248-II для изготовления мебели, других
столярных изделий для видов деятельности, осуществляемых на территории Ижевска
размер годовой стоимости патента составляет 70-кратный размер от минимальной
оплаты труда, что в настоящее время составляет
70 х 450 = 31500 руб. в
год
31500 : 12 = 2625 руб. в
месяц
Таким образом, чистая
прибыль в месяц составит
179741 – 66500 – 2625 =
110616 руб.
Таблица 34
План доходов и расходов
|
Статьи доходов и расходов
|
I
|
II
|
III
|
IV
|
V
|
VI
|
VII
|
VIII
|
IX
|
X
|
XI
|
XII
|
год
|
|
Выручка
|
950000
|
950000
|
950000
|
950000
|
950000
|
950000
|
950000
|
950000
|
950000
|
950000
|
950000
|
950000
|
11400000
|
|
Затраты, в т.ч.
|
574227
|
574227
|
574227
|
574227
|
574227
|
574227
|
574227
|
574227
|
574227
|
574227
|
574227
|
574227
|
6890724
|
|
1. Материальные затраты
|
360942
|
360942
|
360942
|
360942
|
360942
|
360942
|
360942
|
360942
|
360942
|
360942
|
360942
|
360942
|
4331304
|
|
2. Электроэнергия и топливо
|
15593
|
15593
|
15593
|
15593
|
15593
|
15593
|
15593
|
15593
|
15593
|
15593
|
15593
|
15593
|
187116
|
|
3. Фонд оплаты труда основных
рабочих
|
42500
|
42500
|
42500
|
42500
|
42500
|
42500
|
42500
|
42500
|
42500
|
42500
|
42500
|
510000
|
|
4. Единый социальный налог
основных рабочих
|
15130
|
15130
|
15130
|
15130
|
15130
|
15130
|
15130
|
15130
|
15130
|
15130
|
15130
|
15130
|
181560
|
|
5. Комплексное снабжение оборудования
|
10000
|
10000
|
10000
|
10000
|
10000
|
10000
|
10000
|
10000
|
10000
|
10000
|
10000
|
10000
|
120000
|
|
6. Зарплата АУП
|
28000
|
28000
|
28000
|
28000
|
28000
|
28000
|
28000
|
28000
|
28000
|
28000
|
28000
|
28000
|
336000
|
|
7. Единый социальный налог
АУП
|
9968
|
9968
|
9968
|
9968
|
9968
|
9968
|
9968
|
9968
|
9968
|
9968
|
9968
|
9968
|
119616
|
|
8. Амортизационные отчисления
|
20219
|
20219
|
20219
|
20219
|
20219
|
20219
|
20219
|
20219
|
20219
|
20219
|
20219
|
20219
|
242628
|
|
9. Аренда помещения
|
50000
|
50000
|
50000
|
50000
|
50000
|
50000
|
50000
|
50000
|
50000
|
50000
|
50000
|
50000
|
600000
|
|
10. Прочие расходы
|
50000
|
50000
|
50000
|
50000
|
50000
|
50000
|
50000
|
50000
|
50000
|
50000
|
50000
|
50000
|
600000
|
|
11. Банковский кредит
|
25875
|
25875
|
25875
|
25875
|
25875
|
25875
|
25875
|
25875
|
25875
|
25875
|
25875
|
25875
|
310500
|
|
Налог на добавленную стоимость
|
150794
|
150794
|
150794
|
150794
|
150794
|
150794
|
150794
|
150794
|
150794
|
150794
|
150794
|
150794
|
1809528
|
|
Балансовая прибыль
|
179741
|
179741
|
179741
|
179741
|
179741
|
179741
|
179741
|
179741
|
179741
|
179741
|
179741
|
179741
|
2156892
|
|
Единый налог
|
66500
|
66500
|
66500
|
66500
|
66500
|
66500
|
66500
|
66500
|
66500
|
66500
|
66500
|
66500
|
798000
|
|
Стоимость патента
|
2625
|
2625
|
2625
|
2625
|
2625
|
2625
|
2625
|
2625
|
2625
|
2625
|
2625
|
2625
|
31500
|
|
Чистая прибыль
|
110616
|
110616
|
110616
|
110616
|
110616
|
110616
|
110616
|
110616
|
110616
|
110616
|
110616
|
110616
|
1327392
|
Для осуществления проекта
необходимо инвестиции на сумму 1350000 руб. Сумма достаточна велика, поэтому в
качестве планируемого источника финансирования наиболее целесообразным следует
признать привлечение банковского кредита учитывая потенциальную
привлекательность данного проекта, основанную на результатах расчетов финансовой
деятельности нашего предприятия.
