Разработка методики определения флавоноидов в лекарственном растительном сырье (комплексная работа)
СОДЕРЖАНИЕ
Введение. 8
1 Общая часть. 10
1.1 Краткая
характеристика флавоноидов. 10
1.2 Подготовка
растительного сырья, идентификация, выделение и разделение флавоноидов 14
1.2.1 Сушка
растительного сырья. 14
1.2.2 Первичное
исследование растительного сырья. 15
1.2.3 Экстрагирование
флавоноидов из растительного сырья. 17
1.2.4
Хроматографические методы идентификации флавоноидов. 18
1.2.4.1 Тонкослойная
хроматография. 18
1.2.4.2
Высокоэффективная жидкостная хроматография. 20
1.3 Количественное и
качественное определение флавоноидов. 22
1.3.1 Химические методы
исследования флавоноидов. 22
1.3.1.1 Методы
качественной идентификации флавоноидов. 22
1.3.1.2 Объемные
методы количественного определения флавоноидов. 26
1.3.2
Электрохимические методы исследования флавоноидов. 26
1.3.2.1
Потенциометрический метод количественного определения флавоноидов. 26
1.3.2.2
Полярографические методы количественного определения флавоноидов. 27
1.3.2.3 Метод
капиллярного электрофореза. 27
1.3.3 Физико-химические
методы исследования флавоноидов. 31
1.3.3.1 Оптические
методы определения флавоноидов. 31
1.3.3.2 Абсорбционная
спектроскопия. 34
1.3.4 Комбинированные
методы исследования флавоноидов. 45
1.3.4.1
Хроматомасспектрометрическое определение флавоноидов. 45
2 Специальная
часть. 50
2.1 Выбор объекта
исследования. 50
2.1.1 Характеристика
исследуемого сырья. 50
2.1.1.1 Цветки
календулы.. 50
2.1.1.2 Трава
пустырника. 51
2.1.1.3 Плоды
боярышника. 51
2.2 Методики
экспериментов и анализов. 52
2.2.1 Методы отбора
проб. 52
2.2.2
Метод определения влажности лекарственного растительного сырья. 53
2.2.3 Методика
количественного определения суммы флавоноидов в растительном сырье
спектрофотометрическим методом.. 54
2.2.4 Количественное
определение рутина и кверцетина в лекарственном растительном сырье методом
хроматомасспектрометрии. 57
2.2.5 Использованные реагенты.. 60
2.3 Результаты и
обсуждение. 61
2.3.1 Определение
влажности. 61
2.3.2 Количественное
определение суммы флавоноидов в растительном сырье спектрофотометрическим
методом при оптимальных условиях экстрагирования. 62
2.3.3 Количественное
определение флавоноидов в лекарственном растительном сырье методом
хроматомасспектрометрии. 63
3 Экономическая часть. 69
Введение. 69
3.1 Определение затрат
на проведение исследования. 74
3.1.1 Материальные
затраты.. 74
3.1.2 Затраты на
израсходованную электроэнергию.. 75
3.1.3 Заработная плата
исполнителей исследования. 76
3.1.4 Амортизационные
отчисления. 76
3.1.5 Расчет
отчислений в социальные фонды.. 77
3.1.6 Определение
накладных расходов. 78
3.1.7 Смета затрат. 78
Заключение. 79
4 Безопасность и
экологичность. 80
4.1 Идентификация
опасных и вредных факторов при работе в химической лаборатории. 80
4.1.1 Основные понятия
и гигиенические требования к производственному освещению.. 81
4.1.2 Влияние вибрации
на условия труда в химической лаборатории. 82
4.1.3 Влияние шума на
организм человека. 82
4.1.4 Вредные вещества
в воздухе рабочей зоны и их воздействие на организм человека. 83
4.2 Техника
безопасности при работе в химической лаборатории. 85
4.2.1 Общие требования
безопасности при работе в лаборатории. 85
4.2.2 Требования
охраны труда перед началом работы.. 86
4.2.3 Требования
охраны труда во время работы.. 86
4.2.4 Требования
охраны труда по окончании работы.. 88
4.3 Общие положения по
технике безопасности при использовании электроустановок в лаборатории 89
4.4 Эксплуатация
электроприборов. 89
4.5 Требования охраны
труда в аварийных ситуациях. 90
4.5.1 Общие требования
безопасности в аварийных ситуациях. 90
4.5.2 Требования
безопасности в аварийных ситуациях при использовании электроустановок в
лаборатории. 91
4.5.3 Первая помощь
пострадавшим от электрического тока. 91
4.5.4 Требования
безопасности в аварийных ситуациях при возникновении пожара в лаборатории 92
4.5.5 Действия по
оказанию первой помощи пострадавшим.. 93
4.6 Экологичность
эксперимента. 94
4.7 Расчет
осветительной установки для учебно-аналитической лаборатории. 95
Заключение. 100
Список использованных
источников. 101
Лекарственные средства
растительного происхождения нашли широкое применение в современной
фармакотерапии. К ним относят как химически чистые вещества и комплексы
веществ, так и настойки, эликсиры, бальзамы и др. Одним из важнейших классов
действующих соединений, содержащихся в лекарственном растительном сырье,
являются флавоноиды.
Флавоноиды
представляют собой многочисленной класс природных соединений, многообразие
которых обуславливается, главным образом, строением агликона (степенью
окисленноститрехуглеродного фрагмента, положением бокового фенильного радикала,
величинойгетероцикла и других признаках), а также составом гликозидного
фрагмента.
Интерес
к флавоноидам велик ввиду присущего им широкого спектра биологического действия
и антиоксидантной активности. В современной науке огромное внимание уделяется
поиску оптимальных путей использования флавоноидов в интересах укрепления
здоровья людей, профилактики и лечения различных патологий, вызванных или
сопровождающихся усилениемсвободнорадикальных процессов окисления.
В настоящее
время для идентификации и количественного определения флавоноидов в
лекарственных средствах широко используются физико-химические методы анализа,
такие как спекрофотометрия, абсорбционная спектроскопия. Однако все большее
распространение получают комбинированные методы, включающие различные варианты
хроматографического разделения исследуемых компонентов. Широкое распространение
физико-химических и комбинированных методов анализа, в первую очередь, связано
с тем, что эти методы обладают значительно большей чувствительностью и
селективностью по сравнению с современными химическими и электрохимическими
методами.
Целью дипломной
работы является разработка методики качественного и количественного анализа
природных флавоноидов (рутина и кверцетина) с использованием
спектрофотометрического и хроматомасспектрометрического методов.
Достижение
поставленной цели предполагает решение следующих задач:
1)
выявить
необходимость качественного и количественного анализа биофлавоноидов;
2)
выявить
особенности (строение, физические и химические свойства) природных флавоноидов
как объектов исследования;
3)
проанализировать
содержание рутина и кверцетина в лекарственном растительном сырье;
4)
изучить
современные методы выделения и идентификации флавоноидов;
5)
изучить
теоретические вопросы анализа методами спектрофотометрии и
хроматомасспектрометрии;
6)
определить
оптимальные условия экстрагирования рутина и кверцетина из выбранного
растительного сырья;
7)
провести
количественное и качественное определение флавоноидов в растительном сырье
спектрофотометрическим и хроматомасспектрометрическим методами;
8)
сделать
выводы об эффективности использованных методов определения рутина и кверцетина.
1.1
Краткая характеристика
флавоноидов
Флавоноидами
называется группа природных биологически активных веществ (БАВ) – производных
бензо-γ-пирона (рисунок 1.1), в основе которых лежит фенилпропановый
скелет, состоящий из С6-С3-С6 углеродных
единиц. Это гетероциклические соединения с атомом кислорода в кольце [1].
Рисунок 1.1 – Структура
бензо-γ-пирона
При замещении в хромоне
атома водорода в α-положении на фенильную группу образуется
2-фенил-(α)-бензо-γ-пирон или флавон (рисунок 1.2), который состоит
из 2 ароматических остатков А и В и трехуглеродного звена (пропановый скелет)
Рисунок 1.2 – Структура флавона
В зависимости от
степени окисления и гидроксилированияпропанового скелета С6-С3-С6
и положения фенильного радикала флавоноиды делятся на несколько
групп
(схема 1.1) [2].



Схема 1.1 –
Классификация флавоноидов
Флавоны –
органические соединения гетероциклического ряда, фенильная группа находится во
2-м положении. Содержатся в цветках пижмы, ромашки.
Изофлавоны – фенильная группа находится в 3-м положении. Содержатся в
корнях стальника полевого.
Флавонолы – отличаются от флавонов
наличием группы ОН в 3-м положении, наиболее распространенными представителями
являются кверцетин, кемпферол. У высших
растений особенно часто встречается кверцетин, у однодольных преобладают
производные кемпферола.
Флавононы – гидрированное
производное флавона, в отличие от флавона не имеют двойной связи между
углеродами во 2-м и 3-м положениях.Известно свыше 30
представителей этой группы флавоноидов. Они обнаружены в семействах Rosaceae,
Fabaceae и Asteraceae.
Флавононолы
отличаются от флавонола отсутствием двойной связи между углеродами во 2-м и 3-м
положениях. ОН-группа, как и у флавонола, находится в 3-м положении. Скелет
флавонола составляет гликозид аромадендрин, содержащийся в листьях эвкалипта.
Флавоноиды,
которые связаны с одной или более молекулой сахара
называют гликозидами флавоноидов. Гликозиды – это сложные безазотистые
органические соединения, при гидролизе распадающиеся на сахаристую часть –
гликон и
несахаристую – агликон или генин. Большинство из флавоноидов находятся в
клетках в виде гликозидов (О-гликозидов – основная группа и С-гликозидов
(гликофлавоноиды)) или находятся в виде соединений с органическими кислотами
[3].
По физическим свойствам
флавоноиды являются кристаллическими веществами с определенной температурой
плавления, без запаха, имеющие жёлтый цвет (флавоны, флавонолы), бесцветные
(изофлавоны, флаваноны). К группе флавоноидов относятся также антоцианы
(природные красящие вещества растений), которые окрашиваются по-разному в
зависимости от ρН среды: в кислой среде они имеют красный цвет (соли катионов),
в щелочной – синий (соли анионов).
Агликоны флавоноидов,
как правило, растворимы в ацетоне, спиртах, органических растворителях и
нерастворимы в воде. Гликозиды плохо растворимы в воде, за исключением
гликозидов, имеющих в своей молекуле более трёх остатков сахара, не растворимы
в органических растворителях (эфире и хлороформе).
Флавоноидные гликозиды
обладают оптической активностью, для них характерна способность к кислотному и
ферментативному гидролизу. Скорость гидролиза и условия его проведения различны
для различных групп флавоноидов.
По химическим свойствам
О-гликозиды (цианогенные гликозиды, агликоновый компонент которых образован из
α-циангидринов) при действии разбавленных минеральных кислот и ферментов
легко гидролизуются до агликона и углеводного остатка. С-гликозиды с трудом
расщепляются под действием концентрированных кислот (HCI или СН3СООН)
или их смесей при длительном нагревании.
Примерами
флавоноидов, значимых для человека являются рутин и квертецин [4].
Рутин
– органическое соединение из группы флавоноидов,
обладающее витаминной активностью. По химической структуре рутин представляет
собой 5,7,3’,4’-OH-3-рамноглюкозид
(рисунок 1.3) [3,5].
Рисунок 1.3 – Химическая структура
рутина
Основные функции
рутина: антиоксидантные,
противовоспалительные, антиканцерогенные, антитромбические, противоязвенные,
антиаллергические, противоотечные, спазмолитические, сахароснижающие,
желчегонное действие; коррекция микроциркуляции крови и лимфы; укрепление
стенок капилляров, защита от кровоизлияний; уменьшение венозного отека;
сдерживание агрегации тромбоцитов; защита от токсинов; увеличение плотности
костной ткани; ингибирование альдолазы, трансминазы, С – реактивного белка;
ингибирование перекисного окисления липидов; увеличение активности адреналина;
снижение активности щитовидной железы.
В организме человека
рутин не вырабатывается. К основным природным источникам рутина относятся:
листья гречихи, листья чайного куста, черная смородина, шиповник, клюква, соки
черники и рябины, можжевельник (ягоды), боярышник (бутоны), ромашка (цветы),
календула [2,3].
Кверцетин (рисунок 1.4)
является агликоном рутина. По химической структуре кверцетин представляет собой
3,5,7,3'4'-Пентаоксифлавон [3,5].
Рисунок 1.4 – Химическая структура
кверцетина
К основным функциям
кверцетина относится: антиоксидантное, противоотечное, спазмолитическое,
антигистаминное, противовоспали-тельное, диуретическое, противоязвенное,
гипотензивное, иммуностимулирующее, противодиабетическое, гипогликемическое,
противовирусное, ранозаживляющее, геропротекторное, анаболическое действия;
снижение проницаемости стенок капилляров; повышение тонуса сосудов; блокада
синтеза лейкотриенов и других воспалительных медиаторов; процессы
ремоделирования костной ткани; эстрогено-подобное действие; нормализация
выработки кортизона и инсулина; защита ЛНП-холестерина от окисления; улучшение
реологии крови; угнетение синтеза тромбоксана; поддержка миокарда; стабилизация
клеточных мембран; стимуляция ферментных систем; улучшение функций фагоцитов,
Т- и В-лимфоцитов; транспорт калия и натрия; адаптация к гипоксии; апоптоз
раковых клеток.
В организме человека
кверцетин, как и рутин, не вырабатывается. К основным источникам кверцетина
природного происхождения относятся: брусника, черная смородина, малина,
ежевика, клюква, черника, рябина, облепиха [2,3].
Лекарственное
сырье сразу после сбора необходимо как можно быстрее сушить, так как в нем
содержится большое количество влаги. Так, листья, трава и цветы содержат до 80
– 85%, сочные плоды до 96%, а корни и корневища до 46 – 65% влаги. При такой
влажности растительное сырье под воздействием ферментов, имеющихся в растениях,
и температуры, возникающей в результате самосогревания уплотненного сырья,
быстро подвергается порче. Для сушки растительное сырье сразу же после сбора
рассыпают тонким слоем так, чтобы на один квадратный метр приходилось не более
1 – 2 кг сырья. Чтобы оно сохло быстрее и не согревалось, его чаще
переворачивают. Рассыпать растения необходимо на какой-нибудь чистой подстилке.
Лучше всего лекарственное сырье сушить в хорошо проветриваемых помещениях [6].
Характер
сушки зависит от вида сырья и содержания в нем действующих веществ. Сырье,
имеющее в своем составе гликозиды (горицвет, ландыш, полынь, наперстянка),
необходимо сушить при температуре 50 – 60°С, при которой быстро прекращается
деятельность ферментов, разрушающих гликозиды.
Все
виды лекарственного сырья лучше сушить под открытым навесом, где имеется
хорошая вентиляция и на сырье не падают прямые солнечные лучи, а также в
закрытых помещениях с вентиляцией.
Самым
«сберегающим» служит способ глубокого замораживания и высушивания в вакууме.
Полученный таким способом растительный материал далее пригоден к длительному
хранению. В тех случаях, когда основная цель исследования состоит в точной
количественной оценке содержания флавоноидов, целесообразно применять быстрое
замораживание растительного материала жидким азотом сразу после его сбора.
В
промышленных масштабах процессу сушки сырья в производстве фитопрепаратов уделяется
большое внимание. Технология этого процесса строго регламентирована [6,7].
Работу
с любым новым растением целесообразно начинать на небольшой навеске сырья с
подбора оптимального экстрагента и предварительной оценки состава БАВ из
извлечений капельным или экспресс-хроматографическим методом с использованием
специфических реакций на основные группы природных соединений.
Для
этого берут навески измельченного растительного сырья, просеянного сквозь
сито, заливают разнополярнымиэкстрагентами в соотношении 1:10 (вода, 10 %, 30
%, 50 %, 70 %, 96 % спирт, ацетон и 50 % водный ацетон, этилацетат, хлороформ,
бензол (пентан, гексан, гептан, толуол)) и оставляют настаиваться (с
перемешиванием или без) в течение 1-3 дней при комнатной температуре.
Перечисленные
экстрагенты являются оптимальными для определения "возможных" групп
извлекаемых соединений растений (гликозиды, агликоны, сложные эфиры,
соединения, содержащие группы ОН, С=О, СООН, NH(NH2) жирного и
ароматического ряда, неполярные и высокомолекулярные вещества). Вместо
этилового спирта или в дополнение к нему можно использовать метиловый или
другие спирты, диоксан, этиленгликоль, формамид, кислоты, основания, что
расширяет информацию о составе групп веществ в растении.
Извлечения,
полученные при комнатной температуре, оценивают по качественному составу групп
БАВ и количественному содержанию экстрактивных веществ. Для этого из каждого
извлечения на фильтровальную бумагу наносят пятна извлечений (не менее 10 точек
каждого извлечения на расстоянии 1-1.5 см друг от друга,d = 0.5 см). Отбирают аликвоту
каждого извлечения, испаряют в предварительно взвешенной фарфоровой чашке,
доводят до постоянного веса и определяют количество экстрактивных веществ,
извлекаемых каждым растворителем без нагревания.
Затем
все извлечения одновременно нагревают на кипящей водяной бане в течение одного
часа и повторяют описанную выше процедуру нанесения проб на бумагу и
определения количества экстрактивных веществ после нагревания, т. е. оценивают
изменения в интенсивности окраски пятен и количестве экстрактивных веществ,
получаемых во всех вариантах извлечений при нагревании.
После
проведения обязательных реакций на основные группы БАВ (таблица 1.1) и оценки
группового состава БАВ в полученных извлечениях, изучают компонентный состав,
используя метод восходящей одномерной бумажной хроматографии в присутствии
веществ-стандартов на разные обнаруженные группы БАВ, сравнивая их в видимом и
УФ-свете, по величинам Rf и цвету пятен от действия специфических
проявителей [8].
Таблица 1.1 – Обязательные реакции
на основные группы БАВ
|
№ п/п
|
Реактив
|
Основные группы БАВ
|
|
1
|
NH3 (в парах или растворе)
|
С=О
содержащие соединения (флавоноиды, пигменты, антоцианы, антрахиноны, халконы,
ауроны, ксантоны и др.)
|
|
2
|
NaOH
(КОН)
|
Антрацены, халконы, ауроны
|
|
3
|
FeCl3 (1-5 % водные или спиртовые)
|
Фенольные соединения
|
|
4
|
А1С13,
(1-5 % водные или спиртовые)
|
Флавоноиды
и другие фенольные соединения с рядовым расположением ОН-групп или сочетание
рядом стоящих С=О и ОН-групп
|
|
5
|
Железоаммониевые
квасцы (1 % водный раствор)
|
Дубильные
вещества (гидролизуемого и конденсированного типов)
|
|
6
|
Ванилин
в концентрированной соляной или серной кислоте
|
Катехины,
конденсированные дубильные вещества, антоцианы
|
|
7
|
о-Толуидин
|
Альдозы (углеводы)
|
|
8
|
Нингидрин
|
Аминокислоты, аминосахара, алкалоиды с NH2
и NH-rpyппами
|
|
9
|
Реактив
Драгендорфа (или фосфорно-вольфрамовая кислота)
|
Алкалоиды
|
|
10
|
"Лактонная"
проба
|
Кумарины
|
|
11
|
Проба
на "пенообразование" (делается в растворе)
|
Сапонины
|
В
результате при небольшом расходе сырья и экстрагентов решается несколько задач:
-
подбор
оптимальногоэкстрагента (по качественному составу извлекаемых групп БАВ и
количеству экстрактивных веществ);
-
подбор режима
экстракции (без температуры или с нагреванием) по результатам изменений в
интенсивности окраски, по качественным реакциям на основные группы БАВ и
степени их извлечения. Рекомендуется использовать не менее 10 реакций,
поскольку в извлечениях могут присутствовать вещества, мешающие друг другу при
их качественном определении в составе одного извлечения;
-
суммарная
информация может служить основой для разработки технологической схемы выделения
целевых веществ [8].
