Методика преподавания молекулярно-кинетической теории идеального газа
Содержание
Введение 3
1 Использование статистического
метода при преподавании физики в средней школе 5
1.1 Сущность статистического метода 5
1.2 Особенности преподавания физики
в школе 9
1.3 Рекомендации по составлению
календарно-тематического плана преподавателя 24
1.4 Особенности применения
статистического метода к курсу физики средней школы 26
2 Основные положения
молекулярно-кинетической теории идеального газа 33
3 Примерный план урока 52
Заключение 67
Список использованной литературы_ 70
Актуальность выбранной темы обусловливается многими факторами. Прежде
всего, использование статистического метода в курсе физики является крайне
необходимым, так как совокупность большого числа молекул оказалось возможным
исследовать только с помощью математической теории вероятностей, которая была
разработана для массовых явлений, например, таких, в которых участвует большое
число частиц. С другой стороны, молекулярно-кинетическая теория идеального газа
является одной из основных тем в курсе средней школы, причем достаточно сложной
для понимания школьника. Именно поэтому методика преподавания данной темы с
помощью статистического метода является принципиальной для преподавателя.
В школе физика должна рассматриваться как один из предметов, выполняющих
не только познавательную, но также развивающую и воспитывающую функцию. Этот
предмет необходим всем - естественникам и гуманитариям, так как содержит мощный
гуманитарный потенциал, имеющий непосредственное отношение к развитию мышления,
формированию мировоззрения, раскрытию целостной картины мира через основные
законы и принципы природы. Воспитанию эстетического чувства, развитию
духовности.
В своей книге «Формирование естественнонаучного миропонимания школьников»
В. Р. Ильченко пишет: «закономерности психического развития детей требуют,
чтобы при изучении ими естественнонаучных предметов содержание знаний, их структура,
принципы, методы и формы обучения опирались на фундаментальные закономерности
природы. Те же закономерности психического развития детей показывают, что
естественнонаучное образование является базовым, оно необходимо для
направленного развития сознания и не может быть заменено другим».
Александров А.П. пишет, что преподавание физики в современной школе, с
одной стороны, должно давать твердые основы знаний, которые можно использовать
в жизни. В этом смысле учебный курс нужно построить на практическом материале
даже больше, чем это было раньше. С другой стороны, мы должны давать учащимся
правильное представление о физике, как об открытой науке, в которой имеется
масса незавершенных и почти не начатых исследований.
Ежова Я.В. и Донской В.И. в своей авторской программе «Физика и здоровье
человека» пишут о том, что поиски новых путей в преподавании всегда были важной
частью любой науки. Преподавание, следуя развитию науки, должно непрерывно
менять свои формы, ломать традиции, искать новые формы. Однако в этом процессе
необходимо проявлять большую осторожность. Выдвигая новые технологии
образования, нужно постоянно помнить о требованиях к выпускнику, к его конечным
знаниям, обеспечивающим беспроблемное поступления в любой ВУЗ, согласно
выбранному направлению в творчестве. Неотъемлемым качеством всякого урока
должны быть понятные всем ученикам в классе конечная цель урока и путь ее
достижения. Более того, каждый учащийся должен заранее знать, на сколько
уроков рассчитана изучаемая тема и каковы будут требования учителя к конечному
результату. При этом каждый предыдущий урок должен быть средством,
обеспечивающим следующего. Эффективность учебно-воспитательного процесса
зависит не только от направленности и устремленности школьников, но от их
познавательной самостоятельности. Для этого всегда на уроке должно быть ясно,
что они должны делать, чтобы научиться. Для решения мы строим различные
гипотезы; эти гипотезы мы проверяем экспериментально – либо непосредственно,
либо косвенно – через вытекающие из них следствия; далее мы находим способы
использования изученных явлений. Центральным моментом в процессе научного
познания является выдвижение гипотезы. Это захватывающе интересно! Вот почему
школьники любят проблемное обучение. Дальнейшее совершенствование всей методики
обучения будет зависеть от того, насколько нам удастся расширить возможности
для познавательного творчества учащихся.
Теоретическую и методологическую основу дипломной работы составили
учебные пособия, научные статьи по вопросам физики и педагогики, разработки по
методологии преподавания современных отечественных и зарубежных авторов.
Целью написания дипломной работы является разработка плана урока по теме
«Молекулярно-кинетическая теория идеального газа» для учеников средней школы.
Для успешного достижения поставленной цели необходимо решить следующие
задачи:
1.
проанализировать, в чем заключается статистический метод преподавания
физики в курсе средней школы, рассмотреть основные его положения;
2.
рассмотреть основные тезисы молекулярно-кинетической теории идеального
газа;
3.
разработать примерный план урока.
Структурно дипломная работа состоит из введения, трех глав (в первой
проанализирован статистический метод преподавания физики, во второй –
рассмотрены основные положения молекулярно-кинетической теории идеального газа,
в третьей – разработан примерный план урока по теме «Молекулярно-кинетическая
теория идеального газа»), заключения, списка использованной литературы.
Теоретическая и практическая значимость работы состоит в разработке
примерной методики преподавания молекулярно-кинетической теории идеального газа
с помощью статистического метода в средней школе.
Разработанный план урока представлен преподавателям физики, был в целом
одобрен и, с некоторыми доработками, был использован в практической деятельности.
Для описания свойств совокупности большого числа хаотически движущихся
молекул предполагается, что каждая молекула движется по законам механики.
Однако было бы бесполезно пытаться описать свойства молекулярной системы
методами механики. В этом случае для установления связи между макроскопическими
свойствами системы и свойствами молекул нам потребовалось бы следить за
движением каждой отдельной молекулы. Но в любом макроскопическом теле число N
молекул столь велико, что практически методами механики невозможно описать
их движение: если бы даже мы и умели написать уравнение движения для каждой
молекулы (а этого делать мы не умеем), то при условии, что мы будем писать по
уравнению в секунду, лишь для написания N уравнений для N молекул,
содержащихся в 1 см3 газа, нам потребовалось бы около 1012 лет.
Главное, однако, заключается в том, что система, состоящая из большого
числа хаотически движущихся частиц, имеет такие качества (свойства), которых
нет у каждой молекулы в отдельности. Система молекул газа, например,
характеризуется давлением. Это понятие неприменимо к одной молекуле. В связи с
этим для вычисления свойств системы молекул потребовалось найти методы,
отличные от методов механики.
Совокупность большого числа молекул оказалось возможным исследовать с
помощью математической теории вероятностей, которая была разработана для
массовых явлений, например, таких, в которых участвует большое число частиц.
Метод описания, использующий теорию вероятностей, называют статистическим методом,
а закономерности, выявляемые с помощью этого метода – статистическими закономерностями.
Статистические методы описания случайных явлений широко используются в
самых различных областях знания: в физике, химии, астрономии, биологии,
экономике, языкознании, в вычислительной технике, инженерном деле и др. Мы
познакомимся с применением этого метода в молекулярной физике. С начала нам
потребуется ввести необходимые понятия.
Важнейшие понятия статистического метода – понятие о случайном событии,
вероятности события, статистическом распределении, среднем значении случайной
величины[1].
Статистическая физика (статистическая механика) – раздел физики,
изучающий свойства макроскопических тел как систем из очень большого числа
частиц (молекул, атомов, электронов). В статистической физике применяют статистические методы, основанные на теории вероятностей. Статистическую
физику разделяют на статистическую термодинамику, исследующую системы в
состояниях статистического равновесия, и кинетику физическую, или неравновесную
статистическую термодинамику, изучающую неравновесные процессы. Статистическая
физика, основанная на законах квантовой механики, называется квантовой
статистикой. Основные задачи статистической физики – вычисление наблюдаемых
макроскопических величин, характеризующих систему, на основе закона движения
составляющих ее частиц; в случае статистического равновесия – вычисление термодинамических
потенциалов (свободной энергии, давления и др.) в зависимости от температуры и
др. параметров, в неравновесном случае – получение уравнений, описывающих
неравновесные процессы. Статистическая физика – основа теории газов, жидкостей
и твердых тел, имеет широкую область применения.
Молекулярная физика, раздел физики, изучающий физические свойства тел в
различных агрегатных состояниях на основе рассмотрения их молекулярного
строения. Из молекулярной физики выделились в самостоятельные
разделы физика твердого тела, физическая кинетика, физическая химия и т. д.
Место курса физики в школьном образовании определяется значением
физической науки в жизни современного общества, в
решающем ее влиянии на темпы развития научно-технического прогресса. Обучение
физике в школе служит целям образования и воспитания личности: вооружать
учащихся знаниями и умениями, необходимыми для их развития, подготовки к
работе и продолжения образования. В задачи обучения физике входит:
а) воспитание учащихся на основе разъяснения роли физики в ускорении
научно-технического прогресса, раскрытия достижений науки и техники и
перспектив их развития, ознакомления с вкладом отечественных и зарубежных
ученых в развитие физики и техники;
б) формирование знаний об экспериментальных фактах, понятиях, законах, теориях,
методах физической науки, современной научной картине мира;хники, атомной
энергетики, технологии производства и обработки новых материалов, с применением
физических законов в технике и технологии производства;
в) формирование умений самостоятельно приобретать и применять знания,
наблюдать и объяснять физические явления, а также умений пользоваться
учебником, справочной и хрестоматийной литературой;
г) формирование некоторых экспериментальных умений: умений пользоваться
приборами и инструментами, обрабатывать результаты измерений и делать выводы на
основе экспериментальных данных, соблюдать правила техники безопасности;
д) развитие познавательного интереса к физике и технике, творческих
способностей; формирование осознанных мотивов учения; подготовка к
сознательному выбору профессии на основе тесной связи обучения физике с жизнью.
Решение задач образования и развития школьников, подготовки их к труду
возможно лишь при условии усвоении ими основ физической науки. На это
направлена реализация принципа генерализации учебного материала, такого его
отбора и такой методики преподавания, при которых главное внимание уделено
изучению основных фактов, понятий, законов, теорий и методов физической науки,
обобщению широкого круга физических явлений на основе теории. Отсюда вытекает
повышение требований к умению учащихся применять основные положения науки для
самостоятельного объяснения физических явлений, результатов эксперимента,
действия приборов и установок.
В каждый раздел курса включен основной материал, глубокого и прочного
усвоения которого следует добиваться, не загружая память учащихся частными
фактами. Таким основным материалом для всего курса физики служат законы
сохранения (энергии, импульса, электрического заряда); для первой ступени
обучения физике — молекулярно-кинетические и электронные представления, понятия
массы, плотности, силы, энергии, законы Паскаля и Ома; для механики—идеи
относительности движения, законы Ньютона; для молекулярной физики — основные
положения молекулярно-кинетической теории, основное уравнение
молекулярно-кинетической теории идеального газа, первый закон термодинамики;
для электродинамики — учение об электромагнитном поле, электронная теория,
законы Кулона и Ампера, явление электромагнитной индукции; для квантовой физики
— квантовые свойства света, квантовые постулаты Бора, закон взаимосвязи массы и
энергии. В основной материал также входят важнейшие следствия из законов и
теорий, их практическое применение.
При изучении физических теорий, мировоззренческой интерпретации законов формируются
знания учащихся о современной научной картине мира. В содержании школьного
курса физики отражены теоретико-познавательные аспекты учебного материала —
границы применимости физических теорий и соотношения между теориями различной
степени общности, роль опыта в физике как источника
знаний и критерия правильности теорий, сведения из истории развития науки.
Воспитанию учащихся служат сведения о перспективах развития физики и
техники, о роли физики в ускорении научно-технического прогресса, из истории
развития науки (молекулярно-кинетической теории, учения о полях, взглядов на
природу света и строение вещества).
Физика рассматривается как фундамент естественнонаучного образования,
философии естествознания и научно-технического прогресса. Физика как наука
имеет своей предметной областью общие закономерности природы во всем
многообразии явлений окружающего нас мира. Характерные для современной науки
интеграционные тенденции привели к существенному расширению объекта
исследования по сравнению с физикой ХIХ века, включая
космические явления (астрофизика), некоторые явления живого мира и свойства
живых объектов (биофизика, молекулярная биология), информационные системы
(полупроводниковая, лазерная и криогенная техника как основа ЭВМ). Физика стала
не только теоретической основой современной техники, но и ее неотъемлемой
составной частью, они органически переплелись друг с другом. Энергетика (в
частности, ядерная и термоядерная), связь (лазеры, волоконная оптика) - это
создание материалов с заранее заданными свойствами и т.п. - убедительные
примеры взаимопроникновения физики и техники. Этим определяется образовательное
значение учебного предмета «Физика» и его содержательно-методические линии –
движение и силы, вещество, поле, энергия, методы научного познания.