Чистая прибыль за месяц
составляет 110616 руб. Из этой суммы планируется 20616 руб. направлять на
развитие предприятия, а 90000 руб. – на погашение кредита. В этом случае полный
срок погашения кредита составит
1350000 : 90000 = 15
месяцев
В течение этого времени
сумма процентов, выплаченных банку по кредиту, составит
25875 х 15 = 388125 руб.
Определяем точку
безубыточности (рис.16).
Определяем постоянные
издержки за год. Они составляют
184062 х 12 = 2208744
руб.
Определяем величину
переменных затрат на конец года. Они составляют
390165 х 12 = 4681980
руб.
Строим прямую выручки.
Выручка в год (без НДС и НсП) составляет
3770 х 200 х 12 = 9048000
руб.
Получим критическую
точку, которая показывает объем безубыточности Vк = 1210 мебельных комплектов в год.
Докажем безубыточность
аналитически.
Определяем объем
безубыточности в рублях.
Vк(руб) = 2208744 : (1 - (1950,83 :
3770) = 4577343 руб.
Определяем объем
безубыточности в объеме реализованной мебели
Vк = 4577343 : 3770 = 1214 комплектов
мебели за год
1214 : 12 = 101 комплект
в месяц








Рис.17. Точка
безубыточности
Норма предпринимательского дохода
= Чистая прибыль : Выручка от реализации х 100%
(1327392 : 11400000) х 100% = 11,6%
Этот показатель
характеризует прочность положения нашего предприятия на рынке.
Рентабельность реализации
прибыль от реализации :
выручку от реализации х 100%
2156892 : 11400000 х 100%
= 18,9%
Уровень рентабельности
(УР)
УР = (прибыль от реализации
: себестоимость реализованной продукции) х 100%
(2156892 : 6890724) х
100% = 31,3%
Это означает, что
предприятие может вести расширенное воспроизводство. Поэтому у нас есть
реальная возможность закупить на свои денежные средства дополнительное оборудование
автобусы и расширить производство мебели.
Эффективность капитальных
вложений
чистая прибыль :
капитальные вложения х 100%
1327392 : 1350000 х 100%
= 98,3%
Запас финансовой
прочности организации
(Дmax-Дmin) : Дmax х
100%, где
Дmax - максимальный годовой доход от реализации,
Дmin - годовой доход при критическом уровне продаж
(9048000 - 4577343) :
9048000 х 100% = 49,1%
Все это позволит
фирме занять стабильное положение на рынке уже в течение первого года работы и
обеспечит безубыточный объем продаж.
Чистой прибыли,
остающейся в распоряжении предприятия вполне достаточно, чтобы окупить
капитальные вложения в течение 15 месяцев работы, что является неплохим
показателем для подобных организаций.
Для реализации
проекта по повышению конкурентоспособности ООО «Элит-строй» необходимы
кредитные средства в размере 1350000 руб., возврат которых планируется
осуществить в течение 15 месяцев с начала деятельности предприятия. За время
действия кредитного договора банку в виде процентов за пользование кредитом
будет выплачено вознаграждение в сумме 310500 руб..
Проект создает 14 новых
рабочих мест в г. Ижевске.
Отпускная цена одного из
видов мебели, рассчитанная в данном проекте - кухонного уголка - без налога с
продаж и НДС составляет 3770 руб., с указанными налогами – 4750 руб.
Валовая прибыль от
реализации одного кухонного уголка составит 898,86 руб. Валовая выручка от
реализации произведенной за месяц мебели составит 950000 руб. Валовая прибыль
за месяц 179741 руб.
Налогообложение
проектируемого предприятия будет осуществляться на основе Закона УР от 11 июля
1996 г. N 264-I "О применении на территории Удмуртской Республики
упрощенной системы налогообложения, учета и отчетности для субъектов малого
предпринимательства" (с изменениями от 29 ноября 2000 г.). Сумма единого
налога для предприятия в месяц составит 66500 руб.