Следующим
этапом при изучении состава и получения лекарственных средств заключается в
извлечении (экстрагировании) флавоноидов. К этому этапу также предъявляются
требования соблюдения сохранности нативного состава веществ.
Для
флавоноидных гликозидов подходящими экстрагентами являются спиртосодержащие
смеси: метанол – вода (70:30) и чаще этанол – вода с разным соотношением
компонентов. Спиртосодержащиеэкстрагенты выполняют еще и важную роль
ингибирования ферментных систем растений и тем самым способствуют сохранению
нативности состава.
Для
агликонов, как для менее полярных соединений, кроме того, применимы и такие
экстрагенты, как этилацетат и диэтиловый эфир.
В
целях количественного анализа процедуру извлечения повторяют дважды или трижды
(до максимального «истощения» экстрагируемого материала). Если растительный
материал (листья, трава и т. п.) обогащен хлорофиллом, то для освобождения от
него либо проводят преэкстракцию неполярным растворителем (хлороформом,
диэтиловым эфиром), либо обрабатывают этими растворителями уже полученные
экстракты, как правило, после практически полного удаления из них спирта.
Для
флавоноидов, как и для других веществ, не существует способа выделения,
универсального для всех растительных материалов. В каждом конкретном случае прибегают
к наиболее подходящему методу или сочетанию методов, с учётом в основном
свойств веществ и особенностей растительного сырья. Наиболее часто используются
избирательная экстракция, осаждение с помощью солей тяжёлых металлов и
хроматографические методы [9].
Избирательная
экстракция для флавоноидов имеет важное значение в связи с широким
использованием для их разделения и очистки различных вариантов
хроматографического метода.
В
настоящее время используют различные варианты хроматографического метода.
Наиболее важной в качественном анализе является распределительная хроматография
на бумаге. Тонкослойный вариант удобен для разделения ароматических оксикислот
и метилированных флавоноидов, которые с трудом делят на бумаге.
Метод
жидкостно-жидкостной хроматографии и, особенно, ВЭЖХ позволяет осуществлять
качественный и количественный анализ всех видов флавоноидов.
Для
разделения флавоноидов между собой и отделения от сопутствующих веществ
используется адсорбционно-хроматографический метод [10].
Метод
тонкослойной хроматографии (ТСХ) очень удобен для сравнительного анализа с использованием
стандартных веществ.
Пятна флавоноидов на хроматограмме зачастую могут
быть обнаружены просто при облучении пластинки УФ-светом. Широко используются
методы обработки хроматограмм такими проявляющими (детектирующими) реагентами,
как спиртовый раствор АlCl3,
пары иода и концентрированная серная кислота (для силикагелевых слоев), а также
нагревание (только для силикагелевых пластинок).
Метод ТСХ позволяет широко варьировать сочетание
сорбента и подвижной фазы, подбирая наиболее оптимальный вариант для
конкретного объекта (таблица 1.2).
Специфическим для хроматографии флавоноидов является
полиамидный сорбент. Полиамидный сорбент (стационарная фаза), в зависимости от
состава подвижной фазы, может проявлять двойственный характер, а именно
выступать в роли полярной или неполярной фазы.
Соответственно разделение веществ может протекать
либо как обычный распределительный (в водно-спиртовых элюентных системах), либо
как обращенно-фазный распределительный (в элюентной системе метанол –
хлороформ) процессы.
Таблица 1.2 –
Типичные условия ТСХ анализа флавоноидов
|
Группа флавоноидов
|
Неподвижная фаза (сорбент)
|
Подвижная фаза (элюентная система растворителей)
|
|
Флавоноидные гликозиды
|
Целлюлоза
|
Бутанол – уксусная кислота – вода
(3:1:1)
трет-Бутиловый спирт – уксусная
кислота – вода
|
|
Силикагель
|
Уксусная кислота (5 – 40%-я)
Этилацетат – метилэтилкетон –
метанол (5:3:1)
|
|
Полиамид
|
Метанол – вода (8:2)
Хлороформ – метанол (1: 1)
|
|
Полярные гликоны (флавоны, флавонолы)
|
Целлюлоза
|
трет-Бутиловый спирт – уксусная кислота – вода
Бутанол – уксусная кислота – вода
(3:1:1)
50%-я уксусная кислота
|
|
Силикагель
|
Бензол – уксусная кислота – вода (125:72:5)
Толуол – ацетон – хлороформ (8:7:5)
Хлороформ – ацетон – муравьиная кислота (9:2:1)
|
|
Полиамид
|
Хлороформ – метанол – уксусная кислота (9:1:0,1)
Метанол – уксусная кислота – вода (18:1:1)
|
|
Неполярные агликоны (дигидрофлавоны, изофлавоны,
полиметилированные флавоны)
|
Целлюлоза
|
Уксусная кислота (10 – 30%-я)
Хлороформ – метанол (15:1 или 3:1)
|
|
Силикагель
|
Хлороформ – метанол (3:2)
|
|
Полиамид
|
Метанол – вода (1:1)
|
Центром сорбции является амидная группировка
полиамидной макромолекулы, например капрона. Хроматографируемые вещества
образуют обратимые водородные связи между протонодонорной гидроксильной группой
флавоноидного соединения и карбонильной группой амидного фрагмента.
Агликоны сорбируются на полиамиде прочнее, чем их
гликозиды. Сорбция агликонов находится в пропорциональной зависимости от числа
гидроксильных групп в молекуле, а также от их местоположения в молекуле [11,
12].
Метод высокоэффективной жидкостной хроматографии
(ВЭЖХ) является быстрым, хорошо воспроизводимым методом, который требует малого
количества анализируемого вещества и используется для количественного,
качественного анализа и препаративного выделения [13].
Для флавоноидов более употребительны колонки с
обращенно-фазными сорбентами (RP-8; RP-18) и детектирование с помощью
УФ-видимого детектора с переменной длиной волны. В настоящее время широко
используется фотодиодный детектор, позволяющий одновременно с выделением пика
на хроматограмме получать УФ-видимый спектр вещества, соответствующего этому
пику. Такой экспериментальный прием значительно облегчает задачу идентификации
веществ.
Подвижные фазы (элюентные системы), как правило,
бывают бинарными и содержат подкисленный полярный компонент (водные растворы
уксусной, перхлорной, фосфорной или муравьиной кислот) и менее полярный
органический растворитель (метанол или ацетонитрил). Подвижная фаза может
поступать в колонку как в изократическом, так и в градиентном режиме, когда в
ходе процесса хроматографирования происходит во времени изменение соотношения
компонентов подвижной фазы [13,14].
Градиентный режим наиболее подходит для разделения
сложных смесей флавоноидов. Для колонок с обращенно-фазными сорбентами типичные
градиентные программы основаны на использовании подвижных фаз с преобладанием
на старте доли полярного растворителя с дальнейшим постепенным возрастанием
доли менее полярного растворителя.
Соотнесение пика на хроматограмме с «принадлежащим»
ему веществом является наиболее трудной задачей. Удобным приемом является
использование параллельного хроматографирования хорошо известных, так
называемых стандартных образцов и сравнение с ними хроматограммы исследуемого
объекта. Стандартное вещество в идеале должно быть наиболее родственно
флавоноидам и иметь подобные хроматографические свойства. В тех случаях, когда
стандартное вещество хроматографируется в равных условиях, но параллельно, его
называют внешним стандартом. Внутренний стандарт (добавляется в исследуемую
пробу перед вводом в хроматограф) должен отвечать следующим условиям: в
исследуемой смеси не должно содержаться аналогичное вещество и пик стандарта не
должен перекрываться с каким-либо соединением в смеси. Такие ограничения
отсутствуют в случае применения внешнего стандарта.
Преимуществами внутреннего стандарта является
подтверждение достоверности экстракции, подготовки образца, хроматографической
процедуры. В качестве стандартного вещества для флавоноидов часто используется
рутин, являющийся коммерческим доступным продуктом. Он хорошо подходит для
количественного анализа флавоноловых гликозидов. Для содержащихся в смеси
других флавоноидов могут быть использованы такие коммерчески доступные
стандарты, как апигенин-7-глюкозид – для флавоновых гликозидов, катехин – для
флаван-3-олов, нарингенин – для дигидрофлавонов, дигидрокверцетин – для
дигидрофлавонолов, даидзеин – для изофлавонов [13,14].
Для количественного анализа строится кривая
зависимости концентрации флавоноида от площади пика для каждого стандарта в тех
же самых хроматографических условиях (длина волны, растворитель), которые
применяются по отношению к исследуемой смеси. Соответствующие калибровочные
кривые могут быть использованы для расчета количества флавоноида, представляемого
каждым пиком ВЭЖХ хроматограммы. В настоящее время практически исчезла
надобность в построении калибровочных кривых в связи с обеспечением
хроматографов компьютерной системой обсчета площадей пиков [13,14].
На примере хроматографирования смеси флавонов и
флавонолов в обращенно-фазном варианте (рисунок 1.5) показано, что порядок
выхода флавоноидов коррелирует с числом гидроксильных групп, а именно: время
удерживания возрастает по мере снижения числа гидроксильных групп в молекуле.
Хроматографические условия: колонка Sep-PakC-18,
градиентный режим: метанол – 5 мМ, H3PO4.
Рисунок 1.5 – Хроматограмма смеси
флавоноидов
Описание пиков и времени удерживания представлены в
таблице 1.3.
Таблица 1.3 – Время удерживания различных
флавоноидов
|
Пики
|
Число ОН-групп
|
Время удерживания, мин
|
|
1 – мирицетин
|
1
|
11.5
|
|
2 – кверцетин
|
2
|
19.5
|
|
3 – лютеолин
|
3
|
23.0
|
|
4 – кемпферол
|
4
|
31.0
|
|
5 – апигенин
|
5
|
33.5
|
Для
обнаружения различных видов флавоноидов используются качественные реакции. Они
необходимы для подтверждения нахождения той или иной структуры на этапе
идентификации флавоноидов. Наиболее характерными реакциями являются следующие:
1)
Цианидиновая
проба (проба Шинода)
Общей реакцией на флавоноидные соединения является
цианидиновая проба (рисунок 1.6), проводимая с помощью концентрированной
соляной кислоты и металлического магния. Действие водорода в момент выделения
приводит к восстановлению карбонильной группы и образованию ненасыщенного
пиранового цикла, который под действием соляной кислоты превращается в
оксониевое соединение, имеющее окраску от оранжевой (флавоны) до
красно-фиолетовой (флаваноны, флавонолы, флаванонолы) [4].
Рисунок 1.6 – Цианидиновая проба
Изменение условий восстановления путем замены магния
на цинк приводит к изменению окраски. При использовании цинка положительную
реакцию дают флавонолы и флавонол-3-гликозиды, а флаваноны не обнаруживают ее.
Цианидиновую реакцию не обнаруживают халконы,
ауроны, но при добавлении концентрированной соляной кислоты (без магния)
образуют красное окрашивание за счет образования оксониевых солей.
Для постановки реакции 1 г порошка сырья заливают 10
мл 95% этанола, нагревают на водяной бане до кипения и настаивают 3 – 4 ч.
Спиртовое извлечение фильтруют, упаривают до объема 2 мл, делят пополам и
разливают в 2 пробирки; в каждую пробирку прибавляют по 3 капли
концентрированной хлористоводородной кислоты. В 1-ю пробирку добавляют 0.03 –
0.05 г цинковой пыли и нагревают на водяной бане до кипения. Жидкость
окрашивается в красный цвет. Во 2-й пробирке окрашивание отсутствует [4].
2)
Борно-лимонная
реакция (реакция Вильсона-Таубека)
5-оксифлавоны и 5-оксифлавонолы, взаимодействуя с
борной кислотой в присутствии лимонной (реактив Вильсона), образуют желтую
окраску с красноватой флюоресценцией в УФ-свете. При замене лимонной кислоты на
щавелевую (реактив Таубека) в УФ-свете отмечается зеленая или желтая
флюоресценция (рисунок 1.7).
Рисунок 1.7 – Реакция Вильсона-Таубека
3)
Реакция
с треххлористой сурьмой
5-оксифлавоны и 5-оксифлавонолы, взаимодействуя с
треххлористой сурьмой, образуют комплексные соединения, окрашенные в желтый
или желто-оранжевый цвет – флавоны, в красный или красно-фиолетовый – халконы
(рисунок 1.8).
Рисунок 1.8 – Реакция с
треххлористой сурьмой
Реакцией по Брианту (которая является
модификацией пробы Шинода) можно отличить гликозиды от агликонов. Суть метода
заключается в следующем: после проведения цианидиновой пробы к раствору
добавляют октанол и взбалтывают. При наличии агликонов окраска переходит в
органический слой.
4) Образование фенолятов
Так как в своей структуре флавоноиды
имеют фенольные гидроксилы, то им присущи химические свойства, соответствующие
данной функциональной группе. Так, фенольные ОН-группы способны проявлять
слабокислые свойства, образуя феноляты с основаниями.
5) Взаимодействие со щелочами
Характерной реакцией на флавоноиды
считается также их взаимодействие с щелочами. Флавоны, флавонолы, флаваноны и
флаванонолы растворяются в щелочах с образованием жёлтой окраски, которая при
нагревании изменяется до оранжевой или коричневой. Халконы и ауроны при
взаимодействии со щелочами обычно дают красное или ярко-жёлтое окрашивание.
6) Образование комплексов с солями
металлов
Присутствие фенольных гидроксилов и
карбонильной группы позволяет флавоноидам образовывать комплексы различной степени
устойчивости с солями металлов (Аl3+,
Fe3+,
Pb2+
и так далее), вступать в реакции с диазосоединениями с образованием
азокрасителей.
7) Диазотирование
При проведении реакции
диазотированияазосочетание проходит по 6 или 8 положениям. Если положения 5 и 7
замещены, то реакция не идёт (можно доказать присутствие в 7 положении углеводного
компонента). В качестве диазосоставляющего часто используют кислоту
сульфаниловую или п-нитроанилин.
8) При использовании хроматографических методов
определения флавоноидов их можно обнаружить на хроматограммах по флуоресценции
или в виде окрашенных пятен при сканировании в УФ-свете или/и проявлении одним
из реактивов (пары аммиака, 5 %-ный спиртовой раствор алюминия хлорида,
10 % раствор щёлочи, реактив Вильсона, раствор диазотированного сульфаниламида
и другие) [4].
1.3.1.2 Объемные методы количественного определения флавоноидов
Объёмный анализ
– это совокупность методов химического количественного анализа,
основанного на измерении объёмов для установления концентрации (содержания)
определяемого вещества. К объёмным методам анализа относят
распространённые в лабораторной практике различные варианты титриметрического анализа,
основанного на измерении объёма израсходованного раствора реагента известной
концентрации, необходимого для достижения точки эквивалентности.
Комплексонометрия – метод титриметрического анализа,
который основан
на образовании прочных комплексных соединений ионов металлов (всех, кроме
одновалентных) с комплексоном III (двунатриевой солью этилендиаминтетрауксусной
кислоты), при этом изменяются концентрации ионов металлов в титруемом растворе.
Метод комплексонометрического титрования избытка
ацетата свинца, не вступившего в реакцию осаждения с флавонолами, обладает
достаточной избирательностью по отношению к флавоноидам и позволяет проводить
определение флавонолов в присутствии ацетилсалициловой кислоты, антрахинонов,
кумаринов.
К
титриметрическому методу анализа также относится метод окисления флавоноидов
ферроцианидом калия по n-фенил-аптрониловой
кислоте. Однако метод длителен и не обладает избирательностью [10].
Потенциометрическое титрование относится к методу электрохимического
анализа,
основанному на измерении изменяющегося в процессе титрования электрохимического
потенциала электрода, погруженного в изучаемый раствор.
Количественное определение флавоноидов в среде
неводных растворителей, например, ацетона, диметилформамида, диметилсульфоксида
потенциометрическим методом возможно с использованием в качестве титрантов
гидроокиси тетраэтиламмония или натрия. Метод имеет преимущество перед
оптическими в точности определения и не требует наличия стандартных веществ
для проведения количественной оценки.
Малая чувствительность (для анализа требуется 0.0005
– 0.001 г вещества) и недостаточная селективность для каждого из классов
затрудняют определение без предварительного разделения веществ в сырье и
суммарных препаратах [15].
В основу высокочувствительного полярографического
метода анализа положено восстановление флавоноидов на ртутном капельном
электроде. Метод позволяет анализировать сумму флавоноидов, в
пересчете на одно из соединений, выбранное в качестве стандарта. В отличие от
спектрофотометрии окрашенных комплексов метод дает более близкие к истинному
суммарному содержанию результаты для флавоноидов.
Флавоноиды
(флавонолы) могут быть определены на фоне 0.4 М раствора хлористого аммония при
потенциале полуволны 1.5 В. Полярографический метод позволяет устанавливать
наличие внутримолекулярных связей, проводить идентификацию по величине
потенциала полуволны, оценивать реакционную способность отдельных групп в
молекуле. В практике фармацевтического анализа и в особенности в заводских
условиях полярографический анализ встречает затруднения, так как требует
соблюдения строгих условий техники безопасности при работе со ртутью. К
недостаткам метода можно отнести его малую избирательность из-за близких
величин потенциалов полуволн, в связи, с чем требуется, как и при спектральных
методах, предварительное разделение веществ [16].
В современной
науке для обнаружения и количественного определения флавоноидов в растительном
сырье также используется метод капиллярного электрофореза [17].
Метод
капиллярного электрофореза основан на разделении компонентов сложной смеси в
кварцевом капилляре под действием приложенного электрического поля. Микрообъем
анализируемого раствора вводят в капилляр, предварительно заполненный
подходящим буфером – электролитом. После подачи к концам капилляра высокого
напряжения (до 30 кВ), компоненты смеси начинают двигаться по капилляру с
разной скоростью, зависящей в первую очередь от заряда и массы (точнее –
величины ионного радиуса) и, соответственно, в разное время достигают зоны
детектирования. Полученная последовательность пиков называется
электрофореграммой, при этом качественной характеристикой вещества является
параметр удерживания (время миграции), а количественной – высота или площадь
пика, пропорциональная концентрации вещества. На рисунке 1.9 показана схема
установки для капиллярного электрофореза [18].
Рисунок 1.9 – Схема
установки для капиллярного электрофореза
На
заряженную частицу в простейшем случае действуют две противоположно
направленные силы – электростатического притяжения и сопротивления движению
частицы. В равновесных условиях действие этих сил уравновешивает друг друга, и
скорость миграции частицы определяется выражением:
|
,
|
(1.1)
|
где,
q – заряд иона;
E – напряженность электрического
поля;
η – вязкость среды;
r – радиус частицы.
Электрофоретическая
подвижность μэфопределяется как скорость движения частицы,
деленная на напряженность электрического поля:
|
,
|
(1.2)
|
где,
Vэф–
скорость идеализированной сферической частицы.
