|
Барталус и Ко. в
Пизе. Во имя Господа Аминь. Барталус и Ко. посылает свой привет Барна из Лухи
и Ко. Авиньон. Заплатите по этому письму 20 ноября 1339г. Ландуччио
Бассадраги и Ко. из Лухи 312 3/4 золотых гульденов, которые мы сегодня
получили от Такредо Баначмунти и Ко., начислив 4 1/2% в их пользу, и
зачислите эту сумму на наш счёт. Выдано 5 октября 1339г.
|
В
1569г. в Болонье появился первый вексельный устав, закрепивший правила
использования векселя. Дальнейшее развитие вексель получает во Франции, где он
начинает применятся как средство платежа и неотъемлемая часть договора, что
было закреплено в полном своде экономических законов "Code de
Commerce" 1808г.
Далее,
в 1848г. прусским правительством принимается Общегерманский Вексельный Устав,
по которому вексель разрешается использовать в отрыве от торговых сделок
исключительно как долговую ценную бумагу. Именно этот устав берется за основу
вексельного законодательства Швеции в1851г., Финляндии в 1858г., Сербии в
1860г., Бельгии в 1878г., Норвегии в 1880г., Италии в 1882г.
Таким
образом конце XIX в. появились предпосылки для создания единого вексельного устава.
И вот 7 июня 1930г. в Женеве была принята конвенция, унифицировавшая основные
нормы международного вексельного права, которые действуют и по сей день
В
России вексель начал действовать в эпоху Петра I из-за опасности перевозки
денег из одного города в другой. Эти векселя имели название- казначейские. В
1709г. был опубликован первый вексельный устав. Затем в 1832г. появляется Устав
о векселя, вошедший в Свод законов 1857г. Третий российский вексельный устав
принимается в 1902г. по аналогии с германским 1848г., что заметно оживляет
вексельное обращение в дореволюционной России. В ту пору существенным отличием
от иностранных векселей была долгосрочность (до 12 мес.) российских веселей, в
отличие максимального 3-х месячного срока западных обязательств. Если смотреть
активность работы банков с векселями, то за 1911г. Азовско-Донской банк учёл
600 тыс. векселей, а Волжско-Камский -400 тыс. векселей. Госбанк выдавал ссуды
под простые векселя.
В
1917г. вексельное право было ликвидировано, и только 20.03.1922г в период НЭПа
появляется Положение о векселе, как о форме предоставления коммерческого
кредита для торговых сделок. Во время кредитной реформы 1930-1932гг.,
обусловившей переход к политике централизации планирования и государственного
регулирования экономики, вексельное право вновь было ликвидировано.
Постановлением
от 7 августа 1937г ЦИК и СНК СССР утвердил ратифицированную в 25.11.1936г.
Женевскую конвенцию, которая определила вексель как строго формальное,
безусловное, абстрактное, денежное и передаваемое обязательство. Однако векселя
на внутрироссийском рынке до 1990г. не использовались.
Лишь
19.06.1990г. постановлением Совета Министров СССР №590 "Положение о ценных
бумагах" векселя были "реабилитированы". Далее был принят ряд
постановления и нормативных документов, регулирующих вексельное обращение.
1.2
Общая характеристика векселей
Вексель,
как инструмент кредитно-расчетных отношений явился результатом многовекового
развития товарно-денежного хозяйства.
Его
появление было связано с необходимостью перевода денег из одной местности в
другую, а так же при обмене монет, имеющих хождение в одной местности, на
валюту другого государства.
Это
порождало множество затруднений: риск быть ограбленным, запрет на вывоз монет
за пределы страны, где они чеканились, да и просто физические трудности
перехода из-за громоздкости монет.
Как
выход из создавшегося положения появилась сделка, связанная с переводом и
обменом денег и состоявшая во внесении определенному лицу суммы денег в одном
месте с обязательством последнего уплатить такую же сумму в другом месте
монетой, имеющей хождение в том месте, т.е. вексельной сделки (от английского
Wechel – обменивать, менять).
Толчком
к развитию вексельных отношений послужила практика банкиров, менял
средневековой Италии. Купец, отправляясь на ярмарку и не рискуя брать с собой
большую сумму наличных денег, обращался к своему банкиру, вносил деньги и
получал от него письмо банкиру в месте назначения с просьбой о выдаче
эквивалентной суммы.
Так
появляются три участника вексельных отношений:
1)
ремитент (векселедержатель) – владелец векселя, имеющий право на платеж по
векселю.
2)
трассант (векселедатель) –лицо, выдавшее вексель.
3)
трассат (плательщик).
Отношение
этих трех сторон оформлялось документом (траттом), который служил, с одной стороны,
удостоверением личности ремитента, как лица, которому в определенном месте
должен быть произведен платеж, с другой же стороны - он имел доказательства его
права требования.
Приняв
вексель к платежу и превратившись в акцептанта, трассат становится главным
должником по векселю.
В
процессе обращения вексель передается от одного держателя к другому с помощью
передаточной надписи (индоссамента). Каждый индоссант, так же, как и ремитент,
несет ответственность за акцепт и платеж по векселю.
Вексельные
обязательства платежника, векселедателя и индоссантов могут быть дополнительно
гарантированы полностью или части суммы посредством аваля – вексельного
поручительства (фр. – avail), в силу которого лицо (авалент), совершившее его,
принимает часть ответственности за выполнение какого-либо из обязанных по
векселю лиц.
Посредством
векселя, как расчетно-кредитного инструмента можно гасить взаимные долги по
цепочке дебиторов и кредиторов, спасать оборотные средства, обеспечивать
целевое использование кредита и т.д.