Патентная плата по виду
деятельности составляет 2625 руб. в месяц.
Чистая прибыль в месяц
составит 110616 руб. Из этой суммы планируется 20616 руб. направлять на
развитие предприятия, а 90000 руб. – на погашение кредита.
Критическая точка,
которая показывает объем безубыточности Vк = 1214 мебельных комплектов в год при рассчитанном в
финансовом плане планируемом показателе – 2400 комплектов.
Рентабельность реализации
= 18,9%
Уровень рентабельности =
31,3%
Эффективность капитальных
вложений = 98,3%
Запас финансовой
прочности организации = 49,1%
Все это позволит
фирме занять стабильное положение на рынке уже в течение первого года работы и
обеспечит безубыточный объем продаж.
Цена на продукцию должна
привлечь внимание потенциальных покупателей со средним уровнем достатка, так
как она является достаточно низкой по сравнению с конкурентными на текущий
момент.
На основе рассмотренных
показателей можно сделать вывод, что проект эффективен по следующим причинам:
1. Высокая прибыль,
стабильные продажи;
2. Конкурентные цены на
продукцию;
3. Невысокий уровень
критического объема продаж по сравнению с планируемым;
4. Хорошая эффективность
капитальных вложений;
5. Достаточный запас
финансовой прочности.
1. Герчикова И.Н. Менеджмент: учебник
для вузов. - М.: ЮНИТИ Банки и биржи, 1999.
2. Камаев Ю.А. Экономика и бизнес. – М.:
Экономика, 2002.
3. Кохно П.А., Микрюков В.А., Коморов
С.Е. Менеджмент. - М.: Финансы и статистика, 2001.
4. Менеджмент организации. Уч.пособие
под ред. Румянцева и др. М.: ИНФРА, 1999.
5. Организация, планирование, управление
деятельностью промышленных предприятий: учебник для вузов. / С.Е. Каменипера,
Ф.М. Русинова - М.: Высшая школа, 1998.
6. Паркинсон, С. Нортког, Рустомжи М.К.
Искусство управления. – М.: Экономика, 2001.
7. Петров С.П. Основы
предпринимательства и организационно-правовые нормы хозяйствования. – М.:
Экономика, 2003.
8. Рокотян
А.Ю. Перспективы конвергенции сетей электросвязи в России. // Вестник Связи. -
№ 01. – 2003.
9. Современный менеджмент: принципы и
правила. Дайджест, Н. Новгород, ИКЧП, 1998.
10.
Файоль А,Эмерсон
Г.,Тейлор Ф.,Форд Г Управление — это наука и искусство. - М.: Республика, 1997.
11.
Яковец Ю.
Инновационное инвестирование: новые подходы // Экономист.-2000.-№1.-С.31-33
Приложение
к
приказу Министерства финансов РФ
от 13.01.2000 № 4н
Бухгалтерский
баланс
|
на
__________________20___ г.
|
Коды
|
|
Форма № 1 по ОКУД
|
0710001
|
|
Дата (год, месяц,
число)
|
01
|
01
|
2004
|
|
Организация ___________________________________________ по ОКПО
|
|
|
Идентификационный номер налогоплательщика ________________ИНН
|
|
|
Вид деятельности ______________________________________по
ОКДП
|
|
|
Организационно-правовая форма / форма собственности _____________
|
|
|
|
_____________________________________________по ОКОПФ / ОКФС
|
|
|
|
Единица измерения: руб. / тыс. руб. (ненужное
зачеркнуть) по ОКЕИ
|
384/385
|
|
Адрес__________________________________________________________
|
|
|
_______________________________________________________________
|
|
|
Дата
утверждения
|
|
|
Дата
отправки (принятия)
|
|
|
|
|
|
|
|
Актив
|
Код строки
|
На начало отчетного
года
|
На конец отчетного
периода
|
|
1
|
2