При
проведении разделения в капиллярах особенно важное значение приобретает
электроосмотический поток (ЭОП), связанный с движением диффузной части двойного
слоя, образующегося относительно заряженной поверхности внутренней стенки
капилляра (рисунок 1.10).
Рисунок 1.10 – Схема
возникновения ЭОП
Заряд
поверхности определяется наличием отрицательно заряженных силанольных групп на
поверхности немодифицированных кварцевых капилляров или создается за счет
дополнительной модификации поверхности.
Результирующая
подвижность частиц μ определяется суммой электрофоретической и
электроосмотической подвижностей:
|
,
|
(1.3)
|
где,
– электрофоретическая
подвижность;
– электроосмотическая
подвижность.
Это
дает определенные преимущества при анализе смесей противоположено заряженных
ионов, поскольку все определяемые компоненты будут двигаться в направлении
детектора вследствие ЭОП. Однако скорость передвижения ионов с одинаковым
направлением электрофоретической и электроосмотической подвижностей будет
увеличиваться, а противоположенным – уменьшаться. Для немодифицированного
кварцевого капилляра в диффузной части двойного электирического слоя
присутствует некоторая избыточная концентрация катионов, в результате движения
которых возникает ЭОП, направленный к катоду. В результате катионы будут
перемещаться быстрее и детектироваться до ЭОП, а анионы медленнее и
детектироваться после ЭОП, нейтральные молекулы движутся с ЭОП.
Для
повышения воспроизводимости капиллярного электрофореза в присутствии ЭОП,
электроосмотический поток должен быть постоянным в течение всех проводимых
определений, а сохранение постоянства ЭОП часто требует значительных усилий по
подготовке до и после работы. В кварцевых капиллярах ЭОП уменьшается при
увеличении концентрации электролита и добавлении органических растворителей и
возрастает с увеличением рН, а также зависит от вязкости раствора в капилляре и
температуры. Если же при добавлении катионных поверхностно-активных веществ
(ПАВ) к разделительному буферу на поверхности капилляра адсорбируется
положительный заряд (рисунок 1.11), то ЭОП меняет направление и переносит
разделительный буфер в направлении анода.
Рисунок 1.11 – Изменение
направления электроосмотического потока при модификации кварцевого капилляра
катионными поверхностно-активными веществами
Уникальной
особенностью ЭОП является плоский профиль потока в капилляре. Такой профиль
выгоден, поскольку уменьшается размывание зон разделяемых веществ. Следует
отметить, что эффективность разделения в капиллярном электрофорезе прямо
пропорциональна, а время анализа – обратно пропорционально напряжению,
приложенному к электродам.
Разделение
в капиллярном электрофорезе может быть выполнено как с положительной, так и
отрицательной полярностью электродов. Зная значения рКа для компонентов пробы,
можно выбрать буфер с подходящим значением рН и полярность электродов, чтобы
образец двигался в сторону детектора.
Скорость
миграции зависит от напряженности электрического поля, которая обычно
составляет 200 – 400 В/см [18,15].
Преимуществами
капиллярного электрофореза являются: высокая эффективность разделения,
экономичность (малый расход реактивов) и экспрессивность.
Спектрофотометрический
и фотоколориметрический анализы являются разновидностями
молекулярно-абсорбционного спектрального анализа. Сущность молекулярно-абсорбционного
спектрального анализа заключается в качественном и количественном определении
веществ по их спектрам поглощения. Физической основой спектрального анализа
является взаимодействие электромагнитного излучения с веществом.
Основной
закон спектрофотометрии - закон Бугера-Ламберта-Бера. Применительно к растворам
его запись выглядит следующим образом:
|
,
|
(1.4)
|
где,
10 – начальная интенсивность светового потока,
I
- интенсивность светового пучка после прохождения раствора,
ε
– коэффициент поглощения (экстинкции) светового потока,
С
– концентрация вещества в растворе в моль/л,
l – толщина слоя
светопоглощающего раствора.
Из
уравнения (1.4) следует:
|
,
|
(1.5)
|
Величина
lg (I0/I)
называется оптической плотностью раствора и обозначается символом D. Из (1.5)
имеем:
|
|
(1.6)
|
Из уравнения
(1.6) следует, что оптическая плотность раствора прямо пропорциональна
концентрации светопоглощающего вещества в растворе и толщине слоя раствора. То
есть при определённой толщине слоя раствора, оптическая плотность будет тем
больше, чем больше концентрация вещества в растворе. Отсюда следует, что,
определяя оптическую плотность раствора, мы можем напрямую
определять концентрацию вещества в растворе. Увеличивая толщину слоя l можно
измерять очень малые концентрации веществ [10,19].
Количественное
определение исследуемых флавоноидных соединении в УФ- и видимой области
спектров основано на измерении оптической плотности при длине волны в
максимумах поглощения как растворов анализируемых веществ, так и растворов их
окрашенных комплексов.
Спектрофотометрическое
определение по максимумам собственного поглощения в разновидности прямой
спектрофотомерии или дифференциальной спектрофотомерии является одним из
наиболее распространенных методов анализа флавоноидов. При этом рабочими
диапазонами длин волн служат как длинноволновые максимумы для флавоноидов –
330-370 нм, так и коротковолновые. Коротковолновые максимумы, хотя и более
интенсивны, но в ряде случаев менее пригодны для аналитических целей из-за
малой «площади» вершины пика, что приводит к большим ошибкам определения.
Относительная ошибка прямого спектрофотометрического определения составляет
± 2-5 % и может быть снижена при дифференциальной методике анализа до 0.5-1.0
%. Рабочий интервал концентраций спиртовых, спиртоводных растворов составляет
от 5 до 20 мкг вещества в 1 мл раствора. Обладая высокой чувствительностью,
метод не селективен, так как не контролирует содержание каждого из веществ
одного класса соединений и не позволяет судить о их количестве.
Спектрофотометрические
или фотометрические определения по реакции диазотирования ранее были широко
распространены в анализе. Реакция чувствительна, но не избирательна, так как
наряду с флавоноидами эту реакцию дают фенольные соединения, пиразолоны и
другие классы соединений. Применение данного метода ограничено неспецифичностью
его и внутри каждого из классов соединении из-за прохождения реакции у
флавоноидов только по кольцу А при наличии свободного ортоположения по отношению
к фенольному гидроксилу у 7-го углеродного атома. Поэтому даже суммарные
определения с данным реактивом не показывают истинногосодержания исследуемых
веществ как в суммарных фитохимических препаратах, так и в растительном сырье.
Большей
специфичностью обладают, хотя и не лишены недостатков, методики определения
флавонолов по цветным комплексным соединениям с хлоридом алюминия, хлорокисью
циркония (хлористым цирконилом), азотнокислым галлием. Окрашенные растворы
имеют максимумы в интервалах: 385-460 нм с хлористым алюминием, 385-500 нм с
хлористым цирконилом, 400-455 нм с азотнокислым галлием. Наибольшей
чувствительностью обладает методика с применением азотнокислого галлия, позволяющая
количественно определять 0.5 мкг в 1 мл раствора, затем с хлорокисью циркония –
0.9-1.0 мкг и с хлористым алюминием – 1-2 мкг.
Описаны методики
анализа флавоноидов с нитритом кобальта в среде уксусной кислоты при длине
волны 575 нм, а также с цинком и мышьяком. Получить истинное суммарное
содержание флавоноидов по образованию цветных комплексов с металлами возможно
лишь при наличии у соединений одинакового количества комплексообразующих центров.
Отсутствие таковых у целого ряда соединений приводит к отрицательной реакции с
данными реактивами.
Несмотря на
указанные недостатки, метод нашел широкое применение при установлении
суммарного содержания флавоноидов в сырье и суммарных фитохимических препаратах.
В качестве стандарта используют кверцетин, кемпферол или их гликозиды.
Широко
распространена при определении общего количества флавоноидных соединений в
растениях методика фотометрического определения по реакции комплексобразования
с борной кислотой при длине волны 470 нм. Методика обладает теми же
недостатками, что и методика комплексобразования с солями металлов, и дает
завышенные результаты, но простота проведения и доступность реактива дают
возможность использовать их для ориентировочных определений. В качестве
образцов используют как агликоны, так и гликозиды флавонов, флавонолов,
халконов. Рабочая концентрация растворов 1-10 мкг/мл. Относительная ошибка
определения ± 3.35 %.
Одним из методов
определения флавоноидных соединений по оптической плотности является также
анализ продуктов взаимодействия с 4-аминоантипириновым реактивом. Однако,
данный анализ требует соблюдения ряда условий, как и при реакции
диазотировання, и не является избирательным.
В ряду
спектрофотометрических методов анализа флаванонов наиболее чувствителен
боргидридный метод (до 0.5-1 мкг/мл при длинах воли 535-560 нм). Несмотря на
значительную селективность, он не имеет широкого применения из-за малого
времени устойчивости окрашенного комплекса и плохой воспроизводимости
результатов.
Комплексонообразующие
свойства флавоноидов положены в основу флуорометрического метода, являющегося
на порядок более чувствительным, чем спектрофотометрический. Количественно
оценить флавоноиды этим методом возможно при наличии 0.05-1 мкг вещества в 1 мл
раствора. Высокая чувствительность флуорометрического метода раскрывает широкие
возможности его применения для предварительной идентификации биологически
активных веществ в тканях растений. Однако получить объективные результаты при
анализе сырья и фитохимических препаратов можно только после разделения веществ
с помощью различных видов хроматографии [19].
В целом для
флавоноидов характерно поглощение в УФ-видимой области спектра (210-600 нм).
Спектр поглощения флавоноидного соединения содержит, как правило, две полосы:
одна из них в низковолновой (210-290 нм) части – полоса II, другая – в более
длинноволновой (320-380 или 490-540 нм для антоцианидинов) части – полоса I.
Рисунок 1.12 – Положение полос
поглощения в УФ-видимой области спектра для изофлавона (1) и флавонона и
флавононола (2)
Рисунок 1.13 – Положение полос
поглощения в УФ-видимой области спектра для
флавона (1), флавонола (2) и халкона (3)
Внутри каждой группы флавоноидов выявлена более
«тонкая» картина зависимости положения максимумов полос поглощения от структуры
соединения. Например, у ряда флавонов с одинаковым 5,7-дигидроксизамещением
кольца А полоса I перемещается в более длинноволновую область по мере
возрастания числа гидроксильных групп в кольце В (таблица 1.4).
Таблица
1.4 – Зависимость положения максимумов полос поглощения ОН-группы в кольце В у
ряда флавонов
|
Положение ОН-группы в кольце В
|
Полоса I
|
|
Хризин
|
–
|
313 нм
|
|
Апигенин
|
4'
|
336 нм
|
|
Лютеолин
|
3',4'
|
349 нм
|
|
Трицетин
|
3',4',5'
|
354 нм
|
Абсорбционная спектроскопия флавоноидов хорошо
изучена, и выявленные закономерности широко используются в целях идентификации
и установления строения новых соединений. Особенно информативной является
процедура добавления шифт-реагентов, каждый из которых предназначен для
выявления определенных «диагностических» признаков в структуре исследуемого
соединения [13].
Шифт-реагенты принято добавлять к раствору
исследуемого флавоноидного соединения в метаноле (в случае антоцианов и/или
антоцианидинов – в метаноле с 0.01% хлороводородной кислоты). После добавления
шифт-реагента в исходном спектре происходит сдвиг полос поглощения и по
характеру этих изменений делается вывод о наличии (или отсутствии) в соединении
определенных структурных фрагментов.
Часто шифт-реагенты используются для обнаружения в
структуре соединений:
1.
гидроксильных
групп с наиболее выраженными кислотными свойствами
(7-ОН, 4'-ОН);
2.
хелатообразующего
фрагмента, т. е. сочетания 4-оксогруппы с 3-ОН- и/или 5-ОН-группами.
Гидроксильные группы
различаются по кислотности и располагаются в следующий ряд: 7-ОН > 4'-ОН
> 3'-ОН > 5-ОН. Для доказательства наличия в структуре свободной наиболее
кислой 7-ОН-группы служит слабощелочной шифт-реагент – ацетат натрия (таблица
1.5). Несколько миллиграммов плавленого ацетата натрия добавляют к аликвоте
исходного метанольного раствора исследуемого вещества, снимают спектр и
сравнивают со спектром исходного раствора.
Таблица 1.5 – Шифт-проба с ацетатом
натрия
|
Группа
флавоноидов
|
Полоса
поглощения
|
Сдвиг,
нм
|
Детектируемый
структурный признак
|
|
Флавоны
|
I
|
+
(5-20)
|
Свободная
7-ОН-группа
|
|
Флавонолы
|
|
Изофлавоны
|
|
Флаваноны
|
II
|
+
(30-60)
|
Свободная
7-ОН-группа
|
|
Флаванонолы
|
Для доказательства
свободной4'-ОН-группы (одновременно с 7-ОН-группой)
используется более сильный щелочной реагент — метоксид натрия (таблица 1.6).
При этом к аликвотеметанольного раствора исследуемого соединения добавляют 2-3
капли шифт-реагента; снимают спектр сразу и еще после 3-5 минут стояния.
Для дигидрокемпферола (рисунок 1.14) на рисунке 1.15
приведен УФ-спектр, полученный с использованием шифт-агентов.
Таблица
1.6 – Шифт-проба с метоксидом натрия
|
Группа флавоноидов
|
Полоса поглощения
|
Сдвиг, нм
|
Детектируемый структурный признак
|
|
Флавоны
Флавонолы
|
I
|
+ (45-65) (без изменения
интенсивности)
|
Свободная 4’-ОН-группа
|
Снижение интенсивности со сдвигом
или без сдвига
|
Замещенная группа 4’-OR
|
Снижение интенсивности и
деградация через 3-5 мин.
|
Свободная 3’,4’-дигидрокси- или
тригидроксигруппировка
|
|
Появление новой слабоинтенсивной
полосы 320-335 нм
|
Свободная 7-ОН-группа
|
|
Флавононы
Флавононолы
|
II
|
Сдвиг с 280 до 325 нм
|
Свободная 7-ОН-группа
|
Отсутствие сдвига
|
Замещенная 7-OR-группа
|
|
Халконы
Ауроны
|
II
|
Появление красного или оранжевого
окрашивания и сдвиг на 50 нм с возрастанием интенсивности
|
Свободная 4-ОН-группа
(халконы)
|
|
Свободная 6-ОН-и/или 4’-ОН-группы
(ауроны)
|
Рисунок
1.14 – Химическая структура дигидрокемпферола
Рисунок
1.15 – УФ-спектрдигидрокемферола с использованием шифт-агентов
Для
рамнетина (рисунок 1.16) на рисунке 1.17 приведен УФ-спектр, полученный с
использованием шифт-агентов.
Рисунок
1.16 – Химическая структура рамнетина
Рисунок
1.17 – УФ-спектррамнетина с использованием шифт-агентов
Для атеметина (рисунок 1.18) на рисунке 1.19
приведен УФ-спектр, полученный с использованием шифт-агентов.
Рисунок 1.18 –
Химическая структура артеметина
Рисунок 1.19 – УФ-спектрартеметина с использованием
шифт-агента
Для дигидрофизетина (рисунок 1.20) и физетина
(рисунок 1.21) на рисунке 1.22 приведен УФ-спектр, полученный с использованием
шифт-агентов [13].
Рисунок 1.20 –
Химическая структура дигидрофизетина
Рисунок 1.21 –
Химическая структура физетина
Шифт-проба
с ацетатом натрия для дигидрокемпферола (рисунок 1.14) приводит к батохромному сдвигу полосы II на 36 нм, что
соответствует наличию 7-ОН-группы во флаванонолах (см. табл. 6). В то же время
артеметин, в структуре которого присутствуют замещенные (метилированные)
гидроксильные группы в положениях 7 и 4', не дает положительной шифт-пробы с
ацетатом натрия (отсутствует батохромный сдвиг полосы 1) (рисунок 1.19).
Широко
используемой является реакция взаимодействия флавоноидов с хлоридом алюминия.
Флавоноиды способны образовывать комплексные соединения с включением ионов А13+.
Считается, что в образовании комплекса с ионами металлов могут участвовать три
центра в структуре молекулы флавоноида (рисунок 1.23).
Рисунок 1.22 – УФ-спектдигидрофизетина и физетина с
добавлением шифт-агента
Рисунок 1.23 –
Возможные центры хелатирования флавоноидами ионов металлов
В
результате комплексообразования в УФ-спектрах поглощения наблюдается сильный
батохромный сдвиг полос поглощения I или II в зависимости от типа флавоноидного
соединения (таблица 1.7). Для определения центров комплексообразования –
снимают спектр (1) метанольного раствора исследуемого раствора исследуемого
вещества. К аликвотеметанольного раствора исследуемого вещества добавляют 2-3
капли 5%-гометанольного раствора А1С13 и снимают спектр (2). Спектры
(1) и (2) сравнивают между собой [13].
Например,
в УФ-спектре кверцетина максимум полосы I сдвигается с 375 до 435 нм
(батохромный сдвиг) и соответственно раствор приобретает яркое желтое окрашивание.
На этом основано использование спиртового раствора AlCl3
в качестве проявляющего реагента в ТСХ флавоноидов.
Для
рамнетина, в молекуле которого в комплексообразовании могут участвовать три
центра, шифт-проба с AlCl3
приводит к батохромному сдвигу полосы I на 80 нм (рисунок 1.17), а в
артеметине, где возможность комплексообразования ограничена одним центром,
поскольку имеется только одна свободная ОН-группа в положении 5, батохромный
сдвиг в результате шифт-пробы с А1С13 составляет 32 нм (рисунок
1.15). Отсутствие в молекуле 5-ОН-группы и возможность участия в
комплексообразовании только двух других центров, как это показано на рисунке
1.22 на примере физетина, приводит тем не менее к довольно большому
батохромному сдвигу – на 96 нм.
Таблица 1.7 – Шифт-проба с хлоридом алюминия
|
Группа флавоноидов
|
Полоса поглощения
|
Сдвиг, нм
|
Детектируемый структурный признак
|
Флавоны
Флавонолы
|
I
|
35-70
Нет сдвига
|
Свободные 5-ОН-и/или 3-ОН-группы
Отсутствуют или амещены 3-ОН-и/или 5-ОН-группы
|
|
Флаваноны
Флаванонолы
Изофлавоны
|
II
|
10-25
|
Свободная 5-ОН-группа
|
|
Халконы
Ауроны
|
I
I
|
40-64
60-70
|
Свободная 2’-ОН-группа
Свободная 4-ОН-группа
|
Для
дигидрофлавонолов в целом шифт-пробы с А1С13
характеризуются меньшими бахромными сдвигами. Например, в случае
дигидрокемферолабахромный сдвиг равен 25 нм (рисунок 1.15), а дигидрофизетина –
31 нм (рисунок 1.22).
Наибольший батохромный сдвиг соответствует
комплексообразованию с одновременным участием всех трех потенциальных центров
молекулы (рисунок 23). При этом более прочными считаются комплексы,
образованные с участием карбонильной группы и 5-ОН- и/или 3-ОН-группами.
Комплекс с 3',4'-дигидроксигруппировкой в кольце В нестабилен, легко
разрушается в слабокислой среде и соответственно при этом уменьшается
батохромный сдвиг, что, в свою очередь, служит тестом для обнаружения этой
дигидроксигруппировки в молекуле. Так, для рамнетинашифт-проба с А1С13 + НС1
приводит к уменьшению батохромного сдвига на 28 нм по сравнению с шифт-пробой
с А1С13 (рисунок 1.17).