В аспектном ракурсе физика рассматривает пространственно-временные формы
существования материи в двух видах – вещества и поля, фундаментальные законы
природы и современные физические теории, проблемы методологии
естественнонаучного познания.
В объектном ракурсе физика изучает различные уровни организации вещества:
микроскопический – элементарные частицы, атом и атомное ядро, молекулы;
макроскопический – газ, жидкость, твердое тело, плазма, космические объекты как
мегауровень. В объектном ракурсе изучаются также четыре типа взаимодействий
(гравитационное, электромагнитное, сильное, слабое). Свойства электромагнитного
поля (включая оптические явления), а также обширная область технических
применений физики (механизация, автоматизация, энергетика, полупроводниковая и
лазерная техника, обработка и передача информации и т.п.) и связанных с этим
экологических проблем.
В «послеспутниковый» период физика во всем мире стала частью не только
естественнонаучного, но и гуманитарного образования, стала парадигмой
современного научного мышления.
В школе физика должна рассматриваться как один из предметов, выполняющих
не только познавательную, но также развивающую и воспитывающую функцию. Этот
предмет необходим всем – естественникам и гуманитариям, так как содержит мощный
гуманитарный потенциал, имеющий непосредственное отношение к развитию мышления,
формированию мировоззрения, раскрытию целостной картины мира через основные
законы и принципы природы. Воспитанию эстетического чувства, развитию
духовности.
Закономерности психического развития детей требуют, чтобы при изучении
ими естественнонаучных предметов содержание знаний, их структура, принципы,
методы и формы обучения опирались на фундаментальные закономерности природы. Те
же закономерности психического развития детей показывают, что
естественнонаучное образование является базовым, оно необходимо для
направленного развития сознания и не может быть заменено другим[2].
В процессе преподавания важно научить школьников применять основные
положения науки для самостоятельного объяснения физических явлений, результатов
эксперимента, действия приборов и установок. Выделение основного материала в
каждом разделе курса физики помогает учителю обратить внимание учащихся на те
вопросы, которые они должны глубоко и прочно усвоить. Физический эксперимент
является органической частью школьного курса физики, важным методом обучения.
Решение основных учебно-воспитательных задач достигается на уроках
сочетанием разнообразных форм и методов обучения. Большое значение придается
самостоятельной работе учащихся: самостоятельному повторению и закреплению
основного теоретического материала, выполнению фронтальных лабораторных работ и
работ физического практикума, изучению некоторых практических приложений
физики, когда теория вопроса уже изучена, применению знаний в процессе решения
задач, обобщению и систематизации знаний. Следует уделять больше внимания на
уроке работе учащихся с книгой: учебником, справочной литературой, книгой для
чтения, хрестоматией и т. п. При работе с учебником необходимо формировать
умение выделять в тексте основной материал, видеть и понимать логические связи
внутри материала, объяснять изучаемые явления и процессы.
В старших классах рекомендуется проведение семинаров обобщающего
характера, например по таким темам: законы сохранения импульса и энергии и их
применение (IX класс); применение электрического тока в промышленности и
сельском хозяйстве (X класс); поле и вещество—два вида материи (XI класс) и др.
Решение физических задач должно проводиться в оптимальном сочетании с
другими методами обучения. На первой ступени обучения физике можно
ориентироваться на содержание и уровень сложности задач, данных в стабильном
учебнике; предпочтение отдается задачам в одно-два действия и качественным
задачам. На второй ступени большее значение приобретают задачи, в решении
которых используется несколько закономерностей; решение задач проводится, как
правило, сначала в общем виде.
Основной учебный материал должен быть усвоен учащимися на уроке. Это
требует от учителя постоянного продумывания методики проведения урока:
изложение нового материала в форме бесед или лекций (в старших классах),
выдвижение учебных проблем; широкое использование учебного эксперимента
(демонстрационные опыты, фронтальные лабораторные работы, в том числе и
кратковременные), самостоятельная работа учащихся. Необходимо совершенствовать
методы повторения и контроля знаний учащихся, с тем, чтобы основное время урока
было посвящено объяснению и закреплению нового материала. Все это способствует
решению ключевой проблемы — повышению эффективности урока физики.
Важное значение придается самостоятельному выполнению школьниками
учебного эксперимента. Число указанных в программе фронтальных лабораторных
работ, как и демонстраций, является обязательным. В зависимости от условий в
каждой школе учитель может заменить отдельные работы или демонстрации
равноценными. Учитель может увеличить число лабораторных работ за счет введения
кратковременных экспериментальных заданий. Проводя школьный физический
эксперимент, учитель обязан соблюдать правила техники безопасности,
утвержденные Министерством просвещении России.
При подготовке учащихся к проведению лабораторных работ дается понятие о
способах вычисления погрешностей измерений. В дальнейшем при выполнении
учащимися лабораторных работ следует развивать умения вычислять погрешности
измерений физических величин.
При отборе работ для физического практикума в каждом классе следует
обеспечить охват основных вопросов разных тем программы.
Домашнее задание служит, как правило, для закрепления уже изученного
материала, отработки соответствующих умений и навыков. Чтобы домашнее задание
не вызывало перегрузки школьников, его необходимо строго дозировать,
сопровождать четкими разъяснениями и указаниями (что запомнить, на какие
вопросы ответить, как заполнить таблицу и т.д.). Иногда полезно
дифференцировать объем и сложность домашних заданий с учетом индивидуальных
особенностей учащихся. Время выполнения домашних заданий определяется средними
нормами, установленными Министерством просвещения России для всех учебных
предметов[3].
Поиски новых путей в преподавании всегда были важной частью любой науки.
Преподавание, следуя развитию науки, должно непрерывно менять свои формы,
ломать традиции, искать новые формы. Однако в этом процессе необходимо
проявлять большую осторожность. Выдвигая новые технологии образования, нужно
постоянно помнить о требованиях к выпускнику лицея, к его конечным знаниям,
обеспечивающим беспроблемное поступления в любой ВУЗ, согласно выбранному
направлению в творчестве.
Известно изречение древних: «Лошадь можно подвести к воде, но нельзя
заставить ее пить». Эта истина весьма применима к процессу учения. Никакая
пылкая фантазия относительно формы проведения урока не сможет восполнить главного
– устремленности ученика к овладению знаниями. И ее нужно будить!
Неотъемлемым качеством всякого урока должны быть понятные всем ученикам в
классе конечная цель урока и путь ее достижения. Более того, каждый учащийся
должен заранее знать, на сколько уроков рассчитана изучаемая тема и каковы
будут требования учителя к конечному результату. При этом каждый предыдущий
урок должен быть средством, обеспечивающим следующего.
Эффективность учебно-воспитательного процесса зависит не только от
направленности и устремленности школьников, но от их познавательной
самостоятельности. Для этого всегда на уроке должно быть ясно, что они должны
делать, чтобы научиться. Иначе говоря, школьники должны всегда знать, что они
изучают, и владеть методами познания, т.е. прежде всего, иметь яркое
представление о самом этом процессе. А оно заключается в следующем: мы
наблюдаем явления природы. На основе сопоставления их между собой и известными
нам фактами у нас возникают проблемы. Для решения мы строим различные гипотезы;
эти гипотезы мы проверяем экспериментально – либо непосредственно, либо
косвенно – через вытекающие из них следствия; далее мы находим способы
использования изученных явлений. Центральным моментом в процессе научного
познания является выдвижение гипотезы. Это захватывающе интересно! Вот почему
школьники любят проблемное обучение. Дальнейшее совершенствование всей методики
обучения будет зависеть от того, насколько нам удастся расширить возможности
для познавательного творчества учащихся.
Одна из задач, которую мы ставим перед собой на уроке физики – углубление
внутрипредметных связей. Это требует некоторого пояснения.
В школьном курсе физики традиционно изучается такие разделы, как
механика, молекулярная физика, электродинамика, квантовая физика, сведения из
которых адаптированы к познавательным возможностям учащихся. При этом каждый из
разделов использует преимущественно «свой» понятийный аппарат, а качественное
рассмотрение многих физических явлений ограничивает возможности их повторения.
Вот и получается, что та глубокая внутренняя связь между объектами и процессами
материального мира, которая существует в природе, оказывается не очевидной для
учащихся, ускользает от их внимания.
Как же быть? Как, не перегружая программу и следуя логико-понятийному
содержанию учебника, более эффективно реализовать внутрипредметные связи курса
физики?
Это можно сделать в процессе адаптации учебного материала к
познавательным особенностям учащихся, используя разные методические приемы.
Один из них – систематическое соотнесение новых знаний с ранее
полученными в форме сравнения, логико-структурных схем, в которых не только
выделяются элементы знаний, но и отражаются отношения между ними.
Другое – решение комбинированных задач, в которых сочетаются знания из
различных разделов курса физики.
Широкие возможности для установления связей между пройденными разделами
открываются при изучении сквозных понятий физики (например, энергии) и
последовательном проведении через весь курс стержневых физических идей
(принципов относительности, соответствия, симметрии, законов сохранения).
Большое значения на уроке должно получить решение задач. Проблема с
которой сталкиваются традиционная методика решения учебной задачи, заключаются
в том, что ни содержание стандартных школьных задач, ни процесс их решения
обычно не вызывают у учеников познавательного интереса. Основными «стимулами» к
работе над задачами оказываются внешние факторы – требовательность учителя и
угроза наказания неудовлетворительной оценкой. Внутренние же побудительные
мотивы, как правило, отсутствуют.
Каким же образом разрешить противоречие между необходимостью работать над
стандартной учебной задачей и отсутствием познавательного интереса учеников к
такого рода деятельности?
Нам кажется, что первый шаг на этом нелегком пути – принятия постулата:
основная цель решения учебной физической задачи - познания. Тренировка,
отработка учебного материала, приобретение умения и навыков (в том числе умений
применять теоретические знания на практике), углубления понимания изучаемых
вопросов – элементы важные, но все же лишь сопутствующие достижению основной
цели – познанию.
Сформулированный выше постулат необходимо дополнить следующим
утверждением: интерес учеников на каждом этапе учения связан познанием.
Определим познание в контексте данного анализа как обнаружение существенно
нового и неизвестного ранее, представляющего для учащихся значимость в связи с
их предшествующими знаниями и представлениями, повседневным опытом, доступной
и известной им практикой. Имеется в виду познание не вообще, а личностное,
индивидуальное, т.е. открытие для себя идеи, закона, метода. Причем особый
акцент в учебной задаче должен делаться на выявление нового содержательного
факта, интеллектуально и практически интересного самого по себе или окрашенного
специально методическими средствами в привлекательный цвет, обличенного в
занимательную форму и т.д.
Сформулируем требования к постановке и решению учебной физической задачи,
обеспечивающие, согласно данной гипотезе, познавательный интерес учеников.
Задача, с этой точки зрения, должна иметь новизну (ситуативную и
содержательную), связь с практикой (в частности, с жизненным кругозором
учащихся), практическую ценность, исследовательский элемент, информативную
насыщенность, в работе над задачей должны использоваться методологически
корректные постановка и решение, анализ полученного результата должен быть
алгебраическим (функциональным), физическим, образным.
Главное действующее лицо на уроке - ученик! Причем, ученик,
самостоятельно «создающий» новые знания и применяющий их для решения задач.
Учитель при этом – организатор его деятельности. Разрабатывать такие уроки не
просто: необходимо знать логику получения новых знаний, указанных в
образовательной цели урока, адаптировать ее к лицейским условиям. Все это
требует много времени. Один из способов обойти эту трудность – планировать самостоятельную
познавательную деятельность лицеистов не для отдельного урока, а для всей темы.
Первый шаг в этом планировании – формулирование целей познавательной
деятельности учащихся. Для этого целесообразно вспомнить, что формулировка цели
любой деятельности должна удовлетворять следующему требованию: в ней должны
быть указаны вид деятельности, ее конечный продукт и его свойства.
