Компромиссы при использовании модуляции и кодирования
Федеральное агеНТсТво по
образованию
Государственное образовательное учреждение
высшего профессионального образования
СИБИРСКИЙ ГОСУДАРСТВЕННЫЙ АЭРОКОСМИЧЕСКИЙ УНИВЕРСИТЕТ
имени академика М.Ф. Решетнева
Кафедра ЭТТ
Реферат
Компромиссы при использовании модуляции и кодирования
Выполнил:
Студент гр. Е-62
Гречаник К.А.
Проверил:
профессор
Сивирин
П.Я.
Красноярск 2010
Содержание
Введение 3
1. Немного о требованиях к каналу связи 4
- Компромиссы при
использовании модуляции и кодирования 11
Заключение 21
Список литературы 22
Введение
Системные компромиссы ‑ это
неотъемлемая часть всех разработок цифровых систем связи. Разработчик должен
стремиться к 1) увеличению скорости передачи бит R до максимально
возможной; 2) минимизации вероятности появления битовой ошибки РB,
3) минимизации потребляемой мощности, или, что то же самое, минимизации
требуемого отношения энергии одного бита к спектральной плотности мощности шума
Еb/Nо; 4) минимизации ширины полосы пропускания W, 5) максимизации эффективности использования системы,
т.е. к обеспечению надежного обслуживания для максимального числа пользователей
с минимальными задержками и максимальной устойчивостью к возникновению
конфликтов; и 6) минимизации конструктивной сложности системы, вычислительной
нагрузки и стоимости системы. Конечно, разработчик системы может попытаться
удовлетворить всем требованиям одновременно. Однако очевидно, что требования 1
и 2 противоречат требованиям 3 и 4; они предусматривают одновременное
увеличение скорости R и минимизацию РB, Еb/Mо,
W. Существует несколько сдерживающих факторов и теоретических ограничений,
которые неизбежно влекут за собой компромиссы в любых системных требованиях:
‑Минимальная теоретически требуемая ширина полосы
частот по Найквисту
‑Теорема о пропускной способности Шеннона-Хартли (и
предел Шеннона)
‑Государственное регулирование (например, распределение
частот)
‑Технологические ограничения (например, современные
комплектующие)
‑Другие системные требования (например, орбиты спутников)
1. Немного о требованиях к каналу
связи
Характеристика вероятности появления ошибки
На рис. 1 показаны семейства кривых зависимости РВ
от Еb/Nо для когерентного детектирования ортогональных (a)
и многофазных сигналов (б). Для представления каждой M-битовой
последовательности модулятор использует один из M= 2k сигналов, где M
— размер набора символов. Для системы с данной скоростью передачи информации
каждую кривую на плоскости можно связать с различными фиксированными значениями
минимально необходимой полосы пропускания. При передвижении по кривой в
направлении возрастания ординаты, ширина полосы пропускания, необходимая для
передачи, увеличивается; и напротив, если перемещаться в обратном направлении,
то требуемая полоса пропускания уменьшится. После выбора схемы модуляции и
кодирования, а также номинального значения Еb/Nо функционирование
системы характеризуется конкретной точкой на плоскости вероятности появления
ошибок. Возможные компромиссы можно рассматривать как изменение рабочей точки
на одной из кривых или как переход с рабочей точки одной кривой семейства в точку
другой. Эти компромиссы изображены на рис. 1a и рис. 1б как смещения рабочей
точки системы в направлении, указанном стрелками. Перемещение рабочей точки
вдоль линии 1 между точками а и b можно считать компромиссом между РB
и характеристикой Еb/Nо, при фиксированном значении W.
Аналогично сдвиг вдоль линии 2, между точками с и d, является
поиском компромисса между РB и W, при фиксированном значении Еb/Nо.
И наконец, перемещение вдоль линии 3, между точками e и f,
представляет собой поиск компромисса между W и Еb/Nо, при
фиксированном значении РB.
Рис. 1. Зависимость вероятности появления битовой ошибки от Еb/Nо при когерентном детектировании
М-арных сигналов: а) ортогональные сигналы; б) многофазные сигналы
Минимальная ширина полосы пропускания по Найквисту
В любой реализуемой системе, выполняющей неидеальную
фильтрацию, будет межсимвольная интерференция — хвост одного импульса
распространяется на соседние символы и мешает процессу детектирования. Найквист
показал, что теоретическая минимальная ширина полосы пропускания (ширина полосы
частот по Найквисту), требуемая для немодулированной передачи символов за
секунду без межсимвольной интерференции, составляет R/2 Гц. Это
основное теоретическое ограничение, вынуждающее разработчика настолько
аккуратно использовать полосу частот, насколько это возможно. На практике
минимальная ширина полосы частот по Найквисту увеличивается на 10-40%
вследствие ограничений реальных фильтров. Таким образом, реальная пропускная
способность цифровых систем связи снижается с идеальных 2 символа/с/Гц до 1,8-
1,4 символа/с/Гц. Из набора М символов, система модуляции или кодирования
присваивает каждому символу k-битовое значение, где M=2k.