Проблема состава комплексов флавоноидов с ионами
металлов является предметом многочисленных научных исследований и нельзя
сказать, что она решена и в настоящее время. Доказано, что хелатирование
кверцетина с А13+
происходит только по двум центрам: во-первых, с участием 4-оксогруппы и 3-ОН-группы
и, во-вторых, с участием 3',4'-дигидрокси - группировки (рисунок 1.24 и 1.25)
[13].
Рисунок 1.24 – Центры хелатирования
комплексов кверцетина с хлоридом алюминия
1 – кверцетин; 2 – кверцетин-А1С13
(2:1, моль); 3 – кверцетин-А1С13 (0,1:1, моль)
Рисунок 1.25 – УФ-спектр
комплексов кверцетина с хлоридом алюминия:
Гидроксильная группа в положении 5 не участвует в
хелатировании в силу своей низкой кислотности. Образование хелата с участием
5-ОН- и 4-оксогруппы стерически затруднено из-за возникновения в молекуле
соседнего хелата.
В настоящее время происходит смена «приоритетов» и
зачастую сложные структурные вопросы решаются уже более «коротким», но более
технически оснащенным путем за счет высокоразрешающих современных
физико-химических методов [13].
1.3.4 Комбинированные методы исследования флавоноидов
Широкое распространение в анализе получили
комбинированные методы, включающие предварительное хроматографическое
разделение на бумаге, в тонком слое с последующим определением веществ в
элюатах из пятен хроматограмм, а также непосредственным сканированием
оптической плотности или определением площади пятна па
хроматограмме [10].
Хроматомасспектрометрия – метод анализа смесей,
преимущественно органических веществ, и определения следовых количеств веществ
в объемежидкости.
Метод основан на комбинации двух самостоятельных методов – хроматографии
и масс-спектрометрии.С
помощью первого осуществляют разделение смеси на компоненты, с помощью второго
– идентификацию
и определение строения вещества, количественного анализа. Известны два варианта
хроматомасспетрометрии, представляющие собой комбинацию масс-спектрометрии
либо с газо-жидкостной
хроматографией (ГЖХ), либо с ВЭЖХ.
При сочетании ГЖХ и масс-спектрометрии совместимость
этих двух приборов обусловлена тем, что в обоих случаях анализируемое вещество
находится в газовой фазе, рабочие температурные интервалы одинаковы, пределы
обнаружения (чувствительность) близки. Различие состоит в том, что в ионном
источнике масс-спектрометра
поддерживается высокий вакуум (10-5
– 10-6 Па), тогда как давление
в хроматографической колонке 105 Па. Для понижения давления
используют молекулярный сепаратор, который одним концом соединен с выходом
хроматографической колонки, а другим – с ионным источником масс-спектрометра. Молекулярный
сепаратор удаляет из газового потока, выходящего из колонки, основную часть
газа-носителя, а органическое вещество пропускает в масс-спектрометр. При этом давление
на выходе колонки понижается до рабочего давления
в масс-спектрометре.
Принцип действия молекулярных сепараторов основан
либо на различии подвижности молекул
газа-носителя и анализируемого вещества, либо на их различной проницаемости
через полупроницаемую
мембрану. Чаще всего применяют энжекторные сепараторы,
работающие по первому принципу. Одностадийные сепараторы этого типа содержат
две форсунки с отверстиями небольшого диаметра, которые установлены точно
напротив друг друга. В объеме между форсунками создается давление
1.33 Па. Газовый поток из хроматографической колонки через первую форсунку со
сверхзвуковой скоростью попадает в область вакуума,
где молекулы
распространяются со скоростями, обратно пропорциональными их массе. В
результате более легкие и быстрые молекулы
газа-носителя откачиваются насосом,
а более медленные молекулы
органического вещества попадают в отверстие второй форсунки, а затем в ионный
источник масс-спектрометра.
Некоторые приборы снабжены двухстадийным молекулярным сепаратором, снабженным
еще одним подобным блоком форсунок. В объеме между ними создается высокий вакуум. Чем легче молекулы
газа-носителя, тем эффективнее они удаляются из газового потока и тем выше
обогащение органическим веществом.
Наиболее удобный для хроматомасспектрометрии
газ-носитель – гелий.
Эффективность работы сепаратора, то есть отношение количества органического
вещества в газовом потоке, выходящем из колонки, к его количеству, поступающему
в масс-спектрометр,
в значительной степени зависит от расхода газа-носителя, попадающего в
сепаратор. При оптимальном расходе 20-30 мл/мин удаляется до 93% газа-носителя,
а в масс-спектрометр
поступает более 60% анализируемого вещества. Такой расход газа-носителя типичен
для насадочных колонок. В случае использования капиллярной хроматографической
колонки расход газа-носителя не превышает
2-3 мл/мин, поэтому на ее выходе в газовый поток добавляют дополнительное
количество газа-носителя, чтобы скорость потока, поступающего в молярный
сепаратор, достигла 20-30 мл/мин. Тем самым обеспечивается наилучшая
эффективность молекулярного сепаратора. Гибкие кварцевые капиллярные колонки
могут вводиться непосредственно в ионный источник. В этом случае ионный
источник должен быть обеспечен мощной откачивающей системой, поддерживающей
высокий вакуум.
В масспектрометрах,
соединенных с газовыми хроматографами,
применяется ионизация электронным ударом, химическая или полевая. Хроматографические
колонки должны содержать труднолетучие и термостабильные стационарные жидкие
фазы, чтобы масс-спектр их паров
не налагался на спектр анализируемого вещества.
Анализируемое вещество (обычно в растворе) вводится
в испарительхроматографа, где мгновенно
испаряется, а пары
в смеси с газом-носителем под давлением
поступают в колонку. Здесь происходит разделение смеси, и каждый компонент в
токе газа-носителя по мере элюирования из колонки поступает в молекулярный
сепаратор. В сепараторе газ-носитель в основном удаляется и обогащенный
органическим веществом газовый поток поступает в ионный источник масс-спектрометра, где молекулы
ионизируются. Число образующихся при этом ионов
пропорционально количеству поступающего вещества. С помощью установленного в масс-спектрометре датчика, реагирующего
на изменение полного ионного тока, записывают хроматограммы. Таким образом, масс-спектрометр можно рассматривать
как универсальный детектор к хроматографу.
Одновременно с записью хроматограммы в любой ее точке, обычно на вершине
хроматографического пика, может быть зарегистрирован масс-спектр, позволяющий
установить строение вещества [16,20].
Важное условие работы прибора – быстрая запись
масс-спектра, который должен регистрироваться за время, гораздо меньшее, чем
время выхода хроматографического пика. Медленная запись масс-спектра может
исказить соотношение интенсивностей пиков в нем. Скорость регистрации
масс-спектра (скорость сканирования) определяется масс-анализатором. Наименьшее
время сканирования полного масс-спектра (несколько миллисекунд) обеспечивает
квадрупольный анализатор. В современных масс-спектрометрах, снабженных ЭВМ,
построение хроматограмм и обработка масс-спектров производится автоматически.
Через равные промежутки времени по мере элюирования компонентов смеси
регистрируются масс-спектры, количественные характеристики которых
накапливаются в памяти ЭВМ. Для каждого сканирования производится сложение
интенсивностей всех регистрируемых ионов.
Так как эта суммарная величина (полный ионный ток) пропорциональна концентрации
вещества в ионном источнике, то ее используют для построения хроматограммы (эта
величина откладывается по оси ординат, по оси абсцисс – время удерживания и
номер сканирования). Задавая номер сканирования, можно вызвать из памяти
масс-спектр в любой точке хроматограммы.
Как описано выше, может быть проанализированы смеси веществ, достаточно хорошо
разделяемые на подходящих колонках. Иногда удается исследовать и неразрешенные
хроматографические пики. Исследуемые вещества должны быть термически стабильны,
хроматографически подвижны в интервале рабочих температур колонки, легко
переводиться в паровую фазу при температуре испарителя. Если вещества не
удовлетворяют этим требованиям, их можно химически модифицировать, например силилированием,
алкилированием
или ацилированиемгидрокси-,
карбокси-, меркапто-, аминогрупп.
Чувствительность хроматомасспетрометрии (обычно 10-6-10-9
г) определяется чувствительностью детектора масс-спектрометра. Более чувствительна
(10-12-10-15 г) разновидность хроматомасспетрометрии –
массфрагментография, называемая также селективным ионным или многоионным
детектированием. Суть ее состоит в том, что запись хроматограмм осуществляется
не по полному ионному току, а по наиболее характерным для данного вещества ионам.
Этот вид хроматомасспетрометрии используют для поиска, идентификации
и количественного анализа вещества с известным масс-спектром в составе сложной смеси,
например при количественном определении следов веществ в больших объемах биологических жидкостей
(медицина, фармакология, токсикология, допинг-контроль, биохимия).
Осуществляют масс-фрагментографию на хромато-масс-спектрометрах с
использованием специального устройства – многоионного детектора либо с помощью
ЭВМ, которая может строить хроматограммы по одному или нескольким ионам.
Такая хроматограмма, в отличие от обычной, содержит пики лишь тех компонентов,
в масс-спектрах которых есть такие ионы.
Анализ проводят с применением внутреннего стандарта, в качестве которого часто
используют аналог искомого вещества, меченный стабильными изотопами
(2Н, 13С, 15N, 18O).
Другой вариант хроматомасспетрометрии заключается в
сочетании ВЭЖХ и масс-спектрометрии.
Метод предназначен для анализа смесей труднолетучих, полярных веществ, не
поддающихся анализу методом ГЖХ. Для сохранения
вакуума
в ионном источнике масс-спектрометра
необходимо удалять растворитель, поступающий из хроматографа со скоростью 0.5-5
мл/мин. Для этого часть жидкого потока пропускают через отверстие в несколько
мкм, в результате чего образуются капли, которые далее попадают в обогреваемую
зону, где большая часть растворителя испаряется, а оставшаяся вместе с
веществом попадает в ионный источник и ионизируется химически.
В ряде промышленных приборов реализован принцип
ленточного транспортера. Элюат из колонки попадает на движущуюся ленту, которая
проходит через обогреваемую ИК излучением камеру, где испаряется растворитель.
Затем лента с веществом проходит через область, обогреваемую другим
нагревателем, где испаряется анализируемое вещество, после чего оно поступает в
ионный источник и ионизируется. Более эффективный способ сочетания
высокоэффективного газо-жидкостного хроматографа и масс-спектрометра основан на электро- и
термораспылении. В этом случае элюат пропускают через капилляр, нагретый до 150
°С, и распыляют в вакуумную камеру. Ионы
буфера, присутствующие в растворе, участвуют в ионоооразовании. Образовавшиеся
капли несут положительный, или отрицательный заряд. Вдоль капли из-за малого ее
диаметра создается высокий градиент электрического поля, причем по мере распада
капель этот градиент возрастает. При этом происходит десорбция из капель
протонированных молекулярных ионов
или кластеров
(молекула
вещества + катион
буфера).
Метод хроматомасспетрометрии используют при
структурно-аналитических исследованиях в органической химии,
нефтехимии,
биохимии,
медицине, фармакологии, для охраны окружающей среды
и других областях [16,20].
2 СПЕЦИАЛЬНАЯ ЧАСТЬ
В
комплексной дипломной работе были проанализированы литературные данные, на
основании которых было выбрано сырье, содержащее наибольшее количество
исследуемых флавоноидов (рутина и кверцетина): цветки календулы, трава
пустырника, плоды боярышника.
Календула
лекарственная(Calendulaofficinalis) или ноготки – однолетнее растение, род
растений семейства сложноцветных. Полукустарники, многолетние или однолетние
травы с ветвистыми стеблями и цельными листьями. Соцветия – корзинки на длинных
цветоносах, одиночные; язычковые цветки многочисленные – жёлтые, пестичные и
плодущие; трубчатые – обоеполые, но бесплодные; семянки изогнутые (до
кольцевидных), наружные по форме отличаются от средних и внутренних.
В
медицинских целях используют цветки и листья, без нижних частей стебля.
Собирают цельные цветочные корзинки или одни цветки. Собранное сырье сушат, раскладывая
на бумаге в помещениях или на воздухе под навесом.
Помимо
флавоноидов, календула содержит эфирное масло, горькие вещества, фитонциды,
сапонины, слизи, большое количество каротина, органические кислоты, следы
алколоидов.
Календула
успокаивает нервную систему, несколько снижает артериальное давление, усиливает
работу сердечной мышцы, замедляет сердечный ритм, уменьшает отеки. При
применении внутрь препараты календулы проявляют свою противовоспалительную
активность, способствуют восстановлению слизистой оболочки желудка и кишечника,
заживлению язв и эрозий.
Настой
календулы применяется при неврозах, гипертонии, болях в сердце (стенокардии),
атеросклерозе и в климактерическом периоде.
Календула
также используется при лечении мочекаменной болезни и циститах. Но особенно
широко календула применяется наружно при заболеваниях ротовой полости и глотки,
при ранениях, ссадинах и трофических язвах, для спринцевания в гинекологической
практике, для лечения воспалительных глазных заболеваний[21].
Пустырник обыкновенный
(Leonuruscardiaca)
– многолетнее травянистое растение
семейства губоцветных. Стебель прямостоячий четырехгранный, высотой от 30 до
120 см. Листья супротивные, нижние округлые; средние – продолговатые или
ланцетные, трехраздельные; верхние –узкие, цельные. Цветки розово-фиолетовые,
собраны густыми мутовками в пазухах верхних листьев, образуя длинное
прерывистое колосовидное соцветие на конце стебля.
По
химическому составу в пустырнике обыкновенном содержится монурин (горькое
вещество), эфирное масло, дубильные вещества, группа алкалоидов (стахидрин,
бетоницин, турицин, леондрин), флавоноиды, холин, гликозид, органические
кислоты, аскорбиновая кислота, жирное масло.
Препараты
пустырника обладают успокаивающим и антиконвульсионным действием на центральную
нервную систему и применяются при неврозах. Настои используются при лечении в
климактерический период и как вспомогательное средство при лечении базедовой
болезни. Применение препаратов пустырника успокаивает работу сердца,
увеличивает силу сердечных сокращений, снижает артериальное давление благодаря
чему они применяются при гипертонии, сердечных неврозах, стенокардии,
микрокардиопатии, кардиосклерозе [21].
Боярышник
кроваво-красный (обыкновенный) (Crataegusoxyacantha) относится
к семейству розоцветных.
Плоды
боярышника яблокообразные, от шаровидной до эллипсоидальной формы, твердые,
морщинистые, длиной 6-14 мм, шириной 5-11 мм, сверху с кольцевой оторочкой,
образованной ссохшимися чашелистиками.Цвет плодов от желто-оранжевого и
буровато-красного до темно-бурого или черного, иногда с беловатым налетом
выкристаллизовавшегося сахара. Запах отсутствует. Вкус сладковатый.
По
химическому составу плоды боярышника содержат флавоноиды, органические кислоты
(лимонная, олеаноловая, урсоловая, кратегусовая, кофейная, хлорогеновая),
каротиноиды, дубильные вещества, жирные масла, пектины, тритерпеновые и
флавоновые гликозиды, β-ситостерин, холин, сахара,витаминыи другие соединения.
Препараты
на основе боярышника тонизируют работу сердца, усиливают сердечные сокращения,
нормализуют артериальное давление, обладают спазмолитическим и успокаивающим
действием, нормализуют работу сердца. При их употреблении наступает глубокий и
спокойный сон. Усиление и ослабление действия препаратов зависит от их
дозировки. Любые производные боярышника не токсичны и не вызывают побочных
явлений. Чаще всего их используют при коронарной недостаточности с симптомами
стенокардии, а также гипертонической болезни, атеросклерозе, повышенной
возбудимости, потере сознания, острой форме
суставного ревматизма. Настои цветков и плодов помогают при климактерических
неврозах [21].
Метод отбора проб цветков календулы лекарственной, травы
пустырника обыкновенного и плодов боярышника кроваво-красного производится
согласно ГОСТ 24027.0-80 «Правила приемки и методы отбора проб».
1) Подготовка к отбору проб.
Попавшие в выборку единицы продукции
вскрывают и, путем внешнего осмотра, определяют:
- однородность сырья по способу
подготовки (цельное, измельченное, прессованное и т.д.), цвету, запаху и
засоренности;
- наличие плесени, гнили, устойчивого постороннего запаха, не
исчезающего при проветривании; засоренность ядовитыми растениями и посторонними
примесями (камни, стекло, помет грызунов и птиц и т.д.).
2) Измельчение.
Сырье измельчают в фарфоровой ступке до размера частиц, проходящих
сквозь сито с отверстиями диаметром 1 мм.
3)
Отбор
аналитических проб для определения влажности и содержания флавоноидов.
Аналитические пробы определяют
методом квартования. Для этого сырье помещают на гладкую, чистую, ровную
поверхность, перемешивают, разравнивают, по возможности тонким, равномерным по
толщине слоем в виде квадрата, и по диагонали делят на четыре треугольника. Два
противоположных треугольника удаляют, а два оставшихся соединяют, осторожно
перемешивают, разравнивают в виде квадрата, вновь делят по диагонали и удаляют
следующие два треугольника. Так повторяют до тех пор, пока в двух противоположных
треугольниках не останется количество сырья, соответствующее массе
аналитической пробы (5 г).
Аналитические
пробы должны быть отобраны с погрешностью не более 0.01г[22].
Определение
влажности растительного сырья производится согласно ГОСТ 24027.2-80 «Сырье
лекарственное растительное. Методы определения влажности, содержания золы,
экстрактивных веществ, эфирного масла». Основан
данный метод на определении потери в массе за счет гигроскопической влаги и
летучих веществ при высушивании сырья до абсолютно сухого состояния [23].
Оборудование,
материалы и реактивы:
-
шкаф
сушильный лабораторный;
-
весы
лабораторные;
-
весы
аналитические;
-
эксикатор;
-
тигли;
-
щипцы
тигельные;
-
вазелин
технический;
-
концентрированная
серная кислота.
1) Подготовка к испытанию.
Берут две навески (аналитические пробы) сырья массой по 3-5 г
(точная навеска), взвешенные с погрешностью не более 0.01 г. Каждую навеску
помещают в предварительно взвешенный и пронумерованный тигель.
2) Проведение анализа.
В сушильный шкаф, нагретый до 100-105°С, быстро помещают
подготовленные тигли с навесками. При этом температура в шкафу падает. Время, в
течение которого сырье должно сушиться, отсчитывается с момента, когда
температура в шкафу достигает
100-105°С. Высушивание проводят до постоянной массы.
Постоянная масса считается достигнутой, если разница между двумя
последующими взвешиваниями после 30 мин высушивания и 30 мин охлаждения в
эксикаторе не превышает 0.01 г.
Первое взвешивание семян и плодов проводят через 3 часа, а трав и
цветков – через 2 часа. Тигли с навесками вынимают из шкафа тигельными щипцами
и помещают на
30 мин для охлаждения в эксикатор, на дне которого находится концентрированная
серная кислота. Охлажденные тигли взвешивают[23].
Проводят два параллельных определения.
Влажность сырья (Х) в процентах вычисляют по формуле (2.1).
|
|
(2.1)
|
где,m – масса сырья до высушивания, г;
m1 – масса сырья
после высушивания, г.