Вексель,
являясь средством оформления кредита в товарной форме, способствует увеличению
скорости оборота, уменьшению потребности в кредитных ресурсах и денежных
средствах в целом, позволяет хозяйственным субъектам использовать денежные
средства в собственных целях.
Итак,
кратко вексель можно охарактеризовать, как разновидность долгового
обязательства, составленного в строго определенной форме, дающего бесспорное
право требовать уплаты обозначенной в векселе суммы по истечении срока, на
который он выписан.
Вексель
- это:
·
строго
формальный документ, и отсутствие любого из обязательных реквизитов делает его
недействительным;
·
безусловное
денежное обязательство, т. к. приказ его оплатить и принятие обязательств по
оплате не могут быть ограничены никакими условиями;
·
абстрактное
обязательство, т. к. в его тексте не допускаются ни какие ссылки на основание
его выдачи.
Предметом
вексельного обязательства могут быть только деньги. [16]
1.3 Передача векселей
Передача
другому лицу осуществляется путем передаточной надписи - индоссамента. Лицо,
передающее вексель по индоссаменту, называется индоссантом, а получившее -
индоссатом. Действие передачи векселя называется индоссированием, или
индоссацией. Индоссамент должен быть простым и ничем не обусловленным.
Частичный индоссамент, т. е. передача только части суммы векселя, не
допускается. Передаточные надписи обычно имеют вид: "Платите
приказу..." или "Вместо меня уплатите...". Передаточная надпись
должна быть собственноручно подписана индоссантом, остальные ее элементы могут
быть воспроизведены механическим путем. Зачеркнутые индоссаменты считаются
ненаписанными. Индоссаменты бывают следующих видов:
а) бланковый
индоссамент. В этой передаточной надписи не указывается, по приказу какого лица
необходимо совершить платеж, но она подписывается индоссантом. Такой вексель
считается выставленным на предъявителя, и его можно передать другому лицу путем
простого вручения. Бланковый индоссамент можно превратить в полный (см. ниже),
сделав надпись, по приказу какого лица следует совершить платеж.
Силу
бланкового индоссамента имеет индоссамент на предъявителя, обычно выражаемый
словами "платите предъявителю сего векселя...";
б) именной
(полный) индоссамент. В этом случае в передаточной надписи указывается имя или
наименование индоссата.
При получении
векселя по полному индоссаменту необходимо проверить непрерывность передаточных
надписей;
в)
препоручительный (инкассовый) индоссамент. Такая передаточная надпись делается
держателем векселя при передаче этого документа банку с просьбой получить по
нему платеж. Она включает в себя надпись: "Валюта к получению",
"На инкассо", "Доверяю получить" или аналогичную.
Получатель векселя по препоручительному индоссаменту не становится его
собственником. Индоссамент только уполномочивает его получить деньги,
опротестовать вексель в случае неполучения платежа (от имени и за счет
доверителя), уведомить предшествующих надписателей о непоступлении платежа и т.
д.
1.4 Виды векселей
Векселя
бывают простые и переводные.
Простой
вексель (соло-вексель) выписывается и подписывается должником и содержит его
безусловное обязательство уплатить кредитору определенную сумму в обусловленный
срок и в определенном месте.
Переводной
вексель (тратта) выписывается и подписывается кредитором (трассантом) и
содержит приказ должнику (трассату) оплатить в указанный срок обозначенную в
векселе сумму третьему лицу (ремитенту).
Рис.1
Переводной
вексель как таковой не имеет силы законного платежного средства, а является
лишь представителем действительных денег, поэтому принято, что должник-
трассант обязан письменно подтвердить свое согласие произвести платеж по
векселю в обозначенный срок, т. е. совершить акцепт тратты. Акцепт совершается
в виде надписи на лицевой стороне векселя.[4]
Рис.
2
Товарные
(или коммерческие) векселя используются во взаимоотношениях покупателя и
продавца в реальных сделках с поставкой продукции или услуг.
Финансовые
векселя имеют в своей основе ссуду, выдаваемую предприятием, за счет имеющихся
свободных средств другому предприятию.
В
последнее время в России широкое распространение получили банковские векселя.
Они удостоверяют, что предприятие внесло в банк депозит в сумме, указанной в
векселе. Банк обязуется погасить такой вексель при предъявлении его к оплате в
указанный на нем срок. При этом на вексель начисляется определенный процентный
доход.
Ректа-вексель
или именной вексель не может индоссироваться.
В
бланковом векселе покупатель акцептует пустой формуляр векселя, который в
дальнейшем будет заполнен продавцом. Такая ситуация возможна, когда в ходе
переговоров не установлены окончательная цена товара (или она может измениться
в результате доставки) и срок поставки. Такой вексель может быть выписан только
сторонами, доверяющими друг другу, ибо при внесении в него суммы, отличной от
согласованной с плательщиком, последний все равно будет вынужден ее заплатить.
Дружеские
векселя выдаются людьми, безусловно доверяющими друг другу. При этом одно лицо
в целях помощи предприятию, испытывающему финансовые трудности, акцептует его
вексель для того, чтобы последнее либо расплатилось со своими должниками, либо
учло его в банке. Предполагается, что выписавший вексель в дальнейшем изыщет
средства, чтобы самому погасить его.
