Анализ критериев эффективности аэродромных пожарно-спасательных комплексов

  • Вид работы:
    Реферат
  • Предмет:
    Безопасность жизнедеятельности
  • Язык:
    Русский
    ,
    Формат файла:
    MS Word
    398,17 kb
  • Опубликовано:
    2010-11-14
Вы можете узнать стоимость помощи в написании студенческой работы.
Помощь в написании работы, которую точно примут!

Анализ критериев эффективности аэродромных пожарно-спасательных комплексов

Содержание

1.    Список сокращений и условных обозначений

2.    Цели и задачи работы

3.    Общие положения

4.   Теоретическая часть

5.   Расчетная часть

5.1 Исходные данные

5.2 Выполнение расчетов

5.3 Выводы и предложения

Список литературы

1. Список сокращений и условных обозначений

АП - Авиационное происшествие

АПСК - Аэродромный пожарно-спасательный комплекс

АС - аварийная ситуация

АСО - аварийно-спасательное обеспечение

АСР - аварийно-спасательные работы

АСС - аварийно-спасательная станция

АТС - авиационная транспортная система

БЖД - безопасность жизнедеятельности

БП - безопасность полетов

ВС - воздушное судно

ВТ - воздушный транспорт

ГА - гражданская авиация

ИПЛ - испытательная пожарная лаборатория

ЛС - лафетный ствол

МРД - магистральная рулежная дорожка

ОАСС - основная

АСС ПА - пожарный автомобиль

ПАСС - поисковые и аварийно-спасательные силы и средства

ПС - пожарный насос

ПО - пенообразователь

РГР - расчетно-графическая

РД Ёрулежная дорожка

САСС - стартовая АСС

УТПЗ - уровень требуемой противопожарной защиты

2. Цели и задачи работы

Цель данной работы заключается в анализе работы аэродромных пожарно-спасательных комплексов, путем расчета статических и динамических критериев АПСК.

Дать оценку АПСК на аэродроме данном варианте и привести решение задач по оптимизации АПСК.

Задачи заключаются в подготовке сил и средств, для ликвидации последствий АС.

К таким задачам относятся:

• планирование мероприятий (руководство, связь, координация) на случай АС в предприятии ГА,

• контроль оснащенности и поддержание в постоянной готовности ПАСС,

• обеспечение подразделений службы ПАСОП постоянно действующей устойчивой связью и системой аварийного оповещения,

• организацию круглосуточного дежурства ПАСС и оперативного взаимодействия с другими службами и организациями,

• обеспечение ВС съемным и стационарным бортовым аварийно-спасательным оборудованием (БАС О) и контроль за его состоянием,

• ознакомление пассажиров с правилами пользования БАС О ВС и выживания в АП,

• обучение и контроль уровня подготовки экипажей ВС и спасателей к действиям в ожидаемых условиях.

3. Общие положения

Главными показателями эксплуатационной эффективности воздушного транспорта (ВТ) являются регулярность, экономичность и безопасность полетов (БП). Последний из них - главный, так как он напрямую влияет на два предыдущих. Человеческая жизнь бесценна, поэтому для защиты жизни и здоровья пассажиров и членов экипажа должны приниматься все возможные меры.

Обеспечение безопасности полетов ведется в двух направлениях:

• предупреждение авиапроисшествий (АП);

• понижение тяжести последствий АП.

Приоритетным направлением обеспечения БП является предупреждение АП. Тем не менее, на современном уровне развития авиации, АП, к сожалению, неизбежны. Для спасания пассажиров и членов экипажа ВС в нашей стране создана система ПАСОП. Основополагающим принципом построения системы авиационного поиска и спасания является принцип «Эффективности и экономичность». Затраты предприятий и авиакомпаний на обеспечение безопасности полетов не должны превышать определенные пределы, или быть ниже установленных государством. И в том, и в другом случае система ПАСОП неэффективна.