Допускаемое расхождение между результатами двух параллельных
определений не должно превышать 0.5%.
При оценке
качества растительного сырья и фитопрепаратов, содержащих флавоноиды,
наибольшее распространение получил спектрофотометрический метод анализа,
основанный на использовании реакции комплексообразования флавоноидов с алюминия
хлоридом. Фотометрический метод определения без предварительного разделения
компонентов основан на аддитивности значений оптической плотности всех
компонентов смеси при одной длине волны. Метод достаточно прост в исполнении,
является высокочувствительным и относительно недорогим, что делает его
предпочтительным для использования в контрольно-аналитических лабораториях.
Использование такого метода позволяет определить сумму флавоноидов в
присутствии других полифенольных соединений, не образующих комплекса с
алюминием хлорида в среде 30-96% спирта[24].
В качестве
стандарта используется тот флавоноид (рутин, кверцетин, гесперетин и т.д.),
максимум поглощения комплекса которого наиболее соответствует максимуму
поглощения комплекса с хлоридом алюминия исследуемого образца.
В дипломной
работе в качестве стандарта использовался ГСО рутина и ГСО кверцетина, так как
максимумы поглощения комплексов с хлоридом алюминия рутина/кверцетина и
экстрактов боярышника, пустырника и календулы наблюдаются при наиболее близких
значениях длин волн.
Измерение
оптической плотности проводят на спектрофотометре ПЭ-5300В в интервале длин
волн 408-616 нм в кюветах с толщиной слоя 10 мм.
Оборудование,
материалы и реактивы:
-
мерная колба объемом 100 см3 – 1 шт.;
-
мерные колбы объёмом 25 см3 – 6 шт.;
-
пипетки объёмом 1 см3– 3 шт.;
-
пипетки объёмом 5 см3 – 1 шт.;
-
мерный цилиндр объемом 100 см3;
-
часы;
-
кюветы на 10 мм;
-
спектрофотометр ПЭ-5300В;
-
экстракт пустырника;
-
экстракт боярышника;
-
экстракт календулы;
-
алюминия хлорид 5%;
-
спирт этиловый 70%;
-
спирт этиловый 95%.
Подготовка к анализу
1)
Приготовление 5%-го раствора алюминия хлорида
5 г
алюминия хлорида х.ч. или ч.д.а. (ГОСТ 3759-75) растворяют в 50 мл 95% спирта в
мерной колбе на 100 мл, доводят объём раствора этим же спиртом до метки и
перемешивают.
Срок
годности раствора 3 месяца.
Для анализа
было приготовлено 250 мл 5% раствора алюминия хлорида в 70% спирте.
2)
Приготовление 70%-го этилового спирта
Для
приготовления 1л 70% этилового спирта смешивают 675 г этилового спирта 95% и
325 г воды. В объемных единицах 95% этилового спирта – 855 см3, воды
– 325 см3. После приготовления раствора проверяют его плотность или
объемную долю спирта ареометром (ГОСТ 3639-79).
3)
Приготовление экстрактов
Аналитическую
пробу сырья измельчают до размера частиц, проходящих сквозь сито с отверстиями
диаметром 1 мм. Около 0.5 г (точная навеска) измельченного сырья помещают в
колбу со шлифом вместимостью 100 мл, прибавляют 50 мл 70% спирта этилового.
Колбу взвешивают с погрешностью ±0.01 г, присоединяют к обратному холодильнику
и нагревают в термостате при температуре 60°С в течение 2 ч. После охлаждения
до комнатной температуры колбу вновь взвешивают и доводят до первоначальной
массы 70% спиртом этиловым. Содержимое колбы фильтруют через воронку диаметром
7 см с вложенным ватным тампоном, отбрасывая первые 20 мл фильтрата [21].
Проведение
спектрофотометрического анализа
В мерную
колбу вместимостью 25 мл, предварительно взвешенную, переносят с помощью
пипетки аликвоту анализируемого экстракта, равную 1 мл, и вновь взвешивают. В
колбу с помощью пипетки добавляют 4 мл 5% раствора хлорида алюминия. Для
приготовления раствора сравнения во вторую колбу вместимостью 25 мл с помощью
пипетки переносят аликвоту (1 мл) анализируемого экстракта, после чего объем
обеих колб доводят до метки 70% спиртом и оставляют на 30 мин. В случае
помутнения растворов их фильтруют через бумажные фильтры в чистые стаканы.
Оптическую
плотность измеряют в интервале 408-616 нм на длине волны максимума поглощения в
кюветах с толщиной поглощающего слоя 10 мм, в рабочую
кювету помещают раствор с добавленным хлоридом алюминия, в кювету сравнения –
раствор сравнения. Если максимум поглощения расположен в области 408-420 нм, в
качестве стандарта используют ГСО рутина. Если максимум поглощения расположен в
области 421-435 нм, в качестве стандарта используют ГСО кверцетина[24].
Массовую долю суммы
Р-активных флавоноидов в исследуемых экстрактах в пересчете на рутин в мг/ 100г
(Х) вычисляют по формуле:
|
|
(2.2)
|
где, с – количество
рутина в анализируемой аликвоте экстракта, соответствующее измеренной
оптической плотности по калибровочному графику, г/25 см3;
Fр
– фактор разбавления;
105
– коэффициент пересчета в мг/100г;
М
– масса экстракта, г.
Применимость
и аналитические качества масс-спектрометрии в области количественного
определения природных флавоноидов в значительной мере определяются возможностью
ее комбинации с другим методом, таким как жидкостная хроматография. Соединение
жидкостного хроматографа и массспектрометра осуществляется с помощью
интерфейса, обеспечивающего удаление большей части жидкой фазы из пробы перед
поступлением ее в массспектрометр.
В настоящее
время предложено много различных типов интерфейсов, но применяются
преимущественно устройства с электрораспылением и ионизацией при атмосферном
давлении, которые выполняют функции удаления жидкой фазы и ионизации молекул
анализируемых веществ. Анализ данных хромато-масс-спектрометрии производится
двумя способами. По первому способу осуществляется анализ масс-спектров,
зарегистрированных в различных точках масс-хроматограммы, путем сравнения с
масс-спектрами эталонов, собранными в базе данных (библиотечный поиск), или же
структурные фрагменты молекулы определяются с использованием
спектро-структурных корреляций. По второму способу регистрируются и
анализируются масс-хроматограммы по полному ионному току, по отдельным ионам
или группам ионов. Такие ионные масс-хроматограммы позволяют обнаруживать и
подтверждать структуру компонентов смеси и применимы для количественного
определения флавоноидов.
Оборудование, материалы и реактивы:
-
Жидкостной
хроматограф DionexUltiMate3000
для решения различных аналитических задач;
-
Масс-спектрометр
API 2000 производства AppliedBiosystems
для высокопроизводительных рутинных исследований;
-
ГСО рутина;
-
ГСО кверцетина;
-
мерные колбы объёмом 25 см3 – 2 шт.;
-
мерная колба объемом 50 мл – 2 шт.;
-
виалки с пробой – 12 шт.;
-
экстракт пустырника
-
экстракт боярышника
-
экстракт календулы
-
спирт этиловый 70%
Подготовка к анализу
1)
Приготовление раствора ГСО рутина: около 0.05 (точная навеска) ГСО
рутина, предварительно высушенного при температуре 130-135°С в течение 3 часов,
количественно переносят в мерную колбу вместимостью 50 см3,
растворяют в 40 мл 70 % водного спирта при нагревании на водяной бане. После
растворения содержимое колбы охлаждают до комнатной температуры и доводят 70 %
спиртом до метки [25].
2)
Приготовление раствора ГСО кверцетина проводилось по методике аналогичной
методике приготовления ГСО рутина (см. выше).
3) Методика приготовления экстрактов из растительного сырья
Приготовление
экстрактов из цветков календулы, плодов боярышника и травы пустырника проводилось
аналогично методике,описанной в п.2.2.3.
Проведение
количественного анализа биофлавоноидов в растительном сырье методом
хроматомасспектрометрии
Анализ проб
экстрактов проводился с использованием жидкостного хроматографа DionexUltiMate
3000, оснащенного трехквадрупольным масс-спектрометром API 2000 c ионизацией
электростатическим распылением при атмосферном давлении (API-ES). Регистрация и
обработка данных проведена с использованием программного комплекса «Analyst
1.5».
Хроматографическое
разделение флавоноидов осуществлялось на хроматографической колонке Luna C18
длиной 300 мм и внутренним диаметром 2 мм, в изократическом режиме при
следующих условиях:
Подвижная
фаза: компонент А – вода (0.37 % раствор муравьиной кислоты);
компонент В
– ацетонитрил (0.33 % раствор муравьиной кислоты).
Скорость
подачи подвижной фазы: 0.250 мл/мин.
Объем
вводимой пробы: 100 мкл.
Давление на
входе колонки: 80 атм.
Температура
термостата колонки: 50◦С.
Время
анализа: 15 мин.
Состав
подвижной фазы на выходе из хроматографической колонки регистрировался
масс-спектрометрически. В ходе масс-спектрометрического анализа
регистрировались хроматограммы по ионному току, обусловленные
положительно-заряженными ионами 303 и 610 m/z, соответствующие молекулярным
ионам кверцетина и рутина соответственно. Пример хроматограммы представлен на
рисунке 2.1.
Рисунок 2.1 –
Хроматограмма рутина и кверцетина
Ионизация
потока элюэнта проводилась при следующих условиях:
температура
в источнике ионов – 180◦С;
давление в
распылителе: атмосферное (азот);
напряжение
на капилляре: 4500 В;
газ 1
(обдув капилляра) – 40 мл/мин;
газ 2 (на
входе в источник) – 50 мл/мин;
газ 3 (в
источнике) – 90 мл/мин.
Проведение анализа осуществлялось в день приготовления экстрактов
для предотвращения окисления флавоноидов.
Сведения об
использованных реактивах представлены в таблице 2.1.
Таблица 2.1 – Список использованных реактивов
|
№
п/п
|
Наименование, формула
|
Производитель, марка
|
|
1.
|
Трава пустырника
|
ОАО «Здоровье», серия 40845
|
|
2.
|
Плоды боярышника
|
ОАО «Тверская фармацевтическая
фабрика», серия 70807
|
|
3.
|
Цветки календулы
|
ОАО «Тверская фармацевтическая
фабрика», серия 50507
|
|
4.
|
Алюминия хлорид
АlCl3
|
ГОСТ 3759-75, ч.д.а.
|
|
5.
|
Кверцетин
C15H10O7
|
ООО «Фитопанацея», ТУ
2638-012-80884467-10, 99.57
|
|
6.
|
Рутин
C27H30O16
|
ООО «Фитопанацея»,ТУ
2638-011-80884467-10, 98.59.
|
|
7.
|
Спирт этиловый 95%;
C2H5OH
|
ООО «Реактив», х.ч.
|
|
8
|
Серная кислота, концентрированная
H2SO4
|
Пр-во ОАО «Реактив», Санкт-Петербург,
ч.д.а.
|
В ходе работы
проводилось исследование лекарственного растительного сырья на количественное
содержание биофлавоноидов (рутина и кверцетина).
Производителями
анализируемого сырья являются «Тверская фармацевтическая фабрика» и ОАО
«Здоровье».
Для объективной оценки
были выбраны три образца лекарственного растительного сырья, представленных в
таблице 2.2.
Таблица
2.2 – Наименование и производители лекарственного растительного сырья
|
№
пробы
|
Наименование
растительного сырья
|
Производитель
|
|
Проба
1
|
Трава
пустырника сердечного
|
«Здоровье»
|
|
Проба
2
|
Цветки
календулы лекарственной
|
«Тверская
фармацевтическая фабрика»
|
|
Проба
3
|
Плоды
боярышника кроваво-красного
|
«Тверская
фармацевтическая фабрика»
|
Для определения
влажности проводили два параллельных определения на содержание влаги в
растительном сырье по методике, указанной в п. 2.2.2. Для этого берут по две
точные навески (около 5 г) каждой пробы. Отбор проб производился согласно ГОСТ
24027.0-80 «Правила приемки и метода отбора проб». В сушильном шкафу при
температуре 100-1050С навески были доведены до постоянной массы.
После проведения испытаний и расчетов, указанных в п. 2.2.2 получены следующие
результаты, приведенные в таблице 2.3.
Таблица 2.3 –
Содержание влаги в пробах лекарственного растительного сырья
|
№ пробы
|
Масса пробы до высушивания
|
Масса пробы после высушивания
|
Содержание
влаги, %
|
Среднее значение содержания
влаги,
%
|
|
Проба 1
Навеска 1
Навеска 2
|
5.0137
5.0073
|
4.5976
4.5817
|
8.30
8.50
|
8.40
|
|
Проба 2
Навеска 1
Навеска 2
|
5.0203
5.0508
|
4.4329
|
11.70
11.90
|
11.8
|
|
Проба 3
Навеска 1
Навеска 2
|
5.0196
5.0068
|
4.4925
4.4661
|
10.50
10.80
|
10.70
|
На основании
проведенных исследований можно сделать вывод о том, что во всех пробах
лекарственного растительного сырья содержание влаги соответствует ГФ 11
(содержание влаги для травы пустырника должно быть не более 13%, а для цветков
календулы и плодов боярышника – не более 14%).
В
ходе исследования было выявлено, что наиболее полное извлечение определяемых
веществ достигалось с использованием 70%-го спирта этилового, временем
экстрагирования 2 ч и при температуре проведения эксперимента 60°С.При определении количественного
содержания флавоноидов лекарственного растительного сырья в пересчете нарутин,
были получены данные, представленные в таблице 2.4. Эксперимент проводился
согласно методике, представленной в п. 2.2.3.
Таблица 2.4 –
Содержание флавоноидов в пересчете на рутин в растительном сырье
|
Наименование
экстракта
|
Содержание
флавоноидов в пересчете нарутин, мг/мл
|
|
Экстракт
травы пустырника
|
0.0055
|
|
Экстракт
цветков календулы
|
0.0053
|
|
Экстракт
плодов боярышника
|
0.0015
|
Метод количественного
анализа основан на комбинации двух самостоятельных методов – хроматографии
и масс-спектрометрии.
С помощью первого осуществляют разделение смеси на компоненты, с помощью
второго – идентификацию
и количественный анализ. Перед количественным определением содержания
кверцетина и рутина в исследуемых образцах экстрактов растительного сырья,
необходимо построение градуировочного графика с использованием ГСО
анализируемых биофлавоноидов. Градуировочный график в координатах площадь пика
– концентрация должен быть линеен и прямая должна проходить через начало
координат. Для построения такого графика достаточно, вообще одной
экспериментальной усредненной точки. Однакоградуировочный график обычно строят
не менее чем по 3-8 средним точкам, полученным в результате 3-х
последовательных измерений, что повышает точность и надежность определений. Для построения калибровочного графика используют аликвоты
растворов рутина и кверцетина равные 0.2 см3. Далее путем
последовательного разбавления 70% этиловым спиртом получают растворы с концентрацией, указанной в
таблице 2.5, 2.6 для рутина и кверцетина, соответственно.
Для
построения калибровочной кривой методом последовательного разбавления была
приготовлена серия растворов каждого исследуемого биофлавоноида. Затем
анализируемые образцы помещали в виалки и последовательно располагали в автоматическом
пробоотборнике. Далее с использованием программного обеспечения прибора
задавали условия проведения анализа, указанные в п. 2.2.4.
Данные для построения
калибровочных кривых для рутина и кверцетина, представлены в таблице 2.5, 2.6,
соответсвенно:
Таблица
2.5 – Данные для построения калибровочных кривыхдля рутина и кверцетина
|
Концентрация раствора, мг/мл
|
Площадь пика.10-6
(рутин), импульсы
|
Площадь пика.10-6 (кверцетин),
импульсы
|
|
0.0001
|
0.0664
|
0.808
|
|
0.0002
|
0.0657
|
1.060
|
|
0.0005
|
0.4150
|
3.890
|
|
0.001
|
2.3200
|
17.10
|
|
0.002
|
0.5690
|
6.090
|
|
0.02
|
2.1900
|
25.800
|
|
0.05
|
6.2500
|
56.600
|
|
0.1
|
7.0000
|
97.500
|
На основании полученных
данных были построены калибровочные графики, на которых показана зависимость
площади пика от концентрации рутина и кверцетина. Построение графика
производилось с помощью программы SigmaPlot
11. Полученные зависимости приведены на рисунке 2.2для рутина и на рисунке 2.3
для кверцетина.
Рисунок
2.2 – График зависимости площади пика от концентрации рутина
Следует
отметить, что кривая, описывающая зависимость площади пика от концентрации
рутина имеет область линейности и область полного насыщения детектора.
Отклонение от линейности связано с увеличением концентрации анализируемого
вещества.
Рисунок
2.3 – График зависимости площади пика от концентрации кверцетина
По разработанной
методике, указанной в п. 2.2.3 раздела подготовка к анализу, получены экстракты
травы пустырника сердечного, цветков календулы и плодов боярышника. Далее был
проведен хроматомасспектрометрический анализ биофлавоноидов (рутина и кверцетина)
в исследуемых образцах. Результаты, полученные в ходе анализа представлены в
таблице 2.7 для рутина и в таблице 2.8 для кверцетина.
Таблица
2.7 – Площадь пика для рутина в исследуемых экстрактах
|
Наименование экстракта
|
Площадь пика .10-6,
импульс
|
Средняя площадь пика 10-6,
импульсы
|
|
1
|
2
|
3
|
|
Экстракт
травы пустырника
|
0.0784
|
0.07790
|
|
0.0771
|
|
0.0783
|
Продолжение таблицы 2.7
|
1
|
2
|
3
|
|
Экстракт
цветков календулы
|
0.0359
|
0.03590
|
|
0.0360
|
|
0.0358
|
|
Экстракт
плодов боярышника
|
0.00260
|
0.00264
|
|
0.00268
|
|
0.00264
|
Таблица
2.8 – Площадь пика для кверцетина в исследуемых экстрактах
|
Наименование экстракта
|
Площадь пика .10-6,
импульс
|
Средняя площадь пика 10-6,
импульсы
|
|
Экстракт
травы пустырника
|
0.00546
|
0.00546
|
|
0.00544
|
|
0.00547
|
|
Экстракт
цветков календулы
|
0.00192
|
0.00193
|
|
0.00199
|
|
0.00188
|
|
Экстракт
плодов боярышника
|
0.0172
|
0.01540
|
|
0.0121
|
|
0.0168
|
На
основании полученных данных, с использованием градуировочных графиков для
рутина (рисунок 2.1) и кверцетина (рисунок 2.2), определи количественное
содержание исследуемых биофлавоноидов в экстрактах растительного сырья.
Результаты количественного содержания рутина и кверцетина представлены в
таблице 2.9 и 2.10, соответственно. Для расчетов использовали данные средних
площадей пиков для рутина и кверцетина в анализируемых экстрактах.
Таблица 2.9 –
Содержание рутина в исследуемых экстрактах
|
Наименование экстракта
|
Содержание
рутина .10-3, мг/мл
|
|
Экстракт
травы пустырника
|
0.1900
|
|
Экстракт
цветков календулы
|
0.0353
|
|
Экстракт
плодов боярышника
|
0.0097
|
Таблица 2.10 –
Содержание кверцетина в исследуемых экстрактах
|
Наименование экстракта
|
Содержание
кверцетина .10-3, мг/мл
|
|
Экстракт
травы пустырника
|
0.0051
|
|
Экстракт
цветков календулы
|
0.0014
|
|
Экстракт
плодов боярышника
|
0.0140
|
На основании полученных
данных (таблица 2.4 и 2.9) было проведено сравнение количественного содержания
рутина в анализируемых экстрактах. На рисунке 2.3 представлено сравнение содержания
рутина в экстрактах растительного сырья по данным, полученным на основании
спектрофотометрического и хроматомасспектрометрического анализа.