Таким образом, число битов на символ можно представить
как k=log2M, и, следовательно, скорость передачи данных, или скорость
передачи битов R, должна быть в k раз больше
скорости передачи символов как видно из следующего основного соотношения:
R=kRS; RS=R/k=R/log2M;
Для системы с фиксированной скоростью передачи
символов из выражения видно, что с ростом k увеличивается
и скорость передачи битов R. При использовании схемы МРSК с увеличением
k повышается эффективность использования полосы частот
измеряемая в бит/с/Гц. Например, сдвиг вдоль линии 3, из точки е в точку f,
как видно на рис. 1,б, представляет собой повышение за счет снижения требований
к полосе пропускания. Другими словами, при той же полосе пропускания МРSК-модулированные
сигналы можно передавать с повышенной скоростью передачи данных, а значит с
увеличенным R/W.
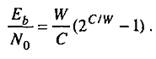
Теорема Шеннона-Хартли о пропускной способности канала
Выражение
для пропускной способности (теорема Шеннона-Хартли) можно записать следующим
образом:
Если
W измеряется в герцах, а логарифм берется по основанию
2, то пропускная способность будет иметь размерность бит/с. Теоретически (при
использовании достаточно сложной схемы кодирования) информацию по каналу можно
передавать с любой скоростью R< С со сколь угодно малой вероятностью
возникновения ошибки. Если же R>C, то кода, на основе которого можно добиться сколь
угодно малой вероятности возникновения ошибки, не существует. В работе Шеннона
показано, что величины S, N и W устанавливают пределы скорости передачи, а не
вероятности появления ошибки. Поскольку мощность детектируемого шума
пропорциональна
полосе пропускания N=N
0W, и
если R=C, то S/N
0W=Е
b/N
о. Тогда
Предел
Шеннона
Существует нижнее
предельное значение Еb/Nо, при котором ни при какой
скорости передачи нельзя осуществить безошибочную передачу информации. С
помощью соотношения
можно рассчитать предельное значение.
Пусть
Тогда
(1)
При C/W→0
В
децибелах Еb/Nо= ‑1,6дБ.
Это значение Еb/Nо называется
пределом Шеннона. На рис. 1, а предел Шеннона ‑ это кривая зависимости РB от Еb/Nо
при k→∞. При Еb/Nо= ‑1,6дБ.
данная кривая скачкообразно изменяет свое значение от Рв ~ 1/2 на Рв = 0. В
действительности достичь предела Шеннона невозможно, поскольку k
возрастает неограниченно, а с ростом к возрастают требования к полосе пропускания
и повышается сложность реализации системы. Работа Шеннона ‑ это теоретическое
доказательство существования кодов, которые могут улучшить Рв или снизить
требуемое значение Еb/Nо от уровней некодированных
двоичных схем модуляции до уровней, приближающихся к предельной кривой. При
вероятности появления битовой ошибки 10-5 двоичная фазовая
манипуляция (BPSK) требует значения Еb/Nо,
равного 9,6 дБ (оптимум некодированной двоичной модуляции). Следовательно, за
счет использования кодирования, производительность можно повысить на 11,2 дБ по
сравнению с некодированной двоичной модуляцией. Оптимальную разработку системы
можно наилучшим образом представить как поиск рациональных компромиссов среди
различных ограничений и взаимно противоречивых требований. Компромиссы модуляции
и кодирования, т.е. выбор конкретных схем модуляции и кодирования для
наилучшего использования переданной мощности и ширины полосы, являются очень
важными, поскольку имеется много причин для снижения мощности, а также
существует необходимость экономии спектра радиочастот.
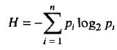
Энтропия
Для разработки системы связи с определенной
способностью к обработке сообщений нужна метрика измерения объема передаваемой
информации. Шеннон ввел такую метрику H, называемую энтропией источника
сообщений (имеющего n возможных выходных значений). Энтропия определяется
как среднее количество информации, приходящееся на один выход источника, и
выражается следующим образом:
бит/выход источника.
Здесь рi вероятность i-того выходного значения и
Σрi=1. Если сообщение двоичное или источник имеет только
два возможных выходных значения с вероятностями р и q=(1-р),
выражение для энтропии примет следующий вид:
Неоднозначность и эффективная
скорость передачи информации
Пусть по двоичному симметричному каналу со скоростью
1000 двоичных символов/с происходит передача информации, а априорная
вероятность передачи нуля или единицы одинакова. Допустим также, что,
вероятность приема единицы равна 1/2 (то же самое ‑ для нуля). В таком
случае половина принятых символов должна случайно оказаться правильной, и может
создаться впечатление, что система обеспечивает скорость 500 бит/с, хотя на
самом деле никакой информации не передается. Одинаково "хороший"
прием дает и использование "информации", поступившей из канала, и
генерация этой "информации" методом подбрасывания правильной монеты.
Утраченной является информация о корректности переданных символов. Для оценки
неопределенности в принятом сигнале Шеннон использует поправочный коэффициент,
который называет неоднозначностью. Неоднозначность определяется как условная
энтропия сообщения X, обусловленная данным сообщением Y, или

где
X сообщение, переданное источником, Y ‑ принятый сигнал, Р(Х, У) ‑ совместная
вероятность X и Y, а Р{Х|У) ‑ условная вероятность X при приеме Y.