Бронзовый
вексель - это вексель, не имеющий реального обеспечения, выписанный на
вымышленное лицо. Доход по такому векселю мошенники получают путем учета его в
банке. Бронзовые векселя могут выписываться и на реальные фирмы. При этом две
фирмы обмениваются векселями и учитывают их в разных банках. Перед сроком
погашения первых векселей они вновь выписывают векселя друг на друга и с
помощью их учета пытаются погасить старую ссуду. [7]
В
России бронзовые и дружеские векселя запрещены.
Обеспечительский
вексель выписывается для обеспечения ссуды ненадежного заемщика. Он хранится на
депонированном счете заемщика и не предназначается для дальнейшего оборота.
Если платеж совершается в срок, то вексель погашается, если нет-то должнику предъявляются
претензии.
Глава
2.Международное вексельное обращение
2.1
Международный валютный аспект
Чтобы
определить международный валютный аспект, следует рассмотреть сущность векселя
как финансового инструмента.
Вексель
выполняет две главные функции: кредитную и расчетную.
Рассмотрим
расчетную функцию векселя. В сущности, позволяя векселедателю рассчитываться,
выпускать векселя в обращение, вексель выступает как средство расчетов, т.е.
заменяет деньги, важнейшей функцией которых является то, что они могут быть
средством обращения.
Мы
наблюдаем эволюцию: деньги в части заменили бартер, натуральный обмен, отделив
акт продажи от акта покупки, – вексель в части заменил деньги, отделив акт
платежа от акта получения денег.
Второй
функцией денег является выступление их мерой стоимости. Общество считает
удобным использование денежной единицы в качестве масштаба для соизмерения
относительной ценности благ и ресурсов.
Это
имеет очевидные преимущества. Благодаря денежной системе нам надо выражать цену
каждого продукта через другие продукты. И снова вексель являет собой следующую
ступень: он аккумулирует в себе эту функцию денег, выражая собой стоимость того
или иного товара в денежном выражении, но избавляя нас от процесса пересчета,
перевода, хранения денег, являясь универсальным средством платежа.
Кроме
того, в каждой стране обычно устанавливается своя мера стоимости. В США мерой
стоимости является доллар, в Германии – марка, в России – рубль. Вексель
помогает не только вести расчеты, но и обменивать деньги. Средство обмена –
самая древняя функция векселя. Ради нее он собственно и был рожден в далекой
средневековой Италии.
Векселем
являлось письмо, с просьбой об обмене векселя (данного в одной стране и
обеспеченного одной валютой) на деньги (в другой стране и в другой валюте).
Следующая
функция денег – деньги как средство накопления, сохраняемый после продажи
товаров и услуг, и обеспечивающий его владельцу покупательную способность в
будущем[1]. Вексель полностью выполняет и эту функцию.
Он сохраняет деньги векселедателю, позволяя вместо наличных денег выпускать
вексель, а наличные деньги использовать в обороте, наращивая капитал, т.е.
снова вексель более приемлем и выгоден – он является не только средством
сохранения денег, но и способствует их приумножению.
Таким
образом, получается, что вексель выполняет все функции денег, являясь к тому же
средством платежа и обязательством.
Вексельное
происхождение подтверждается вексельным происхождением английских банкнот: на
пятифунтовой купюре рядом с портретом английской королевы содержится обещание
от первого лица уплатить подателю этого требования (купюры) сумму (в золотом
эквиваленте) в 5 фунтов стерлингов. В российской империи банки не выпускали
векселей, а выпускали кредитные билеты (по сути, то же самое) с правом
неограниченного "размена" банкнот на золото. По существу, во всех
цивилизованных странах при первых выпусках бумажных денег и до наших дней они
регулируются вексельными законами.
В
английских фунтах видна классическая схема векселя:
-
векселедатель (правящая английская королева);
-
векселедержатель (владелец банкноты);
-
платежник (английский банк);
такое
обеспечение бумажных денег делает их надежным средством платежа, подтверждаемое
авторитетом королевы и платежеспособностью (активами) английского банка.
Итак,
вексель выступает как деньги, помогает отсрочить платеж, вместе с ним и уплату
налогов. На базе вексельного оборота возникают кредитные деньги, выпускаемые
банком – эмиссионером и поддерживаемые его авторитетом.
Деньги
должны работать. А средством расчета, мерой стоимости и средством накопления с
успехом выступает вексель.
Для
того, чтобы унифицировать вексельное и чековое обращение на международном
уровне и устранить трудности международного обращения чеков и векселей,
вызванных разнообразием правовых норм, установленных в отдельных государствах,
были заключены Женевские конвенции.
Женевские
конвенции (вексельные и чековые) - многосторонние международные договоры,
заключенные на конференциях в Женеве в 1930 и 1931 и регламентирующие порядок
применения в платежном обороте векселей и чеков. Женевская конференция 1930
выработала 3 вексельные конвенции: о Единообразном законе о переводных и
простых векселях; о разрешении нек-рых коллизий законов о переводных и простых
векселях; о гербовом сборе в отношении переводных и простых векселей.
Страны-участницы вексельных конвенций (Австрия, Бельгия, Бразилия, Венгрия,
Германия, Греция, Дания, Италия, Люксембург, Монако, Нидерланды, Норвегия,
Польша, Португалия, Финляндия, Франция, Швейцария, Швеция и Япония) ввели в
действие Единообразный вексельный закон (ЕВЗ) в разные годы. Советский Союз
присоединился к Ж.к. в ноябре 1936.
На
ЕВЗ основывается Положение о переводном и простом векселе, введенное в действие
Постановлением ЦИК и СНК СССР от 7 авг. 1937 № 104/11347. Федеральным законом "О
переводном и простом векселе" (1997) устанавливается, что на территории РФ
это Постановление применяется.