Обобщая вышесказанное, можно предположить ориентиры при выстраивании целей
познавательной деятельности учащихся в определенной логической
последовательности:
*
анализируя текст учебника, устанавливаем каковы предметы изучения в
данной теме: физическое явление, объект, сущность явления (объекта) или группы
явлений (объектов);
*
составляем схемы деятельности на эмпирическом и теоретическом уровнях
познания применительно к ним;
*
решаем: на каком уровне целесообразно организовать познавательную
деятельность лицеистов; при этом учитываем:
а) имеющиеся у учеников данного класса занятия;
б) длительность получения знаний на каждом уровне;
в) степень сложности деятельности на том и другом
уровнях (выясняем какой путь проще);
г) наличие оборудования в физическом кабинете;
д) придумываем исходную ситуацию, выражаем
познавательную потребность, возникающую в данной ситуации, в виде вопроса,
формулируем цель познавательной деятельности, соответствующую этой
потребности.
Для реализации на уроках физики вышеперечисленных задач, педагогических
идей и инновации в своей деятельности мы руководствуемся следующими принципами,
осуществляем следующие подходы и формы работы:
·деятельностный подход в изучении
физики. Деятельность – это активное взаимодействие человека с окружающей
средой. Она играет решающую роль в становлении физических и духовных качеств личности.
Педагогами и психологами доказано: учебный процесс эффективен в отношении
усвоения знаний и умственного развития учащихся только тогда, когда он вызывает
и организует их собственную познавательную деятельность. Доказано и то, что
способности человека проявляются в деятельности, но главное в том, что они
создаются в ней.
Конечный продукт деятельности учителя на уроке – учащиеся, владеющие
определенными знаниями, умениями и обладающие определенными качествами
личности. Это общее представление о целях, но его надо конкретизировать.
Знание – это физические суждения, подлежащие усвоению. Их выделяют при
анализе содержания учебного материала. Они определяют образовательные цели
урока.
Для конкретизации умений мы используем технологию, основанную на том, что
в каждом продукте человеческой деятельности (материальном или идеальном)
заложено два вида деятельности: по его созданию и его применению. Так все
физические знания (понятия, законы, теории, научные факты) представляют собой
обобщения, которые в природе не существуют, а создаются людьми в ходе их
различной предметно-практической деятельности. Вместе с тем можно выделить виды
деятельности, в которых эти знания используются в качестве опорных, базовых.
Если каждое физическое суждение, сформулированное в образовательных целях
урока, отнести к тому или иному элементу физического знания, то это позволяет
определить виды деятельности, в которых это знание создано и применяется.
Они-то и есть те конкретные умения, которые могут быть сформированы у учащихся на
данном уроке.
·групповые формы работы. Многие
уроки новых типов, например, уроки-соревнования, дидактические игры,
путешествия, новые разновидности уроков традиционных типов (семинары, зачеты,
конференции и т.д.), целые системы преподавания, да и ряд отдельных приемов
обучения физике связаны с работой учеников в микро-коллективах – командах,
рядах, звеньях, группах, экипажах, экспедициях, парах и т.д. Обобщая опыт
многих педагогов-новаторов, следует отметить, что групповая деятельность
применяется с успехом и при ознакомлении с новым материалом, и при его
отработке и закреплении, и при решении задач, и на уроках–экскурсиях, и при
сдаче зачетов, и, конечно, во всех дидактических играх.
·развитие самостоятельности
учащихся. Формирование самостоятельности молодого поколения – важнейшая задача
школы. Она стала особенно актуальной в связи с расширением свобод и всякого
курса на построение демократического, правового государства.
Активных, инициативных, самостоятельных людей, обладающих чувством
сопричастности к происходящему в стране обновлению, ждут сейчас все отрасли
нашей экономики: они нужны в промышленности, науке, медицине, социально–бытовой
сфере. Все сознают, что лишь мыслящий, самостоятельный человек, воспитанный в
этом духе со школьной скамьи, способен противостоять жизненным проблемам. И все
прогрессивно настроенные учителя, в том числе и физики, конечно, понимают, что
они должны воспитывать в молодых людях эту самостоятельность и инициативу,
воспитывать на всех школьных занятиях.
Практический опыт предложил ряд хорошо зарекомендовавших себя путей
развития самостоятельности учащихся в процессе обучения физике.
Рис. 1 Развитие самостоятельности учащихся[4]
·индивидуализация и
дифференциация обучения. Мы понимаем, что ученический коллектив состоит не из людей
с равными способностями, едиными убеждениями, мыслями, а из отдельных
личностей, каждой из которых присущи психологические и нравственные
способности, свои интересы и склонности, свое видение действительности. И если
мы хотим прогрессивного развития нашего общества, то нужно обеспечить развитие
каждой входящей в него личности, применительно к школе это значит каждого его
ученика.
Дифференциация и индивидуализация обучения должны проводиться, но арсенал
их средств еще недостаточен и не отличается разнообразием. Предстоит активно
разрабатывать эту тему.
Анализируя сегодняшнее состояние преподавания физики, четко
прослеживается курс на развитие инициативы и самоуправления учащихся, их
творчества, гласности в преподавании, сотрудничества, свободы личности. Это в
своей совокупности позволяет нам утверждать, что в практике школьного
преподавания физики четко обозначена тенденция на расширение демократии. Ведь
демократия в переводе с греческого – народовластие – форма устройства общества,
основанная на признании народа в качестве источника власти, на принципах
равенства и свободы. Значит, применительно к школьной жизни она должна быть
связана с расширением и упрочнением школьного самоуправления и свободы
учеников, что неотделимо от развертывания инициативы, творчества, гласности,
раскрепощения личности.
Основы молекулярно-кинетической теории строения вещества и идеальный газ
изучаются в 10 классе средней школы. Покажем основные темы, изучаемые в этом
аспекте.
Основные положения МКТ
Основные положения молекулярно-кинетической теории (МКТ), ее опытное
обоснование. Понятие атома и молекулы, их размеры. Относительная молекулярная
(атомная) масса, молярная масса, связь между ними. Количество вещества и
единица его измерения. Постоянная Авогадро. Особенности сил взаимодействия
между частицами, зависимость этих сил от расстояния между частицами,
графическое изображение этой зависимости. Характер движения частиц в газах,
жидкостях и твердых телах. Причины и особенности броуновского движения и
диффузии.
Понятие о статистическом и термодинамическом методах в молекулярной
физике. Тепловое равновесие. Шкала температур Цельсия. Ознакомление со шкалами
Фаренгейта и Реомюра.
Идеальный газ. Основное уравнение МКТ идеального газа
Модель идеального газа, макро- и микропараметры, характеризующие газ.
Средняя скорость и средняя квадратичная скорость движения молекул. Вывод
основного уравнения МКТ идеального газа. Тепловое равновесие, понятие
температуры, методы ее измерения. Связь абсолютной температуры и температуры по
шкале Цельсия. Абсолютный нуль. Связь средней кинетической энергии
поступательного движения молекулы с температурой.
Изопроцессы идеального газа
Изопроцессы идеального газа: изотермический, изохорный, изобарный.
Законы, описывающие их, опыты, подтверждающие эти законы. Объяснение законов с
точки зрения МКТ. Границы применимости газовых законов.
Графики изопроцессов идеального газа
Графическое представление изотермического, изобарного и изохорного
процессов в координатах (p,V), (p,T), (V,T).
Уравнение состояния идеального газа
Вывод уравнения состояния идеального газа (уравнение
Менделеева-Клапейрона). Применение уравнения состояния к различным процессам.
Реальные газы
Реальные газы. Уравнение Ван-дер-Ваальса (без вывода). Средняя длина
свободного пробега.
Критерии оценок:
Оценка «5» ставится в том случае, если учащийся:
·
обнаруживает верное понимание физической сущности рассматриваемых
явлений и закономерностей, законов и теорий, дает точное определение и
истолкование основных понятий, законов, теорий, а также правильное определение
физических величин, их единиц и способов измерения;
·
правильно выполняет чертежи, схемы и графики, сопутствующие
ответу;
·
строит ответ по собственному плану, сопровождает рассказ новыми
примерами, умеет применить знания в новой ситуации при выполнении практических
заданий;
·
может установить связь между изучаемым и ранее изученным
материалом по курсу физики, а также с материалом, усвоенным при изучении других
предметов.
Оценка «4» ставится, если:
·
ответ удовлетворяет основным требованиям к ответу на оценку «5»,
но учащийся не использует собственный план ответа, новые примеры, не применяет
знания в новой ситуации, не использует связи с ранее изученным материалом или с
усвоенным при изучении других предметов.
Оценка «3» ставится, если:
·
большая часть ответа удовлетворяет требованиям к ответу на оценку
«4», но в ответе обнаруживаются отдельные пробелы, не препятствующие
дальнейшему усвоению программного материала;
·
учащийся умеет применять полученные знания при решении простых
задач с использованием готовых формул.
Оценка «2» ставится, если учащийся не овладел основными знаниями и
умениями в соответствии с требованиями программы.
Оценка «1» ставится, если ученик не может ответить ни на один из
поставленных вопросов.
Критерии оценок знаний по физике.
Что должен знать учащийся, изучая физику по стандарту:
А) фундаментальные законы физики, производные законы и их вывод,
физические величины, процессы, понятия,
Б) единицы измерения физических величин, их перевод,
В) процессы, протекающие в природе.
Что должен уметь учащийся, изучая физику:
А) должен уметь применять законы для решения практических задач,
графических задач, аналитических задач, творческих, оценочных, поисковых
заданий,
Б) уметь описывать процессы, используя законы физики,
В) уметь переводить единицы измерения из одной системы в другую.
Какие навыки должен приобрести учащийся, изучая физику:
А) уметь собрать цепь по заданной схеме,
Б) знать физические приборы, принцип их действия,
В) уметь анализировать результаты эксперимента, оценивать их достоверность.
Критерии оценок.
Учащийся получает отличную оценку, если он владеет всем изученным курсом
физики, знает все законы физики, определения и суть физических величин, умеет
использовать законы физики для решения графических, качественных, простых и сложных
задач. Умеет по описанию выполнить эксперимент, получить результат и оценить
его достоверность.
Учащийся получает хорошую оценку, если он знает основные законы физики,
может использовать их для решения графических, качественных и простых
аналитических задач, может по описанию выполнить эксперимент, оценить
результат.
Учащийся получает удовлетворительную оценку, если он знает основные
законы физики, может использовать их для описания простейших задач. Учащийся
должен уметь провести по описанию эксперимент и получить результат[5].
Календарно – тематический план преподавателя является обязательным
документом, способствующим организации учебного процесса по дисциплине,
обеспечивающим методически правильное планирование выполнения учебной программы
в строгой последовательности и увязке со смежными дисциплинами.
Хорошо продуманный и своевременно составленный календарно-тематический
план помогает заблаговременно подготовить к занятиям необходимые наглядные
пособия, правильно спланировать проведение лабораторных и практических работ,
экскурсий и т.п.
Наличие календарно-тематического плана дает возможность осуществлять
систематический контроль со стороны учебной части и предметной цикловой
комиссии за ходом выполнения программы и равномерной загрузкой студентов.
При составлении календарно-тематических планов необходимо учесть
следующее:
В графе 1 «№ занятий» последовательно проставляются номера занятий,
которые должны соответствовать занятиям, зафиксированным в журнале учебных
занятий по соответствующей дисциплине.
В графе 2 «Календарные сроки изучения тем» обозначаются расчетные сроки
изучения разделов и тем, по месяцам, например: «сентябрь», «октябрь» т.д. или
номера недель.
В графе 3 «Наименование разделов и тем» последовательно планируется весь
материал программы, распределенный по темам, а если тема велика – по узловым
вопросам, рассчитанным на 2-6 часов;
В графе 4 «Количество часов на тему» определяется количество часов,
которые необходимо затратить на усвоение соответствующих дидактических единиц.
Заполнение 3-й и 4-й граф производится после тщательного анализа
программы, с учетом опыта, накопленного преподавателем.
В этих же графах следует предусмотреть и повторение учебного материала по
темам и разделам, письменную проверку знаний студентов, контрольные работы.
В графе 5 указывается вид занятий: урок-лекция, семинар, практическое
занятие, лабораторная работа, самостоятельная работа, консультация, курсовое
проектирование, экскурсия., конференция, диспут, деловая игра, решение
производственных ситуаций и др.