По статистике, наибольшее количество АП с транспортными самолетами происходит на этапах взлета, посадки, захода на посадку, т.е. на территории и в районе аэродрома. В соответствии с Воздушным Кодексом аварийно-спасательные работы (АСР) на аэродроме и в районе аэродрома проводятся силами собственника аэродрома или аэропорта.

В современных условия затраты на обеспечение безопасности воздушных перевозок в «экономически сильных» предприятиях ГА и авиакомпаниях составляют 25-30% от общих затрат. Это, в свою очередь привлекает потенциальных пассажиров, увеличивает объемы перевозок и§доходы предприятия. «Слабые» предприятия и авиакомпании не в состоянии в полной мере обеспечить БП. При этом и к «сильным» и к «слабым» предприятиям предъявляются одинаковые требования по обеспечению безопасности, установленные Государством в нормативных документах.

Уровень безопасности полетов определяется состоянием сил и средств, выполняющих и обеспечивающих полеты, их готовностью к действиям в ожидаемых условиях и надежностью.

В настоящее время большинство ВС РФ имеют календарный срок службы 15-22 года. Сложилась порочная практика продления ресурса ВС, что приводит к инцидентам и АП.

В системе аварийно-спасательного обеспечения полетов более 80% аэродромных пожарных автомобилей (ПА) выслужили установленные сроки и требуют немедленного списания. Практически все отечественные ПА по своим функциональным характеристикам отстают от требований ИКАО к противопожарным и аварийно-спасательным транспортным средствам.

Существующие нормативные требования к оснащению аэродромов аварийно-спасательными средствами, учитывают, в основном, количественные показатели, не связанные с дислокацией этих средств на аэродроме и их функциональными свойствами.

Учитывая вышеизложенное, можно сделать вывод о том, что в современных условиях нужна научно обоснованная методика в области аварийно-спасательного обеспечения полетов, позволяющая:

-    объективно оценивать эффективность имеющихся в аэропорту аварийно-спасательных сил и средств с учетом их реальных возможностей и размещения на аэродроме;

-  оптимально размещать имеющиеся силы и средства с учетом их функциональных возможностей на аэродроме. При этом время развертывания наземных аварийно-спасательных сил и средств на месте АП не должно превышать критического времени пребывания людей внутри ВС под воздействием поражающих факторов.

Применение данной методики позволит:

• снизить затраты предприятий в случае проведения АСР за счет снижения тяжести последствий АП;

• уменьшить страховые выплаты за погибших и травмированных пассажиров в случае АП авиакомпаниям;

•         обеспечить выживаемость большего количества людей в АП. Накопленный в мировой гражданской авиации опыт проведения АСР говорит о том, что наиболее важными факторами, влияющими на эффективность аварийно-спасательных операций, при АП с выживанием людей являются уровень подготовки персонала, надежность оборудования и скорости развертывания персонала и аварийно- спасательных средств.

Однако в задачи данной работы и рассматриваемой методики оценка первых двух факторов не входит. При выполнении расчетно-графической работы буде считать, что личный состав имеет необходимую квалификацию, а все пожарно-техническое оборудование надежно работает и выдает заявленные в паспорт (формуляре) эксплуатационные характеристики.

4. Теоретическая часть

Послеаварийные пожары на ВС представляют наибольшую опасность для жизни и здоровья людей, находящихся на борту. Опасность авиационных пожаров и их скоротечность предъявляют требования к повышению эффективности как бортовых, так и наземных средств противопожарной защиты ВС, готовности расчетов АСК, в первую очередь ПСР, к быстрым и эффективным действиям по локализации и ликвидации пожара в целях проведения спасательных работ.

На территории и в районе аэродрома противопожарную защиту и тушение пожаров обеспечивает АПСК. Под аэродромным пожарно-спасательным комплексом понимается минимально необходимое количество технических средств, в данном случае, аэродромных пожарных автомобилей (ПА), оснащенных огнетушащими средствами (ОТС) и определенным образом размещенных на территории аэродрома.