|
3
|
4
|
|
I. ВНЕОБОРОТНЫЕ
АКТИВЫ
Нематериальные активы (04, 05)
|
110
|
340
|
370
|
|
в
том числе:
патенты, лицензии, товарные знаки (знаки обслуживания), иные аналогичные с
перечисленными права и активы
|
111
|
340
|
370
|
|
организационные расходы
|
112
|
|
|
|
деловая репутация организации
|
113
|
|
|
|
Основные средства (01, 02, 03)
|
120
|
14410
|
15250
|
|
в том числе:
земельные участки и объекты природопользования
|
121
|
|
|
|
здания, машины и
оборудование
|
122
|
14410
|
15250
|
|
Незавершенное строительство (07, 08,
16, 61)
|
130
|
|
|
|
Доходные вложения в материальные
ценности (03)
|
135
|
|
|
|
в том числе:
имущество для передачи в лизинг
|
136
|
|
|
|
имущество,
предоставляемое по договору проката
|
137
|
|
|
|
Долгосрочные финансовые вложения (06,
82)
|
140
|
|
|
|
в
том числе:
инвестиции в дочерние общества
|
141
|
|
|
|
инвестиции в зависимые общества
|
142
|
|
|
инвестиции в другие организации
|
143
|
|
|
|
займы, предоставленные организациям на
срок более 12 месяцев
|
144
|
|
|
|
прочие долгосрочные финансовые вложения
|
145
|
|
|
|
Прочие внеоборотные активы
|
150
|
|
|
|
ИТОГО по разделу I
|
190
|
14750
|
15620
|
Форма 0710001 с. 2
|
   Актив
|
Код
строки
|
На начало отчетного
года
|
На конец отчетного
периода
|
|
II. ОБОРОТНЫЕ
АКТИВЫ
Запасы
|
210
|
3325
|
2427
|
|
в
том числе:
сырье, материалы и другие аналогичные ценности (10, 12, 13,16)
|
211
|
3325
|
2427
|
|
Затраты
в незавершенном производстве (издержках обращения)
(20, 21, 23, 29, 30, 36, 44)
|
213
|
|
|
|
Готовая
продукция и товары для перепродажи (16, 40, 41)
|
214
|
|
|
|
Товары
отгруженные (45)
|
215
|
|
|
|
Расходы
будущих периодов (31)
|
216
|
|
|
|
прочие
запасы и затраты
|
217
|
|
|
|
Налог
на добавленную стоимость по приобретенным ценностям (19)
|
220
|
1942
|
1612
|
|
Дебиторская
задолженность (платежи по которой ожидаются более чем через 12 месяцев после
отчетной даты)
|
230
|
|
|
|
в
том числе:
покупатели и заказчики (62, 76, 82)
|
231
|
|
|
|
векселя
к получению (62)
|
232
|
|
|
|
задолженность
дочерних и зависимых обществ (78)
|
233
|
|
|
|
авансы
выданные (61)
|
234
|
|
|
|
прочие
дебиторы
|
235
|
|
|
|
Дебиторская
задолженность (платежи по которой ожидаются в течение 12 месяцев после
отчетной даты)
|
240
|
2170
|
2962
|
|
в том числе:
покупатели и заказчики (62, 76, 82)
|
241
|
2170
|
2962
|
|
векселя
к получению (62)
|
242
|
|
|
|
задолженность
дочерних и зависимых обществ (78)
|
243
|
|
|
|
задолженность
участников (учредителей) по взносам в уставный
капитал(75)
|
244
|
|
|
|
авансы
выданные (61)
|
245
|
|
|
|
прочие
дебиторы
|
246
|
|
|
|
Краткосрочные
финансовые вложения (56, 58, 82)
|
250
|
133
|
389
|
|
в
том числе:
займы, предоставленные организациям на срок менее 12 месяцев
|
251
|
133
|
389
|
|
собственные
акции, выкупленные у акционеров
|
252
|
|
|
|
прочие
краткосрочные финансовые вложения
|
253
|
|
|
|
Денежные
средства
|
260
|
240
|
310
|
|
в
том числе:
касса (50)
|
261
|
240
|
310
|
|
расчетные
счета (51)
|
262
|
|
|
|
валютные
счета (52)
|
263
|
|
|
|
прочие
денежные средства (55, 56, 57)
|
264
|
|
|
|
Прочие
оборотные активы
|
270
|
|
|
|
ИТОГО
по разделу II
|
290
|
7810
|
7700
|
|
БАЛАНС
(сумма строк 190 + 290)