Многие
страны (Алжир, Аргентина, Афганистан, Бол-1гария, Индонезия, Ирак, Исландия,
Ливан, Ливия, Марокко, Румыния, Сирия, Турция, Чехословакия и дp.), не
подписавшие и не присоединившиеся формально к Ж.к., тем не менее использовали в
нац. вексельном праве положения ЕВЗ, что практически значительно расширило
сферу его применения. Однако на Женевской конференции 1930 не удалось достичь
полной унификации вексельного законодательства. Великобритания, США и др.
страны английского права не [присоединились к Ж.к. В1931 в Женеве были
подписаны также 3 чековые конвенции: о Единообразном чековом законе (ЕЧЗ); о
разрешении нек-рых коллизий законов о чеках; о гер-ровом сборе в отношении
чеков. К странам, чековое законодательство к-рых основывается на ЕЧЗ,
относятся: Австрия, Аргентина, Афганистан, Бельгия, Болгария, Бразилия,
Германия, Дания, Испания, Италия, Люксембург, Мексика, Нидерланды, Норвегия,
Португалия, Турция, Финляндия, Франция, Швейцария, Швеция, Япония и др. СССР не
присоединился к Женевским чековым конвенциям 1931, и порядок обращения чеков в
банковской практике внутри страны регламентировался Положением о чеках 1929. [15]
В
России действуют Постановление Президиума Верховного Совета РСФСР от 13 янв.
1992 "О введении в хозяйственный оборот чеков нового образца" и иные
нормативные акты.
2.2
Вексель в международной практике
В
международной практике вексельное обращение в основном связано с предоставлением
отсрочки платежа, как дополнительной услуги покупателю в результате
усиливающейся конкуренции, которая оформляется простым или переводным векселем.
Однако при всё увеличивающихся объёмах поставок фирмы уже не могут своевременно
получать деньги по векселям, а в случаях появления проблем по оплате векселя
терпят убытки. На помощь фирмам пришли факторинговые и форфейтинговые фирмы
[13].
Факторинг-
это покупка банком или специализированной компанией денежных требований поставщика
к покупателю и их инкассация за определенное вознаграждение. Форфетирование-
это покупка обязательств, погашение которых происходит на определенный период в
будущем без оборота на любого предыдущего должника. Правила, по которым
проходят эти операции оговорены в Конвенции Международного института унификации
частного права (ЮНИДРУА), принятой в Оттаве в 1988г. По конвенции факторинговая
компания берет на себя не менее двух следующих обязанностей:
кредитование
поставщика;
ведение
учёта требований к покупателям;
предъявление
к оплате требований;
защита
от неплатёжеспособности покупателя, т.е. страхование кредитного риска.
Факторинговые
операции делятся на:
а)
внутренние, если поставщик, покупатель и фактор-фирма находятся в одной стране,
и международные, если какая-либо из сторон находится в другом государстве;
б)
открытые, если должник уведомлен об участии в сделке фактор-фирмы и закрытые;
в)
с правом регресса и без права регресса к поставщику оплатить сумму;
г)
с кредитованием поставщика в форме предварительной оплаты или оплаты требований
к определенной дате.
На
практике продавец переуступает права требования по оплате векселей или иных
долговых обязательств фактор-фирме посредством индоссамента, в результате
продавец спокоен за свой товар, который гарантированно оплачивается примерно на
95%, а фактор-фирма неся рисковую ответственность зарабатывает, предъявляя к
оплате покупателю его вексель, безусловно требуя всю денежную сумму.
Какие
же особенности по отношению к векселям имеют факторинговые операции? Обычно
такие операции оформляются простыми векселями, поскольку можно с легкостью
использовать при передаче векселя оговорку "без оборота на меня".
Поскольку кредиты часто бывают значительны и длительны, то происходит разбивка
на несколько вексельных сумм со сроком около 6 месяцев. Из-за того, что
операции международные, то используют только три валюты: доллар США, немецкие
марки, швейцарские франки, иначе оговаривается изменение курса. В 1965г. была
создана первая специализированная форфейтинговая компания "Finans AG,
Zurich" - филиал швейцарского банка, которая имела 30% собственного
капитала, а 70% привлекала в виде банковских кредитов. [14] Т.о. факторинговая
фирма (банк) может с прибылью использовать свои временно свободные ресурсы
скупая векселя, оставленные как отсрочка платежа по договору поставки
фирме-клиенту. Факторинговая фирма обычно ведет учет всей дебиторской
задолженности клиента. В России подобными операциями летом 1994 стал заниматься
"Тверьуниверсалбанк", позже членами FCI (Factors Chain International)
стал "Внешторгбанк", "Инкомбанк", "Российский
кредит" и др. Участвуя в подобных операциях необходимо знать тонкости
международного обращения векселя, например, при взаимоотношениях учитывать
принадлежность фирмы к стране, поскольку как уже отмечалось в п.1.1. в мире
придерживаются: ЕВЗ либо английского закона, имеющего некоторые особенности.
Так например по английскому праву [13] переводной вексель (Приложение № 1)
должен содержать: безусловный приказ уплатить определенную денежную сумму, срок
платежа, наименование плательщика, наименование получателя или указание на то,
что вексель оплачивается предъявителю , подпись векселедателя-трассанта. Т.о.,
в отличие от ЕВЗ п.1.3. английское право допускает отсутствие вексельной метки,
даты, места выставления векселя или места платежа, но во внешнеторговых
отношениях требует указание контракта.