Принятая в настоящее время методика оценки эффективности АПСК заключается в проверке его соответствия:

■      Количество ОТС, с заданным огнетушащим свойством должно быть не менее требуемого:

QфQтр;

■       Производительность подачи указанных ОТС при тушении пожара должно быть не менее требуемой:

qфqтр;

■       Время прибытия ПА в наиболее удаленную точку аэродрома должно быть не более заданного интервала:

фтр;

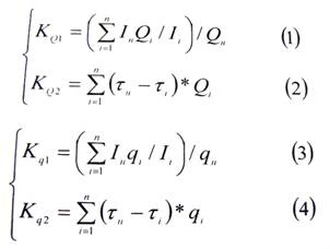
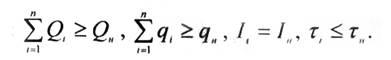
В случае, если комплекс состоит из n ПА различных типов и при этом Qi,qi,Ii,i - соответственно количество ОТС, производительность их подачи, огнетушащая интенсивность подачи составов и время прибытия в наиболее удаленную точку аэродрома для i-го автомобиля, Qn,qn,In,n - нормативные значения указанных показателей для всего комплекса, то вышеперечисленные требования математически записываются в виде следующей системы:


Показатели gb ц т, являются обобщающими, т.к. по физической сущности обобщают влияние различных параметров ПА, территориальной их на аэродроме и элементов организации службы на эффективность тушения пожаров самолетов.

В настоящее время в результате обобщения в системе ICAO многолетнего опыта эксплуатации и применении ПА установлены следующие значения нормативных величин: н=3мин, IH=0,137кг/м*с, a QH, qH в зависимости от категории пожарной защиты ВПП от 800 до 41000кг и от 6 до 226кг/с соответственно.

На основе изложенной методики оценки эффективности АПСК определяются их количественный и качественный состав. Однако, базируясь на такой методике затруднительно оценить эффективность комплекса в конкретном аэропорту, при наличии весьма значительного разброса динамических и скоростных характеристик ПА различных типов, различном размещении ПА на АСС и т.д. Таким образом, принятая система оценки не учитывает количественно взаимосвязи различных показателей и параметров АПСК.


Для оценки эффективности АПСК вводят и нормированные показатели, которые сверяют обобщающие показатели комплекса. В качестве таких показателей можно использовать критерии эффективности комплекса ПА по запасу ОТС (Kq) и по производительности (Kq) следующего вида:

В случае если Ii=IH , а i=H , то KQ2=Kq2=0 , а KQ1 и K q 1 принимают формулу, которая используется в применяемой в настоящее время методике оценки АПСК.

Критерии эффективности показывают, что при значениях Kq1 и Kq1  1 и при значениях Kq2 и Kq2  0 аэродром располагает АПСК достаточной эффективности, а в случае, если эти условия, хотя бы для одного критерия эффективности не выполняются - не достаточной.

Анализируя систему уравнений (1)...(4) можно установить, что обеспечить приемлемый уровень эффективности АПСК, в целом, невозможно, улучшая только какой-либо один показатель при неудовлетворительном значении других.

Так, если из уравнений (1) и (4) можно предположить, что эффективность АПСК можно повысить за счет простого увеличения вывозимого запаса ОТС (увеличивая количество ПА), то уравнения (2) и (3) показывают, что такое предположение будет неоправданно, если ПА будут обладать низкими скоростными и динамическими характеристиками, или их размещения на аэродроме не обеспечит приемлемых значений i

5. Расчетная часть

5.1 Исходные данные

Дано:

> Категория по УТПЗ-7:

qн=133 л/с;

Qн=24000л;

Iн=0,137л/м2*с;

>                                Тип и количество ПА:

ü   АЦ-40(131)-1 шт.:

qi = 40л/с;

Qi = 3900л;

Vmax = 85 км/ч.