Рисунок 2.4 – Сравнение
спектрофотометрического и хроматомасспектрометического методов
Из представленных
данныхочевидно, что спектрофотометрический метод определения биофлавоноидов показывает
завышенное содержание рутина по сравнению с результатами
хроматомасспектрометрического анализа. Это связано с тем, что спектрофотометрический
метод позволяет оценить только суммарное содержание флавоноидов в экстрактах,
так как максимумы поглощения родственных соединений располагаются в одной
области (например, 408-420 нмдля рутина, морин, кемпферол, гиперазиди др.).Поэтому
данные спектрофотометрического анализа всегда пересчитывается на тот или иной
флавоноид (чаще всего рутин).
Таким образом,
спектрофотометрия не дает возможности проводить, наряду с количественным,
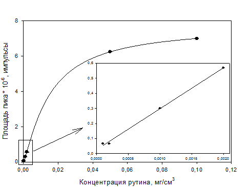
качественный анализ биофлавоноидов и оценить реальное содержание
исследуемогофлавоноида в лекарственном растительном сырье.Этот недостаток
устраняется при использовании хроматомасспектрометрического метода анализа,
который позволяет идентифицировать отдельные флавоноиды независимо от
присутствия посторонних и/или родственных соединений.
Фармацевтический рынок
является одним из прибыльных и быстро растущих секторов экономики развитых
стран. Это обусловлено тем, что создание, производство и применение лекарств
тесно связаны с такой общечеловеческой ценностью как здоровье. Для изготовления
лекарственных препаратов, наряду использования синтетических компонентов,
используют лекарственное растительное сырье.
В начале прошлого века
бурный прогресс в области создания лекарств синтетического происхождения стал
теснить лекарственные растения, как в лечебной, так и в профилактической
практике. Однако в последние десятилетия интерес к лечебно-профилактическим
средствам природного происхождения (фитопрепаратам) возродился и развивается с
нарастающим темпом. Основным фактором повышения интереса к лечебным свойствам
лекарственных растений явилось то, что значительной части синтетических
сильнодействующих препаратов присущи различные нежелательные, даже опасные
побочные эффекты. Особенно чувствительны к нежелательным эффектам синтетических
лекарств люди пожилого возраста, больные хроническими заболеваниями и дети.
Наиболее
привлекательными чертами фитопрепаратов являются: возможность
длительного применения, высокая безопасность при достаточной
эффективности, простота приготовления и применения. По мнению экспертов, одним
из основных факторов, сдерживающих развитие фитотерапии и ее внедрение в
практику, выступает недостаточный уровень образования, информированности об
этом методе врачей и провизоров.
Для российского рынка
лекарственных трав и сборов в настоящее время характерна тенденция к росту.
Однако объем рынка и его доля в общем объеме рынка фармпрепаратов на
сегодняшний день выглядят довольно скромно, составляя 11-12 млн. долларов США
или 0.5-1.5%. В странах же Евросоюза аналогичная продукция занимает до 10% от
общего объема лекарственного рынка (рисунок 4.1).
Оценивая современные
тенденции развития российского рынка лекарственных средств и сборов, эксперты
полагают, что, несмотря на довольно скромные объемы, он представляет весьма
перспективный сегмент российского фармацевтического рынка. В настоящее время
интерес к фитопрепаратам проявляет целый ряд компаний. Со стороны потенциальных
производителей интерес к лекарственным травам во многом стимулируется
относительно небольшими размерами необходимых инвестиций. Так, при организации
производства по переработке лекарственных трав и сборов основная часть средств
требуется на фасовочное оборудование и составляет порядка 10 тыс. долларов США.
Помимо этого для производства фитопродукции требуется разрешение Министерства
здравоохранения и помещение для его размещения. В технологическом плане
производство лекарственных трав и сборов является несложным,
продукция не облагается НДС и налогом на прибыль.
Рисунок 4.1 – Доля лекарственных трав и
сборов в общем объеме рынка лекарственных средств в России и странах Евросоюза,
%
В настоящее время на
российском рынке представлено около 100 производителей лекарственных трав и
сборов. Большинство производителей имеет статус региональных, осуществляя
реализацию продукции лишь в пределах своих областей, около 20% российских
производителей работают в национальном масштабе[26].
Производство
лекарственных трав и сборов осложнено рядом факторов, в связи с чем, несмотря
на активный рост спроса на лекарственные травы и сборы, хозяйств, которые
занимаются их производством, в России немного. Новые хозяйства практически не
появляются.
Во многом перспективы
развития российского рынка лекарственных трав и сборов связаны со способностью
и заинтересованностью государства в создании условий для повышения
привлекательности этого вида бизнеса, как для отечественных производителей, так
и для кредитно-инвестиционных структур. На сегодняшний же день можно наблюдать
тенденцию к тому, что все чаще России, обладающей уникальным по своим
характеристикам естественным лекарственным богатством, приходится импортировать
растительное сырье из Индии, Китая, Польши и других стран.
Несмотря на относительно малую численность российских производителей
лекарственных трав и сборов, ими выпускается 80% лекарственных растительных
средств, занесенных в Государственный реестр лекарственных средств (рисунок 4.2)
– это высокий показатель.
Рисунок
4.2 – Доля лекарственных
растительных средств из числа занесенных в Государственный реестр, выпускаемых
российскими производителями, %
Россия является
крупнейшим экспортером лекарственных трав. Согласно официальной статистике, по
объемам экспорта лекарственных трав на европейском рынке лидирует Германия. Но
преимущественную часть лекарственного растительного сырья Германия закупает в
Болгарии. В связи с этим фактом реальным лидером по объемам экспорта
лекарственных трав и сборов оказывается Россия. Примечательно, что на
европейском рынке лекарственные травы, произведенные в России, считаются,
продукцией высшего класса – благодаря сочетанию ряда климатических и
географических факторов отечественные лекарственные травы насыщены
высококачественными биоактивными веществами. Вместе с тем, необходимо заметить,
что крупнейшие отечественные производители лекарственных трав и сборов
значительную часть своей продукции изготавливают из импортного сырья, поставки
осуществляются преимущественно из Польши, Болгарии, а также Египта и некоторых
других стран [27].
Потребление
лекарственных трав и сборов на мировом рынке характеризуется тенденцией к
росту. По оценкам экспертов Всемирной организации здравоохранения (ВОЗ) в
ближайшие 10 лет доля потребления фитопрепаратов достигнет 60% от общих объемов
потребления лекарственных средств. Это связано с тем, что более 12% населения
Земли страдает аллергией, в том числе на синтетические лекарственные препараты.
На сегодняшний день
около 40% фармацевтической продукции в мире изготавливается из лекарственных
растений. Результаты социологических исследований свидетельствуют о том, что
более половины населения США и Германии предпочитает лечение травами, а почти
каждый второй житель США принимает растительные лекарства ежедневно. По данным
ВОЗ, значительная часть жителей развивающихся стран в рамках системы первичной
медико-санитарной помощи пользуется традиционными препаратами природного
происхождения.
Рост потребления
лекарственных трав и сборов наблюдается и на российском рынке, при этом
эксперты отмечают, что наибольшим спросом пользуются следующие виды продукции
из растительного сырья: ромашка, пустырник, боярышник, календула, толокнянка,
валериана, липа и кора дуба, а также грудные, урологические, успокоительные и
желчегонные сборы.
Производство
лекарственных средств на основе растительного сырья на протяжении десятилетий
являлось важнейшей составляющей отечественной фарминдустрии. Однако в
современных рыночных условиях производители лекарственных растительных средств
действуют в ситуации все более выраженной конъюнктуры, как внутри своего
сегмента фармацевтического рынка, так и со стороны производителей синтетических
лекарственных препаратов. В ситуации усиления конъюнктуры актуальной задачей
для производителей лекарственных растительных препаратов становится, в
частности, отслеживание тенденций динамики продаж и емкости различных групп
синтетических препаратов. Принятие решений о выпуске и продвижении
лекарственных растительных препаратов целесообразно на основе анализа этих
тенденций, формирующего предпосылки спроса у потребителей[27].
Растительные препараты
на порядок дешевле и безопаснее большинства синтетических препаратов, попадая в
активно растущие сегменты фармацевтического рынка, они в большинстве случаев
пользуются высоким спросом у населения. Важным фактором специфики
потребительских предпочтений лекарственных растительных средств у россиян,
выступает консерватизм. Отечественному потребителю присущ исторически
сложившийся стереотип, согласно которому лучшими средствами для лечения
большинства заболеваний являются разнообразные настои, отвары и примочки. Консерватизм
российского потребителя оказывает двойственное влияние на маркетинговую
политику компании, продвигающей продукцию лекарственных растительных средств. С
одной стороны, этот фактор снижает затраты на рекламу в связи с отсутствием
необходимости лишний раз рассказывать о том, что такое цветки ромашки, листья
мяты или корень валерианы. С другой стороны – каждый новый препарат или сбор, в
особенности, включающие экзотические или малознакомые большинству населения
растения, приходится позиционировать как полноценный бренд, сопровождая его
продвижение масштабной рекламно-информационной поддержкой.
Усиление конкуренции
между производителями лекарственных трав и сборов на российском рынке побуждает
к более тщательному поиску возможностей повышения привлекательности продукции
для потребителя. Так, представители российских производителей отмечают, что,
если еще несколько лет назад относительно малочисленные производители
лекарственных трав конкурировали между собой в основном за счет цен и условий
контрактов с дистрибьюторами, то сегодня все большую актуальность приобретает
привлекательность продукции не только для оптового партнера, но и для аптеки, и
для непосредственного покупателя. В плане повышения лояльности потребителей
весьма актуальной стала разработка фильтр-пакетов для лекарственных трав. Новая
технология мини - упаковки стала весьма востребованной в связи с тем, что
практически все лекарственные травы очень плохо переносят хранение в домашних
условиях. Купив стандартную упаковку той или иной лекарственной травы,
потребители, как правило, используют лишь небольшую ее часть непосредственно
для лечения, а остальное спустя некоторое время выбрасывают. Фильтр-пакеты
фактически открыли новую рыночную нишу для лекарственных трав и сборов.
Оказалось, что лекарственный сбор не обязательно долго заваривать в чайнике,
термосе или ставить на паровую баню, его можно приготовить как обычный чай,
даже на работе или в дороге. Эта возможность очень важна для людей, вынужденных
пить лекарственные отвары курсами, через определенные промежутки времени [27].
В целом, анализируя
тенденции современного фармацевтического рынка в России, эксперты выделяют
следующие основные причины повышения потребительского спроса на лекарственные
растительные средства:
-
относительная
безопасность действия. Химическая природа лекарственных растений позволяет
препаратам на их основе легко включаться в биохимические процессы человека;
-
незначительное
количество побочных эффектов;
-
возможность
рационального сочетания лекарственных растений между собой и с синтетическими
средствами;
-
ценовая
доступность;
-
менталитет
российского населения. Благосклонное отношение потребителей к
лекарственным средствам из растительного сырья сформировалось благодаря
многовековым традициям и огромному опыту народной медицины.
В экономической части
дипломной работы приведен расчет сметы затрат на проведение исследования.
Смета затрат на
проведение исследования включает следующие расходы:
1. материальные
затраты;
2. расходы на оплату
труда;
3. отчисления в
социальные фонды;
4. амортизационные
отчисления;
5. прочие накладные
расходы [28].
Затраты на основные и
вспомогательные материалы, израсходованные в процессе исследования определяются
по формуле(3.1).
|
|
(3.1)
|
гдеKм –
количество израсходованного (i) материала;
Ц– цена за единицу (i)
материала;
n – количество видов
материалов.
Результаты представлены
в таблице 3.1.
Таблица 3.1 – Затраты на основные и вспомогательные
материалы
|
№
№
|
Наименование
|
Единицы
|
Цена
в руб. с НДС/ед
|
Израсходовано
|
Затраты,
руб.
|
|
11
|
ГСО
Рутин
|
1г
|
3.6
|
0.2013
|
0.72
|
|
22
|
ГСО
Кверцетин
|
1г
|
7.25
|
0.2036
|
1.48
|
|
33
|
Этанол
|
1л
|
162.8
|
1.253
|
203.99
|
Продолжение
таблицы 3.1
|
№
№
|
Наименование
|
Единицы
|
Цена
в руб. с НДС/ед
|
Израсходовано
|
Затраты,
руб.
|
|
44
|
Алюминий
хлористый
|
1г
|
0.25
|
15.0005
|
3.75
|
|
85
|
Пустырник
трава
|
50г
|
27.78
|
4.5511
|
2.53
|
|
66
|
Ноготки
цветы
|
50г
|
30.91
|
4.4327
|
2.74
|
|
77
|
Боярышник
плоды
|
50г
|
35.40
|
4.2549
|
3.01
|
|
Всего
|
218.22
|
Затраты на
израсходованную электроэнергию определяются по формуле (3.2).
|
|
(3.2)
|
где М– мощность
установленного электродвигателя;
К – коэффициент
использования мощности (К = 0,9);
Тэф–эффективное
время работы установки;
Ц – тариф за Ι
кВт/час электроэнергии.
Результаты расчета
представлены в таблице 3.2.
Таблица 3.2 – Затраты
на электроэнергию
|
№
|
Наименование
установки
|
Мощность,
кВт
|
Тэф,
час
|
Тариф,
руб.
|
Величина
затрат, руб.
|
|
1
|
Сушильный
шкаф
ШС-80-01
СПУ
|
1.1
|
25
|
2.87
|
71.03
|
|
2
|
Электроплитка
ЭПТ 1-1/220
|
1.0
|
3
|
2.87
|
7.75
|
Продолжение
таблицы 3.2
|
№
|
Наименование
установки
|
Мощность,
кВт
|
Тэф,
час
|
Тариф,
руб.
|
Величина
затрат, руб.
|
|
3
|
Аналитические
весы электронные
|
0.001
|
1
|
2.87
|
0.01
|
|
4
|
Спектрофотометр
ПЭ-5300В
|
0.2
|
5
|
2.87
|
2.58
|
|
5
|
Масс-спектрометрAPI
2000 LC/MS/MSSYSTEM
|
2.6
|
12
|
2.87
|
80.59
|
|
6
|
Термостат
ВТ-10-1 лабораторный
|
2.5
|
9
|
2.87
|
58.12
|
|
Всего
|
220.08
|
|
|
|
|
Исследования
проводились двумя студентами в течение месяца. Исполнителями являются
студенты-дипломники, поэтому принимается к расчету стипендия, равная 1100 руб.
в месяц у каждого (3.3) [28].
|
Зпл=1100·2=2200
руб
|
(3.3)
|
Заработная плата
руководителю работы начисляется с учетом количества часов и оплаты за час
(3.4).
|
Зпл.
рук. = 40 ·192 = 7680 руб.
|
(3.4)
|
Следовательно, оплата
труда составляет Зпли Зпл. рук., равную 9880 руб.
Годовая сумма
амортизации (А) устанавливается по проценту (НА) от стоимости
установки (Ф) и рассчитывается по формуле (3.5).
|
|
(3.5)
|
где Ф – стоимость установки (приборов),
руб.;
- годовая норма
амортизации (%): рассчитывается исходя из срока службы установки, ее принимают равной
20%;
-длительность
проведения исследования на данной установке студентом-дипломником;
12
– число месяцев в году.
Результаты расчетов
представлены в таблице 3.3.
Таблица 3.3 – Расчет
затрат на амортизационные отчисления
|
№
|
Наименование
|
Стоимость
установки, руб.
|
tн,
месяц
|
Затраты
на амортизацию, руб.
|
|
1
|
Сушильный
шкаф ШС-80-01 СПУ
|
19000
|
1
|
316.67
|
|
2
|
Термостат
ВТ-10-1 лабораторный
|
25870.40
|
1
|
431.17
|
|
3
|
Спектрофотометр
ПЭ-5300В
|
41500
|
1
|
691.67
|
|
4
|
Масс-спектрометрAPI
2000 LC/MS/MSSYSTEM
|
7500000
|
1
|
125000
|
|
5
|
Аналитические
весы электронные
|
18550
|
1
|
309.17
|
|
6
|
Электроплитка
ЭПТ 1-1/220
|
420
|
1
|
7.00
|
|
Всего
|
126755.68
|
Размер отчислений в
социальные фонды составляет исходя из ставки 34% от расходов на оплату труда
(3.6)
|
Сн = 9880·0.34 = 3359.2 руб.
|
(3.6)
|
Накладные расходы
включают в себя разного рода расходы, связанные с обслуживанием установки
(ремонт, смазка, освещение, вентиляция, уборка помещения и т.п.) [28].
Накладные расходы
принимают в размере 50 % от суммы заработной платы (3.7)
(3.7)
|
Смета затрат на
проведение исследования представлена в таблице 3.4.
Таблица
3.4 – Смета затрат на проведение исследования
|
№
|
Элементы
затрат
|
Сумма,
руб.
|
%
к итогу
|
|
1
|
Материальные
затраты:
Сырье
Электроэнергия
|
438.3
218.22
220.08
|
0.29
0.14
0.15
|
|
2
|
Оплата
труда
|
9880
|
6.80
|
|
3
|
Отчисления
в социальные фонды
|
3359.2
|
2.31
|
|
4
|
Амортизационные
отчисления
|
126755.68
|
87.20
|
|
5
|
Накладные
расходы
|
4940
|
3.40
|
|
Всего
|
145373.18
|
100
|
В состав лекарственного
растительного сырья входит большое количество биологически активных
компонентов, в том числе флавоноидов.
Интерес к лекарственному
растительному сырью, содержащему флавоноиды велик ввиду присущего им широкого
спектра биологического действия. В связи с этим современная наука занимается
поиском оптимальных путей выделения, получения и использования флавоноидов.
Основным фактором
повышения интереса к лечебным свойствам лекарственных растений явилось то, что
фитопрепараты обладают высокой безопасностью при достаточной эффективности,
простотой приготовления и не исключают возможность длительного применения.
Следует отметить, что для синтетических сильнодействующих препаратов характерны
различные нежелательные и опасные побочные эффекты.
В процессе работы
проводились исследования методов количественного анализа лекарственного
растительного сырья, а именно: травы пустырника, плодов боярышника и цветов
календулы. Неотъемлемой частью в изучении количественного содержания флавоноидов
в сырье является изучение способов извлечения флавоноидов из
лекарственного растительного сырья и выявление наиболее оптимального, т.к.
степень извлечения флавоноидов напрямую зависит от количественного содержания
последних в готовой лекарственной форме.
В ходе работы были
использованы такие методы анализа, как спектрофотометрия и хроматомасспектрометрия.
При сравнении данных методов было выявлено, что метод спектрофотометрии
является самым дешевым, экспрессным методом, но менее точным по сравнению с
методом хроматомасспектрометрии. Данные методы широко используются для
количественного определения содержания флавоноидов не только в условиях
учебно-аналитической лаборатории, но и могут быть использованы в
контрольно-аналитической лаборатории на предприятии в качестве экспрессных
методов анализа.