Глава 3. Операции с векселями
3.1 Анализ доходности
финансовых векселей
Как
уже отмечалось, вексель может быть выпущен как с дисконтом, так и с выплатой
фиксированного процента к номиналу в момент погашения (процентный вексель).
С
точки зрения количественного анализа, в первом случае вексель представляет
собой дисконтную бумагу, доход по которой составляет разница между ценой
покупки и номиналом. Поэтому доходность такого векселя определяется аналогично
доходности любого обязательства, реализуемого с дисконтом и погашаемого по
номиналу (например, бескупонной облигации):
,
где
t – число дней до погашения; Р – цена покупки; N – номинал; К – курсовая
стоимость; В – используемая временная база.
Как
правило, в операциях с векселями используются обыкновенные проценты (360/360).
Абсолютный
доход по дисконтному векселю S равен:
.
В
случае, если вексель продается (покупается) до срока погашения, доход будет
поделен между продавцом и покупателем, исходя из величины рыночной ставки
процентов и числа дней, оставшихся до погашения:
,
где
Y – рыночная ставка (норма доходности покупателя); t – число дней от момента
сделки до срока погашения.
Соответственно
доход продавца будет равен:
.
Если
вексель размещается по номиналу, его доход определяется объявленной процентной
ставкой r. Нетрудно заметить, что в этом случае вексель представляет собой
ценную бумагу с выплатой фиксированного дохода в момент погашения. Методы
анализа доходности подобных обязательств были рассмотрены выше.
3.2
Оценка стоимости финансовых векселей
Процесс
оценки стоимости векселя, выпущенного с дисконтом, заключается в определении
современной величины элементарного потока платежей по формуле простых
процентов, исходя из требуемой нормы доходности Y.
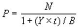
С
учетом используемых обозначений, формула текущей стоимости (цены) подобного
обязательства будет иметь следующий вид:
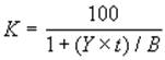
Поскольку
номинал дисконтного векселя принимается за 100%, его курсовая стоимость равна:
.
3.3
Учет векселей
В
отличие от финансового, коммерческий вексель является средством товарного
кредита. В основе этого векселя лежит торговая операция, связанная с поставкой
товаров с отсрочкой платежа. Поставка осуществляется в счет векселя,
выписанного на сумму стоимости товаров плюс проценты за кредит (отсрочку
платежа).
В
России же чаще всего основной причиной проведения подобных сделок в настоящее
время является отсутствие денежных средств у покупателя.
На
практике поставщик, получив вексель, старается как можно быстрее превратить его
в деньги путем реализации третьему лицу – банку, финансовой или факторинговой
компании. При этом вексель индоссируется в пользу нового покупателя и последний
становится векселедержателем.
Подобная
операция называется учетом векселя, или банковским учетом. В результате ее
проведения поставщик продукции получает денежные средства раньше срока
погашения, хотя и не в полном объеме (за вычетом суммы дисконта в пользу
банка).
В
свою очередь банк при наступление срока погашения предъявляет вексель к оплате
и, получив деньги в полном объеме, реализует свой дисконт.
Таким
образом вексель выполняет в данной операции две функции – коммерческого кредита
и средства платежа.
Абсолютная
величина дисконта определяется как разность между номиналом векселя и его
современной стоимостью на момент проведения операции. При этом дисконтирование
осуществляется по учетной ставке d, устанавливаемой банком:
,
где
t – число дней до погашения; d – учетная ставка банка; Р – сумма, уплаченная
владельцу при учете векселя; N – номинал.
Как
правило, при учете векселей применяются обыкновенные проценты (360 / 360).
Современная стоимость PV (цена обязательства P) при учете векселя определяется
по формуле (3.5).
Пример:
Простой
вексель на сумму 100000 с оплатой через 90 дней учитывается в банке за 60 дней
до погашения. Учетная ставка банка равна 15%. Определить величину дисконта в
пользу банка и сумму, полученную владельцем векселя.
DISC
= (100000 ´ 60 ´ 0,15) / 360 = 2500.
Соответственно
владелец векселя получит величину PV:
PV
=100000 - 2500 = 97500.
Предположим,
что в рассматриваемом примере владелец решил учесть вексель немедленно после
получения.
DISC
= (100000 ´ 90 ´ 0,15) / 360 = 3750
PV
=100000 - 3750 = 96250.
Как
следует из полученного результата, при неизменном значении ставки d, чем раньше
производится учет векселя, тем больше будет величина дисконта в пользу банка и
тем меньшую сумму получит владелец. Изменим условие примера 1 следующим
образом.
На
какую сумму должен быть выписан вексель, чтобы поставщик, проведя операцию
учета, получил стоимость товаров в полном объеме, если банковская учетная
ставка равна 15%?
Нетрудно
заметить, что здесь мы имеем дело с обратной задачей – наращением по учетной
ставке d. При этом будущая величина FV (номинал векселя) определяется по
формуле:
FV
= 100000 / [1 - (90 ´ 0,15) / 360] = 103896,10.
Учтенный
(купленный) банком вексель, в свою очередь, может быть переучтен (продан) в
другом банке. Доходность купли-продажи векселя в этом случае зависит от уровня
используемых учетных ставок:
,

,
где
t1 – число дней до погашения в момент покупки; t2 – число дней до погашения в
момент перепродажи; Р1 – цена покупки; Р2 – цена перепродажи; d1 – учетная
ставка при покупке; d2 – учетная ставка при продаже.