При установлении вида занятий «урок» обязательно планируется тип урока и
проставляется в той же графе: урок изучения нового материала; урок
комбинированный; урок повторения и обобщения знаний; урок проверки знаний,
умений, навыков.
Графа 6 должна содержать обязательный минимум наглядных пособий, которые
необходимо продемонстрировать на занятиях по данной теме.
При непосредственной подготовке к занятиям преподаватель может корректировать
и дополнять содержание 5-6 граф.
В графе 7 «Задания для самостоятельной работы студентов» по каждой теме
определяется содержание и объем материала для самостоятельной работы студентов
дома. Регламентация заданий на дом создает возможность обеспечивать
рациональную загрузку студентов, сократить сроки.
Календарно-тематический план составляется на семестр, рассматривается на
заседании предметной цикловой комиссии и утверждается заместителем директора по
учебно-воспитательной работе.
Все коррективы, которые необходимо внести в календарно-тематический план
(в связи с учетом достижений науки и техники, изменений теоретических
положений), должны быть обсуждены в предметной цикловой комиссии.
Таблица 1 – Примерный календарно-тематический план
изучения МКТ идеального газа[6]
|
№
|
Календарные
сроки изучения темы
|
Наименование
разделов и тем и краткое содержание занятия
|
Кол-во
часов
|
|
1
|
2
|
3
|
4
|
|
1
|
1
|
Введение.
Физика – наука о природе. Физика и техника. Единицы физических величин.
Физическая картина мира. Строение вселенной и солнечной системы.
|
2
|
|
2
|
1
|
Лабораторная
работа №1 «Изучение звездного неба с помощью подвижной карты».
|
2
|
|
2*
|
1
|
Лабораторная
работа №1
|
2
|
|
|
Раздел
1. Основы молекулярной физики и термодинамики.
|
|
|
|
Тема
1.1 Основы МКТ.
|
|
|
3
|
2
|
Основные
положения МКТ. Силы и энергия молекулярного воздействия. Характеристика
агрегатного состояния веществ. Скорости молекул. Опыт Штерна. Распределение
молекул по скоростям. Размеры и массы молекул и атомов. Относительная
молекулярная масса 1.а.е.м. Число Авогадро, единица количества вещества
«моль». Решение задач.
|
2
|
|
4
|
2
|
Идеальный
газ. Давление газа. Длина свободного пробега. Понятие вакуума. Межзвездный
газ. Основное уравнение МКТ идеального газа. Температура, ее измерение.
Термодинамическая температура и средняя кинетическая энергия теплового
движения молекул. Решение задач.
|
2
|
|
5
|
2
|
Вывод
уравнения Менделеева - Клапейрона из основного уравнения МКТ. Вывод газовых
законов; изопроцессы, уравнения и графики. Термодинамическая шкала
температур. Связь t0С с К.
Решение задач.
|
2
|
|
6
|
3
|
Лабораторная
работа № 2 «Проверка объединенного газового закона»
|
2
|
|
6*
|
3
|
Лабораторная
работа № 2
|
2
|
Открытие закона сохранения энергии способствовало развитию двух качественно
различных, но взаимно дополняющих методов исследования тепловых явлений и
свойств макросистем: термодинамического и статистического
(молекулярно-кинетического). Первый из них лежит в основе термодинамики, второй
— молекулярной физики.
Одновременно с созданием термодинамических методов исследования
развивались и корпускулярные представления тепловых свойств макросистем, в
соответствии с которыми ставилась задача объяснения всех процессов,
происходящих с макросистемами, на основе предположения о том, что вещество
состоит из атомов или молекул, движение которых подчиняется законам Ньютона.
К концу XIX в. была создана последовательная теория поведения больших
общностей атомов и молекул — молекулярно-кинетическая теория, или статистическая
механика. Многочисленными опытами была доказана справедливость этой
теории.
Процессы, изучаемые молекулярной физикой, являются результатом
совокупного действия огромного числа молекул. Поведение громадного числа
молекул анализируется с помощью статистического метода, который основан на том,
что свойства макроскопической системы в конечном результате определяются
свойствами частиц систем, особенностями их движения и усредненными значениями
кинетических и динамических характеристик этих частиц (скорости, энергии,
давления и т. д.). Например, температура тела определяется скоростью
беспорядочного движения его молекул, но так как в любой момент времени разные
молекулы имеют различные скорости, то она может быть выражена только через
среднее значение скорости движения молекул. Нельзя говорить о температуре одной
молекулы. Макроскопические характеристики тел имеют физический смысл лишь в
случае большого числа молекул.
В настоящее время в науке и технике широко используются как
термодинамические, так и статистические методы описания свойств микросистемы.
В основе молекулярно-кинетических представлений о строении и свойствах
макросистем лежат три положения:
•любое тело — твердое, жидкое или газообразное — состоит из большого
числа весьма малых частиц — молекул (атомы можно рассматривать как одноатомные
молекулы);
•молекулы всякого вещества находятся в беспорядочном, хаотическом, не
имеющем какого-либо преимущественного направления движении;
•интенсивность движения молекул зависит от температуры вещества.
Тепловые процессы связаны со строением вещества и его внутренней
структурой. Например, нагревание кусочка парафина на несколько десятков
градусов превращает его в жидкость, а такое же нагревание металлического
стержня заметно не влияет на него. Такое различное действие нагревания связано
с различием во внутреннем строении этих веществ. Поэтому исследование тепловых
явлений можно использовать для выяснения общей картины строения вещества. И,
наоборот, определенные представления о строении вещества помогают понять
физическую сущность тепловых явлений, дать им глубокое наглядное истолкование.
Свойства и поведение макросистем, начиная от разреженных газов верхних
слоев атмосферы и кончая твердыми телами на Земле, а также сверхтвердыми ядрами
планет и звезд, определяются движением и взаимодействием друг с другом частиц,
из которых состоят все тела: молекул, атомов, элементарных частиц.
Непосредственным доказательством существования хаотического движения
молекул служит броуновское движение, которое заключается в том, что весьма
малые (видимые только в микроскоп) взвешенные в жидкости частицы всегда
находятся в состоянии непрерывного, беспорядочного движения, не зависящего от
внешних причин, и оказывается проявлением внутреннего движения, совершаемого
под влиянием беспорядочных ударов молекул.
Количественным воплощением молекулярно-кинетических представлений служат
опытные газовые законы (Бойля— Мариотта, Гей-Люссака, Авогадро, Дальтона),
уравнение Клапейрона—Менделеева (уравнение состояния), основное уравнение
кинетической теории идеальных газов, закон Максвелла для распределения молекул
и др.
Первое положение молекулярно-кинетических представлений — любое тело
состоит из большого числа весьма малых частиц-молекул — доказано
многочисленными опытами, одновременно подтвердившими реальное существование
молекул и атомов[7].
Физика применяет статистический метод либо по причине неполноты
информации о множестве объектов (статистическая физика, описывающая системы,
состоящие из большого числа частиц), либо из-за неопределенности, присущей
каждому отдельному микрообъекту (квантовая механика). Но в любом случае физик
может вычислить вероятность того или иного состояния изучаемого объекта после
определенного внешнего воздействия на него, причем вычислить на основе
определенной теоретической модели.
Статистическая физика (статистическая механика) – раздел физики,
изучающий свойства макроскопических тел как систем из очень большого числа
частиц (молекул, атомов, электронов). В статистической физике применяют
статистические методы, основанные на теории вероятностей. Статистическую физику
разделяют на статистическую термодинамику, исследующую системы в состояниях
статистического равновесия, и кинетику физическую, или неравновесную
статистическую термодинамику, изучающую неравновесные процессы. Статистическая
физика, основанная на законах квантовой механики, называется квантовой
статистикой. Основные задачи статистической физики – вычисление наблюдаемых
макроскопических величин, характеризующих систему, на основе закона движения
составляющих ее частиц; в случае статистического равновесия – вычисление термодинамических
потенциалов (свободной энергии, давления и др.) в зависимости от температуры и
др. параметров, в неравновесном случае – получение уравнений, описывающих
неравновесные процессы. Статистическая физика – основа теории газов, жидкостей
и твердых тел, имеет широкую область применения[8].
В последнее время статистические теории явлений и процессов, основанные
на существовании неопределенностей, характеризующих состояния объектов,
входящих в состав изучаемых систем, стали называть стохастическими теориями.
Теоретическая модель, лежащая в основе, их создания принципиально отличается от
динамических моделей однозначно детерминированных теорий. Поэтому можно
говорить о смене теоретической модели проектирования и становлении
стохастической парадигмы, отдающей приоритет вероятностному моделированию всех
явлений окружающего нас мира. Технологии, основанные на стохастических теориях,
разумно назвать стохастическими технологиями.
Физические тела обладают свойствами и характеристиками, которые были
несущественны при описании механического движения и в механике в расчет не
принимались.
Молекулярная физика на основе представлений об атомно-молекулярном
строении материи, о характере движения атомов и молекул и на основе сил, действующих
между этими частицами, описывает макроскопические свойства вещества в различных
физических состояниях, а также закономерности перехода вещества из одного
состояние в другое.
Молекулярная физика не изучает строение молекул и атомов. Этот вопрос изучается
в физической химии, в атомной физике и оптике. Молекулярная физика не
рассматривает также строение атомных ядер и элементарных частиц: это предмет
ядерной физики и физики элементарных частиц.
К настоящему времени в физической науке, в частности, в молекулярной
физике, используется две принципиально различных метода исследования и
объяснения методов явлений, связанных с изменением свойств физических тел:
макроскопический и микрофизический.
Микроскопический (термодинамический, феноменологический) метод базируется
на изучении свойств макроскопических тел без учета их структуры (внутреннего
строения), но путем анализа качественных и количественных соотношений,
связанных с преобразованиями энергии. По своей сути, этот метод является
энергетическим. Важнейшую роль в термодинамическом методе исследования играют
закон сохранение энергии и опытные факты, которые вытекают из наблюдений,
экспериментов, измерений с помощью макроприборов, которые проводятся по
отношению к макросистемам.
Цель микрофизического метода исследования заключается в более глубоком
исследовании свойств вещества исходя из представлений о его внутреннем
строении. При таком описании явлений необходимо использовать представление о
движении (кинетика) и взаимодействии частиц, составляющих вещество (атомов,
молекул). По своей сути, микрофизический метод является
молекулярно-кинетическим методом. При молекулярно-кинетическом описании явлений
в молекулярной физике предполагается, что все частицы, составляющие
макросистему, движутся по законам классической механики, но число таких частиц
очень велико, и поэтому невозможно написать систему дифференциальных уравнений,
описывающих движение такого количества частиц. Невозможно и пытаться решить
такую систему уравнений. Поэтому весьма проблематично пытаться оценить
траекторию, характер движения частиц, у которых скорости в пространстве и во
времени меняются случайным образом.
Для решения такой проблемы молекулярной физики привлекают методы теории
вероятности и математической статистики. Поэтому все физические характеристики,
которые вытекают из такого исследования, играют роль усредненных по большому
числу молекул величин (например, температура, давление, энергия).
Макроскопические и микроскопические методы описания явлений в
молекулярной физике взаимно дополняют друг друга: невозможно излагать вопросы
молекулярной физики, не обращаясь к понятиям и терминологии термодинамики, в то
же время, термодинамические процессы нельзя описывать без учета
атомно-молекулярных движений и взаимодействия частиц. Вопросы МФ и ТД очень
сложно интерпретировать без знания законов статистической физики (СФ).
Таким образом, соединение всех этих методов исследования позволило
продуктивно решать обильный круг проблем: строение вещества в различных
агрегатных состояниях (твердом, жидком, газообразном), вопросы изменения
структуры при переходах вещества из одной термодинамической фазы в другую, а
также в результатеизменения внешних физических факторов (давление, температура,
электрическое и магнитное поле и т.д.). Соединение указанных методов позволило
на количественном и на качественном уровнях описать явления переноса (диффузия,
теплопроводность, внутреннее трение). Кроме того, успешно описываются
кристаллическое состояние вещества, образование полимеров, явления,
происходящие на границе раздела жидкостей, твердых тел и газов. Развитие МФ
привело к выделению из нее самостоятельных разделов науки – таких,
какфизическая кинетика, физика твердого тела, физическая химия, молекулярная
биология, физика металлов, физика полимеров, физика плазмы, кристаллофизика,
физико-химия дисперсных частиц и поверхностных явлений, физико-химическая
механика.