|
300
|
22560
|
23320
|
Форма 0710001 с. 3
|
Пассив
|
Код
строки
|
На начало отчетного
года
|
На конец отчетного
периода
|
|
III. КАПИТАЛЫ И
РЕЗЕРВЫ
Уставный капитал (85)
|
410
|
5500
|
5500
|
|
Добавочный капитал (87)
|
420
|
1750
|
1860
|
|
Резервный капитал (86)
|
430
|
380
|
400
|
|
в
том числе:
резервы, образованные в соответствии с законодательством
|
431
|
380
|
400
|
|
резервы,
образованные в соответствии с учредительными документами
|
432
|
|
|
|
Фонд социальной сферы (88)
|
440
|
1550
|
1680
|
|
Целевые финансирование и поступления
(96)
|
450
|
|
|
|
Нераспределенная прибыль прошлых лет
(88)
|
460
|
490
|
630
|
|
Непокрытый убыток прошлых лет (88)
|
465
|
|
|
|
Нераспределенная прибыль отчетного года
(88)
|
470
|
479
|
674
|
|
Непокрытый убыток отчетного года (88)
|
475
|
х
|
|
|
ИТОГО по разделу III
|
490
|
10149
|
10744
|
|
IV. ДОЛГОСРОЧНЫЕ
ОБЯЗАТЕЛЬСТВА
Займы
и кредиты (92, 95)
|
510
|
1620
|
1480
|
|
в
том числе:
кредиты банков, подлежащие погашению более чем через 12 месяцев после
отчетной даты
|
511
|
1620
|
1480
|
|
займы,
подлежащие погашению более чем через 12 месяцев после отчетной даты
|
512
|
-
|
-
|
|
Прочие долгосрочные обязательства
|
520
|
-
|
-
|
|
ИТОГО по разделу IV
|
590
|
1620
|
1480
|
|
V. КРАТКОСРОЧНЫЕ
ОБЯЗАТЕЛЬСТВА
Займы и кредиты (90, 94)
|
610
|
|
|
|
в
том числе:
кредиты банков, подлежащие погашению в течение 12 месяцев
после отчетной даты
|
611
|
|
|
|
займы,
подлежащие погашению в течение 12 месяцев после отчетной даты
|
612
|
|
|
|
Кредиторская задолженность
|
620
|
5890
|
5870
|
|
в
том числе:
поставщики и подрядчики (60, 76)
|
621
|
5890
|
5870
|
|
векселя
к уплате (60)
|
622
|
|
|
|
задолженность
перед дочерними и зависимыми обществами (78)
|
623
|
|
|
|
задолженность
перед персоналом организации (70)
|
624
|
|
|
|
задолженность
перед государственными внебюджетными фондами (69)
|
625
|
|
|
|
задолженность
перед бюджетом (68)
|
626
|
|
|
|
авансы
полученные (64)
|
627
|
|
|
|
прочие
кредиторы
|
628
|
|
|
|
Задолженность участникам (учредителям)
по выплате доходов (75)
|
630
|
|
|
|
Доходы будущих периодов (83)
|
640
|
|
|
|
Резервы предстоящих расходов (89)
|
650
|
|
|
|
Прочие краткосрочные обязательства
|
660
|
|
|
|
ИТОГО по разделу V
|
690
|
11240
|
11420
|
|
БАЛАНС (сумма строк 490 + 590 +
690)
|
700
|
22560
|
23320
|
Руководитель ___________
__________________________ Главный бухгалтер _________
______________________
(подпись)
(расшифровка подписи)
(подпись) (расшифровка подписи)
"___"____________
________г. (квалификационный аттестат
профессионального
бухгалтера
от "_____"________________ ________г. .№ ______________)
Отчет о прибылях и убытках
|
за
__________________20___г.
|
Коды
|
|
Форма
№ 2 по ОКУД
Дата (год, месяц, число)
Организация ______________________________________________________________по
ОКПО
|
0710002
|
|
01
|
01
|
2004
|
|
Идентификационный номер
налогоплательщика
ИНН
Вид деятельности __________________________________________________________по
ОКДП
|
|
|
Организационно-правовая
форма / форма собственности ________________________________
|
|
|
|
________________________________________________________________по
ОКОПФ / ОКФС
|
|
|
|
Единица измерения: руб.