Как
следует из приведенных соотношений, для продавца операция переучета является
доходной только в случае выполнения следующего неравенства:
В
некоторых случаях, товарные векселя могут выпускаться в виде ценной бумаги с
фиксированным доходом, выплачиваемым по ставке r в срок погашения. Современная
стоимость такого векселя при учете будет равна:
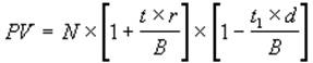
,
где
r – ставка по векселю; t – срок векселя; t1 – число дней до погашения; d –
учетная ставка банка.
Автоматизация
анализа операций с векселями
Из
приведенных в данном параграфе соотношений следует, что с точки зрения
количественного анализа, все многообразие операций с векселями может быть
сведено к рассмотрению двух основных случаев:
1)
при проведении операции, обусловившей выпуск векселя, оговорено или необходимо
использование ставки наращения r;
2)
сущность операции требует использования учетной ставки d.
Нетрудно
заметить, что в первом случае, применяемые методы оценки зависят лишь от формы
дохода, приносимого обязательством.
Если
доход обязательства формируется в виде разности между ценой покупки и суммы
погашения (номиналом), процесс его оценки аналогичен анализу операций с любой дисконтной
ценной бумагой, например – бескупонной облигации.
В
тех случаях, когда вексель размещается по номиналу и обеспечивает получение
дохода согласно фиксированной ставке r, задача сводится к анализу ценной бумаги
с выплатой процентного дохода в момент погашения, например – депозитного
сертификата.
Таким
образом, для оценки операций с подобными векселями могут быть использованы
ранее разработанные таблицы-шаблоны для анализа краткосрочных ценных бумаг,
выпущенных с дисконтом, либо с выплатой процентного дохода в момент погашения .
Рис.
3 Анализ доходности банковского векселя
Как
следует из полученного решения, операция обеспечивает получение 57,43% годовых,
что выше приемлемой для инвестора нормы доходности в 50%.
3.4 Методы повышения ликвидности векселя
1.
Досрочное погашение векселей - погашать их до наступления срока платежа.
Это
позволяет в любой момент получить деньги по векселю за вычетом определенного
процента (дисконта досрочного учета) который уменьшается по мере приближения
срока погашения.
2.
Взаимный учет векселей другими банками.
Предоставление
услуг по досрочной покупке у клиентов векселей других банков, а затем
предъявление этих ценных бумаг в банк-эмитент по наступлению срока погашения.
Пример:
6
января 2008 года приобретен вексель номиналом 500 000 рублей банка А с
дисконтом 29 000:
Срок
погашения векселя 6 апреля 2008 года (13 недель). Перечисленная сумма составила
471 000 рублей. Затем, по истечении какого-либо промежутка времени, например на
9 недели, векселедержатель решил предъявить бумагу к досрочному погашению. Цена
выкупа векселей:
Доход
векселедержателя:
Определим
конечную доходность данной ценной бумаги для ее владельца с учетом досрочного
погашения. Подсчет по формуле наращения
где
D - доход клиента;
p
- сумма, перечисляемая на покупку векселя;
i
- процентная ставка;
n
- срок (в неделях), в течении которого средства находятся в банке.
,
отсюда
годовых.
Клиент
предъявляет к учету вексель банка А в банк Б. Начиная с определенного периода,
цена выкупа банком Б векселей банка А устанавливается в размере, превышающем
соответствующую цену выкупа эмитента. В результате конечная доходность
векселей, досрочно предъявленных в банк Б возрастает. Цена покупки теперь:
рубля.
Доход
векселедержателя:
Конечная
доходность векселя для клиента:
, отсюда
годовых.
Во
втором случае доходность векселя для клиента выше, чем в первом, что делает
услуги банка по учету векселей других банков привлекательными.
Комиссионное
вознаграждение банка банку устанавливается по ставке межбанковского кредита
которая со 2 марта 2008 года составляет 36 % годовых. Просчитывается взаимная
задолженность банков в конце каждого месяца.
Банк
А учел векселя Банка Б на общую сумму 1 500 00 рублей, в свою очередь, Банк Б
учел векселя Банка А на общую сумму 2 000 000 рублей. Разницу в размере 500 000
рублей Банку А необходимо перечислить в Банк Б. Допустим следующее соотношение
учтенных векселей:
Таблица
2.1
|
Банк А
|
Банк Б
|
|
Сумма векселя
|
Дата перечисления денег
|
Дни, на которые начисляются %
|
Сумма векселя
|
Дата учета векселя
|
Дата перечисления денег
|
Дни, на которые начисляются %
|
|
500 000
|
12.05.08
|
14.05.08
|
2
|
700 000
|
14.05.08
|
18.05.08
|
4
|
|
1 000 000
|
18.05.98
|
21.05.08
|
3
|
1 000 000
|
19.05.08
|
21.05.08
|
2
|
|
|
|
|
|
300 000
|
20.05.08
|
25.05.08
|
5
|
Комиссионное
вознаграждение (Кв) можно рассчитать по следующей формуле:
где,
д - дни, на которые начисляются проценты;
-
сумма векселя;
М(%)
- ставка межбанковского кредита.
Подставляя
данные из таблицы в формулу, можно подсчитать комиссионное вознаграждение
которое банки должны друг другу за то, что они выплатили свои деньги за вексель
другого банка:
-
эта величина остается постоянной в данной формуле, поэтому данную величину
можно принять как коэффициент.
Таблица
2.2
|
Банк Б
|
Банк А
|
|
Сумма векселя
|
|
Сумма векселя
|
|
|
500 000
|
1 000
|
700 000
|
2 800
|
|
1 000 000
|
3 000
|
1 000 000
|
2 000
|
|
|
|
300 000
|
1 500
|
|
|
4 000
|
|
6 300
|
Отсюда
видно, что 2 300 руб. - в качестве комиссионного вознаграждения Банк А должен
перечислить Банку Б.