Неоднозначность можно представить как неуверенность в передаче X при условии
принятия Y. Для канала без ошибок Н{Х|У)=0, поскольку принятие
сообщения Y абсолютно точно определяет X. Для канала с ненулевой
вероятностью возникновения символьной ошибки Н{Х|У)>0, поскольку канал вносит
некоторую неопределенность.
Шеннон показал, что среднее эффективное количество
информации Heff в приемнике получается путем вычитания
неоднозначности из энтропии источника. Следовательно,
Плоскость "полоса-эффективность.

С помощью уравнения (1) можно составить график
зависимости нормированной полосы пропускания канала W/C (в
Гц/бит/с) от Еb/Nо. Можно показать, что качественно
спроектированные системы должны стремиться к работе в области излома кривой
компромисса между полосой пропускания и мощностью для идеального (R=С)
канала. Характеристики реальных систем часто отличаются от идеальных не более
чем на 10 дБ. Наличие излома означает, что в системах, в которых
предпринимается попытка уменьшить занимаемую полосу пропускания канала или
снизить требуемую мощность, приходится все больше повышать значение другого
параметра (что является не очень желательным).
Назовем плоскость зависимости C/W от
Еb/Nо плоскостью "полоса-эффективность".
Ордината R/W ‑ это мера объема данных, которые можно
передать через единицу полосы частот за данное время; следовательно, она отображает
эффективность использования ресурса полосы пропускания. Независимая переменная Еb/Nо
измеряется в децибелах. Кривая R=С ‑это граница, разделяющая область реальных
прикладных систем связи и область, в которой такие системы связи теоретически
невозможны. Характеристика эффективности полосы пропускания на рис. 3
устанавливает предельные параметры, которые достижимы для прикладных систем. Отметим,
что на рис. 3 проиллюстрирована зависимость эффективности использования полосы
частот от Еb/Nо для систем с одной несущей. Для систем с
множественными несущими эффективность использования полосы частот зависит от
разнесения несущих (и типа модуляции). В этом случае компромисс ‑ это
насколько разнесены несущие (что приводит к повышению эффективности
использования полосы частот) без возникновения неприемлемых помех соседних
каналов.
Эффективность использования полосы при выборе схем МFSК и МРSК.
На рис. 3 показаны рабочие точки для когерентной
модуляции МР8К при вероятности битовой ошибки 10-5. Предполагается,
что до модуляции осуществляется фильтрация по Найквисту (идеальная
прямоугольная), так что минимальная двойная полоса пропускания на промежуточной
частоте (intermediate frequency — 1Р) WIF= 1/T, где Т — длительность символа. Таким образом, из
уравнения эффективность использования полосы частот R/W=log2M,
где М — размер набора символов. Для реальных каналов и сигналов
производительность следует понизить, чтобы учесть увеличение полосы
пропускания, требуемое для создания реализуемых фильтров. Отметим, что при
модуляции МРSК R растет
с увеличением М. Кроме того, положение рабочих точек МРSК указывает,
что для модуляции ВРSК (M=2) и квадратичной QРSК (M=4),
требуются одинаковые значения Еb/Nо. Иными словами, при
том же значении эффективность использования полосы частот для схемы QРSК
равна 2бит/с/Гц, в отличие от 1 бит/с/Гц для схемы ВРSК. Это является
следствием того, что QРSК представляет собой эффективную комбинацию двух
сигналов в модуляции ВРSК, которые передаются на ортогональных компонентах
несущей.
На рис. 3 также изображены рабочие точки некогерентной
ортогональной модуляции МFSК при вероятности появления битовой ошибки 10-5.
Предполагается, что полоса передачи равна W=M/T.
Эффективность использования полосы частот равна R=log2M/M При
модуляции МFSК снижается с увеличением М. Эффективность
использования полосы частот изменяется с коэффициентом модуляции (разнесение
частот в герцах, деленное на скорость передачи битов). Предполагается, что для
каждого МFSК-модулированного сигнала требуется одинаковое приращение
полосы пропускания, а значит, при М = 2 эффективность использования полосы
составляет 1 бит/с/2 Гц или 1/2, а при M= 4 R/W =
2бит/с/4Гц, или 1/2. Таким образом, двоичная и 4-уровневая ортогональная FSК
характеризуются одинаковыми значениями R/W.
На рис. 3 видно, что на фоне остальных модуляций QАМ
наиболее эффективно использует полосу частот.
Аналогия между графиками эффективности использования
полосы частот и вероятности появления ошибки
График эффективности использования полосы на рис. 3
аналогичен графику вероятности ошибки на рис. 1. Предел Шеннона (рис. 1)
является аналогом предельной пропускной способности (рис. 3). Кривые на рис. 1
называются кривыми равной полосы пропускания. На рис. 3 можно аналогично
описать кривые равной вероятности для различных схем кодирования и модуляции.
Кривые, обозначенные как РB1, РB2 и РB3, являются гипотетическими
конструкциями для некоторых произвольных схем модуляции и кодирования.