/ тыс. руб. (ненужное зачеркнуть)
по ОКЕИ
|
384/385
|
|
|
|
|
|
|
Наименование
показателя
|
Код
строки
|
За отчетный
период
|
За аналогичный период предыдущего года
|
|
1
|
2
|
3
|
4
|
|
I. Доходы и
расходы по обычным видам деятельности
Выручка
(нетто) от продажи товаров, продукции, работ, услуг
(за минусом налога на добавленную стоимость, акцизов и аналогичных
обязательных платежей)
|
010
|
18440
|
14570
|
|
В
том числе от продажи:
|
011
|
18440
|
14570
|
|
|
012
|
|
|
|
|
013
|
|
|
|
Себестоимость
проданных товаров, продукции, работ, услуг
|
020
|
14080
|
10020
|
|
в
том числе проданных:
|
021
|
14080
|
10020
|
|
|
022
|
|
|
|
|
023
|
|
|
|
Валовая
прибыль
|
029
|
4360
|
4550
|
|
Коммерческие
расходы
|
030
|
|
|
|
Управленческие
расходы
|
040
|
|
|
|
Прибыль
(убыток) от продаж (строки (010 - 020 - 030 - 040)
|
050
|
4360
|
4550
|
|
II. Операционные
доходы и расходы
Проценты
к получению
|
060
|
-
|
-
|
|
Проценты
к уплате
|
070
|
-
|
-
|
|
Доходы
от участия в других организациях
|
080
|
-
|
-
|
|
Прочие
операционные доходы
|
090
|
|
|
|
Прочие
операционные расходы
|
100
|
|
|
|
III.
Внереализационные доходы и расходы
Внереализационные
доходы
|
120
|
|
|
|
Внереализационные
расходы
|
130
|
|
|
|
Прибыль
(убыток) до налогообложения
(строки (050 + 060 - 070 + 080 + 090 - 100 + 120 - 130))
|
140
|
4360
|
4550
|
|
Налог
на прибыль и иные аналогичные обязательные платежи
|
150
|
1046
|
1365
|
160
|
3314
|
3185
|
|
IV. Чрезвычайные
доходы и расходы
Чрезвычайные
доходы
|
170
|
|
|
|
Чрезвычайные
расходы
|
180
|
|
|
|
Чистая
прибыль (нераспределенная прибыль (убыток) отчетного
периода) (строки (160 + 170 - 180))
|
190
|
3314
|
3185
|
Форма 0710002 с. 2
|
Наименование показателя
|
Код
строки
|
За отчетный
период
|
За аналогичный период
предыдущего года
|
|
1
|
2
|
3
|
4
|
|
СПРАВОЧНО.
Дивиденды,
приходящиеся на одну акцию*:
по привилегированным
|
201
|
|
|
|
по обычным
|
202
|
|
|
|
Предполагаемые
в следующем отчетном году суммы дивидендов,
приходящиеся на одну акцию*:
по привилегированным
|
203
|
|
|
|
по
обычным
|
204
|
|
|
_______________________
*
Заполняется в годовой бухгалтерской отчетности.
Расшифровка отдельных прибылей и
убытков
|
Наименование
показателя
|
Код
строки
|
За отчетный
период
|
За аналогичный
период
предыдущего года
|
|
|
|
прибыль
|
убыток
|
прибыль
|
убыток
|
|
1
|
2
|
3
|
4
|
5
|
6
|
|
Штрафы
пеней и неустойки, признанные
или по которым получены решения суда
(арбитражного суда) об их взыскании
|
210
|
|
|
|
|
|
Прибыль
(убыток) прошлых лет
|
220
|
|
|
|
|
|
Возмещение
убытков, причиненных
неисполнением или ненадлежащим
исполнением обязательств
|
230
|
|
|
|
|
|
Курсовые
разницы по операциям
в иностранной валюте
|
240
|
|
|
|
|
|
Снижение
себестоимости материально-
производственных запасов на конец
отчетного периода
|
250
|
х
|
|
х
|
|
|
Списание
дебиторских и кредиторских
задолженностей, по которым истек срок
исковой давности
|
260
|
|
|
|
|
|
|
270
|
|
|
|
|
Руководитель __________ _____________________ Главный бухгалтер
________ __________________
(подпись) (расшифровка
подписи) (подпись) (расшифровка
подписи)
"____"_________________ ________г.