3.5 Кредитные банковские векселя
Ряд
специалистов отмечает как весьма положительное явление на нашем финансовом
рынке выпуск коммерческими банками так называемых расчетных или кредитных
векселей.
Принцип
вексельного кредита заключается в том, что предприятие-ссудозаемщик
расплачивается с кредиторами не реальными денежными средствами, а банковскими
обязательствами заплатить определенную ссуму в определенный срок, оформленным в
виде векселей. Основное преимущество такого кредита для предприятий заключается
прежде всего в низкой стоимости пополнения оборотных средств (низкой процентной
ставкой по кредиту) . Это объясняется тем, что банку не требуется отвлекать
денежные средства на длительный срок для осуществления операций. Ссудозаемщик,
получая кредит в виде банковских векселей, использует их в дальнейшем в
качестве платежного средства с целью погашения кредиторской задолженности и
снижения себестоимости продукции по статье произведенных материальных затрат
(вследствие низкой процентной ставки вексельного кредита).
Его
кредитор, приняв вексель в счет погашения текущей или просроченной
задолженности, получает банковскую гарантию оплаты определенной суммы в
определенный срок. Однако наиболее целесообразным представляется дальнейшее
использование векселя в расчетах, то есть для погашения собственной текущей или
просроченной кредиторской задолженности. Необходимо отметить, что при
подготовке вексельного кредита на основании составленного ссудозаемщиком списка
кредиторов определяется перечень предприятий, расчеты с которыми предполагается
осуществлять векселями, а также предполагаемые суммы и сроки платежей. В случае
острой нехватки денежных средств, последний векселедержатель может, не
дожидаясь срока оплаты векселя, досрочно учесть его в любом филиале банка с
дисконтом, определяемым на момент предъявления векселя к учету, либо под залог
векселя получить коммерческий кредит. [17]
Оформление
и выдача кредитных векселей осуществляется на основании кредитного договора.
Как и при получении обычного коммерческого кредита, от предприятия
ссудозаемщика требуется предоставление необходимых гарантий возврата суммы
кредита и процентов по нему. Возможна следующие виды обеспечения:
1.
денежные
средства заемщика на счете в банке (депозиты, вклады и прочие) ;
1.
ценные
бумаги, выпущенные банком (векселя, сертификаты) и государственные ценные
бумаги;
1.
банковские
гарантии, поручительства, долговые обязательства и корпоративные ценные бумаги;
1.
средне-
и высоколиквидная промышленная продукция (аудио- и видеоаппаратура, бытовая
электротехника, оргтехника, мебель, предметы одежды, парфюмерия, строительные
материалы) ;
На
основании заключенного кредитного договора кредитный отдел банка выдает
ссудозаемщику пакет векселей номиналами, удобными для осуществления расчетов с
кредиторами. При получении пакета векселей руководитель
предприятия-ссудозаемщика ставит свою подпись и печать на корешке каждого
векселя (корешки векселей хранятся в банке для отчетности) .
По
истечении срока кредитного договора предприятие - первый векселедержатель
погашает полученный ранее кредит деньгами, выплачивая при этом проценты за
пользование кредитом. Очередной владелец векселя предъявляет его к оплате в
указанный срок и получает вексельную сумму. Векселя чаще всего бывают бездоходными.
Главный интерес для заемщика заключается в том, что процентная ставка по
вексельному кредиту ниже ставок по обычным кредитам.
Векселя
выдаются и передаются (индоссируются) только юридическим лицам,
зарегистрированным на территории России. Любой векселедержатель может
предъявить вексель к оплате во все отделения и филиалы банка.
Таким
образом, у вексельных ссуд есть как минимум семь преимуществ.
1.
Возможность
пополнения оборотных средств под низкую процентную ставку.
2.
Возможность
выдачи кредита пакетом векселей удобных для заемщика номиналов.
3.
Возможность
определения заемщиком графика погашения векселей, а значит, и уровня процентной
ставки.
4.
Возможность
ускоренной оплаты продукции и услуг (отсутствуют затраты времени на
межбанковский пробег средств) .
5.
Возможность
избежать безакцептного списания средств с расчетного счета при погашении
дебиторско-кредиторской задолженности и осуществлении текущих платежей.
6.
Возможность
полного включения процентных выплат по обслуживанию вексельных кредитов в
себестоимость (так как в абсолютном большинстве случаев проценты по вексельному
кредиту значительно ниже действующей ставки рефинансирования Центробанка
России) .
7.
Возможность
уменьшения суммы залога или обеспечения кредита по сравнению с обычным кредитом
(сумма обеспечения включает сумму кредита и проценты за его использование, а
так как процентная ставка по вексельному кредиту значительно ниже, чем по
обычному, уменьшается и сумма обеспечения кредита). [9]
Пример:
2
февраля 2008 года банк выдал вексельный кредит на сумму 500 000 рублей,
процентная ставка 21%, срок возврата кредита 18 марта 2008 года, срок погашения
векселя 20 марта 2008 года.
Сумма
причитающихся процентов:
рублей.
Полная
сумма векселя 512 945 рублей.
Сумма
обязательных отчислений в резерв депонируемых в Центральном Банке России,
независимо от сроков кредитования 11%.
рублей
Недополучим
средств:
рубля
Доход
банка составит: 12945 - 1424 = 11521 рубль.