Возможные компромиссы отображены на рис. 3 как сдвиги рабочей точки в направлениях,
указанных стрелками. Сдвиг рабочей точки вдоль линии 1 можно рассматривать как
поиск компромиссов между РB и Еb/Nо при фиксированном
значении R/W. Точно так же сдвиг вдоль линии 2 ‑это поиск
компромиссов между РB и (или R/W) при фиксированном значении Еb/Nо.
Наконец, сдвиг вдоль линии 3 показывает поиск компромиссов между W
(или R/W) и Еb/Nо при постоянном
значении РB. Cдвиг вдоль линии 1 может быть вызван повышением или
снижением номинального Еb/Nо. Сдвиги вдоль линии 2 или 3
требуют изменений схемы модуляции или кодирования.
Два основных ресурса связи ‑ это переданная
мощность и ширина полосы пропускания. Для разных систем связи один из этих ресурсов
дороже другого, и следовательно, большую часть систем можно классифицировать
как системы ограниченной мощности или ограниченной полосы пропускания. В
системах с ограниченной мощностью для экономии энергии за счет полосы
пропускания можно использовать схемы кодирования, эффективно использующие
мощность, тогда как в системах с ограниченной полосой можно применять методы
эффективной (с точки зрения используемого спектра) модуляции для экономии
полосы частот за счет увеличения расхода энергии.
2. Компромиссы при
использовании модуляции и кодирования
На рис. 4 проводится аналогия между двумя графиками
рабочих характеристик, вероятности появления ошибок (рис. 1) и эффективности
использования полосы частот (рис. 3). В обоих случаях стрелки и обозначения
показывают основное следствие сдвига рабочей точки в направлении, указанном
стрелкой. Предметом компромиссов являются параметры РВ, R/W и Р
(мощность или S/N). Как сдвиг рабочей точки в сторону предела Шеннона
(рис. 4, а) может дать снижение РВ или требуемой мощности
передатчика (за счет полосы пропускания), так и сдвиг в сторону предельной
пропускной способности канала (рис. 4, 6) может повысить эффективность
использования полосы частот за счет повышения требуемой мощности или увеличения
РВ.
Рис. 4. Компромиссы при
использовании модуляции и кодирования: а) график вероятности появления ошибки;
б) график эффективности использования полосы частот.
Наиболее часто эти компромиссы изучаются при
фиксированном значении РВ (ограничиваемом системными требованиями).
Следовательно, наиболее интересными стрелками на рисунке являются описывающие
изменения при фиксированной вероятности появления ошибки (обозначены как Ф: РВ).
На рис. 4 имеется четыре такие стрелки: две на графике вероятности ошибки и две
на графике эффективности использования полосы частот. Работу системы можно
представлять с использованием любого из этих графиков. В системах с
ограниченной мощностью удобнее всего пользоваться графиком вероятности
появления ошибки, поскольку при переходе от одной кривой к другой требования к
полосе пропускания лишь подразумеваются, а явно выделяется вероятность
появления битовой ошибки. График эффективности использования полосы частот, как
правило, применяется в системах с ограниченной полосой пропускания, здесь при
переходе от одной кривой к другой на задний план отодвигается вероятность
появления битовой ошибки, тогда как требования к полосе пропускания
показываются явно.
Итак, для формирования взгляда на вопросы разработки
компромиссов между вероятностью ошибки, полосой пропускания и мощностью были
представлены два графика системных компромиссов, что применимо ко многим схемам
модуляции и кодирования, но с одной оговоркой. Для некоторых кодов или
комбинированных схем с модуляцией и кодированием кривые характеристик не ведут
себя настолько предсказуемо, как в рассмотренном примере. Это связано с
функциями коррекции ошибок и использования полосы пропускания конкретного кода.
Разработка любой системы цифровой связи начинается с
описания канала (принимаемая мощность, доступная полоса пропускания, статистики
шума и иных ухудшений качества сигнала, таких, например, как замирание) и
определения системных требований (скорость передачи данных и вероятность
появления ошибок). После описания канала нужно определиться с проектными
решениями, которые позволят наилучшим образом использовать канал и
удовлетворить требования производительности.
Два основных ресурса связи ‑ это переданная
мощность и ширина полосы пропускания. В различных системах связи один из этих
ресурсов дороже другого, и следовательно, большую часть систем можно
классифицировать как системы с ограниченной мощностью или ограниченной полосой
пропускания. В системах с ограниченной мощностью для экономии энергии за счет
полосы пропускания можно применять схемы кодирования, эффективно использующие
мощность, тогда как в системах с ограниченной полосой можно использовать методы
эффективной (с точки зрения используемого спектра) модуляции для экономии
полосы частот за счет увеличения расхода энергии.
Системы с ограниченной полосой пропускания
При использовании системы с ограниченной полосой
пропускания без кодирования целью является получение максимально возможного
объема переданной информации в заданной полосе пропускания за счет Еb/Nо
(сохраняя при этом определенное значение РB). На
графике эффективности использования полосы частот (рис. 3) показаны рабочие
точки когерентной М-арной схемы РSК (МРSК) при Рв=10-5. Предполагается, что
немодулированный сигнал подвергается фильтрации по Найквисту (идеальной
прямоугольной), так что для модуляции МРSК минимальная
двойная полоса пропускания, центрированная на промежуточной частоте, связана со
скоростью передачи символов.