При всем различии объектов и методов исследования, применяемых в
указанных разделах науки, имеет место главная идея: исследование
микроскопических свойств молекулярных систем основывается на микроскопическом
(то есть молекулярном) представлении о материи[9].
Согласно молекулярно-кинетической теории все вещества состоят
из мельчайших частиц – молекул. Молекулы разделены промежутками, находятся в
непрерывном движении и взаимодействуют между собой. Молекула – наименьшая частица
вещества, обладающая его химическими свойствами. Молекулы состоят из более
простых частиц – атомов химических элементов. Молекулы различных веществ имеют
различный атомный состав.
Молекулы обладают кинетической энергией Wкин и одновременно
потенциальной энергией взаимодействия Wпот. В газообразном состоянии
Wкин >> Wпот. В жидком и твердом состояниях
кинетическая энергия частиц сравнима с энергией их взаимодействия (Wкин
Wпот).
Поясним три основных положения молекулярно – кинетической теории.
1.
Все вещества состоят из молекул, т.е. имеют дискретное строение,
молекулы разделены промежутками.
2.
Молекулы находятся в непрерывном беспорядочном (хаотическом) движении.
3.
Между молекулами тела существуют силы взаимодействия.
Молекулярно-кинетическая теория обосновывается многочисленными опытами и
огромным количеством физических явлений.
Существование молекул блестяще подтверждается законом кратных отношений.
Он гласит: «при образовании из двух элементов различных соединений (веществ)
массы одного из элементов в разных соединениях относятся как целые числа, т.е.
находятся в кратных отношениях». Например, азот и кислород дают пять
соединений: N2O, N2O2, N2O3,
N2O4, N2O5. В них с одним и тем же
количеством азота кислород вступает в соединение в количествах, находящихся
между собой в кратных отношениях 1:2:3:4:5. Закон кратных отношений легко
объяснить. Всякое вещество состоит из одинаковых молекул, имеющих
соответствующий атомный состав. Так как все молекулы данного вещества
одинаковы, то отношение весовых количеств простых элементов, входящих в состав
всего тела, такое же, как и в отдельной молекуле, и, значит, является кратным атомных
весов, что и подтверждается опытом.
Наличие промежутков между молекулами следует, например из опытов смещения
различных жидкостей: объем смеси всегда меньше суммы объемов смешанных
жидкостей.
Приведем некоторые из доказательств беспорядочного (хаотического)
движения молекул:
а) стремление газа занять весь предоставленный ему объем (распространение
пахучего газа по всему помещению);
б) броуновское движение – беспорядочное движение мельчайших видимых в
микроскоп частиц вещества, находящихся во взвешенном состоянии и нерастворимых
в ней. Это движение происходит под действием беспорядочных ударов молекул,
окружающей жидкости, находящихся в постоянном хаотическом движении;
в) диффузия – взаимное проникновение молекул соприкасающихся веществ. При
диффузии молекулы одного тела, находясь в непрерывном движении, проникают в
промежутки между молекулами другого соприкасающегося с ним тела и
распространяются между ними. Диффузия проявляется во всех телах – в газах,
жидкостях и твердых телах, - но в разной степени.
Диффузию в газах можно наблюдать если сосуд с пахучим газом открыть в
помещении. Через некоторое время газ распространится по всему помещению.
Диффузия в жидкостях происходит значительно медленнее, чем в газах.
Например, в стакан нальем раствор медного купороса, а затем, очень осторожно
добавим слой воды и оставим стакан в помещении с постоянной температурой и где
он не подвергается сотрясениям. Через некоторое время будем наблюдать
исчезновение резкой границы между купоросом и водой, а через несколько дней
жидкости перемешаются, несмотря на то, что плотность купороса больше плотности
воды. Так же диффундирует вода со спиртом и прочие жидкости.
Диффузия в твердых телах происходит еще медленнее, чем в жикостях (от
нескольких часов до нескольких лет). Она может наблюдаться только в хорошо
пришлифованных телах когда расстояния между поверхностями пришлифованных тел
близки к расстояниям между молекулами (10-8 см). При этом скорость
диффузии увеличивается при повышении температуры и давления.
Разновидностью диффузии является ОСМОС – проникновение жидкостей и
растворов через пористую перегородку. Диффузия и осмос играют большую роль в
природе и технике. В природе благодаря диффузии осуществляется питание растений
из почвы. Организм человека и животных всасывает через стенки пищеварительного
тракта питательные вещества. В технике с помощью диффузии поверхностный слой
металлических изделий насыщается углеродом (цементация).
Доказательства силового взаимодействия молекул:
а) деформация тел под влиянием силового воздействия;
б) сохранение формы твердыми телами;
в) поверхностное натяжение жидкостей и, как следствие, явление смачивания
и капиллярности.
Между молекулами существуют одновременно силы притяжения и силы
отталкивания (рис. 2). При малых расстояниях между молекулами преобладают силы
отталкивания. По мере увеличения расстояния r между молекулами как силы
притяжения, так и силы отталкивания убывают, причем силы отталкивания убывают
быстрее. Поэтому при некотором значении r0 (расстояние между
молекулами) силы притяжения и силы отталкивания взаимно уравновешиваются.
Рис. 2
Если условиться отталкивающим силам приписывать положительный знак, а
силам притяжения – отрицательный и произвести алгебраическое сложение сил
отталкивания и притяжения, то получаем график, изображенный на рис. 3.

Рис. 3 Рис. 4
На рис. 3 дан график зависимости потенциальной энергии взаимодействия
молекул от расстояния между ними. Расстояние r0 между молекулами
соответствует минимуму их потенциальной энергии (рис. 3). Для изменения
расстояния между молекулами в ту или другую сторону требуется затратить работу
против преобладающих сил притяжения или отталкивания. На меньших расстояниях
(рис. 3) кривая круто поднимается вверх; эта область соответствует сильному
отталкиванию молекул (обусловленному главным образом кулоновским отталкиванием
сближающихся ядер). На больших расстояниях молекулы притягиваются. Расстояние r0
соответствует устойчивому равновесному взаимному положению молекул. Из рис. 3
видно, что при увеличении расстояния между молекулами, преобладающие силы
притяжения восстанавливают равновесное положение, а при уменьшении расстояние
между ними равновесие восстанавливается преобладающими силами отталкивания.
Современные экспериментальные методы физики (рентгеноструктурный анализ,
наблюдения с помощью электронного микроскопа и др.) позволили наблюдать
микроструктуру веществ.
Число граммов вещества, равное молекулярному весу этого
вещества, называется грамм-молекулой или молем. Например, 2 г
водорода составляет грамм-молекулу водорода; 32 г кислорода составляют
грамм-молекулу кислорода. Масса одного моля вещества называется молярной
массой этого вещества. Обозначается через m. Для водорода
; для кислорода
; для азота
и т.д.
Число молекул, содержащихся в одном моле разных веществ одинаково
и называется числом Авогадро (NA).
. Число Авогадро чрезвычайно велико. Чтобы
почувствовать его колоссальность, можно представить, что в Черное море высыпали
число булавочных головок (диаметр каждой около 1 мм), равное числу Авогадро.
При этом оказалось бы, что в Черном море уже не остается места для воды: оно не
только до краев, но и большим избытком оказалось бы заполненным этими
булавочными головками. Авогадровым числом булавочных головок можно было бы
засыпать площадь, равную, например, территории Франции, слоем толщиной около 1
км. И такое огромное число отдельных молекул содержится всего лишь в 18 г воды;
в 2 г водорода и т.д.
Установлено, что в 1 см3 любого газа при нормальных условиях
(т.е. при 00С и давлении 760 мм. рт. ст.) содержится 2,71019
молекул.
Кинетическая теория газов позволяет вычислить лишь длину свободного
пробега молекулы газа (т.е. среднее расстояние, которое проходит молекула от
столкновения до столкновения с другими молекулами) и диаметр молекулы.
Приводим некоторые результаты этих вычислений.
|
Вещество
|
Длина
свободного пробега при 760 мм.рт.ст.
|
Диаметр
молекулы
|
|
Водород
Н2
|
1,12310-5
см
|
2,310-8
см
|
|
Кислород
О2
|
0,64710-5
см
|
2,910-8
см
|
|
Азот
N2
|
0,59910-5
см
|
3,110-8
см
|
Диаметры отдельных молекул – величины малые. При увеличении в миллион раз
молекулы были бы величиной с точку типографского шрифта этой книжки. Обозначим
через m – массу газа (любого вещества). Тогда отношение
дает число молей газа.
Число молекул газа n можно выразить:
(1)
Число молекул в единице объема n0 будет равно:
(2)
где: V – объем газа.
Массу одной молекулы m0 можно определить по формуле:
. (3)
Относительной массой молекулы mотн называется величина, равная
отношению абсолютной массы молекулы m0 к
массы атома углерода moc.
, (4)
где moc = 210-26 кг.
Рассмотрим систему, состоящую из очень большого числа молекул n.
Например, такой системой может быть газ.
В данный момент времени каждая молекула газа имеет свою энергию,
скорость, направление движения, определенную массу и размеры. Величины, которые
определяют поведение одной частицы в системе, носят название микропараметров.
Микропараметры одной частицы могут меняться без внешних воздействий на систему.
Например, скорости молекул газа могут непрерывно изменяться за счет
столкновений между ними.
Величины, которые изменяются за счет внешних воздействий на систему,
называются макропараметрами. К ним относятся: объем V, давление Р, температура
Т.
Объем V – это область пространства, занимаемая телом. В Си измеряется в м3.
1 л = 10-3 м3.
Давление Р – скалярная физическая величина, характеризующая распределение
силы по поверхности и равная проекции силы на направление нормали к площадке,
на которую сила действует, и отнесенная к единице этой площади. При равномерном
распределении силы
по
плоской поверхности площадью S давление равно
, где Fn – проекция силы
на нормаль к площади S. В Си
единица давления – Паскаль = Па =
. Внесистемная единица – мм.рт.ст. Нормальное
давление равно одной физической атмосфере. 1 физическая атмосфера = 1 атм = 760
мм.рт.ст, 1 техническая атмосфера = 1 ат = 736 мм.рт.ст.
.
Температура Т – параметр состояния, характеризующий степень нагретости
тела и связанный с понятием теплового равновесия. Два тела, изолированные от
окружающих тел, но имеющие возможность обмениваться энергией друг с другом, находятся
в тепловом равновесии, если их термодинамические состояния не изменяются со
временем. Телам, находящимся в тепловом равновесии друг с другом, приписывается
одна и та же температура. Различают термодинамическую (абсолютную) температуру
ТК и температуру Цельсия t0C. Связь между ними:
. Абсолютную температуру в Си
измеряют в градусах по шкале Кельвина.
Если два тела находятся в тепловом равновесии, то средние значения
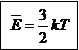
кинетической энергии поступательного движения
частиц этих тел будут одинаковы.
Известно, что
=
(для одной частицы), (5)
где k – постоянная Больцмана;
. Из формулы (5) следует:
. (6)
Таким образом, термодинамическая температура с молекулярно-кинетической
точки зрения – физическая величина, характеризующая интенсивность хаотического,
теплового движения всей совокупности частиц системы и пропорциональная средней
кинетической энергии поступательного движения одной частицы.
Необходимо обратить внимание:
1) из (6) следует, что при
= 0 и Т = 0;
2) температура, при которой прекращается хаотическое движение частиц
тела, называется абсолютным нулем. При Т = 0 прекращается только тепловое
движение. Другие (нетепловые) формы движения будут наблюдаться и при абсолютном
нуле.
Газ называют идеальным, если:
1) собственный объем молекул газа пренебрежимо мал по сравнению с объемом
сосуда;
2) между молекулами газа отсутствуют силы взаимодействия;
3) столкновения молекул газа со стенками сосуда абсолютно упругие.
Реальные газы (например, кислород и гелий) в условиях, близких к
нормальным, а также при низких давлениях и высоких температурах близки к
идеальным газам. Частицы идеального газа в промежутках между столкновениями
движутся равномерно и прямолинейно. Давление газа на стенки сосуда можно
рассматривать как ряд быстро следующих ударов газовых молекул о стенку.
Рассмотрим, как вычислить давление, вызванное отдельными ударами. Представим
себе, что по некоторой поверхности происходит ряд отдельных и частых ударов.