В
процессе жизнедеятельности человек подвергается воздействию различных опасностей,
под которыми обычно понимают явления, процессы, объекты, способные в
определенных условиях наносить ущерб здоровью человека непосредственно или косвенно,
т.е. вызывать различные нежелательные последствия.
Человек
подвергается воздействию опасностей и в своей трудовой деятельности. Эта
деятельность осуществляется в пространстве, называемом производственной
средой. В условиях производства на человека в основном действуют техногенные,
т.е. связанные с техникой, опасности, которые принято называть опасными и
вредными производственными факторами [29].
Опасным производственным фактором (ОПФ)
называется такой производственный фактор, воздействие которого на работающего
в определенных условиях приводит к травме или к другому внезапному резкому ухудшению
здоровья. Травма — это повреждение тканей организма и нарушение его функций
внешним воздействием. Травма является результатом несчастного случая на
производстве, под которым понимают случай воздействия опасного
производственного фактора на работающего при выполнении им трудовых
обязанностей или заданий руководителя работ.
Вредным производственным фактором (ВПФ)
называется такой производственный фактор, воздействие которого на работающего
в определенных условиях приводит к заболеванию или снижению трудоспособности.
Заболевания, возникающие под действием вредных производственных факторов,
называются профессиональными.
К опасным производственным факторам
следует отнести, например:
-
электрический
ток определенной силы;
-
раскаленные
тела;
-
возможность
падения с высоты самого работающего либо различных деталей и предметов;
-
оборудование,
работающее под давлением выше атмосферного, и т.д.
К вредным
производственным факторам относятся:
-
недостаточная
освещенность рабочих мест; повышенная яркость света и пульсация светового
потока;
-
запыленность
и загазованность воздушной среды;
-
воздействие
шума, инфра- и ультразвука, вибрации;
-
наличие
электромагнитных полей, лазерного и ионизирующих излучений и др. [29].
Все опасные и вредные производственные факторы
в соответствии с ГОСТ 12.0.003-74 подразделяются на физические, химические,
биологические и психофизиологические [30].
Основными понятиями,
характеризующими свет, являются световой поток, сила света, освещённость и
яркость.
Световым потоком называют поток лучистой энергии, оцениваемый глазом по
световому ощущению.
Хорошее освещение
действует тонизирующие, создаёт хорошее настроение, улучшает протекание
основных процессов нервной высшей деятельности.
Улучшение освещённости
способствует улучшению работоспособности даже в тех случаях, когда процесс
труда практически не зависит от зрительного восприятия.
90% информации человек
получает через органы зрения. Свет оказывает положительное влияние на обмен
веществ, сердечно-сосудистую систему, нервно-психическую сферу. Рациональное
освещение способствует повышению производительности труда, его безопасности.
При недостаточном освещении и плохом его качестве происходит быстрое утомление
зрительных анализаторов, повышается травматичность. Слишком высокая яркость
вызывает явление слепимости, нарушение функции глаза.
Часть электромагнитного
спектра с l от 10... 340 000 нм
называется оптической областью спектра, которая подразделяется на инфракрасное
излучение (770... 340 000), видимое излучение (380... 770), УФ область – 10...
380 нм. В пределах видимой области, излучение paзличнoй вызывает разные
световые и цветовые ощущения: от фиолетового до красного цветов. Наиболее
чувствителен человеческий глаз к 550 нм излучению. К границам спектра
чувствительность уменьшается [31].
Тело
человека рассматривается как сочетание масс с упругими элементами, имеющими
собственные частоты, которые для плечевого пояса, бедер и головы относительно
опорной поверхности (положение "стоя") составляют 4~6 Гц, головы относительно
плеч (положение "сидя") – 25-30 Гц. Для большинства
внутренних органов собственные частоты лежат в диапазоне 6 – 9 Гц. Общая вибрация с частотой
менее 0,7 Гц, определяемая как качка, хотя и неприятна, но не приводит к
вибрационной болезни. Следствием такой вибрации является морская болезнь,
вызванная нарушением нормальной деятельности вестибулярного аппарата по
причине резонансных явлений.
При частоте колебаний рабочих мест, близкой к собственным
частотам внутренних органов, возможны механические повреждения или даже
разрывы. Систематическое воздействие общих вибраций, характеризующихся высоким
уровнем виброскорости, приводит к вибрационной болезни, которая
характеризуется нарушениями физиологических функций организма, связанными с
поражением центральной нервной системы. Эти нарушения вызывают головные боли,
головокружения, нарушения сна, снижение работоспособности, ухудшение
самочувствия, нарушения сердечной деятельности.
Местная
вибрация малой интенсивности может благоприятно воздействовать на организм
человека, восстанавливать трофические изменения, улучшать функциональное состояние
центральной нервной системы, ускорять заживление ран и т. п.
При увеличении интенсивности колебаний и длительности их
воздействия возникают изменения, приводящие в ряде случаев к развитию
профессиональной патологии – вибрационной болезни [32].
Диапазон
слухового восприятия человека составляет примерно 130 дБ. Шум интенсивностью
свыше 130 дБ вызывает боль в ушах, а при 140 дБ – нарушения в слуховом
аппарате даже при кратковременном воздействии. Шум в 160 – 165 дБ в течение
нескольких минут вызывает гибель животных, 180 дБ – вызывает усталость металла,
190 дБ – вырывает заклепки из конструкций.
Как все
органы чувств, ухо в процессе восприятия шума в зависимости от его характера и
силы адаптируется с ним. В процессе адаптации к сильным звуковым раздражителям
чувствительность органа слуха к ним понижается, а после прекращения действия
раздражителя чувствительность восстанавливается. Если раздражение чрезмерно
сильное и длительное, наступает утомление.
По своему
утомляющему действию различные шумы не равноценны. Чем выше звук, тем выше его
утомляющее действие. Так, если шум интенсивностью 80 дБ с частотной
характеристикой 1000 Гц вызывает у большинства людей слабо выраженное
утомление, то шум той же интенсивности, но с частотой 2000 – 4000 Гц оказывает
значительное утомляющее действие.
При
воздействии интенсивного шума обычно возникает снижение слуховой
чувствительности, свидетельствующее об утомлении при высоких частотах независимо
от спектра шума, исследования показывают, что шум интенсивностью более 90 дБ
даже при отсутствии высоких частот оказывает утомляющее действие.
Длительное
действие интенсивного шума приводит к стойкому понижению чувствительности к
различным тонам и тихой речи, т. е. к профессиональной тугоухости и глухоте.
Наряду с изменениями в слуховом аппарате шум оказывает отрицательное действие и
на некоторые другие органы и системы. Продолжительно воздействуя на нервную
систему, шум замедляет скорости нервных реакций, понижает внимание и
работоспособность, вызывает сдвиги уровня кровяного давления, изменение ритма
дыхания, пульса и т. д.
Учитывая
вредное действие шума на организм человека, законодательством установлены
предельные уровни интенсивности шума на предприятиях и контроль за соблюдением
норм [31].
Выполнение различных видов работ в
промышленности сопровождается выделением в воздушную среду вредных веществ.
Вредное вещество – это вещество, которое в случае нарушения требований
безопасности может вызвать производственные травмы, профессиональные
заболевания или отклонения в состоянии здоровья, обнаруживаемые как в процессе
работы, так и в отдаленные сроки жизни настоящих и последующих поколений.
Наиболее благоприятен для дыхания
атмосферный воздух, содержащий (% по объему) азота – 78.08, кислорода – 20.95,
инертных газов – 0.93, углекислого газа – 0.03, прочих газов – 0.01.
Необходимо обращать внимание и на
содержание в воздухе заряженных частиц – ионов. Так, например, известно благотворное
влияние на организм человека отрицательно заряженных ионов кислорода воздуха.
Вредные вещества, выделяющиеся в воздух рабочей зоны, изменяют его состав, в
результате чего он существенно может отличаться от состава атмосферного
воздуха.
При проведении различных
технологических процессов в воздух выделяются твердые и жидкие частицы, а также
пары и газы. Пары и газы образуют с воздухом смеси, а твердые и жидкие частицы
– аэродисперсные системы – аэрозоли. Аэрозолями называют воздух или газ,
содержащие в себе взвешенные твердые или жидкие частицы. Аэрозоли принято
делить на пыль, дым, туман. Пыли или дымы – это системы, состоящие из воздуха
или газа и распределенных в них частиц твердого вещества, а туманы – системы,
образованные воздухом или газом и частицами жидкости.
Размеры твердых частиц пылей превышают 1 мкм, а размеры твердых частиц дыма
меньше этого значения. Различают крупнодисперсную (размер твердых частиц более
50 мкм), среднедисперсную (от 10 до 50 мкм) и мелкодисперсную (размер частиц
менее 10 мкм) пыль. Размер жидких частиц, образующих туманы, обычно лежит в
пределах от 0,3 до 5 мкм. Проникновение вредных веществ в организм человека происходит
через дыхательные пути (основной путь), а также через кожу и с пищей, если
человек принимает ее, находясь на рабочем месте. Действие этих веществ
следует рассматривать как воздействие опасных или вредных производственных
факторов, так как они оказывают негативное (токсическое) действие на организм
человека. В результате воздействия этих веществ у человека возникает
отравление – болезненное состояние, тяжесть которого зависит от
продолжительности воздействия, концентрации и вида вредного вещества.
Существуют различные классификации
вредных веществ, в основу которых положено их действие на человеческий
организм. В соответствии с наиболее распространенной классификацией вредные
вещества делятся на шесть групп: общетоксические, раздражающие,
сенсибилизирующие, канцерогенные, мутагенные, влияющие на репродуктивную (детородную)
функцию человеческого организма.
Общетоксические вещества вызывают
отравление всего организма. Это оксид углерода, свинец, ртуть, мышьяк и его
соединения, бензол и др. Раздражающие вещества вызывают раздражение дыхательного
тракта и слизистых оболочек человеческого организма. К этим веществам
относятся: хлор, аммиак, пары ацетона, оксиды азота, озон и ряд других веществ.
Сенсибилизирующие вещества действуют как аллергены, т.е. приводят к
возникновению аллергии у человека. Этим свойством обладают формальдегид,
различныенитросоединения, никотинамид, гексахлоран и др.
Воздействие канцерогенных веществ на
организм человека приводит к возникновению и развитию злокачественных опухолей
(раковых заболеваний). Канцерогенными являются оксиды хрома, 3,4–бензпирен,
бериллий и его соединения, асбест и др.
Мутагенные вещества при воздействии
на организм вызывают изменение наследственной информации. Это радиоактивные
вещества, марганец, свинец и т.д.
Среди веществ, влияющих на
репродуктивную функцию человеческого организма, следует в первую очередь
назвать ртуть, свинец, стирол, марганец, ряд радиоактивных веществ и др.
Пыль, попадая в организм человека,
оказывает фиброгенное воздействие, заключающееся в раздражении слизистых
оболочек дыхательных путей. Оседая в легких, пыль задерживается в них. При
длительном вдыхании пыли возникают профессиональные заболевания легких –
пневмокониозы. При вдыхании пыли, содержащей свободный диоксид кремния (SiO2),
развивается наиболее известная форма пневмокониоза – силикоз. Если диоксид
кремния находится в связанном с другими соединениями состоянии, возникает
профессиональное заболевание – силикоз. Среди силикозов наиболее распространены
асбестоз, цементоз, талькоз.
Для воздуха рабочей зоны
производственных помещений в соответствии с ГОСТ 12.1.005–88 устанавливают
предельно допустимые концентрации (ПДК) вредных веществ. ПДК выражаются в
миллиграммах (мг) вредного вещества, приходящегося на 1 кубический метр
воздуха, т. е. мг/м3.
В соответствии с указанным выше
ГОСТом установлены ПДК для более чем 1300 вредных веществ. Еще приблизительно
для 500 вредных веществ установлены ориентировочно безопасные уровни
воздействия (ОБУВ) [33].
1.
К
работе по проведению химического анализа допускаются лица не моложе 18 лет,
прошедшие медицинское освидетельствование, теоретическое и практическое
обучение, проверку знаний по охране труда в установленном порядке и получившие
допуск к самостоятельной работе.
2.
Лаборант
аналитической лаборатории обеспечивается спецодеждой и средствами
индивидуальной защиты (халат хлопчатобумажный, фартук прорезиненный с
нагрудником, перчатки резиновые, очки защитные).
3.
Помещения
аналитических лабораторий необходимо оборудовать принудительной
приточно-вытяжной вентиляцией и местной вентиляцией (тягой) из лабораторных
шкафов и других очагов выделения паров вредных веществ.
4.
В
помещениях аналитических лабораторий, где проводится работа с особо вредными и
ядовитыми веществами, вентиляционная система выполняется индивидуальной, не
связанной с вентиляцией других помещений [32].
1.
Надеть
предусмотренную соответствующими нормами спецодежду и подготовить
индивидуальные средства защиты. Проверить наличие дегазирующих средств и
первичных средств пожаротушения.
2.
Проверить
исправность вентиляционного оборудования, электрооборудования, включить
вентиляцию.
3.
Подготовить
к работе приборы и лабораторное оборудование, убедиться в их исправности. Не
допускается пользование неисправными приборами и лабораторным оборудованием.
4.
Приступать
к работе можно, если имеются прописи - инструкции на каждый вид синтеза или
анализа.
5.
Получить
задания на отдельные этапы исследовательской работы, в которых указаны
максимально допустимые количества растворов, допустимое количество опасных
примесей, температура, давление и другие условия проведения
эксперимента [32].
1.
Помещения
аналитических лабораторий следует содержать в чистоте и порядке. Не допускается
загромождать коридоры и входы (выходы) какими-либо предметами, материалами,
оборудованием.
2.
Все
работы, связанные с выделением токсичных или пожаро- и взрывоопасных паров и
газов, выполнять в вытяжных шкафах при включенной местной вентиляции.
3.
Не
допускается пользоваться вытяжными шкафами с разбитыми стеклами или с
неисправной вентиляцией, а также загромождать вытяжные шкафы посудой, приборами
и лабораторным оборудованием, не связанным с выполняемой работой.
4.
С
разрешения руководителя аналитической лаборатории допускается хранение в
вытяжных шкафах дымящихся кислот, легкоиспаряющихся реактивов и растворителей,
при этом проводить анализы в этих шкафах не допускается. Если в лаборатории
имеется один вытяжной шкаф, то вышеуказанные реактивы хранят в специально
отведенном помещении.
5.
Для
хранения проб и реактивов следует использовать только герметично закрывающуюся
посуду. Не допускается хранение горючих жидкостей в тонкостенной стеклянной
посуде. На каждый сосуд с химическим веществом необходимо наклеить этикетку с
указанием продукта.
6.
Бачки,
бутыли и другие емкости для хранения агрессивных жидкостей не следует оставлять
даже временно на рабочих столах, в проходах и местах общего пользования.
7.
Емкости
с агрессивными жидкостями следует переносить вдвоем с использованием
механизированных приспособлений, на специальных носилках, в корзинах с двойным
дном.
8.
При
переливании и порционном розливе агрессивных жидкостей следует пользоваться
специальными безопасными воронками с загнутыми краями и воздухоотводящими
трубками. В случае перелива жидкость необходимо нейтрализовать и место разлива
хорошо промыть водой.
9.
Место
розлива и разведения кислот и щелочей, а также места их применения следует
оборудовать местной вытяжной вентиляцией, обеспечит чистой ветошью и
полотенцем, водяным гидрантом с резиновым шлангом для мытья рук и фонтанчиком
для промывания глаз.
10.
При
работе с кислотами и щелочами следует надеть резиновые перчатки и защитные
очки.
11.
Пролитую
кислоту следует засыпать мелким песком, пропитавшийся кислотой песок убрать
деревянной лопаткой и засыпать это место содой или известью, после чего замыть
водой и вытереть насухо.
12.
Измельчение
едких и ядовитых веществ производить в закрытых ступках под тягой в защитных
очках и резиновых перчатках. Необходимо вести строгий учет всех ядовитых
веществ. Выдача их без разрешения руководителя аналитической лаборатории не
допускается.
13.
Сливать
остатки щелочи, кислоты и воду в один сосуд не допускается.
14.
Лабораторную
посуду следует мыть в специальном моечном помещении, отделенном от других
рабочих помещений лаборатории глухой несгораемой перегородкой и имеющем
самостоятельный выход. Моечное помещение необходимо оборудовать самостоятельной
приточно-вытяжной вентиляцией и вытяжной вентиляцией от места мытья посуды.
15.
При
переносе стеклянных колб с жидкостью их необходимо держать двумя руками - одной
за дно, а другой - за горловину.
16.
Стеклянные
трубки и палочки при размалывании, а также при надевании на них резиновых
трубок обертывать тканью (полотенцем). Неровные и острые концы стеклянных
трубок и палочек перед надеванием на них резиновых трубочек следует оплавить и
смочить водой или глицерином.
17.
В
помещении, где проводятся работы с ядовитыми и агрессивными веществами, не
допускается хранение и прием пищи. Не допускать употребления лабораторной
посуды для личного пользования.
18.
Запрещается
оставлять даже на короткое время химические продукты, пробы без этикеток в
местах, для них не предназначенных.
19.
Запрещается
оставлять без присмотра работающие установки [33].
1.
Выключить
электронагревательные приборы и горелки.
2.
Закрыть
водяные и газовые краны и вентили.
3.
Закрыть
банки с реактивами, легковоспламеняющимися веществами.
4.
Вынести
из аналитической лаборатории арбитражные пробы в места их хранения.
5.
Вымыть
посуду, лабораторное оборудование и уложить на место хранения.
6.
Вымыть
водой и вытереть рабочий стол и пол.
7.
Выключить
вентиляцию.
8.
Промасленные
ветошь, опилки и другие подобные материалы, сложенные в закрытые металлические
ящики, следует вынести за пределы аналитической лаборатории в специально
отведенное для этого место.
9. Переодеться,
тщательно вымыть лицо и руки теплой водой с мылом и принять душ [33].
Ответственность за
организацию технической эксплуатации электроустановок, находящихся в
лаборатории, а также за правильное использование электроустановок, несет
заведующий лабораторией и его заместитель.
Они должны обеспечить:
-
безопасность
на рабочих местах при обслуживании электроустановок;
-
инструкциями
по технике безопасности для сотрудников и студентов;
-
контроль
за наличием и своевременной проверкой защитных изолирующих средств;
своевременное
проведение инструктажа (не менее 1 раза в год) лиц, работающих на
электроустановках [32].
Эксплуатация
электроприборов (сушильных шкафов, электрических плиток, электронагревательных
печей, фотоэлектрических фотометров и т.д.) должна проводиться в соответствии с
требованиями «Правилами технической эксплуатации электроустановок
потребителями» (ПТЭ) и «Межотраслевыми правилами по охране труда при эксплуатации
электроустановок потребителями» (МПОТ).
1.
Сотрудники,
пользующиеся электроприборами, должны быть проинструктированы по вопросам
электробезопасности.
2.
Электронагревательные
приборы должны размещаться на расстоянии не менее 1.5 м от металлических раковин
и труб водопровода, отопления и канализации.
3.
При
установке в лаборатории электронагревательных приборов должны соблюдаться меры
пожарной безопасности:
-
устанавливать
электронагревательные приборы разрешается только на несгораемые поставки;
-
запрещается
применение электроплит с открытой спиралью;
-
запрещается
оставлять включенными в сеть электронагревательные приборы после работы.
-
Измерительные
приборы должны подключаться к электросети согласно заводской инструкции.