Заключение
Ни один из
инструментов финансового рынка, кроме, конечно, самих денег во всех
многочисленных проявлениях их экономических функций, не может сравниться по
своей истории и значению с векселем. Именно развитие вексельного обращения
привело к обезналичиванию всех денежных расчетов: вытеснению из денежного обращения
металлов - золота и серебра, замене эквивалентов менового оборота бумажными
символами.
Безусловность
векселя как долгового обязательства, строгость и быстрота взыскания по нему
послужили основой создания других видов платежей и расчетов - банкнот, чеков,
аккредитивов. Развитие разнообразных инструментов рынка ценных бумаг - акций,
облигаций, депозитных сертификатов и их производных шло на базе векселя. Сила
векселя всегда поддерживалась вексельным правом и обеспечивалась государством. Векселя
активно использовались и используются в международных расчетах и внутренних
сделках стран с развитой экономикой. Промышленникам и коммерсантам векселя дают
возможность оплачивать свои покупки с отсрочкой платежа. Таким образом,
основная экономическая функция векселя - быть средством оформления и
обеспечения кредитов как коммерческих, так и банковских. На сегодняшний день
основными вопросами вексельного рынка являются региональная замкнутость
вексельных расчетов, технологическая не ликвидность документарных векселей, слабая
регулируемость вексельного рынка со стороны государства, отсутствие
информационной базы по надежности векселей и индоссантов.
Подводя итог, назовем
ряд причин, сдерживающих широкое распространение настоящих векселей:
·
частое
отсутствие должного доверия к деловым партнерам;
·
неуверенность
в возможности предельно быстрого удовлетворения своих интересов через процедуру
судебного рассмотрения исков о погашении векселей (если партнеры оказались
нечестными, либо неплатежеспособными);
·
отсутствие
ускоренной процедуры внеочередного судебного рассмотрения исков о погашении
векселей;
·
отсутствие
широко описанных прецедентов регрессных требований по векселям в случае отказа
векселедателей от платежа, что насторожило бы нечистых на руку;
·
отсутствие
у большинства банков опыта учетно-ссудных операций с векселями и невозможность
в настоящее время их переучета в ЦБ РФ;
·
опасения
получить фальшивый вексель - известны подделки векселей Сбербанка, Ленэнерго и
др., (см. Приложение № 4).
Следует
отметить, что векселя в мировой экономике необходимы, поскольку активизация
вексельного обращения приводит: во-первых, к ускорению расчетов и
оборачиваемости оборотных средств; во-вторых, уменьшается потребность в
банковском кредите, соответственно снижаются процентные ставки за его
использование и в результате сокращается эмиссия денег. Оборот векселей в
ближайшее время должен оставаться массовым.
Однако
я надеюсь, что в дальнейшем вексельное обращение в России примет более
цивилизованные формы, когда досконально будут исполняться законы и не будут
эмитировать векселя вместо обычных товарных обязательств, предприятия-должники
будут самостоятельно выпускать векселя, получать под них вексельное
поручительство банка и расплачиваться авалированным векселем со своими
кредиторами. При этом банки, с целью минимизации своих рисков, сопровождающих
гарантийные операции, могут практиковать авалирование векселей под залог
конкретного имущества или прав векселедателей. Будут решены проблемы
гражданского права процедуры "ареста" векселя, солидарной ответственности
и другие.
Список
использованных источников
1.
Боровская М.А., Банковские услуги предприятиям, Учебно-методическое
пособие 2006г.
2.
Волохов А. В. Вексель и вексельное обращение в России: Сборник. - М.: АО"Банкцентр"
2002 г..
3.
Гражданский кодекс Российской Федерации (часть 1 и 2) включая изменения. и доп.
на 12.08.2006г..
4.
"О переводном и простом векселе", Закон РФ от 11.03.2003 № 48-ФЗ,
система "Кодекс".
5.
"Об оформлении взаимной задолженности предприятий и организаций векселями
единого образца и развитии вексельного обращения", Постановление
Правительства РФ от 26.09.2004г. №1094, система "Кодекс".
6.
"О рынке ценных бумаг", Закон РФ от 22.04.2003 № 39-ФЗ, система
"Кодекс".
7.
"Положение об обращении бездокументарных простых векселей на основе учёта
прав их держателей", Утвержденное постановлением ФКЦБ от 21 марта 2001
года №5,с."Кодекс".
8.
"Положение о переводном и простом векселе", Постановление ЦИК и СНК
СССР от 07.08.37 №104/1341 (Женевская конвенция от 07.06.1930г.), система
"Кодекс".
9.
"Рынок ценных бумаг: Учебник", под ред. Галанова В.А., Басова А.И.
-М:Финансы и статистика, 2002г..
10.
Фельдман А.А. "Вексельное обращение. Российская и международная
практика". -М:ИНФРА-М, 2003г..
11.
Фельдман А.А. "Государственные ценные бумаги". -М:ИНФРА-М, 2002г..
12.
"Экономика и жизнь", журнал, №78, ноябрь 2004г..
13.
Baumbach Adolf, Hefermehl Wolfgang, Casper Matthias: Wechselgesetz und
Scheckgesetz. Auflage. C. H. Beck, München 2008.
14.
Einert Carl: Das Wechselrecht... Leipzig 1839, Thomson Gale, Farmington Hills
Mich 2005 (Repr.).
15.
Fort Ludwig: Deutsches Wechselbuch, oder praktischer Unterricht über die
Wechselbriefe. Haendel, Leipzig 1855.
16.
#"Рисунок 39" src="/wimg/9/492038.files/image035.jpg">
Приложение № 2
Приложение № 3
Приложение № 4