Найдем такую среднюю постоянную силу <F>, которая, действуя в течение
времени t, за которое происходили отдельные удары, произведет такое же
действие, как и все эти удары в своей совокупности. В таком случае импульс этой
средней силы за время t должен равняться сумме импульсов всех тех ударов,
которые получила поверхность за это время, т.е.
, где t1,
t2, t3 ... tn - время взаимодействия первой,
второй, ..., n-й молекул со стенкой (т.е. длительность удара); f1, f2,
f3 ... fn - силы удара молекул о стенку. Из этой формулы
следует, что
. (7)
Средняя сила давления, вызванная рядом отдельных ударов о некоторую
поверхность, численно равна сумме импульсов всех ударов, полученных этой
поверхностью за единицу времени.
Найдем среднюю силу давления <F>, возникающую вследствие ударов
газовых молекул о стенки сосуда. Имеем сосуд в форме куба (рис. 5) с длиной
ребра l, в котором движется n молекул, причем масса каждой молекулы
равна m0. В результате хаотического движения молекул можно
утверждать, что результат их ударов о стенки будет такой же, как будто 1/3 все
молекул движется вдоль оси X, ударяя в правую и левую грани, 1/3 - движется
вдоль оси Y, ударяя в переднюю и заднюю грани, а 1/3 - вдоль оси Z, ударяя в
верхнюю и нижнюю грани.
Рис. 5
Найдем импульс силы, от удара одной (первой) молекулы по правой грани
куба. Пусть молекула движется со скоростью
вдоль оси X. При упругом ударе о грань она
отталкивается с такой же по модулю скоростью, но с обратным знаком. Импульс
молекулы до удара
, а
после удара равен
.
Изменение импульса молекулы за один удар о грань равно
. Подсчитаем число ударов, сделанных молекулой
о грань за единицу времени (t = 1 с). От удара до следующего удара об одну и ту
же грань молекула пролетает вдоль оси Х расстояние, равное удвоенной длине
ребра куба 2l, т.к. ей надо пролететь до противоположной грани и
вернуться обратно. За одну секунду молекула произведет
ударов. Изменение импульса молекулы за все
удары (за 1 сек) можно найти как
. Импульс силы f1t1,
полученный молекулой от грани за все удары в течение секунды, равен изменению
ее импульса, т.е.
.
Такой же импульс получила грань от ударов молекулы. Обозначим число молекул,
движущихся вдоль оси Х, через
.
Аналогично, различные молекулы, двигаясь с другими скоростями
сообщают грани импульсы
,
, ...
. Согласно формуле (7) сумма импульсов ударов
всех молекул за единицу времени равна средней силе давления:
или
. (8)
Умножим и разделим правую часть равенства (8) на n'. Тогда
получим:
. (9)
Сумма квадратов скоростей движущихся молекул деленная на их число равна
квадрату средней квадратичной скорости <c>2 движения молекул,
т.е.:
. (10)
Используя выражение (10), формулу (9) запишем в виде:
или, учитывая, что (11)
Давление газа р определяется силой, действующей на единицу площади
(площадь грани куба с ребром l равна l2).
или, используя
формулу (11) запишем:
.
Объем куба V = l3. Такой же объем занимает газ. Поэтому:
(12)
Формула (12) есть основное уравнение молекулярно-кинетической теории
идеального газа для давления. Сделанный вывод для сосуда в форме куба
оказывается справедливым для сосуда любой формы.
Уравнение (12) можно записать иначе. Отношение
(число молекул в единице объема или
концентрация молекул). Умножим и разделим правую часть равенства (12) на 2.
Тогда получим:
.
Величина
- есть
средняя кинетическая энергия поступательного движения одной газовой молекулы.
Окончательно имеем:
. (13)
Учитывая, что
,
получим:
или
. (14)
Таким образом, формулы (12), (13), (14) выражают основное уравнение
молекулярно-кинетической теории идеального газа для давления.
Формулу (12) можно записать в виде:
,
(15)
где
(масса газа).
Из выражения (15) вычислим среднюю квадратичную скорость движения молекул
газа:
. (16)
Зная, что
(R-универсальная
газовая постоянная;R=8,31
), получим новые выражения для определения
<c>.
. (17)
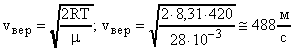
Опытное определение скоростей движения молекул паров серебра впервые был
проведен в 1920 г Штерном.
Рис. 6
Из стеклянного цилиндра Е выкачивался воздух (рис. 6). Внутри этого
цилиндра помещался второй цилиндр Д, имеющий с ним общую ось О. Вдоль
образующей цилиндра Д имелся прорез в виде узкой щели С. По оси протягивалась
посеребренная платиновая проволока, по которой можно было пропускать ток. При
этом проволока раскалялась и серебро с ее поверхности обращалось в пар.
Молекулы паров серебра разлетались в различные стороны, часть их проходила
через щель С цилиндра Д и на внутренней поверхности цилиндра Е получался налет
серебра в виде узкой полоски. На рис. 5 положение полоски серебра отмечено
буквой А.
Когда вся система приводилась в очень быстрое движение таким образом, что
проволока являлась осью вращения, то полоска А на цилиндре Е получилась
смещенной в сторону, т.е. например, не в точке А, а в точке В. Это происходило
потому, что пока молекулы серебра пролетали путь СА, точка А цилиндра Е
успевала повернуться на расстояние АВ и молекулы серебра попадали не в точку А,
а в точку В.
Обозначим величину смещения серебряной полоски АВ = d; радиус цилиндра Е
через R, радиус цилиндра Д через r, а число оборотов всей системы в секунду
через n
.
За один оборот системы точка А на поверхности цилиндра Е пройдет путь,
равный длине окружности 2pR, а за 1 секунду она пройдет путь
. Время t, в течение которого точка А
переместилась на расстояние АВ = d, будет равно:
. За время t молекулы паров серебра пролетали
расстояние
. Скорость
их движения v может быть найдена, как пройденный путь, деленный на время:
или, заменяя t,
получим:
.
Налет серебра на стенке цилиндра Д получался размытым, что подтверждало
наличие различных скоростей движения молекул Из опыта можно было определить
наиболее вероятную скорость vвер которая соответствовала наибольшей
толщине налета серебра.
Наиболее вероятную скорость можно рассчитать по формуле, данной
Максвеллом:
По вычислениям Максвелла средняя арифметическая скорость движения молекул
равна:
.
(19)
Кинетическая энергия, которой обладают n молекул газа при некоторой
температуре Т вследствие своего поступательного движения равна:
или
.
Так как
, то
. (20)
Из основной формулы кинетической теории (12) следует, что
. (21)
Разделив (20) на (21), получим:
или
. (22)
Заменим
и запишем
. (23)
Если газ взят в количестве одного моля
, то:
.
(24)
Средняя кинетическая энергия поступательного движения одной газовой
молекулы:
.
Так как
, то
. (25)
При одной и той же температуре средняя энергия поступательного движения
молекул любого газа одна и та же.
Из основного уравнения молекулярно-кинетической теории (см.
формулу (14)) следует закон Авогадро: в равных объемах разнородных газов при
одинаковых условиях (одинаковой температуре и одинаковом давлении) содержится
одинаковое число молекул:
(для одного
газа),
(для другого
газа).
Если V1 = V2; Т1 = Т2; r1
= r2, то n01 = n02.
Единицей количества вещества в системе СИ является моль (грамммолекула)
масса m одного моля вещества называется молярной массой этого вещества. Число
молекул, содержащихся в одном моле разных веществ одинаково и называется число
Авогадро (NA = 6,021023 1/моль).
Запишем уравнение состояния идеального газа для одного моля:
, где Vm
– объем одного моля газа;
(универсальная газовая постоянная).
Окончательно имеем:
.
(26)
Уравнение (26) называется уравнением Клапейрона (для одного моля газа). При
нормальных условиях (р = 1,013105 Па и Т = 273,150К) молярный
объем любого газа Vm = 22,410-3
. Из формулы (26) определим
;
. От уравнения (26) для моля газа можно перейти
к уравнению Менделеева-Клапейрона для любой массы газа m. Отношение
дает число молей газа. Левую
и правую части неравенства (26) умножим на
. Имеем
, где
(объем газа). Окончательно запишем:
.
(27)
Уравнение (27) - уравнение Менделеева-Клапейрона. В это уравнение можно
внести плотность газа
и
. В формуле (27)
заменим V и получим
или
. (28)
Опытным путем, задолго до появления молекулярно-кинетической теории, был
открыт целый ряд законов, описывающих равновесные изопроцессы в идеальном газе.
Изопроцесс - это равновесный процесс, при котором один из параметров состояния
не изменяется (постоянен). Различают изотермический (T = const), изобарический
(p = const), изохорический (V = const) изопроцессы.
Изотермический процесс описывается законом Бойля-Мариотта: «если в ходе
процесса масса и температура идеального газа не изменяются, то произведение
давления газа на его объем есть величина постоянная
. (29)
Графическое изображение уравнения состояния называют диаграммой состояния.
В случае изопроцессов диаграммы состояния изображаются двумерными (плоскими)
кривыми и называются соответственно изотермами, изобарами и изохорами.
Изотермы, соответствующие двум разным температурам, приведены на рис. 7.


Рис. 7
Изобарический процесс описывается законом Гей-Люссака: «если в ходе
процесса давление и масса идеального газа не изменяются, то отношение объема
газа к его абсолютной температуре есть величина постоянная»:
. (30)
Изобары, соответствующие двум разным давлениям, приведены на рис.8.


Рис. 8
Уравнение изобарического процесса можно записать иначе:
,
(31)
где V0 – объем газа при 00С; Vt – объем газа
при t0C; t – температура газа в градусах Цельсия; a – коэффициент объемного
расширения. Из формулы (31) следует, что
. Опыты французского физика Гей-Люссака (1802
г) показали, что коэффициенты объемного расширения всех видов газов одинаковы и
, т.е. при нагревании
на 10С газ увеличивает свой объем на
часть того объема, который он занимал при 00С.
На рис. 9 изображен график зависимости объема газа Vt от температуры
t0C.
Рис. 9
Изохорический процесс описывается законом Шарля: «если в ходе процесса
объем и масса идеального газа не изменяются, то отношение давления газа к его
абсолютной температуре есть величина постоянная»:
(32)
Изохоры, соответствующие двум разным объемам, приведены на рис. 10.


Рис. 10
Уравнение изохорического процесса можно записать иначе:
, (33)
где
- давление газа
при
С;
- давление газа при t; t –
температура газа в градусах Цельсия;
- температурный коэффициент давления. Из
формулы (33) следует, что
. Для всех газов
и
. Если газ нагреть на
С (при V=const), то давление газа возрастет на
часть того давления, которое
он имел при
С.
На рис. 11 изображен график зависимости давления газа от температуры t.
Рис. 11
Если продолжить прямую AB до пересечения ее с осью x ( точка
), то значение абциссы этой
определиться из формулы (33), если
приравнять нулю.

;
.
Следовательно, при температуре
давление газа должно было бы обратиться в нуль,
однако, при подобном охлаждении газ не сохранит своего газообразного состояния,
а обратиться в жидкость и даже в твердое тело. Температура
носит название абсолютного нуля.
В случае механической смеси газов, не вступающих в химические реакции,
давление смеси также определяется формулой
, где
(концентрация смеси
равно сумме концентраций компонентов смеси
всего n – компонент).
Закон Дальтона гласит: Давление смеси
равно сумме парциальных давлений газов,
образующих смесь.
.
Давления
называется
парциальными. Парциальное давление – это давление которое создавал бы данный
газ, если бы он один занимал тот сосуд, в котором находится смесь (в том же
количестве, в котором он содержится в смеси).
Цели урока:
·
Образовательная: Помочь усвоить понятия идеального газа, основное
уравнение МКТ; на основе МКТ установить количественную зависимость давления
газа от массы одной молекулы и среднего квадрата скорости ее движения.
·
Развивающая: Развитие научного мировоззрения, логического
мышления, умения самостоятельно работать, навыков самоконтроля.
·
Воспитательная: Воспитание трудолюбия, аккуратности.
Тип урока: Комбинированный.
Приборы: Плакаты
Ход урока
1.
Организационный момент урока.
2.
Проверка домашнего задания (на перемене 1 ученик записывает
на доске решение домашней задачи)
Упражнение 11 (5)
Чему равно число молекул в 10 г кислорода?