Здесь ТS ‑ время передачи символа, а R ‑ скорость передачи
символов. При неортогональной передаче сигналов (например, МРSК
или МQАМ) полоса пропускания зависит не от плотности точек
сигналов в группе, а только от скорости передачи сигналов. При передаче вектора
сигнала система не различает, пришел ли этот сигнал из разреженного или уплотненного
алфавита. Это и является свойством неортогональных сигналов, которое позволяет
уплотнить пространство сигналов и, таким образом, повысить эффективность
использования полосы частот за счет мощности передатчика. Запишем насколько
сигнал в модуляции МРSК эффективно использует полосу при фильтрации по
Найквисту.
Точки МРSК, показанные на рис. 3, подтверждают это соотношение.
Отметим, что модуляция МРSК является схемой эффективного использования полосы. С
увеличением М также растет R/W.
В области ограниченной полосы желательным является
большое значение в то же время с ростом Еb/Nо
выравнивается кривая предельной пропускной способности и для повышения
требуется дополнительное увеличение Еb/Nо. Аналогичная
связь имеется в области ограниченной мощности. Здесь желательно малое отношение
Еb/Nо но кривая предельной пропускной способности
становится более крутой и для незначительного снижения требуемого Еb/Nо
нужно значительно уменьшить R/W.
Системы с ограниченной мощностью
Для систем с ограниченной мощностью, где имеется
достаточная полоса пропускания, но существует дефицит мощности (например, линия
космической связи), возможны следующие компромиссы (см. рис. 1,а): 1)
уменьшение РB за счет полосы пропускания при фиксированном Еb/Nо;
2) снижение Еb/Nо за счет полосы пропускания при фиксированном
РB. "Естественным" вариантом при выборе
модуляции для систем с ограниченной мощностью представляется М-арная FSК
(МFSК). На рис. 3 показаны рабочие точки для некогерентной
ортогональной модуляции МFSК при РB=10-5. Для МFSК
минимальная полоса частот по Найквисту определяется следующим выражением
При использовании МFSК необходимая
полоса пропускания расширяется в М раз по сравнению с двоичной FSК,
поскольку теперь существует М различных ортогональных сигналов, каждый из
которых требует полосы шириной 1/ТS. Таким
образом, эффективность использования полосы частот при некогерентной модуляции
МFSК с фильтрацией по Найквисту можно выразить следующим
образом:
Следует отметить важное различие между эффективностью
использования полосы схемой МРSК в уравнении и схемой МFSК,
представленной. При МPSК R/W растет с увеличением размерности пространства
сигналов M. При использовании МFSК числитель
дроби дает такой же эффект с увеличением M, как и в
случае МРSК. Знаменатель же приводит к уменьшению значения R/W при
росте M. Поскольку при увеличении М знаменатель растет
быстрее числителя, это приводит к снижению R/W.
Рабочие точки МFSК, показанные на рис. 3, подтверждают, что ортогональная
передача сигналов MFSK является схемой с расширением полосы пропускания. Модуляция
МРSК вполне подходит для снижения требуемого значения Еb/Nо
за счет увеличения полосы пропускания.
Важно подчеркнуть, что во всех уравнениях для MPSK
и MFSK для всех рабочих точек, показанных на рис. 3,
предполагается фильтрация по Найквисту (идеальная прямоугольная). На практике
такие фильтры нереализуемы. Для реальных каналов и сигналов требуемая полоса
пропускания должна быть больше, чтобы учитывать реализуемость фильтров.
Таблица 1.
Некоторые данные для MPSK и MFSK
|
M
|
k
|
R, (бит/с)
|
RS,(символ/с)
|
МРSК
Минимальная полоса,
(Гц)
|
МPSК
R/W
|
МРSК
Еb/Nо (дБ)
РB=10-5
|
Некогерентная
ортогональная МFSК
Минимальная полоса
(Гц)
|
МFSК
R/W
|
МFSК
Еb/Nо (дБ) РB=10-5
|
|
2
|
1
|
9600
|
9600
|
9600
|
1
|
9,6
|
19200
|
1/2
|
13,4
|
|
4
|
2
|
9600
|
4800
|
4800
|
2
|
9,6
|
1/2
|
10,6
|
|
8
|
3
|
9600
|
3200
|
3200
|
3
|
13,0
|
25600
|
1/3
|
9,1
|
|
16
|
4
|
9600
|
2400
|
2400
|
4
|
17,5
|
38400
|
1/4
|
8,1
|
|
32
|
5
|
9600
|
1920
|
1920
|
5
|
22,4
|
61440
|
5/32
|
7,4
|
Модуляция с эффективным использованием полосы частот
Основной задачей спектрально эффективных модуляций
является максимизация эффективности использования полосы частот. В некоторых
системах, помимо требования эффективности использования спектра, имеются и
другие. Например, в спутниковых системах с сильно нелинейными транспондерами
требуется модуляция с постоянной огибающей. Это связано с тем, что при прохождении
сигнала с большими флуктуациями амплитуды нелинейные транспондеры создают
паразитные боковые полосы (причина ‑ преобразование амплитудной модуляции
в фазовую). Эти боковые полосы отбирают у информационного сигнала часть
мощности транспондера, а также могут интерферировать с сигналами соседних
каналов (помеха соседнего канала) или других систем связи (внутриканальная
помеха). Двумя примерами модуляций с постоянной огибающей, подходящими для
систем с нелинейными транспондерами, являются квадратурная фазовая манипуляция
со сдвигом (OQPSK) и манипуляция с минимальным сдвигом (MSK).