ü   АА-60(7310)- 1 шт.:

qi = 60л/с;

Qi = 12900л;

Vmax = 60 км/ч.

ü   АА-15/80 (790912)- 1 шт.

ü   qi = 80л/с;

ü   Qi = 14000л;

ü   Vmax = 75 км/ч.

>       Тип пенообразователя – ПО-1:

Ii = 0,14 л/м2·с

>Расстояния: М=100м;

L1=500м;

L2=1800м;

L3=1000м.

5.2 Выполнение расчетов

1.Определим длину маршрута от основной аварийно-спасательной станции (ОАСС) до расчетной точки (РТ):

Iобщ=Iрд+Iип+Iг=100+1800+1000=2900м.

2.Определим время развертывания каждого пожарного автомобиля:

i=рд+ип+г(-30%)+сбора

АЦ-40: 1 = 7+60+47+45=159сек.

АА-60: 2 = 9+80+66,9+45=200,9сек.

АА-15/80: 3 = 7+75+69+45=196сек..

Рассчитываем критерии эффективности по системе уравнений (1)…(4):

IH/I=0,137/0,14=0,98

По запасу ОТС: KQ1 =0,98*(3900+12900+8000)/24000=1,3

KQ2 = 3900(180-159)+12900(180-200,9)+14000(180-196)=-411710

По производительности: Kq1=0,98*180/133=1,3

Kq2=40(180-159)+60(180-200,9)+80(180-196)=-1694

После проведения расчётов видно, что

KQ1=1,3; Kq1=1,3  1

KQ2=-411710; Kq2=-1694 0

Таким образом, комплекс считается неэффективным.

5. 3 Выводы и предложения

Необходимо построить САСС, при этом рассчитать эффективное его расположение.

Зная, что фг=66,9с; фрд=9с, то фип=180-66,9-9-45=59,1с.

Имеем Iип= фип·vип=59,1с ·18 м/с=1063,8м

Предлагаю построить САСС в 1000 метрах от торца ВПП вместо 1063,8м., чтобы перенести на нее 2 тяжелых автомобиля АА 15/80 и АА-60. И рассчитаем критерии после построения САСС.

По запасу ОТС: KQ1 =0,98*(14000+14000)/24000=1,14

KQ2 = 14000(180-168)+12900(180-170)=157000

По производительности: Kq1=0,98*140/133=1,1

После проведения расчётов видно, что

KQ1=1,14; Kq1=1,1  1

KQ2= 157000; Kq2= 720>0

Таким образом, после построения САСС мы видим, что АПСК можно считать эффективным.

Список литературы:

1.            Методики оценки соответствия нормам годности к эксплуатации в СССР гражданских аэродромов (МОС НГЭА СССР). Приложение к НГЭА СССР (3-е издание). М.: Воздушный транспорт, 1992.

2.            Поисковое и аварийно-спасательное обеспечение полетов ГА: справ. Пособие для выполнения практических, контрольных, курсовых и подготовки выпускных квалификационных работ по дисциплинам "Поисковое и аварийно-спасательное обеспечение ГА" и "Спасательная техника, оборудование и снаряжение". В 2 ч. / сост. А.В Селезнев. - Ульяновск: УВАУ ГА, 2005. - Ч. 2. Оснащение подразделений поиска и спасания и норм обеспечения спасателей ГА. - 136 с.

3. Селезнев А.В. Анализ критериев эффективности аэродромных пожарно-спасательных комплексов: методические указания и справочный материал по выполнению расчетно-графической работы. - Ульяновск: УВАУ ГА, 2007 - 38с.

Похожие работы на - Анализ критериев эффективности аэродромных пожарно-спасательных комплексов

 

Не нашли материал для своей работы?
Поможем написать уникальную работу
Без плагиата!
Без нейросетей!