Дано: Решение:
m=10 г =10·10-3 кг N=Na·m/M=
6,02·1023 ·10-4/32·10-3 =1,8·1023
М=32·10-3 кг/моль
N=?
Ответ: 1,8·1023
3. Постановка цели урока.
Мы с вами продолжаем изучение основ молекулярно-кинетической теории. На
предыдущем уроке мы рассмотрели основные положения МКТ, научились определять
размеры и массу молекул. Сегодня на уроке необходимо на основе МКТ установить
количественную зависимость давления газа от массы одной молекулы и среднего квадрата
скорости ее движения. Поэтому тема урока: «Идеальный газ. Основное
уравнение МКТ».
4. Актуализация знаний.
А) 5 человек по карточкам решают задачи
Карточки
Вариант №1.
1.Сколько молекул содержится в 1 г углекислого газа?
2.Определите молярную массу и массу одной молекулы кислорода?
Вариант №2.
1.Определите молярную массу и массу одной молекулы поваренной соли?
2.Сколько молекул содержится в 1 кг водорода?
Вариант №3.
1.Определите молярную массу и массу одной молекулы угарного газа?
2.Какую массу имеет 3·1023 атомов ртути?
Вариант №4.
1.Определить молярную массу и массу одной молекулы медного купороса?
2.Сколько атомов содержится в 216 г серебра?
Вариант № 5.
1.Определите молярную массу и массу одной молекулы соляной кислоты?
2. Какова масса 1,5·1023 атомов урана?
Б) Фронтальный опрос.
ВОПРОСЫ:
1.
Что такое молекулярно-кинетическая теория? Сформулируйте ее основные
положения.
2.
Какие наблюдения и эксперименты подтверждают основные положения
молекулярно-кинетической теории?
3.
Что называют броуновским движением? Каковы его особенности?
4.
О чем свидетельствует броуновское движение?
5.
Что называют диффузией? Приведите примеры диффузии в газах, жидкостях и
твердых телах.
6.
От чего зависит скорость диффузии? О чем свидетельствует явление
диффузии?
7.
Что называют эффективным диаметром молекулы? Каков порядок величин
диаметра и массы молекул?
8.
Что называют относительной молекулярной (атомной) массой вещества?
Какая формула выражает смысл этого понятия? Как определяют относительную
молекулярную массу вещества, в состав которого входят различные элементы?
9.
Что называют количеством вещества? Какая формула выражает смысл этого
понятия? Какова единица количества вещества? Сформулируйте определение этой
единицы.
10.
Что называют постоянной Авогадро? Чему она равна?
11.
Что такое молярная масса вещества? Какая формула выражает связь
молярной массы вещества с числом Авогадро? Какова единица молярной массы?
12.
Чему равна атомная единица массы?
13.
Получите формулу, устанавливающую связь между молярной массой и
относительной молекулярной массой вещества.
14.
Какая формула выражает связь между количеством вещества, его массой и
молярной массой?
15.
По какой формуле определяют число молекул в произвольном количестве
вещества?
16.
Какими свойствами обладают силы молекулярного взаимодействия?
17.
Каков характер зависимости молекулярных сил притяжения и отталкивания
от расстояния между молекулами?
18.
Перечислите агрегатные состояния вещества. Напишите соотношения между
кинетической и потенциальной энергиями для газообразного, жидкого и твердого состояний
веществ.
19.
Опишите характер движения молекул в газах. Что называют длиной
свободного пробега молекул? От чего она зависит?
20.
Опишите характер движения молекул в жидкостях. Что называют ближним
порядком?
5.Изучение нового материала.
1. Макроскопические параметры. Идеальный газ.
Состояние газа (так же как жидкости и твердого тела) может быть описано и
без рассмотрения молекулярного строения вещества. Это делают с помощью
макроскопических величин, совокупность которых однозначно определяет состояние системы.
Такие величины называют параметрами состояния (или термодинамическими
параметрами). Параметрами состояния любой системы являются ее объем, давление и
температура. Если в каком-либо процессе изменяется хотя бы один из параметров
состояния системы, то и само состояние системы становится другим.
Величины, характеризующие состояние макроскопических тел без учета их
внутреннего строения называются макроскопическими параметрами.
Идеальный газ – это модель реального газа, которая обладает следующими
свойствами:
1.
Молекулы пренебрежимо малы по сравнению со средним расстоянием между
ними.
2.
Молекулы ведут себя подобно маленьким твердым шарикам: они упруго
сталкиваются между собой и со стенками сосуда, никаких других взаимодействий
между ними нет.
3.
Молекулы находятся в непрекращающемся хаотическом движении.
Все газы при не слишком высоких давлениях и при не слишком низких
температурах близки по своим свойствам к идеальному газу. При высоких давлениях
молекулы газа настолько сближаются, что пренебрегать их собственными размерами
нельзя. При понижении температуры кинетическая энергия молекул уменьшается и
становится сравнимой с их потенциальной энергией, следовательно, при низких
температурах пренебрегать потенциальной энергией нельзя.
При высоких давлениях и низких температурах газ не может считаться
идеальным. Такой газ называют реальным. (Поведение реального газа
описывается законами, отличающимися от законов идеального газа.)
2. Давление газа. Основное уравнение МКТ газа.
Давление газа определяется столкновением молекул газа со стенками сосуда.
В СИ за единицу давления принимают 1 Па.
Давление, при котором на площадь 1 м2 действует сила давления
в 1 Н, называется Паскалем.
1мм.рт.ст. = 133 Па
1атм = 1105
Па
Одной из основных задач молекулярно-кинетической теории газа является
установление количественных соотношений между макроскопическими параметрами,
характеризующими состояние газа (давлением, температурой), и величинами,
характеризующими хаотическое тепловое движение молекул газа (скоростью
молекул, их кинетической энергией). Одним из таких соотношений является
зависимость между давлением идеального газа и средней кинетической энергией
поступательного движения его молекул. Эту зависимость называют основным
уравнением молекулярно-кинетической теории идеального газа:
или
где р — давление газа; n — концентрация молекул
газа (число его молекул в единичном объеме): m0
— масса молекулы газа,
—
средняя квадратичная скорость движения газовых молекул;
—средняя квадратичная энергия
поступательного движения молекул идеального газа.
Давление идеального газа пропорционально средней кинетической энергии
поступательного движения молекул и концентрации молекул.
Это давление тем больше, чем больше средняя кинетическая энергия
поступательного движения молекул.
Средней квадратической скоростью называют величину, равную корню
квадратному из среднего арифметического значения квадратов скоростей N молекул
газа:
Средней кинетической энергией поступательного движения молекул идеального
газа называют величину

С учетом основного уравнения
МКТ имеем:
Из этой формулы видно, что средняя кинетическая энергия поступательного
движения молекул газа пропорциональна абсолютной температуре.
В этой формуле k=1,3810-23 Дж/К – постоянная Больцмана.
Давление газа зависит от концентрации
молекул. Эта зависимость выражается формулой:
Давление газа не зависит от его природы, а определяется только концентрацией
молекул и температурой газа.
Численное значение средней квадратичной скорости получим из формулы
, т.к.
, то
При одинаковых давлениях и температурах концентрация молекул всех газов
одинакова. В частности, при нормальных условиях
n= Nл
= 2,71025 м-3.
Величину Nл называют числом Лошмидта, оно равно количеству
молекул идеального газа, содержащихся в 1 м3 газа при нормальных
условиях.
6.Закрепление материала:
А) Вопросы для фронтального опроса:
1.
Что такое макроскопические параметры? Какие величины относятся к их
числу? Изменяется ли состояние системы при изменении одного такого параметра?
2.
Какой газ называют идеальным? Что является моделью идеального газа?
3.
При каких условиях газ по своим свойствам близок к идеальному? При каких
условиях и почему газ не может считаться идеальным?
4.
Что называют абсолютным нулем температуры? Каков физический смысл этого
понятия с точки зрения молекулярно-кинетической теории?
5.
Чему равно давление идеального газа на стенки камеры при абсолютном
нуле температуры?
6.
Определите, чему равна температура абсолютного нуля в градусах Цельсия.
Возможно ли охладить тело до температуры абсолютного нуля?
7.
Каково современное представление об энергии молекул при абсолютном нуле
температуры?
8.
Объясните принципы построения температурных шкал Цельсия и Кельвина.
Сравните между собой эти шкалы и установите формулы, выражающие соотношение
между значениями температуры, измеренной по шкалам Кельвина и Цельсия.
Б) Решение количественных задач:
Задача №1.
Найти концентрацию молекул кислорода, если его давление 0,2 МПа, а
средняя квадратичная скорость молекул равна 700 м/с.
Дано: Решение:
υ=700 м/с
M =32·10 -3 кг/моль n=р/κТ
р =0,2 МПа
n=? n=3Nа р /υ2 М = 2,3·1025.
Ответ: 2,3·1025.
Задача №2.
Определить кинетическую энергию 105 атомов гелия при
температуре 47 ºС. (6,62· 10-16 Дж)
Задача №3.
Определите температуру газу, если средняя кинетическая энергия равна 5,6
·10-21 Дж.
(270 К)
Задача №4.
Сколько молекул содержится в 2 м3 газа при давлении 150 кПа и
температуре 27 ºС.(7,2·1025 )
Задача №5.
На сколько процентов увеличивается средняя кинетическая энергия молекул
газа при увеличении его температуры от 7 до 35 ºС? ( На 10%)
Задача №6.
Определить число n молекул, содержащихся в объеме V = 1 мм3
воды и массу m0 молекулы воды.
Решение:
Число молекул n, содержащихся в теле некоторой массы m:
, где m -
молярная масса. Так как
,
где r - плотность воды, то:
.
Расчет в СИ: V = 10-9 м3; r = 103
; NA = 6,021023
; m = 1810-3
; n =
молекул.
m0 подсчитываем по формуле (3)
;
.
Задача №7.
Определить число молекул содержащихся в 10 г азота.
Решение:
Расчет в СИ:
m = 10 г = 10-2 кг; m = 2810-3
; NA = 6,021023
;
молекул.
Задача №8.
Вычислить среднюю квадратичную скорость движения молекул водорода при 00С.
Решение:
Среднюю квадратичную скорость рассчитаем по формуле (17):
.
Расчет в СИ: R = 8,31
; m = 210-3
; Т = 273 К.
.
Проверим размерность
.
.
Задача №9.
Вычислить наиболее вероятную среднюю квадратичную и среднюю
арифметическую скорости молекул азота при температуре 420 К.
Решение:
При расчетах используем формулы (18), (17) и (19).
В СИ: Т = 420 К; m = 2810-3
; R = 8,31
.
.
.
Задача №10.
Чему равна средняя квадратичная скорость движения молекул воздуха при
температуре 270С?
Решение:
Среднюю квадратичную скорость молекул воздуха вычислим по формуле (17).
. В Си: m = 2910-3
(для воздуха); Т
= 2730К;
R = 8,31
.
.
Задача №11.
Вычислить среднюю энергию поступательного движения молекулы газа при 270С.
Решение:
Для расчета используем формулу (5).
.
В Си: К = 1,3810-23
; Т = 3000К.
.
Задача №12.
Средняя квадратичная скорость молекул некоторого газа <c> = 450
м/с. Давление газа р = 50 кПа. Найти плотность r газа при этих условиях.
Решение:
Основное уравнение молекулярно-кинетической теории запишем в виде:
. Так как
(масса газа); а
(плотность газа), то
или
. Откуда
.
Расчет в Си: р = 50103 Па; <c> = 450 м/с.
.
Проверим размерность:
.
.
Задача №13.
Энергия поступательного движения молекул азота, находящегося в баллоне
объемом V = 20л, 5 кДж, а средняя квадратичная скорость его молекул <c> =
2103 м/с. Найти массу m азота в баллоне и давление р под которым он
находится.
Решение:
Энергия поступательного движения молекул азота может быть выражена как
, откуда
. Известно, что
(А). В формуле (А) заменим m.
;
.
Расчет в Си: V = 2010-3 м3; W = 5103 Дж;
<c> = 2103 м/с.
;
.
Задача №14.
Найти среднюю арифметическую <vариф>, среднюю
квадратичную <c> и наиболее вероятную vвер скорости молекул
газа, который при давлении p = 40 кПа имеет плотность r = 0,3 кг/м3.