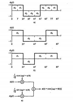
Передача сигналов с модуляцией QPSK и ОQРSК
На
рис. 5 показано разбиение типичного потока импульсов при модуляции QPSK.
На рис. 5, а представлен исходный поток данных состоящий из биполярных
импульсов, т.е. принимают значения +1 или -1, представляющие двоичную единицу и
двоичный нуль. Этот поток импульсов разделяется на синфазный поток и
квадратурный, как показано на рис. 5, б. Отметим, что скорости потоков
одинаковы и равны половине скорости передачи потока. Удобную ортогональную
реализацию сигнала QPSK можно получить, используя амплитудную модуляцию
синфазного и квадратурного потоков на синусной и косинусной функциях от
несущей.
Модулятор QРSК,
показанный на рис. 5,в, использует сумму синусоидального и косинусоидального
слагаемых. Поскольку когерентный приемник должен разрешать любую
неопределенность фазы, использование в передатчике иного формата фазы можно

рассматривать как часть подобной неопределенности.
Поток импульсов df используется для амплитудной модуляции (с амплитудой
+1 или -1) косинусоиды. Это равноценно сдвигу фазы косинусоиды на 0 или π;
следовательно, в результате получаем сигнал ВРSК. Аналогично
поток импульсов dQ модулирует
синусоиду, что дает сигнал ВРSК, ортогональный предыдущему. При суммировании этих
двух ортогональных компонентов несущей получается сигнал QРSК.
Величина θ(t) будет соответствовать одному из четырех возможных сочетаний
и в уравнении:
θ(t)=0º, ±90º,180º.
Различие между двумя схемами модуляции, OQPSK
и QPSK, состоит только в ориентации двух модулированных
сигналов. Как показано на рис. 5, длительность каждого исходного импульса равна
T (рис. 5, а), следовательно, в потоках на рис. 5, б
длительность каждого импульса равна 2Т. В обычной QPSK потоки
четных и нечетных импульсов передаются со скоростью 1/(2Т) бит/с, причем они
синхронизированы так, что их переходы совпадают, как показано на рис. 5, б. В OQPSK,
которую иногда называют QPSK с
разнесением, используется также разделение потока данных и ортогональная
передача; разница в том, что потоки df(t)и dQ(t)синхронизированы со сдвигом на Т. Этот сдвиг показан
на рис. 6.
При стандартной QPSK из-за
синхронизации df(t)и dQ(t)за промежуток 2Т фаза несущей может изменяться только
раз. В зависимости от значений df(t)и dQ(t) на любом промежутке 2Т, фаза несущей на этом
промежутке может принимать одной из 4х значений.
В течение следующего интервала 2Т фаза несущей
остается такой же, если ни один из потоков не меняет знака. Если только один из
потоков импульсов изменит знак, происходит сдвиг фазы на ±90°. Изменение знака
у обоих потоков приводит к сдвигу фазы на 180°. На рис. 7,а изображен типичный
сигнал QPSK для последовательности df(t)и dQ(t), показанной на
Рис. 6. Потоки данных при
модуляции OQPSK
рис.
5.Если сигнал, модулированный QPSK, подвергается
фильтрации
для уменьшения побочных максимумов
спектра,
результирующий сигнал больше не будет иметь постоянной огибающей и, фактически,
случайный фазовый сдвиг на 180° вызовет моментальное обращение огибающей в нуль
(рис. 7, а). Если эти сигналы применяются в спутниковых каналах, где
используются нелинейные усилители, постоянная огибающая будет
восстанавливаться. Однако в то же время восстанавливаться будут все
нежелательные частотные боковые максимумы, которые могут интерферировать с
сигналами соседних каналов и других систем связи.
Рис. 7. Сигналы QPSK и OQPSK.
При модуляции OQPSK потоки
импульсов и разнесены и, следовательно, не могут одновременно изменить
состояние. Несущая не может изменять фазу на 180°, поскольку за один раз
переход может сделать только один из компонентов. За каждые Т секунд фаза может
измениться только на 0° или ±90°. На рис. 9.13, б показан типичный сигнал OQРSК
для последовательности, представленной на рис. 6. Если сигнал OQРSК
становится сигналом с ограниченной полосой, возникающая межсимвольная
интерференция приводит к легкому спаду огибающей в области переходов фазы на
±90°, но поскольку переходов на 180° при OQРSК
нет, огибающая не обращается в нуль, как это происходит при QРSК.
Если сигнал OQРSК с ограниченной полосой проходит через нелинейный
транспондер, спад огибающей устраняется; в то же время высокочастотные
компоненты, связанные с исчезновением огибающей, не усиливаются. Таким образом,
отсутствует внеполосная интерференция.