Подключения производятся при выключенном напряжении.
-
За
всеми электроприборами должен быть организован систематический надзор,
обеспечивающий правильность их показаний, исправное состояние и правильное
применение в соответствии с техническими инструкциями.
-
Данные
обо всех измерительных и электронагревательных приборах должны быть занесены в
журналы, в которых производятся отметки обо всех поверках и ремонтах [32].
-
1.
При
аварийном состоянии оборудования или установки немедленно прекратить работу и
отключить электропитание.
2.
В
случае воспламенения горючей жидкости необходимо:
-
выключить
электронагревательные приборы и вентиляцию;
-
вынести
из помещения все сосуды с огнеопасными веществами и баллоны со сжатым газом;
-
применять
для данного случая наиболее эффективные средства тушения;
-
при
возникновении пожара вызвать пожарную охрану по телефону 01, применять
соответствующие средства тушения.
3.
Пламя
необходимо гасить следующими средствами:
-
при
загорании жидкостей, смешивающихся с водой — любым огнетушителем, струей воды,
песком, асбестовым или суконным одеялом;
-
при
загорании жидкостей, несмешивающихся с водой - углекислотными огнетушителями,
песком, покрывалом (исключая воду), начиная с периферии.
4.
Категорически
запрещается применять воду при тушении горящих проводов, электроприборов,
находящихся под давлением, напряжением, их следует обесточить и тушить
углекислотным огнетушителем [34].
1.
При
обнаружении какой-либо неисправности нужно немедленно сообщить о ней начальнику
лаборатории или его заместителю.
2.
В
случае аварии (короткого замыкания) сотрудник должен:
-
отключить
общий рубильник лаборатории;
-
вызвать
дежурного электрика [32].
4.5.3 Первая
помощь пострадавшим от электрического тока
1.
Спасение
пострадавшего от электрического тока в большинстве случаев зависит от быстроты
освобождения его от действия тока, а также от быстроты и правильности оказания
пострадавшему первой помощи.
2.
В
лаборатории должна иметься аптечка с набором необходимых средств и
приспособлений для оказания первой помощи.
3.
Освобождение
пострадавшего от электрического тока в случае, если он продолжает соприкасаться
с токоведущими частями, должно быть произведено отключение установки.
Если отключение
установки не может быть произведено, то для отделения пострадавшего от
токоведущих частей или провода следует воспользоваться сухой одеждой, канатом,
палкой, доской или каким-нибудь другим сухим предметом, не проводящим
электрический ток. При отделении пострадавшего от токоведущих частей
рекомендуется действовать по возможности одной рукой.
4.
Меры
первой помощи зависят от состояния, в котором находится пострадавший после
освобождения его от электрического тока.
Для определения этого
состояния необходимо немедленно произвести следующие мероприятия:
-
уложить
пострадавшего на спину на твердую поверхность;
-
проверить
наличие у пострадавшего дыхания;
-
проверить
пульс на лучевой артерии у запястья или на сонной артерии на переднебоковой
поверхности шеи;
-
выяснить
состояние зрачка (узкий или широкий); широкий зрачок указывает на резкое
ухудшение кровоснабжения.
5.
Во
всех случаях поражения электрическим током вызов врача является обязательным
независимо от состояния пострадавшего.
6.
Если
пострадавший находится в сознании, но до этого был в состоянии обморока, его
следует уложить в удобное положение, до прибытия врача обеспечить покой,
наблюдая за дыханием и пульсом.
7.
Если
пострадавший находится в бессознательном состоянии, но с сохранившимся
устойчивым дыханием и пульсом, его следует уложить, расстегнуть одежду, создать
приток свежего воздуха, давать нюхать нашатырный спирт, обрызгивать лицо водой
и обеспечить покой.
8.
При
отсутствии у пострадавшего признаков жизни (дыхания и пульса) ему следует
немедленно оказать первую помощь в виде искусственного дыхания и наружного
(непрямого) массажа сердца. Искусственное дыхание производить непрерывно как до,
так и после прибытия врача. Вопрос о дальнейшем проведении искусственного
дыхания решается врачом [33].
1.
В
случае возникновения пожара, первый заметивший его должен немедленно сообщить в
пожарную часть по телефону 01 с указанием точного места пожара.
2. До
прибытия пожарной команды приступить к тушению пожара всеми имеющимися
средствами пожаротушения и применять меры к эвакуации людей, приборов,
оборудования и имущества.
3. С
прибытием пожарной команды применять меры к охране выносимого имущества
лаборатории.
4. При
разливе бензина, эфира или других огнеопасных жидкостей следует потушить
горелки, закрыть общий газовый вентиль, отключить электронагревательные
приборы, удалить пролитый продукт. При возникновении пожара необходимо
выключить вентиляцию, сообщить о случившемся в пожарную охрану и
непосредственному руководителю, приступить к ликвидации пожара первичными средствами
пожаротушения.
5. При
обнаружении запаха газа необходимо закрыть общий запорный вентиль на газовой
сети, проветрить помещение и принять меры по устранению обнаруженных
неисправностей. Зажигать нагревательные и осветительные приборы до полного
проветривания помещения и устранения неисправностей не допускается.
При несчастном случае
необходимо оказать первую помощь пострадавшему, вызвать скорую медицинскую
помощь или направить пострадавшего в лечебное учреждение, сообщить
администрации организации [34].
При ожогах,
отравлениях, порезах, ушибах, произошедших во время работы в химической
лаборатории необходимо обращаться к врачу. Доврачебная (первая) помощь
заключается в приятии обычных мер, применяемых при легких ранениях, ушибах,
термических ожогах. При ранении края раны осторожно смазывают йодной настойкой
и накладывают стерильную повязку. Нельзя промывать раны водой. При ушибах
необходимо создать пострадавшему покой, к ушибленной части тела до прихода
врача необходимо прикладывать холодные примочки или пузырь со льдом.
При венозном
кровотечении следует накладывать давящую повязку. Если кровотечение не
останавливается, накладывают жгут.
При термических ожогах
обожженную часть тела смазывают вазелином, растительным маслом или присыпают
питьевой содой. При более сильных ожогах (появление пузырей) прикладывают
марлю, смоченную 5%-ным раствором марганцовокислого калия, и накладывают
повязку.
При химических ожогах
необходимо тщательно обмыть кожу растворителем для данного вещества.
При ожогах кислотами
или едкими щелочами пораженное место промывают обильной струей воды и затем
обрабатывают:
-
при
ожогах кислотами – слабым щелочным раствором питьевой соды (можно присыпать
обожженное место чистым мелом или окисью магния);
-
при
ожогах щелочами – слабым раствором уксусной или лимонной кислоты.
Особенно опасно
попадание химических реактивов в глаза. При химическом
ожоге веществами, растворимыми в воде,
самым лучшим средством является немедленное промывание струей воды.
При отравлениях
химическими веществами пострадавшего необходимо вынести на свежий воздух,
освободить от стесняющей одежды. При остановке дыхания немедленно приступают к
искусственному дыханию. Следует помнить, что от быстроты проведения
искусственного дыхания и правильности приемов зависит жизнь пострадавшего.
Каждая лаборатория должна быть снабжена
аптечкой с набором медикаментов, перевязочных средств и т.п., согласно
указаниям медико-санитарной части предприятия [32].
4.5
Токсические
свойства веществ, используемых в работе
Токсические свойства
веществ, используемых в дипломной работе, представлены в таблице 4.1.
Таблица
4.1 – Токсические свойства веществ, используемых в работе
|
№
|
Вещество
|
ПДК,
мг/м3
|
Защитные
приспособления
|
|
1
|
Спирт
этиловый
С2Н5ОН
|
1000
|
Герметизация посуды,
работа в вытяжном шкафу
|
|
2
|
Хромовая
смесь
K2Cr2O7+H2SO4
|
0.01
|
При
попадании на кожу вызывает сильнейшие раздражения, экземы
и дерматиты,
а также может спровоцировать развитие рака кожи
|
Учебно-аналитическая
лаборатория ТГТУ (лаборатория №261) оснащена вытяжными шкафами. Расстановка
оборудования произведена с учетом безопасности работы, с соблюдением проходов,
требуемых норм. Все токоведущие части оборудования безопасны в эксплуатации.
Для тушения пожаров предусмотрены кислотные огнетушители.
Все химические веществ,
применяемые при проведении анализов, используются в небольших количествах,
поэтому испарения этих веществ не предоставляют угрозы для атмосферы. Кислоты и
спирты хранятся в хорошо укупоренной
таре в вытяжном шкафу.
К работе допускаются лица, прошедшие
инструктаж по технике безопасности, работы проводятся в спецодежде и при защите
органов дыхания.
Рассчитать
методами светового потока потребное количество светильников с
лампами накаливания (ЛП) и газоразрядными лампами (ГЛ).для общего освещения
помещения учебно-аналитической лаборатории, выбрать экономически
целесообразную осветительную установку и расположить светильники на плане
помещения. При этом учитывать, что размер помещения
м, разряд и подразряд
зрительных работ IV г, высота светильника от потолка – 0.4 м, высота рабочей
поверхности от пола – 1.0 м, коэффициент отражения света от потолка Рп=50%,от
стен Рс=30%, от рабочей поверхности Рр=10%.
Таблица 4.2 – Исходные данные к заданию
|
Размеры помещения
|
12x8x6
|
|
Тип лампы
|
ЛН
– Г500
ГЛ
– ДРЛ400
|
|
Тип светильника
|
ЛН – ППР
ГЛ – С34ДРЛ
|
Определим высоту, м,
подвеса светильника над рабочей поверхностью по формуле:
(4.1)
где, Н - высота
помещения, м;
hр - высота рабочей
поверхности от пола, м;
hc - высота свеса
светильника от основного потолка, м.
1.
Вычисляем освещаемую площадь помещения, м2, по
формуле:
(4.2)
где, А и В - длина
и ширина помещения, м.
2.
Определяем индекс помещения:
(4.3)
3.
С учетом значений i,Рп,Рс,Рр
для ППН ŋ=26%, для С34ДРЛ ŋ=61%
4.
Определяем норматив освещенности для ГЛ и ЛН:
5.
Определяем световой поток лампы:
6.
Определяем потребное количество светильников:
(4.4)
где, Кз-
коэффициент запаса;
Z - коэффициент неравномерности освещения;
КТ
и ZТ-принятые коэффициенты запаса
и неравномерности (КТ = 1,5, ZТ = 1,1)
для ЛН
для ГЛ
7.
Выбираем вариант осветительной установки с ЛН и ГЛ по
экономическим показателям:
Для ЛН:
(4.5)
Для ГЛ:
(4.6)
ДРЛ
(ГЛ).
8.
Производим размещение светильников. Для этого находим,
что светильник типа С34ДРЛ имеет КСС типа Г (глубокая).
По таблице находим
λ=0.8…1.2, λср=1.0
(4.7)
(4.8)
Значит по длине А помещения
разместится:
(4.9)
По ширине В помещения
разместится:
(4.10)
Общее количество светильников:
(4.11)
(4.12)
9.
Так как рабочие места располагаются у стен, то
(4.13)
Схема размещения светильников приведена
на рисунке 4.1.
Рисунок 4.1 – Схема
размещения светильников
Флавоноиды
исключительно многогранны. В равной мере они интересны как объекты изучения в
ботанике, фармакогнозии, фитохимии и особенно в фармации и медицине.
В дипломной работе
флавоноиды главным образом изучены с точки зрения химических позиций. А именно
рассмотрены особенности строения и физико-химические свойства биофлавоноидов,
представлены современные методы идентификации, выделения и разделения
флавоноидов. Также в работе проанализированы основные способы экстрагирования
лекарственного растительного сырья и выявлены оптимальные условия проведения
экстракции, рассмотрены основные методы качественного и количественного определения
природных флавоноидов в лекарственном растительном сырье. Особое внимание
уделялось таким методам анализа как спектрофотомерия и хроматомасспектрометрия.
Было установлено, что
наиболее доступным и объективным методом контроля биологически активных
соединений в растительном сырье и суммарных фитохимических препаратах является
хроматомасспектрометрический метод анализа, который позволяет идентифицировать
отдельные флавоноиды не зависимо от присутствия посторонних или родственных
соединений. Это связано с тем, что спектрофотометрический метод позволяет
оценить только суммарное содержание флавоноидов в экстрактах и не дает
возможности проводить, наряду с количественным, качественный анализ.
В результате
проделанной работы были подобраны оптимальные условия проведения экстракции.
Было установлено, что наиболее полное извлечение определяемого вещества из
анализируемого лекарственного сырья достигалось при проведении экстракии в
течение 120 минут при температуре 60 °Сс использовании в качестве экстрагента
70%-ый спирт этиловый. По полученным данным можно сделать вывод, что наибольшее
количество рутина содержится в траве пустырника сердечного, немного меньше в
цветках календулы лекарственной, наименьшее содержание рутина отвечает
экстракту плодов боярышника.
1.
Яковлева, Г.П.
Лекарственное сырье животного и растительного происхождения. Фармакогнозия./
Г.П. Яковлева – Спб.: Спецлит, 2006. – 845с.
2.
Муравьева, Д.А.
Фармакогнозия / Д.А. Муравьева, И.А. Самылина, Г.П. Яковлев. – М.: Медицина,
2002
3.
Биологически
активные вещества растительного происхождения / Б.Н. Головкин, Р.Н. Руденская,
И.А. Трофимова, А.И. Шретер. – М.: Наука, 2002
4.
Химия
растительного сырья №4. – 2007. – 73-77 с.
5.
Беликов, В.Г.
Фармацевтическая химия: учебник для высш. шк. / В.Г.Беликов – М.:
МЕДпресс-информ, 2007. – 624 с.
6.
"Технология
сушки: Учебно-методический комплекс", Киселева Т.Ф. – /Кемеровский
технологический институт пищевой промышленности. – Кемерово, 2007. – 117 с.
7.
Кузнецова М.А.
Лекарственное растительное сырье./М.А Кузнецова. – М.: Высш. шк., 1984. - 207с.
8.
Корулькин, Д.Ю.
Природныефлаваноиды /Д.Ю. Корулькин, Ж.А. Абилов, Г.А. Толстиков. –
Новосибирск: Наука, 2007. – 296с.
9.
Каухова, И. Е.
Особенности экстрагирования биологически активных веществ двухфазной системой
экстрагентов при комплексной переработке лекарственного растительного сырья /
И. Е. Каухова // Растительные ресурсы. – 2006. – Т. 42. – Вып. 1. – С. 82-91.
10.
Георгиевский, В.
П. Биологически активные вещества лекарственных растений / В. П. Георгиевский,
Н.Ф. Комиссаренко, С.Е. Дмитрук. – Новосибирск: Наука, 1990. – 144с.
11.
Дегтярев, Е. В.
Применение тонкослойной хроматографии в анализе БАВ / Е. В. Дегтярев, Б. В.
Тяглов, В. Д. Красиков, А. В. Гаевский // 100 лет хроматографии. – М.: Наука,
2003. – 124с.
12.
Кирхнер, Ю. В.
Тонкослойная хроматография / Ю. В. Кирхнер. – М.: Мир, 1981. – 542с.
13.
Органическая
химия: учебник для вузов: В 2 кн. Кн.2: Специальный курс/ Н.А. Тюкавкина, С.Э.
Зурабян, В.Л. Белобородов и др.; под ред. Н.А. Тюкавкиной. – М.: Дрофа, 2008. –
592с.
14.
Сычев, С.Н.
Высокоэффективная жидкостная хроматография на микроколоночных хроматографах
серии «Милихром»: Монография/ С.Н. Сычев, К.С. Сычев, В.А. Гаврилина. – Орел:
ОрелГТУ, 2002. – 134с.
15.
Васильев, В. П.
Аналитическая химия. Физико-химические методы анализа: учеб.для студ. вузов,
обучающихся по химико-технол. спец. – 2-е изд., перераб. и доп. – М.: Дрофа,
2002. – 384 с.
16.
Лебедева, М.И.
Аналитическая химия и физико-химические методы анализа: учеб.пособие/ М.И.
Лебедева. – Тамбов: ТГТУ, 2005. – 216с.
17.
Абдуллабекова,
В.Н. Идентификация рутина в растительном сырье методом капиллярного
электрофореза/ В.Н. Абдуллабекова// Вестник фармации. – 2009. – №3. – С.23-28.
18.
Духин,
С.С. Электрофорез/ С.С. Духин, Б.В. Дерягин. – М.: Наука,1976
19.
Основы
аналитической химии. В 2 кн. Кн. 2. Методы химического анализа/ Ю.А. Золотов,
Е.Н. Дорохова, В.И. Фадеева и др. Под ред. Ю.А. Золотова. – М.: Высшая школа,
2002. – 494 с.
20.
Карасек
Ф., Клемент Р. Введение в хроматомасспектрометрию: Пер. с англ. – М.: Мир,
1993. – 237 с.
21.
Государственная
фармакопея СССР./ М-во здравоохранения СССР. –
11 изд. – М.: Медицина, 1987. – 334с.
22.
ГОСТ
24027.0-80. Правила приемки и методы отбора проб. – Введ. 1981 –
01 – 01. - М.: Изд-во стандартов. – 5с.
23.
ГОСТ 24027.2-80. Сырье
лекарственное растительное. Методы определения влажности, содержания золы,
экстрактивных веществ, эфирного масла. – Введ. 1981 – 01 – 01. –М.: Изд-во
стандартов. – 10с.
24.
Лобанова, А.А.
Исследование биологически активных флавоноидов в экстрактах из растительного
сырья / А.А. Лобанова, В.В. Будаева, Г.В. Сакович // Химия растительного сырья.
– 2004. -№1. – С. 47-52.
25.
Государственная
фармакопея СССР./ М-во здравоохранения СССР. – 10 изд. – М.: Медицина, 1968. –
1080с.
26.
Рейхарт, Д.В.
Фармацевтический рынок: его особенности, проблемы и перспективы/ Д.В. Рейхарт,
Ю.В. Шиленко, В.А. Сухинина. – М.: Славянский диалог,1995. – 297 с.
27.
Иващенко, А.А.
Концепция инновационного развития отечественной фармацевтической отрасли / А.А.
Иващенко, Д.В. Кравченко // Ремедиум. – 2008. -№5. – С. 14-18.
28.
Методическое
указание к экономической части дипломного проекта [Текст]. Тверь, ТГТУ,2001.
29.
Раздорожный,
А.А. Охрана труда и производственная безопасность: учебное-методическое пособие
/ А.А. Раздорожный. – М.: Экзамен, 2005. – 512с.
30.
ГОСТ
12.0.003-74 – 1974. Опасные и вредные производственные факторы. Классификация.–
Введ. 1976 -01-01. – М.:Изд-во стандартов. – 4 с.
31.
Макаров,
Г.В. Охрана труда в химической промышленности [Текст]/ Г.В. Макаров. – М.:
Химия, 1989. – 330с.
32.
Безопасность
жизнедеятельности: Тексты лекций /Сост.: А.И. Павлов. - М.: МИЭМП, 2003. – 20
с.
33.
Костин,
Н.В. Техника безопасности работы в химических лабораториях [Текст]:
учеб.пособие/ Н.В. Костин. – Изд.: Мос. Университет, 1966. – 270с.
34.
Говоров,
В.Г. Организация газоспасательной службы на химических предприятиях [Текст]:
учеб.пособие/ В.Г. Говоров. – М.: Химия, 1972. – 336с