Решение:
Для расчета используем формулу (16)
(16). Так как
и
, то (после замены m) получаем
;
.
Формулу (19) можно преобразовать
(19). Для этого заменим
или, зная, что
, получим
;
. Окончательно имеем
. Аналогично в формуле (18) заменим величину
.
,
.
Расчет в Си: p = 40103 Па; r = 0,3 кг/м3.
;
;
.
Задача №15. Средняя квадратичная скорость молекул некоторого газа
при нормальных условиях <c> = 461 м/с. Какое число молекул содержит
единица массы этого газа?
Решение.
Известно, что массу одной молекулы можно найти
(А), где m - масса всех молекул, а n - число
молекул. По условию задачи нужно определить, какое число молекул содержит
единица массы газа, т.е. величину
. Из формулы (А) выразим
(В). Согласно формуле (17)
. Откуда
(С). Массу одной молекулы можно
определить иначе (см. формулу (3)).
. Заменим m, используя выражение (С).
. Так как
, то
. Найденное значение m0
подставим в равенство (В). Окончательно получим:
.
Расчет в си:
нормальные условия:
; <c> = 461 м/с; k = 1,310-23
.
.
7. Задачи для самостоятельного решения.
1. Определить количество молекул воздуха в комнате 8х5х4 м3
при температуре 100С и давлении 78 см.рт.ст. Ответ: 40,81026.
2. Резиновый шар содержит 2 л воздуха при температуре 200С и
атмосферном давлении 780 мм.рт.ст. Какой объем займет воздух, если шар опустить
в воду, имеющую температуру 40С, на глубину 10м? До какого давления
надо довести воздух, чтобы его объем остался неизменным? Ответ: 0,97 л; 1606
мм.рт.ст.
3. Газ сжат изотермически от V1 = 8л до V2 = 6л.
Давление при этом возросло на Dp = 4кПа. Каково было первоначальное давление?
Ответ: 12 кПа.
4. Газ нагрет от 270С до 390С. На сколько процентов
увеличится объем, если давление газа постоянно? Ответ: на 0,4 %.
5. Открытую с обеих сторон стеклянную трубку длиной 60 см опускают на 1/3
длины в сосуд с ртутью. Затем, закрыв верхний конец, трубку вынимают из ртути.
Какой длины столбик ртути останется в трубке? Атмосферное давление 105Па.
Ответ: 18 см.
6. Воздушный шар объемом 1000 м3 наполнен водородом при
температуре 2930К. При неизменном давлении температура поднялась до
3130К, благодаря чему вышел излишек газа. Найти объем этого излишка.
Ответ: 70 м3.
7. Летчик, находясь на земле, при каждом дыхании при нормальных условиях
вдыхает 1 г кислорода. Какое количество кислорода вдыхает летчик, поднявшись на
высоту, где давление воздуха 400 мм.рт.ст? Изменением температуры воздуха
пренебречь. Ответ: 0,53 г.
8. Определить плотность смеси, состоящей из 4 г водорода и 32 г кислорода
при температуре 70С и давлении 93 кПа. Ответ: r 0,48 кг/м3.
9. Сколько молекул воздуха находится в 1 см3 сосуда при 100С,
если воздух в сосуде откачан до давления 1,33 мкПа? Ответ: 3,4108.
7.
Подведение итогов урока.
Выставление оценок :
·
Оценки за работу по карточкам.
·
Оценки за работу во время фронтального опроса.
·
Оценки за решение задач.
8.
Домашнее задание: § 63-65, упр. 11(10).
Физика рассматривается как фундамент естественнонаучного образования,
философии естествознания и научно-технического прогресса. Физика как наука
имеет своей предметной областью общие закономерности природы во всем
многообразии явлений окружающего нас мира. Характерные для современной науки
интеграционные тенденции привели к существенному расширению объекта
исследования по сравнению с физикой ХIХ века, включая
космические явления (астрофизика), некоторые явления живого мира и свойства
живых объектов (биофизика, молекулярная биология), информационные системы
(полупроводниковая, лазерная и криогенная техника как основа ЭВМ). Физика стала
не только теоретической основой современной техники, но и ее неотъемлемой
составной частью, они органически переплелись друг с другом. Энергетика (в частности,
ядерная и термоядерная), связь (лазеры, волоконная оптика) – это создание
материалов с заранее заданными свойствами и т.п. – убедительные примеры
взаимопроникновения физики и техники. Этим определяется образовательное
значение учебного предмета «Физика» и его содержательно-методические линии –
движение и силы, вещество, поле, энергия, методы научного познания.
Молекулярная физика и термодинамика изучают свойства и поведение
макроскопических систем, т.е. систем, состоящих из огромного числа атомов и
молекул. Типичные системы, с которыми мы сталкиваемся в повседневной жизни,
содержат около 1025 атомов.
При исследовании таких систем важнейшими являются макроскопические
величины, непосредственно измеряемые опытным путем и характеризующие свойства
всей совокупности молекул в целом. Учитывая необычайную сложность макросистем,
следует начать изучение с наиболее простых объектов – систем, состояние которых
не меняется со временем. Состояние макроскопической системы, в котором она
может находится неопределенно долгое время, называется равновесным (о нем
говорят также, как о состоянии теплового равновесия).
Существует два способа описания процессов, происходящих в
макроскопических телах (т.е. телах, состоящих из очень большого числа частиц –
атомов или молекул), - статистический и термодинамический.
Статистическая (молекулярная) физика пользуется вероятностными методами и
истолковывает свойства тел, непосредственно наблюдаемых на опыте (такие, как
давление и температура), как суммарный, усредненный результат действия
отдельных молекул. Молекулярно-кинетическая теория позволяет раскрыть глубинный
смысл экспериментальных закономерностей, например, таких как уравнение
Менделеева-Клапейрона. При решении задач на эту тему основное внимание уделено
таким вопросам программы, как уравнение Менделеева-Клапейрона, закон Дальтона
для смеси газов, уравнение молекулярно- кинетической теории.
Следует обратить внимание на статистические законы. Распределение молекул
идеального газа по скоростям описывает распределение Максвелла, а по
потенциальным энергиям – распределение Больцмана. Зависимость давления от
высоты для изотермической атмосферы описывается барометрической формулой.
Теория создана немецким физиком Р. Клаузисом в 1957 году для модели
реального газа, которая называется идеальный газ. Основные признаки модели:
·
расстояния между молекулами велики по сравнению с их размерами;
·
взаимодействие между молекулами на расстоянии отсутствует;
·
при столкновениях молекул действуют большие силы отталкивания;
·
время столкновения много меньше времени свободного движения между
столкновениями.
Молекулярно-кинетическая теория (МКТ) устанавливает связи между макро- и
микропараметрами идеального газа. Основное уравнение МКТ выражает выражает
связь давления газа со средней кинетической энергией поступательного движения
молекул. Давление газа на стенки сосуда является результатом многочисленных
ударов молекул. При каждом ударе стенка получает силовой импульс, величина
которого зависит от скорости молекул и, следовательно, от энергии их движения. При
огромном числе ударов создается постоянное давление газа на стенку. Число
ударов зависит от концентрации молекул n. Таким образом, можно ожидать, что
давление газа связано с концентрацией молекул и с энергией их движения. Получим
основное уравнение МКТ.
Таким образом, давление идеального газа пропорционально произведению
концентрации молекул на среднюю кинетическую энергию поступательного движения
молекулы. Это утверждение можно считать другой формулировкой основного
уравнения молекулярно-кинетической теории идеального газа.
1.
Большая энциклопедия Кирилла и Мефодия. (CD-версия).
1999.
2.
Волькенштейн М.В. Физика как теоретическая основа естествознания. М,
Наука 1980
3.
Гладкова Г. Н.. Кутыловская Н. И. Сборник ведет по физике./ Учеб.
пособие для заочных средних специальных учебных заведений. - М.: Высшая школа
4.
Глухова Г. Н., Самойленко П. К., Ченцов А. А. Физика /учебник для
техникумов гумунитарного профиля./ Под ред. Н. Г. Глухова –
Высшая школа, 1987.
5.
Дмитриева В.Ф. Физика/ Учеб. пособие для средних специальных учебных
заведений. – М., Высшая школа,2001
6.
Дмитриева В. Ф. Физика /Учебник для студентов средних специальных
учебных заведений/.
7.
Долгов В.А. Программа изучения физики в Х и ХI
классах. М., 1999
8.
Дондукова Р. А. Руководство по проведению лабораторных работ по физике.
– К., Высшая школа, 1993.
9.
Енохович А. С. Справочник по физике и технике .- М., Высшая школа, 1996.
10.
Жданов Л. С., Жданов Г. Л., Физика./ Учебник для средних специальных
заведений/.- М., Высшая школа, 1990.
11.
Ильченко В.Р. Формирование естественно–научного миропонимания школьников.
М, П. 1993
12.
Качинский А.М., Кимбар Б.А. Задания к лабораторным работам практикума по
физике. 8-10 классы. Минск. Народная асвета. 1976.
13.
Кикин Д. Г., Самойленко П. И. Физика с основами астрономии./Учебник для
средних специальных учебных заведений. М.-, Высшая школа, 1995.
14.
Концепция школьного физического образования в России.// Физика в школе.
№2’1993.-с.4
15.
Кудрявцев П.С. История физики. М, Учпедгиз 1959
16.
Малафеев Р.И. Проблемное обучение физике в средней школе. М.:
Просвещение, 1993.-192с
17.
Методика преподавания физики в средних специальных учебных заведениях./
Под ред. А. А. Пинского, И. И. Самойленко,-М., 1991.
18.
О физике в современной школе.// Физика в школе. №1’1993.-с.3
19.
Практикум по физике в средней школе. Под ред. А.А. Покровского. М.
Просвещение. 1982.
20.
Программы общеобразовательных учреждений. Физика, Астрономия.
(Литература для учащихся и учителей). – М., «Просвещение» 1994
21.
Разумовский В.Г. Развитие творческих способностей учащихся. М, П. 1975
22.
Резников Л.И., Эвенчик Э.Е., Юськович В.ф. и др. Методика преподавания
физики в средней школе. т.т. 1, 2, 3. М.: Изд-во АПН РСФСР, 1958-1961.
23.
Российский стандарт школьного физического образования (проект).// Физика
в школе. №4’1993.-с.3
24.
Рябоволов Г. И., Самойленко П. И., Огородникова Е. И. Планирование
учебного процесса по физике./ Под ред. П. И. Самойленко, 1991.
25.
Самойленко Д. И., Сергеев А. В., Иваницкий А. И., Павленко А. И. Тесты
по физике (5 частей). – М., СПО, 1995.
26.
Сборник задач и вопросов по физике./Учеб. Пособие для средних
специальных учебных заведений./ Под ред. Р. А. Гладковой.-М., Высшая школа,
1996.
27.
Свитков Л.П. Термодинамика и молекулярная физика. Факультативный курс.
Пособие для учащихся. М., «Просвещение», 1978
28.
Тарасов Л.В. Современная физика в средней школе. М, П.
29.
Тарасов Л.В. Физика в природе, М, П. 1988
30.
Урок физики в современной школе. Творческий поиск учителей. Составитель
Браверман Э.Н., под ред. Разумовского В.Г. М.: Просвещение, 1993.-288с.
31.
Фейнман Р., Лейтон Р., Сэндс М. «Фейнмановские лекции по физике. т.1»,
М.: Мир, 1965.
32.
Энциклопедия для детей. Физика. Т. 1. М. Аванта. 2000.
[1]
Свитков Л.П. Термодинамика и молекулярная физика. Факультативный курс. Пособие
для учащихся. М., «Просвещение», 1978
[2]
Ильченко В.Р. «Формирование естественно–научного миропонимания школьников», М,
П. 1993
[3]
Долгов В.А. Программа изучения физики в Х и ХI классах.
М., 1999
[4]
Разумовский В.Г. «Развитие творческих способностей учащихся», М, П. 1975
[5]
Тарасов Л.В. «Современная физика в средней школе», М, П.
[6]
Программы общеобразовательных учреждений. Физика, Астрономия. (Литература для
учащихся и учителей). – М., «Просвещение» 1994
[7]
. Кудрявцев П.С. «История физики», М, Учпедгиз 1959
[8]
БСЭ
[9]
Дмитриева В. Ф. Физика/ Учеб. пособие для средних специальных учебных
заведений. – М., Высшая школа,2001