Манипуляция с минимальным сдвигом
Главное преимущество OQРSК
перед QРSК (устранение внеполосной интерференции) наводит на
мысль, что можно дополнительно усилить формат OQРSК,
устранив разрывные переходы фазы. Это стало мотивацией разработки схем
модуляции без разрыва фазы. Одной из таких схем является манипуляция с
минимальным сдвигом (МSК). МSК можно рассматривать как частный случай частотной
манипуляции без разрыва фазы (СРРFК) или как частный случай OQРSК с
синусоидальным взвешиванием символов. В первом случае сигнал МSК
можно представить следующим образом
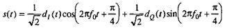
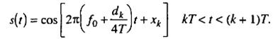
Здесь f0 ‑
несущая частота,dk=±1 представляет биполярные данные, которые передаются
со скоростью R=1/T, а xk — это фазовая постоянная для k-го интервала
передачи двоичных данных. При dk =1 передаваемая частота ‑ это f0+1/4Т, а при dk=-1 ‑ это f0-1/4Т. Следовательно, разнесение тонов в МSК
составляет половину от используемого при ортогональной FSК с
некогерентной демодуляцией, откуда и название — манипуляция с минимальным
сдвигом. В течение каждого T-секундного интервала передачи данных значение xk постоянно, т.е. xk=0 или π, что диктуется требованием непрерывности
фазы сигнала в моменты t=kТ, Это требование накладывает ограничение на фазу,
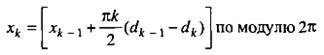
которое можно представить следующим рекурсивным соотношением для xk
(1)
Уравнение (1) можно переписать в квадратурном
представлении
(2)
Где
Синфазный компонент обозначается как akcos(πt/2T)cos2πf0t, где cos2πf0t ‑ несущая, cos(πt/2T) ‑
синусоидальное взвешивание символов, ak‑
информационно-зависимый член. Подобным образом квадратурный компонент ‑
это bksin(πt/2T)sin2πf0t, ‑ sin2πf0t
квадратурное слагаемое несущей, sin(πt/2T) ‑ такое же синусоидальное взвешивание
символов, bk — информационно-зависимый член.
Из-за требования непрерывности фазы величина ak может
измениться лишь при переходе функции cos(πt/2T) через
нуль, bk а
только при переходе через нуль sin(πt/2T). Следовательно, взвешивание символов в синфазном или
квадратурном канале ‑ это синусоидальный импульс с периодом 2Т и переменным
знаком. Как и в случае ОQРSК, синфазный и квадратурный компоненты сдвинуты
относительно друг друга на Т секунд.
Отметим, что xk в уравнении (1) ‑
это функция разности между прежним и текущим информационными битами
(дифференциальное кодирование). Таким образом, величины ak и bk в уравнении можно рассматривать как дифференциально кодированные
компоненты исходных данных dk. Чтобы биты данных были независимы между собой, знаки
последовательных импульсов квадратурного и синфазного каналов от одного
импульсного интервала, длительностью 2Т секунд, до следующего должны быть
случайными импульсами. Таким образом, если уравнение (2) рассматривать как
частный случай модуляции OQPSK, его можно переписать в недифференциальной форме
(3)
Схема МSК, записанная в этой форме, иногда называется МSК с
предварительным кодированием. Графическое представление уравнения (3) дано на
рис. 8. На рис. 8, а и в показано синусоидальное взвешивание импульсов
синфазного и квадратурного каналов. Эти последовательности представляют собой те
же информационные последовательности, что и на рис. 6, но здесь умножение на
синусоиду дает более плавные переходы фазы, чем в исходном представлении
данных. На рис. 8, б и г показана модуляция ортогональных компонентов cos2πf0t и sin2πf0t синусоидальными
потоками данных. На рис. 8, д представлено суммирование ортогональных
компонентов, изображенных на рис. 8, б и г. Итак, из уравнения (3) и рис. 8
можно заключить следующее: 1) сигнал s(t) имеет постоянную
огибающую; 2) фаза радиочастотной несущей непрерывна при битовых переходах; 3)
сигнал s(t) можно рассматривать как РSК-модулированный
сигнал с частотами передачи f0+1/4Т и f0-1/4Т. Таким образом, минимальное разнесение тонов,
требуемое при модуляции МSК, 1/2T, что равно половине скорости передачи битов. Разнесение
тонов, требуемое для МSК,‑ это половина (1/T) разнесения,
необходимого при некогерентном детектировании FSК-модулированных
сигналов. Это объясняется тем, что фаза несущей известна и непрерывна, что
позволяет осуществить когерентную демодуляцию сигнала.
Нормированная спектральная плотность мощности (Р=1Вт)
для QРSК, OQPSК и МSК изображена на рис. 8. Для сравнения здесь же приводится
спектральный график ВРSК. Не должно удивлять, что ВРSК требует большей полосы
пропускания, чем другие типы модуляции, при том же уровне спектральной
плотности. Теоретическая эффективность использования полосы частот схемы ВРSК
вдвое меньше, чем схемы QРSК. Из рис. 9 видно, что боковые максимумы графика МSК
ниже, чем графика QРSК или ОQРSК. Это является следствием умножения потока
данных на синусоиду и дает большое количество плавных фазовых переходов. Чем
плавнее переход, тем быстрее спектральные хвосты стремятся к нулю. Модуляция МSК
спектрально эффективнее QРSК или OQРSК; тем не менее, как видно из рис. 9, спектр МSК имеет
более широкий основной максимум, чем спектр QРSК
или OQРSК. Следовательно, МSК нельзя
назвать удачным выбором при наличии узкополосных линий связи. В то же время МSК
стоит использовать в системах с несколькими несущими, поскольку ее относительно
малые побочные максимумы спектра позволяют избежать значительных помех соседних
каналов. То, что спектр QРSК имеет более узкий основной максимум, чем МSК,
объясняется тем, что при данной скорости передачи битов скорость передачи
символов QРSК вдвое меньше скорости передачи символов МSК


Квадратурная амплитудная модуляция

Квадратурную амплитудную модуляцию (QАМ)
можно считать логическим продолжением QРSК, поскольку сигнал
QАМ также состоит из двух независимых амплитудно-модулированных
несущих. Каждый блок из k бит (k полагается четным) можно разделить на два блока из k/2
бит, подаваемых на цифро-аналоговые преобразователи (ЦАП), которые обеспечивают
требующее модулирующее напряжение для несущих. В приемнике оба сигнала детектируются
независимо с помощью согласованных фильтров. Передачу сигналов, модулированных QАМ,
можно также рассматривать как комбинацию амплитудной (ASK) и фазовой (PSK)
манипуляций, откуда альтернативное название амплитудно-фазовая манипуляция (APK).
И наконец, ее можно считать двухмерной амплитудной манипуляцией, откуда еще
одно название ‑ квадратурная амплитудная манипуляция (QASK).
На рис. 10, а показано двухмерное пространство
сигналов и набор векторов сигналов, модулированных 16-ричной QАМ и
изображенных точками, которые расположены в виде прямоугольного множества. На
рис. 10, б показан канонический модулятор QАМ, На рис. 10,
в изображен пример модели канала, в которой предполагается наличие лишь гауссова
шума. Сигналы передаются в виде пары (x, у). На модели показано, что
координаты сигнальной точки (х, у) передаются по раздельным каналам и
независимо возмущаются переменными гауссова шума (nx, ny), каждый компонент которого имеет нулевое среднее и дисперсию N. Можно
также сказать, что двухмерная точка сигнала возмущается двухмерной переменной
гауссова шума. Если средняя энергия сигнала (среднеквадратическое значение
координат сигнала) равна S, тогда отношение сигнал/шум равно S/N.
Простейший метод цифровой передачи сигналов через подобные системы ‑ это
применение одномерной амплитудно-импульсной модуляции (РАМ) независимо к каждой
координате сигнала. При модуляции РАМ для передачи k битов/размерность
по гауссову каналу каждая точка сигнала принимает значение одной из 2k
равновероятных эквидистантных амплитуд.
Заключение
В данном реферате рассмотрены основные задачи
разработки системы: получение максимальной скорости передачи информации при
одновременном снижении вероятности возникновения ошибки и значения Еb/Nо,
сужении полосы пропускания и уменьшении сложности. Компромиссы были изучены
эвристически в двух плоскостях: вероятность появления ошибки и эффективность
использования полосы частот. Первая явно иллюстрирует компромисс между Еb/Nо
и РВ, а также неявно отображает расход полосы пропускания. На второй
показан компромисс между R/W и Еb/Nо при неявном
изображении поведения РВ. Кроме того, описаны типичные шаги, которые
предпринимаются при удовлетворении требований к полосе пропускания, мощности и
вероятности появления ошибок в системе цифровой связи. Также рассмотрены
некоторые ограничения, которые делают невозможным неограниченное повышение
производительности. Согласно критерию Найквиста, полосу пропускания нельзя
сужать бесконечно. Существует теоретический предел; для передачи RSсимволов/с
без межсимвольной интерференции нужно задействовать, как минимум, RS/2
Гц полосы пропускания. Теорема Шеннона-Хартли связана с компромиссом между
мощностью и полосой пропускания, а также определяет другое важное ограничение ‑
предел Шеннона. Предел Шеннона, равный -1,6 дБ, ‑это минимальное
теоретически возможное значение которое (совместно с канальным кодированием)
необходимо для получения сколь угодно низкой вероятности возникновения ошибки в
канале c аддитивным гауссовским шумом. Более общим ограничением является
значение пропускной способности канала, превышение которой автоматически
запрещает безошибочную передачу сигналов. Приведены некоторые схемы модуляции с
эффективным использованием полосы пропускания, такие как манипуляция с
минимальным сдвигом (MSK) и квадратурная амплитудная модуляция (QAM).
Список литературы
1. Цифровая связь.
Теоретические основы и практическое применение. Изд. 2, испр.: Пер. с англ. –
М.: Издательский дом «Вильямс», 2003г.‑1104с.
2. Учебное пособие:
Космические и наземные системы радиосвязи. П.Я. Сивирин.